Banco Bradesco
BBD
#680
Rank
NZ$63.74 B
Marketcap
NZ$6.03
Share price
0.56%
Change (1 day)
27.87%
Change (1 year)

Banco Bradesco - 20-F annual report


Text size:
As filed with the Securities and Exchange Commission on June 30, 2008

SECURITIES AND EXCHANGE COMMISSION
Washington, DC 20549
FORM 20-F
ANNUAL REPORT PURSUANT TO SECTION 13 OR 15(d)
OF THE SECURITIES EXCHANGE ACT OF 1934

For the fiscal year ended December 31, 2007

Commission File Number: 1-15250

Banco Bradesco S.A.
(exact name of registrant as specified in its bylaws)
Bank Bradesco
(translation of registrants name into English)
Federative Republic of Brazil
(jurisdiction of incorporation or organization)
Cidade de Deus, Vila Yara, 06029-900, Osasco, SP, Brazil
(address of principal executive offices)
Securities registered or to be registered pursuant to Section 12(b) of the Act:

Title of each class    Name of each exchange on which they are registered 
  
“American Depositary Shares”, each representing 1  New York Stock Exchange 
Preferred Share, without par value (“ADSs”)  
Preferred Shares, without par value (“Preferred Shares”) New York Stock Exchange 
  (for listing purposes only)
  

Securities registered or to be registered pursuant to Section 12(g) of the Act: None.

Securities for which there is a reporting obligation pursuant to Section 15(d) of the Act: None.

The number of outstanding shares of each one of the issuer’s classes of capital stock as of December 31, 2007 was:

1,009,337,030  Common Shares 
1,009,336,926  Preferred Shares 

On March 24, 2008, we effected a stock split of our capital stock. If we adjusted the number of our outstanding shares above to take into account the March 24, 2008 stock split, we would have had 1,514,005,545 common shares and 1,514,005,389 preferred shares on December 31, 2007.

Indicate by check mark if the registrant is a well-known seasoned issuer, as defined in Rule 405 of the Securities Act.

Yes 
 No 

If this report is an annual or transition report, indicate by check mark if the registrant is not required to file reports pursuant to Section 13 or 15(d) of the Securities Exchange Act of 1934.

Yes 
 No 


Indicate by check mark whether the registrant (1) has filed all reports required to be filed by Section 13 or 15(d) of the Securities Exchange Act of 1934 during the preceding 12 months (or for such shorter period that the registrant was required to file such reports) and (2) has been subject to such filing requirements for the past 90 days.

Yes  No 

Indicate by check mark whether the registrant is a large accelerated filer, an accelerated filer, or a non-accelerated filer. See definition of “Accelerated filer and Large accelerated filer” in Rule 12b-2 of the Exchange Act. (Check one):

Large accelerated filer  
 
Accelerated filer 
 Non-accelerated filer 

Indicate by check mark which financial statement item the registrant has elected to follow.

Item 17  Item 18 

If this is an annual report, indicate by check mark whether the registrant is a shell company (as defined in Rule 12b-2 of the Exchange Act).

Yes  No 


Table of Contents

PRESENTATION OF INFORMATION  3 
ITEM 1.  IDENTITY OF DIRECTORS, SENIOR MANAGEMENT AND ADVISERS.  4 
ITEM 2.  OFFER STATISTICS AND EXPECTED TIMETABLE  4 
ITEM 3.  KEY INFORMATION.  4 
  SELECTED FINANCIAL DATA  4 
  EXCHANGE RATE INFORMATION  6 
  RISK FACTORS  8 
ITEM 4.  INFORMATION ON THE COMPANY.  19 
  HISTORY AND DEVELOPMENT OF THE COMPANY  19 
  REGULATION AND SUPERVISION  86 
  SELECTED STATISTICAL INFORMATION  111 
ITEM 5.  OPERATING AND FINANCIAL REVIEW AND PROSPECTS.  134 
  CRITICAL ACCOUNTING POLICIES  140 
ITEM 6.  DIRECTORS, SENIOR MANAGEMENT AND EMPLOYEES  180 
ITEM 7.  MAJOR SHAREHOLDERS AND RELATED PARTY TRANSACTIONS.  194 
ITEM 8.  FINANCIAL INFORMATION  203 
ITEM 9.  THE OFFER AND LISTING  204 
  DESCRIPTION OF SECURITIES  204 
  TRADING ON THE SÃO PAULO STOCK EXCHANGE  208 
ITEM 10.  ADDITIONAL INFORMATION.  209 
  MEMORANDUM AND ARTICLES OF INCORPORATION  209 
  MATERIAL AGREEMENTS  223 
  EXCHANGE CONTROLS  223 
  TAXATION  224 
ITEM 11.  QUANTITATIVE AND QUALITATIVE DISCLOSURES ABOUT MARKET RISK.  231 
ITEM 12.  DESCRIPTION OF SECURITIES OTHER THAN EQUITY SECURITIES.  237 
ITEM 13.  DEFAULTS, DIVIDEND ARREARAGES AND DELINQUENCIES.  238 
ITEM 14.  MATERIAL MODIFICATIONS TO THE RIGHTS OF SECURITY HOLDERS AND USE OF PROCEEDS.  238 
ITEM 15.  CONTROLS AND PROCEDURES.  238 
ITEM 16.  [RESERVED]  239 
ITEM 16A.  AUDIT COMMITTEE FINANCIAL EXPERT.  239 
ITEM 16B.  CODE OF ETHICS  239 
ITEM 16C.  PRINCIPAL ACCOUNTANT FEES AND SERVICES.  239 

i


ITEM 16D.  EXEMPTIONS FROM THE LISTING STANDARDS FOR AUDIT COMMITTEES.  240 
ITEM 16E.  PURCHASES OF EQUITY SECURITIES BY THE ISSUER AND AFFILIATED PURCHASERS  241 
ITEM 17.  FINANCIAL STATEMENTS.  241 
ITEM 18.  FINANCIAL STATEMENTS.  241 
ITEM 19.  EXHIBITS.  241 
SIGNATURES  242 

ii


Table of Contents

PRESENTATION OF INFORMATION

     In this annual report, the terms “Bradesco,” the “Company,” the “Entity,” the “Bank,” “we” or “us” refer to Banco Bradesco S.A., a sociedade anônima organized under the laws of Brazil and, unless the context otherwise requires, its consolidated subsidiaries. We are a full service financial institution providing, directly or through our subsidiaries, a full range of banking, financial, insurance and private pension plan services to all segments of the Brazilian domestic market. Our operations are based primarily in Brazil.

     Item 18 of this annual report includes our audited consolidated financial statements as of and for the years ended December 31, 2005, 2006 and 2007, including the notes thereto, which have been prepared in accordance with generally accepted accounting principles in the United States, known as “U.S. GAAP.”

     References herein to “real,” “reais” or “R$” are to the Brazilian real, the official currency of Brazil. References herein to “U.S. dollars” or “US$” are to United States dollars.

     The following table sets forth, for the dates indicated, the exchange rate of reais to U.S. dollars based on the noon buying rate in New York City as reported by the Federal Reserve Bank of New York and the U.S. dollar selling rate as reported by the Central Bank of Brazil, which we call the “Central Bank,” at closing:

  Noon Buying  Closing Selling 
Date  Rate for U.S. dollars  Rate for U.S. dollars 
   
 
December 31, 2005  2.3340  2.3407 
December 31, 2006  2.1342  2.1380 
December 31, 2007  1.7790  1.7713 
June 16, 2008  1.6249  1.6277 

     As a result of recent fluctuations in the real/U.S. dollar exchange rate, the closing selling exchange rate at June 16, 2008 or at any other date may not be indicative of current or future exchange rates.

     For your convenience, certain amounts have been converted from reais to U.S. dollars. Unless otherwise indicated, these conversions have been calculated using the U.S. dollar selling rate at closing published by the Central Bank at May 31, 2008 of R$1.6294 per US$1.00. Therefore, you should not read these exchange rate conversions as representations that any such amounts have been, could have been or could be converted into U.S. dollars at those or any other exchange rates, or at that or any other date. See “Item 3. Key Information—Exchange Rate Information” for more information regarding the exchange rates applicable to the Brazilian currency since 2002.

     Certain figures included in this document have been subject to rounding adjustments. Accordingly, figures shown as totals in certain tables may not be an arithmetic aggregation of the figures which precede them.

3


Table of Contents

PART I

Item 1. Identity of Directors, Senior Management and Advisers.

     Not applicable.

Item 2. Offer Statistics and Expected Timetable.

     Not applicable.

Item 3. Key Information.

SELECTED FINANCIAL DATA

     You should read the following selected financial data in conjunction with “Presentation of Information” and “Item 5. Operating and Financial Review and Prospects” included in this annual report.

     We have presented below selected financial information prepared in accordance with U.S. GAAP as of and for the years ended December 31, 2003, 2004, 2005, 2006 and 2007. The selected U.S. GAAP balance sheet information as of December 31, 2006 and 2007 is derived from and should be read in conjunction with our audited consolidated financial statements prepared in accordance with U.S. GAAP provided in Item 18. The remainder selected financial information for the years ended December 31, 2005, 2006 and 2007 is derived from and should be read in conjunction with our audited consolidated financial statements prepared in accordance with U.S. GAAP provided in Item 18. The report of the Independent Registered Public Accounting Firm is included in this annual report.

     This information is qualified in its entirety by reference to the U.S. GAAP financial statements and the notes thereto provided in Item 18.

  Year ended December 31, 
  
  2003  2004  2005  2006  2007  2007 
       
  (R$ in millions) (US$ in millions) (1)
Data from the Consolidated Statement of Income:             
Net interest income(2) R$ 14,970  R$ 14,590  R$ 18,485  R$ 21,402  R$ 23,771  US$ 14,589 
Provision for loan losses  (2,034) (1,429) (1,823) (3,767) (4,616) (2,833)
       
Net interest income after provision for loan losses  12,936  13,161  16,662  17,635  19,155  11,756 
Fee and commission income(2) 3,364  4,296  5,121  6,379  7,819  4,798 
Insurance premiums  6,149  6,764  7,805  8,121  8,843  5,427 
Pension plan income  64  374  377  791  555  341 
Equity in the earnings of unconsolidated companies(3) 60  66  186  224  407  250 
Other non-interest income (4) 1,373  2,768  4,051  4,338  6,257  3,840 
Operating expenses (5) (8,586) (8,921) (9,645) (11,310) (13,005) (7,982)
Insurance claims  (4,333) (4,822) (5,501) (6,124) (6,012) (3,690)
Changes in provisions for insurance, pension plans,             
     certificated savings plans and pension investment             
     contracts  (3,777) (4,326) (3,939) (4,199) (4,981) (3,057)
Pension plan operating expenses  (637) (751) (505) (560) (478) (293)
Insurance and pension plan selling expenses  (762) (907) (1,041) (852) (1,157) (710)
Other non-interest expense(2)(6) (3,195) (3,762) (4,819) (5,693) (6,106) (3,747)
       
Income before income taxes and minority interest  2,656  3,940  8,752  8,750  11,297  6,933 
       
Taxes on income  (346) (601) (2,431) (2,273) (3,352) (2,057)
Minority interest  (8) (12) (11) (15) (37) (23)
       
Net income  R$ 2,302  R$ 3,327  R$ 6,310  R$ 6,462  R$ 7,908  US$4,853 
       

4


Table of Contents

  Year ended December 31, 
  2003  2004  2005  2006  2007  2007 
       
  (R$, except numbers of shares) (US$)
Per Share Data (7)            
Earnings per share (8)(9)            
     Common  R$ 0.80  R$ 1.11  R$ 2.05  R$ 2.09  R$ 2.50  US$1.53 
     Preferred  0.88  1.22  2.26  2.30  2.75  1.69 
Dividends/ interest on shareholders’ capital per share (10)            
     Common  0.47  0.44  0.62  0.70  0.89  0.55 
     Preferred  R$ 0.51  R$ 0.49  R$ 0.67  R$ 0.77  R$ 0.98  US$0.60 
Weighted average number of outstanding shares:             
     Common  1,385,280,666  1,435,596,690  1,465,770,912  1,470,575,223  1,504,008,900   
     Preferred  1,365,482,916  1,416,490,788  1,460,839,863  1,472,508,873  1,505,136,649   

  Year ended December 31, 
  
    2003    2004  2005    2006    2007  2007 
       
      (R$ in millions)     (US$ in millions)(1)
Assets             
   Cash and due from banks  R$ 2,473  R$ 2,690  R$ 3,447  R$ 4,748  R$ 5,485  US$3,366 
     Interest–earning deposits in other banks  5,170  7,976  13,119  8,918  7,887  4,840 
     Federal funds sold and securities purchased under agreements to resell       26,175  19,435  10,985  14,649  40,601  24,918 
     Brazilian Central Bank compulsory deposits  16,690  20,209  21,686  23,461  31,813  19,524 
     Trading and available–for–sale securities, at fair value  43,267  43,197  55,658  86,614  88,799  54,498 
     Held to maturity securities  3,265  4,200  4,121  3,265  2,981  1,830 
     Loans(11) 55,006  63,500  83,311  98,724  133,137  81,709 
     Allowance for loan losses  (3,846) (4,063) (4,964) (6,552) (7,769) (4,768)
     Equity investees and other investments  295  708  397  527  761  467 
     Premises and equipment, net  3,106  2,946  2,721  3,000  3,547  2,177 
     Goodwill  –  262  332  667  883  542 
     Intangible assets, net (11) 1,876  1,792  1,554  2,163  2,917  1,790 
     Other assets (11) 12,853  14,227  14,227  19,087  23,467  14,403 
 
Total assets  166,330  177,079  206,594  259,271  334,509  205,296 
 
Liabilities             
     Deposits  58,027  68,647  75,407  83,925  98,341  60,354 
     Federal funds purchased and securities sold under agreements to repurchase  27,490  16,532  22,886  42,875  69,015  42,356 
     Short–term borrowings  7,795  8,272  7,066  5,709  7,989  4,903 
     Long–term debt  20,093  19,653  23,316  30,122  38,915  23,883 
     Other liabilities  39,260  48,343  57,612  70,083  86,879  53,320 
Total liabilities  152,665  161,447  186,287  232,714  301,139  184,816 
Minority interest in consolidated subsidiaries  73  73  88  93  281  173 
 
Shareholders’ Equity             
   Common shares (12) 3,525  3,525  6,497  7,095  9,497  5,829 
     Preferred shares (13) 3,475  3,475  6,503  7,105  9,503  5,832 
     Capital stock  7,000  7,000  13,000  14,200  19,000  11,661 
     Total shareholders’ equity  13,592  15,559  20,219  26,464  33,089  20,307 
 
     Total liabilities and shareholdersequity  166,330  177,079  206,594  259,271  334,509  205,296 
 
Average assets (14) 146,872  162,891  188,091  227,898  289,456  177,646 
Average liabilities (14) 134,625  148,814  170,677  206,466  261,552  160,520 
Average shareholders’ equity (14) R$ 12,138  R$ 14,012  R$ 17,357  R$ 21,323  R$ 27,731  US$17,019 
_________________
(1)      Amounts stated in U.S. dollars have been translated from Brazilian reais at an exchange rate of R$1.6294 = US$1.00, the Central Bank exchange rate on May 30, 2008. We used the exchange rate of May 30, 2008, instead of December 31, 2007, because there has been an appreciation in the real – U.S. dollar exchange rate since December 31, 2007. For more information, see “Item 5. Operating and Financial Review and Prospects – Overview—Brazilian Economic Conditions.” Such translations should not be construed as a representation that the Brazilian real amounts presented have been or could be converted into U.S. dollars at that rate.
(2)      The amounts R$99, R$14, R$16 and R$231 referring to the balances for the years ended December 31, 2003, 2004, 2005 and 2006, respectively, were reclassified from the item “Fee and commission income” to the item “Net interest income,” and the amounts R$128, R$228, R$397 and R$535 referring to the balances for the years ended December 31, 2003, 2004, 2005 and 2006, respectively, were reclassified from the item “Other non-interest income” to the item “Net interest income.” These reclassifications were implemented to allow the comparability of the financial statements for and as of the years ended December 31, 2003, 2004, 2005 and 2006 with the financial statements for and as of the year ended December 31, 2007. These reclassifications do not affect the amounts recorded as assets, liabilities, shareholders’ equity and net income.
(3)      For more information on the results of equity investees, see “Item 5. Operating and Financial Review and Prospects” and note 9 to our consolidated financial statements in Item 18.

5


Table of Contents

(4)      Other non-interest income consists of trading income (losses), net realized gains on available-for-sale securities, net gain on foreign currency transactions and other non-interest income.
(5)      Operating expenses consists of salaries and benefits and administrative expenses.
(6)      Other non-interest expense consists of amortization of intangible assets, depreciation and amortization and other non-interest expense.
(7)      Per share data reflects, on a retroactive basis: (a) a reverse split of our shares at a 10,000:1 share ratio, which was approved by our shareholders on March 10, 2004 (as a result, we had 158,587,942 authorized and issued shares outstanding, no par value, as of December 31, 2003). The new shares began trading on the São Paulo Stock Exchange on March 22, 2004; (b) a split of our capital stock on December 9, 2004, in which we issued two new shares for each existing share; (c) a split of our capital stock on November 11, 2005, in which we issued one new share for each existing share; (d) a split of our capital stock on March 12, 2007, in which we issued one new share for each existing share; and (e) a split of 1 share for each two shares of respective type resolved on March 24, 2008.
(8)      For purposes of calculating earnings per share in accordance with the U.S. GAAP, preferred shares are treated in the same manner as common shares. Preferred shareholders are entitled to receive dividends per share in an amount 10.0% greater than the dividends per share paid to common shareholders. For a description of our two classes of shares, see “Item 10. Additional Information—Memorandum and Articles of Incorporation.”
(9)      None of our outstanding obligations are exchangeable for or convertible into equity securities. As a consequence, our diluted earnings per share does not differ from our earnings per share. Accordingly, our basic and diluted earnings per share are equal in all periods presented. See note 2(u) to our consolidated financial statements in Item 18.
(10)      The amounts determined in US dollars were converted into reais using the exchange rate on the date such dividend was paid.
(11)      The amounts R$211, R$324, R$622 and R$789 regarding loan origination fees and costs and corresponding to the balances as of the years ended December 31, 2003, 2004, 2005 and 2006, respectively, were reclassified from the item “Other assets” to the item “Loans,” and the amounts R$136, R$224, R$260 and R$540 regarding intangible assets related to exclusive rights for rendering banking services and corresponding to the balances as of the years ended December 31, 2003, 2004, 2005 and 2006, respectively, were reclassified from the item “Other assets” to the item “Intangible assets, net.” These reclassifications were implemented to allow the comparability of the financial statements for and as of the years ended December 31, 2003, 2004, 2005 and 2006 with the financial statements for and as of the year ended December 31, 2007. These reclassifications do not affect the amounts recorded as assets, liabilities, shareholders’ equity and net income.
(12)      Common shares outstanding, no par value: 1,009,337,030 authorized and issued up to December 31, 2007; 500,071,456 authorized and issued at December 31, 2006; 489,450,004 authorized and issued at December 31, 2005; and 238,351,329 authorized and issued on December 31, 2004. Data from 2003 to 2007 reflects (a) the reverse split of our shares at a 10,000:1 share ratio, in March 2004; (b) a split of our capital stock in December, 2004, in which we issued two new shares for each existing shares; (c) a split of our capital stock in November, 2005, in which we issued one new share for each existing share; and (d) a split of our capital stock in March, 2007, in which we issued one new share for each existing share.
(13)      Preferred shares outstanding, no par value: 1,009,336,926 authorized and issued up to December 31, 2007; 500,811,468 authorized and issued at December 31, 2006; 489,938,838 authorized and issued at December 31, 2005; and 236,081,796 authorized and issued on December 31, 2004. Data from 2003 to 2007 reflects (a) the reverse split of our shares at a 10,000:1 share ratio, in March 2004; (b) a split of our capital stock in December, 2004, in which we issued two new shares for each existing shares; (c) a split of our capital stock in November, 2005, in which we issued one new share for each existing share; and (d) a split of our capital stock in March, 2007, in which we issued one new share for each existing share.
(14)      See “Item 4. Information on the Company—Selected Statistical Information.”
 

     Preferred shareholders are entitled to receive dividends per share in an amount 10.0% greater than the dividends per share paid to our common shareholders.

EXCHANGE RATE INFORMATION

     From 2003 to 2007, the real appreciated against the U.S. dollar. During the first five months of 2008, the real continued to appreciate against the U.S. dollar. Under the current free convertibility exchange system, the real may undergo further devaluation or may appreciate when compared to the U.S. dollar and other currencies.

6


Table of Contents

     The following table sets forth the period-end, average, high and low noon buying rate reported by the Federal Reserve Bank expressed in reais per U.S. dollars for the periods and dates indicated:

Noon Buying Rate for U.S. dollars 
R$ per US$1.00 
 
Period  Period-End  Average (1) High  Low 
     
2003  R$ 2.8950  R$ 3.0954    R$ 3.6640  R$2.8270 
2004  2.6550  2.9131    3.2085  2.6510 
2005  2.3340  2.4352    2.7755  2.1695 
2006  2.1342  2.1774    2.3340  2.0900 
2007  1.7790  1.9452    2.1342  1.7386 
     December  1.7790  1.7852    1.8204  1.7580 
2008         
     January  1.7578  1.7710    1.8175  1.7346 
     February  1.6845  1.7290    1.7655  1.6671 
     March  1.7441  1.7090    1.7441  1.6673 
     April  1.6950  1.6863    1.7410  1.6547 
     May  R$ 1.6252  R$ 1.6585    R$ 1.6880  R$ 1.6252 
_________________
(1)      Average of the month-end rates beginning with December of previous period through last month of period indicated.
Source:  Federal Reserve Bank of New York

     On June 16, 2008, the noon buying rate reported by the Federal Reserve Bank of New York was R$1.6249 per US$1.00.

     The following table sets forth the period-end, average, high and low selling rate reported by the Central Bank at closing, expressed in reais per U.S. dollars for the periods and dates indicated:

Closing Selling Rate for U.S. dollars 
R$ per US$1.00 
 
Period  Period-End  Average (1) High  Low 
     
2003  R$ 2.8892  R$  3.0964  R$ 3.6623  R$ 2.8219 
2004  2.6544   2.9150  3.2051  2.6544 
2005  2.3407   2.4341  2.7621  2.1633 
2006  2.1380   2.1812  2.3407  2.0892 
2007  1.7713   1.9460  2.1380  1.7440 
     December  1.7713  1.7860  1.8233  1.7616 
2008         
   January  1.7603   1.7743  1.8301  1.7414 
   February  1.6833   1.7277  1.7681  1.6715 
   March  1.7491   1.7076  1.7491  1.6700 
   April  1.6872   1.6889  1.7534  1.6575 
   May  R$ 1.6294   R$ 1.6605  R$ 1.6949  R$1.6294 

_________________
(1)      Average of the month-end rates beginning with December of previous period through last month of period indicated.
Source:  Central Bank

7


Table of Contents

     On June 16, 2008, the U.S. dollar selling rate reported by the Central Bank at the close of the day was R$1.6277 to US$1.00.

RISK FACTORS

Risks Relating to Brazil

Brazilian political and economic conditions have a direct impact on our business and the market price of the preferred shares and ADSs.

     Substantially all of our operations and customers are located in Brazil. Accordingly, our financial condition and results of operations are substantially dependent on Brazil’s economy, which in the past has been characterized by frequent and occasionally drastic intervention by the Brazilian government and volatile economic cycles. In addition, our operations, financial condition and the market price of the preferred shares and ADSs may also be adversely affected by changes in government policy or regulations including such factors as:

  • exchange rates and exchange control policies;

  • interest rates;

  • monetary policy;

  • liquidity of domestic capital and lending markets;

  • domestic economic growth;

  • changes in the tax regime, including charges applicable to the banking industry;

  • inflation rates; and

  • other political, diplomatic, social and economic developments within and outside of Brazil that may affect the country.

     The Central Bank determines the Brazilian base interest rate, which we refer to as the “base interest rate.” The base interest rate is the benchmark interest rate payable to holders of securities issued by the federal government and trade at the Sistema Especial de Liquidação e Custódia – Selic (Special System for Settlement and Custody, known as “Selic”). In the first half of 2007, the Central Bank decreased Brazil’s base interest rate from 13.0% to 12.0% and continued to decrease it in the second half of 2007, reaching a rate of 11.25% at December 2007. During the first six months of 2008, Brazil’s base interest rate increased to 12.25% .

     We have no control over, and cannot predict, what measures or policies the Brazilian government may take in response to the current or future state of the Brazilian economy or how such measures or policies may affect the Brazilian economy and, either directly or indirectly, our operations and revenues.

8


Table of Contents

A mismatch of our foreign exchange exposure may lead to substantial losses in our liabilities denominated in, or indexed to, foreign currencies, a reduction in our revenues and a decline in the competitiveness of our loan and leasing operations.

     The exchange rate between the real and the U.S. dollar has varied significantly in recent years. For example, the real/U.S. dollar exchange rate decreased from R$2.1380 per U.S. dollar at December 31, 2006 to R$1.7713 at December 31, 2007. In the last two years, the value of the real appreciated by 24.3% against the U.S. dollar, and during the first five months of 2008 the value of the real increased by 8.0%, to R$1.6294 per U.S. dollar at May 31, 2008, as compared to R$1.7713 per U.S. dollar at December 31, 2007. At June 16, 2008, the real/U.S. dollar-exchange rate was R$1.6277 per U.S. dollar.

     A significant amount of our financial assets and liabilities are denominated in, or indexed to, foreign currencies, primarily U.S. dollars. When the Brazilian currency is devalued, we incur losses on our liabilities denominated in or indexed to foreign currencies, such as our U.S. dollar-denominated long-term debt and foreign currency loans, and experience gains on our monetary assets denominated in or indexed to foreign currencies, as the liabilities and assets are translated into reais. If devaluations occur when the value of such liabilities significantly exceeds the value of such assets, including any financial instruments entered into for hedging purposes, we could incur significant losses, even if their value has not changed in their original currency.

     Conversely, when the value of the real appreciates against the U.S. dollar, we incur losses on our monetary assets denominated in or indexed to foreign currencies and experience gains on our liabilities denominated in or indexed to foreign currencies. If the real appreciates and the value of such assets significantly exceeds the value of such liabilities, we could incur significant losses, even if their value has not changed in their original currency.

If Brazil experiences substantial inflation in the future, our revenues and the market price of the preferred shares and ADSs may be reduced.

