Companies:
10,795
total market cap:
HK$1117.958 T
Sign In
๐บ๐ธ
EN
English
$ HKD
$
USD
๐บ๐ธ
โฌ
EUR
๐ช๐บ
โน
INR
๐ฎ๐ณ
ยฃ
GBP
๐ฌ๐ง
$
CAD
๐จ๐ฆ
$
AUD
๐ฆ๐บ
$
NZD
๐ณ๐ฟ
$
SGD
๐ธ๐ฌ
Global ranking
Ranking by countries
America
๐บ๐ธ United States
๐จ๐ฆ Canada
๐ฒ๐ฝ Mexico
๐ง๐ท Brazil
๐จ๐ฑ Chile
Europe
๐ช๐บ European Union
๐ฉ๐ช Germany
๐ฌ๐ง United Kingdom
๐ซ๐ท France
๐ช๐ธ Spain
๐ณ๐ฑ Netherlands
๐ธ๐ช Sweden
๐ฎ๐น Italy
๐จ๐ญ Switzerland
๐ต๐ฑ Poland
๐ซ๐ฎ Finland
Asia
๐จ๐ณ China
๐ฏ๐ต Japan
๐ฐ๐ท South Korea
๐ญ๐ฐ Hong Kong
๐ธ๐ฌ Singapore
๐ฎ๐ฉ Indonesia
๐ฎ๐ณ India
๐ฒ๐พ Malaysia
๐น๐ผ Taiwan
๐น๐ญ Thailand
๐ป๐ณ Vietnam
Others
๐ฆ๐บ Australia
๐ณ๐ฟ New Zealand
๐ฎ๐ฑ Israel
๐ธ๐ฆ Saudi Arabia
๐น๐ท Turkey
๐ท๐บ Russia
๐ฟ๐ฆ South Africa
>> All Countries
Ranking by categories
๐ All assets by Market Cap
๐ Automakers
โ๏ธ Airlines
๐ซ Airports
โ๏ธ Aircraft manufacturers
๐ฆ Banks
๐จ Hotels
๐ Pharmaceuticals
๐ E-Commerce
โ๏ธ Healthcare
๐ฆ Courier services
๐ฐ Media/Press
๐ท Alcoholic beverages
๐ฅค Beverages
๐ Clothing
โ๏ธ Mining
๐ Railways
๐ฆ Insurance
๐ Real estate
โ Ports
๐ผ Professional services
๐ด Food
๐ Restaurant chains
โ๐ป Software
๐ Semiconductors
๐ฌ Tobacco
๐ณ Financial services
๐ข Oil&Gas
๐ Electricity
๐งช Chemicals
๐ฐ Investment
๐ก Telecommunication
๐๏ธ Retail
๐ฅ๏ธ Internet
๐ Construction
๐ฎ Video Game
๐ป Tech
๐ฆพ AI
>> All Categories
ETFs
๐ All ETFs
๐๏ธ Bond ETFs
๏ผ Dividend ETFs
โฟ Bitcoin ETFs
โข Ethereum ETFs
๐ช Crypto Currency ETFs
๐ฅ Gold ETFs & ETCs
๐ฅ Silver ETFs & ETCs
๐ข๏ธ Oil ETFs & ETCs
๐ฝ Commodities ETFs & ETNs
๐ Emerging Markets ETFs
๐ Small-Cap ETFs
๐ Low volatility ETFs
๐ Inverse/Bear ETFs
โฌ๏ธ Leveraged ETFs
๐ Global/World ETFs
๐บ๐ธ USA ETFs
๐บ๐ธ S&P 500 ETFs
๐บ๐ธ Dow Jones ETFs
๐ช๐บ Europe ETFs
๐จ๐ณ China ETFs
๐ฏ๐ต Japan ETFs
๐ฎ๐ณ India ETFs
๐ฌ๐ง UK ETFs
๐ฉ๐ช Germany ETFs
๐ซ๐ท France ETFs
โ๏ธ Mining ETFs
โ๏ธ Gold Mining ETFs
โ๏ธ Silver Mining ETFs
๐งฌ Biotech ETFs
๐ฉโ๐ป Tech ETFs
๐ Real Estate ETFs
โ๏ธ Healthcare ETFs
โก Energy ETFs
๐ Renewable Energy ETFs
๐ก๏ธ Insurance ETFs
๐ฐ Water ETFs
๐ด Food & Beverage ETFs
๐ฑ Socially Responsible ETFs
๐ฃ๏ธ Infrastructure ETFs
๐ก Innovation ETFs
๐ Semiconductors ETFs
๐ Aerospace & Defense ETFs
๐ Cybersecurity ETFs
๐ฆพ Artificial Intelligence ETFs
Watchlist
Account
Meta Platforms (Facebook)
META
#9
Rank
HK$13.353 T
Marketcap
๐บ๐ธ
United States
Country
HK$5,260
Share price
-1.07%
Change (1 day)
23.43%
Change (1 year)
๐ฅ๏ธ Internet
๐ฉโ๐ป Tech
๐ฆพ AI
Categories
Market cap
Revenue
Earnings
Price history
P/E ratio
P/S ratio
More
Price history
P/E ratio
P/S ratio
P/B ratio
Operating margin
EPS
Dividends
Dividend yield
Shares outstanding
Fails to deliver
Cost to borrow
Total assets
Total liabilities
Total debt
Cash on Hand
Net Assets
Annual Reports
Annual Reports (10-K)
Sustainability Reports
Meta Platforms (Facebook)
Quarterly Reports (10-Q)
Submitted on 2013-11-01
Meta Platforms (Facebook) - 10-Q quarterly report FY
Text size:
Small
Medium
Large
UNITED STATES
SECURITIES AND EXCHANGE COMMISSION
Washington, D.C. 20549
____________________________________________
FORM 10-Q
____________________________________________
(Mark One)
x
QUARTERLY REPORT PURSUANT TO SECTION 13 OR 15(d) OF THE SECURITIES EXCHANGE ACT OF 1934
For the quarterly period ended
September 30, 2013
or
o
TRANSITION REPORT PURSUANT TO SECTION 13 OR 15(d) OF THE SECURITIES EXCHANGE ACT OF 1934
For the transition period from to
Commission File Number: 001-35551
____________________________________________
FACEBOOK, INC.
(Exact name of registrant as specified in its charter)
____________________________________________
Delaware
20-1665019
(State or other jurisdiction of incorporation or organization)
(I.R.S. Employer Identification Number)
1601 Willow Road, Menlo Park, California 94025
(Address of principal executive offices and Zip Code)
(650) 543-4800
(Registrant's telephone number, including area code)
____________________________________________
Indicate by check mark whether the registrant (1) has filed all reports required to be filed by Section 13 or 15(d) of the Securities Exchange Act of 1934 (Exchange Act) during the preceding 12 months (or for such shorter period that the registrant was required to file such reports), and (2) has been subject to such filing requirements for the past 90 days. Yes
x
No
¨
Indicate by check mark whether the registrant has submitted electronically and posted on its corporate Web site, if any, every Interactive Data File required to be submitted and posted pursuant to Rule 405 of Regulation S-T during the preceding 12 months (or for such shorter period that the registrant was required to submit and post such files). Yes
x
No
¨
Indicate by check mark whether the registrant is a large accelerated filer, an accelerated filer, a non-accelerated filer, or a smaller reporting company. See definition of "large accelerated filer," "accelerated filer" and "smaller reporting company" in Rule 12b-2 of the Exchange Act. (Check one):
Large accelerated filer
¨
Accelerated filer
¨
Non-accelerated filer
x
(Do not check if a smaller reporting company)
Smaller reporting company
¨
Indicate by check mark whether the registrant is a shell company (as defined in Rule 12b-2 of the Exchange Act). Yes
¨
No
x
Indicate the number of shares outstanding of each of the issuer's classes of Common Stock, as of the latest practicable date.
Class
Number of Shares Outstanding
Class A Common Stock $0.000006 par value
1,874,048,211 shares outstanding as of October 29, 2013
Class B Common Stock $0.000006 par value
580,779,919 shares outstanding as of October 29, 2013
FACEBOOK, INC.
TABLE OF CONTENTS
Page No.
Note About Forward-Looking Statements
3
Limitations of Key Metrics and Other Data
4
PART I—FINANCIAL INFORMATION
5
Item 1.
Financial Statements (unaudited)
5
Condensed Consolidated Balance Sheets—September 30, 2013 and December 31, 2012
5
Condensed Consolidated Statements of Operations—for the three and nine months ended September 30, 2013 and 2012
6
Condensed Consolidated Statements of Comprehensive Income (Loss)—for the three and nine months ended September 30, 2013 and 2012
7
Condensed Consolidated Statements of Cash Flows—for the nine months ended September 30, 2013 and 2012
8
Notes to Condensed Consolidated Financial Statements
10
Item 2.
Management's Discussion and Analysis of Financial Condition and Results of Operations
22
Item 3.
Quantitative and Qualitative Disclosures About Market Risk
34
Item 4.
Controls and Procedures
34
PART II—OTHER INFORMATION
35
Item 1.
Legal Proceedings
35
Item 1A.
Risk Factors
36
Item 2.
Unregistered Sales of Equity Securities and Use of Proceeds
54
Item 6.
Exhibits
55
SIGNATURES
56
2
NOTE ABOUT FORWARD-LOOKING STATEMENTS
This Quarterly Report on Form 10-Q contains forward-looking statements within the meaning of the Private Securities Litigation Reform Act of 1995. All statements contained in this Quarterly Report on Form 10-Q other than statements of historical fact, including statements regarding our future results of operations and financial position, our business strategy and plans, and our objectives for future operations, are forward-looking statements. The words "believe," "may," "will," "estimate," "continue," "anticipate," "intend," "expect," and similar expressions are intended to identify forward-looking statements. We have based these forward-looking statements largely on our current expectations and projections about future events and trends that we believe may affect our financial condition, results of operations, business strategy, short-term and long-term business operations and objectives, and financial needs. These forward-looking statements are subject to a number of risks, uncertainties and assumptions, including those described in Part II, Item 1A, "Risk Factors" in this Quarterly Report on Form 10-Q. Moreover, we operate in a very competitive and rapidly changing environment. New risks emerge from time to time. It is not possible for our management to predict all risks, nor can we assess the impact of all factors on our business or the extent to which any factor, or combination of factors, may cause actual results to differ materially from those contained in any forward-looking statements we may make. In light of these risks, uncertainties and assumptions, the future events and trends discussed in this Quarterly Report on Form 10-Q may not occur and actual results could differ materially and adversely from those anticipated or implied in the forward-looking statements.
We undertake no obligation to revise or publicly release the results of any revision to these forward-looking statements, except as required by law. Given these risks and uncertainties, readers are cautioned not to place undue reliance on such forward-looking statements.
Unless expressly indicated or the context requires otherwise, the terms "Facebook," "company," "we," "us," and "our" in this document refer to Facebook, Inc., a Delaware corporation, and, where appropriate, its wholly owned subsidiaries. The term "Facebook" may also refer to our products, regardless of the manner in which they are accessed.
3
LIMITATIONS OF KEY METRICS AND OTHER DATA
The numbers for our key metrics, our daily active users (DAUs), monthly active users (MAUs), mobile MAUs, and average revenue per user (ARPU), and certain other metrics such as mobile DAUs and mobile-only MAUs, are calculated using internal company data based on the activity of user accounts. While these numbers are based on what we believe to be reasonable estimates of our user base for the applicable period of measurement, there are inherent challenges in measuring usage of our products across large online and mobile populations around the world. For example, there may be individuals who maintain one or more Facebook accounts in violation of our terms of service. We estimate, for example, that "duplicate" accounts (an account that a user maintains in addition to his or her principal account) may have represented between approximately 4.3% and 7.9% of our worldwide MAUs during the nine months ended September 30, 2013. We also seek to identify "false" accounts, which we divide into two categories: (1) user-misclassified accounts, where users have created personal profiles for a business, organization, or non-human entity such as a pet (such entities are permitted on Facebook using a Page rather than a personal profile under our terms of service); and (2) undesirable accounts, which represent user profiles that we determine are intended to be used for purposes that violate our terms of service, such as spamming. During the nine months ended September 30, 2013, for example, we estimate user-misclassified accounts may have represented between approximately 0.8% and 2.1% of our worldwide MAUs and undesirable accounts may have represented between approximately 0.4% and 1.2% of our worldwide MAUs. We believe the percentage of accounts that are duplicate or false is meaningfully lower in developed markets such as the United States or United Kingdom and higher in developing markets such as India and Turkey. However, these estimates are based on an internal review of a limited sample of accounts and we apply significant judgment in making this determination, such as identifying names that appear to be fake or other behavior that appears inauthentic to the reviewers. As such, our estimation of duplicate or false accounts may not accurately represent the actual number of such accounts. We are continually seeking to improve our ability to identify duplicate or false accounts and estimate the total number of such accounts, and such estimates may change due to improvements or changes in our methodology. Due to inherent variability in such estimates at particular dates of measurement, we disclose these estimates as a range over a recent period.
Our data limitations may affect our understanding of certain details of our business. For example, while user-provided data indicates a decline in usage among younger users, this age data is unreliable because a disproportionate number of our younger users register with an inaccurate age. We have worked with third parties to develop models to analyze user data by age in the United States. These models suggest that usage by U.S. teens overall continues to be stable, but that there has recently been a decline in DAU among younger U.S. teens. The data and models we are using are not precise and our understanding of usage by age group may not be complete.
Some of our historical metrics through the second quarter of 2012 have also been affected by applications on certain mobile devices that automatically contact our servers for regular updates with no user action involved, and this activity can cause our system to count the user associated with such a device as an active user on the day such contact occurs. For example, we estimate that less than
5%
of our estimated worldwide DAUs as of
December 31, 2011
and
2010
resulted from this type of automatic mobile activity, and that this type of activity had a substantially smaller effect on our estimate of worldwide MAUs and mobile MAUs. The impact of this automatic activity on our metrics varies by geography because mobile usage varies in different regions of the world. In addition, our data regarding the geographic location of our users is estimated based on a number of factors, such as the user's IP address and self-disclosed location. These factors may not always accurately reflect the user's actual location. For example, a mobile-only user may appear to be accessing Facebook from the location of the proxy server that the user connects to rather than from the user's actual location. The methodologies used to measure user metrics may also be susceptible to algorithm or other technical errors. For example, in early
June 2012
, we discovered an error in the algorithm we used to estimate the geographic location of our users that affected our attribution of certain user locations for the period ended
March 31, 2012
. While this issue did not affect our overall worldwide DAU and MAU numbers, it did affect our attribution of users across different geographic regions. We estimate that the number of MAUs as of
March 31, 2012
for the United States & Canada region was overstated as a result of the error by approximately
3%
and this overstatement was offset by understatements in other regions. Our estimates for revenue by user location and revenue by user device are also affected by these factors. We regularly review and may adjust our processes for calculating these metrics to improve their accuracy. In addition, our DAU and MAU estimates will differ from estimates published by third parties due to differences in methodology. For example, some third parties are not able to accurately measure mobile users or do not count mobile users for certain user groups or at all in their analyses.
The numbers of DAUs, MAUs, mobile DAUs, mobile MAUs, and mobile-only MAUs discussed in this Quarterly Report on Form 10-Q, as well as ARPU, do not include users of Instagram unless they would otherwise qualify as such users, respectively, based on their other activities on Facebook. In addition, other user engagement metrics included herein do not include Instagram unless otherwise specifically stated.
4
PART I—FINANCIAL INFORMATION
Item 1.
Financial Statements
FACEBOOK, INC.
CONDENSED CONSOLIDATED BALANCE SHEETS
(In millions, except for number of shares and par value)
(Unaudited)
September 30,
2013
December 31,
2012
Assets
Current assets:
Cash and cash equivalents
$
3,100
$
2,384
Marketable securities
6,228
7,242
Accounts receivable, net of allowances for doubtful accounts of $31 and $22 as of September 30, 2013 and December 31, 2012, respectively
872
719
Income tax refundable
7
451
Prepaid expenses and other current assets
342
471
Total current assets
10,549
11,267
Property and equipment, net
2,685
2,391
Goodwill and intangible assets, net
1,609
1,388
Other assets
90
57
Total assets
$
14,933
$
15,103
Liabilities and stockholders' equity
Current liabilities:
Accounts payable
$
36
$
65
Platform partners payable
171
169
Accrued expenses and other current liabilities
453
423
Deferred revenue and deposits
36
30
Current portion of capital lease obligations
288
365
Total current liabilities
984
1,052
Capital lease obligations, less current portion
287
491
Long-term debt
—
1,500
Other liabilities
614
305
Total liabilities
1,885
3,348
Stockholders' equity:
Common stock, $0.000006 par value; 5,000 million Class A shares authorized, 1,869 million and 1,671 million shares issued and outstanding, including 6 million and 2 million outstanding shares subject to repurchase as of September 30, 2013 and December 31, 2012, respectively; 4,141 million Class B shares authorized, 584 million and 701 million shares issued and outstanding, including 7 million and 11 million outstanding shares subject to repurchase as of September 30, 2013 and December 31, 2012, respectively
—
—
Additional paid-in capital
10,399
10,094
Accumulated other comprehensive income
13
2
Retained earnings
2,636
1,659
Total stockholders' equity
13,048
11,755
Total liabilities and stockholders' equity
$
14,933
$
15,103
See Accompanying Notes to Condensed Consolidated Financial Statements.
5
FACEBOOK, INC.
CONDENSED CONSOLIDATED STATEMENTS OF OPERATIONS
(In millions, except per share amounts)
(Unaudited)
Three Months Ended September 30,
Nine Months Ended September 30,
2013
2012
2013
2012
Revenue
$
2,016
$
1,262
$
5,286
$
3,504
Costs and expenses:
Cost of revenue
507
322
1,384
967
Research and development
369
244
1,006
1,102
Marketing and sales
233
168
704
703
General and administrative
171
151
520
717
Total costs and expenses
1,280
885
3,614
3,489
Income from operations
736
377
1,672
15
Interest and other income (expense), net:
Interest expense
(21
)
(11
)
(50
)
(35
)
Other income, net
11
6
2
9
Income (loss) before provision for income taxes
726
372
1,624
(11
)
Provision for income taxes
301
431
647
—
Net income (loss)
$
425
$
(59
)
$
977
$
(11
)
Less: Net income attributable to participating securities
3
—
6
—
Net income (loss) attributable to Class A and Class B common stockholders
$
422
$
(59
)
$
971
$
(11
)
Earnings (loss) per share attributable to Class A and Class B common stockholders:
Basic
$
0.17
$
(0.02
)
$
0.40
$
(0.01
)
Diluted
$
0.17
$
(0.02
)
$
0.39
$
(0.01
)
Weighted average shares used to compute earnings (loss) per share attributable to Class A and Class B common stockholders:
Basic
2,430
2,420
2,408
1,884
Diluted
2,528
2,420
2,504
1,884
Share-based compensation expense included in costs and expenses:
Cost of revenue
$
12
$
8
$
31
$
79
Research and development
164
114
432
719
Marketing and sales
34
28
91
279
General and administrative
29
29
79
311
Total share-based compensation expense
$
239
$
179
$
633
$
1,388
See Accompanying Notes to Condensed Consolidated Financial Statements.
6
FACEBOOK, INC.