     Brazil has in the past experienced extremely high rates of inflation, with annual rates of inflation (IGP-DI) during the last fifteen years reaching as high as 2,708% in 1993. More recently, Brazil’s rates of inflation were 3.8% in 2006, 7.9% in 2007 and 5.2% for the five months ended May 31, 2008. Inflation itself and governmental measures to combat inflation have in the past had significant negative effects on the Brazilian economy. Inflation, actions taken to combat inflation and public speculation about possible future actions have also contributed to economic uncertainty in Brazil and to heightened volatility in the Brazilian securities markets. If Brazil experiences substantial inflation in the future, our costs (if not accompanied by an increase in interest rates) may increase, our operating and net margins may decrease and, if investor confidence lags, the price of our preferred shares and ADSs may fall. Inflationary pressures may also curtail our ability to access foreign financial markets and may lead to further government intervention in the economy, including the introduction of government policies that may adversely affect the overall performance of the Brazilian economy.

Adverse changes in Brazilian economic conditions could cause an increase in customer defaults on their outstanding obligations to us, which could materially reduce our earnings.

     Our banking, leasing, and other businesses are significantly dependent on our customers’ ability to make payments on their loans and to meet their other obligations to us. If the Brazilian economy weakens because of, among other factors, (i) the level of economic activity, (ii) devaluation of the real, (iii) inflation, or (iv) an increase in interest rates, some of our customers may be unable to repay their loans or to meet their debt service requirements, which would increase our past due loan portfolio and could materially reduce our net earnings.

9


Table of Contents

Access to international capital markets for Brazilian companies is influenced by the perception of risk in emerging economies, which may hurt our ability to finance our operations.

     The market for securities issued by Brazilian companies is influenced by economic and market conditions in Brazil, and, to varying degrees, market conditions in other Latin American and other emerging market countries. Although economic conditions in such countries may differ significantly from economic conditions in Brazil, investors’ reactions to developments in these other countries may have an adverse effect on the market value of securities of Brazilian companies. Crises in other emerging market countries or the economic policies of other countries, in particular those of the United States and countries of the European Union, may reduce investor demand for securities of Brazilian companies, including ours. Any of the foregoing developments could adversely affect the market price of our common shares and hinder our ability to access the capital markets and finance our operations in the future on acceptable terms, or at all.

Developments in other emerging markets may adversely affect the market price of the preferred shares and ADSs.

     The market price of the preferred shares and ADSs may be adversely affected by declines in the international financial markets and world economic conditions. Brazilian securities markets are, to varying degrees, influenced by economic and market conditions in other emerging market countries, especially those in Latin America. Although economic conditions are different in each country, investors’ reaction to developments in one country can affect the securities markets and the securities of issuers in other countries, including Brazil.

     Developments in other countries have also at times adversely affected the market price of our and other Brazilian companies’ preferred shares, as investors’ perceptions of increased risk due to crises in other emerging markets can lead to reduced levels of investment in Brazil and, in addition, may hurt our ability to finance our operations through the international capital markets. If the current economic situation in Latin America deteriorates, or if similar developments occur in the international financial markets in the future, the market price of the preferred shares and ADSs may be adversely affected.

Risks Relating to the Company and the Brazilian Banking Industry

The Brazilian government regulates the operations of Brazilian banks and insurance companies, and changes in existing laws and regulations or the imposition of new ones may negatively affect our operations and revenues.

     Brazilian banks and insurance companies, including our banking and insurance operations, are subject to extensive and continuous regulatory review by the Brazilian government. We have no control over government regulations, which govern all facets of our operations, including the imposition of:

  • minimum capital requirements;

  • compulsory reserve requirements;

  • investment requirements in fixed assets;

  • lending limits and other credit restrictions; and

  • accounting and statistical requirements.

10


Table of Contents

     The regulatory structure governing Brazilian banks and insurance companies is continuously evolving. Existing laws and regulations could be amended, the manner in which laws and regulations are enforced or interpreted could change, and new laws or regulations could be adopted. Such changes could materially adversely affect our operations and our revenues.

     Regulatory changes affecting other businesses in which we are engaged, including our broker-dealer and leasing operations, could also have an adverse effect on our operations and our revenues.

Changes in base interest rates by the Central Bank may materially adversely affect our results of operations and profit.

     The Central Bank establishes the base interest rates for the Brazilian banking system. In recent years, the base interest rate has fluctuated, with a high of approximately 45.0% per year in March 1999 and a low of 11.25% per year in December 2007. In December 2005, the Central Bank decreased the base interest rate to 18.0% per year. The Central Bank reduced the base interest rate to 13.25% per year in December 2006. Changes in the base interest rate may adversely affect our results of operations because:

  • high base interest rates increase our domestic debt expense and may increase the likelihood of customer defaults; and

  • low base interest rates may diminish our interest income.

     The Central Bank adjusts the base interest rate in order to manage aspects of the Brazilian economy, including the protection of reserves and capital flows. We have no control over the base interest rates set by the Central Bank or how often they adjust them.

The increasingly competitive environment in the Brazilian banking and insurance industries may negatively affect our business prospects.

     We face significant competition in all of our principal areas of operation from other large Brazilian banks and insurance companies, both public and private. Brazilian regulations raise limited barriers to market entry and do not differentiate between local or foreign commercial and investment banks and insurance companies. As a result, the presence of foreign banks and insurance companies in Brazil, some of which have greater resources than we do, has grown and competition both in the banking and insurance sectors generally and in markets for specific products has increased. The privatization of publicly owned banks has also made the Brazilian markets for banking and other financial services more competitive.

     The increased competition may negatively affect our business results and prospects by, among other things:

  • limiting our ability to increase our client base and expand our operations;

  • reducing our profit margins on the banking, insurance, leasing and other services and products we offer; and

  • increasing competition for foreign investment opportunities.

     Furthermore, additional publicly-owned banks and insurance companies may be privatized in the future. The acquisition of a bank or insurance company in a privatization process or otherwise by one of our competitors would add to the acquirers’ market share, and as a result, we may face increased competition from the acquirer.

11


Table of Contents

New regulations focused on increasing the competitiveness in the banking sector may adversely affect our competitiveness

     In September 2006, the Conselho Monetário Nacional (National Monetary Council), which we call “CMN,” enacted new regulations to increase competition among Brazilian commercial banks.

     Among the key aspects of these new regulations are (i) banks are prohibited from charging their clients fees for services in connection with salary, pension and other income payment accounts that such clients are required to maintain with a bank that is designated by such client’s employer, pension fund or income payor; (ii) financial institutions and leasing companies must accept the prepayment of loans and leasing transactions by clients who have elected to refinance such debt with other financial institutions; (iii) clients will have the right to request that a financial institution disclose their credit history to another financial institution; and (iv) changes in the regulation of the Credit Guarantee Fund, known as “FGC,” which is a government fund created to guarantee payment of funds deposited with financial institutions in case of intervention, administrative liquidation, bankruptcy, or other state of insolvency, thereby providing depositors with greater assurance that their deposits will be safeguarded. For more information on the FGC, see “Regulation and Supervision—Bank Regulations—Dissolution of Financial Institutions–Repayment of Creditors in Liquidation.”

     By creating mechanisms that will make it easier for clients to open new accounts and transfer their funds from one institution to another, these new regulations aim to increase competition among financial institutions by facilitating a client’s ability to switch their business from one financial institution to another. In addition, the changes in the Federal depositary insurance regime are intended to provide clients with the security of knowing that if they deposit their funds in a smaller institution, their loss will be guaranteed at up to R$60,000 per client in the event that the bank becomes insolvent.

     We cannot determine at this time how these new regulations may affect our ability to compete with other financial institutions in Brazil. In addition, the Minister of Finance is considering the appropriate implementation regulations for two additional measures, which, if implemented, may also affect our competitiveness. We can provide no assurance that these new regulations, the measures that are currently being considered or any additional future regulations, will not have an adverse impact on our competitiveness, thereby adversely impacting our results of operations and the price of our ADSs.

Some of our common shares are held by shareholders, whose interests may conflict with other investors’ interests.

     At December 31, 2007, Cidade de Deus—Companhia Comercial de Participações, which we call “Cidade de Deus Participações,” directly held 48.22% of our common shares and Fundação Bradesco, directly and indirectly, held 48.21% of our common shares. As a result, these shareholders have the power to prevent a change in control of our company, even if a transaction of that nature would be beneficial to our other shareholders. These shareholders also have the power to approve related-party transactions or corporate reorganizations, which may not be beneficial for our other shareholders. Under the terms of Fundação Bradesco’s bylaws, all of our directors, members of the Diretoria Executiva and departmental directors (which has been working at Grupo Bradesco for more than ten years), as well as all directors and officers of Cidade de Deus Participações, serve as members of the board of trustees of Fundação Bradesco. The board of trustees has no other members. For more information on our shareholders, see “Item 7. Major Shareholders and Related Party Transactions—Major Shareholders.”

12


Table of Contents

Changes in reserve and compulsory deposit requirements may hurt our profitability.

     In mid-2002, the Central Bank increased the reserve requirements to 8.0% over demand deposits and time deposits and 10.0% over savings deposits. Such amounts shall be paid in kind by the banks and will bear interest equivalent to the base interest rate for the Brazilian banking system. On December 31, 2007, the reserve requirements over demand, time and savings deposits required us to hold a total of R$8.1 billion. On December 31, 2007, the reserve requirements over time deposits, required us to hold a total amount of R$8.3 billion in Brazilian government securities. At the beginning of 2008, the Central Bank determined a new compulsory deposit requirement over interbank deposits of leasing companies. Our leasing company invests most of its cash available for immediate investment in interbank deposit accounts with us. This new Central Bank requirement would have an adverse impact on the cost of our deposit-taking activities. In addition, we could be materially adversely affected by changes in compulsory deposit requirements because the monies held as compulsory deposits generally do not yield the same return as our other investments and deposits because:

  • a portion of our compulsory deposits do not bear interest;

  • we are obligated to hold some of our compulsory deposits in Brazilian government securities; and

  • we must use a portion of the deposits to finance a federal housing program, the rural sector and the microcredit program.

     Reserve requirements have been used by the Central Bank to control liquidity as part of monetary policy in the past, and we have no control over their imposition.

We may experience increases in our level of past due loans as our loan portfolio matures.

     Our loan portfolio has grown substantially since 1996. Any corresponding rise in our level of past due loans may lag behind the rate of loan growth, as loans typically do not become due within a short period of time after their origination. Rapid loan growth may also reduce our ratio of past due loans to total loans until growth slows or the portfolio becomes more seasoned. This may result in increases in our loan loss provisions, charge-offs and the ratio of past due loans to total loans.

     In addition, as a result of the increase in our loan portfolio and the described lag in any corresponding rise in our level of past due loans, our historic loan loss experience may not be indicative of our future loan loss experience.

Losses on our investments in marketable securities may have a significant impact on our results of operations and are not predictable.

     Marketable securities represent a material portion of our assets, and realized investment gains and losses have had and will continue to have a significant impact on our results of operations. The amounts of these gains and losses, which we record when investments in securities are sold, or in certain limited circumstances when the securities we hold are marked to market, may fluctuate considerably from period to period. The level of fluctuation depends, in part, upon the market value of the securities, which in turn may vary considerably, and upon our investment policies. We cannot predict the amount of realized gain or loss for any future period, and variations from period to period have no practical analytical value. Gains on our investment portfolio may not continue to contribute to net income at levels consistent with recent periods or at all, and we may not successfully realize the appreciation now existing in our consolidated investment portfolio or any portion thereof.

13


Table of Contents

If a ceiling on bank loan interest rates is enforced, it may have an adverse effect on our interest income and our ability to extend credit.

     As promulgated in 1988, the Brazilian Constitution established a 12.0% per year ceiling on loan interest rates, including bank loan interest rates. This ceiling was not enforced, however, because the Brazilian Congress did not adopt the necessary implementing legislation. In May 2003, the relevant article was revoked pursuant to a constitutional amendment.

     Any significant changes in the restrictions on interest rates could have a substantial effect on our financial situation, results of operations and prospects.

If our reserves for future policyholder benefits and claims are inadequate, we may be required to increase our reserves, which would adversely affect our results of operations and financial condition.

     We establish and carry reserves to pay future policyholder benefits and claims. Our reserves do not represent an exact calculation of liability, but rather are actuarial or statistical estimates based on models that include many assumptions and projections which are inherently uncertain and involve the exercise of significant judgment, including as to the levels of and/or timing of receipt or payment of premiums, benefits, claims, expenses, interest credits, investment results, retirement, mortality, morbidity and persistency. We cannot determine with precision the ultimate amounts that we will pay for, or the timing of payment of, actual benefits, claims and expenses or whether the assets supporting our policy liabilities, together with future premiums, will be sufficient for payment of benefits and claims. If we conclude that our reserves, together with future premiums, are insufficient to cover future policy benefits and claims, we would be required to increase our reserves and incur income statement charges for the period in which we make the determination, which would adversely affect our results of operations and financial condition.

Our profitability may decline if mortality rates, morbidity rates or persistency rates differ significantly from our pricing expectations.

     We set prices for many of our insurance and annuity products based upon expected claims and payment patterns, using assumptions for mortality rates, or likelihood of death, and morbidity rates, or likelihood of sickness, of our policyholders. In addition to the potential effect of natural or man-made disasters, significant changes in mortality or morbidity could emerge gradually over time, due to changes in the natural environment, the health habits of the insured population, treatment patterns for disease or disability, or other factors. Pricing of our insurance and deferred annuity products are also based in part upon expected persistency of these products, which is the probability that a policy or contract will remain in force from one period to the next. Results may also vary based on differences between actual and expected premium deposits and withdrawals for these products. Significant deviations in actual experience from our pricing assumptions could have an adverse effect on the profitability of our products. Although some of our products permit us to increase premiums or adjust other charges and credits during the life of the policy or contract, the adjustments permitted under the terms of the policies or contracts may not be sufficient to maintain profitability. Many of our products do not permit us to increase premiums or adjust other charges and credits or limit those adjustments during the life of the policy or contract.

Our strategy of marketing and expanding Internet banking in Brazil could be badly received or more expensive than lucrative.

     We have aggressively pursued the use of the Internet for banking and other services to our clients and expect to continue to do so. However, the market for our Internet products is rapidly evolving and is becoming increasingly competitive. We cannot predict whether, or how fast, this market will grow. Moreover, if we fail to adapt effectively to growth and change in the Internet market and technology, our business, competitiveness, or results of operations could be materially affected.

14


Table of Contents

     The Internet may prove not to be a viable Brazilian commercial marketplace for a number of reasons, including a lack of acceptable security technologies, potentially inadequate development of the necessary infrastructure, or the lack of necessary development and commercialization of performance improvements.

     To the extent that higher bandwidth Internet access becomes more widely available, we may be required to make significant changes to the design and content of our online network in order to compete effectively. Failure to effectively adapt to these or any other technological developments could adversely affect our business.

Our trading activities and derivatives transactions may produce material losses.

     We engage in the trading of securities, buying debt and equity securities principally to sell them in the near term with the objective of generating profits on short-term differences in price. These investments could expose us to the possibility of material financial losses in the future, as securities are subject to fluctuations in value, which may generate losses. In addition, we enter into derivatives transactions to manage our exposure to interest rate and exchange rate risk. Each such derivatives transaction protects against increases in exchange rates or interest rates or against decreases in such rates, but not both. If we have entered into derivatives transactions to protect against, for example, decreases in the value of the real or in interest rates and the real instead increases in value or interest rates increase, we may incur financial losses. Such losses could adversely materially affect our future liquidity, our net income and therefore the value of the preferred shares and ADSs. For further information about our market risk, see “Item 11. Quantitative and Qualitative Disclosures about Market Risk.” In the past three years the ratio of our trading securities to our total assets, as measured at December 31 of each year, has been as high as 24.2% and could be greater in the future.

Risks Relating to the Preferred Shares and ADSs

As a holder of ADSs, you will generally not have voting rights at our shareholders’ meetings.

     In accordance with our bylaws and Brazilian corporate law (Brazilian Law No. 6,404/76, as amended by Law No. 9,457/97 and Brazilian Law No. 10,303/01, which we refer to collectively as “Brazilian Corporate Law”), holders of our preferred shares, and thus of our ADSs, are not entitled to vote at our shareholders’ meetings except in limited circumstances. This means, among other things, that you, as a holder of ADSs, are not entitled to vote on corporate transactions, including any proposed merger or consolidation with other companies.

     In addition, in the limited circumstances where the preferred shareholders are able to vote, holders may exercise voting rights with respect to the preferred shares represented by ADSs only in accordance with the provisions of the deposit agreement relating to the ADSs. There are no provisions under Brazilian law or under our bylaws that limit ADS holders’ ability to exercise their voting rights through the depositary bank with respect to the underlying preferred shares. However, there are practical limitations upon the ability of ADS holders to exercise their voting rights due to the additional procedural steps involved in communicating with such holders. For example, our preferred shareholders will either receive notice directly from us or through publication of notice in Brazilian newspapers and will be able to exercise their voting rights by either attending the meeting in person or voting by proxy. ADS holders, by comparison, will not receive notice directly from us. Rather, in accordance with the deposit agreement, we will provide the notice to the depositary bank, which will in turn, as soon as practicable thereafter, mail to holders of ADSs the notice of such meeting and a statement as to the manner in which instructions may be given by holders. To exercise their voting rights, ADS holders must then instruct the depositary bank how to vote the shares represented by their ADSs. Because of this extra procedural step involving the depositary bank, the process for exercising voting rights will take longer for ADS holders than for holders of preferred shares. ADSs for which the depositary bank does not receive timely voting instructions will not be voted at any meeting.

15


Table of Contents

     Except in limited circumstances, ADS holders are not able to exercise voting rights attaching to the ADSs.

An active or liquid market for our ADSs may not develop further or be sustained.

     Prior to the registration of our ADSs in September 2001, there was not a liquid public market for our ADSs. We cannot predict whether an active, liquid public trading market for our ADSs will develop any further or be sustained. Active, liquid trading markets usually result in lower price volatility and in a more efficient execution of purchase and sale orders of investors. Often, the liquidity of a securities market, many times, is due to the volume of the underlying shares that are publicly held by non-related parties. Although the ADSs holders are entitled to withdraw the preferred shares underlying the ADSs from the depositary bank at any time, there is not a public market for our preferred shares in the United States.

The preferred shares and ADSs do not entitle you to a fixed or minimum dividend.

     Holders of our preferred shares and ADSs are not entitled to a fixed or minimum dividend. Pursuant to our bylaws, our preferred shares are entitled to dividends 10.0% higher than those assigned to our common shares. Although under our current bylaws we are generally obligated to pay our shareholders at least 30.0% of our annual net adjusted income, our shareholders, acting at our annual shareholders’ meeting, have the discretion to suspend this mandatory distribution of dividends if the Board of Directors advises them that the payment of the dividend is not compatible with our financial condition. Neither our bylaws nor Brazilian law specifies the circumstances in which a distribution would not be compatible with our financial condition, and our controlling shareholders have never suspended the mandatory distribution of dividends. However, general Brazilian practice is that a company need not pay dividends if such payment would threaten the existence of the company as a going concern or would harm its normal course of operations.

As a holder of ADSs you will have fewer and less well-defined shareholders’ rights than in the United States and certain other jurisdictions.

     Our corporate affairs are governed by our bylaws and Brazilian Corporate Law, which may differ from the legal principles that would apply if we were incorporated in a jurisdiction in the United States or in certain other jurisdictions outside Brazil. Under Brazilian Corporate Law, you and the holders of the preferred shares may have fewer and less well-defined rights to protect your interests relative to actions taken by our Board of Directors or the holders of our common shares than under the laws of other jurisdictions outside Brazil.

     Although Brazilian Corporate Law imposes restrictions on insider trading and price manipulation, the Brazilian securities markets are not as highly regulated and supervised as the U.S. securities markets or markets in certain other jurisdictions. In addition, self-dealing and the preservation of shareholder interests may not be as regulated, and regulations may not be as enforced, in Brazil as in the United States, which could potentially disadvantage you as a holder of the preferred shares and ADSs. For example, when compared to Delaware general corporation law, Brazilian Corporate Law and practice has less detailed and well-established rules and judicial precedents relating to the review of management decisions against duty of care and duty of loyalty standards in the context of corporate restructurings, transactions with related parties, and sale-of-business transactions. In addition, shareholders in Brazilian companies must hold 5.0% of the outstanding share capital of a corporation to have standing to bring shareholders’ derivative suits, and shareholders in Brazilian companies ordinarily do not have standing to bring a class action.

16


Table of Contents

It may be difficult to enforce civil liabilities against us or our directors and officers.

     We are organized under the laws of Brazil, and all of our directors and officers reside outside the United States. In addition, a substantial portion of our assets, and most or all of the assets of our directors and officers are located in Brazil. As a result, it may be difficult for investors to effect service of process within the United States or other jurisdictions outside of Brazil on such persons or to enforce judgments against them, including in any action based on civil liabilities under the U.S. federal securities laws.

If we issue new shares or our shareholders sell shares in the future, the market price of your ADSs may be reduced.

     Sales of a substantial number of shares, or the belief that this may occur, could decrease the prevailing market price of the preferred shares and ADSs by diluting the shares’ value. If we issue new shares or our existing shareholders sell shares they hold, the market price of the preferred shares and, by extension, of the ADSs, may decrease significantly. Such sales also might make it more difficult for us to sell preferred shares and ADSs in the future at a time and a price that we deem appropriate.

You may be unable to exercise preemptive rights relating to the preferred shares.

     You will not be able to exercise the preemptive rights relating to the preferred shares underlying your ADSs unless a registration statement under the United States Securities Act of 1933 is effective with respect to those rights or an exemption from the registration requirements of the Securities Act is available. Similarly, we may from time to time distribute rights to our shareholders. The depositary bank will not offer rights to you as a holder of the ADSs unless the rights are either registered under provisions of the Securities Act or are subject to an exemption from the registration requirements. We are not obligated to file a registration statement with respect to the shares or other securities relating to these rights, and we cannot assure you that we will file any such registration statement. Accordingly, you may receive only the net proceeds from the sale by the depositary bank of the rights received in respect of the shares represented by your ADSs or, if the preemptive rights cannot be sold, they will be allowed to lapse. You may also be unable to participate in rights offerings by us and your holdings may be diluted as a result.

If you exchange your ADSs for preferred shares, you risk losing the ability to remit foreign currency abroad and Brazilian tax advantages.

     Brazilian law requires that parties obtain registration with the Central Bank in order to be allowed to remit foreign currencies, including U.S. dollars, abroad. The Brazilian custodian for the preferred shares will obtain the necessary registration with the Central Bank for the payment of dividends or other cash distributions relating to the preferred shares or upon the disposition of the preferred shares. If you exchange your ADSs for the underlying preferred shares, however, you may only rely on the custodian’s certificate for five business days from the date of exchange. Thereafter, you must obtain your own registration in accordance with Central Bank and the Comissão de Valores Mobiliários (the Brazilian Securities Commission), which we call “CVM,” rules, in order to obtain and remit U.S. dollars abroad upon the disposition of the preferred shares or distributions relating to the preferred shares. If you do not obtain a certificate of registration, you may not be able to remit U.S. dollars or other currencies abroad and may be subject to less favorable tax treatment on gains with respect to the preferred shares. For more information, see “Item 10. Additional Information ¯ Exchange Controls.”

17


Table of Contents

     If you attempt to obtain your own registration, you may incur expenses or suffer delays in the application process, which could delay your ability to receive dividends or distributions relating to the preferred shares or the return of your capital in a timely manner. The custodian’s registration and any certificate of foreign capital registration you obtain may be affected by future legislative changes. Additional restrictions applicable to you, the disposition of the underlying preferred shares or the repatriation of the proceeds from disposition may be imposed in the future.

The Brazilian government may impose exchange controls and restrictions on remittances abroad which may adversely affect your ability to convert funds in reais into other currencies and to remit other currencies abroad.

     The Brazilian government has been progressively changing the Brazilian exchange regulations as a part of a liberalization program (See “Item 4. Information on the Company—Regulation and Supervision—Bank Regulation—Foreign Currency Position”). However, it has historically imposed, and continues to impose, restrictions on the remittance to foreign investors of the proceeds of their investments in Brazil and the conversion of Brazilian currency into foreign currencies. The Brazilian government last imposed remittance restrictions for a brief period in 1989 and early 1990. Re-imposition of this type of restriction would hinder or prevent your ability to convert dividends, distributions or the proceeds from any sale of preferred shares, as the case may be, into U.S. dollars or other currencies and to remit those funds abroad. We cannot assure you that the government will not interrupt this liberalization program or take restrictive measures in the future.

Devaluation of the real would reduce the U.S. dollar value of distributions and dividends on the ADSs.

     A devaluation of the real would reduce the value of distributions and dividends on the ADSs as measured in U.S. dollars, and could therefore reduce the market price of the preferred shares and ADSs.

The relative volatility and illiquidity of the Brazilian securities markets may adversely affect you should you exchange your ADS for preferred shares.

     The Brazilian securities markets are substantially smaller, less liquid, more concentrated and more volatile than major securities markets in the United States and elsewhere, and are not as highly regulated or supervised as some of those other markets. The relatively small market capitalization and illiquidity of the Brazilian equity markets may cause the market price of securities of Brazilian companies, including our ADSs and preferred shares, to fluctuate in both the domestic and international markets, and may substantially limit your ability to sell the preferred shares underlying your ADSs at a price and time at which you wish to do so.

Forward-Looking Statements

     This annual report contains forward-looking statements relating to our business that are based on management’s current expectations, estimates and projections about future events and financial trends affecting our business. Words such as “believe,” “anticipate,” “plan,” “expect,” “intend,” “target,” “estimate,” “project,” “predict,” “forecast,” “guideline,” “should” and similar expressions are used to identify forward-looking statements. These statements are not guarantees of future performance and involve risks and uncertainties that are difficult to predict and that may be beyond our control. Further, certain forward-looking statements are based upon assumptions as to future events that may not prove to be accurate. Therefore, actual outcomes and results may differ materially from the plans, objectives, expectations, estimates and intentions expressed or implied in such forward-looking statements.

18


Table of Contents

Factors that could cause actual results to differ materially include, but are not limited to:

  • changes in regional, national and international economic and business conditions;

  • inflation;

  • increases in defaults by borrowers and other loan delinquencies;

  • increases in the provision for loan losses;

  • deposit attrition;

  • customer loss or revenue loss;

  • our ability to sustain and improve performance;

  • changes in interest rates which may, among other things, adversely affect our margins;

  • competition in the banking, financial services, credit card services, insurance, asset management and other related industries;

  • the market value of trading securities, mainly Brazilian government securities;

  • government regulation and tax matters;

  • adverse legal or regulatory disputes or proceedings; and

  • credit and other risks of lending and investment activities.

     Accordingly, you should not place undue reliance on these forward-looking statements. In any event, these forward-looking statements speak only as of the date they are made. Except as may be required by applicable law, we do not undertake any obligation to update them, whether as a result of new information, future developments or otherwise.

Item 4. Information on the Company.