CONDENSED CONSOLIDATED STATEMENTS OF COMPREHENSIVE INCOME (LOSS)
(In millions)
(Unaudited)
Three Months Ended September 30,
Nine Months Ended September 30,
2013
2012
2013
2012
Net income (loss)
$
425
$
(59
)
$
977
$
(11
)
Other comprehensive income (loss):
Change in foreign currency translation adjustment
38
21
7
(1
)
Change in unrealized gain/loss on available-for-sale investments, net of tax
4
2
1
1
Change in unrealized gain/loss on derivative, net of tax
(1
)
—
3
—
Comprehensive income (loss)
$
466
$
(36
)
$
988
$
(11
)
See Accompanying Notes to Condensed Consolidated Financial Statements.
7
FACEBOOK, INC.
CONDENSED CONSOLIDATED STATEMENTS OF CASH FLOWS
(In millions)
(Unaudited)
Nine Months Ended September 30,
2013
2012
Cash flows from operating activities
Net income (loss)
$
977
$
(11
)
Adjustments to reconcile net income (loss) to net cash provided by operating activities:
Depreciation and amortization
737
425
Lease abandonment expense
108
7
Loss on disposal or write-off of equipment
39
8
Share-based compensation
633
1,388
Deferred income taxes
21
(434
)
Tax benefit from share-based award activity
277
854
Excess tax benefit from share-based award activity
(285
)
(854
)
Changes in assets and liabilities:
Accounts receivable
(145
)
(90
)
Income tax refundable
444
(567
)
Prepaid expenses and other current assets
(11
)
24
Other assets
(35
)
—
Accounts payable
(17
)
20
Platform partners payable
2
(16
)
Accrued expenses and other current liabilities
(105
)
155
Deferred revenue and deposits
6
(5
)
Other liabilities
345
27
Net cash provided by operating activities
2,991
931
Cash flows from investing activities
Purchases of property and equipment
(879
)
(1,037
)
Purchases of marketable securities
(4,364
)
(8,590
)
Sales of marketable securities
2,433
571
Maturities of marketable securities
2,954
2,413
Investments in non-marketable equity securities
(1
)
(3
)
Acquisitions of businesses, net of cash acquired, and purchases of intangible assets
(237
)
(911
)
Change in restricted cash and deposits
4
(2
)
Net cash used in investing activities
(90
)
(7,559
)
Cash flows from financing activities
Net proceeds from issuance of common stock
—
6,760
Taxes paid related to net share settlement of equity awards
(706
)
—
Proceeds from exercise of stock options
20
9
Repayment of long-term debt
(1,500
)
—
Proceeds from sale and lease-back transactions
—
205
Principal payments on capital lease obligations
(291
)
(231
)
Excess tax benefit from share-based award activity
285
854
Net cash (used in) provided by financing activities
(2,192
)
7,597
Effect of exchange rate changes on cash and cash equivalents
7
(3
)
Net increase in cash and cash equivalents
716
966
Cash and cash equivalents at beginning of period
2,384
1,512
Cash and cash equivalents at end of period
$
3,100
$
2,478
See Accompanying Notes to Condensed Consolidated Financial Statements.
8
FACEBOOK, INC.
CONDENSED CONSOLIDATED STATEMENTS OF CASH FLOWS
(In millions)
(Unaudited)
Nine Months Ended September 30,
2013
2012
Supplemental cash flow data
Cash paid during the period for:
Interest
$
33
$
30
Income taxes
$
61
$
184
Cash received during the period for:
Income taxes
$
419
$
—
Non-cash investing and financing activities:
Net change in accounts payable and accrued expenses and other current liabilities related to property and equipment additions
$
31
$
(80
)
Property and equipment acquired under capital leases
$
11
$
251
Fair value of shares issued related to acquisitions of businesses and other assets
$
77
$
275
See Accompanying Notes to Condensed Consolidated Financial Statements.
9
FACEBOOK, INC.
NOTES TO CONDENSED CONSOLIDATED FINANCIAL STATEMENTS
(Unaudited)
Note 1.
Summary of Significant Accounting Policies
Basis of Presentation
The accompanying unaudited condensed consolidated financial statements have been prepared in accordance with generally accepted accounting principles in the United States (GAAP) and applicable rules and regulations of the Securities and Exchange Commission regarding interim financial reporting. Certain information and note disclosures normally included in the financial statements prepared in accordance with GAAP have been condensed or omitted pursuant to such rules and regulations. As such, the information included in this quarterly report on Form 10-Q should be read in conjunction with the consolidated financial statements and accompanying notes included in our Annual Report on Form 10-K for the fiscal year ended
December 31, 2012
.
The condensed consolidated balance sheet as of
December 31, 2012
included herein was derived from the audited financial statements as of that date, but does not include all disclosures including notes required by GAAP.
The condensed consolidated financial statements include the accounts of Facebook, Inc. and its wholly owned subsidiaries. All intercompany balances and transactions have been eliminated.
The accompanying condensed consolidated financial statements reflect all normal recurring adjustments necessary to present fairly the financial position, results of operations, and cash flows for the interim periods, but are not necessarily indicative of the results of operations to be anticipated for the full year ending
December 31, 2013
.
There have been no changes to our significant accounting policies described in our Annual Report on Form 10-K for the fiscal year ended
December 31, 2012
that have had a material impact on our condensed consolidated financial statements and related notes.
Use of Estimates
Conformity with GAAP requires the use of estimates and judgments that affect the reported amounts in the condensed consolidated financial statements and accompanying notes. These estimates form the basis for judgments we make about the carrying values of our assets and liabilities, which are not readily apparent from other sources. We base our estimates and judgments on historical information and on various other assumptions that we believe are reasonable under the circumstances. GAAP requires us to make estimates and judgments in several areas, including, but not limited to, those related to revenue recognition, collectability of accounts receivable, contingent liabilities, fair value of financial instruments, fair value of acquired intangible assets and goodwill, useful lives of intangible assets and property and equipment, and income taxes. These estimates are based on management's knowledge about current events and expectations about actions we may undertake in the future. Actual results could differ materially from those estimates.
Reclassifications
We have reclassified certain prior period amounts within our condensed consolidated statements of cash flows to conform to our current year presentation.
Recently Issued and Adopted Accounting Pronouncement
Comprehensive Income
In February 2013, the Financial Accounting Standards Board issued Accounting Standards Update (ASU) No. 2013-02,
Comprehensive Income (Topic 220): Reporting of Amounts Reclassified Out of Accumulated Other Comprehensive Income
(ASU 2013-02) which is effective prospectively for public companies for reporting periods beginning after December 15, 2012. This new accounting standard improves the reporting of reclassifications out of accumulated other comprehensive income (AOCI) by requiring an entity to report the effect of significant reclassifications out of AOCI on the respective line items in net income if the amount being reclassified is required under GAAP to be reclassified in its entirety to net income. For other amounts that are not required under GAAP to be reclassified in their entirety to net income in the same reporting period, an entity is required to cross-reference other disclosures required under GAAP that provide additional detail about those amounts. We adopted this new guidance on January 1, 2013 and the adoption did not have a material effect on our condensed consolidated financial statements.
10
Note 2.
Acquisitions
In the
nine
months ended
September 30, 2013
, we completed several business acquisitions for total consideration of
$260 million
, consisting of approximately
$184 million
in cash and
3 million
vested shares of our Class A common stock which are not conditioned upon continuous employment. In addition, we issued approximately
6 million
shares of Class A common stock in connection with such acquisitions, which are conditioned upon continuous employment. These shares have been excluded from purchase consideration and will be recognized over the required service period as share-based compensation expense.
These acquisitions were not material to our condensed consolidated financial statements, either individually or in the aggregate. Pro forma results of operations related to our acquisitions during the
nine
months ended
September 30, 2013
have not been presented because they are not material to our condensed consolidated statements of operations, either individually or in the aggregate.
The following table summarizes the allocation of estimated fair values of the net assets acquired during the
nine
months ended
September 30, 2013
, including the related estimated useful lives, where applicable:
in millions
Estimated useful lives (in years)
Amortizable intangible assets:
Acquired technology
$
68
3 - 7
Tradename and other
26
2 - 10
Deferred tax liabilities
(9
)
Net assets acquired
$
85
Goodwill
175
Total fair value consideration
$
260
Goodwill generated from all business acquisitions completed during the
nine
months ended
September 30, 2013
is primarily attributable to expected synergies from future growth and potential monetization opportunities and
$66 million
of this goodwill is deductible for tax purposes.
In the
nine
months ended
September 30, 2013
, we also acquired
$58 million
of patents and other intangible assets. Patents acquired during the
nine
months ended
September 30, 2013
have estimated useful lives ranging from
seven
to
15
years from the dates of acquisition.
Note 3.
Earnings (Loss) per Share
We compute earnings (loss) per share (EPS) of Class A and Class B common stock using the two-class method required for participating securities. Prior to the date of our initial public offering (IPO) in May 2012, we considered all series of our convertible preferred stock to be participating securities due to their non-cumulative dividend rights. Immediately after the completion of our IPO, all outstanding shares of convertible preferred stock converted to Class B common stock. Additionally, we consider restricted stock awards to be participating securities because holders of such shares have non-forfeitable dividend rights in the event of our declaration of a dividend for common shares.
Undistributed earnings allocated to these participating securities are subtracted from net income in determining net income attributable to common stockholders. Net losses are not allocated to these participating securities. Basic EPS is computed by dividing net income (loss) attributable to common stockholders by the weighted-average number of shares of our Class A and Class B common stock outstanding, adjusted for outstanding shares that are subject to repurchase.
For the calculation of diluted EPS, net income (loss) attributable to common stockholders for basic EPS is adjusted by the effect of dilutive securities, including awards under our equity compensation plans. In addition, the computation of the diluted EPS of Class A common stock assumes the conversion from Class B common stock, while the diluted EPS of Class B common stock does not assume the conversion of those shares to Class A common stock. Diluted EPS attributable to common stockholders is computed by dividing the resulting net income (loss) attributable to common stockholders by the weighted-average number of fully diluted common shares outstanding.
Restricted stock units (RSUs) granted prior to January 1, 2011 vest upon the satisfaction of both a service condition and a liquidity condition. The liquidity condition was satisfied six months following the completion of our IPO. Our IPO did not occur until May 2012. Therefore, subsequent to the completion of our IPO in May 2012, these RSUs were included in our basic and
11
diluted EPS calculation. RSUs granted on or after January 1, 2011 (Post-2011 RSUs) are not subject to a liquidity condition in order to vest and are thus included in the calculation of diluted EPS.
We have excluded
15 million
Post-2011 RSUs from the EPS calculation for the
nine
months ended
September 30, 2013
because the impact would be anti-dilutive. Shares excluded from the calculation were not material for the
three
months ended
September 30, 2013
. For the
three and nine
months ended
September 30, 2012
in which we reported a net loss, we did not allocate any loss to participating securities in the basic and diluted EPS computation. Additionally, we did not include employee stock options, unvested RSUs, and shares subject to repurchase in our calculation of diluted EPS for these periods because the impact of these awards would have been anti-dilutive.
Basic and diluted EPS are the same for each class of common stock because they are entitled to the same liquidation and dividend rights.
12
The numerators and denominators of the basic and diluted EPS computations for our common stock were calculated as follows (in millions, except per share amounts):
Three Months Ended September 30,
Nine Months Ended September 30,
2013
2012
2013
2012
Class A
Class B
Class A
Class B
Class A
Class B
Class A
Class B
Basic EPS:
Numerator
Net income (loss)
$
320
$
105
$
(19
)
$
(40
)
$
717
$
260
$
(3
)
$
(8
)
Less: Net income attributable to participating securities
2
1
—
—
4
2
—
—
Net income (loss) attributable to common stockholders
$
318
$
104
$
(19
)
$
(40
)
$
713
$
258
$
(3
)
$
(8
)
Denominator
Weighted average shares outstanding
1,833
611
794
1,632
1,773
649
431
1,457
Less: Shares subject to repurchase
6
8
1
5
5
9
1
3
Number of shares used for basic EPS computation
1,827
603
793
1,627
1,768
640
430
1,454
Basic EPS
$
0.17
$
0.17
$
(0.02
)
$
(0.02
)
$
0.40
$
0.40
$
(0.01
)
$
(0.01
)
Diluted EPS:
Numerator
Net income (loss) attributable to common stockholders
$
318
$
104
$
(19
)
$
(40
)
$
713
$
258
$
(3
)
$
(8
)
Reallocation of net income attributable to participating securities
3
—
—
—
6
—
—
—
Reallocation of net income (loss) as a result of conversion of Class B to Class A common stock
104
—
(40
)
—
258
—
(8
)
—
Reallocation of net income to Class B common stock
—
13
—
—
—
29
—
—
Net income (loss) attributable to common stockholders for diluted EPS
$
425
$
117
$
(59
)
$
(40
)
$
977
$
287
$
(11
)
$
(8
)
Denominator
Number of shares used for basic EPS computation
1,827
603
793
1,627
1,768
640
430
1,454
Conversion of Class B to Class A common stock
603
—
1,627
—
640
—
1,454
—
Weighted average effect of dilutive securities:
Employee stock options
59
59
—
—
69
69
—
—
RSUs
33
33
—
—
21
21
—
—
Shares subject to repurchase
6
6
—
—
6
6
—
—
Number of shares used for diluted EPS computation
2,528
701
2,420
1,627
2,504
736
1,884
1,454
Diluted EPS
$
0.17
$
0.17
$
(0.02
)
$
(0.02
)
$
0.39
$
0.39
$
(0.01
)
$
(0.01
)
13
Note 4.
Cash, Cash Equivalents and Marketable Securities
The following table sets forth the cash, cash equivalents and marketable securities (in millions):
September 30, 2013
December 31, 2012
Cash and cash equivalents:
Cash
$
898
$
1,513
Money market funds
2,202
871
Total cash and cash equivalents
3,100
2,384
Marketable securities:
U.S. government securities
4,157
5,165
U.S. government agency securities
2,071
2,077
Total marketable securities
6,228
7,242
Total cash, cash equivalents and marketable securities
$
9,328
$
9,626
The gross unrealized gains or losses on our marketable securities as of
September 30, 2013
and
December 31, 2012
were not significant. In addition, there were no securities in a continuous loss position for 12 months or longer as of
September 30, 2013
and
December 31, 2012
.
The following table classifies our marketable securities by contractual maturities (in millions):
September 30, 2013
Due in one year
$
3,272
Due in one to two years
2,956
Total
$
6,228
14
Note 5.
Fair Value Measurements
Assets and liabilities measured at fair value on a recurring basis are summarized below (in millions):
Fair Value Measurement at
Reporting Date Using
Description
September 30, 2013
Quoted Prices
in Active
Markets for
Identical Assets
(Level 1)
Significant
Other
Observable
Inputs
(Level 2)
Significant
Unobservable
Inputs
(Level 3)
Cash equivalents:
Money market funds
$
2,202
$
2,202
$
—
$
—
Marketable securities:
U.S. government securities
4,157
4,157
—
—
U.S. government agency securities
2,071
2,071
—
—
Total cash equivalents and marketable securities
$
8,430
$
8,430
$
—
$
—
Fair Value Measurement at
Reporting Date Using
Description
December 31, 2012
Quoted Prices
in Active
Markets for
Identical Assets
(Level 1)
Significant
Other
Observable
Inputs
(Level 2)
Significant
Unobservable
Inputs
(Level 3)
Cash equivalents:
Money market funds
$
871
$
871
$
—
$
—
Marketable securities:
U.S. government securities
5,165
5,165
—
—
U.S. government agency securities
2,077
2,077
—
—
Total cash equivalents and marketable securities
$
8,113
$
8,113
$
—
$
—
Other current liabilities:
Contingent consideration liability
$
4
$
—
$
—
$
4
Other liabilities:
Derivative financial instrument
$
4
$
—
$
4
$
—
In August 2013, we settled our Level 3 contingent consideration liability and terminated our Level 2 derivative financial instrument related to our interest rate swap agreement. See Note 8 in these notes to the condensed consolidated financial statements for additional information on the termination of our interest swap agreement.
15
Note 6.
Property and Equipment
Property and equipment consisted of the following (in millions):
September 30,
2013
December 31,
2012
Network equipment
$
2,245
$
1,912
Land
41
36
Buildings
975
594
Leasehold improvements
198
194
Computer software, office equipment and other
107
93
Construction in progress
255
444
Total
3,821
3,273
Less: Accumulated depreciation
(1,136
)
(882
)
Property and equipment, net
$
2,685
$
2,391
Construction in progress includes costs primarily related to the construction of data centers and equipment located in our data centers in Oregon, North Carolina, Iowa and Sweden and ongoing construction to expand our corporate headquarters in Menlo Park, California. Interest capitalized during the periods presented was not material.
Note 7.
Goodwill and Intangible Assets
The changes in the carrying amount of goodwill for the
nine
months ended
September 30, 2013
are as follows (in millions):
Balance as of December 31, 2012
$
587
Goodwill acquired
175
Balance as of September 30, 2013
$
762
Intangible assets consisted of the following (in millions):
September 30, 2013
December 31, 2012
Useful lives from date of acquisitions (in years)
Gross Carrying Amount
Accumulated Amortization
Net Carrying Amount
Gross Carrying Amount
Accumulated Amortization
Net Carrying Amount
Amortizable intangible assets:
Acquired patents
3 - 18
$
739
$
(120
)
$
619
$
684
$
(53
)
$
631
Acquired technology
2 - 10
201
(55
)
146
133
(32
)
101
Tradename and other
2 - 10
123
(41
)
82
94
(25
)
69
Total
$
1,063
$
(216
)
$
847
$
911
$
(110
)
$
801
Amortization expense of intangible assets was
$37 million
and
$106 million
for the
three and nine
months ended
September 30, 2013
, respectively, and
$31 million
and
$44 million
for the
three and nine
months ended
September 30, 2012
, respectively.
16
As of
September 30, 2013
, estimated amortization expense for the unamortized acquired intangible assets for the next five years and thereafter is as follows (in millions):
The remainder of 2013
$
37
2014
145
2015
136
2016
124
2017
106
2018
72
Thereafter
227
$
847
Note 8.
Long-term Debt
In August 2013, we fully repaid the
$1.5 billion
outstanding principal balance of our
three
-year unsecured term loan facility.
In connection with our termination of the unsecured term loan facility, we also terminated our
$1.5 billion
interest rate swap agreement which converted the
one-month LIBOR
rate on the corresponding notional amount of debt to a fixed interest rate to hedge our exposure to interest rate fluctuation. We have reclassified all amounts related to the interest rate swap in AOCI to interest expense. For the
three and nine
months ended
September 30, 2013
, the amount in AOCI reclassified to interest expense was not material. The realized gain as a result of the termination of our interest rate swap was also not material.
Concurrently, we also terminated our unsecured
five
-year revolving credit facility that allowed us to borrow up to
$5 billion
. We had not drawn down on this facility.
In August 2013, in connection with the termination of these facilities, we entered into a
five
-year senior unsecured revolving credit facility (2013 Revolving Credit Facility) that allows us to borrow up to
$6.5 billion
to fund working capital and general corporate purposes with interest payable on the borrowed amounts set at
LIBOR
plus
1.0%
, as well as an annual commitment fee of
0.10%
on the daily undrawn balance of the facility. We paid origination fees at closing of the 2013 Revolving Credit Facility, which fees are being amortized over the term of the facility. Any amounts outstanding under this facility will be due and payable on August 15, 2018. As of
September 30, 2013
,
no
amounts had been drawn down and we were in compliance with the covenants under this facility.
Note 9.
Commitments and Contingencies
Leases
We entered into various capital lease arrangements to obtain property and equipment for our operations. Additionally, on occasion we purchased property and equipment for which we subsequently obtained capital financing under sale-leaseback transactions. These agreements are typically for
three years
, except for a building lease which is for
15 years
, with interest rates ranging from
1%
to
13%
. The leases are secured by the underlying leased buildings and equipment. We also entered into various non-cancelable operating lease agreements for certain of our offices, equipment, land and data centers with original lease periods expiring between
2013
and
2027
. We are committed to pay a portion of the related actual operating expenses under certain of these lease agreements. Certain of these arrangements have free rent periods and/or escalating rent payment provisions, and we recognize rent expense under such arrangements on a straight-line basis.
During the
three and nine
months ended
September 30, 2013
, we recognized lease abandonment expense of
$43 million
and
$108 million
, respectively, primarily due to exiting certain leased data centers resulting from the migration of operations to our own data centers. Lease abandonment expense for the same periods in 2012 was not material.
Operating lease expense was
$28 million
and
$101 million
for the
three and nine
months ended
September 30, 2013
, respectively, and
$50 million
and
$151 million
for the
three and nine
months ended
September 30, 2012
, respectively.
17
Contingencies
Beginning on May 22, 2012, multiple putative class actions, derivative actions, and individual actions were filed in state and federal courts in the United States and in other jurisdictions against us, our directors, and/or certain of our officers alleging violation of securities laws or breach of fiduciary duties in connection with our IPO and seeking unspecified damages. We believe these lawsuits are without merit, and we intend to continue to vigorously defend them. On October 4, 2012, on our motion, the vast majority of the cases in the United States, along with multiple cases filed against The NASDAQ OMX Group, Inc. and The Nasdaq Stock Market LLC (collectively referred to herein as NASDAQ) alleging technical and other trading-related errors by NASDAQ in connection with our IPO, were ordered centralized for coordinated or consolidated pre-trial proceedings in the United States District Court for the Southern District of New York. On February 13, 2013, the court granted our motion to dismiss four derivative actions against our directors and certain of our officers with leave to amend. On October 8, 2013, the court heard argument on our motion to dismiss the consolidated securities class action, as well as our motion to dismiss, and the plaintiffs' motion to remand to state court, certain other derivative actions. In addition, the events surrounding our IPO have become the subject of various government inquiries, and we are cooperating with those inquiries.
In the opinion of management, there was not at least a reasonable possibility that we may have incurred a material loss, or a material loss in excess of a recorded accrual, with respect to loss contingencies relating to the matters set forth above. However, the outcome of litigation is inherently uncertain. Therefore, although management considers the likelihood of such an outcome to be remote, if one or more of these legal matters were resolved against us in the same reporting period for amounts in excess of management's expectations, our condensed consolidated financial statements of a particular reporting period could be materially adversely affected.
We are also party to various legal proceedings and claims that arise in the ordinary course of business. Among these pending legal matters, one case is currently scheduled for trial in the near future.
Rembrandt Social Media, LP v. Facebook, Inc., et al
., is scheduled to begin trial on December 10, 2013, in the U.S. District Court for the Eastern District of Virginia. In the
Rembrandt
case, the plaintiff alleges that we infringe certain patents held by the plaintiff. The plaintiff is seeking significant monetary damages and equitable relief.
We believe the claims made by the plaintiff in the
Rembrandt
case are without merit, and we intend to defend ourselves vigorously. Because the outcome of litigation is inherently uncertain, we believe it is reasonably possible that we may incur a loss in connection with this matter. However, we do not believe such a loss is probable and we are unable to estimate a reasonable range of loss, if any, that could result were there to be an adverse final decision, and we therefore have not accrued a liability for this matter. If an unfavorable outcome were to occur in this case, it is possible that the impact could be material to our results of operations in the period(s) in which any such outcome becomes probable and estimable.
Note 10.
Stockholders' Equity
Share-based Compensation Plans
We maintain
three
share-based employee compensation plans: the 2012 Equity Incentive Plan (2012 Plan), the 2005 Stock Plan and the 2005 Officers' Stock Plan (collectively, Stock Plans). Our 2012 Plan serves as the successor to our 2005 Stock Plan and provides for the issuance of incentive and nonstatutory stock options, restricted stock awards, stock appreciation rights, RSUs, performance shares and stock bonuses to qualified employees, directors and consultants. The maximum term for stock options granted under the 2012 Plan may not exceed
ten years
from the date of grant. Our 2012 Plan will terminate
ten years
from the date of approval unless it is terminated earlier by our compensation committee. We have initially reserved
25,000,000
shares of our Class A common stock for issuance under our 2012 Plan, which amount increases on the first day of January of each of
2013
through
2022
based on a formula or as determined by the board of directors. Our board of directors elected not to increase the number of shares reserved for issuance in 2013. In addition, shares available for grant under the 2005 Stock Plan, which were reserved but not issued or subject to outstanding awards under the 2005 Stock Plan as of the effective date of our IPO, were added to the reserves of the 2012 Plan and shares that are withheld in connection with the net settlement of RSUs are also added to the reserves of the 2012 Plan.
In November 2005, we issued a nonstatutory stock option to our CEO to purchase
120,000,000
shares of our Class B common stock under the 2005 Officers' Stock Plan. As of
September 30, 2013
, the option had been partially exercised and the remaining option to purchase
60,000,000
shares is outstanding and fully vested. This option will expire on November 7, 2015. No options were available for future issuance under the 2005 Officers' Stock Plan.
18
The following table summarizes the stock option activity under the Stock Plans during the
nine
months ended
September 30, 2013
:
Shares Subject to Options Outstanding
Number of
Shares
Weighted
Average
Exercise
Price
Weighted-
Average
Remaining
Contractual
Term
Aggregate
Intrinsic
Value
(1)
(in thousands)
(in years)
(in millions)
Balance as of December 31, 2012
122,821
$
0.85
3.79
$
3,166
Stock options exercised
(38,293
)
0.54
Stock options forfeited/cancelled
(216
)
1.85
Balance as of September 30, 2013
84,312
$
0.99
2.89
$
4,152
Stock options vested and expected to vest as of September 30, 2013
84,287
$
0.99
2.89
$
4,151
Stock options exercisable as of September 30, 2013
78,593
$
0.37
2.62
$
3,920
(1)
The aggregate intrinsic value is calculated as the difference between the exercise price of the underlying stock option awards and the closing price of our Class A common stock of
$50.23
on
September 30, 2013
.
The aggregate intrinsic value of the options exercised was
$586 million
and
$1.17 billion
for the
three and nine
months ended
September 30, 2013
, respectively, and
$10 million
and
$2.99 billion
for the
three and nine
months ended
September 30, 2012
, respectively.
The following table summarizes the activities for our unvested RSUs for the
nine
months ended
September 30, 2013
:
Unvested RSUs
Number of Shares
Weighted Average Grant Date Fair Value
(in thousands)
Unvested at December 31, 2012
113,044
$
21.38
Granted
49,048
28.14
Vested
(39,523
)
16.37
Forfeited
(11,375
)
24.11
Unvested at September 30, 2013
111,194
$
25.87
As of
September 30, 2013
, there was
$2.85 billion
of unrecognized share-based compensation expense, of which
$2.53 billion
is related to RSUs and
$320 million
is related to restricted shares and stock options. This unrecognized compensation expense is expected to be recognized over a weighted-average period of approximately
three years
.
19
Note 11.
Income Taxes
Our tax provision for interim periods is determined using an estimate of our annual effective tax rate, adjusted for discrete items arising in that quarter. In each quarter we update our estimate of the annual effective tax rate, and if our estimated annual tax rate changes, we make a cumulative adjustment in that quarter. Our quarterly tax provision, and our quarterly estimate of our annual effective tax rate, are subject to significant volatility due to several factors, including our ability to accurately predict our income (loss) before provision for income taxes in multiple jurisdictions, including the portions of our share-based compensation that will not generate tax benefits, and the effects of acquisitions and the integration of those acquisitions. In addition, our effective tax rate can be more or less volatile based on the amount of income before provision for income taxes. For example, the effect of non-deductible share-based compensation expense on our effective tax rate is significantly greater when our income before provision for income taxes is lower.
Our effective tax rate has exceeded the U.S. statutory rate primarily because of the effect of non-deductible share-based compensation and losses arising outside the United States in jurisdictions where we do not receive a tax benefit. These losses were primarily due to the initial start-up costs incurred by our foreign subsidiaries to operate in certain foreign jurisdictions, including the costs incurred by those subsidiaries to license, develop, and use our intellectual property. Our effective tax rate in the future will depend on the portion of our profits earned within and outside the United States, which will also be affected by our methodologies for valuing our intellectual property and intercompany transactions.
For the
nine
months ended
September 30, 2013
, the effect of the non-deductible share-based compensation expense and losses arising outside the United States in jurisdictions where we do not receive a tax benefit was largely offset by the recognition of a non-recurring tax benefit that we recorded in the first quarter of 2013 related to the reinstatement of the federal tax credit for research and development activities applicable to the year ended
December 31, 2012
.
We are subject to taxation in the United States and various other state and foreign jurisdictions. The material jurisdictions in which we are subject to potential examination include the United States and Ireland. We are under examination by the Internal Revenue Service (IRS) for our 2008, 2009 and 2010 tax years. We believe that adequate amounts have been reserved for any adjustments that may ultimately result from these examinations, and we do not anticipate a significant impact to our gross unrecognized tax benefits within the next 12 months related to these years. Our 2011 and subsequent tax years remain subject to examination by the IRS and all tax years starting in 2008 remain subject to examination in Ireland. We remain subject to possible examinations or are undergoing audits in various other jurisdictions that are not anticipated to be material to our financial statements.
Our balances of gross unrecognized tax benefits were
$751 million
and
$164 million
as of
September 30, 2013
and
December 31, 2012
, respectively. If the remaining balance of gross unrecognized tax benefits as of
September 30, 2013
is realized in a future period, this would result in a tax benefit of
$450 million
within our provision of income taxes at such time. Our existing tax positions will continue to generate an increase in unrecognized tax benefits in future periods.
Although the timing of the resolution, settlement, and closure of any audit is highly uncertain, it is reasonably possible that the balance of gross unrecognized tax benefits could significantly change in the next 12 months. However, given the number of years remaining that are subject to examination, we are unable to estimate the full range of possible adjustments to the balance of gross unrecognized tax benefits.
20
Note 12.
Geographical Information
Revenue by geography is based on the billing address of the marketer or Platform developer. The following tables set forth revenue and long-lived assets by geographic area (in millions):
Three Months Ended September 30,
Nine Months Ended September 30,
2013
2012
2013
2012
Revenue:
United States
$
940
$
665
$
2,438
$
1,789
Rest of the world
(1)
1,076
597
2,848
1,715
Total revenue
$
2,016
$
1,262
$
5,286
$
3,504
(1)
No individual country, other than disclosed above, exceeded 10% of our total revenue for any period presented
September 30,
2013
December 31,
2012
Long-lived assets:
United States
$
2,206
$
2,110
Sweden
395
220
Rest of the world
(1)
84
61
Total long-lived assets
$
2,685
$
2,391
(1)
No individual country, other than disclosed above, exceeded 10% of our total long-lived assets for any period presented
21
Item 2.
Management's Discussion and Analysis of Financial Condition and Results of Operations
You should read the following discussion of our financial condition and results of operations in conjunction with the condensed consolidated financial statements and the notes thereto included elsewhere in this Quarterly Report on Form 10-Q and with our audited consolidated financial statements included in our Annual Report on Form 10-K for the year ended December 31, 2012, as filed with the Securities and Exchange Commission. In addition to historical condensed consolidated financial information, the following discussion contains forward-looking statements that reflect our plans, estimates, and beliefs. Our actual results could differ materially from those discussed in the forward-looking statements. Factors that could cause or contribute to these differences include those discussed below and elsewhere in this Quarterly Report on Form 10-Q, particularly in Part II, Item 1A. "Risk Factors." For a discussion of limitations in the measurement of certain of our user metrics, see the section entitled "Limitations of Key Metrics and Other Data" in this Quarterly Report on Form 10-Q.
Overview
Our mission is to give people the power to share and make the world more open and connected.
We build products that support our mission by creating utility for users, developers, and marketers:
Users.
We enable people who use Facebook to stay connected with their friends and family, to discover what is going on in the world around them, and to share and express what matters to them to the people they care about.
Developers.
We enable developers to use the Facebook Platform to build applications (apps) and websites that integrate with Facebook to reach our global network of users and to build products that are more personalized, social, and engaging.
Marketers.
We enable marketers to engage with more than
one billion
monthly active users on Facebook or subsets of our users based on information they have chosen to share with us such as their age, location, gender, or interests. We offer marketers a unique combination of reach, relevance, social context, and engagement to enhance the value of their ads.
We generate substantially all of our revenue from advertising and from fees associated with our Payments infrastructure that enables users to purchase virtual and digital goods from our Platform developers. In the
third
quarter of
2013
, we recorded revenue of
$2,016 million
, income from operations of
$736 million
and net income of
$425 million
. In the first
nine
months of
2013
, we recorded revenue of
$5,286 million
, income from operations of
$1,672 million
and net income of
$977 million
.
22
Trends in Our User Metrics
The numbers for our key metrics, our daily active users (DAUs), monthly active users (MAUs), mobile MAUs and average revenue per user (ARPU), and certain other metrics such as mobile DAUs and mobile-only MAUs, do not include Instagram users unless they would otherwise qualify as such users, respectively, based on their other activities on Facebook. In addition, other user engagement metrics do not include Instagram unless otherwise specifically stated.
•
Daily Active Users (DAUs).
We define a daily active user as a registered Facebook user who logged in and visited Facebook through our website or a mobile device, or took an action to share content or activity with his or her Facebook friends or connections via a third-party website or app that is integrated with Facebook, on a given day. We view DAUs, and DAUs as a percentage of MAUs, as measures of user engagement.
Note: For purposes of reporting DAUs, MAUs, and ARPU by geographic region, Europe includes all users in Russia and Turkey, Asia includes all users in Australia and New Zealand, and Rest of World includes all users in Africa, Latin America, and the Middle East.
23
Worldwide DAUs increased
25%
to
728 million
on average during
September
2013
from
584 million
during
September
2012
. We experienced growth in DAUs across major markets including Brazil, India, and the United States. Overall growth in DAUs was driven by increased mobile usage of Facebook. On average during September
2013
, the number of DAUs using personal computers decreased modestly compared to the same period in 2012. Worldwide mobile DAUs were
507 million
on average during
September
2013
.
•
Monthly Active Users (MAUs).
We define a monthly active user as a registered Facebook user who logged in and visited Facebook through our website or a mobile device, or took an action to share content or activity with his or her Facebook friends or connections via a third-party website or app that is integrated with Facebook, in the last 30 days as of the date of measurement. MAUs are a measure of the size of our global active user community.
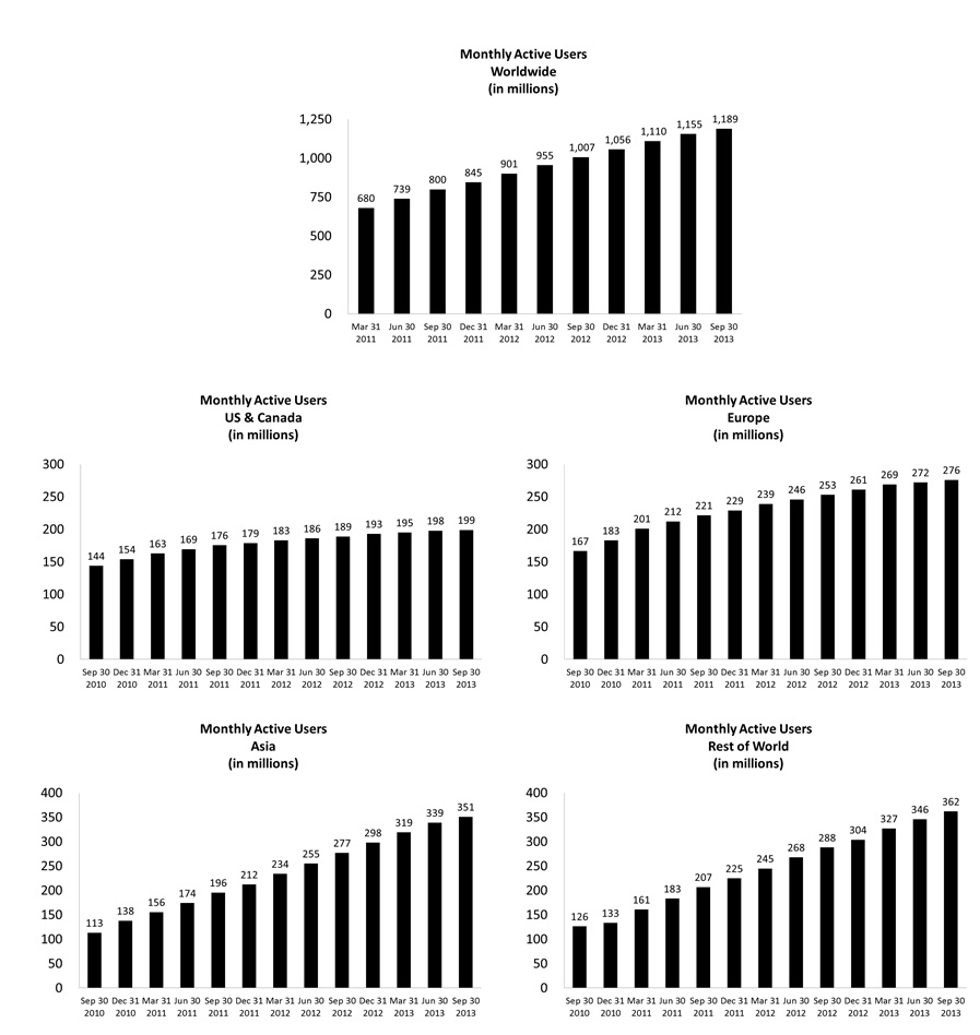
As of
September 30, 2013
, we had
1.19 billion
MAUs, an increase of
18%
from
September 30, 2012
. Users in India and Brazil represented key sources of growth in the
third
quarter of
2013
relative to the prior year.
24
•
Mobile MAUs
.
We define a mobile MAU as a user who accessed Facebook via a mobile app or via versions of our website such as m.facebook.com, whether on a mobile phone or tablet, during the period of measurement.
Worldwide mobile MAUs increased
45%
to
874 million
as of
September 30, 2013
from
604 million
as of
September 30, 2012
. In all regions, an increasing number of our MAUs are accessing Facebook through mobile devices, with users in India, Brazil, and the United States representing key sources of mobile growth over the
third
quarter of
2013
as compared to the same period in 2012. There were
254 million
mobile MAUs who accessed Facebook solely through mobile apps or our mobile website during the month ended
September 30, 2013
, increasing
102%
from
126 million
during the same period in 2012. The remaining
620 million
mobile MAUs accessed Facebook from both personal computers and mobile devices during September 2013. While most of our mobile users also access Facebook through personal computers, we anticipate that the rate of growth in mobile usage will continue to be the primary driver of our user growth for the foreseeable future and that usage through personal computers may be flat or decline worldwide, including in key markets such as the United States and other developed markets in Europe and Asia. This is in part due to our focus on developing mobile products to encourage mobile usage of Facebook.
25
Trends in Our Monetization by User Geography
We calculate our revenue by user geography based on our estimate of the geography in which ad impressions are delivered or virtual and digital goods are purchased. We define ARPU as our total revenue in a given geography during a given quarter, divided by the average of the number of MAUs in the geography at the beginning and end of the quarter. Our revenue and ARPU in regions such as United States & Canada and Europe are relatively higher due to the size and maturity of those advertising markets as well as our greater sales presence and the number of payment methods that we make available to marketers and users.