HISTORY AND DEVELOPMENT OF THE COMPANY

     We are the largest private-sector bank (non-government-controlled) in Brazil in terms of total assets. We offer a wide range of banking and financial products and services in Brazil and abroad to individuals, small to mid-sized companies and major local and international corporations and institutions. We have the most extensive private-sector branch and service network in Brazil, which permits us to reach a diverse client base. Our services and products encompass banking operations such as lending and deposit-taking, credit card issuance, consortiums, insurance, leasing, payment collection and processing, pension plans, asset management and brokerage services.

19


Table of Contents

     According to information published by the Superintendência de Seguros Privados (the Superintendency of Private Insurance, known as “SUSEP”) and by the Agência Nacional de Saúde Suplementar (the National Agency of Supplemental Health, known as “ANS”), we are the largest insurance, pension plan and títulos de capitalização group in Brazil on a consolidated basis in terms ofinsurance premiums, pension plan contributions and income from certificated savings plans. According to the annual publication of Fundacion Mapfre in Spain, Grupo Bradesco de Seguros e Previdência was the greatest insurance and pension plan group in Latin America in 2006. Títulos de capitalização, which we call “certificated savings plans,” is a type of savings account that is coupled with periodic drawings for prizes.

     We are the largest private-sector bank in Brazil in terms of a compound criteria that takes into account revenue, profit, assets and market value, according to “The Forbes Global 2000” report published byForbes magazine in March 2008.

     In 2007, some of our subsidiaries ranked among the largest companies in Brazil in their respective markets, according to the sources cited in parentheses below, including:

Bradesco Seguros S.A., our insurance subsidiary, which we call “Bradesco Seguros,” together with its subsidiaries, in terms of insurance premiums, shareholder's equity and technical reserves (SUSEP and ANS);
 
 Bradesco Vida e Previdência S.A., Bradesco Seguros’ subsidiary, which we call “Bradesco Vida e Previdência,” is the largest company in the market in terms of private pension plan contributions, life and personal accident insurance premiums, investment portfolios and technical provisions (SUSEP);
 
 Bradesco Capitalização S.A., Bradesco Seguros’ subsidiary, which we call “Bradesco Capitalização,” offers certificated savings plans. Bradesco Capitalização is the leading private company in the market in terms of revenue from the sale of certificated savings plans (SUSEP);
 
 Bradesco Auto/RE Companhia de Seguros, Bradesco Seguros’ subsidiary, which we call “Bradesco Auto/RE,” offers automobile insurance, basic lines and liability products;
 
 Bradesco Saúde S.A., Bradesco Seguros’ subsidiary, which we call “Bradesco Saúde,” offers health insurance coverage, including medical and hospital expenses. Bradesco Saúde has one of the largest networks of healthcare service providers and is the leader in the health insurance market (ANS);
 
Bradesco Leasing S.A. Arrendamento Mercantil, which we call “Bradesco Leasing,” in terms of the present value of leasing accounts (Associação Brasileira das Empresas de Leasing (Brazilian Association of Leasing Companies), known as “ABEL”);
 
Bradesco Administradora de Consórcios Ltda., which we call “Bradesco Consórcios,” in terms of the total number of outstanding consortium shares (Central Bank); and
 
Banco Finasa S.A., which we call “Banco Finasa,” in terms of automobile financing loans (Central Bank);
 

     We are also one of the leaders among private-sector financial institutions in third-party resource management and in underwriting debt securities, according to information published by AssociaçãoNacional de Bancos de Investimento (the National Association of Investment Banks, known as “ANBID”).

20


Table of Contents

     For information on other private-sector and public-sector (government-controlled) financial institutions in Brazil, see “—Regulation and Supervision—Principal Financial Institutions.”

     In 2007, according to information published by the Secretaria da Receita Federal (the “Federal Revenue Service”), we accounted for 19.7% of the total nationwide collections of a tax called Contribuição Provisória sobre a Movimentação Financeira (the Provisional Contribution on Financial Transactions, known as “CPMF”). Since the CPMF was levied on virtually all Brazilian financial transactions, this statistic provides a measure of the percentage of Brazilian financial transactions that we handle.

As of December 31, 2007, we had, on a consolidated basis:

  • R$334.5 billion in total assets;

  • R$133.1 billion in total loans;

  • R$98.3 billion in total deposits;

  • R$33.1 billion in shareholders’ equity;

  • R$57.8 billion in insurance claim technical reserves, pension plans, certificated savings plans and pension investment contract operations;

  • R$17.5 billion in foreign trading financing;

  • 19.8 million insurance policyholders;

  • 18.8 million checking account holders;

  • 34.6 million savings accounts;

  • 2.3 million of certificated savings plan holders;

  • 1,331 of Brazilian and multinational groups of affiliated companies in Brazil as corporate customers;

  • a daily average of 13.0 million daily transactions, including 2.2 million in our 3,160 branches and 10.8 million through self-service outlets, mainly Automatic Teller Machines, which we call “ATMs,” the Internet and Fone Fácil;

  • a nationwide network consisting of 3,160 branches, 25,974 ATMs and 2,776 special banking service posts and outlets located on the premises of selected corporate clients; and

  • a total of five branches and seven subsidiaries located in New York, London, the Cayman Islands, the Bahamas, Japan, Argentina, Luxembourg and Hong Kong.

     Although our client base includes individuals of all income levels as well as large, midsized and small businesses, the lower to middle income citizens of Brazil have traditionally formed the backbone of our clientele. Since the 1960s, we have been a leader in this retail banking market in Brazil. This segment still has great potential for development and provides us with higher margins than other segments, such as corporate credit operations and securities trading, where we face greater price competition.

21


Table of Contents

     Our large banking network allows us to be closer to our customers, which, in turn, permits our managers to have personal and direct knowledge about our customers, economically active regions and other conditions relevant to our business. This knowledge helps us in assessing and limiting credit risks in credit operations, among other risks, as well as in servicing the particular needs of our clients. Approximately 10.0 million transactions are executed through our Bradesco network every day.

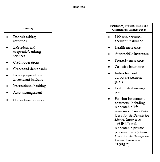
     We organize our operations into two main areas: (i) banking services; and (ii) insurance services, pension plans and certificated savings plans. See note 25 to our consolidated financial statements in Item 18 for additional segment information. The following diagram provides summary information for our two business areas at and for the year ended December 31, 2007, by segment.

22


Table of Contents

     As of December 31, 2007, according to the sources cited in parentheses below, we were:

  • the leader among private-sector banks in savings deposits, with 17.4% of all savings accounts in Brazil and R$32.8 billion on deposit (Central Bank);

  • the largest provider of insurance and private pension plans, with R$15.0 billion in net premiums written and revenues from private pension plans (SUSEP);

  • the leader among the largest on-lender banks of BNDES loans for the 5th consecutive year (BNDES);

  • one of the leaders in Brazilian leasing operations, with R$8.1 billion outstanding (ABEL);

  • one of the leaders in the placement of debt instruments in Brazil, with R$2.3 billion in fixed income operations during 2007 (ANBID);

  • one of the largest private-sector fund and portfolio managers in Brazil, with R$177.5 billion in total third-party assets under management, representing 14% of the total Brazilian market (ANBID);

  • one of the largest credit card issuers in Brazil, with 17.5 million credit cards (Visa, American Express and MasterCard and 9.7 million private label cards) and a credit cards revenue of R$32.8 billion and R$4.1 billion in private label cards (Bradesco, Fidelity National Information Services, Inc., which we call “Fidelity National,” “Leader S.A. Administradora de Cartões de Crédito, which we call “Leader Card” and American Express;

23


Table of Contents

  • one of the largest debit card issuers in Brazil, with 43.2 million debit cards issued, and income of R$16.8 billion from our debit card business (VISA);

  • the leader in bank collection services in Brazil, with a market share of 30% (Central Bank);

  • the leader in marketing of quotas of consortia in the real estate and automobile sectors with 126,829 quotas and 162,325 quotas respectively (Central Bank);

  • one of the leaders in car loan customer financing with a market share of 26.0% (Central Bank); and

  • the leader among private-sector banks in benefit payments under the Instituto Nacional do Seguro Social (the National Social Security Institute), known as “INSS,” social security program, having service payments of R$32.9 billion to more than 4.9 million beneficiaries and pensioners of the INSS,” accounting for 19.6% of the total number of INSS beneficiaries.

24


Table of Contents

     The following table summarizes our gross revenues by business area for the periods indicated.

     The total amounts per segment shown in the table below may not correspond to the amounts shown on a consolidated basis, as they do not take into account other activities we develop as they are immaterial, and were subject to adjustments, reclassifications and eliminations for inter-company transactions.

  For the Years Ended December 31, 
  
  2005  2006  2007 
    
    (R$ in millions)  
Banking:       
   Loan operations:       
         Housing loans  R$ 194  R$ 217  R$ 323 
         Agriculture-related loans  563  690  862 
         Leasing  441  653  908 
         Other loans(1) 15,657  19,417  20,515 
    
           Total  R$ 16,855  R$ 20,977  R$ 22,608 
    
 
     Fees and commissions:       
         Asset management fees  R$ 620  R$ 617  R$ 743 
         Collection fees  718  751  859 
         Credit card fees  562  929  1,273 
         Fees charged on checking account services  1,563  1,879  2,108 
         Fees for receipt of taxes  190  237  237 
         Financial guarantees  109  143  197 
         Interbank fees  271  290  321 
         Consortium administration  149  202  256 
         Other services  489  702  1,000 
    
           Total  R$ 4,671  R$ 5,750  R$ 6,994 
    
 
Insurance and pension plans:(2)      
   Insurance premiums:       
         Health  R$ 3,518  R$ 3,918  R$ 4,246 
         Life and accident  1,787  1,779  1,822 
         Automobile, property and liability  2,500  2,424  2,775 
    
           Total  R$ 7,805  R$ 8,121  R$ 8,843 
    
 
     Pension plan income  R$ 377  R$ 791  R$ 555 
    

_________________
(1)
Includes industrial loans, financing under credit cards, overdraft loans, trade financing and foreign loans.
(2)
This does not include private pension investment contracts. See “—Insurance, Pension Plans and Certificated Savings Plans.”

     We do not break down our revenues by geographic market within Brazil, and less than 10.0% of our revenues come from international operations. For more information on our international operations, see “—Banking Activity—International Banking.” For a discussion of our principal capital expenditures from 2005 through 2007, see “Item 5. Operating and Financial Review and Prospects – Capital Expenditures.”

     The following is a simplified chart of our principal material subsidiaries in the financial and insurance services businesses and our voting and ownership interest in each of them as of December 31, 2007 all of which are consolidated in our financial statements in Item 18. With the exception of Banco Bradesco Argentina, which is incorporated in Argentina, all of these material subsidiaries are incorporated in Brazil. For more information regarding the consolidation of our material subsidiaries, see note 1(a) to our consolidated financial statements in Item 18.

25


Table of Contents


26


Table of Contents

History

     We were founded in 1943 as a commercial bank under the name “Banco Brasileiro de Descontos S.A.” In 1948 we began a period of aggressive expansion, which led to our becoming the largest private-sector commercial bank in Brazil by the end of the 1960s. We expanded our activities nationwide during the 1970s, entering into urban and rural Brazilian markets. In 1988 we merged with our real estate finance, investment bank and consumer credit subsidiaries to become a multiple service bank and changed our name to Banco Bradesco S.A.

Recent Acquisitions

     On April 11, 2008, Cidade de Deus Participações and Fundação Bradesco, which together hold 64.64% of our voting shares, and which we call our “Controlling Shareholders,” entered into an agreement with Banco Espírito Santo S.A., which we call “BES,” to sell common shares representing 1.5% of our voting stock. This transaction was closed on April 11, 2008, upon delivery of R$685 million.

     In March 2008, we, through Banco Bradesco BBI S.A., which we call BBI, entered into an agreement with the shareholders of Ágora CTVM S.A., which we call “Ágora Corretora Holdings,” to acquire 100% of the total capital stock of Ágora Corretora for approximately R$830 million. Approval of the transaction by the Central Bank is still pending. Upon receipt of Central Bank approval we will deliver to Ágora Corretora shareholders, as compensation for Ágora Corretora capital stock, shares representing 8.0% of the capital stock of BBI, and will convert Ágora Corretora into BBI’s wholly owned subsidiary.

     In January 2008, we, through Bradesco Seguros, entered into an agreement with Marsh Corretora de Seguros Ltda. to acquire 100% of the total capital stock of Mediservice—Administradora de Planos de Saúde Ltda., which we call “Mediservice,” for R$84.9 million. Mediservice has been operating for 20 years in Brazil. It has offices located in the cities of São Paulo, Rio de Janeiro and Salvador, approximately 300,000 users, and a network of nearly 30,000 accredited physicians, dentists, laboratories, diagnosis centers, clinics, hospitals and emergency services. This acquisition expands the client portfolio of Grupo Bradesco Seguros e Previdência and reinforces its positioning in the market of health group plan operators. Approval of the transaction by ANS and the Conselho Administrativo de Defesa Econômica (Administrative Council for Economic Defense), known as “CADE,” is still pending.

     In January 2007, we entered into an agreement with the shareholders of Banco BMC S.A., which we call “BMC,” to acquire 100% of the total capital stock of BMC, and, accordingly, its controlled companies BMC Asset Management Ltda. – Distribuidora de Títulos e Valores Mobiliários, BMC Previdência Privada S.A. and Credicerto Promotora de Vendas Ltda. BMC is one of the largest private banks in the paycheck deductible loan market for beneficiaries and pensioners of INSS, with a network of approximately 7,000 agents and 749 banking correspondents. In accordance with the terms of this agreement, in August 2007 we delivered 9,299,618 of our common shares and 9,299,514 of our preferred shares to BMC shareholders for their BMC shares, which amounted to R$790 million. This transaction was closed in August 2007, upon receipt of Central Bank approval over the transaction.

Acquisitions in 2006

     In May 2006, we entered into an agreement with Bradespar S.A., which we call “Bradespar,” to acquire 100% of the total capital stock of Bradesplan Participações S.A., which we call “Bradesplan,” for R$308.0 million. Bradesplan is a holding company that holds equity interests of non-financial companies of Bradesco Group’s.

27


Table of Contents

     In March 2006, we entered into an agreement with the controlling shareholders of American Express Company to acquire 100% of the total capital stock of its Brazilian subsidiaries that operate credit card and related businesses, such as insurance brokerage, business travel, retail foreign exchange services and direct consumer financing operations. According to this agreement, we have the exclusive right to issue credit and debit cards for individuals and corporate clients of American Express Centurion in Brazil during a ten-year period. This transaction closed in June 2006 upon payment in cash of US$468 million, equivalent to R$1.0 billion, and receipt of Central Bank approval.

     In March 2006, we entered into an agreement with Lojas Colombo S.A. Comércio de Utilidades Domésticas, which we call “Lojas Colombo,” to acquire 50% of the total capital stock of Josema Administração e Participações S.A., parent company of Credifar S.A., Crédito, Financiamento e Investimento, which we call “Credifar.” Credifar distributes financial products and services to the clients of Lojas Colombo S.A., the third largest retail chain of electrical and electronic appliances and furniture in Brazil, with 365 stores in the States of Rio Grande do Sul, Santa Catarina, Paraná, São Paulo and Minas Gerais. Lojas Colombo has being acting as a banking correspondent of ours since August 2004, with more than 2 million active clients. This transaction closed in May 2007 upon receipt of Central Bank approval.

Acquisitions from 2003 to 2005

     Acquisition of BBV Banco

     In January 2003, we entered into an agreement with Banco Bilbao Vizcaya Argentaria S.A., which we call “BBVA,” to acquire all of the shares of Banco Bilbao Vizcaya Argentaria Brasil S.A. and its controlled companies, which we call “BBV Banco,” from BBVA. Our primary goal in making the acquisition was to improve our productivity and competitiveness by incorporating BBV Banco’s resources into our own and to develop our business with Spanish entities investing in Brazil.

     The Central Bank approved the transaction in May 2003, and BBV Banco became our wholly owned subsidiary in June 2003 when our shareholders and BBVA’s board of directors approved the exchange of BBV Banco’s shares for our newly issued shares. As of May 31, 2003, BBV Banco had total assets of R$10.3 billion, net equity of R$2.4 billion, 439 branches and 76 banking posts.

     In accordance with the terms of the agreement with BBVA, in June 2003, we made one-time cash payment of R$1,864 million to BBVA in return for 49.0% of the common shares and 99.99% of the preferred shares of BBV Banco. In addition, in exchange for the remaining 51.0% of BBV Banco’s common shares and 0.01% of its preferred shares, we issued to BBVA common and preferred shares equal to 4.4% of our share capital and valued at R$630.0 million according to our audited financial statements. Since June 2003 we have included BBV Banco’s results in our financial statements.

     In September 2003, all of BBV Banco’s branches, assets and liabilities were transferred to Banco Bradesco at book value, and in October 2003, we changed BBV Banco’s name to Banco Alvorada S.A., which we call “Banco Alvorada.”

     After our acquisition of BBV Banco, BBVA increased its percentage ownership of our shares through purchases of our shares on the Bovespa. As of December 31, 2007, BBVA held 5.0% of our common shares and 2.5% of our total capital stock. For more information on BBVA, see “Item 7. Major Shareholders and Related Party Transactions—Major Shareholders—BBVA.”

     In connection with our purchase of BBV Banco in 2003, our controlling shareholders Cidade de Deus Participações and Fundação Bradesco, which together hold 64.64% of our voting shares and which we call our “Controlling Shareholders,” entered into a shareholders’ agreement, which we call the “Shareholders’ Agreement,” with our shareholder BBVA. Under the terms of the Shareholders’ Agreement, BBVA has the right to appoint one member of our board of directors so long as BBVA owns at least 3.9% of our voting capital. However, BBVA will not lose this right if its shareholding falls below this percentage threshold due to an increase in our capital stock in which our shareholders, including BBVA, are not given preemptive rights.

28


Table of Contents

     In addition, according to the Shareholders’ Agreement, our Controlling Shareholders have rights of first refusal on the acquisition of any of our common shares from BBVA, and BBVA has a put option against our Controlling Shareholders that might be exercised in full or in part on our common shares representing 5.0% of our voting capital until 2010.

     Should BBVA exercise its put option, the price to be paid by our Controlling Shareholders will be based on the average market price of our common shares in the Bolsa de Valores de São Paulo S.A., which we call “Bovespa,” in the twenty trading sessions immediately preceding BBVA’s notification of the put option exercise.

     In connection with the purchase of BBV Banco we established a center of operations, known as the “Euro Desk,” which is headed by an officer appointed by BBVA and dedicated to recognizing opportunities to provide banking services and to strengthening our relationship with the Spanish community in Brazil, as well as a team of customer service personnel dedicated to serving Spanish clients with business in Brazil and Brazilians with interests in Spain or other Latin American countries. Under the Shareholders’ Agreement, so long as BBVA owns at least 3.94% of our voting capital, we must continue to operate the Euro Desk and a dedicated team of personnel.

     At March 4, 2008, BBVA exercised in full a put option of its remaining stock, and our Controlling Shareholders purchased the BBVA shares on April 11, 2008, upon delivery on April 16, 2008 of R$2.3 billion to BBVA. The Shareholders’ Agreement is no longer in effect since April 11, 2008.

     Acquisition of minority interests in Bradesco Seguros

     In March 2005, we acquired the minority equity interest held by third parties in the capital stock of Bradesco Seguros through the exchange of the Bradesco Seguros shares held by third parties for our shares. Upon the completion of this transaction, Bradesco Seguros became our wholly owned subsidiary and the minority shareholders of Bradesco Seguros became holders of 363,271 preferred shares of our capital stock. The total aggregate amount of this transaction was R$12 million.

     Acquisition of Banco Morada credit portfolio

     In April 2005, we, through our subsidiary Finasa Promotora de Vendas Ltda., which we call “Finasa Promotora”, acquired the personal loans and consumer credit distribution network of Banco Morada, one of the main suppliers of individual loans in the State of Rio de Janeiro for a total amount of R$80.0 million. This transaction included the transfer to Finasa of thirty-three commercial branches, fifteen of which were in the State of Rio de Janeiro, eight in the State of São Paulo and ten in other Brazilian States, as well as, a database including over 1.1 million customers.

     Acquisition of Leader Card

     In July 2005, Banco Bradesco acquired 50.0% of the total capital stock of Leader Card, the company responsible for the agency and management of the private label credit card of União de Lojas Leader, which we call “Leader Magazine,” for a total amount of R$47.5 million. Leader Magazine is a retail chain with its operations focused on the States of Rio de Janeiro and Espírito Santo. The private label credit card of Leader Magazine is one of the five largest private label credit cards in Brazil, with over 3.5 million holders, 300,000 of which with the Visa flag. In 2007, Leader Magazine expanded its operations to the States of Minas Gerais, Pernambuco, Sergipe and Alagoas, and currently has 38 stores.

29


Table of Contents

     Acquisition of BEC

     In December 2005, we made a winning bid for the acquisition of the controlling interest of Banco do Estado do Ceará, which we call “BEC,” and its subsidiary BEC DTVM Ltda. in an auction process carried out at Bovespa. The transaction was concluded in January 2006 and involved the purchase of 82,459,053 BEC’s common shares with no par value, representing 89.4% of the voting capital and 89.2% of the total capital stock of BEC, for a total aggregate amount of R$700.0 million. In May 2006, we conducted a tender offer to acquire the outstanding shares of BEC, after the conclusion of which we became the holders of 99.49% of the total capital stock of BEC. We have called a shareholders' meeting of BEC for June 30, 2006 to redeem the shares not sold to us in the tender offer process. In November, 2006, Alvorada Cartões, Crédito, Financiamento e Investimentos S.A. merged BEC and succeeded it in all its rights and obligations.

     Other Acquisitions

     In November 2003 we entered into an agreement with the controlling shareholders of Banco Zogbi S.A., which we call “Zogbi” and together with its controlled companies, “Zogbi Institutions”, to acquire all of its capital stock and all the capital stock of its controlled companies for a total aggregate amount of R$650.0 million. Zogbi Institutions has been engaged for more than forty years in the financing sector, including the areas of consumer and personal credit, cards and vehicle loans. Zogbi Institutions had, as of September 2003, total assets of R$833.0 million, credit operations of R$520.0 million and shareholder's equity of R$335.0 million. In October 2004, Zogbi was dissolved as a consequence of its merger into Banco Finasa and all of its assets and liabilities were transferred to Banco Finasa at book value. In June 2005, the merger of Zogbi into Banco Finasa was approved by the Central Bank.

     In February 2004, we acquired control of Banco do Estado do Maranhão S.A. – BEM, which we call “BEM”, through a privatization auction held by the Federal Government. As of December 31, 2003, BEM had 76 branches, 125 corporate site branches and its assets totaled R$766 million. The transaction involved the purchase of 89.96% of BEM’s capital stock at the total aggregate amount of R$78.0 million. In July 2004, BEM become our wholly owned subsidiary upon the acquisition by us of the minority participation interest held by third parties in BEM for a total aggregate amount of R$8.6 million. In October 2004, the branches, assets and liabilities of BEM were transferred to Bradesco at book value.

     Except for the acquisition in 2003 of BBV Banco, currently Banco Alvorada, none of our acquisitions since January 1998 included a significant subsidiary in accordance with US GAAP.

Banco Postal

     We offer our products and services throughout Brazil, together with Empresa Brasileira de Correios e Telégrafos (the government owned postal company), which we call “Postal Service,” through correspondent offices operating under the trademark “Banco Postal,” which we call “Postal Bank.”

     Through our service contract dated September 2001 with the Postal Service, we have exclusive rights to offer banking services at a number of locations, some of which we own and others which we rent from the Postal Service and which we refer to as “correspondent offices.”

30


Table of Contents

     Delivery of services started in March 2002, when we opened the first branch in the State of Minas Gerais. As of December 31, 2007 we had 5,821 open branches in over 5,032 Brazilian municipalities, which processed on average more than 36 million monthly transactions.

     Approximately 1,700 out of 5,821 branches were set up in new markets, which brought services, either directly or indirectly, to millions of people for whom financial services were previously either inaccessible or difficult to obtain.

     The Postal Bank offers basic banking services, mainly addressed to the low-income segments of the population, and include:

  • proposals for new accounts;

  • proposals for loans, financing and credit cards;

  • withdrawals from checking and savings accounts, and benefit payments under the INSS social security program;

  • deposits in checking and savings accounts;

  • consultation of balances of checking and savings accounts, and benefit payments under the INSS social security program;

  • receipt of bank payment slips;

  • processing utilities bills payments;

  • processing municipal, state and federal taxes payments; and

  • licensing of vehicles.

     In addition to Postal Bank services performed at correspondent offices, we have also opened outlets located on the premises of selected corporate clients, including retail networks, supermarkets, drug stores and bakeries, to provide our clients with greater access to banking correspondent services. These outlet companies process bills and bank collection invoices for our clients at their offices, as well as offering withdrawals from checking and savings accounts and pension payments.

     The banking services at our correspondent offices are provided by employees of the Postal Service and, in the case of our other outlets, by their respective employees. However, we retain control of over all decisions with respect to the opening of bank accounts for, and granting credit to, our customers at these locations.

Other Strategic Alliances

     In November 2004, we entered into a partnership with Bank of Tokyo – Mitsubishi UFJ Brasil S.A. to provide banking services to its Brazilian clients working in Japan.

     In November 2004, we entered into an exclusive operational agreement with Casas Bahia, the leading Brazilian retailer. The operational agreement is valid for three years, and has a potential trading volume of R$1.0 billion per year to finance Casas Bahia’s new consumer credit program, called “Crédito Direto ao Consumidor” (CDC). In November 2005, we began to issue and administer the private label credit card of Casas Bahia. Since that time, we have issued more than 4 million private label, Casas Bahia credit cards (all of which carry the Visa label.).

31


Table of Contents

     In February 2005, we reduced our shareholding ownership in Companhia Siderúrgica Belgo-Mineira (currently Arcelor) by selling 315,000,000 of the common shares that we held in the company. We retained a 3.44% indirect interest in Belgo-Mineira capital stock with voting rights and 1.89% of its total capital stock. In June 2007, we sold the remaining capital stock that we held in Belgo-Mineira.

     In March 2005, we and Comercial Pereira de Alimentos Ltda., which we call “Rede Comper,” a supermarket chain that has its operations located in Midwest and South regions of Brazil, entered into an agreement to regulate the issuance of our private label credit cards, with or without flags for use outside the commercial establishment, and other financial and insurance products and services of ours.

     In June 2005, we and Eletrozema, a department store that has its operations located in the State of Pará, as well as in the states of Southeast and Midwest Brazil, entered into an agreement to finance the purchases of Eletrozema’s customers. This transaction and the funding to be granted to Eletrozema’s customers are secured by a letter of guarantee.