Note: Our revenue by user geography in the charts above is geographically apportioned based on our estimation of the geographic location of our users when they perform a revenue-generating activity. This allocation differs from our revenue by geography disclosure in our condensed consolidated financial statements where revenue is geographically apportioned based on the location of the marketer or developer.
26
During the
third
quarter of
2013
, worldwide ARPU was
$1.72
, an increase of
33%
from the
third
quarter of
2012
. Over this period, ARPU increased by 40% or more in each of the four geographic regions disclosed above. User growth was more rapid in geographies with relatively lower ARPU, such as Asia and Rest of World. We expect that user growth in the future will continue to be higher in those regions where ARPU is relatively lower, such as Asia and Rest of World, such that worldwide ARPU may continue to increase at a slower rate relative to ARPU in any geographic region, or potentially decrease even if ARPU increases in each geographic region.
Components of Results of Operations
Revenue
We generate substantially all of our revenue from advertising and from fees associated with our Payments infrastructure that enables users to purchase virtual and digital goods from our Platform developers.
Advertising.
Our advertising revenue is generated by displaying ad products on the Facebook website or mobile app and third-party affiliated websites or mobile apps. Marketers pay for ad products either directly or through their relationships with advertising agencies, based on the number of clicks made by our users, the number of actions taken by our users or the number of impressions delivered. We recognize revenue from the delivery of click-based ads in the period in which a user clicks on the content, and action-based ads in the period in which a user takes the action the marketer contracted for. We recognize revenue from the display of impression-based ads in the contracted period in which the impressions are delivered. Impressions are considered delivered when an ad is displayed to users. The number of ads we show is subject to methodological changes as we continue to evolve our ads business and the structure of our ads products. Whether we count the initial display only or every display of an ad as an impression is dependent on where the ad is displayed. For example, an individual ad in News Feed that is purchased on an impression basis may be displayed to users more than once during a day; however, only the initial display of the ad is considered an impression, regardless of how many times the ad is actually displayed within the News Feed to a particular user.
Payments and other fees.
We enable Payments from our users to our Platform developers. Our users can transact and make payments on the Facebook Platform by using credit cards, PayPal or other payment methods available on our website. We receive a fee from our Platform developers when users make purchases from our Platform developers using our Payments infrastructure. We recognize revenue net of amounts remitted to our Platform developers. We have mandated the use of our Payments infrastructure for game apps on Facebook, and fees related to Payments are generated almost exclusively from games. Our other fees revenue consists primarily of user Promoted Posts, our ad serving and measurement products and, to a lesser extent, Facebook Gifts revenue. Such revenue has been immaterial in recent periods.
Cost of Revenue and Operating Expenses
Cost of revenue.
Our cost of revenue consists primarily of expenses associated with the delivery and distribution of our products. These include expenses related to the operation of our data centers such as facility and server equipment depreciation, facility and server equipment rent expense, energy and bandwidth costs, support and maintenance costs, and salaries, benefits, and share-based compensation for employees on our operations teams. Cost of revenue also includes credit card and other transaction fees related to processing customer transactions.
Research and development.
Research and development expenses consist primarily of salaries, benefits, and share-based compensation for employees on our engineering and technical teams who are responsible for building new products as well as improving existing products. We expense all of our research and development costs as they are incurred.
Marketing and sales.
Our marketing and sales expenses consist primarily of salaries, benefits, and share-based compensation for our employees engaged in sales, sales support, marketing, business development, and customer service functions. Our marketing and sales expenses also include user-, developer-, and marketer-facing marketing and promotional expenditures.
General and administrative.
Our general and administrative expenses consist primarily of salaries, benefits, and share-based compensation for our executives as well as our legal, finance, human resources, corporate communications and policy, and other administrative employees. In addition, general and administrative expenses include outside consulting fees, legal and accounting services, and facilities and other supporting overhead costs. General and administrative expenses also include legal settlements and amortization of patents we acquired.
27
Results of Operations
The following table set forth our condensed consolidated statements of operations data:
Three Months Ended September 30,
Nine Months Ended September 30,
2013
2012
2013
2012
(in millions)
Revenue
$
2,016
$
1,262
$
5,286
$
3,504
Costs and expenses:
Cost of revenue
507
322
1,384
967
Research and development
369
244
1,006
1,102
Marketing and sales
233
168
704
703
General and administrative
171
151
520
717
Total costs and expenses
1,280
885
3,614
3,489
Income from operations
736
377
1,672
15
Interest and other expense, net
(10
)
(5
)
(48
)
(26
)
Income (loss) before provision for income taxes
726
372
1,624
(11
)
Provision for income taxes
301
431
647
—
Net income (loss)
$
425
$
(59
)
$
977
$
(11
)
Share-based compensation expense included in costs and expenses:
Three Months Ended September 30,
Nine Months Ended September 30,
2013
2012
2013
2012
(in millions)
Share-based compensation expense included in costs and expenses:
Cost of revenue
$
12
$
8
$
31
$
79
Research and development
164
114
432
719
Marketing and sales
34
28
91
279
General and administrative
29
29
79
311
Total share-based compensation expense
$
239
$
179
$
633
$
1,388
28
The following table set forth our condensed consolidated statements of operations data (as a percentage of revenue):
Three Months Ended September 30,
Nine Months Ended September 30,
2013
2012
2013
2012
Revenue
100
%
100
%
100
%
100
%
Costs and expenses:
Cost of revenue
25
%
26
%
26
%
28
%
Research and development
18
%
19
%
19
%
31
%
Marketing and sales
12
%
13
%
13
%
20
%
General and administrative
8
%
12
%
10
%
20
%
Total costs and expenses
63
%
70
%
68
%
100
%
Income from operations
37
%
30
%
32
%
—
%
Interest and other expense, net
—
%
—
%
(1
)%
(1
)%
Income (loss) before provision for income taxes
36
%
29
%
31
%
—
%
Provision for income taxes
15
%
34
%
12
%
—
%
Net income (loss)
21
%
(5
)%
18
%
—
%
Share-based compensation expense included in costs and expenses (as a percentage of revenue):
Three Months Ended September 30,
Nine Months Ended September 30,
2013
2012
2013
2012
Cost of revenue
1
%
1
%
1
%
2
%
Research and development
8
9
8
21
Marketing and sales
2
2
2
8
General and administrative
1
2
1
9
Total share-based compensation expense
12
%
14
%
12
%
40
%
Three and Nine Months Ended
September 30, 2013
and
2012
Revenue
Three Months Ended September 30,
Nine Months Ended September 30,
2013
2012
%
change
2013
2012
%
change
(in millions, except for percentages)
Revenue:
Advertising
$
1,798
$
1,086
66
%
$
4,641
$
2,950
57
%
Payments and other fees
218
176
24
%
645
554
16
%
Total revenue
$
2,016
$
1,262
60
%
$
5,286
$
3,504
51
%
Revenue in the
third
quarter and the first
nine
months of
2013
increased
$754 million
, or
60%
, and
$1,782 million
, or
51%
, respectively, compared to the same periods in
2012
. The increases were due primarily to increases in advertising revenue.
Advertising revenue increased
$712 million
, or
66%
, and $
1,691 million
, or
57%
, in the
third
quarter and the first
nine
months of
2013
, respectively, compared to the same periods in 2012. Advertising revenue grew due to a 16% and 32% increase in the number of ads delivered during the
third
quarter and the first
nine
months of
2013
, respectively, and a 42% and 19% increase in the average price per ad as compared to those same periods in 2012. The most important factor driving advertising revenue growth in these periods was an increase in revenue from ads in News Feed on both mobile devices and personal computers. News Feed ads are displayed more prominently, have significantly higher levels of engagement and a higher price per ad relative to our other ad placements. For the
third
quarter and the first
nine
months of
2013
, we estimate that advertising revenue from News Feed ads on mobile devices represented approximately
49%
and
41%
, respectively, of total advertising revenue, as compared with approximately
14%
and
6%
in the same periods in 2012. Revenue from News Feed ads on mobile devices increased 33% compared
29
to the second quarter of 2013 due to increases in: the average price per mobile ad; the number of mobile users; and the number of ads shown per mobile user.
Other factors that influenced our advertising revenue growth and advertising price and volume trends in these periods included: (i) an increase in the number of marketers actively advertising on Facebook which we believe increased demand for our ads; (ii)
25%
growth in average DAUs and
18%
growth in MAUs from
September 30, 2012
to
September 30, 2013
, which increased the number of ads we delivered; (iii) an increase in the number of ads displayed in News Feed on both mobile devices and personal computers; and (iv) other product changes, including our decision in the fourth quarter of 2012 to lower our market reserve price, i.e. the minimum price threshold accepted in our ads auction. We believe the reserve price change significantly increased the number of ads delivered and reduced the average price per ad, and overall had a modest positive effect on revenue in the 2013 periods.
Payments and other fees revenue in the
third
quarter and the first
nine
months of
2013
increased
$42 million
, or
24%
, and
$91 million
, or
16%
, respectively, compared to the same periods in
2012
. The increase in Payments and other fees revenue is a result of increased Payments revenue from games played on Facebook on personal computers, and to a lesser extent, the inclusion of other fees revenue in
2013
from user Promoted Posts, our ad serving and measurement products, and Facebook Gifts.
Cost of revenue
Three Months Ended September 30,
Nine Months Ended September 30,
2013
2012
%
change
2013
2012
%
change
(in millions, except for percentages)
Cost of revenue
$
507
$
322
57
%
$
1,384
$
967
43
%
Percentage of revenue
25
%
26
%
26
%
28
%
Cost of revenue in the
third
quarter and the first
nine
months of
2013
increased
$185 million
, or
57%
, and
$417 million
, or
43%
, respectively, compared to the same periods in
2012
. The increases in both periods were primarily due to operational expenses related to expanding our own data centers, including $85 million and $230 million increases in depreciation for the
third
quarter and the first
nine
months of
2013
, respectively. In addition, we recognized
$43 million
and
$108 million
of lease abandonment expense in the
third
quarter and the first
nine
months of
2013
, respectively, primarily due to exiting certain leased data centers resulting from the migration of operations to our own data centers. In the event that circumstances change such that we decide to re-occupy and utilize any of these abandoned data centers, we would reverse the remaining lease abandonment liability associated with those facilities. The increase in cost of revenue for the first
nine
months of
2013
was partially offset by a $
48 million
decrease in share-based compensation expense compared to the same period in 2012 mainly due to the recognition of expense in the prior period related to RSUs granted prior to January 1, 2011 (Pre-2011 RSUs) as a result of our IPO in May 2012.
Research and development
Three Months Ended September 30,
Nine Months Ended September 30,
2013
2012
%
change
2013
2012
%
change
(in millions, except for percentages)
Research and development
$
369
$
244
51
%
$
1,006
$
1,102
(9
)%
Percentage of revenue
18
%
19
%
19
%
31
%
Research and development expense increased
$125 million
, or
51%
, in the
third
quarter of
2013
and decreased
$96 million
, or
9%
, in the first
nine
months of
2013
compared to the same periods in
2012
. The increase in the
third
quarter of
2013
was primarily due to an increase in payroll and benefits expense resulting from a
46%
growth in employee headcount from September 30, 2012 to September 30, 2013 in engineering and other technical functions. Additionally, share-based compensation expense increased $
50 million
in the
third
quarter of
2013
compared to the same period in
2012
. The decrease in the first
nine
months of
2013
was due to a $
287 million
decrease in share-based compensation expense compared to the same period in
2012
resulting from the recognition of expense in the prior period related to Pre-2011 RSUs as a result of our IPO in May 2012. This decrease was mostly offset by an increase in payroll and benefits expense resulting from a
46%
growth in employee headcount from September 30, 2012 to September 30, 2013 in engineering and other technical functions. This investment supported our efforts to improve existing products and build new products for users, developers, and marketers.
30
Marketing and sales
Three Months Ended September 30,
Nine Months Ended September 30,
2013
2012
%
change
2013
2012
%
change
(in millions, except for percentages)
Marketing and sales
$
233
$
168
39%
$
704
$
703
—%
Percentage of revenue
12
%
13
%
13
%
20
%
Marketing and sales expenses increased
$65 million
, or
39%
, for the
third
quarter of 2013 and were flat for the first
nine
months of
2013
compared to the same periods in
2012
. The increase in the
third
quarter of 2013 was primarily due to an increase in payroll and benefits expenses resulting from a
27%
increase in employee headcount from September 30, 2012 to September 30, 2013 to support global sales, business development and customer service. Additionally, our user-, developer-, and marketer-facing marketing and share-based compensation expenses increased $16 million and $
6 million
, respectively, in the
third
quarter of 2013 compared to the same period in 2012. Marketing and sales expenses for the first
nine
months of
2013
were flat compared to the same period in
2012
. Our user-, developer-, and marketer-facing marketing expenses and payroll and benefits expense increased due to a
27%
increase in employee headcount in the first
nine
months of
2013
when compared to the same period in
2012
. These increases were offset by a $
188 million
decrease in share-based compensation expense for the first
nine
months of
2013
compared to the same period in
2012
mainly due to the recognition of expense in the prior period related to Pre-2011 RSUs as a result of our IPO in May 2012.
General and administrative
Three Months Ended September 30,
Nine Months Ended September 30,
2013
2012
%
change
2013
2012
%
change
(in millions, except for percentages)
General and administrative
$
171
$
151
13
%
$
520
$
717
(27
)%
Percentage of revenue
8
%
12
%
10
%
20
%
General and administrative expenses increased
$20 million
, or
13%
, in the
third
quarter of
2013
and decreased
$197 million
, or
27%
, in the first
nine
months of
2013
compared to the same periods in
2012
. The increase in the
third
quarter of
2013
was primarily due to an increase in payroll and benefits expenses resulting from a
20%
increase in employee headcount from September 30, 2012 to September 30, 2013 in recruiting, information technology and other functions, partially offset by a decrease in legal-related expenses. The decrease in the first
nine
months of
2013
was primarily due to a $
232 million
decrease in share-based compensation expense for the first
nine
months of
2013
compared to the same period in
2012
mainly due to the recognition of expense in the prior period related to Pre-2011 RSUs as a result of our IPO in May 2012. The decrease was partially offset by an increase in amortization of acquired patents.
Interest and other expense, net
Three Months Ended September 30,
Nine Months Ended September 30,
2013
2012
%
change
2013
2012
%
change
(in millions, except for percentages)
Interest expense
$
(21
)
$
(11
)
91
%
$
(50
)
$
(35
)
43
%
Other income, net
11
6
83
%
2
9
(78
)%
Interest and other expense, net
$
(10
)
$
(5
)
100
%
$
(48
)
$
(26
)
85
%
Interest and other expense, net increased
$5 million
in the
third
quarter of
2013
and
$22 million
in the first
nine
months of
2013
compared to the same periods in
2012
. Interest expense increased $
10 million
and
$15 million
in the
third
quarter and the first
nine
months of
2013
, respectively, primarily due to interest on the $1.5 billion term loan that was drawn down in the fourth quarter of 2012 and fully repaid in August 2013. Other income, net in the
third
quarter of
2013
increased $
5 million
compared to the same period in
2012
primarily due to a foreign exchange gain recognized in the
third
quarter of
2013
resulting from the periodic re-measurement of our foreign currency balances. Other income, net in the first
nine
months of
2013
decreased $
7 million
compared
31
to the same period in 2012 primarily due to an increase in foreign exchange loss resulting from the periodic re-measurement of our foreign currency balances, offset by an increase in interest income resulting from higher invested cash balances.
Provision for income taxes
Three Months Ended September 30,
Nine Months Ended September 30,
2013
2012
%
change
2013
2012
%
change
(in millions, except for percentages)
Provision for income taxes
$
301
$
431
(30
)%
$
647
$
—
NM
Effective tax rate
41
%
116
%
40
%
—
%
Our provision for income taxes in the
third
quarter of
2013
and
2012
was
$301 million
and
$431 million
, respectively, and
$647 million
for the first
nine
months of
2013
. There was no provision for income taxes for the first
nine
months of
2012
. The change in our provision for income taxes is primarily due to an increase in income before income taxes in the
third
quarter and the first
nine
months of
2013
.
Our effective tax rate decreased in the
third
quarter
2013
compared to the same period in 2012 primarily due to the increase in income before income taxes and a reduction in the amount of non-deductible share-based compensation expense that was recognized. A comparison of our effective tax rate for the first nine months of 2013 to the same period in 2012 is not meaningful since our provision for income taxes and effective tax rate were both zero in the same period in 2012.
Our effective tax rate has exceeded the U.S. statutory rate primarily because of the impact of non-deductible share-based compensation expense and losses arising outside the United States in jurisdictions where we do not receive a tax benefit. These losses were primarily due to the initial start-up costs incurred by our foreign subsidiaries to operate in certain foreign jurisdictions, including the costs incurred by those subsidiaries to license, develop, and use our intellectual property. Our effective tax rate in the future will depend on the portion of our profits earned within and outside the United States, which will also be affected by our methodologies for valuing our intellectual property and intercompany transactions.
Liquidity and Capital Resources
Our principal sources of liquidity are our cash and cash equivalents, marketable securities, and cash generated from operations. Cash and cash equivalents and marketable securities consist primarily of cash on deposit with banks and investments in money market funds and U.S. government and U.S. government agency securities. Cash and cash equivalents and marketable securities were
$9.33 billion
as of
September 30, 2013
, a decrease of
$298 million
from
December 31, 2012
, primarily due to the repayment of our
$1.5 billion
term loan. In addition, we used
$879 million
for purchases of property and equipment,
$706 million
for tax payments related to net share settlement of equity awards,
$291 million
for principal payments on capital lease transactions and
$237 million
for acquisitions of businesses and other assets. These decreases were partially offset by
$2.99 billion
of cash generated from operations which included the receipt of an income tax refund of $
419 million
.
Beginning in 2014, we intend to fund withholding taxes due on employee equity awards by requiring employees to sell shares of our common stock to cover such taxes upon vesting of such awards (sell-to-cover), rather than our current approach of net share settlement. We expect this sell-to-cover approach will reduce our cash outflows.
We currently anticipate that our available funds, credit facilities, and cash flow from operations will be sufficient to meet our operational cash needs for the foreseeable future.
In August 2013, in connection with the termination of our existing credit facilities, we entered into a
five
-year senior unsecured revolving credit facility (2013 Revolving Credit Facility) that allows us to borrow up to
$6.5 billion
to fund working capital and general corporate purposes with interest payable on the borrowed amounts set at
LIBOR
plus
1.0%
, as well as an annual commitment fee of
0.10%
on the daily undrawn balance of the facility. We paid origination fees at closing of the 2013 Revolving Credit Facility, which fees are being amortized over the term of the facility. Any amounts outstanding under this facility will be due and payable on August 15, 2018. As of
September 30, 2013
, no amounts had been drawn down and we were in compliance with the covenants under this credit facility. See Note 8 in the notes to the condensed consolidated financial statements included in Part I, Item 1 for additional detail.
As of
September 30, 2013
,
$531 million
of the
$9.33 billion
in cash and cash equivalents and marketable securities was held by our foreign subsidiaries. We have provided for the additional taxes that would be due if we repatriated these funds for use in our operations in the United States.
32
Cash Provided by Operating Activities
Cash flow from operating activities during the first
nine
months of
2013
primarily consisted of net income, adjusted for certain non-cash items, including total depreciation and amortization of
$737 million
and share-based compensation expense of
$633 million
, and the receipt of an income tax refund of $
419 million
. The increase in cash flow from operating activities during the first
nine
months of
2013
compared to the same period in
2012
was mainly due to an increase in net income, as adjusted for certain non-cash items, and the receipt of an income tax refund of $
419 million
.
Cash Used in Investing Activities
Cash used in investing activities during the first
nine
months of
2013
primarily resulted from
$879 million
for capital expenditures related to the purchase of servers, networking equipment, storage infrastructure, and the construction of data centers and buildings,
$237 million
for acquisitions of businesses and other assets, such as patents, partially offset by
$1.02 billion
of net sales and maturities of marketable securities. The decrease in cash used in investing activities during the first
nine
months of
2013
compared to the same period in
2012
was mainly due to proceeds from
$1.02 billion
in net sales and maturities of marketable securities in the first
nine
months of
2013
compared to use of
$5.61 billion
from net purchases of marketable securities in the same period in 2012. In addition, we used less cash to acquire businesses and other assets in the first
nine
months of
2013
compared to the same period in
2012
.
We anticipate making capital expenditures in 2013 of approximately $1.4 billion.
Cash (Used in) Provided by Financing Activities
Cash used in financing activities was
$2.19 billion
for the first
nine
months of
2013
, primarily resulted from
$1.5 billion
for repayment of debt and $
706 million
of tax payments related to the net share settlement of equity awards. Because our RSUs granted on or after January 1, 2011 only began to settle in 2013, the total tax payments of $
706 million
included approximately $185 million related to RSUs that vested prior to 2013 but were not settled until the first quarter of 2013.
Cash provided by financing activities was
$7.6 billion
for the first
nine
months of
2012
primarily related to
$6.76 billion
in net proceeds from our IPO.
Off-Balance Sheet Arrangements
We did not have any off-balance sheet arrangements as of
September 30, 2013
.
Contractual Obligations
There were no material changes in our commitments under contractual obligations, as disclosed in our Annual Report on Form 10-K for the fiscal year ended
December 31, 2012
, other than the repayment of our
$1.5 billion
term loan.
Contingencies
We are involved in claims, lawsuits, government investigations, and proceedings. We record a provision for a liability when we believe that it is both probable that a liability has been incurred, and that the amount can be reasonably estimated. Significant judgment is required to determine both probability and the estimated amount. Such legal proceedings are inherently unpredictable and subject to significant uncertainties, some of which are beyond our control. Should any of these estimates and assumptions change or prove to be incorrect, it could have a material impact on our results of operations, financial position, and cash flows.
See Note 9 in the notes to the condensed consolidated financial statements included in Part I, Item 1 and "Legal Proceedings" contained in Part II, Item 1 of this Quarterly Report on Form 10-Q for additional information regarding contingencies.
Critical Accounting Policies and Estimates
Our condensed consolidated financial statements are prepared in accordance with U.S. generally accepted accounting principles (GAAP). The preparation of these condensed consolidated financial statements requires us to make estimates and assumptions that affect the reported amounts of assets, liabilities, revenue, costs and expenses, and related disclosures. These estimates form the basis for judgments we make about the carrying values of our assets and liabilities, which are not readily apparent from other sources. We base our estimates and judgments on historical experience and on various other assumptions that we believe are reasonable under the circumstances. On an ongoing basis, we evaluate our estimates and assumptions. Our actual results may differ from these estimates under different assumptions or conditions.
33
We believe that the assumptions and estimates associated with revenue recognition for Payments and other fees, income taxes and share-based compensation have the greatest potential impact on our condensed consolidated financial statements. Therefore, we consider these to be our critical accounting policies and estimates.
There have been no material changes to our critical accounting policies and estimates as compared to the critical accounting policies and estimates described in our Annual Report on Form 10-K for the fiscal year ended
December 31, 2012
.
Item 3.
Quantitative and Qualitative Disclosures About Market Risk
We are exposed to market risks, including changes to foreign currency exchange rates, interest rates, and inflation.
Foreign Currency Exchange Risk
We have foreign currency risks related to our revenue and operating expenses denominated in currencies other than the U.S. dollar, primarily the Euro. In general, we are a net receiver of currencies other than the U.S. dollar. Accordingly, changes in exchange rates, and in particular a strengthening of the U.S. dollar, will negatively affect our revenue and other operating results as expressed in U.S. dollars.
We have experienced and will continue to experience fluctuations in our net income (loss) as a result of transaction gains or losses related to revaluing certain current asset and current liability balances that are denominated in currencies other than the functional currency of the entities in which they are recorded. At this time we have not entered into, but in the future we may enter into, derivatives or other financial instruments in an attempt to hedge our foreign currency exchange risk. It is difficult to predict the effect hedging activities would have on our results of operations. We recognized foreign currency gains of
$6 million
in the three months ended
September 30, 2013
and foreign currency losses of
$13 million
,
$1 million
, and
$4 million
in the nine months ended
September 30, 2013
and the three and nine months ended September 30,
2012
, respectively.
Interest Rate Sensitivity
Our exposure to changes in interest rates relates primarily to interest earned and market value on our cash and cash equivalents and marketable securities and interest paid on our long-term debt.
Our cash and cash equivalents and marketable securities consist of cash, certificates of deposit, time deposits, money market funds and U.S. government and U.S. government agency securities. Our investment policy and strategy are focused on preservation of capital and supporting our liquidity requirements. Changes in U.S. interest rates affect the interest earned on our cash and cash equivalents and marketable securities and the market value of those securities. A hypothetical 100 basis point increase in interest rates would result in a decrease of approximately
$57 million
and
$55 million
in the market value of our available-for-sale debt securities as of
September 30, 2013
and
December 31, 2012
, respectively. Any realized gains or losses resulting from such interest rate changes would only occur if we sold the investments prior to maturity.
Item 4.
Controls and Procedures
Evaluation of Disclosure Controls and Procedures
Our management, with the participation of our CEO and CFO, has evaluated the effectiveness of our disclosure controls and procedures (as defined in Rules 13a-15(e) and 15d-15(e) under the Securities Exchange Act of 1934, as amended (Exchange Act)), as of the end of the period covered by this Quarterly Report on Form 10-Q. Based on such evaluation, our CEO and CFO have concluded that as of such date, our disclosure controls and procedures were effective.
Changes in Internal Control
There were no changes in our internal control over financial reporting identified in management's evaluation pursuant to Rules 13a-15(d) or 15d-15(d) of the Exchange Act during the period covered by this Quarterly Report on Form 10-Q that materially affected, or are reasonably likely to materially affect, our internal control over financial reporting.
Limitations on Effectiveness of Controls and Procedures
In designing and evaluating the disclosure controls and procedures, management recognizes that any controls and procedures, no matter how well designed and operated, can provide only reasonable assurance of achieving the desired control objectives. In addition, the design of disclosure controls and procedures must reflect the fact that there are resource constraints and that management is required to apply judgment in evaluating the benefits of possible controls and procedures relative to their costs.
34
PART II—OTHER INFORMATION
Item 1.
Legal Proceedings
Paul D. Ceglia filed suit against us and Mark Zuckerberg on or about June 30, 2010, in the Supreme Court of the State of New York for the County of Allegheny, claiming substantial ownership of our company based on a purported contract between Mr. Ceglia and Mr. Zuckerberg allegedly entered into in April 2003. We removed the case to the U.S. District Court for the Western District of New York, where the case is now pending. In his first amended complaint, filed on April 11, 2011, Mr. Ceglia revised his claims to include an alleged partnership with Mr. Zuckerberg, he revised his claims for relief to seek a substantial share of Mr. Zuckerberg's ownership in us, and he included quotations from supposed emails that he claims to have exchanged with Mr. Zuckerberg in 2003 and 2004. On March 26, 2012, we filed a motion to dismiss Mr. Ceglia's complaint and a motion for judgment on the pleadings.
On March 26, 2013, the magistrate judge overseeing the matter issued a report recommending that the court grant our motion to dismiss and that it deny as moot our motion for judgment on the pleadings.
We continue to believe that Mr. Ceglia is attempting to perpetrate a fraud on the court and we intend to continue to defend the case vigorously.
Beginning on May 22, 2012, multiple putative class actions, derivative actions, and individual actions were filed in state and federal courts in the United States and in other jurisdictions against us, our directors, and/or certain of our officers alleging violation of securities laws or breach of fiduciary duties in connection with our initial public offering (IPO) and seeking unspecified damages. We believe these lawsuits are without merit, and we intend to continue to vigorously defend them. On October 4, 2012, on our motion, the vast majority of the cases in the United States, along with multiple cases filed against The NASDAQ OMX Group, Inc. and The Nasdaq Stock Market LLC (collectively referred to herein as NASDAQ) alleging technical and other trading-related errors by NASDAQ in connection with our IPO, were ordered centralized for coordinated or consolidated pre-trial proceedings in the United States District Court for the Southern District of New York. On February 13, 2013, the court granted our motion to dismiss four derivative actions against our directors and certain of our officers with leave to amend. On October 8, 2013, the court heard argument on our motion to dismiss the consolidated securities class action, as well as our motion to dismiss, and the plaintiffs' motion to remand to state court, certain other derivative actions. In addition, the events surrounding our IPO have become the subject of various government inquiries, and we are cooperating with those inquiries. Any such inquiries could subject us to substantial costs, divert resources and the attention of management from our business, and adversely affect our business.
We are also party to various legal proceedings and claims that arise in the ordinary course of business. Among these pending legal matters, one case is currently scheduled for trial in the near future.
Rembrandt Social Media, LP v. Facebook, Inc., et al.
, is scheduled to begin trial on December 10, 2013, in the U.S. District Court for the Eastern District of Virginia. In the
Rembrandt
case, the plaintiff alleges that we infringe certain patents held by the plaintiff. The plaintiff is seeking significant monetary damages and equitable relief.
We believe the claims made by the plaintiff in the
Rembrandt
case are without merit, and we intend to defend ourselves vigorously. Because the outcome of litigation is inherently uncertain, we believe it is reasonably possible that we may incur a loss in connection with this matter. However, we do not believe such a loss is probable and we are unable to estimate a reasonable range of loss, if any, that could result were there to be an adverse final decision, and we therefore have not accrued a liability for this matter. If an unfavorable outcome were to occur in this case, it is possible that the impact could be material to our results of operations in the period(s) in which any such outcome becomes probable and estimable.
In addition, we are also currently parties to multiple other lawsuits related to our products, including other patent infringement lawsuits as well as class action lawsuits brought by users and marketers, and we may in the future be subject to additional lawsuits and disputes. We are also involved in other claims, government investigations, and proceedings arising from the ordinary course of our business. Although the results of these other lawsuits, claims, government investigations, and proceedings in which we are involved cannot be predicted with certainty, we do not believe that the final outcome of these other matters will have a material adverse effect on our business, financial condition, or results of operations.
35
Item 1A.
Risk Factors
Certain factors may have a material adverse effect on our business, financial condition, and results of operations. You should consider carefully the risks and uncertainties described below, in addition to other information contained in this Quarterly Report on Form 10-Q, including our condensed consolidated financial statements and related notes. The risks and uncertainties described below are not the only ones we face. Additional risks and uncertainties that we are unaware of, or that we currently believe are not material, may also become important factors that adversely affect our business. If any of the following risks actually occurs, our business, financial condition, results of operations, and future prospects could be materially and adversely affected. In that event, the trading price of our Class A common stock could decline, and you could lose part or all of your investment.
Risks Related to Our Business and Industry
If we fail to retain existing users or add new users, or if our users decrease their level of engagement with Facebook, our revenue, financial results, and business may be significantly harmed.
The size of our user base and our users' level of engagement are critical to our success. Our financial performance has been and will continue to be significantly determined by our success in adding, retaining, and engaging active users. We anticipate that our active user growth rate will decline over time as the size of our active user base increases, and as we achieve higher market penetration rates. To the extent our active user growth rate slows, our business performance will become increasingly dependent on our ability to maintain or increase levels of user engagement and monetization. If people do not perceive our products to be useful, reliable, and trustworthy, we may not be able to attract or retain users or otherwise maintain or increase the frequency and duration of their engagement. A number of other social networking companies that achieved early popularity have since seen their active user bases or levels of engagement decline, in some cases precipitously. There is no guarantee that we will not experience a similar erosion of our active user base or engagement levels. Our user engagement patterns have changed over time and can be difficult to measure, particularly as users engage increasingly via mobile devices and as we introduce new and different services. Any decrease in user retention, growth, or engagement could render Facebook less attractive to users, developers and marketers, which may have a material and adverse impact on our revenue, business, financial condition, and results of operations. Any number of factors could potentially negatively affect user retention, growth, and engagement, including if:
•
users increasingly engage with other products or activities;
•
we fail to introduce new products that users find engaging or if we introduce new products or services that are not favorably received;
•
users feel that their Facebook experience is diminished as a result of the decisions we make with respect to the frequency, prominence, and size of ads that we display, or the quality of the ads displayed;
•
user behavior on Facebook changes as a result of increasing use of mobile devices;
•
we are unable to continue to develop products for mobile devices that users find engaging, that work with a variety of mobile operating systems and networks, and that achieve a high level of market acceptance;
•
there are changes in user sentiment about the quality or usefulness of our products or concerns related to privacy and sharing, safety, security, or other factors;
•
we are unable to manage and prioritize information to ensure users are presented with content that is interesting, useful, and relevant to them;
•
users adopt new technologies where Facebook may not be featured or otherwise available;
•
there are adverse changes in our products that are mandated by legislation, regulatory authorities, or litigation, including settlements or consent decrees;
•
technical or other problems prevent us from delivering our products in a rapid and reliable manner or otherwise affect the user experience, such as any failure to prevent spam or similar content;
•
we adopt policies or procedures related to areas such as sharing or user data that are perceived negatively by our users or the general public;
•
if we elect to focus our user growth and engagement efforts more on longer-term initiatives, or if initiatives designed to attract and retain users and engagement are unsuccessful or discontinued, whether as a result of actions by us, third parties or otherwise;
36
•
we fail to provide adequate customer service to users, developers, or marketers;
•
we, our Platform developers, or other companies in our industry are the subject of adverse media reports or other negative publicity; or
•
our current or future products, such as the Facebook Platform, reduce user activity on Facebook by making it easier for our users to interact and share on third-party websites.
If we are unable to maintain or increase our user base and user engagement, our revenue and financial results may be adversely affected.
We generate a substantial majority of our revenue from advertising. The loss of marketers, or reduction in spending by marketers with Facebook, could seriously harm our business.
The substantial majority of our revenue is currently generated from third parties advertising on Facebook. For the first
nine
months of
2013
and
2012
, advertising accounted for
88%
and
84%
, respectively, of our revenue. As is common in the industry, our marketers do not have long-term advertising commitments with us. Many of our marketers spend only a relatively small portion of their overall advertising budget with us. We expect our ability to grow advertising revenue will become increasingly dependent on our ability to generate revenue from ads displayed on mobile devices. In addition, marketers may view some of our products as experimental and unproven. Marketers will not continue to do business with us, or they will reduce the prices they are willing to pay to advertise with us, if we do not deliver ads in an effective manner, or if they do not believe that their investment in advertising with us will generate a competitive return relative to other alternatives. Our advertising revenue could be adversely affected by a number of other factors, including:
•
decreases in user engagement, including time spent on Facebook;
•
our ability to continue to increase user access to and engagement with Facebook through our mobile products;
•
product changes or inventory management decisions we may make that reduce the size, frequency, or relative prominence of ads displayed on Facebook;
•
our inability to maintain or increase marketer demand, the pricing of our ads, or both;
•
differences between the pricing of our ads displayed on personal computers and mobile devices;
•
our inability to maintain or increase the quality of ads shown to users, particularly on mobile devices;
•
the accuracy of our analytics and measurement solutions that demonstrate the value of our ads, or our ability to further improve such tools;
•
decisions by marketers to use our free products, such as Facebook Pages, instead of advertising on Facebook;
•
loss of advertising market share to our competitors, including if such competitors offer lower priced or more integrated products;
•
adverse legal developments relating to advertising, including legislative and regulatory developments and developments in litigation;
•
decisions by marketers to reduce their advertising as a result of adverse media reports or other negative publicity involving us, content on Facebook, our Platform developers, or other companies in our industry;
•
our inability to create new products that sustain or increase the value of our ads;
•
the degree to which users opt out of social ads;
•
the degree to which users cease or reduce the number of times they click on our ads;
•
changes in the way online advertising is priced;
•
the impact of new technologies that could block or obscure the display of our ads; and
•
the impact of macroeconomic conditions or conditions in the advertising industry, in general.
The occurrence of any of these or other factors could result in a reduction in demand for our ads, which may reduce the
37
prices we receive for our ads, or cause marketers to stop advertising with us altogether, either of which would negatively affect our revenue and financial results.
Growth in the use of Facebook through our mobile products as a substitute for use on personal computers may negatively affect our revenue and financial results.
We had
874 million
mobile monthly active users (MAUs) in
September
2013
. While most of our mobile users also access Facebook through personal computers, we anticipate that the rate of growth in mobile usage will continue to be the primary driver of our growth for the foreseeable future and that usage through personal computers may be flat or decline. For example, during the
third
quarter of
2013
, the number of daily active users (DAUs) using personal computers decreased modestly compared to the same period in 2012. In key markets such as the United States and other developed markets in Europe and Asia, the number of DAUs using personal computers declined, while mobile DAUs continued to increase. While our mobile advertising revenue continues to grow, we monetize mobile users at a lower rate compared to users who access Facebook through personal computers and the mobile advertising market remains a new and evolving market. Approximately half of our overall advertising revenue is still generated from advertising on personal computers. In addition, we do not currently offer our Payments infrastructure to applications on mobile devices. If users increasingly access Facebook mobile products as a substitute for access through personal computers, and if we are unable to continue to grow mobile revenues or successfully monetize mobile users, or if we incur excessive expenses in these efforts, our financial performance and ability to grow revenue would be negatively affected.
Facebook user growth, engagement, and monetization on mobile devices depend upon effective operation with mobile operating systems, networks, and standards that we do not control.
There is no guarantee that popular mobile devices will continue to feature Facebook, or that mobile device users will continue to use Facebook rather than competing products. We are dependent on the interoperability of Facebook with popular mobile operating systems that we do not control, such as Android and iOS, and any changes in such systems and terms of service that degrade our products' functionality, give preferential treatment to competitive products, or prevent our ability to show ads could adversely affect Facebook usage and monetization on mobile devices. Additionally, in order to deliver high quality mobile products, it is important that our products work well with a range of mobile technologies, systems, networks, and standards that we do not control. We may not be successful in developing relationships with key participants in the mobile industry or in developing products that operate effectively with these technologies, systems, networks, or standards. In the event that it is more difficult for our users to access and use Facebook on their mobile devices, or if our users choose not to access or use Facebook on their mobile devices or use mobile products that do not offer access to Facebook, our user growth and user engagement could be harmed.
Our business is highly competitive. Competition presents an ongoing threat to the success of our business.
We face significant competition in every aspect of our business, including from companies that provide tools to facilitate the sharing of information, companies that enable marketers to display advertising and companies that provide development platforms for applications developers. We compete with companies that offer full-featured products that replicate the range of communications and related capabilities we provide. These offerings include, for example, Google+, which Google has integrated with certain of its products, including search and Android, as well as other, largely regional, social networks that have strong positions in particular countries. We also compete with companies that develop applications, particularly mobile applications, that provide social functionality, such as messaging, photo- and video-sharing, and micro-blogging, and companies that provide web- and mobile-based information and entertainment products and services that are designed to engage users and capture time spent online and on mobile devices. In addition, we face competition from traditional and online businesses that provide media for marketers to reach their audiences and/or
develop tools and systems for managing and optimizing advertising campaigns.