     In July 2005, we and Ponte Irmãos e Cia. Ltda., which we call “Ponte Irmãos,” a retail chain that has 80 stores located in the states of the North, Northeast and Midwest of Brazil, entered into an agreement to finance the purchases made by Ponte Irmão’s customers. This transaction and the funding to be granted to Ponte Irmão’s customers are secured by a letter of guarantee.

     In August 2005, we and Dismar Distribuidora Maringá de Eletrodomésticos Ltda., which we call “Dismar,” entered into an agreement to finance the purchases of Dismar’s customers. Dismar is a store chain which has, among others, wholesale retail stores and electronic stores, with operations in the State of Paraná and several other Brazilian states.

     In December 2005, we and Banco Espírito Santo S.A. entered into an agreement to provide banking services to its Brazilian clients living in Portugal.

     We, Deib Otoch S.A., which we call “Lojas Esplanada,” and Express Comercial S.A., which we call “Express,” entered into an agreement for the administration of Lojas Esplanada’s and Express’ private label credit cards, enabling its holders to finance their purchases, as well as for the marketing to the 2.3 million holders of these cards certain information regarding our products and services. Lojas Esplanada and Express are one of the biggest retail chains located in the states of the northeast of Brazil.

     In March 2006, we entered into a joint venture agreement with Fidelity National and Banco ABN AMRO Real S.A., which we call “Banco Real,” for the rendering of card processing services through a newly formed company called Fidelity Processadora e Serviços S.A., which we call Fidelity. Fidelity provides all card processing services, including credit, multiple, debit, benefit and private label cards), such as authorization, processing and settlement of transactions, including data exchange and other procedures for authorization of transactions, database marketing, credit analysis) and maintenance, printing, including tailor-made cards, mailing of invoices and other correspondences, call center, billing services and fraud prevention. Fidelity has been rendering services to our clients, Banco Real’s clients, and other card issuers since April 2006. Fidelity is expected to be one of the largest providers of credit card processing services in Brazil after the shift of these credit card accounts of ours and Banco Real.

     In May 2006, we and GBarbosa Comercial Ltda., which we call “Gbarbosa,” the fourth largest supermarket retailer in Brazil, entered into an agreement for the issuance and administration of its private label credit card called “Credi Hiper,” and the provision of financial services and products to Gbarbosa’s clients. We currently have more than 1 million cards issued.

32


Table of Contents

     In July 2006, we and Coop—Cooperativa de Consumo, the largest consumption cooperative in the supermarket sector of Latin America, entered into an agreement to regulate the issuance and management of its private label cards and provide financial products and services to its clients.

     In September 2006, we and Dimed S.A. Distribuidora de Medicamentos, the leading pharmaceutical company in the State of Rio Grande do Sul, entered into an agreement to regulate the issuance and management of its private label cards.

     In June 2007, we sold 676,009 of our shares in Serasa S.A., which we call “Serasa,” to Experian Brasil Aquisições Ltda., a subsidiary of Experian Solutions Inc. Serasa is leader in credit analysis and information services and products and Experian is world leader in analytical and information services to organizations and consumers. Despite this sale, we maintained the right to appoint a member for the board of directors of Serasa. As a result of this sale, we currently hold 8.3% of the Serasa’s capital stock.

     In October 2007, we entered into a partnership agreement with Banco de Chile, which we call “Banco de Chile,” to jointly develop investment products, and offer new business opportunities and synergy gains through BRAM – Bradesco Asset Management S.A. Distribuidora de Títulos e Valores Mobiliários, our asset management company, and Banchile Administradora General de Fondos S.A., Banco de Chile’s asset management company.

     In November 2007, our brokerage house in London, Bradesco Securities UK, Ltd., Bradesco Securities UK, Ltd., which we call “Bradesco Securities UK,” started up its operations. Bradesco Securities UK acts as an intermediary in transactions involving Brazilian fixed and variable bonds between Brazilian companies and European and global institutional investors, and is mainly focused on the intermediation in purchases and sales of shares at NYSE, NASDAQ and BOVESPA environments, the distribution of research reports and prospectuses and offering memoranda, presentations to European and global investors and other investment banking activities.

Insurance and Other Operations

     We acquired control of Bradesco Seguros, previously Atlântica Companhia Nacional de Seguros, in 1983. Between 1983 and 2004, Bradesco Seguros acquired interest in ten other entities and currently maintains six subsidiaries to comply with regulatory requirements. These acquisitions have enabled Bradesco Seguros to develop into one of the leading insurers in Brazil.

     In March 2005, Bradesco Seguros became our wholly owned subsidiary upon our acquisition of all the shares held by the minority shareholders of the company, for a total aggregate amount of R$12.0 million.

Contact Information

     We are a sociedade anônima organized under the laws of Brazil. Our head offices are located at Cidade de Deus, Vila Yara, 06029-900, Osasco, SP, Brazil, and our telephone number at our head office is (55-11) 3684-5376. Our agent for service of process in the United States is CT Corporation, located at 111 Eighth Avenue, 13th Floor, New York, New York 10011.

33


Table of Contents

Business Strategy

     We believe that the expansion of the Brazilian economy, coupled with a favorable macroeconomic scenario, and a significant increase in the purchasing power of certain income segments of the Brazilian population, mainly low- and medium-income population, and in private investments will lead to a sustained expansion of demand for financial services and insurance in the upcoming years.

     Our main objective is to remain focused on the domestic market and, taking advantage of our market position as the largest private bank in Brazil, to expand our profitability, maximize our shareholders’ value and generate a higher rate of return than other Brazilian financial institutions.

     Our strategy to achieve these goals is focused not only on continuing to expand our client base but also on:

  • consolidating our position as a “complete bank” (i.e. by offering our clients a complete portfolio of financial products); and

  • being the “first bank” to each of our clients (i.e. by being their first option for meeting their financial needs).

     We are increasingly segmenting our products and services as we allocate our resources and talents to provide our clients with products and services that are tailored to meet their needs. We believe that our concern with our client’s financial profile and our respect for their individuality results in a broader satisfaction and loyalty. The segmentation of our financial services has also allowed us to better absorb and take greater advantage of the integration of institutions we have acquired over the past years.

     We have the largest and, we believe, the best network of distribution channels among Brazilian private banks. This network includes our branches, banking posts and outlets, ATMs, Postal Bank services and other third parties channels. The growth of these channels was spurred mainly by our union with large retailers as our banking correspondents. We also have more than 55,000 physical banking posts and outlets. We have a well-distributed and extensive branch network, which optimizes our clients’ access to our products and services, and allows us to fully compete in the retail banking market. We intend to continue expanding and refining our branch network and to provide more and better mass products and services to our clients, in order to meet a growing demand for credit and insurance in the Brazilian market.

     We are also focused on expanding our businesses as a wholesale bank in all its aspects, especially our corporate and our private banking services. The economic scenario in Brazil has significantly improved the performance of small and medium-sized companies, a market in which we believe we are well positioned to increase our market share.

     In addition, since last year, we have been paying particular attention to our investment bank segment operated by BBI. We will continue to maintain, and hire professionals for, our highly qualified investment banking team, and we plan to make full use of our solid relationship with our corporate clients and high-income individuals to develop our investment banking activities.

     We also intend to grow in business segments on which we were less focused, such as securities brokerage services. We intend to take advantage of the significant growth in the Brazilian securities market over the past years and our recent acquisition of Brazil’s largest brokerage company, Ágora Corretora, in order to become one of the leaders in the brokerage market.

34


Table of Contents

     We believe that our insurance segment has a high potential of growth, due to the low participation of the Brazilian insurance industry in its GDP. Increase in the average income of the Brazilian population has led to millions of new policyholders. We intend to capture new customers, and consolidate our leadership in different insurance lines.

     We are also structuring ourselves to increase our scale and operational efficiency gains by segmenting our line of insurance products through the creation of specialized insurance companies in each specific insurance field. This approach allows us to avoid crossing revenues or expenses among each insurance segment, as we maintain complete control over the performance of each line of products. We believe that we can benefit from this structure in maximizing insurance product sales, which essentially have a high margin contribution, creating access to independent brokers.

     Additionally, in each of our business segments, we strive to be recognized by our clients as leaders in performance and efficiency. We closely monitor and continually seek to improve our level of operational efficiency.

     We understand that the success of a financial sector company depends not only on the number of clients it has, but also requires highly capable, well-trained and dedicated personnel with strict labor standards and ethics standards at work. Qualification, promotion and the creation of a culture of solidarity at work are also keys to improving the business, creating a cooperative and friendly environment where our employees can develop long-lasting careers. We were elected by the “Guia Você S/A Exame” publication, in 2007, as one of the best companies to work for in Brazil.

     Our key philosophy is the management of our business in accordance with the highest ethical standards. Beyond creating shareholders’ value, our strategy is also guided and focused on achieving the best market practices of corporate governance and the understanding that we play an important role in our society.

     The key elements of our business strategy are to:

  • expand through organic growth;

  • improve our successful business model that combines our position as a large banking institution with our position as the largest insurance group in Latin America, which we call the “Bank-Insurance Model,” in order to increasingly foster our profitability and consolidate our leadership in the insurance sector;

  • increase revenues, profitability and shareholder value by strengthening our loan and financing operations, our core business, and expanding products and services;

  • maintain our commitment to technological innovation;

  • build profitability and shareholder return through a continued improvement of the efficiency index;

  • focus on risk management in order to always assure acceptable risk levels in our operations; and

  • expand through strategic alliances and selective acquisitions when advantageous.

35


Table of Contents

Expand through organic growth in core business areas

     The Brazilian economy has been growing on a sustained basis over the past five years and has produced strategic opportunities for growth in the financial and insurance industries, mainly due to increases in business volume of segments in which we are particularly well positioned. We plan to continue to take advantage of this growth to increase our revenue, build profitability and maximize shareholder value by:

  • capitalizing on the opportunity in the Brazilian market to capture new customers, mainly from the low- and middle-income brackets, whose financial and credit needs have not yet been served, while maintaining and strengthening our position in the competition for the small group of clients in upper income brackets;

  • expanding our financial services distribution channels by creatively developing new mass products and utilizing third-party channels, such as, for example, in the expansion of offers for credit card, financial products and services, and insurance in large retail stores by means of partnerships with retail chains, the Postal Bank and other third parties;

  • taking advantage of our existing distribution channels, including our traditional branch network and other means of distribution to identify demand for new products and expanding demand for traditional products, such as long-term financing and particularly real estate credit, which are in renewed demand due to the stability of the Brazilian economy and interest rates;

  • using our client base to offer our products and services more widely and to increase the average number of products used per checking account from 4.8 products as of December 2007, to an average of 5.0 products per checking account by December 2008;

  • using our branch-based systems aimed at assessing and monitoring our clients’ use of our products so as to channel them to the proper selling, delivery and trading platforms; and

  • developing products tailored to profiles and needs of both our existing and potential segment of clients.

Build on the Bank-Insurance Model to maintain profitability and consolidate leadership in the insurance sector.

     Our goal is to have our customers look to us first for all of their banking, insurance and pension needs. We believe that we are in a good position to capitalize on the synergies among banking, insurance, pension and other financial activities. These products are offered throughout Brazil through our banking distribution network, Internet distribution services and new and creative distribution channels. We also have specific distribution channels for the offering of these products that rely on our own platform of more than 15,000 brokers and dealers for other property and casualty insurance products and 8,000 brokers and dealers for life and pension products. We continuously assist and encourage our brokers and dealers to improve services to our clients.

     At the same time, we are looking to increase the profitability of our insurance and pension plan businesses by using our profitability measures, instead of the volume of premiums underwritten or amounts deposited, as follows:

36


Table of Contents

managing our insurance portfolio and reserves;
 
aggressively marketing our products; and
 
maintaining acceptable levels of risk in our operations through a strategy of:
 
 
prioritizing insurance underwriting opportunities according to the “risk spread”, which is the difference between the expected income under an insurance contract and the actuarially determined amount of claims likely to be paid under that same contract;
 
 
entering into hedging transactions, so as to avoid mismatches between the actual rate of inflation and provisions for interest rate and inflation adjustments in long-term contracts; and
 
 
entering into reinsurance agreements with well-known reinsurers, and taking advantage of the new reality of the Brazilian reinsurance market.

Increase banking revenues, profitability and shareholder value by strengthening our loan operations and expanding our new products and services.

     Our strategy to increase revenues and profitability of our banking operations is focused on:

  • building our traditional deposit-taking and loan and financing operations by improving the quality of the portfolio, through risk mitigation plans and improving the delinquency risk pricing models, ensuring appropriate provisions for expected losses and better results in credit granting, following up on, and recovering operations;

  • continuing to build our corporate and individual client base by offering services tailored to meet specific clients’ profiles and needs;

  • focusing aggressively on fee-based services, such as bill collection and payment processing;

  • expanding our financial services and products that are distributed outside of the conventional branch environment, such as our credit card businesses, in order to capitalize on changes in consumer behavior in the consumption of financial services;

  • expanding our asset management revenues; and

  • continuing to build our base of high-income clients by offering a wide range of personalized products and services.

Maintain our commitment to technological innovation

     The development of efficient means of reaching customers and processing transactions safely and on a continued basis is a key element of our goal to expand our profitability and to capitalize on opportunities for organic growth.

     We have been pioneers in our field for more than six decades by creating efficient strategies and positive impacts to anticipate future needs. Amongst these strategies, our use of cutting-edge technology stands out as a central pilar of the Bradesco Organization’s strategy for sustainability, business generation and easy client access to innovative and safe services.

37


Table of Contents

     We are amongst the Brazilian companies that most invest in research and development in the field of banking. With the goals of further improving the Bradesco Organization’s IT environment to prepare it for the decades to come and of increasing public perception of our technological resources and best practices, we have invested in a major strategic program titled “IT Improvements,” which touches upon five macro-areas of the IT chain (processes, applications, operational environments, technologies and infrastructure).

     We believe that technology offers unparalleled opportunities to reach our customers in a cost-efficient manner. We are committed to being at the forefront of the bank automation process by creating opportunities for the Brazilian public to reach us through the Internet and wireless networks, including mobile telecommunication networks. We expect to continue to increase the number of clients and transactions handled over the Internet and wireless networks through techniques, such as:

  • expanding our mobile banking service, which we call “Bradesco Mobile Banking,” which allows customers to conduct their banking business over the Internet with compatible cellular handsets; and

  • providing “Pocket Internet Banking” for hand-held devices and personal digital assistants or “PDAs,” including cellular phones that allow our clients to check their savings and checking account information, review recent credit card transactions, make payments, transfer funds and obtain information relating to our services.

Build profitability and shareholder return through the improvement of our efficiency index

     We intend to improve on our levels of efficiency by:

  • maintaining austerity as the basis of our cost control policy;

  • continuously revising internal processes to reduce resource consumption and contribute to our policy of corporate sustainability;

  • consolidating the synergies created by our recent acquisitions;

  • continuing to reduce our operational costs through investments in technology that will minimize these costs on a per-transaction basis, emphasizing our existing automated channels of distribution, including our telephone, Internet; and

  • continuing to merge the institutions that we acquire in the future into our existing system in order to eliminate redundancies and potential inefficiencies and improve our gains on scale.

Maintain acceptable risk levels in our operations

     We approach the management of risks inherent in our activities in an integrated manner, a process within our internal controls and compliance structure called "Risk Management Process." This process allows the continuous improvement of our models for risk management and minimizes the existence of loopholes undermining the identification and assessment of risks. The process provides a centralized and permanent method for identifying, measuring, controlling, monitoring and mitigating credit, market, liquidity and operational risks.

     The existence of the integrated risk management and capital allocation committee, a statutory-level committee, guarantees the uniqueness of our risk management process. The committee’s assignment is to advise the board of directors in the adoption of institutional policies, operational guidelines and the establishment of limits for exposure to risks within our consolidated financial statements.

38


Table of Contents

     In addition, we have three executive committees charged with topics related to credit risk, market and liquidity risk and operational risk, and which, amongst other responsibilities, are charged with suggesting limits of tolerance to their respective risks and the design of risk mitigation plans for submission to the integrated risk management and capital allocation committee.

     Finally, we have an independent department dedicated exclusively to global risk management and internal control, which we call the risk management and compliance department, or “DGRC,” and which implements and continuously accompanies the directives and processes formulated by our higher-level committees.

     Our internal risk management processes and groups, on par with the best international practices, assure the maintenance of our operational risks at adequate levels and the efficient allocation of our capital, permitting us to obtain competitive advantages.

Enter into strategic alliances and selective acquisitions

     We understand that in the coming years, most of Brazilian financial institutions will rely on organic growth. We also believe that growth opportunities will be restricted to the acquisition of smaller institutions. However, there are still some financial institutions in newer segments, such as consumer financing, credit cards and investment banking that could possibly be acquired. Therefore, we evaluate potential strategic alliances and consolidation opportunities, including proposed privatizations and acquisitions, as well as other methods that offer potential opportunities either to increase our market share or to improve our efficiency and results. In addition to focusing on value and asset quality, we consider the potential operating synergies, opportunities for cross-selling, acquisition of know-how and other advantages of a potential alliance or acquisitions.

Banking Activity

     We offer a range of banking products and services, including:

  • deposit-taking operations, such as checking accounts, savings accounts and time deposits;

  • lending operations, including consumer lending, housing loans, industrial and agricultural loans and leasing;

  • credit and debit card services;

  • payment processing and collection;

  • capital markets services, including underwriting and financial advisory services as well as brokerage and trading activities;

  • international banking; and

  • asset management services.

39


Table of Contents

     Our diverse client base includes individuals and small, midsized and large companies in Brazil. Historically we have cultivated a stronger presence among the broadest segment of the Brazilian market, consisting primarily of middle- and low-income individuals. Since 1999, we have built our corporate department, which serves our corporate clients who have annual revenues of R$350 million or more, and a private banking department, which serves individual clients who have minimum net assets of R$1 million. In 2002, we created Bradesco Empresas (“Bradesco Companies”) which is responsible for corporate clients that have an annual income of between R$15 and R$350 million, with the goal of expanding our business in the middle corporate market sector. In May 2003, we launched Bradesco Prime, a new division of Bradesco that offers services to individual clients who either have a monthly income of at least R$4,000 or have R$50,000 available for immediate investment. Bradesco Varejo (“Bradesco Retail”) is our division responsible for the corporate clients that have an annual income lower than R$15.0 million and the individual clients that have a monthly income lower than R$4,000.

40


Table of Contents

     The following diagram shows the breakdown of our banking activities as of December 31, 2007:


41


Table of Contents

     The following table sets forth selected financial data for our banking segment for the periods indicated. The total amounts per segment shown in the table below may not correspond to the amounts shown on a consolidated basis, as they do not take into account other activities we develop as they are immaterial, and were subject to adjustments, reclassifications and eliminations for inter-company transactions.

  Year ended December 31, 
  
  2005  2006  2007 
    
  (R$ in millions)
Income statement data:       
   Net interest income(1) R$ 12,511  R$ 14,750  R$ 17,188 
   Provision for loan losses  (1,823) (3,770) (4,617)
   Non-interest income(1) 8,161  9,482  12,403 
   Non-interest expense  (13,021) (15,289) (18,270)
   Income before taxes and minority interest (1) 5,828  5,173  6,704 
   Taxes on income  (1,570) (1,348) (1,877)
   Income before minority interest (1) 4,258  3,825  4,827 
   Minority interest  (2)  (28)
    
 
Net Income  R$ 4,256  R$ 3,826  R$ 4,799 
    
 
Balance sheet data:       
         Total assets  R$ 165,072  R$ 206,870  R$ 275,400 
 
Selected results of operations data:       
   Interest income:       
   Interest on loans  R$ 16,855  R$ 20,977  R$ 22,608 
   Interest on securities  3,548  2,225  2,445 
   Interest on federal funds sold and securities purchased under agreements to resell  2,018  2,177  3,202 
   Interbank deposits  311  358  441 
   Compulsory deposits with the Central Bank  2,160  1,998  1,207 
   Others  60  59  37 
 
   Interest expense:       
   Interest on deposits  (6,944) (6,230) (5,560)
   Interest on federal funds purchased and securities sold under agreements to repurchase  (3,862) (3,936) (5,553)
   Interest on short-term borrowing and on long- term debt  (1,635) (2,878) (1,639)
 
   Net Interest Income  12,511  14,750  17,188 
 
   Fee and commission income  R$ 4,671  R$ 6,750  R$ 6,994 

_________________
(1)
Includes income from related parties outside of the banking segment.

Deposit-taking Activities

     We offer a variety of deposit products and services to our customers through our branches, including:

  • checking accounts, which do not bear interest;

42


Table of Contents

  • investment deposit accounts which permit financial transactions to be made without CPMF charges;

  • traditional savings accounts, which currently earn the Brazilian reference rate, the taxa referencial, known as the “TR,” plus 6.17% in annual interest;

  • time deposits, which are represented by certificados de depósito bancário (Bank Deposit Certificates, or “CDBs”), and earn interest at a fixed or floating rate; and

  • interbank deposits exclusively from financial institutions, which are represented by certificados de depósito interbancário (Interbank Deposit Certificates, or “CDIs”), and which earn the interbank deposit rate.

     At December 31, 2007, we had 18.8 million checking account holders, 17.8 million of which were individual account holders and 0.9 million of which were corporate account holders. At the same date, we had 34.6 million savings account holders. As of December 31, 2007, our deposits (excluding deposits from financial institutions) totaled R$98.0 billion and we had a 17.4% share of the Brazilian savings deposit market, according to the Central Bank.

     The following table sets forth a breakdown by product type of our deposits at the dates indicated:

  December 31, 
  2005  2006  2007 
    
  (R$ in millions, except %)
Deposits from Customers:             
   Demand deposits  R$ 16,223    21.5%  R$ 21,081    25.1%  R$ 29,423    29.9% 
           Reais  16,026  21.2  20,763  24.7  29,222  29.7 
           Foreign currency  197  0.3  318  0.4  201  0.2 
 
   Savings deposits  26,201  34.7  27,613  32.9  32,813  33.4 
           Reais  26,201  34.7  27,613  32.9  32,813  33.4 
 
   Term deposits/certificates of deposit  32,837  43.6  34,941  41.6  35,733  36.3 
           Reais  30,434  40.4  31,810  37.9  33,658  34.2 
           Foreign currency  2,403  3.2  3,131  3.7  2,075  2.1 
       
 
Total deposits from customers  75,261  99.8  83,635  99.6  97,969  99.6 
       
 
   Deposits from financial institutions  146  0.2  290  0.4  372  0.4 
       
 
Total  R$ 75,407  100.0%  R$ 83,925  100.0%  R$ 98,341  100.0% 
       

     We offer our clients some additional special services, such as:

  • the “Easy-Checking Account,” a combination checking account and savings account in which, after the lapse of a pre-set period (the length of which is determined by regulation), deposited funds earn interest at the same rate as our savings accounts, unlike our ordinary checking accounts, which earn no interest;

43


Table of Contents

  • “identified deposits,” which allow our clients to identify deposits made in favor of a third party through the use of a personal identification number; and

  • real-time banking transfers from a checking, savings or investment account to or between another checking, savings or investment accounts, including accounts at other banks.

Credit Operations

     The following table sets forth a breakdown by product type of our credit operations in Brazil, in each case at the dates indicated:

  December 31, 
  
  2005  2006  2007 
    
    (R$ in millions)  
Loans outstanding by product type:       
 Consumer credit operations  R$ 26,137  R$ 29,302  R$ 40,672 
 Real estate financing  1,355  1,845  3,205 
 Loans from Banco Nacional de Desenvolvimento Econômico e Social (“BNDES”) 8,240  9,694  12,824 
 Other local corporate loans  21,072  23,699  31,556 
 Agricultural credit  6,369  7,399  9,032 
 Leasing  2,491  3,842  8,097 
 Credit Cards  1,830  2,652  2,330 
 Import and export financings  11,167  14,399  17,521 
 Other foreign loans  1,900  1,546  2,529 
 Other public sector loans  49  62  94 
 
Total  80,610  94,440  127,860 
 
 Non-performing loans  2,701  4,284  5,277 
 
Total  R$ 83,311  R$ 98,724  R$ 133,137 

     The following table sets forth a summary of the concentration of our outstanding loans by borrower size.

  December 31, 
  
  2005  2006  2007 
    
Borrower size:       
Largest borrower  1.1%        1.2%    0.7% 
10 largest borrowers  7.0        6.1    5.5 
20 largest borrowers  10.5        9.5    9.0 
50 largest borrowers  16.8      15.8  15.6 
100 largest borrowers  22.0%  21.0%  20.6% 

Consumer Credit Operations

     We provide a significant volume of personal loans to individual customers. This allows us to diminish the impact of individual loans on the performance of our portfolio and helps to build customer loyalty. Such loans consist primarily of:

44


Table of Contents

  • short-term loans, extended by our branches to holders of our checking accounts and, within certain limits, through our ATM network. These short-term loans have an average maturity of three months and an average interest rate of 5.29% per month as of December 31, 2007;

  • automobile financing loans, which have an average maturity of fourteen months and an average interest rate of 1.61% per month as of December 31, 2007; and

  • overdraft loans on checking accounts, which are, on average, repaid in one month and have interest rates varying from 4.38% to 7.89% per month as of December 31, 2007.

     We also provide revolving credit facilities and traditional term loans. At December 31, 2007, we had outstanding advances, overdrafts, automobile financings, consumer loans and revolving credit loans in an aggregate amount of R$40.7 billion, representing 30.5% of our credit portfolio as of that date. On the basis of loans outstanding at that date, we had a 16.96% share of the Brazilian consumer loan market, according to information published by the Central Bank.

     Banco Finasa, our financing subsidiary, provides consumers with financing for the purchase of light transportation vehicles, other goods and services, leasing and personal loans. Banco Finasa runs its sale and promotional activities through its wholly owned subsidiary, Finasa Promotora de Vendas. As of December 31, 2007, Finasa Promotora operated 375 branches throughout Brazil and had 5,502 employees, 83% of whom were focused on sales promotion.

Real Estate Financing

     At December 31, 2007, we had 34,395 outstanding real estate loans and had financed 30.9% of the residential units constructed by the civil construction sector during 2007, according to information published by the Central Bank. On December 31, 2007, the aggregate outstanding amount of our real estate loans amounted to R$3.2 billion, representing 2.4% of our loan portfolio.

     Our real estate loans are granted by the Sistema Financeiro Habitacional, which we call the “SFH,” or the Carteira Hipotecária Habitacional, which we call the “CHH”. Loans from SFH or CHH are made at annual interest rates that vary between 8% to 14% plus TR, in case of variable installments, or between 12.5% and 15%, in case of fixed installments.

     Residential loans of SFH and CHH have stated maturities of five to twenty-five years.

     Our construction loans granted to individuals matures up to 18 months from the completion of the construction and a repayment period lasting up to 25 years. Payments are made on a floating rate basis of TR plus an annual interest rate of 11.5% for the SFH loans.