Some of our current and potential competitors may have significantly greater resources or better competitive positions in certain product segments, geographic regions or user demographics than we do. These factors may allow our competitors to respond more effectively than us to new or emerging technologies and changes in market conditions. We believe that some of our users, particularly our younger users, are aware of and actively engaging with other products and services similar to, or as a substitute for, Facebook, and we believe that some of our users have reduced their engagement with Facebook in favor of increased engagement with these other products and services. For example, the best data currently available to us suggests that while usage by U.S. teens overall continues to be stable, there has recently been a decline in DAU among younger teens in the United States. In the event that our users increasingly engage with other products and services, we may experience a decline in user engagement in key user demographics or more broadly and our business could be harmed.
Our competitors may develop products, features, or services that are similar to ours or that achieve greater acceptance, may undertake more far-reaching and successful product development efforts or marketing campaigns, or may adopt more aggressive pricing policies. In addition, Platform partners may use information shared by our users through the Facebook Platform in order to develop products or features that compete with us. Certain competitors, including Google, could use strong or dominant positions in one or more markets to gain competitive advantage against us in areas where we operate, including: by integrating competing
38
social networking platforms or features into products they control such as search engines, web browsers, or mobile device operating systems; by making acquisitions; by limiting or denying our access to advertising measurement or delivery systems; or by making access to Facebook more difficult. As a result, our competitors may acquire and engage users at the expense of the growth or engagement of our user base, which may negatively affect our business and financial results.
We believe that our ability to compete effectively depends upon many factors both within and beyond our control, including:
•
the popularity, usefulness, ease of use, performance, and reliability of our products compared to our competitors' products, particularly with respect to mobile products;
•
the size and composition of our user base;
•
the engagement of our users with our products;
•
the timing and market acceptance of products, including developments and enhancements to our or our competitors' products;
•
our ability to monetize our products;
•
the frequency, size, quality, and relative prominence of the ads displayed by us or our competitors;
•
customer service and support efforts;
•
marketing and selling efforts, including our ability to provide marketers with a compelling return on their investments;
•
our ability to establish and maintain developers' interest in building on the Facebook Platform;
•
changes mandated by legislation, regulatory authorities, or litigation, including settlements and consent decrees, some of which may have a disproportionate effect on us;
•
acquisitions or consolidation within our industry, which may result in more formidable competitors;
•
our ability to attract, retain, and motivate talented employees, particularly software engineers;
•
our ability to cost-effectively manage and grow our operations; and
•
our reputation and brand strength relative to those of our competitors.
If we are not able to compete effectively, our user base and level of user engagement may decrease, we may become less attractive to developers and marketers, and our revenue and results of operations may be materially and adversely affected.
We may not be successful in our efforts to grow usage of and engagement with the Facebook Platform.
We have made and are continuing to make investments to enable developers to build applications (apps) and websites that integrate with the Facebook Platform. Existing and prospective Platform developers may not be successful in building apps or websites that create and maintain user engagement. Additionally, developers may choose to build on other platforms, including mobile platforms controlled by third parties, rather than building on the Facebook Platform. We are continuously seeking to balance the distribution objectives of our Platform developers with our desire to provide an optimal user experience, and we may not be successful in achieving a balance that continues to attract and retain Platform developers. For example, from time to time, we have taken actions to reduce the volume of communications from Platform developers to users on Facebook with the objective of enhancing the user experience, and such actions have reduced distribution from, user engagement with, and our monetization opportunities from, Facebook-integrated apps and websites. In some instances, these actions, as well as other actions to enforce our Platform policies, have adversely affected our relationships with Platform developers. If we are not successful in our efforts to grow our Platform or if we are unable to build and maintain good relations with Platform developers, our user growth and user engagement and our financial results may be adversely affected.
39
We may not be successful in our efforts to further monetize the Facebook Platform.
We currently monetize the Facebook Platform in several ways, including ads on pages generated by apps on Facebook, direct advertising on Facebook purchased by Platform developers to drive traffic to their apps and websites, and fees from our Platform developers' use of our Payments infrastructure to sell virtual and digital goods to users accessing Facebook via personal computers. Apps built by developers of social games are currently responsible for substantially all of our revenue derived from Payments, and the majority of the revenue from these apps has historically been generated by a limited number of the most popular games. In addition, a relatively small percentage of our users have transacted with Facebook Payments. If the Platform apps that currently generate revenue fail to grow or maintain their users and engagement, if Platform developers do not continue to introduce new apps that attract users and create engagement, if Platform developers reduce their advertising on Facebook, if we fail to maintain good relationships with Platform developers or attract new developers, or if Platform apps outside of social games do not gain popularity and generate significant revenue for us, our financial performance and ability to grow revenue could be adversely affected.
Additionally, we are actively supporting Platform developers' efforts to develop their own mobile apps and websites that integrate with Facebook. Unlike apps that run within the Facebook website which enable us to show ads and offer Payments, we generally do not directly monetize from Platform developers' integrating their own mobile apps and websites with Facebook. Therefore, our Platform developers' efforts to prioritize their own mobile apps or websites may reduce or slow the growth of our user activity that generates advertising and Payments opportunities, which could negatively affect our revenue. Although we believe that there are significant long-term benefits to Facebook resulting from increased engagement on Facebook-integrated websites and mobile apps, these benefits may not offset the possible loss of revenue, in which case our business could be harmed.
Action by governments to restrict access to Facebook in their countries could substantially harm our business and financial results.
It is possible that governments of one or more countries may seek to censor content available on Facebook in their country, restrict access to Facebook from their country entirely, or impose other restrictions that may affect the accessibility of Facebook in their country for an extended period of time or indefinitely. For example, access to Facebook has been or is currently restricted in whole or in part in China, Iran, and North Korea. In addition, governments in other countries may seek to restrict access to Facebook if they consider us to be in violation of their laws. In the event that access to Facebook is restricted, in whole or in part, in one or more countries or our competitors are able to successfully penetrate geographic markets that we cannot access, our ability to retain or increase our user base and user engagement may be adversely affected, we may not be able to maintain or grow our revenue as anticipated, and our financial results could be adversely affected.
Our new products and changes to existing products could fail to attract or retain users or generate revenue.
Our ability to retain, increase, and engage our user base and to increase our revenue will depend heavily on our ability to create successful new products, both independently and in conjunction with Platform developers or other third parties. We may introduce significant changes to our existing products or develop and introduce new and unproven products, including using technologies with which we have little or no prior development or operating experience. If new or enhanced products fail to engage users, developers, or marketers, we may fail to attract or retain users or to generate sufficient revenue, operating margin, or other value to justify our investments, and our business may be adversely affected. In the future, we may invest in new products and initiatives to generate revenue, but there is no guarantee these approaches will be successful. For example, we recently announced plans to begin showing ads on Instagram in the United States and we cannot assure you that these ads will generate meaningful revenue for our business. If we are not successful with new products or new approaches to monetization, we may not be able to maintain or grow our revenue as anticipated or recover any associated development costs, and our financial results could be adversely affected.
40
Our culture emphasizes rapid innovation and prioritizes user growth and engagement over short-term financial results.
We have a culture that encourages employees to quickly develop and launch new and innovative products. As our business grows and becomes more complex, our cultural emphasis on moving quickly may result in unintended outcomes or decisions that are poorly received by users, developers, or marketers. Our culture also prioritizes user growth and engagement over short-term financial results, and we frequently make product decisions that may reduce our short-term revenue or profitability if we believe that the decisions are consistent with our mission and benefit the aggregate user experience and will thereby improve our financial performance over the long term. For example, from time to time we may change the size, frequency, or relative prominence of ads in order to improve ad quality and overall user experience. Similarly, from time to time we update our News Feed ranking algorithm to deliver the most relevant content to our users, which may adversely affect the distribution of content of our developers and marketers and could reduce their incentive to invest in their development and marketing efforts on Facebook. We also may introduce changes to existing products that redirect users away from properties where we have a proven means of monetization. For example, we may take action to redirect users who send messages from within the Facebook app to our standalone Messenger app, although we currently do not monetize the standalone Messenger app. These decisions may not produce the long-term benefits that we expect, in which case our user growth and engagement, our relationships with developers and marketers, and our business and results of operations could be harmed.
If we are not able to maintain and enhance our brand, or if events occur that damage our reputation and brand, our ability to expand our base of users, developers, and marketers may be impaired, and our business and financial results may be harmed.
We believe that the Facebook brand has significantly contributed to the success of our business. We also believe that maintaining and enhancing our brand is critical to expanding our base of users, developers, and marketers. Many of our new users are referred by existing users. Maintaining and enhancing our brand will depend largely on our ability to continue to provide useful, reliable, trustworthy, and innovative products, which we may not do successfully. We may introduce new products or terms of service that users do not like, which may negatively affect our brand. Additionally, the actions of our Platform developers may affect our brand if users do not have a positive experience using third-party apps and websites integrated with Facebook. We have in the past experienced, and we expect that in the future we will continue to experience, media, legislative, or regulatory scrutiny of our decisions regarding user privacy or other issues, which may adversely affect our reputation and brand. We also may fail to provide adequate customer service, which could erode confidence in our brand. Our brand may also be negatively affected by the actions of users that are deemed to be hostile or inappropriate to other users, or by users acting under false or inauthentic identities. Maintaining and enhancing our brand may require us to make substantial investments and these investments may not be successful. If we fail to successfully promote and maintain the Facebook brand or if we incur excessive expenses in this effort, our business and financial results may be adversely affected.
Improper access to or disclosure of user information, or violation of our terms of service or policies, could harm our reputation and adversely affect our business.
Our Data Use Policy governs the collection and use of information that users share using our services, including information we receive in connection with our services. Our efforts to protect the information we receive may be unsuccessful due to the actions of third parties, software bugs or other technical malfunctions, employee error or malfeasance, or other factors. In addition, third parties may attempt to fraudulently induce employees or users to disclose information in order to gain access to our data or our users' data. If any of these events occur, our users' information could be accessed or disclosed improperly. Some Platform developers may store information provided by our users through apps on the Facebook Platform or websites integrated with Facebook. If these third parties or Platform developers fail to adopt or adhere to adequate data security practices or fail to comply with our terms and policies, or in the event of a breach of their networks, our users' data may be improperly accessed or disclosed.
Any incidents involving unauthorized access to or improper use of user information or incidents involving violation of our terms of service or policies, including our Data Use Policy, could damage our reputation and our brand and diminish our competitive position. In addition, the affected users or government authorities could initiate legal or regulatory actions against us in connection with such incidents, which could cause us to incur significant expense and liability or result in orders or consent decrees forcing us to modify our business practices. Any of these events could have a material and adverse effect on our business, reputation, or financial results.
Unfavorable media coverage could negatively affect our business.
We receive a high degree of media coverage around the world. Unfavorable publicity regarding, for example, our privacy practices, product changes, product quality, litigation or regulatory activity, or the actions of our Platform developers or our users, could adversely affect our reputation. Such negative publicity also could have an adverse effect on the size, engagement, and loyalty of our user base and result in decreased revenue, which could adversely affect our business and financial results.
41
Our financial results will fluctuate from quarter to quarter and are difficult to predict.
Our quarterly financial results have fluctuated in the past and will fluctuate in the future. Additionally, we have a limited operating history with the current scale of our business, which makes it difficult to forecast our future results. As a result, you should not rely upon our past quarterly financial results as indicators of future performance. You should take into account the risks and uncertainties frequently encountered by companies in rapidly evolving markets. Our financial results in any given quarter can be influenced by numerous factors, many of which we are unable to predict or are outside of our control, including:
•
our ability to maintain and grow our user base and user engagement;
•
our ability to attract and retain marketers in a particular period;
•
fluctuations in spending by our marketers due to seasonality, such as historically strong spending in the fourth quarter of each year, or other factors;
•
the number and quality of ads shown to users;
•
the pricing of our ads and other products;
•
our ability to continue to scale monetization through our mobile products;
•
our ability to maintain or increase Payments and other fees revenue;
•
the diversification and growth of revenue sources beyond advertising and Payments;
•
the development and introduction of new products or services by us or our competitors;
•
increases in marketing, sales, and other operating expenses that we may incur to grow and expand our operations and to remain competitive;
•
our ability to maintain gross margins and operating margins;
•
costs related to the acquisitions of businesses, talent, technologies or intellectual property, including potentially significant amortization costs;
•
our ability to obtain equipment and components for our data centers and other technical infrastructure in a timely and cost-effective manner;
•
system failures, which could prevent us from serving ads for any period of time, or breaches of security or privacy, and the costs associated with remediating any such failures or breaches;
•
inaccessibility of Facebook due to third-party actions;
•
share-based compensation expense;
•
adverse litigation judgments, settlements, or other litigation-related costs;
•
changes in the legislative or regulatory environment, including with respect to privacy, or enforcement by government regulators, including fines, orders, or consent decrees;
•
the overall tax rate for our business, which may be affected by the financial results of our international subsidiaries;
•
fluctuations in currency exchange rates and changes in the proportion of our revenue and expenses denominated in foreign currencies;
•
fluctuations in the market values of our portfolio investments and in interest rates;
•
changes in U.S. generally accepted accounting principles; and
•
changes in global business or macroeconomic conditions.
42
We expect our rates of growth may decline in the future.
We believe that our rates of user and revenue growth may decline over time. For example, our revenue grew 88% from 2010 to 2011 and 37% from 2011 to 2012. Historically, our user growth has been a primary driver of growth in our revenue. While we have recently experienced increased revenue growth compared to prior periods, we expect that our user growth and revenue growth rates will decline over time as the size of our active user base increases and as we achieve higher market penetration rates. As our growth rates decline, investors' perceptions of our business may be adversely affected and the trading price of our Class A common stock could decline.
Our costs are continuing to grow, which could harm our business and profitability.
Operating our business is costly and we expect our expenses to continue to increase in the future as we broaden our user base, as users increase the number of connections and amount of data they share with us, and as we develop and implement new products. Historically, our costs have increased each year due to these factors and we expect to continue to incur increasing costs, in particular for servers, storage, power, and data centers, to support our anticipated future growth. We expect to continue to invest in these and other efforts to operate and expand our business around the world, including in countries and/or projects where we may not have a clear path to monetization, such as our recently announced commitment to the Internet.org initiative to increase global Internet access. In addition, our costs may increase as we hire additional employees, particularly as a result of the significant competition that we face to attract and retain technical talent. Our expenses may grow faster than our revenue and may be greater than we anticipate in a particular period or over time, and our investments may not be successful. In addition, we may increase marketing, sales, and other operating expenses in order to grow and expand our operations and to remain competitive. Increases in our costs may adversely affect our business and profitability.
Our business is subject to complex and evolving U.S. and foreign laws and regulations regarding privacy, data protection, and other matters. Many of these laws and regulations are subject to change and uncertain interpretation, and could result in claims, changes to our business practices, monetary penalties, increased cost of operations, or declines in user growth or engagement, or otherwise harm our business.
We are subject to a variety of laws and regulations in the United States and abroad that involve matters central to our business, including user privacy, rights of publicity, data protection, content, intellectual property, advertising, marketing, distribution, electronic contracts and other communications, competition, protection of minors, consumer protection, taxation, securities law compliance, and online payment services. The introduction of new products may subject us to additional laws and regulations. In addition, foreign data protection, privacy, and other laws and regulations are often more restrictive than those in the United States. These U.S. federal and state and foreign laws and regulations, which can be enforced by private parties or government entities, are constantly evolving and can be subject to significant change. In addition, the application and interpretation of these laws and regulations are often uncertain, particularly in the new and rapidly evolving industry in which we operate. For example, the interpretation of some laws and regulations that govern the use of names and likenesses in connection with advertising and marketing activities is unsettled and developments in this area could affect the manner in which we design our products, as well as our terms of use. A number of proposals are pending before federal, state, and foreign legislative and regulatory bodies that could significantly affect our business. For example, the European Commission is currently considering a data protection regulation that may include operational requirements for companies that receive personal data that are different than those currently in place in the European Union, and that may also include significant penalties for non-compliance. Similarly, there have been a number of recent legislative proposals in the United States, at both the federal and state level, that would impose new obligations in areas such as privacy and liability for copyright infringement by third parties. In addition, some countries are considering legislation requiring local storage and processing of data that, if enacted, could increase the cost and complexity of delivering our services. These existing and proposed laws and regulations can be costly to comply with and can delay or impede the development of new products, result in negative publicity, increase our operating costs, require significant management time and attention, and subject us to inquiries or investigations, claims or other remedies, including fines or demands that we modify or cease existing business practices.
We have been subject to regulatory investigations and settlements and we expect to continue to be subject to such proceedings in the future, which could cause us to incur substantial costs or require us to change our business practices in a manner materially adverse to our business.
From time to time, we receive inquiries from regulators regarding our compliance with laws and other matters. For example, in 2012, the Federal Trade Commission approved a settlement agreement with us that, among other things, requires us to complete bi-annual independent privacy assessments and to establish and refine certain practices with respect to treatment of user information and the privacy settings we offer. As another example, in 2011 and 2012, the Irish Data Protection Commissioner audited the data, security, and privacy practices and policies of Facebook Ireland. We expect to continue to be the subject of regulatory investigations and audits in the future by these and other regulators throughout the world.
It is possible that a regulatory inquiry might result in changes to our policies or practices. Violation of existing or future
43
regulatory orders or consent decrees could subject us to substantial monetary fines and other penalties that could negatively affect our financial condition and results of operations. In addition, it is possible that future orders issued by, or enforcement actions initiated by, regulatory authorities could cause us to incur substantial costs or require us to change our business practices in a manner materially adverse to our business.
If we are unable to protect our intellectual property, the value of our brand and other intangible assets may be diminished, and our business may be adversely affected.
We rely and expect to continue to rely on a combination of confidentiality and license agreements with our employees, consultants, and third parties with whom we have relationships, as well as trademark, copyright, patent, trade secret, and domain name protection laws, to protect our proprietary rights. In the United States and internationally, we have filed various applications for protection of certain aspects of our intellectual property, and we currently hold a number of issued patents in multiple jurisdictions and have acquired patents and patent applications from third parties. In addition, in the future we may acquire additional patents or patent portfolios, which could require significant cash expenditures. Third parties may knowingly or unknowingly infringe our proprietary rights, third parties may challenge proprietary rights held by us, and pending and future trademark and patent applications may not be approved. In addition, effective intellectual property protection may not be available in every country in which we operate or intend to operate our business. In any or all of these cases, we may be required to expend significant time and expense in order to prevent infringement or to enforce our rights. Although we have taken measures to protect our proprietary rights, there can be no assurance that others will not offer products or concepts that are substantially similar to ours and compete with our business. In addition, we regularly contribute software source code under open source licenses and have made other technology we developed available under other open licenses, and we include open source software in our products. For example, we have contributed certain specifications and designs related to our data center equipment to the Open Compute Project Foundation, a non-profit entity that shares and develops such information with the technology community, under the Open Web Foundation License. As a result of our open source contributions and the use of open source in our products, we may license or be required to license or disclose code and/or innovations that turn out to be material to our business and may also be exposed to increased litigation risk. If the protection of our proprietary rights is inadequate to prevent unauthorized use or appropriation by third parties, the value of our brand and other intangible assets may be diminished and competitors may be able to more effectively mimic our service and methods of operations. Any of these events could have an adverse effect on our business and financial results.