     We also extend financing to corporate plans under the SFH. These loans are for construction purposes and typically have a maturity of up to 24 months from the completion of the construction and repayment begins within two years after the approval of the construction. We make these loans on a floating-rate basis of TR plus an annual interest rate of 12% during the construction stage for SFH loans, and TR plus an annual interest rate of 15% for CHH loans.

     Central Bank regulations require us to provide an amount of residential real estate financing equal to at least 65% of the balance of our savings accounts. In addition to direct residential real estate loans, mortgage notes and charged-off residential real-estate loans, other financings can be used to satisfy this requirement. We generally do not finance more than 80% of the purchase price or the market value of a property, whichever is lower.

45


Table of Contents

On-lending of BNDES Loans

     The Brazilian government has a program to provide government-funded long-term loans with below-market interest rates to sectors of the economy that it has targeted for development. We borrow funds under this program from either (i) Banco Nacional de Desenvolvimento Econômico e Social, which we call “BNDES,” which is a Brazilian development bank wholly owned by the federal government, or (2) Agência Especial de Financiamento Industrial—Finame, which we call “Finame,” the equipment financing subsidiary of BNDES. We then on-lend these funds to borrowers in targeted sectors of the economy. We determine the spread on the loans based on the borrowers’ credit. Although we bear the risk for these on-lending transactions before BNDES and Finame, it is always secured.

     According to BNDES, we have been the largest on-lender bank of BNDES loans for five consecutive years (2003-2007). In 2007, we disbursed R$7.1 billion, 40.9% of which was loaned to micro-, small- and medium-sized companies. Our on-lending portfolio was R$12.8 billion on December 31, 2007, representing 9.6% of our credit portfolio at that date.

Other Corporate Lending

     We provide traditional loans for the ongoing needs of our corporate clients. We had R$31.6 billion of outstanding corporate loans, accounting for approximately 23.7% of our credit portfolio at December 31, 2007. We offer a range of loans to our Brazilian corporate clients, including:

  • short-term loans of twenty-nine days or less;

  • working capital loans to cover our customers’ cash needs;

  • guaranteed checking accounts and corporate overdraft loans;

  • discounting of trade receivables, promissory notes, checks, receivables from credit cards and suppliers, and a number of other receivables;

  • financing for purchase and sale of goods and services;

  • corporate real estate loan;

  • investment lines for acquisition of assets and machinery; and

  • guarantees.

     These lending products generally bear an interest rate of between 1.30% and 6.24% per month.

Agricultural Loans

     We extend loans to the agricultural sector by financing demand deposits, BNDES on-lendings and our own resources, in accordance with Central Bank regulations. At December 31, 2007, we had R$9.0 billion in outstanding agricultural loans, representing 6.8% of our credit portfolio. In accordance with Central Bank regulations, we extend loans using funds from our compulsory deposits at a fixed rate. The annual fixed rate was 6.75% at December 31, 2007. The maturity of these loans generally matches agricultural cycles and the principal becomes due at the time a crop is sold, except BNDES agricultural on-lendings, which are valid for up to a five-year term and require repayments on a semi-annual or annual basis. As security for such loans, we generally obtain a mortgage on the land where the agricultural activities being financed are conducted.

46


Table of Contents

     Current Central Bank regulations require us to use at least 25% of our checking account deposits to provide loans to the agricultural sector. If we do not meet the 25% threshold, we must deposit the unused amount in a non-interest-bearing account with the Central Bank.

Micro Credit

     We extend micro credit to low-income individuals and small companies, in accordance with Central Bank regulations requiring that banks direct 2% of their cash deposits to such loans. We began extending such micro credits in August 2003. At December 31, 2007, we had 50,715 micro credit loans outstanding, totaling R$22.6 million and representing 0.02% of our credit portfolio.

     In accordance with Central Bank regulations, most micro credit loans have a maximum effective interest rate of 2.0% per month. However, micro credit loans for business directed towards a specific production have a maximum effective interest rate of 4.0% per month. The CMN requires that the maximum amount loaned to a borrower be limited to (i) R$1,000 for individuals in general, (ii) R$3,000 for individuals developing certain professional, commercial or industrial activities, and (iii) R$10,000 for micro companies with pre-defined production. In addition, terms of micro credit loans cannot be shorter than 120 days, and the loan granting fee must vary from 2.0% to 4.0% of the value of the credit raised.

Leasing Operations

     According to ABEL – Associação Brasileira das Empresas de Leasing, as of December 31, 2007, the value of our outstanding leases was one of the largest among private leasing operations in Brazil, as measured by the discounted present value of our leasing portfolio. In addition, the aggregate discounted present value of the leasing portfolios of leasing companies in Brazil on December 31, 2007 was R$63.8 billion, of which we had a market share of 12.9% .

     On December 31, 2007, we held 229,494 outstanding leases with an aggregate value of R$8.1 billion, representing 6.1% of our credit portfolio. The size of our leasing portfolio was R$3.9 billion (approximately 111,100 contracts) at December 31, 2006 and R$2.5 billion (approximately 54,600 contracts) on December 31, 2005.

     The Brazilian leasing market is dominated by large banks and both domestic- and foreign-owned companies affiliated with vehicle manufacturers. Brazilian lease contracts generally relate to motor vehicles, computers, industrial machinery and other equipment.

     Most of our leases are financial (as opposed to operational), and our leasing operations primarily involve the leasing of cars, trucks, material handlers, aircraft and heavy machinery. On December 31, 2007, 80.4% of our outstanding leases were automobile leases, as compared to 86.6% for the Brazilian leasing market as a whole.

     As of December 31, 2007, we conducted our leasing operations through our primary leasing subsidiary, Bradesco Leasing and also through Banco Finasa.

     We obtain funding for our leasing operations primarily through the issuance of debentures and notes in the domestic market. At December 31, 2007, Bradesco Leasing had R$31.9 billion of unsecured short-term debentures outstanding in the domestic market. These debentures will mature in 2025 and bear monthly interests at the CDI.

47


Table of Contents

Terms of Leasing Agreements

     Financial leases represent a source of medium- and long-term financing for Brazilian customers. Under Brazilian law, the minimum term of financial leasing contracts is 24 months for transactions with respect to goods with an average life of five years or less, and 36 months for transactions with respect to goods with an average life greater than five years. There is no legally imposed maximum term for leasing contracts. At December 31, 2007 the remaining average maturity of contracts in our lease portfolio was 42 months.

     We generally require both a 20.0% down payment and maintenance by the lessee of full insurance on the leased asset and repossess the leased asset if a lessee is in default.

Credit Cards

     We issued Brazil’s first credit cards in 1968, and as of December 31, 2007, we were one of Brazil’s largest independent credit card issuers, with 17.5 million credit cards and 9.7 million private label cards issued. We offer Visa, American Express, MasterCard and Private Label credit cards to our clients. As of December 31, 2007, our credit cards were accepted in over 170 countries.

     Our partnership with the American Express Company has permitted us to successfully operate their credit cards and other related products in Brazil. Notable amongst these operations are the exclusive offers of the Centurion line of cards, which includes the Membership Rewards Program, and management of the network of establishments under contract with Amex Cards.

     In addition, through Fidelity Processadora e Serviços S.A., a partnership we entered into with Fidelity National Information Services, Inc. and Banco ABN AMRO Real, in 2006 for providing credit card services, we currently rank as one of Brazil’s largest service providers of processing, customer services management and support activities.

     We earn revenues from our credit card operations through:

  • fees on purchases paid by the commercial establishments;

  • issuance fees and annual fees;

  • interest on credit card balances and advances;

  • interest and fees on cash withdrawals through ATMs;

  • interest on cash advances to cover future payments owed to establishments that accept Visa credit cards; and

  • several fees charged from cardholders and affiliated commercial establishments.

     We offer our customers the most complete line of credit cards and related services, including:

  • credit cards for low-income customers, restricted for use in Brazil;

  • credit cards accepted nationwide and internationally;

48


Table of Contents

  • credit cards directed toward high-net-worth customers, such as “Gold”, “Platinum” and “Infinite” Visa, American Express and MasterCard. The highlights are the benefits of the Fidelity Programs, among which the Membership Rewards;

  • cards that combine the features of credit and debit card in a single piece. Holders of these cards can use them to carry out traditional banking transactions as well as to purchase goods;

  • for greater security, we are issuing chip-embedded credit cards for the whole client base, which allows holders to use passwords instead of signatures;

  • corporate credit cards accepted nationwide and internationally;

  • co-branded credit cards, which we offer through partnerships we have with traditional companies, such as airlines, retail stores , newspapers, magazines, automobile companies and others;

  • “affinity” credit cards, which we offer through civil associations, such as sport clubs and non- governmental organizations;

  • “CredMais” credit cards for employees of our payroll processing clients, which have more attractive revolving credit fees, and “CredMais INSS” credit cards for pensioners and other beneficiaries of INSS with lower financing interest rates;

  • Private label credit cards, which exclusively target retail clients in efforts to leverage the loyalty of our business and individual clients, and which may or may not have a flag for use outside the commercial establishment.

  • “GiftCard,” which is a prepaid card sold as a gift to individuals;

  • SMS – Bradesco Message Service, which allows the credit card holder to receive a text message in their mobile phone informing them that a transaction with its respective credit card has been made;

  • CPB—Bradesco Ticket Card, a virtual card focused on the management and control of plane ticket expenses for corporations;

  • Bradesco Transportation Card, aimed at transportation companies, shipping companies, risk management companies and truck drivers, with multiple functions of prepaid and debit in account;

  • “Blue Credit Cards,” a credit card with a modern shape, offering special benefits for higher- income American Express clients;

  • “FixCard”, with a reduced fee that enables the card user to plan his/her monthly expenditure payment; and

  • Payment of invoice in up to 12 fixed installments, with specific charges per type of card.

     As of December 31, 2007, we had more than 43 partners with whom we offered co-branded, affinity and private label/hybrid credit cards. These relationships have allowed us to integrate our relationships with our clients, thereby offering our credit card customers banking products, such as financing and insurance services.

49


Table of Contents

     Bradesco has had a long-term interest in environmental matters. In 1993, we launched the SOS Mata Atlântica card, which allocates a portion of its revenues to environmental causes.

     In 2007, we entered into an agreement with the State of Amazonas to donate R$70 million to Fundação Amazonas Sustentável (Sustainable Amazonas Foundation) within five years. A portion of this project will be funded through the allocation of some of the revenues generated by our social-purpose credit card operations.

     The following table sets forth a breakdown of credit cards we issued in Brazil for the years indicated:

  Year 2005  Year 2006  Year 2007 
    
  (millions)
Card Base:       
 Credit  8.6  13.0  17.6 
 Private Label  1.6  4.9  9.7 
 Debit  37.4  40.1  43.2 
    
 Total  47.6  58.0  70.5 
    
 
Revenue (R$):       
 Credit  13,802.7  23,233.2  32,774.6 
 Private Label  220.7  1,243.5  4,122.2 
 Debit  12,248.7  14,243.1  16,786.6 
    
 Total  26,272.1  38,719.8  53,683.4 
    
 
Number of Transactions:       
 Credit  217.2  293.8  393.7 
 Private Label  3.3  15.9  53.2 
 Debit  274.5  309.5  351.6 
    
 Total  495.0  619.2  798.5 
    

Debit Cards

     Customers who hold Bradesco Visa Electron debit cards can use them to make purchases at establishments and obtain advances at the BDN network in Brazil and the Visa Plus network worldwide. The amount paid is withdrawn from the cardholder’s Bradesco account, eliminating the inconvenience and bureaucracy of a check. We charge affiliated establishments a commission fee of 1.6% on each Visa Electron transaction. The total income from debit cards was R$16.8 billion in 2007, a 17.9% increase from 2006 that was the result of an increase in the client base and the preference for this type of payment.

Prepaid cards

     In 2007, together with other card issuers and Visa International, we actively participated in the distribution of Visa Vale cards, accounting for 43.6% of all sales in the benefits-vouchers sector in 2007.

50


Table of Contents

Receivables, Payment, Human Resource and Management Solutions

Receiving and Payment Solutions

     In order to meet the cash management needs of our clients, both in the public and private sectors, we offer many electronic solutions for receipt and payment management, supported by a vast network of branches, banking correspondents and electronic channels, all of which aim to improve the speed and security of information and the transfer of resources.

     These electronic solutions include:

  • collection and payment services;

  • provision of on-line resource management;

  • the electronic payment of taxes, social contributions, and related interests and penalties; and

  • the payment of utilities bills.

     In addition to these electronic solutions, we offer tailor-made services to facilitate our clients’ business development. These services contribute to the productivity of our other businesses.

     We also earn revenues through the payment of taxes on collection services and payment processing services, as well as upon transfers of funds received until their availability to the beneficiary.

Charging and Other Receivables

     In 2007, we processed 1.1 billion receivables through our online collection system, checks custody service, deposits at cashiers and credit order via our teleprocessing system, which represented a 15.6% growth as compared to the receivables we processed in 2006.

Collections

     In 2007, we processed payments of 358.3 million taxes, utilities charges, social contributions and utilities bills, which represented a 15.7% growth as compared to similar payments we processed in 2006.

Check-Custody Services

     In 2007, our post-dated check-custody service totaled R$4.2 billion, which represented a 15.1% growth as compared to 2006. Post-dated checks are a means of term payment frequently used in Brazil, particularly in the retail and wholesale sectors. Under this system, clients pay their goods and services with future dated bank checks, which the seller deposits on an agreed upon later date, effectively extending the time in which payment must be made.

Suppliers and Taxes Payment

     We offer our corporate clients electronic payment services, which allow them to make financial payments and transfers to their suppliers and creditors, including payment of taxes. In 2007, we processed over 170.4 million online financial payments and transfers, which represented an increase of 18.3% as compared to 2006.

51


Table of Contents

Productive Chain Solutions

     We have been positioned to take advantage of a growing corporate trend whereby companies that operate at different stages of the same production chain decide to combine efforts in order to improve their results. We operate in different stages of the production chain, offering solutions, products, services and partnerships that meet the needs of each involved party, such as suppliers, distributors and clients.

Public Authority Solutions

     Our public authority department identifies business opportunities and provides tailor-made services to several entities at each of the Executive, Legislative and Judiciary Branches, independent governmental Agencies, public foundations, public and mixed corporations, the armed forces and ancillary forces of the armed forces. We also take advantage of our website (www.bradescopoderpublico.com.br) to obtain new clients, strengthen our relationship with our existing clients and consolidate our position with public authorities.

Administrative Services and Human Resource Solutions

     We offer our corporate clients several electronic solutions for management of human resources and administrative services, including: payroll processing, employee checking accounts, “salary card” for employees who do not have accounts at Bradesco and also the “company card”, for the payment of business trips and other company-related expenses. Once employees receive their salaries through this system, they may take advantage of special credit lines, special conditions for rates, fees, products and services and a broad ATM network.

Capital Markets and Investment Banking Services

     Bradesco BBI S.A., which we call “BBI” is the company responsible for the development of operations in the fixed and variable income markets, structured operations, mergers and acquisitions, project finance and treasury.

Variable Income

     In 2007, we acted as joint bookrunners in several public equity offerings, including:

  • Marfrig Frigoríficos and Comércio de Alimentos S.A., in an offering worth R$1.0 billion;

  • Multiplan Empreendimentos Imobiliários S.A., in an offering worth R$924.5 million;

  • Banco Panamericano S.A., in an offering worth R$700.4 million; and

  • Drogasil S.A., in an offering worth R$392.7 million.

     In addition to acting as joint bookrunners, we also acted as lead managers in several equity offerings, including:

  • BM&F, in an offering worth R$6.0 billion; and

  • Helbor Empreendimentos S.A., in an offering worth R$251.8 million.

     In 2007, according to ANBID, we ranked:

52


Table of Contents

  • eighth in “Placement of Securities,” with a total amount of R$1.9 billion in variable income transactions, and

  • eighth in “originations of transactions,” with a total amount of R$1.8 billion in transactions involving variable income securities.

Fixed Income

     In the public offerings of fixed income securities, BBI acted as lead manager in a number of transactions, including

  • Eletropaulo Metropolitana Eletricidade de S. Paulo S.A., in the public offering of debentures worth R$200.0 million; and

  • Ultrapar Participações S.A., in the public offering of first and second series debentures worth R$675.0 million and R$214.0 million, respectively.

     In 2007, according to ANBID, we ranked:

  • second in “placement of securities,” with a total amount of R$2.2 billion in fixed income transactions; and

  • second in the “originations of transactions,” with a total amount of R$2.3 billion in transactions involving fixed income securities.

Structured operations

     BBI structures credit risk transactions mainly by means of special purpose entity (SPE) securitizations, shared risk loan assignments, Fundo de Investimento em Direitos Creditórios (Investment Funds in Credit Rights), which we call “FIDCs,” Certificados de Recebíveis Imobiliários (Real Estate Receivables Certificates), or CRIs, and medium- and long-term financing based on receivables and/or guarantees.

     In 2007, according to ANBID, we ranked third in the origination of FIDC senior quotas under the form of closed-end condominium.

Mergers and Acquisitions

     In 2007, we acquired BMC and sold a part of our equity interests in Serasa S.A. We also advised B5 S.A. in the acquisition of Companhia Açucareira Vale do Rosário, Brascan Shopping Centers in the acquisition of Plaza Shopping Trust SPCO Ltda., Louis Dreyfus Commodities Bioenergia S.A. in the acquisition of sugar and ethanol business of Grupo Tavares de Mello, CPM S.A. in its merger into Braxis Tecnologia da Informação S.A. and Odebrecht Investimentos em Infra-estrutura Ltda. in the acquisition of Ecosama Empresa Concessionária de Saneamento de Mauá S.A.

Project Finance

     In 2007, BBI acted as an advisor and financial structurer in important projects for companies within a variety of economic segments. Among others, BBI participated in the following projects:

53


Table of Contents

  • BBI acted as advisor and financial structurer of Foz do Chapecó, a hydroelectric power plant, with a capacity of 855 MW that required a total financing of R$1.6 billion;

  • BBI acted as advisor and financial structurer of PCH Terra Santa, with a capacity of 27.4 MW, and of PCH Pampeana, with a capacity of 28 MW, both small-sized hydroelectric power plants, that required financings in the amount of R$98.8 million and R$88.5 million, respectively; and

  • BBI acted as co-participant in the Consórcio Madeira Energia, a consortium headed by Odebrecht and Furnas, in its winning bid for the Santo Antônio hydroelectric power plant, with installed capacity of 3,150 MW.

Treasury

     In 2007, BBI took part in a number of treasury transactions, including a transaction in which BBI acted as market maker of BNDES shares. Currently, BBI is negotiating with other issuers in order to act as market maker for their outstanding shares. We expect these transactions will improve the liquidity of the Brazilian fixed income secondary market.

     BBI’s treasury has mainly operated in price index derivative transactions and domestic and international fixed income secondary markets.

     In December 2006 we began carrying out treasury transactions in the private banking segment, mainly promissory notes transactions.

Brokerage and Trading Services

     Through our wholly owned subsidiary Bradesco S.A. Corretora de Títulos e Valores Mobiliários, which we refer to as “Bradesco Corretora,” we trade futures, options and corporate and Brazilian government securities on behalf of our customers. The clients of Bradesco Corretora include individuals with many assets, large companies and institutional investors. Bradesco Corretora’s clients include high net worth individuals, large corporations and institutional investors. Bradesco Corretora also offers investment analysis services, which provides market performance reports, portfolio advice and stock guides.

     During 2007, Bradesco Corretora traded more than R$55.3 billion on Bovespa and, according to Bovespa, was ranked thirteenth in Brazil in terms of total trading volume.

     In addition, during 2007, Bradesco Corretora traded approximately 3.8 million futures, swaps, options and other contracts, with a total value of R$269.4 billion, on the Bolsa de Mercadorias e Futuros (the Brazilian Mercantile and Futures Market, which we call the “BM&F”). According to the BM&F, in 2007, Bradesco Corretora was ranked 27th in the Brazilian market, in terms of the number of options, futures and swaps contracts executed. In 2006, Bradesco Corretora traded 2.6 million futures, swaps, options and other contracts, with a total amount of R$207.9 billion on BM&F and, according to BM&F, was ranked 27th in the Brazilian market.

     Bradesco Corretora has thirty-six brokers covering retail investors and assisting our branch managers, ten brokers dedicated to Brazilian and foreign institutional investors and nine brokers dedicated to the BM&F. Bradesco Corretora has eleven traders on BM&F’s floor and four floor assistants. Our branch managers are charged with the task of marketing the services that Bradesco Corretora offers.

54


Table of Contents

     Bradesco Corretora offers its clients the ability to trade securities via the Internet through its “ShopInvest” service. In 2007, trading through “ShopInvest” totaled R$14.2 billion, corresponding, according to Bovespa, to 7.8% of all transactions carried out through the Internet on Bovespa and ranking Bradesco Corretora as the 2nd largest Internet trader in the Brazilian market. In 2006, negotiations through ShopInvest totaled R$4.3 billion, corresponding, according to Bovespa, to 3.0% of all the transactions carried out through the Internet on Bovespa, ranking Bradesco Corretora as the sixth largest Internet trader in the Brazilian market.

     We also offer our clients the Direct Treasury Program, which allows individual clients to invest in Federal Public Securities through the Internet by registering with Bradesco Corretora through our website, www.bradesco.com.br.

     Bradesco Corretora also offers its services as a representative of non-resident investors in transactions carried out in the financial and capital markets, in accordance with the terms of CMN Resolution No. 2,689 which we refer to as “Resolution 2,689.” For more information regarding Resolution 2,689 see “Item 10. Additional Information—Exchange Controls.”

Share, Custody and Controlling Services

     Through our infrastructure and specially trained personnel, we offer our clients several services, such as custody of securities, controllership, receivable funds, DR-depositary receipt, BDR-Brazilian depositary receipt, bookkeeping for shares, debentures and quotas of investments funds. These services have received a total of ten ISO 9001:2000 certifications and 3 GoodPriv@cy certifications.

    As of December 31, 2007:

Book-entry assets
 
 
our system for registered shares had 208 companies, with a total of 2.7 million shareholders;
 
 
our system for registered debentures had 72 companies with a total market value of R$82.6 billion;
 
 
our system for registered quotas had 80 investment funds with a market value of R$5.8 billion; and
 
 
we administered three BDR registered programs, with a market value of R$661.3 million.
 
Custody and Controlling Services
 
 
our custodial services clients (funds, portfolios, receivables, DR and mutual funds) had total assets in custody of R$428.0 billion;
 
 
we act as custodian for twelve DR registered programs, with a market value of R$106.0 billion; and
 
 
R$365.7 billion is the total net worth of the 1,096 investment funds and portfolios that used our controllership services.

55


Table of Contents

Investment Banking Activities

     In February 2006, we incorporated Banco Bradesco BBI S.A., which we call “Bradesco BBI,” to be our investment bank and operate in the capital market, merger and acquisition, project financing, structured operations and treasury areas. Bradesco BBI provides services regarding origination, structuring of business, asset management and distribution, financial flow of funds and inventory of clients. In addition, Bradesco BBI manages the operations of Bradesco Corretora and Bradesco Securities Inc.

     Our investment management areas (private banking and asset management) are separated from the investment bank activities.

International Banking

     As a private commercial bank, we offer a range of international services, such as exchange transactions, external trade financing, lines of credit, and offshore banking activities. Our overseas network is made up of:

  • in New York City, our branch and Bradesco Securities Inc., our subsidiary brokerage firm, which we call “Bradesco Securities U.S.;”

  • in London, Bradesco Securities U.K., our subsidiary, which we call “Bradesco U.K.;”

  • in Cayman Islands, two branches of Bradesco and one BMC branch as well as our subsidiary, Cidade Capital Markets Ltd., which we called “Cidade Capital Markets;”

  • in the Bahamas, a branch of Bradesco;

  • in Argentina, Banco Bradesco Argentina S.A., our subsidiary, which we call “Bradesco Argentina;”

  • in Luxembourg, Banco Bradesco Luxembourg S.A., our subsidiary, which we call “Bradesco Luxembourg;”

  • in Japan, Bradesco Services Co. Ltd., our subsidiary, which we call “Bradesco Services Japan;” and

  • in Hong Kong, Bradesco Trade Services Ltd.

     Our international operations are coordinated by our exchange department and supported by twelve operational units in Brazil, in addition to thirteen foreign exchange platforms, located in Brazil’s principal exporting and importing centers.

56


Table of Contents

Revenues from Brazilian and Foreign Operations

     The table below provides a breakdown of our revenues (interest income plus non-interest income) arising from our operations in Brazil and overseas for the periods indicated:

  December 31, 
  
  2005  2006  2007 
    
  (R$ in millions) (%) (R$ in millions) (%) (R$ in millions)   (%)
Brazilian operations  R$ 47,825    98.7%  R$ 53,388    98.6%  R$ 59,506    98.5% 
Overseas operations  641  1.3  736  1.4  884  1.5 
       
Total  R$ 48,466  100.0%  R$ 54,124  100.0%  R$ 60,390  100.0% 
       

Foreign Branches and Subsidiaries

     Our foreign branches and subsidiaries are principally engaged in financing Brazilian companies seeking external trade financing. Bradesco Luxemburg also provides services to the private banking segment. With the exception of Bradesco Services Japan, our branches also take deposits in foreign currency from corporate and individual clients and extend credit to Brazilian and non-Brazilian clients. The total assets of the foreign branches, excluding transactions between related parties, were R$15.4 billion as of December 31, 2007, and were substantially denominated in currencies other than reais.

     In October 2007, we indirectly acquired the Grand Cayman branch of Banco Mercantil de Crédito, as a result of our acquisition of its parent company in Brazil, BMC. On December 31, 2007, Banco Mercantil de Crédito’s Grand Cayman branch had R$13.4 million in assets.

     Our foreign branches periodically issue debt securities. In addition to short-term financing obtained from international financial institutions for foreign trade financing, our foreign branches, together with our head office in Brazil, raised US$1.3 billion in 2007 and US$378.7 million during 2006, through medium-term and long-term private placements. The low demand for working capital loans in foreign currency prevented Bradesco from accessing the international capital markets through public placements in 2006. The access to the international capital markets, through the issuance of debt securities, diversifies our sources of foreign currency denominated funding. In most Latin American companies, our access to funding through such issuances and our ability to diversify our sources of foreign currency denominated funding are, and will continue to be, subject to the domestic and international market conditions and international lender’s perception of emerging market risks.

     Bradesco Argentina. With a view to expanding our operations in Latin America, in December 1999, we established our subsidiary in Argentina, Bradesco Argentina, the general purpose of which is to extend financing, largely to Brazilian companies established in Argentina and, to a lesser extent, to Argentinean companies doing business with Brazil. In order to start its operations, we capitalized Bradesco Argentina with R$54.0 million from March 1998 to February 1999, and on May 29, 2007, we carried out an additional capitalization of R$27.2 million. At December 31, 2007, Bradesco Argentina recorded R$63.5 million as total assets.