We are currently, and expect to be in the future, party to patent lawsuits and other intellectual property rights claims that are expensive and time consuming, and, if resolved adversely, could have a significant impact on our business, financial condition, or results of operations.
Companies in the Internet, technology, and media industries own large numbers of patents, copyrights, trademarks, and trade secrets, and frequently enter into litigation based on allegations of infringement, misappropriation, or other violations of intellectual property or other rights. In addition, various "non-practicing entities" that own patents and other intellectual property rights often attempt to aggressively assert their rights in order to extract value from technology companies. Furthermore, from time to time we may introduce new products, including in areas where we currently do not compete, which could increase our exposure to patent and other intellectual property claims from competitors and non-practicing entities.
From time to time, we receive notice letters from patent holders alleging that certain of our products and services infringe their patent rights. We presently are involved in a number of intellectual property lawsuits, and as we face increasing competition and gain an increasingly high profile, we expect the number of patent and other intellectual property claims against us to grow. Defending patent and other intellectual property litigation is costly and can impose a significant burden on management and employees, and there can be no assurances that favorable final outcomes will be obtained in all cases. In addition, plaintiffs may seek, and we may become subject to, preliminary or provisional rulings in the course of any such litigation, including potential preliminary injunctions requiring us to cease some or all of our operations. We may decide to settle such lawsuits and disputes on terms that are unfavorable to us. Similarly, if any litigation to which we are a party is resolved adversely, we may be subject to an unfavorable judgment that may not be reversed upon appeal. The terms of such a settlement or judgment may require us to cease some or all of our operations or pay substantial amounts to the other party. In addition, we may have to seek a license to continue practices found to be in violation of a third party's rights, which may not be available on reasonable terms, or at all, and may significantly increase our operating costs and expenses. As a result, we may also be required to develop alternative non-infringing technology or practices or discontinue the practices. The development of alternative non-infringing technology or practices could require significant effort and expense or may not be feasible. Our business, financial condition, and results of operations could be adversely affected as a result of an unfavorable resolution of the disputes and litigation referred to above.
We are involved in numerous class action lawsuits and other litigation matters that are expensive and time consuming, and, if resolved adversely, could harm our business, financial condition, or results of operations.
In addition to intellectual property claims, we are also involved in numerous other lawsuits, including putative class action
44
lawsuits brought by users and marketers, many of which claim statutory damages, and we anticipate that we will continue to be a target for numerous lawsuits in the future. Because we have over a billion users, the plaintiffs in class action cases filed against us typically claim enormous monetary damages even if the alleged per-user harm is small or non-existent. Any negative outcome from such lawsuits could result in payments of substantial monetary damages or fines, or changes to our products or business practices, and accordingly our business, financial condition, or results of operations could be materially and adversely affected. Although the results of such lawsuits and claims cannot be predicted with certainty, we do not believe that the final outcome of those matters relating to our products that we currently face will have a material adverse effect on our business, financial condition, or results of operations. In addition, we are currently the subject of stockholder class action suits in connection with our IPO. We believe these lawsuits are without merit and are vigorously defending these lawsuits.
There can be no assurances that a favorable final outcome will be obtained in all our cases, and defending any lawsuit is costly and can impose a significant burden on management and employees. Any litigation to which we are a party may result in an onerous or unfavorable judgment that may not be reversed upon appeal or in payments of substantial monetary damages or fines, or we may decide to settle lawsuits on similarly unfavorable terms, which could adversely affect our business, financial conditions, or results of operations.
Our CEO has control over key decision making as a result of his control of a majority of our voting stock.
Mark Zuckerberg, our founder, Chairman, and CEO, is able to exercise voting rights with respect to a majority of the voting power of our outstanding capital stock and therefore has the ability to control the outcome of matters submitted to our stockholders for approval, including the election of directors and any merger, consolidation, or sale of all or substantially all of our assets. This concentrated control could delay, defer, or prevent a change of control, merger, consolidation, or sale of all or substantially all of our assets that our other stockholders support, or conversely this concentrated control could result in the consummation of such a transaction that our other stockholders do not support. This concentrated control could also discourage a potential investor from acquiring our Class A common stock due to the limited voting power of such stock relative to the Class B common stock and might harm the trading price of our Class A common stock. In addition, Mr. Zuckerberg has the ability to control the management and major strategic investments of our company as a result of his position as our CEO and his ability to control the election or replacement of our directors. In the event of his death, the shares of our capital stock that Mr. Zuckerberg owns will be transferred to the persons or entities that he designates. As a board member and officer, Mr. Zuckerberg owes a fiduciary duty to our stockholders and must act in good faith in a manner he reasonably believes to be in the best interests of our stockholders. As a stockholder, even a controlling stockholder, Mr. Zuckerberg is entitled to vote his shares, and shares over which he has voting control as a result of voting agreements, in his own interests, which may not always be in the interests of our stockholders generally.
We plan to continue to make acquisitions, which could require significant management attention, disrupt our business, result in dilution to our stockholders, and adversely affect our financial results.
As part of our business strategy, we have made and intend to make acquisitions to add specialized employees, complementary companies, products, or technologies. Our ability to acquire and integrate larger or more complex companies, products, or technologies in a successful manner is unproven
.
In the future, we may not be able to find other suitable acquisition candidates, and we may not be able to complete acquisitions on favorable terms, if at all. Any future acquisitions we complete could be viewed negatively by users, developers, marketers, or investors, and our acquisitions may not achieve our goals. For example, in August 2012, we acquired Instagram and since the acquisition, we have been focused on user growth and the users' experience. We just recently announced plans to begin showing ads on Instagram in the United States and we cannot assure you that these ads will generate meaningful revenue for our business. In addition, if we fail to successfully close or integrate any acquisitions, integrate the products or technologies associated with such acquisitions into our company, or identify and address liabilities associated with the acquired business or assets, our business, revenue, and operating results could be adversely affected. Any integration process may require significant time and resources, and we may not be able to manage the process successfully. We may not successfully evaluate or utilize the acquired products, technology, or personnel, or accurately forecast the financial impact of an acquisition transaction, including accounting charges. In addition, our ability to conduct due diligence with respect to acquisitions, and our ability to evaluate the results of such due diligence, is dependent upon the accuracy and completeness of statements and disclosures made or actions taken by the companies we acquire or their representatives. Despite our efforts, there could be significant liabilities or deficiencies associated with the business, assets, products, financial condition or accounting practices related to the assets or companies we acquire. In addition, we may have to pay cash or incur debt to pay for acquisitions, which could adversely affect our financial results and liquidity. Additionally, we may issue equity securities to pay for acquisitions or to retain the employees of the acquired company, which could increase our expenses, adversely affect our financial results and result in dilution to our stockholders. The incurrence of indebtedness would result in increased fixed obligations and could also include covenants or other restrictions that would impede our ability to manage our operations.
45
Our business is dependent on our ability to maintain and scale our technical infrastructure, and any significant disruption in our service could damage our reputation, result in a potential loss of users and engagement, and adversely affect our financial results.
Our reputation and ability to attract, retain, and serve our users is dependent upon the reliable performance of Facebook and our underlying technical infrastructure. Our systems may not be adequately designed with the necessary reliability and redundancy to avoid performance delays or outages that could be harmful to our business. If Facebook is unavailable when users attempt to access it, or if it does not load as quickly as they expect, users may not return to our website as often in the future, or at all. As our user base and the amount and types of information shared on Facebook continue to grow, we will need an increasing amount of technical infrastructure, including network capacity, and computing power, to continue to satisfy the needs of our users. It is possible that we may fail to effectively scale and grow our technical infrastructure to accommodate these increased demands. In addition, our business may be subject to interruptions, delays, or failures resulting from earthquakes, adverse weather conditions, other natural disasters, power loss, terrorism, or other catastrophic events.
A substantial portion of our network infrastructure is provided by third parties. Any disruption or failure in the services we receive from these providers could harm our ability to handle existing or increased traffic and could significantly harm our business. Any financial or other difficulties these providers face may adversely affect our business, and we exercise little control over these providers, which increases our vulnerability to problems with the services they provide.
We could experience unforeseen difficulties in building and operating key portions of our technical infrastructure.
We have designed and built our own data centers and key portions of our technical infrastructure through which we serve our products, and we plan to continue to significantly expand the size of our infrastructure primarily through data centers and other projects. The infrastructure expansion we are undertaking is complex, and unanticipated delays in the completion of these projects or availability of components may lead to increased project costs, operational inefficiencies, or interruptions in the delivery or degradation of the quality of our products. In addition, there may be issues related to this infrastructure that are not identified during the testing phases of design and implementation, which may only become evident after we have started to fully utilize the underlying equipment, that could further degrade the user experience or increase our costs.
Our products and internal systems rely on software that is highly technical, and if it contains undetected errors, our business could be adversely affected.
Our products and internal systems rely on software that is highly technical and complex. In addition, our products and internal systems depend on the ability of our software to store, retrieve, process, and manage immense amounts of data. Our software has contained, and may now or in the future contain, undetected errors, bugs, or vulnerabilities. Some errors in our software may only be discovered after the code has been released for external or internal use. Errors or other design defects within our software may result in a negative experience for users and marketers who use our products, delay product introductions or enhancements, or result in measurement or billing errors. Any errors, bugs, or defects discovered in our software could result in damage to our reputation, loss of users, loss of revenue, or liability for damages, any of which could adversely affect our business and financial results.
Certain of our user metrics are subject to inherent challenges in measurement, and real or perceived inaccuracies in such metrics may harm our reputation and negatively affect our business.
The numbers for our key metrics, our DAUs, MAUs, mobile MAUs, and average revenue per user (ARPU), and certain other metrics such as mobile DAUs and mobile-only MAUs, are calculated using internal company data based on the activity of user accounts. While these numbers are based on what we believe to be reasonable estimates of our user base for the applicable period of measurement, there are inherent challenges in measuring usage of our products across large online and mobile populations around the world. For example, there may be individuals who maintain one or more Facebook accounts in violation of our terms of service. We estimate, for example, that "duplicate" accounts (an account that a user maintains in addition to his or her principal account) may have represented between approximately 4.3% and 7.9% of our worldwide MAUs during the nine months ended September 30, 2013. We also seek to identify "false" accounts, which we divide into two categories: (1) user-misclassified accounts, where users have created personal profiles for a business, organization, or non-human entity such as a pet (such entities are permitted on Facebook using a Page rather than a personal profile under our terms of service); and (2) undesirable accounts, which represent user profiles that we determine are intended to be used for purposes that violate our terms of service, such as spamming. During the nine months ended September 30, 2013, for example, we estimate user-misclassified accounts may have represented between approximately 0.8% and 2.1% of our worldwide MAUs and undesirable accounts may have represented between approximately 0.4% and 1.2% of our worldwide MAUs. We believe the percentage of accounts that are duplicate or false is meaningfully lower in developed markets such as the United States or United Kingdom and higher in developing markets such as India and Turkey. However, these estimates are based on an internal review of a limited sample of accounts and we apply significant judgment in making this determination, such as identifying names that appear to be fake or other behavior that appears
46
inauthentic to the reviewers. As such, our estimation of duplicate or false accounts may not accurately represent the actual number of such accounts. We are continually seeking to improve our ability to identify duplicate or false accounts and estimate the total number of such accounts, and such estimates may change due to improvements or changes in our methodology. Due to inherent variability in such estimates at particular dates of measurement, we disclose these estimates as a range over a recent period.
Our data limitations may affect our understanding of certain details of our business. For example, while user-provided data indicates a decline in usage among younger users, this age data is unreliable because a disproportionate number of our younger users register with an inaccurate age. We have worked with third parties to develop models to analyze user data by age in the United States. These models suggest that usage by U.S. teens overall continues to be stable, but that there has recently been a decline in DAU among younger U.S. teens. The data and models we are using are not precise and our understanding of usage by age group may not be complete.
Some of our historical metrics through the second quarter of 2012 have also been affected by applications on certain mobile devices that automatically contact our servers for regular updates with no user action involved, and this activity can cause our system to count the user associated with such a device as an active user on the day such contact occurs. For example, we estimate that less than 5% of our estimated worldwide DAUs as of December 31, 2011 and 2010 resulted from this type of automatic mobile activity, and that this type of activity had a substantially smaller effect on our estimate of worldwide MAUs and mobile MAUs. The impact of this automatic activity on our metrics varied by geography because mobile usage varies in different regions of the world. In addition, our data regarding the geographic location of our users is estimated based on a number of factors, such as the user's IP address and self-disclosed location. These factors may not always accurately reflect the user's actual location. For example, a mobile-only user may appear to be accessing Facebook from the location of the proxy server that the user connects to rather than from the user's actual location. The methodologies used to measure user metrics may also be susceptible to algorithm or other technical errors. For example, in early June 2012, we discovered an error in the algorithm we use to estimate the geographic location of our users that affected our attribution of certain user locations for the period ended March 31, 2012. While this issue did not affect our overall worldwide DAU and MAU numbers, it did affect our attribution of users across different geographic regions. We estimate that the number of MAUs as of March 31, 2012 for the United States & Canada region was overstated as a result of the error by approximately 3% and this overstatement was offset by understatements in other regions. Our estimates for revenue by user location and revenue by user device are also affected by these factors. We regularly review and may adjust our processes for calculating these metrics to improve their accuracy. In addition, our DAU and MAU estimates will differ from estimates published by third parties due to differences in methodology. For example, some third parties are not able to accurately measure mobile users or do not count mobile users for certain user groups or at all in their analyses. If marketers, developers, or investors do not perceive our user metrics to be accurate representations of our user base, or if we discover material inaccuracies in our user metrics, our reputation may be harmed and marketers and developers may be less willing to allocate their budgets or resources to Facebook, which could negatively affect our business and financial results.
We cannot assure you that we will effectively manage our growth.
Our employee headcount and the scope and complexity of our business have increased significantly, with the number of employees increasing to
5,794
as of
September 30, 2013
from
4,331
as of
September 30, 2012
, and we expect headcount growth to continue for the foreseeable future. The growth and expansion of our business and products create significant challenges for our management, operational, and financial resources, including managing multiple relations with users, marketers, Platform developers, and other third parties. In the event of continued growth of our operations or in the number of our third-party relationships, our information technology systems or our internal controls and procedures may not be adequate to support our operations. In addition, some members of our management do not have significant experience managing a large global business operation, so our management may not be able to manage such growth effectively. To effectively manage our growth, we must continue to improve our operational, financial, and management processes and systems and to effectively expand, train, and manage our employee base. As our organization continues to grow, and we are required to implement more complex organizational management structures, we may find it increasingly difficult to maintain the benefits of our corporate culture, including our ability to quickly develop and launch new and innovative products. This could negatively affect our business performance.
The loss of one or more of our key personnel, or our failure to attract and retain other highly qualified personnel in the future, could harm our business.
We currently depend on the continued services and performance of our key personnel, including Mark Zuckerberg and Sheryl K. Sandberg. Although we have entered into employment agreements with Mr. Zuckerberg and Ms. Sandberg, the agreements have no specific duration and constitute at-will employment. In addition, many of our key technologies and systems are custom-made for our business by our personnel. The loss of key personnel, including members of management as well as key engineering, product development, marketing, and sales personnel, could disrupt our operations and have an adverse effect on our business.
As we continue to grow, we cannot guarantee we will continue to attract the personnel we need to maintain our competitive
47
position. In particular, we intend to continue to hire a significant number of technical personnel during the remainder of 2013 and the foreseeable future, and we expect to face significant competition from other companies in hiring such personnel, particularly in the San Francisco Bay Area. As we mature, the incentives to attract, retain, and motivate employees provided by our equity awards or by future arrangements may not be as effective as in the past, and if we issue significant equity to attract additional employees, the ownership of our existing stockholders may be further diluted. Additionally, we have a number of current employees whose equity ownership in our company gives them a substantial amount of personal wealth, which could affect their decisions about whether or not to continue to work for us. As a result of these factors, it may be difficult for us to continue to retain and motivate our employees. If we do not succeed in attracting, hiring, and integrating excellent personnel, or retaining and motivating existing personnel, we may be unable to grow effectively.
We may incur liability as a result of information retrieved from or transmitted over the Internet or posted to Facebook and claims related to our products.
We have faced, currently face, and will continue to face claims relating to information that is published or made available on Facebook. In particular, the nature of our business exposes us to claims related to defamation, intellectual property rights, rights of publicity and privacy, and personal injury torts. This risk is enhanced in certain jurisdictions outside the United States where our protection from liability for third-party actions may be unclear and where we may be less protected under local laws than we are in the United States. We could incur significant costs investigating and defending such claims and, if we are found liable, significant damages. If any of these events occur, our business and financial results could be adversely affected.
Computer malware, viruses, hacking and phishing attacks, and spamming could harm our business and results of operations.
Computer malware, viruses, and computer hacking and phishing attacks have become more prevalent in our industry, have occurred on our systems in the past, and may occur on our systems in the future. Because of our prominence, we believe that we are a particularly attractive target for such attacks. Though it is difficult to determine what, if any, harm may directly result from any specific interruption or attack, any failure to maintain performance, reliability, security, and availability of our products and technical infrastructure. Any such failure may harm our reputation, our ability to retain existing users and attract new users, and our results of operations.
In addition, spammers attempt to use our products to send targeted and untargeted spam messages to users, which may embarrass or annoy users and make Facebook less user-friendly. We cannot be certain that the technologies and employees that we have to attempt to defeat spamming attacks will be able to eliminate all spam messages from being sent on our platform. As a result of spamming activities, our users may use Facebook less or stop using our products altogether.
Payment transactions on the Facebook Platform may subject us to additional regulatory requirements and other risks that could be costly and difficult to comply with or that could harm our business.
Our users can use the Facebook Platform to purchase virtual and digital goods from our Platform developers using our Payments infrastructure. Depending on how our Payments product evolves, we may be subject to a variety of laws and regulations in the United States, Europe, and elsewhere, including those governing money transmission, gift cards and other prepaid access instruments, electronic funds transfers, anti-money laundering, counter-terrorist financing, gambling, banking and lending, and import and export restrictions. In some jurisdictions, the application or interpretation of these laws and regulations is not clear. To increase flexibility in how our use of Payments may evolve and to mitigate regulatory uncertainty, we have received certain money transmitter licenses in the United States and expect to apply for certain regulatory licenses in Europe, which will generally require us to demonstrate compliance with many domestic and foreign laws in these areas. Our efforts to comply with these laws and regulations could be costly and result in diversion of management time and effort and may still not guarantee compliance. In the event that we are found to be in violation of any such legal or regulatory requirements, we may be subject to monetary fines or other penalties such as a cease and desist order, or we may be required to make product changes, any of which could have an adverse effect on our business and financial results.
In addition, we may be subject to a variety of additional risks as a result of Payments on the Facebook Platform, including:
•
increased costs and diversion of management time and effort and other resources to deal with bad transactions or customer disputes;
•
potential fraudulent or otherwise illegal activity by users, developers, employees, or third parties;
•
restrictions on the investment of consumer funds used to transact Payments; and
•
additional disclosure and reporting requirements.
48
We plan to continue expanding our operations abroad where we have limited operating experience and may be subject to increased business and economic risks that could affect our financial results.