     Bradesco Luxemburgo. In April 2002, we acquired the total issued and outstanding shares of Banque Banespa International S.A, in Luxembourg and changed its name to Banco Bradesco Luxembourg S.A. In September 2003, Mercantil Luxembourg was merged into Banco Bradesco Luxembourg and being Banco Bradesco Luxembourg was the surviving entity. On December 31, 2007, the total assets of this subsidiary were R$942.4 million.

57


Table of Contents

     Bradesco Services Japan. In October 2001, we incorporated Bradesco Services Japan to provide specialized services to the Brazilian community in Japan, including remittances to Brazil and advice regarding investments within Brazil. At December 31, 2007, its total assets were R$0.8 million.

     Bradesco Trade Services. A non-financial institution and a subsidiary of our branch in the Cayman Islands, which we formed on January 23, 2007, in Hong Kong, jointly with the Standard Chartered Bank.

     Bradesco Securities (U.S. and U.K.). Bradesco Securities, our wholly owned subsidiary, is a broker dealer in the United States and England.

  • Bradesco Securities U.S. focus is on facilitating the purchase and sale of shares, primarily in the form of ADRs. The company is also authorized to deal with bonds, commercial paper and deposit certificates, among other securities, and to provide investment advisory services. Currently, we have more than ninety ADR programs for Brazilian companies that trade on the New York Stock Exchange. On December 31, 2007, Bradesco Securities U.S. had assets of R$40.0 million.

  • Bradesco Securities U.K.’s focus is the intermediation of variable and fixed income operations of Brazilian companies for global institutional investors. The authorization for operation was granted to Bradesco Securities U.K. on May 16, 2008. On this date, its equity amounted to R$7.8 million.

     Cidade Capital Markets. In February 2002, Bradesco, through BCN, acquired Cidade Capital Markets in Grand Cayman, as part of our acquisition of its parent company Banco Cidade. At December 31, 2007, Cidade Capital Markets had R$64.3 million in assets.

Banking Operations in the United States

     In January 2004, the United States Federal Reserve Bank granted us permission to operate as a financial holding company in the United States. As a result, we are permitted to operate in the United States market, directly or through a subsidiary, and, among other things, may sell insurance, provide underwriting services, assist with private placements, portfolio management and merchant banking services and manage mutual fund portfolios. We have already begun to offer some of these services in the United States.

Foreign Trade Financing

     Our Brazilian foreign trade activities consist primarily of financing export and import transactions.

     We provide foreign currency payments on behalf of the importer directly to foreign exporters, attached to the receipt of a local currency payment by Brazilian importers. Exporters usually receive an advantage in local currency upon the closing of the export contract, in exchange for an assignment of a foreign currency receivable due on the contract maturity date. Financings of imports done prior to the shipment of the goods are called Adiantamento Sobre Contrato de Câmbio (Advances on Exchange Contracts, or “ACC”), whereby the funds obtained are used in the production of the goods that will be exported. Financings done after the shipment of the goods, when the exporter is awaiting payment, are called Adiantamento Sobre Contrato de Exportação (Advances on Export Contracts, or “ACE”).

58


Table of Contents

     Other types of financings for exports include, among others, the pre-payment of exports, BNDES-EXIM on-lending, advance discounts, exports credit notes and exports credit certificates.

     Our foreign trade portfolio is funded primarily by credit lines with banking correspondents. We maintain relationships with various North American, European, Asian and Latin American financing institutions for this purpose, relying on our network of approximately 1,000 banking correspondents abroad, 98 of which granted funding facilities at the end of 2007.

     At December 31, 2007, the balance of our export financing transactions was R$15.3 billion and the balance of our import financing transactions was R$2.2 billion. The volume of our foreign exchange contracts for exports reached US$39.2 billion, an 18.4% increase over 2006. During 2007, the volume of our foreign exchange contracts for imports reached US$17.3 billion, a 29.1% increase over 2006. In 2007, based on information made available by the Central Bank, we had a 20.5% market share in the Brazilian export market, and a 16.1% market share in the Brazilian import market.

     The following table sets forth the composition of our foreign trade portfolio at December 31, 2007:

  December 31, 2007 
  
Export Financing  (R$ in millions)
     Advances on Exchange Contracts (ACCs) R$ 5,332 
     Advances on Export Contracts (ACEs) 1,507 
     Pre-payment of exports  5,362 
     On-lending of funds via BNDES/EXIM  2,407 
     Other  734 
  
 
Total Export Financing  15,342 
  
 
Import Financing   
   Foreign-exchange-denominated import financings  1,100 
   Withdrawal discounted from import  1,079 
Total Import Financing  2,179 
  
 
Total Foreign Trade Portfolio  R$ 17,521 
  

Other Foreign Exchange Products

     In addition to foreign trade financing, we offer our customers other exchange services and products, such as:

  • purchasing and selling of travelers’ checks and foreign currencies;

  • cross border money transfers;

  • exports advanced receipt;

  • bills of clients domiciled abroad in domestic currency;

  • international transfer of reais;

59


Table of Contents

  • collecting import and export receivables;

  • cashing checks that are denominated in foreign currency; and

  • structuring transactions in foreign currency by means of our units abroad.

Private Banking Services

     Bradesco Private Banking makes available for its high net worth individual clients liquid assets in excess of R$1.0 million for investments, an exclusive range of products and services, including assistance in asset allocation and tax succeeding advice.

Asset Management

     We manage third-party assets by means of:

  • mutual funds;

  • individual and corporate investment portfolios;

  • pension funds, including assets guaranteeing the technical reserves of Bradesco Vida e Previdência;

  • insurance companies, including assets guaranteeing the technical reserves of Bradesco Seguros; and

  • FIDCs.

     At December 31, 2007, we had R$177.5 billion of assets under management (representing 14% of Brazilian market share), R$152.3 billion of which were managed by Bradesco Asset Management and R$25.2 billion of which were in third party funds related to the management, custodial and controlling services of BEM Distribuidora de Títulos e Valores Mobiliários Ltda., which we call “BEM DTVM.”

     At December 31, 2007, we offered 666 funds and 121 portfolios to over 3.3 million investors. We also offer a range of fixed asset, floating rate, money market and other funds. Currently we do not offer investments in highly leveraged funds.

60


Table of Contents

     The following tables set forth the distribution of assets among our funds under management, the number of customers and the number of funds and customer portfolios as of the dates indicated:

  Distribution of Assets(1)
  
  December 31, 
  
  2005  2006  2007 
    
  (R$ in millions)
Mutual Funds:       
   Fixed income  104,183  130,609  143,214 
   Variable income  3,357  5,228  14,169 
   Third party share funds  5,103  4,068  6,580 
    
 
Total  112,643  139,905  163,963 
Managed Customer Portfolios       
   Fixed income  6,340  4,265  4,952 
   Variable income  1,822  2,673  7,645 
   Third party share funds  377  265  926 
    
 
Total  8,539  7,203  13,523 
    
 
Overall Total  121,182  147,108  177,486 

_________________
(1)
Calculated in accordance with the criteria used for ANBID Third Party Asset Management Global Banking 

  As of December 31, 
  
  2005  2006  2007 
    
  Quantity  Number of  Quantity  Number of  Quantity  Number of 
    Quota holders    Quota holders    Quota holders 
Mutual Funds  516  3,392,016  563  3,333,002  666  3,312,565 
Portfolio  110  390  104  449  121  540 
       
 
Overall Total  626  3,392,406  667  3,333,451  787  3,313,105 
       

     We market our asset management products through our network of branches, our telephone banking services and our Internet-based investment site—ShopInvest. We are continuously working to improve the composition of our investments, through intense commercial analysis, as well as diversification of our funds in order to better serve our clients.

Consortia

     In Brazil, persons or entities that wish to acquire certain goods can form a group, known as a “consortium,” in which the members pool their resources to assist each other with the purchase of certain consumer goods. The purpose of a consortium is to acquire goods, and Brazilian law forbids the formation of consortia for investment purposes.

     In January 2003, our subsidiary Bradesco Consórcios initiated the sale of consortium memberships, known as “quotas,” to our clients. Since May 2004, Bradesco Consórcios has been the leader in the real estate segment and since December 2004, it has also been the leader in the vehicle segment. On December 31, 2007, Bradesco Consórcios registered total sales of over 334,129 quotas, with a total billed amount of approximately R$10.8 billion and a net profit income of R$141.4 million. Bradesco Consórcios acts as the administrator for the consortia, which are formed to purchase real estates, automobiles, trucks, tractors and agricultural equipments.

61


Table of Contents

Insurance, Pension Plans and Certificated Savings Plans

     The following diagram shows the principal elements of our insurance, pension plans and certificated savings plans segment as of December 31, 2007:

     The following table sets forth selected financial data for our insurance, pension plans and certificated savings plans segment for the periods indicated. The total amounts per segment shown in the table may not correspond to the amounts shown on a consolidated basis, as they do not take into account other activities we develop as they are immaterial, and were subject to adjustments, reclassifications and eliminations for inter-company transactions.

   As of and for the year ended December 31, 
  
  2005  2006  2007 
    
    (R$ in millions)  
Income statement data:       
   Net interest income(1) R$ 5,938  R$ 6,476  R$ 6,577 
   Non-interest income(1) 9,374  10,307  11,292 
   Non-interest expense  (12,428) (13,407) (13,949)
    
   Income before taxes and minority interest(1) 2,884  3,376  3,920 
   Tax on income  (858) (918) (1,287)
    
   Income before minority interest(1) 2,026  2,458  2,633 
   Minority interest  (9) (16) (19)
    
Net Income(1) R$ 2,017  R$ 2,442  R$ 2,614 
    
 
Balance sheet data:       
   Total assets  R$ 49,670  R$ 61,208  R$ 73,028 

62


Table of Contents

         Selected results of operations data       
         Insurance premiums:       
               Premiums of life insurance and personal accidents  1,787  1,779  1,822 
               Health insurance premiums  3,518  3,918  4,246 
               Automobile, property and casualty insurance premiums  2,500  2,424  2,775 
    
                   Total  R$ 7,805  R$ 8,121  R$ 8,843 
    
Pension plan income  377  791  555 
Interest income from insurance, pension plans, certificated savings       
   plans and pension investment contracts  5,938  6,476  6,577 
Changes in technical provisions for insurance, pension plans,       
   certificated savings plans and pension investment contracts  (3,939) (4,199) (4,981)
Insurance claims  (5,501) (6,124) (6,012)
Pension plan operating expenses  R$ (505) R$ (560) R$ (478)
_________________
(1)
Includes income from related parties outside the segment.

Insurance

     We offer insurance products through a number of different entities, which we refer to, collectively, as Grupo Bradesco de Seguros e Previdência. Grupo Bradesco de Seguros e Previdência was the largest insurer group in Brazil in 2007 based on total revenues and technical provisions, according to information published by SUSEP and ANS in December 2007. Grupo Bradesco de Seguros e Previdência provides a wide range of insurance products, both on an individual basis and to corporate clients. Its products include health, life, accident, automobile and property and casualty insurance. According to the annual publication of Fundacion Mapfre in Spain, Grupo Bradesco de Seguros e Previdência was the greatest insurance and pension plan group in Latin America in 2006.

Health Insurance

     Health and dental care insurance insures policyholders for medical and odontological expenses. We offer our health and dental care insurance through our subsidiary Bradesco Saúde. At December 31, 2007, Bradesco Saúde had 2.9 million health and dental policyholders, including holders of corporate insurance plans and individual/family plans. Approximately 18,000 companies in Brazil have health insurance policies underwritten by Bradesco Saúde, including 38 of the country’s 100 largest companies.

     Bradesco Saúde currently has one of the largest health insurance networks. As of December 31, 2007, it included approximately 9,100 laboratories, 10,000 specialized clinics, 14,400 physicians, 3,000 hospitals, 1,400 dental clinics and 5,700 dentists located throughout the country.

Personal Insurance

     Bradesco Seguros offers life, personal accident and occasional events insurance products through our subsidiary Bradesco Vida e Previdência.

Automobiles, Property and Liability

     We provide automobile, basic lines and liability products through our subsidiary Bradesco Auto/RE. Our automobile insurance covers policyholders’ losses resulting from vehicle theft, damage to vehicles, personal injury and injury to third parties. Mass basic insurance lines are geared towards individuals, particularly those with residential and/or equipment related risks and small- and medium-sized companies, the assets of which are covered by corporate multi-risk insurance.

63


Table of Contents

     Among mass basic insurance lines for individual clients, the residential ticket is a product that has a relatively affordable cost and high profitability. For corporate clients, Bradesco Auto/RE offers Bradesco Seguro Empresarial, which is tailored to meet our clients’ needs in accordance with their business. For corporate basic and liability insurance lines, Bradesco Auto/RE has an exclusive highly specialized team that provides large business groups with services and products that are tailor-made to the specific needs of each policyholder. In this segment, the operational risks, named and oil insurance policies are the most demanding lines.

     In 2007, Bradesco Auto/RE had 1.2 million insured automobiles and 907 million basic lines policies and tickets. Bradesco Auto/RE is one of the main insurers in Brazil.

Sales of Insurance Products

     We sell our insurance products through exclusive brokers in our branch network, as well as through non-exclusive brokers throughout Brazil. Bradesco Seguros pays the brokers’ fees on a commission basis. At December 31, 2007, 26,951 brokers offered our insurance policies to the public. We also offer certain automobile, health, property and casualty insurance products directly through our website.

Pricing

     The pricing of individual health insurance in Brazil is based on medical and hospital costs and the history of individual claims. These factors, in conjunction with the number of insured individuals and their geographical regions, also guide the pricing for group health insurance. All insurance pricing calculations are based on actuarial studies.

     The price for life and personal accident insurance is usually determined based on the life expectancy of individual policyholders and, in few cases, the frequency of claims and the average damage experienced by the Brazilian population. Any amount exceeding the limit of the reinsurance agreement is automatically transferred to IRB Brasil Resseguros S.A., known as “IRB.”

     The price determination of automobile insurance is influenced by the frequency and severity level of an individual’s claims, and takes into consideration many factors, such as place of use of the vehicle and its specific characteristics. In accordance with market practice, as of April 2004, we consider the client profile in the price determination of an automobile insurance policy.

     The profitability of personal automobile insurance partially depends on the identification and correction of disparity between premium levels and the expected claim costs. The premiums charged for the cover of damages to vehicles are pegged to the value of the insured automobile and, consequently, the premium levels partially reflect the sales volume of new automobiles.

     Pricing in the property and casualty insurance business is driven by claim frequency and average claim amount, as well as the specific characteristics of the insured party’s location. In the corporate basic lines, insurance prices are determined in accordance with each covered risk. In case of atypical type of coverage and/or covered amounts, we must consult IRB to obtain the basic terms of the contract.

Reinsurance

     Brazilian regulations set retention limits on the amount of risks insurance companies may underwrite. In accordance with such regulations, Grupo Bradesco de Seguros e Previdência reinsures with the IRB all the risks it underwrites for which the insured amounts exceed the retention limits. In addition, Grupo Bradesco de Seguros e Previdência also reinsures all risks for which reinsurance is recommended by technical-actuarial decisions, in order to minimize the risks of our portfolio.

64


Table of Contents

     In 2007, Grupo Bradesco de Seguros e Previdência reinsured approximately R$367 million in insurance risks with the IRB. Although the reinsurance companies are liable for any risks they reinsure, the insurance companies remain primarily responsible as the direct insurers on all reinsured risks and not only on the amounts reinsured by them.

     On January 15, 2007, the Brazilian Congress enacted the Supplementary Law no. 126, which extinguished the monopoly of IRB by opening the reinsurance market to competition in Brazil. The effectiveness of such law depends on regulation by CNSP over the requirements to be met by reinsurance companies for receiving reinsurance assignments originated in the country.

     On July 17, 2007, CNSP authorized Brazilian insurance companies to contract with foreign reinsurance companies either by themselves or brokers, and individuals or legal entities to contract with foreign insurance companies.

     On the same date, CNSP established new rules applicable to reinsurance, retrocession and intermediation activities, such as minimum capital required for Brazilian reinsurance companies to operate in the Brazilian market, requirements for additional capital in accordance with underwriting risks, rules and procedures regarding technical provisions and retention limits for Brazilian reinsurance companies and reinsurance brokerage.

     The CNSP authorized IRB to keep providing reinsurance and retrocession services. However, IRB is required to comply with the new regulations applied to Brazilian reinsurance companies by October 2008.

Pension Plans

     We have managed individual and corporate pension plans since 1981 through our wholly owned subsidiary Bradesco Vida e Previdência, which is now the leading pension plan manager in Brazil as measured by pension plan contributions, investment portfolio, and technical provisions, based on information published by the Federação Nacional de Previdência Privada e Vida (the National Association of Private Pension Plans), known as “Fenaprevi,” and SUSEP.

     Bradesco Vida e Previdência offers and manages a range of individual and group pension plans. Our largest individual plans in terms of contributions are VGBL, PGBL and Fundos de Aposentadoria Individual, which we call “FAPI.” VGBLs and PGBLs are plans exempted from withholding taxes on income generated by the fund portfolio. For income tax purposes, FAPI and PGBL allow the participants to deduct their taxable income by the amount of their pension plans contributions, up to a limit of 12% of their overall gross income. Participants in these types of funds are taxed upon redemption of their shares, or reception of benefits.

     In December 2007, the pension funds managed by Bradesco Vida e Previdência accounted for 41.9% of VGBL, 26.1% of PGBL and 30.0% of traditional pension plans in Brazil, according to Fenaprevi.

     In December 2007, Bradesco Vida e Previdência accounted for 37.9% of the supplementary pension plan market and VGBL market in terms of contributions, according to SUSEP. As of December 31, 2007, Bradesco Vida e Previdência accounted for 41.0% of all supplementary pension plan assets under management according to Fenaprevi.

65


Table of Contents

     Brazilian law currently permits the existence of both “open” and “closed” private pension entities. “Open” private pension entities are those available to all individuals and legal entities who, by means of a regular contribution, wish to subscribe to a benefit plan. “Closed” private pension entities are those available to discreet groups of people such as employees of a specific company or a group of companies in the same sector, professionals in the same field, or members of a union. Private pension entities grant benefits upon periodic contributions from their members, their respective employers or both.

     Our revenues from pension plan management have risen by an average of 20.8% over the past five years, in large part due to increased sales of our products through our branch network.

     We manage pension plans and VGBL covering more than 1.9 million participants, 73.2% of whom are members of individual plans, and the remainder of whom are individual members of corporate plans. Corporate plans account for 27.4% of our technical reserves.

     Under VGBL and PGBL plans, participants are allowed to make contributions either in installments or in lump-sum payments. Participants in pension plans may deduct the amounts contributed to PGBL by up to 12.0% of the participant’s complete taxable income. According to applicable law, the redemption and the benefits realized are subject to a withholding tax. Companies in Brazil can establish VGBL and PGBL plans for the benefit of their employees. As of December 31, 2007, Bradesco Vida e Previdência managed R$24,514 million in VGBL and R$9,417 million in PGBL plans. Bradesco Vida e Previdência also managed R$17,916 million in supplementary pension plans.

     We are using VGBLs and PGBLs to replace a number of guaranteed-return plans, as guaranteed-return plans pose more risk to us. Guaranteed-return plans guarantee participants a minimum return during the period they make their contributions. The amount of return corresponds to the amount invested at a rate of TR plus a spread of up to 6% per year. To minimize market fluctuations, we hedge our risk arising from these guaranteed-return plans with investments in Brazilian government treasury notes. Conversely, VGBLs and PGBLs do not have such a guarantee.

     In accordance with US GAAP, we consider VGBLs, PGBLs and FAPIs to be pension investment contracts.

     Bradesco Vida e Previdência also offers pension plans to its corporate customers, most of these plans are tailored to the needs of a specific corporate customer.

     Bradesco Vida e Previdência earns revenues primarily from:

  • pension plans contributions and PGBL, premiums of life insurance, personal accidents and VGBL; and

  • revenues from management fees which are charged from the participants in accordance with mathematic provisions.

Certificated Savings Plans

     Bradesco Capitalização offers our clients certificated savings plans with the option of making either one contribution or monthly payments. Each savings plan varies in accordance with value (from R$7.00 to R$10,000), form of payment, contribution term and periodicity of drawings of cash premiums of up to R$2 million. Clients are granted interest at a rate of TR plus 0.5% per month over the value of the mathematical provision. The certificated savings plans are redeemable by the holder at the end of a grace period that is usually 12 months. As of December 31, 2007, we had more than 4.5 million “traditional” certificated savings plans and more than 9.8 million “assignment of raffle right” certificated savings plans. Given that the purpose of “assignment of raffle right” certificated savings plans is to add value to the product of the partner company or even to provide an incentive for the non-delinquency of its clients, the bonds have reduced effectiveness term and grace period and low unit value of commercialization. As of December 31, 2007, Bradesco Capitalização had issued more than 14.3 million of certificated savings plans, which are held by more than 2.3 million clients.

66


Table of Contents

     Bradesco Capitalização was the first certificated savings plan company in the country to receive the ISO 9002 Certification. In 2007, it maintained its quality management system NBR ISO 9001:2000 Certification with respect to our certificated savings plans management. This certification, granted by Fundação Vanzolini, attests to the quality of internal processes of Bradesco Capitalização and reinforces the quality of our certificated saving plans. Standard & Poor’s increased Bradesco Capitalização’s rating from ‘brAA+/Positive’ to ‘brAAA/Stable’ in May 2007. It is currently the only company in the certificated savings plans segment with such a rating. We believe Bradesco Capitalização’s results are mostly driven by the solid financial condition and equity protection standards that Bradesco Capitalização ensures its clients.

Treasury Activities

     Our treasury departments enter into transactions, including derivative transactions, mainly for hedging purposes (called the “macro hedge”). They enter into these transactions in accordance with limits set forth by our management, under guidelines established by our risk management area, utilizing a value at risk methodology. For more information about our risk methodology, see “Item 11. Quantitative and Qualitative Disclosures About Market Risks—Risk and Risk Management—Market Risk.”

Distribution Channels

     We have the largest private-sector banking network in Brazil. In 2007 we opened 152 new branches. Our branch network is complemented by alternative distribution channels such as special banking service posts on the premises of selected companies, ATMs, telephone banking services and Internet banking. In introducing new distribution systems, we have focused on enhancing our security as well as increasing efficiency.

     In addition, in order to foster stronger ties with our corporate clients, in 2007, we established an additional 234 banking service posts on the premises of selected corporate clients and 91 banking service posts in 2006, reaching a total of 2,776 banking service posts as of December 31, 2007. We offer the same products and services at these special posts as we offer in our branches.

     For information on our international branches as of December 31, 2007, see “Item 4.—Information on the Company—History and Development of the Company—Banking Activity—International Banking.”

     We also offer banking services in 5,821 Brazilian post offices and through our banking correspondent offices. For further information about this distribution channel, see “—History—Acquisitions in 2003 and 2005—Other Acquisitions.”

Specialized Distribution of Products and Services

     As part of our distribution system, we have five areas that offer a range of different products and services on an individualized basis to companies and individuals throughout all specified segments of our client base. By focusing on specified segments of our client base, we are able to provide different levels of attention according to the profile of each client and, as a result, improve our efficiency in services.

67


Table of Contents

Bradesco Retail

     Bradesco Retail provides banking services to the population at large, mainly assisting individuals with monthly incomes of up to R$4,000, and companies with annual revenues of up to R$15.0 million, comprising more than 18 million clients carrying out millions of daily transactions at our 2,800 branches and 2,600 other service locations. We reward our biggest clients in this segment by providing them with personalized services.

Bradesco Corporate

     Bradesco Corporate was created in 1999 and targets companies which have annual revenues of more than R$350 million per year. We currently have 124 relationship managers offering a range of traditional as well as tailor-made products to these customers.

     Bradesco Corporate is ISO 9001:2000 certified for all its corporate structure, and provides exclusive customer service specialists for our corporate customers.

Bradesco Companies

     Bradesco Companies was implemented with the aim of attending to the needs of companies with revenues of R$30 million to R$350 million/year, through its 68 exclusive branches in the main Brazilian capital cities.

     Bradesco Companies strives to offer excellent business management with respect to loans, financings, investments, foreign commerce, derivatives, cash management and structured transactions, seeking both the satisfaction of our clients and good results for the Organization.

     The Bradesco Companies team has 39 chief managers and 343 relationship managers who take part in ANBID’s Certification Program, and 211 assistant managers. Bradesco Companies’ team assists an average of thirty-four economic groups representing 24,771 companies in various industries.

     Bradesco Companies manages assets in the amount of R$47.2 billion, among loan operations, guarantees, deposits, funds and charging.

     In an ongoing pursuit of quality, Bradesco Companies received from Fundação Carlos Alberto Vanzolini the NBR ISO 9001:2000 certification, attesting to our commitment to a continous improvement process and clients’ satisfaction.

Bradesco Private Banking

     Bradesco Private Banking, certified by ISO 9001:2000 as well as by “GoodPriv@cy” (Data Protection – 2002 Edition) granted by International Quality Network, was created in 2000 to manage our relationship with high net worth individuals. Bradesco Private Banking seeks the most appropriate financial solution for each client by providing a tailor-made solution for each client that focuses on asset allocation assessment, fiscal, tax and estate planning.

68


Table of Contents

Bradesco Prime

     Bradesco Prime operates in the high-income client segment and was created to provide services to individuals with monthly incomes of at least R$4,000 or investments worth at least R$50,000. Its mission is to be the primary bank of such clients focusing on a high-quality relationship with the clients, as well as on providing appropriate solutions to their needs, with well-prepared teams, adding value to shareholders and employees, within the Bank’s ethical and professional standards. Bradesco Prime’s services are based on the following assumptions:

  • personalized services as a result of a close relationship between our clients and our managers who manage a small number of portfolios and are constantly working on their qualifications in order to provide high standards of financial advisory service; 

  • large range of products and services, such as “Bradesco Prime Loyalty Program”, that offers increasing benefits to the clients and promotes the relationship between the clients and Bradesco through the offer of such benefits; 

  • exclusive branches specifically designed to provide comfort and privacy; and

  • relationship channels such as an exclusive internet banking portal (www.bradescoprime.com.br), which allows our clients to chat with our financial advisors in real time, an exclusive call center for our clients, and the use of Bradesco’s branches, ATM machines and Banco 24 Horas throughout Brazil. 

     Throughout the years, by investing in technology, in the improvement of the relationship with clients and in the qualification of its professionals, Bradesco Prime has achieved an outstanding position in the Brazilian market of banking services to high-income clients and has been consolidated as the largest banking service provider to high-income clients in terms of network, with 228 branches, that are strategically positioned to provide service for more than 389,000 clients.

     Since 2005, Bradesco Prime has been certified by Fundação Carlos Alberto Vanzolini with NBR ISO 9001:2000 certification. This certification underscores our commitment to ongoing improvement and the pursuit of clients’ satisfaction.

Branch System

     The principal distribution channel for our banking services is our branch network. In addition to offering retail banking services, our branches serve as a distribution network for all of the other products and services we offer to our customers, including our payment processing and collection services, our private banking services and our asset management products. We market our leasing services through channels operated by our branch network, as well as directly through our wholly owned subsidiary Bradesco Leasing and Banco Finasa. Bradesco Corretora and Bradesco Consórcios also market brokerage, trading and consortium services through our branches. Bradesco Vida e Previdência sells its products through 8,005 independent agents nationwide, most of whom are based in our facilities. These agents’ compensation is commission based.

     We sell our insurance products and pension plans through our website, through exclusive brokers based in our network of bank branches, and through non-exclusive brokers throughout Brazil, all of whom are compensated on a commission basis. At December 31, 2007, 26,951 brokers offered our insurance policies to the public. Our certificated savings plans are offered through our branches, the Internet, customer services, ATM machines and external distribution channels.

69


Table of Contents

     The table below sets forth the distribution of sales of the indicated products through our branches and outside our branches:

  2005  2006  2007 
    
            (% of total sales, per product)
Insurance products       
   Sales through the branches    34.9%  35.6%  37.7% 
   Sales outside the branches    65.1  64.4  62.3 
 
Pension plans products       
   Sales through the branches    83.1  84.5  83.6 
   Sales outside the branches    16.9  15.5  16.4 
 
Leasing products       
   Sales through the branches    78.1  65.7  19.7 
   Sales outside the branches    21.9  34.3  80.3 
 
Certificated savings plans       
   Sales through the branches    90.0  91.0  92.3 
   Sales outside the branches    10.0%    9.0%    7.7% 

Data processing

     We have two data processing centers, one in Osasco, which incorporates our production processes, and one in Alphaville (Barueri), which incorporates our contingency processes. They are both located in the State of São Paulo, and are jointly equipped with 20 large-scale computers and 1,449 medium scale computers. All of our branches and ATMs have telecommunications services capable of exchanging data with any one of the two processing centers.

     Our information technology center in Alphaville may replace our data processing center in Osasco at any time.

Other service channels

     Our clients have easy access to carry out queries, financial transactions and acquisition of products and services made available at the self-service channels, Fone Fácil (Easy Phone), and Internet.

ATM

     Bradesco’s Self-Service Network has 25,974 ATMs located throughout Brazil and provides fast and practical access for a diverse range of products and services. Holders of debit cards in checking or savings accounts can also carry out withdrawals, issuance of statements and balances at any one of the 3,939 ATMs of Banco24Horas.

     In 2007, we recorded an average of over 5.4 million on-line and real time transactions per day; we set up 6,626 new ATM machines and replaced 3,747 machines.

Internet Services

     Bradesco is focused on providing innovative Internet services for its customers. Bradesco Dia&Noite manages an Internet portal with 49 websites, of which 36 are institutional and 13 are transactional.

70


Table of Contents

     Bradesco Net Empresa caters exclusively to our corporate customers and allows them to have greater security in their banking transactions, through the digital certificate with electronic signature and the Bradesco Safety Key System. Companies that register for this service are able to optimize their businesses’ financial management, while having the ability to carry out 751 types of operations, among which are movements in checking and savings accounts, payments, charging and transference of files.

     Bradesco ShopInvest website provides our clients with several online options including: conducting transactions on the Bovespa, receiving online quotations, calculation simulations, acquisition of certificated savings plans, private pension plans and the provision of additional information on the financial markets.

     With detailed information about the lines offered, the Loans and Financings website – ShopCredit – makes available to individual and corporate clients the Bank’s complete portfolio. It still allows the use of calculation simulators for the operations of Personal Loans, CDC, Leasing, Real Estate Loans, Rural Loans, and Finame, among others.

     With the Bradesco Celular channel (access via cell phone), the Client may interact with the Bank through Mobile Technology and carry out the payment of bills, transferrals between accounts, the payment of cell phone charges, and queries about balances, insurance information, Certificated Savings Plans, Financial Market Indexes and Quotations, and the profitability of Investment Funds.

     Through the website of Banco Bradesco Cartões S.A., which we call “Bradesco Cartões,” the clients of Bradesco cards may make queries and requests and access several online products and services such as rotating loans and requests;

     Cidadetran is Bradesco’s website catering exclusively for forwarding agents and driving schools, offering payment and financing solutions for all the fees and taxes related to vehicles and the Carteira Nacional de Habilitação (the National Drivers’ License), or the CNH, of the State of São Paulo.

     In addition to the website that hosts all its products, www.bradesco.com.br, the Bank also maintains specific websites to assist the clients of the Bradesco Prime, Private, Companies and Corporate segments.

     This year, we recorded 1,295.7 million banking transactions through our Internet banking services, as follows:

  • Internet Banking – 8.6 million registered users and 318.6 million transactions carried out;

  • ShopInvest – 1.2 million registered users and 5.0 million transactions, which amounted to R$17.2 billion;

  • ShopCredit – 21.7 million transactions were recorded;

  • Net Empresa – 460,709 approved companies, resulting in 54.9 million transactions carried out, and WebTA (Web File Transmission) – a further 850.6 million transactions/operations carried out;

  • Bradesco Cartões – 36.8 million transactions carried out; and

  • Cidadetran – 8.0 million transactions/operations carried out.

71


Table of Contents

Telephone Service

     Fone Fácil Bradesco provides telephone services 7 days a week with convenience, agility and security. By means of an electronic and personalized service, the Client obtains information, carries out transactions and acquires products and services related to their checking and savings accounts, credit cards and other products available on this channel. In 2007, we responded to 296.2 million calls, which generated over 367.0 million transactions valued at R$9.9 billion.

Capital Expenditures

     For a discussion of our capital expenditures during the last three years, see “Item 5. Operating and Financial Review and Prospects¯Capital Expenditures.”

Market Risk

     Market risk is related to the possibility of the loss of income from fluctuating prices and rates caused by mismatched maturities, currencies and indicators of the institution’s asset and liability portfolios.

     We measure and manage market risks through methodologies and models, which are consistent with local and international market realities, ensuring that our strategic decisions are implemented quickly and reliably.

     We have conservative market risk exposure policies. The value at risk, or VaR, limits are defined by the treasury executive committee and validated by the board of executive officers, and compliance is monitored daily by an area, which is independent from portfolio management. The VaR methodology has an accuracy level of 97.5% and a time frame of one day. Volatilities and correlations used by the models are calculated based on statistical methods and are adjusted, when necessary, at facts not yet captured by the data used in the models. The methodology applied, as well as the existing statistic methods, are validated on a daily basis by the use of backtesting techniques. Also, a sensibility analysis is daily made for the key risk factors of the positions, and the likely impacts on the portfolios in scenarios of stress are estimated.

     Market risk reports are made available on a daily basis to the portfolio management areas, to the ones in charge of monitoring and controlling the risk limits, and to the senior management. These reports are presented to the treasury executive committee on a weekly basis, and to the board of directors on a quarterly basis.

     For further information on how we assess and monitor market risk, see “Item 11. Quantitative and Qualitative Disclosures about Market Risk”.

Credit Risk Management

     Credit risk deals with the potential risk that a counterparty to a loan or other financial operation may not wish or be able to comply with their contractual obligations.

     We work constantly to mitigate potential credit risks by monitoring loan activities, developing, enhancing and preparing inventories of the credit risk models, developing recovery models, monitoring credit concentration and identifying previously unknown credit risks.

72


Table of Contents

     In addition, we have focused our efforts on the utilization of advanced risk measuring models and on the continuous improvement of the processes. The benefits that we have achieved from these efforts are reflected in the quality and performance of our loan portfolio.

     Credit risk is corporately controlled by means of meetings called “Follow-up on Credit Portfolio and Recovery”. All the meetings count on the participation, every month, of the board of executive officers and officers of the key managerial areas, and by the executive committee on credit risk management, which has the following functions:

  • to evaluate and recommend risk measurement strategies, policies, norms, and methodologies to the integrated riks management and capital allocation committee;

  • to follow up on and assess the credit risk and the actions taken to mitigate risks;

  • to follow up on and assess the alternatives to mitigate credit concentration risks, warning for those which might cause unexpected and unacceptable losses for the Bradesco Organization;

  • to follow up on the implementation of credit risk corporate management methodologies, models and tools;

  • to assess the sufficiency of the allowance for doubtful accounts, for the coverage of losses on credit operations;

  • to follow up on the credit market moves and development, analyzing the implications, risks and opportunities for the Bradesco Organization; and

  • to regularly report to the chief executive officer and to the interegrated risk management and capital allocation committee its activities and make the recommendations it deems important.

Among the key activities of credit risk management, we point out:

  • back testing and gauging of models used to assess credit portfolio risks;

  • active participation in the process of improving client risk rating models, taking into consideration the particular characteristics of the business and product segments in which the Bank operates;

  • concentration analysis per economic groups, activity, regions, etc;

  • follow-up on major risks, such as, periodic monitoring of the major events of default, through individual analysis, based on client’s balance evolution and recovery estimates;

  • follow-up on the provisioning against the expected and unexpected losses;

  • continuously revising and restructuring our internal processes, including roles and responsibilities capacity building, review of organizational structures and information technology demands; and

  • participation in the credit risk assessment, during the creation or revision of products and services.

73


Table of Contents

     The whole process of managing credit risk involves creating action plans that are responsive to the best market practices and the requirements of the New Basel Capital Accord. Aiming to improve the management process, all ongoing actions are monitored so as to identify and solve new gaps or needs which might arise.

     We seek to implement processes in line with the requirements of the Basel II IRB – Advanced approach.

Operational Risk Management

     The Bradesco Organization defines operational risk as the risk of loss resulting from internal processes, human error, inadequate or faulty systems and external events that may or may not result in the interruption of a business. Operational risk management is based on the preparation and implementation of methodologies and tools to standardize the format of the collection and treatment of background data on losses.

     We are in the process of evaluating a new corporate platform for operational risk management. This new corporate system, called operational risk and internal control, or ROCI, system has the advantage of integrating, in a single database, the ROCI information, and will meet the requirements provided for by Section 404 of the Sarbanes-Oxley Act. This new online framework will improve the Bradesco Organization’s operational risk management by bettering the processes of capturing, identifying, measuring, monitoring and reporting activities in a unified platform, allowing for the internal controls area to provide necessary qualitative support to the analyses made by the operational risk area.

     Operational risk management, carried out in a centralized manner, reaches all of the Organization’s activities, including those of Grupo Bradesco de Seguros e Previdência. This strategy has made it possible to obtain synergies through an equitable distribution of resources, with the compliance with the Basel II and Solvency II concepts, together with the Bradesco Organization’s policies, which follow the CMN Resolution 3,380, with respect to the consolidated financial statements.

     For purposes of operational risk management and the respective capital allocation, the recommendations of the New Basel Capital Accord – Basel II, and concepts required by the Central Bank in its impact studies carried out in 2005 and 2006, include the following approaches:

  • Basic (BIA – Basic Indicator Approach): Application of one single percentage over the gross result of the previous 36 months;

  • Standardized (STA – Standardized Approach): Application of different percentages over the gross result of the previous 36 months, separated by business lines;

  • Alternative (ASA – Alternative Standardized Approach): Application of a fixed percentage (M factor) over the credit assets average (Business Lines: Retail and Commercial Bank), and of different percentages over the gross result, separated by the other Business Lines;

  • Added Alternative (ASA 2): oriented by the Central Bank of Brazil, differs from the ASA – Alternative Standardized Approach in terms of separation of business lines;

  • Advanced (AMA – Advanced Measurement Approach): Focus on losses resulting from operational risk events, by means of building proprietary models for purposes of capital management and allocation.

74


Table of Contents

     For the advanced approach (AMA), which is the Bradesco Organization’s goal, we use the loss distribution approach, or LDA, which consists of estimating the distribution of severity (value of loss) and frequency (number of events) for each business line and loss event.

     We are currently analyzing the viability of participating in the loss database global consortium for financial institutions, called operational riskdata exchange association, or ORX, for the use of the information available, so as to support our scenario analysis calculations and comparisons of our positioning against large global players with regard to loss events.

     In conformity with CMN Resolution no. 3,380, the Organization maintains, updates, and improves a comprehensive plan, which sets forth strategic, tactical and operating actions. This plan includes the business Units and activities with the greatest risk potential, mitigating likely impacts and inoperability of services to clients. It is based on policies, methodologies and corporate tools, which ensure standardization and effective management of documented actions and scenarios, thus preventing likely interruptions from causing losses to clients and to the bank.

Management of Internal Controls and Compliance

     Based on a policy defined and approved by the board of directors, we keep all components of the internal controls system up-to-date, so as to mitigate potential losses generated by our risk exposure and to strengthen our existing corporate governance policies. We have also adopted additional methodologies and criteria for identification, classification, evaluation and monitoring of risks and their controls. Our dedicated staff and our investments in technology and training and recycling courses for our personnel have allowed us to create internal controls and compliance management that is effective and consistent with international standards in order to comply with foreign and Brazilian legal requirements.

     Our internal control area is one of the units of the risk management and compliance department and is responsible for the preparation and disclosure of technical instructions, criteria and procedures related to internal controls and compliance. It reports directly to our chief executive officer and provides periodic status reports to the internal controls and compliance and audit committees, and the board of directors.

     Some of the key aspects of our risk management and compliance efforts are:

  • implementation of an internal controls system structure based on methodology of the committee of sponsoring organizations, which we call “COSO,” and on the framework of the control objectives for information and related technology, or “Cobit,” regarding information technology environments, as well as adherence to the 13th Internal Control Principles defined by the Basel Committee. This structure reinforces the ongoing improvement in the identification process of deficiencies, and assessment of our internal controls to mitigate risks, including the preparation of accounting and financial statements in accordance with Section 404 of the Sarbanes-Oxley Act;

  • the compliance agents are responsible for the execution of identification activities, classification, evaluation and monitoring of risks and controls, as well as for the execution of tests of adherence, preparation and implementation of plans of action, in accordance with the standards established by the Internal Controls Area of the Risk Management and Compliance Department.

  • implementation of the Brazilian Payment System, or “SPB,” management guarantees the efficiency of the system, which transmits electronic message among our banks and other participating institutions. In addition, we have a SPB systemic business continuity plan, developed to ensure that system failures are kept to a minimum; this plan is continuously tested, and evidence reports are generated, which are published in our corporate intranet. For the manual-entry message systems, an internal access policy was created, which anticipates half-yearly meetings for the users who are licensed in our management’s systems.

75


Table of Contents

  • the online cash transfers, or TED, validation system is designed to reduce operational risks generated by the unauthorized transfer of funds from the Bradesco Group, providing a greater level of security and reliability in transactions;

  • We maintain specific policies, processes and systems so as to prevent and combat the utilization of our structure, products and services for money laundering and terrorist financing purposes. We train our employees in ways, such as brochures, e-learning and classroom courses. A multi-departmental permanent committee evaluates the pertinence of reporting suspicious transactions to regulatory agencies;

  • Strategic guidelines and follow-up on the effective adherence to the program for the prevention and combat of these types of illicit acts are under the responsibility of the “executive committee on prevention and combat of money laundering and terrorist financing,” which meets at least on a quarterly basis to assess the status of the works and the need to adopt new measures so as to align this program to the best international practices and to the rules of the regulatory agencies.

  • Measures to prevent and combat money laundering in conformity with best corporate governance practices and which are based on the policies “know your client” and “know your employee”. Training and awareness programs are provided to all employees. We are also constantly improving the technology to monitor financial movement in order to help identify transactions which could be, directly or indirectly, related to crimes preceding money laundering, defined in Law no. 9,613/98; and

  • Information security management, based on the corporate policy on information security, and on a set of rules, controls and procedures, aims at protecting client information, consubstantiating in the document entitled “Privacy Guidelines”, and our information assets, addressing the aspects of secrecy, integrity, and information availability. These activities are complemented by awareness and training actions, targeted at all of the Bradesco Organization’s employees.

Credit

     Our credit policy is focused on:

  • ensuring the safety, quality, liquidity and diversification levels in the allocation of assets;

  • searching for flexibility and profitability in our business; and

  • minimizing the risks inherent to credit operations.

     Our credit policy defines the criteria we use for setting operational limits and extending credit. Credit limits are set by the “Executive Credit Committee,” which is made up of our vice-presidents, the managing directors responsible for our operational area and our credit director. The Executive Credit Committee updates our credit limits in accordance with changes in our internal policy and the Brazilian market in general. Our Executive Directors also approve the assessment systems that our branches and departments use for each type of loan in assessing credit applications.

76


Table of Contents

     Our businesses are diversified, non-selective and focused on individuals and companies that demonstrate ability to pay and credit worthiness, and care is taken to ensure that the underlying guarantees are sufficient to support the obligations considering the reasons and terms of the credit granted, besides risk classification the loan would receive, under our classification of risk system. In Brazil, the risk rating system is divided into nine categories ranging from “excellent” to “uncollectible,” based on financial and economic considerations such as the credit profile and payment capacity of the borrower. See “Regulation and Supervision—Bank Regulations—Treatment of Overdue Debts.”

     We have several approval levels for loan requests for individuals as well as for legal entities. These approval levels range from the individual branch general managers to our Executive Credit Committee. Our branches have defined limitations on their authority to grant credit based on the size of the branch and guarantee offered at the time of the transaction. However, they have no authorization to approve an application for credit from any borrower who:

  • is rated less than “acceptable” under our internal credit risk classification system;

  • does not have an updated record;

  • whose personal data reveals any material credit restrictions; or

  • who is in default on any of his or her existing credit obligations.

     We have credit limits for each type of loan. We pre-approve credit limits to our individual and corporate clients and presently extend credits to the public sector only under very limited circumstances. In all cases, funds are only granted once the appropriate body has approved the credit line.

     We review the credit limits of our large corporate clients every 180 days. Credits extended to other customers, including individuals, small and midsized corporations, are reviewed every 90 days.

     If a loan payment is in default, the manager of the branch or department that authorized the credit is responsible for taking the initial steps to determine if the default can be remedied. If the loan remains in default after exhaustion of extra-judicial collection strategies, the manager of the branch or department refers the case to the Credit Collection Department.

Consumer Credit Operations

     For individual customers, depending on the proposed credit support and the size of the relevant branch, loans of up to R$50,000 are approved at the branch level. If the credit support offered is not within the limits established for approval at the branch level, the approval of the loan is submitted to the Credit Department and, if necessary, higher levels of authority. The following table sets out the limits within which branch managers may approve individual loans, depending on the amount and the type of credit support offered.

77


Table of Contents

  Total Risk Amount 
   
  Loan with no real guarantee  Loan with real guarantee 
   
  (R$ in thousand)
Decision-making authority:     
Manager of very small branch (1) R$0 to 5  R$0 to 10 
Manager of small branch (2) 0 to 10  0 to 20 
Manager of average branch (3) 0 to 15  0 to 30 
Manager of large branch (4) R$0 to 20  R$0 to 50 
_________________
(1) Branch with total deposits equal to or below R$1,999,999.
(2) Branch with total deposits equal to or between R$2,000,000 and R$5,999,999.
(3) Branch with total deposits equal to or between R$6,000,000 and R$14,999,999.
(4) Branch with total deposits equal to or above R$15,000,000.

     We use a specialized “credit scoring” evaluation system to analyze these loans, allowing us to build a level of flexibility and accountability, besides standardizing the procedures in the process of analyzing and deferring loans.

     We provide our branches with tools that allow them to analyze credits for individual clients in a rapid, efficient and standardized manner and to produce the corresponding loan contracts automatically. With these tools, our branches can respond quickly to clients, keep costs low and control the risks inherent to consumer credit in the Brazilian market.

     If the branch manager is not authorized to approve the requested loan, the decision is submitted to our credit department and, if necessary, to higher levels of authority. The following table sets out the range within which each decision-making authority approves loans to individuals above R$50,000, irrespective of the type of credit support offered:

  Total Risk Amount 
  
  Minimum        Maximum 
   
   (R$ in thousand)
Decision-making authority:     
Credit department  R$51  R$8,000 
Credit director  8,001  10,000 
Executive credit committee (Daily Meeting) 10,001  R$35,000 
Executive credit committee (Plenary Meeting) Over R$35,000  

Corporate Credit Operations

     For corporate customers, depending on the proposed credit support and the size of the relevant branch, loans of up to R$400,000 are approved at the branch level. If the credit support offered is not within the limits established for approval at the branch level, the approval of the loan is submitted to the Credit Department and, if necessary, higher levels of authority. The following table sets out the limits within which branch managers may approve corporate loans, depending on the amount and the type of credit support offered:

78


Table of Contents

  Total Risk Amount 
  
  Loans with no real guarantees Loan with real guarantees
   
  (R$ in thousand)
Decision-making authority:     
Manager of very small branch (1) R$0 to 10  R$0 to 60 
Manager of small branch (2) 0 to 20  0 to 120 
Manager of average branch (3) 0 to 30  0 to 240 
Manager of large branch (4) 0 to 50  0 to 400 
Manager of Bradesco Company branch (5) R$0 to100  R$0 to 400 
_________________
(1) Branch with total deposits equal to or below R$1,999,999.
(2) Branch with total deposits equal to or between R$2,000,000 and R$5,999,999.
(3) Branch with total deposits equal to or between R$6,000,000 and R$14,999,999.
(4) Branch with total deposits equal to or above R$15,000,000.
(5) Branch with exclusive middle market companies.

     If the branch manager is not authorized to approve the requested loan, the decision is submitted to our credit department and, if necessary, to higher levels of authority.

     The following table sets out the range within which each of our decision-making authorities approves loans for corporate customers above R$400,000, irrespective of the type of security offered:

   Total Risk Amount 
  
  Minimum Maximum
   
  (R$ in thousand)
Decision-making authority:     
Credit department  R$401  R$8,000 
Credit director  8,001  10,000 
Executive credit committee (Daily Meeting) 10,001  35,000 
Executive credit committee (Plenary Meeting) Over R$35,000  

     With the purpose of meeting the clients’ needs in the shortest possible term and with greater security, the credit department breaks down its analyses, using different methodologies and instruments for credit analysis in each segment, paying special attention to:

  • In the individual retail, prime and private segments we consider the individual’s reputation and credit worthiness, the professional category/activity, the monthly income, the assets (personal and real property, eventual burdens and stakes in companies), the bank indebtedness and the history of their relationship with the Bradesco Organization, paying attention, in the loan operations, to terms and current fees and to the guarantees involved.

  • In the corporate retail segment, in addition to the points above, we take into account the fact whether the company activities get mixed with its owners, and, if so, we also consider the period of activity and the monthly revenues.

  • In the companies and corporate segments, the management ability, the company/group’s positioning in the market, the size, the economic-financial evolution, the cash-generating ability, and the business perspectives, our analysis always encompassing the proponent, its parent company/subsidiaries, and the industry in which it is inserted.

79


Table of Contents

Data Processing Systems

     We have two data processing centers, one that deals with our production processes, located in Osasco, and one that deals with our contingency processes, located in Alphaville (Barueri). Both locations are in the state of São Paulo, and they are jointly equipped with 20 large-scale computers and 1,449 medium-scale computers.

     To ensure the continuity of our operations, both centers have sufficient energy capacity to operate independently for seventy-two hours. In addition, if we have sufficient access to fuels, we have the capacity to provide ourselves with electricity indefinitely.

     We have recently concluded the construction of our new information technology center (CTI) in Osasco, a state-of-the-art and high-technology building, designed to host computers and the entire support infrastructure of our operations.

     This new center has already started its activities, which we expect will be improved during 2008, due to a reallocation plan that is in progress, and includes the transfer of infrastructure and production from our data processing center in Osasco to our new information technology center.

Funding

Deposit-taking Activities

     Our principal source of funding is deposits from Brazilian individuals and businesses. At December 31, 2007, our total deposits were R$98.3 billion, representing 32.7% of our total liabilities.

     We provide the following types of deposit accounts:

  • checking accounts;

  • deposit accounts for investments;

  • savings accounts;

  • time deposits;

  • interbank deposits from financial institutions; and

  • savings integrated to the investments account.

     The following table sets forth our total deposits, by type and source, as of the dates indicated:

  December 31, % of total deposits
       
  2005 2006 2007 2007
     
  (R$ in millions, except %)
From customers:         
   Demand deposits  R$ 16,223  R$ 21,081  R$ 29,423  29.9% 
   Savings deposits  26,201  27,613  32,813  33.4 
   Time deposits  32,837  34,941  35,733  36.3 
         
From financial institutions  146  290  372  0.4 
     
Total  R$ 75,407  R$ 83,925  R$ 98,341  100.0% 
     

80


Table of Contents


     According to regulations of the monetary authority, we must place a percentage of the demand deposits, savings deposits and time deposits we receive from our clients with the Central Bank as compulsory deposits, as follows:

  • Demand Deposits and deposit accounts for investments: We are required to deposit 45.0% of the average daily balance of our demand deposits and deposit accounts for investment in excess of R$44.0 million with the Central Bank on a non-interest-bearing basis;

  • Savings deposits: We are required to deposit, in an account with the Central Bank, an amount in cash equivalent to 20.0% of the total average balance of our savings account deposits during the prior week. The account bears interest annually at TR plus interest rate of 6.17%; and

  • Time deposits: We are required to deposit with the Central Bank, in the form of federal securities, 15.0% of the average balance of our time deposits exceeding R$30.0 million, less an additional R$300.0 million. The securities bear interest in accordance with market rates.

     In addition, we are required to deposit in the Brazilian Central Bank an additional amount equal to (a) 8.0% of the average balance of our time and demand account deposits during the prior week plus (b) 10.0% of the average balance of our saving account deposits during the prior week, to the extent that the percentages in (a) and (b) are applicable to the balance of our deposits exceeding R$100.0 million. This additional amount is deposited in an account with the Central Bank that bears interest at the Selic rate.

     Present Central Bank regulations require that we:

  • allocate a minimum of 25.0% of cash deposits to providing rural credit (if we do not do so, we must deposit the unused amount in a non-interest bearing account with the Central Bank);

  • allocate 2.0% of checking deposits received to micro credit transactions; and

  • allocate a minimum of 65.0% of the total amount of deposits in savings accounts to finance residential real estate or housing construction. Amounts that can be used to satisfy this requirement include direct residential real estate financings, mortgage notes, charged-off residential real estate or housing construction loans and certain other financings, all as specified in guidance issued by the Central Bank.

     Savings deposits in Brazil typically only pay interest on a floating basis of TR plus 6.17% per year, after funds have been left on deposit for at least one calendar month by individuals and non-profit entities, and 90 days by profit-corporations. Earnings in individual savings accounts are free from income tax.