We plan to continue the international expansion of our business operations and the translation of our products. We currently make Facebook available in more than 70 different languages, and we have offices or data centers in more than 20 different countries. We may enter new international markets where we have limited or no experience in marketing, selling, and deploying our products. For example, we continue to evaluate making Facebook generally available in China. However, this market has substantial legal and regulatory complexities that have prevented this to date. If we fail to deploy or manage our operations in international markets successfully, our business may suffer. In addition, we are subject to a variety of risks inherent in doing business internationally, including:
•
political, social, or economic instability;
•
risks related to the legal and regulatory environment in foreign jurisdictions, including with respect to privacy and tax and terrestrial infrastructure matters, and unexpected changes in laws, regulatory requirements, and enforcement;
•
potential damage to our brand and reputation due to compliance with local laws, including potential censorship or requirements to provide user information to local authorities;
•
fluctuations in currency exchange rates;
•
higher levels of credit risk and payment fraud;
•
enhanced difficulties of integrating any foreign acquisitions;
•
burdens of complying with a variety of foreign laws;
•
reduced protection for intellectual property rights in some countries;
•
difficulties in staffing and managing global operations and the increased travel, infrastructure, and legal compliance costs associated with multiple international locations;
•
compliance with the U.S. Foreign Corrupt Practices Act, the U.K. Bribery Act, and similar laws in other jurisdictions; and
•
compliance with statutory equity requirements and management of tax consequences.
If we are unable to expand internationally and manage the complexity of our global operations successfully, our financial results could be adversely affected.
We may incur a substantial amount of indebtedness, which could adversely affect our financial condition.
In August 2013, we entered into a five-year senior unsecured revolving credit facility under which we may borrow up to $6.5 billion to fund working capital and general corporate purposes. As of
September 30, 2013
, no amounts were outstanding under this facility. If we draw down on this facility in the future, our interest expense and principal repayment requirements will increase significantly, which could have an adverse effect on our financial results.
We may require additional capital to support our business growth, and this capital may not be available on acceptable terms, if at all.
We may require additional capital to support our business growth or to respond to business opportunities, challenges or unforeseen circumstances. Our ability to obtain additional capital, if and when required, will depend on our business plans, investor demand, our operating performance, the condition of the capital markets, and other factors. If we raise additional funds through the issuance of equity, equity-linked or debt securities, those securities may have rights, preferences, or privileges senior to the rights of our Class A common stock, and our existing stockholders may experience dilution. If we are unable to obtain additional capital, or are unable to obtain additional capital on satisfactory terms, our ability to continue to support our business growth or to respond to business opportunities, challenges, or unforeseen circumstances could be adversely affected, and our business may be harmed.
If we default on our leasing and credit obligations, our operations may be interrupted and our business and financial results could be adversely affected.
We finance a significant portion of our expenditures through leasing arrangements, some of which are not required to be
49
reflected on our balance sheet, and we may enter into additional similar arrangements in the future. In particular, we have used these types of arrangements to finance some of our equipment and data centers. In addition, we have a $6.5 billion revolving credit facility that we may draw upon to finance our operations or other corporate purposes. If we default on these leasing and credit obligations, our leasing partners and lenders may, among other things:
•
require repayment of any outstanding lease obligations or amounts drawn on our credit facilities;
•
terminate our leasing arrangements and credit facilities;
•
terminate our access to the leased data centers we utilize;
•
stop delivery of ordered equipment;
•
sell or require us to return our leased equipment; or
•
require us to pay significant damages.
If some or all of these events were to occur, our operations may be interrupted and our ability to fund our operations or obligations, as well as our business, financial results, and financial condition, could be adversely affected.
We may have exposure to greater than anticipated tax liabilities.
Our income tax obligations are based in part on our corporate operating structure and intercompany arrangements, including the manner in which we develop, value, and use our intellectual property and the valuations of our intercompany transactions. The tax laws applicable to our business, including the laws of the United States and other jurisdictions, are subject to interpretation. The taxing authorities of the jurisdictions in which we operate may challenge our methodologies for valuing developed technology or intercompany arrangements, which could increase our worldwide effective tax rate and harm our financial position and results of operations. We are subject to regular review and audit by U.S. federal and state and foreign tax authorities. Tax authorities may disagree with certain positions we have taken and any adverse outcome of such a review or audit could have a negative effect on our financial position and results of operations. In addition, the determination of our worldwide provision for income taxes and other tax liabilities requires significant judgment by management, and there are many transactions where the ultimate tax determination is uncertain. Although we believe that our estimates are reasonable, the ultimate tax outcome may differ from the amounts recorded in our financial statements and may materially affect our financial results in the period or periods for which such determination is made.
In addition, our future income taxes could be adversely affected by earnings being lower than anticipated in jurisdictions that have lower statutory tax rates and higher than anticipated in jurisdictions that have higher statutory tax rates, by changes in the valuation of our deferred tax assets and liabilities, or by changes in tax laws, regulations, or accounting principles. For example, we have previously incurred losses in certain international subsidiaries that resulted in an effective tax rate that is significantly higher than the statutory tax rate in the United States and this could continue to happen in the future.
Changes in tax laws or tax rulings could materially affect our financial position and results of operations.
Changes in tax laws or tax rulings could materially affect our financial position and results of operations. For example, the current U.S. administration and key members of Congress have made public statements indicating that tax reform is a priority. Certain changes to U.S. tax laws, including limitations on the ability to defer U.S. taxation on earnings outside of the United States until those earnings are repatriated to the United States, could affect the tax treatment of our foreign earnings. In addition, other countries are considering changes to their tax regimes in an effort to raise additional tax proceeds from companies such as Facebook. Due to the large and expanding scale of our international business activities, any changes in the taxation of such activities may increase our worldwide effective tax rate and harm our financial position and results of operations.
Risks Related to Ownership of Our Class A Common Stock
The trading price of our Class A common stock has been and will likely continue to be volatile.
The trading price of our Class A common stock has been, and is likely to continue to be, volatile. Since shares of our Class A common stock were sold in our IPO in May 2012 at a price of $38.00 per share, our stock price has ranged from
$17.55
to
$51.60
through
September 30, 2013
. In addition to the factors discussed in this Quarterly Report on Form 10-Q, the trading price of our Class A common stock may fluctuate significantly in response to numerous factors, many of which are beyond our control, including:
•
actual or anticipated fluctuations in our revenue and other operating results;
•
the financial projections we may provide to the public, any changes in these projections or our failure to meet these projections;
50
•
actions of securities analysts who initiate or maintain coverage of us, changes in financial estimates by any securities analysts who follow our company, or our failure to meet these estimates or the expectations of investors;
•
additional shares of our Class A common stock being sold into the market by us or our existing stockholders or the anticipation of such sales;
•
investor sentiment with respect to our competitors, our business partners, and our industry in general;
•
announcements by us or our competitors of significant products or features, technical innovations, acquisitions, strategic partnerships, joint ventures, or capital commitments;
•
announcements by us or estimates by third parties of actual or anticipated changes in the size of our user base, the level of user engagement, or the effectiveness of our ad products;
•
changes in operating performance and stock market valuations of technology companies in our industry, including our Platform developers and competitors;
•
price and volume fluctuations in the overall stock market, including as a result of trends in the economy as a whole;
•
media coverage of our business and financial performance;
•
lawsuits threatened or filed against us;
•
developments in new legislation and pending lawsuits or regulatory actions, including interim or final rulings by judicial or regulatory bodies; and
•
other events or factors, including those resulting from war or incidents of terrorism, or responses to these events.
In addition, the stock markets have experienced extreme price and volume fluctuations that have affected and continue to affect the market prices of equity securities of many technology companies. Stock prices of many technology companies have fluctuated in a manner unrelated or disproportionate to the operating performance of those companies. We are currently subject to securities litigation in connection with our IPO. We may experience more such litigation following future periods of volatility. Any securities litigation could subject us to substantial costs, divert resources and the attention of management from our business, and adversely affect our business.
If securities or industry analysts publish inaccurate or unfavorable research about our business, our stock price could decline.
The trading market for our Class A common stock depends in part on the research and reports that securities or industry analysts publish about us or our business. If one or more of the analysts who cover us downgrade the rating of our Class A common stock or publish inaccurate or unfavorable research about our business, our Class A common stock price could decline.
We do not intend to pay dividends for the foreseeable future.
We have never declared or paid cash dividends on our capital stock. We currently intend to retain any future earnings to finance the operation and expansion of our business, and we do not expect to declare or pay any dividends in the foreseeable future. As a result, you may only receive a return on your investment in our Class A common stock if the trading price of our Class A common stock increases. In addition, our credit facilities contain restrictions on our ability to pay dividends.
If we are unable to implement and maintain effective internal control over financial reporting in the future, investors may lose confidence in the accuracy and completeness of our financial reports and the trading price of our Class A common stock may be negatively affected.
We are required to maintain internal controls over financial reporting and to report any material weaknesses in such internal controls. In addition, beginning with our 2013 Annual Report on Form 10-K to be filed in 2014, we will be required to furnish a report by management on the effectiveness of our internal control over financial reporting pursuant to Section 404 of the Sarbanes-Oxley Act. We are in the process of designing, implementing, and testing the internal control over financial reporting required to comply with this obligation, which process is time consuming, costly, and complicated. If we identify material weaknesses in our internal control over financial reporting, if we are unable to comply with the requirements of Section 404 in a timely manner or assert that our internal control over financial reporting is effective, or if our independent registered public accounting firm is unable to express an opinion as to the effectiveness of our internal control over financial reporting, investors may lose confidence in the accuracy and completeness of our financial reports and the trading price of our Class A common stock could be negatively affected, and we could become subject to investigations by the stock exchange on which our securities are listed, the Securities and Exchange Commission (SEC), or other regulatory authorities, which could require additional financial and management resources.
51
The requirements of being a public company may strain our resources and divert management's attention.
We are subject to the reporting requirements of the Securities Exchange Act of 1934, as amended, the Sarbanes-Oxley Act, the Dodd-Frank Act, the listing requirements of the NASDAQ Global Select Market, and other applicable securities rules and regulations. Compliance with these rules and regulations has increased and may/will continue to increase our legal and financial compliance costs, make some activities more difficult, time-consuming, or costly, and increase demand on our systems and resources. As a result, management's attention may be diverted from other business concerns, which could harm our business and operating results. Although we have hired additional employees to comply with these requirements, we may need to hire more employees in the future, which will increase our costs and expenses.
In addition, complying with public disclosure rules makes our business more visible, which we believe may result in threatened or actual litigation, including by competitors and other third parties. If such claims are successful, our business and operating results could be harmed, and even if the claims do not result in litigation or are resolved in our favor, these claims, and the time and resources necessary to resolve them, could divert the resources of our management and harm our business and operating results.
The dual class structure of our common stock and the voting agreements among certain stockholders have the effect of concentrating voting control with our CEO, and also with certain employees and directors and their affiliates; this will limit or preclude your ability to influence corporate matters.
Our Class B common stock has ten votes per share, and our Class A common stock has one vote per share. Stockholders who hold shares of Class B common stock, including certain of our executive officers, employees, and directors and their affiliates, together hold a substantial majority of the voting power of our outstanding capital stock. Because of the ten-to-one voting ratio between our Class B and Class A common stock, the holders of our Class B common stock collectively control a majority of the combined voting power of our common stock and therefore are able to control all matters submitted to our stockholders for approval so long as the shares of Class B common stock represent at least 9.1% of all outstanding shares of our Class A and Class B common stock. This concentrated control will limit or preclude your ability to influence corporate matters for the foreseeable future.
Transfers by holders of Class B common stock will generally result in those shares converting to Class A common stock, subject to limited exceptions, such as certain transfers effected for estate planning or charitable purposes. The conversion of Class B common stock to Class A common stock will have the effect, over time, of increasing the relative voting power of those holders of Class B common stock who retain their shares in the long term. If, for example, Mr. Zuckerberg retains a significant portion of his holdings of Class B common stock for an extended period of time, he could, in the future, continue to control a majority of the combined voting power of our Class A common stock and Class B common stock.
We have elected to take advantage of the "controlled company" exemption to the corporate governance rules for NASDAQ-listed companies, which could make our Class A common stock less attractive to some investors or otherwise harm our stock price.
Because we qualify as a "controlled company" under the corporate governance rules for NASDAQ-listed companies, we are not required to have a majority of our board of directors be independent, nor are we required to have a compensation committee or an independent nominating function. In light of our status as a controlled company, our board of directors determined not to have an independent nominating function and chose to have the full board of directors be directly responsible for nominating members of our board, and in the future we could elect not to have a majority of our board of directors be independent or not to have a compensation committee. Accordingly, should the interests of our controlling stockholder differ from those of other stockholders, the other stockholders may not have the same protections afforded to stockholders of companies that are subject to all of the corporate governance rules for NASDAQ-listed companies. Our status as a controlled company could make our Class A common stock less attractive to some investors or otherwise harm our stock price.
Delaware law and provisions in our restated certificate of incorporation and bylaws could make a merger, tender offer, or proxy contest difficult, thereby depressing the trading price of our Class A common stock.
Our status as a Delaware corporation and the anti-takeover provisions of the Delaware General Corporation Law may discourage, delay, or prevent a change in control by prohibiting us from engaging in a business combination with an interested stockholder for a period of three years after the person becomes an interested stockholder, even if a change of control would be beneficial to our existing stockholders. In addition, our restated certificate of incorporation and bylaws contain provisions that may make the acquisition of our company more difficult, including the following:
•
until the first date on which the outstanding shares of our Class B common stock represent less than 35% of the combined voting power of our common stock, any transaction that would result in a change in control of our company requires the approval of a majority of our outstanding Class B common stock voting as a separate class;
52
•
we have a dual class common stock structure, which provides Mr. Zuckerberg with the ability to control the outcome of matters requiring stockholder approval, even if he owns significantly less than a majority of the shares of our outstanding Class A and Class B common stock;
•
when the outstanding shares of our Class B common stock represent less than a majority of the combined voting power of common stock, certain amendments to our restated certificate of incorporation or bylaws will require the approval of two-thirds of the combined vote of our then-outstanding shares of Class A and Class B common stock;
•
when the outstanding shares of our Class B common stock represent less than a majority of the combined voting power of our common stock, vacancies on our board of directors will be able to be filled only by our board of directors and not by stockholders;
•
when the outstanding shares of our Class B common stock represent less than a majority of the combined voting power of our common stock, our board of directors will be classified into three classes of directors with staggered three-year terms and directors will only be able to be removed from office for cause;
•
when the outstanding shares of our Class B common stock represent less than a majority of the combined voting power of our common stock, our stockholders will only be able to take action at a meeting of stockholders and not by written consent;
•
only our chairman, our chief executive officer, our president, or a majority of our board of directors are authorized to call a special meeting of stockholders;
•
advance notice procedures apply for stockholders to nominate candidates for election as directors or to bring matters before an annual meeting of stockholders;
•
our restated certificate of incorporation authorizes undesignated preferred stock, the terms of which may be established, and shares of which may be issued, without stockholder approval; and
•
certain litigation against us can only be brought in Delaware.
53
Item 2.
Unregistered Sales of Equity Securities and Use of Proceeds.
a)
Sales of Unregistered Securities
On August 23, 2013, we issued 299,988 shares of our Class A common stock as consideration to 15 individuals and 12 entities in connection with our acquisition of all the outstanding shares of a company in the second quarter of 2012.
The sale of the above securities was exempt from registration under the Securities Act of 1933, as amended (Securities Act), in reliance upon Section 4(2) of the Securities Act as transactions by an issuer not involving any public offering. The recipients of the securities in the transaction represented their intentions to acquire the securities for investment only and not with a view to or for sale in connection with any distribution thereof, and appropriate legends were placed upon any stock certificates or book-entry entitlements issued in this transaction.
b)
Use of Proceeds
On May 17, 2012, our registration statement on Form S-1 (File No. 333-179287) was declared effective by the SEC for our IPO pursuant to which we sold an aggregate of 180,000,000 shares of our Class A common stock at a price to the public of $38.00 per share. There has been no material change in the planned use of proceeds from our IPO as described in our final prospectus filed with the SEC on May 18, 2012 pursuant to Rule 424(b).
c)
Issuer Purchases of Equity Securities
The table below provides information with respect to repurchases of unvested shares of our Class A common stock.
Period
Total Number of Shares Purchased (1)
Price Paid per Share
Total Number of Shares Purchased as Part of Publicly Announced Plans or Programs
Maximum Number of Shares that May Yet Be Purchased Under the Plans or Programs
July 1 – July 31, 2013
—
$
—
—
—
August 1 – August 31, 2013
62,864
$
0.000006
—
—
September 1 – September 30, 2013
4,981
$
0.000006
—
—
(1) Under certain acquisition agreements, acquisition shares are subject to vesting. Unvested shares are subject to a right of repurchase by us in the event the recipient of such unvested acquisition shares is no longer employed by us. All shares in the above table were shares repurchased as a result of us exercising this right and not pursuant to a publicly announced plan or program.
54
Item 6.
Exhibits
Exhibit
Incorporated by Reference
Filed
Herewith
Number
Exhibit Description
Form
File No.
Exhibit
Filing Date
10.1
Credit Agreement, dated as of August 15, 2013, among the Registrant, JPMorgan Chase Bank, N.A., as administrative agent, and the lenders party thereto.
8-K
001-35551
10.1
August 15, 2013
31.1
Certification of Mark Zuckerberg, Chief Executive Officer, pursuant to Rule 13a-14(a)/15d-14(a), as adopted pursuant to Section 302 of the Sarbanes-Oxley Act of 2002.
X
31.2
Certification of David A. Ebersman, Chief Financial Officer, pursuant to Rule 13a-14(a)/15d-14(a), as adopted pursuant to Section 302 of the Sarbanes-Oxley Act of 2002.
X
32.1#
Certification of Mark Zuckerberg, Chief Executive Officer, pursuant to 18 U.S.C. Section 1350, as adopted pursuant to Section 906 of the Sarbanes-Oxley Act of 2002.
X
32.2#
Certification of David A. Ebersman, Chief Financial Officer, pursuant to 18 U.S.C. Section 1350, as adopted pursuant to Section 906 of the Sarbanes-Oxley Act of 2002.
X
101.INS*
XBRL Instance Document.
X
101.SCH*
XBRL Taxonomy Extension Schema Document.
X
101.CAL*
XBRL Taxonomy Extension Calculation Linkbase Document.
X
101.DEF*
XBRL Taxonomy Extension Definition Linkbase Document.
X
101.LAB*
XBRL Taxonomy Extension Labels Linkbase Document.
X
101.PRE*
XBRL Taxonomy Extension Presentation Linkbase Document.
X
# This certification is deemed not filed for purposes of Section 18 of the Securities Exchange Act of 1934, as amended (Exchange Act), or otherwise subject to the liability of that section, nor shall it be deemed incorporated by reference into any filing under the Securities Act of 1933, as amended (Securities Act), or the Exchange Act.
* Pursuant to applicable securities laws and regulations, these interactive data files are deemed not filed or part of a registration statement or prospectus for purposes of Sections 11 or 12 of the Securities Act, are deemed not filed for purposes of Section 18 of the Exchange Act and otherwise are not subject to liability under these sections.
55
SIGNATURES
Pursuant to the requirements of the Securities Exchange Act of 1934, the Registrant has duly caused this Quarterly Report on Form 10-Q to be signed on its behalf by the undersigned, thereunto duly authorized, in the City of Menlo Park, State of California, on this 31st day of October 2013.
FACEBOOK, INC.
Date: October 31, 2013
/s/ DAVID A. EBERSMAN
David A. Ebersman
Chief Financial Officer
(Principal Financial Officer)
Date: October 31, 2013
/s/ JAS ATHWAL
Jas Athwal
Chief Accounting Officer
(Principal Accounting Officer)
56