     CDBs pay either a fixed or a floating rate, which is typically a percentage of the interbank interest rate. The breakdown between CDBs at pre-fixed rates and floating rates varies from time to time, depending on the market’s interest rate expectations.

     Cash deposits, investment deposits, savings accounts deposits, term deposits with or without issue of certificate, mortgage notes, bills of exchange, housing bonds, mortgage notes and deposits kept in accounts not movable through checks, aimed at recording and controlling the flow of resources referring to the rendering of salary payment and other compensations, pension and other similar services are guaranteed, by the Credit Guarantee Fund, known as “FGC,” up to R$60,000 per client, in the event of a bank’s liquidation.

81


Table of Contents

     We issue CDIs to other financial institutions. Trading in CDIs is restricted to the interbank market. CDIs have a pre- or pos-fixed rate for one day or longer terms.

Other Funding Sources

     Our other funding sources include our capital markets operations, import/export operations and on-lending.

     The following table sets forth the source and amount of our other funding sources as of the dates indicated:

     December 31, 
      
  2005  2006  2007 
    
  (R$ in millions)
Funding Sources:       
   Import/export financing  R$ 4,405  R$ 4,440  R$ 6,073 
   Internal funds on-lending  9,429  11,642  14,087 
   Leasing obligations  368  430  874 
   Capital markets:       
   Federal funds purchased and securities sold under       
agreements to repurchase  22,886  42,875  69,015 
   Euronotes  1,503  1,235  810 
   Mortgage-backed securities  827  841  867 
   Subordinated notes  6,719  11,949  15,850 
   Debentures (non-convertible) 2,625  2,603  2,595 
   Securitization of credit card receivables  1,776  1,344  2,497 
   Commercial paper  2,661  1,225  1,915 
   Foreign currency loans  69  78  1,335 
   Others   44  
    
 
Total  R$ 53,268  R$ 78,706  R$ 115,919 

     Our capital markets operations act as a funding source for us through our transactions with financial institutions, mutual funds, fixed and variable income investment funds and foreign investment funds. In these transactions we sell public and private bonds and securities with an obligation to repurchase them. These transactions usually have short terms.

     In order to provide our customers with loans through on lending, including the extension of credit lines for foreign trade financing, we maintain credit relationships with various United States, European, Asian and Latin American financial institutions.

     We conduct on-lending operations where we act as the transfer agent for development agency funds, granting credits to third parties, which are in turn funded by development organizations. BNDES, the International Bank of Reconstruction and Development, which we call “IBRD,” and the IDB are the principal providers of these funds. The lending criteria, the decision to lend and the credit risk are our responsibility and subject to certain limitations set by the bodies supplying the funds.

82


Table of Contents

Property, Plant and Equipment

     As of December 31, 2007, we owned 828 properties and leased 2,640 properties throughout Brazil, and eight properties abroad, all of which we used for the operation of our branches network and performance of our business. We own the building where our headquarters are located in Cidade de Deus, Osasco, São Paulo, State of São Paulo. The majority of our lease property is leased under renewable contracts with terms of an average of 12 years.

Seasonality

     We believe that seasonality does not materially affect our business.

Competition

     We face significant competition in all of our principal areas of operation, as the Brazilian markets for financial and banking services are highly competitive. On December 31, 2007, there were 133 financial conglomerates providing a full range of commercial banking activities, including consumer finance, investment banking brokerage, leasing, savings, loans and other financial services in Brazil. For further information of the risks related to competition, see “Item 3. Key Information—Risk Factors—Risks Relating to the company and the Brazilian Banking Industry—The increasingly competitive environment in the Brazilian banking and insurance industries may negatively affect our business prospects.”

     Public-sector banking institutions also play an important role in the banking industry, the largest segment of the financial system, and operate within the same legal and regulatory framework as the private-sector banks. The largest Brazilian financial institution in terms of assets is Banco do Brasil S.A., known as “Banco do Brasil,” which is government-owned. Banco do Brasil’s branch network is more extensive than ours. The private commercial banking sector is dominated, in terms of both total loans and total deposits, by five banks: us, Banco Itaú Holding Financeira S.A., known as “Banco Itaú,” Banco Real, União de Bancos Brasileiros S.A., known as “Unibanco,” and Banco Santander, all of which have a strong national presence.

Banking

     In the commercial banking sector we compete for individual and corporate customers with other large Brazilian banks. Our primary banking competitors are Banco do Brasil, Banco Itaú, Banco Real, Banco Santander and Unibanco. The Brazilian banking industry has undergone some consolidation in recent years through acquisitions and privatization. For example, in 2003 Banco ABN AMRO Real acquired control of Banco Sudameris, becoming the sixth largest bank in Brazil in terms of assets, according to the Central Bank. In 2006, Banco Itaú purchased the Brazilian operations of BankBoston. This transaction has increased Banco Itaú’s client base by 300,000 and its overall assets by R$22 billion. This transaction has solidified Banco Itaú’s position as the second largest private sector bank in Brazil.

     The Brazilian banking industry has also been facing increasing competition from foreign banks in recent years. Besides Banco Santander, certain large United States, European and Asian banks, including Citibank, ABN AMRO and Hong Kong and Shanghai Banking Corporation, known as “HSBC,” are currently operating in Brazil. Other foreign banks could enter the Brazilian market and increase its competitiveness. Foreign banks can also participate in the privatization process.

     Commercial banks also face increasing competition from other financial intermediaries that can provide larger companies with access to the capital markets as an alternative to bank loans. Since we are a multiple-service bank, we seek to maintain a competitive position in this respect through our investment bank.

83


Table of Contents

     We currently enjoy certain competitive advantages based upon the fact that we are the largest private-sector Brazilian bank and have the largest branch network among our private-sector competitors. However, in the event one of our competitors or a foreign bank were to acquire one or more large Brazilian banks, our competitive advantage could be diminished, and the structure of the Brazilian banking industry could change considerably. Although we believe we are well positioned to compete in this new environment, such competition may adversely affect our position in the Brazilian financial industry.

Credit Cards

     The Brazilian credit card market is highly competitive, with approximately 93.0 million credit cards issued as of December 31, 2007, according to Abecs. Our primary competitors are Banco do Brasil, Banco Itaú, Citibank and Unibanco. Management believes that the primary competitive factors in this area are interest rates, annual fees, card distribution network and the relative benefits the cards offer.

     Other competition for credit cards exists in the form of post-dated checks, a popular means of term payment in Brazil in which customers pay for merchandise and services with future dated bank checks, effectively allowing payment in installments over a longer term. Because of their convenience and growing acceptance, we believe that credit cards will gradually replace post-dated checks.

Leasing

     In general, the Brazilian leasing market is dominated by companies affiliated with vehicle and equipment producers and large banks. We currently enjoy certain competitive advantages, as we have the largest branch network among our private sector competitors.

Asset Management

     The Brazilian asset management industry has grown significantly in recent years. In 2007, investment funds grew 22%, as compared to the previous year, surpassing the historical record of R$1 trillion in assets, mainly due to:

  • a significant amount of funds drawn by the multimarket and equity funds as a result of the search for diversification by investors;

  • the growth of the FIDC industry with R$29 billion in assets; and

  • the development of the Fundo de Investimentos em Participações (equity funds) industry with R$29 billion in assets by the end of 2007.

     There has been an improvement in the regulations governing investment funds as a result of CVM Instruction 450, whose purpose is to increase transparency and information released to the investors, mainly with respect to dividends, protected principal and multimanager funds. Our main competitors are Banco do Brasil, Banco Itaú, Caixa Econômica Federal and HSBC.

84


Table of Contents

Insurance, Pension Plans and Certificated Savings Plans

Insurance Sector

     Grupo Bradesco de Seguros e Previdência, the leading insurance company in the Brazilian market with a 25.8% market share, faces increased competition from a number of Brazilian and multinational corporations in all of its insurance operations.

     As of December 31, 2007, our primary competitors were Itaú Seguros S.A, Sul América Cia. Nacional Seguros, Unibanco AIG Seguros S.A., Porto Seguro Cia. de Seguros Gerais, Banco do Brasil, Mapfre Seguradora S.A. and Tokio Marine Brasil Seguradora S.A., which we call “Tokio Marine,” which represent in the aggregate approximately 46.7% of the total premiums generated in the market, pursuant to information from SUSEP. Although national companies underwrite the majority of the insurance business, we also face competition from local and regional companies primarily in the health insurance segment where they are able to operate at a lower cost or specialize in providing coverage to particular risk groups.

     Competition in the Brazilian insurance industry has changed dramatically in the past few years as foreign companies have begun to form joint ventures with Brazilian insurance companies that have expertise in the Brazilian market. For example, in 2002, the Dutch bank ING acquired an interest in one of the companies of the Sul América Group. The AIG group has been operating in the Brazilian insurance sector since 1996 through a joint venture with Unibanco. Hartford operates in Brazil through a joint venture with the Icatu Group. AXA, AGF, ACE, Generalli, Tokio Marine and other international insurers offer insurance products in Brazil through their own local facilities.

     We believe that the principal competitive factors in this area are price, financial stability, name recognition and service. At the branch level, we believe that competition is primarily based on the level of service, including claims handling, the level of automation and the development of long-term relationships with individual agents. We believe that our ability to distribute insurance products through our branch network gives us a competitive advantage over most other insurance companies. Because most of our insurance products are offered through our retail bank branches, we benefit from certain cost savings and marketing synergies compared with our competitors. This cost advantage could become less significant over time, however, as other large private banks begin using their own branch networks to offer insurance products through dedicated agents.

Pension Plan Sector

     The monetary stability process that accompanied the implementation of the real plan stimulated the pension plan sector, attracting to the Brazilian market new international players, such as Principal, which created Brasilprev in association with Banco do Brasil; Hartford, through a joint venture with the Icatu Group; ING through a partnership with Sul América, MetLife; Nationwide, and others.

     In addition to monetary stability, favorable tax treatment and the prospect of a fundamental reform of Brazil’s social security system contributed to the increase in competition.

     Bradesco Vida e Previdência is currently the leader of the pension plan market, accounting for 41.0% of total assets under management in the sector as of December 2007, according to Fenaprevi.

     We believe that the Bradesco brand name, together with our extensive branch network, strategy, pioneer work and product innovation, are our competitive advantages.

85


Table of Contents

Certificated Savings Plans

     The certificated savings plan market has been competitive since 1994 when exchange rates became more stable and inflation was reduced. As of December 31, 2007, Bradesco Capitalização was second in the industry ranking with 19.9% of the market on technical revenues and 20.9% in technical provisions, according to SUSEP.

     Our primary competitors in the certificated savings plans sector are Brasilcap Capitalização S.A., Itaú Capitalização S.A., Caixa Capitalização S.A, Icatu Hartford Capitalização S.A. and Unibanco Companhia de Capitalização. Offering low-cost products with a high number of drawings for prizes, financial stability and safety and brand recognition are the principal competitive factors in this industry.

REGULATION AND SUPERVISION

Principal Financial Institutions

     As of December 31, 2007, 15 financial conglomerates composed of public sector commercial and multiple-service banks controlled by federal and state governments and 118 financial conglomerates composed of commercial and multiple-service banks owned by the private sector operated in Brazil. For purposes of Brazilian regulations, insurance companies, private pension plans and certificated savings plan providers are not considered financial institutions.

Public Sector Financial Institutions

     The Brazilian federal and state governments control various commercial banks and financial institutions. The primary purpose of these institutions is to foster economic development. Government-owned banking institutions play an important role in the Brazilian banking industry. These institutions hold a significant portion of the banking system’s total deposits and total assets and are the major lenders of government funds to industry and agriculture. In the last ten years several public sector multiple-service banks have been privatized and acquired by Brazilian and foreign financial groups.

     The primary government-controlled banks include:

  • Banco do Brasil, a federal government-controlled bank which provides a full range of banking products to the public and private sectors. Banco do Brasil is the largest multiple-service bank in Brazil and the primary financial agent of the federal government;

  • BNDES, a development bank wholly owned by the federal government, which grants medium- and long-term financing to the Brazilian private sector. BNDES’ activities include managing the federal government’s privatization program; and

  • Caixa Econômica Federal, a multiple-service bank wholly owned by the federal government, which acts as the principal agent of the government-regulated system for providing housing financing. Caixa Econômica Federal is ranked first among Brazilian banks in terms of savings accounts and housing financing.

86


Table of Contents

Private Sector Financial Institutions

     As of December 31, 2007, the Brazilian financial private sector included:

  • 118 financial conglomerates composed of commercial, investment and multiple-service banks, and that provide a full range of commercial banking, investment banking (including securities underwriting and trading), consumer financing and other services including fund management and real estate finance; and

  • 51 consumer credit companies, 132 securities dealerships, 153 brokerage companies, 38 leasing companies, 7,778 investment funds and mutual funds and 18 savings associations and real estate credit companies.

Principal Regulatory Agencies

     The basic institutional framework of the Brazilian financial system was established in 1964 by Law No. 4,595, known as the “Banking Reform Law.” The Banking Reform Law created the Central Bank and the CMN.

The CMN

     The CMN, the highest authority responsible for Brazilian monetary and financial policy, is responsible for the overall supervision of Brazilian monetary, credit, budgetary, fiscal and public debt policies. The CMN is responsible for:

  • regulating credit operations engaged in by Brazilian financial institutions;

  • regulating the issuance of Brazilian currency;

  • supervising Brazil’s reserves of gold and foreign exchange;

  • determining Brazilian saving, foreign exchange and investment policies; and

  • regulating the Brazilian capital markets.

     In December 2006, CMN mandated the creation of a risk-monitoring model by the CVM (the “Supervision System Based on Risk, which we call “SBR”). SBR’s purpose is to: (i) identify market risks; (ii) evaluate and rank these risks in accordance with their potential effects; (iii) establish mechanisms for mitigating these risks and the harm that they might cause; and (iv) control and monitor the occurrence of risk events. Additional measures necessary to implement SBR must be enacted by the CMN.

The Central Bank

The Central Bank is responsible for:

  • implementing the currency and credit policies established by the CMN;

  • regulating and supervising public and private sector Brazilian financial institutions;

87


Table of Contents

  • controlling and monitoring the flow of foreign currency to and from Brazil; and

  • overseeing the Brazilian financial markets.

     The president of the Central Bank is appointed by the president of Brazil for an indefinite term of office subject to approval by the Brazilian Senate.

     The Central Bank supervises financial institutions by:

  • setting minimum capital requirements, compulsory reserve requirements and operational limits;

  • having the power to authorize corporate documents, capital increases and the establishment or transfer of principal places of business or branches (in Brazil or abroad);

  • having the power to authorize shareholder changes of control of financial institutions;

  • requiring the submission of annual and semi annual audited financial statements, quarterly revised financial statements and monthly unaudited financial statements; and

  • requiring full disclosure of credit and foreign exchange transactions, import and export transactions and other directly related economic activities.

The CVM

     The CVM is responsible for regulating the Brazilian securities markets in accordance with the securities and exchange policies established by CMN.

     The CVM is responsible for the supervision and regulation of variable income mutual funds. In addition, since November 2004, the CVM has had the authority to regulate and supervise fixed income assets funds. For more information, please see “Asset Management Regulation.”

Bank Regulations

Principal Limitations and Restrictions on Activities of Financial Institutions

Under applicable laws and regulations, a financial institution operating in Brazil:

may not operate without the prior approval of the Central Bank and, in the case of foreign banks, authorization by presidential decree;
 
may not invest in the equity of any other company above the regulatory limits;
 
may not lend more than 25.0% of its adjusted net worth to any single person or group;
 
may not own real estate, except for its own use; and
 
may not extend credits to or render guarantees for:
 
 any individual that controls the institution or holds, directly or indirectly, more than 10.0% of its share capital;
 

88


Table of Contents

•  any entity that controls the institution or with which it is under common control, or any officer, director or member of the fiscal council of such entity, or any immediate family member of such individuals;
 
• any entity that, directly or indirectly, holds more than 10.0% of its shares (with some exceptions);
 
• any entity that it controls or of which it directly or indirectly holds more than 10.0% of the share capital;
 
• any entity whose board of executive officers is made up of the same or substantially the same members as its own executive committee; or
 
•  its executive officers and directors (including their immediate families) or any company controlled by its executive officers and directors or their immediate families or in which any of them, directly or indirectly, holds more than 10.0% of the share capital.
 

     The restrictions with respect to transactions with related parties do not apply to transactions entered into by financial institutions in the interbank market.

Capital Adequacy and Leverage

     Brazilian financial institutions are subject to a capital measurement and standards methodology based on a weighted risk asset ratio. The framework of such methodology is similar to the international framework for minimum capital measurements as adopted in the Basel Accord. The Basel Accord requires banks to have a minimum capital to risk-weighted assets ratio 8.0% . At least half of total capital must consist of Tier I capital. Tier I, or core, capital includes equity capital less certain intangibles. Tier II capital includes asset revaluation reserves, general loan loss reserves and subordinated debt, subject to some limitations. Tier II capital is limited to the amount of Tier I capital.

     The requirements imposed by the CMN differ from the Basel Accord in a few respects. Among other differences, the CMN:

  • requires minimum capital of 11.0% of risk-weighted assets;

  • does not permit contingency reserves to be considered as capital;

  • imposes a deduction from capital corresponding to fixed assets held in excess over limits imposed by the Central Bank;

  • requires an additional amount of capital with respect to off-balance sheet interest rate and foreign currency swap transactions as well as with respect to certain credit transactions utilizing third party resources;

  • allows financial institutions for determination of their adjusted net worth to deduct from its net worth costs, including taxes, incurred in connection with swap transactions put in place to hedge long positions associated with investments outside Brazil; and
  • assigns different risk weights to certain assets and credit conversion amounts, including a risk weighting of 300.0% on tax credits relating to income and social contribution taxes.

     For further discussion see “Item 5. Operating and Financial Review and Prospects—Capital Compliance.”

89


Table of Contents

     Financial institutions are also required to maintain their net worth at a certain level. The adjusted net worth of a financial institution is represented by the sum of its Tier I and Tier II capital and is used in determining its operational limits. In July 2008, the Central Bank issued certain rules to include the operational risk of financial institutions amongst the factors to be considered in the calculation of their adjusted net worth.

     Financial institutions, excepting credit unions, must keep consolidated accounting registers (for purposes of calculating their capital requirements) of their investments in companies whenever they hold, directly or indirectly, individually or with partners, a controlling participation in such companies. When their participation does not result in control of a company, financial institutions can opt to account for the holding as equity in earnings of unconsolidated companies instead of consolidation.

     Under certain conditions and within certain limits, financial institutions are able to include subordinated debt in the determination of their capital requirements for purposes of calculating their operational limits, provided that such subordinated debt complies with the following requirements:

  • it must be previously approved by the Central Bank;

  • it cannot be secured by any type of guaranty;

  • its payment must be subordinated to the payment of other liabilities of the issuer in case of dissolution;

  • it cannot be redeemed by action of the holder;

  • it must have a clause allowing postponement of the payment of interest or redemption in case they would cause the issuer to fail to comply with minimum levels of adjusted net worth or other operational requirements;

  • it must be nominative, when issued in Brazil, and, when issued abroad, under any other form permitted by local legislation;

  • when issued abroad, it must contain a clause of choice of venue;

  • it must have a minimum term of five years before redemption or amortization;

  • it must be paid in cash; and

  • its payment cannot be secured by any type of insurance that obliges or permits payments between the issuer and the borrowing institution or any instrument that compromises the subordinated-debt condition.

     Brazilian financial institutions may elect to calculate their capital requirements on either a consolidated or unconsolidated basis.

90


Table of Contents

Reserve Requirements

     The Central Bank imposes compulsory reserve and related requirements upon Brazilian financial institutions from time to time. The Central Bank uses reserve requirements as a mechanism to control the liquidity of the Brazilian financial system. Historically, the reserves imposed on demand deposits, savings deposits and time deposits have accounted for substantially all amounts required to be deposited with the Central Bank. For a summary of the current compulsory reserve requirements applicable for demand deposits, savings deposits, and time deposits, see “—History and Development of the Company—Banking Activity—Deposit-taking Activities.”

     The total consolidated exposure of a financial institution in foreign currencies and gold cannot exceed 30.0% of its adjusted net worth. In addition, if its exposure is greater than 5.0% of its adjusted net worth, the financial institution must hold additional capital at least equivalent to 100.0% of its exposure. Since July 2, 2007, the amount internationally offset in opposite exposures (purchases and sales) in Brazil and abroad by institutions of a same conglomerate is required to be added in the respective conglomerate’s net consolidated exposure.

     In the past, the Central Bank has imposed certain compulsory deposit requirements on other types of financial transactions, which are no longer in effect. However, they may be re-imposed in the future or similar restrictions may be instituted. At the beginning of 2008, the Central Bank determined a new compulsory deposit requirement over interbank deposits of leasing companies. Our leasing company invests most of its cash available for immediate investment in interbank deposit accounts with us. This new Central Bank requirement would have an adverse impact on the cost of our deposit-taking activities. For more information on Central Bank restrictions see “Item 3. Key Information—Risk Factors—Risks Relating to Bradesco and the Brazilian Banking Industry.”

Asset Composition Requirements

     Brazilian financial institutions may not allocate more than 25.0% of their adjusted net worth to loans (including guarantees) to the same client (including client’s parent, affiliates and subsidiaries) or in securities of any one issuer, and may not act as underwriter (excluding best efforts underwriting) of securities issued by any one issuer representing more than 25.0% of their adjusted net worth.

     Permanent assets (defined as property and equipment other than commercial leasing operations, unconsolidated investments and deferred assets) of Brazilian financial institutions may not exceed 50.0% of their adjusted net worth.

Repurchase Transactions

     Repurchase transactions are subject to operational capital limits based on the financial institution’s shareholders’ equity, as adjusted in accordance with Central Bank regulations. A financial institution may only hold repurchase transactions in an amount up to 30 times its adjusted net worth. Within that limit, repurchase operations involving private securities may not exceed five times the amount of the financial institution’s adjusted net worth. Limits on repurchase operations involving securities backed by Brazilian governmental authorities vary in accordance with the type of security involved in the transaction and the perceived risk of the issuer as established by the Central Bank.

On-lending of Funds Borrowed Abroad

     Financial institutions and leasing companies are permitted to borrow foreign currency-denominated funds in the international markets (through direct loans or the issuance of debt securities) in order to on-lend such funds in Brazil. These on-lendings take the form of loans denominated in reais but indexed to the U.S. dollar. The terms of the on-lending transaction must mirror the terms of the original transaction. The interest rate charged on the underlying foreign loan must also conform to international market practices. In addition to the original cost of the transaction, the financial institution may only charge an on-lending commission.

91


Table of Contents

Foreign Currency Position

     Transactions in Brazil involving the sale and purchase of foreign currency may only be conducted by institutions authorized by the Central Bank to operate in the foreign exchange market.

     Until March 14, 2005, the Brazilian foreign exchange market was divided into two segments, the commercial rate exchange market (“Commercial Market”) and the floating rate exchange market (“Floating Market”). The Commercial Market was reserved primarily for foreign trade transactions and transactions that generally require registration with the Central Bank. The Floating Market applied to all transactions to which the Commercial Market did not apply. Only banks, brokers, dealers and the Central Bank had access to the Commercial Market, whereas the Floating Market was open to all institutions authorized by the Central Bank.

     In March 2005 the Central Bank enacted new regulations that introduced significant changes in the foreign currency exchange regime. These rules were announced by the Central Bank as part of a liberalization program intended to enhance market efficiency and to allow more transparency of the flows of foreign currency into and out of Brazil.

     Under the new rules, the previously existing Commercial and Floating Markets were unified under a single foreign currency exchange regime (the “Exchange Market”), in which all foreign exchange currency transactions are concentrated. The newly unified Exchange Market allows the liquidation in foreign currency of any commitments in reais that are contracted between individuals and/or legal entities resident in Brazil and individuals or legal entities resident abroad, upon the presentation of the relevant documentation.

     Access to the Exchange Market may be granted by the Central Bank to commercial banks, multiple banks, investment banks, development banks, savings and loans entities, financing and investment associations, foreign exchange brokers, securities brokers and dealers, travel agencies and to the means of tourism lodging. Entities that were authorized to operate in the old Commercial and Floating Markets as of March 4, 2005, have been automatically authorized to operate in the new Exchange Market.

     The Central Bank currently does not impose limits on the exchange long positions (i.e., where the aggregate amount of the purchases of foreign currency is greater than the amount of the sales) of banks authorized to operate in the Exchange Market. Since December 2005, the Central Bank ceased imposing limits on the exchange short positions (i.e., when the aggregate amount of purchases of foreign currency is less than the amount of sales) for banks authorized to operate in the Exchange Market.

     Pursuant to CMN regulations, the investment abroad of available funds in foreign currency by financial institutions must be limited to (i) securities issued by the Brazilian government; (ii) securities issued by foreign governments; (iii) securities issued by financial institutions, or which are under their responsibility; and (iv) time deposit in financial institutions.

92


Table of Contents

Interest Rates

     As promulgated in 1988, the Brazilian Constitution established a 12.0% per year ceiling on loan interest rates, including bank loan interest rates. This ceiling was not enforced, however, because the Brazilian Congress did not adopt the necessary implementing legislation. In May 2003, said article was revoked pursuant to a constitutional amendment.

     Financial institutions are required to classify their loans into nine categories, ranging from AA to H, on the basis of their risk. These credit classifications are determined in accordance with Central Bank criteria relating to:

  • the conditions of the debtor and the guarantor, such as their economic and financial situation, level of indebtedness, capacity for generating profits, cash flow, delay in payments, contingencies and credit limits; and

  • the conditions of the transaction, such as its nature and purpose, the type, the level of liquidity, the sufficiency of the collateral and the total amount of the credit.

     In the case of corporate borrowers, the nine categories that we use are as follows:

Rating  Our Classification  Our Concept 
   
 
AA  Excellent  First-tier large company or group, with a long track record, market leadership and excellent economic and financial concept and positioning. 
 Very Good  Large company or group with sound economic and financial position that is active in markets with good prospects and/or potential for expansion. 
 Good  Company or group, regardless of size, with good economic and financial positioning. 
 Acceptable  Company or group with a satisfactory economic and financial situation but with performance subject to economic variations. 
 Fair  Company or group with economic and financial positioning in decline or unsatisfactory accounting information, under risk management. 

     A loan may be upgraded if it has a credit support or downgraded if in default.

     Collection of doubtful loans is classified according to the loss perspective, as shown below:

Rating  Our Classification 
  
 Deficient 
 Bad 
 Critical 
 Uncollectible 

93


Table of Contents

     In the case of transactions with individuals, we have a similar nine-category ranking system. We grade the credit based on data including the individual’s income, net worth and credit history, as well as other personal data.

     Financial institutions must make monthly loan loss provisions to match contingencies. In general, banks review the loan classifications annually. However, a review is made every six months in the case of transactions that are extended to a single client or economic group whose aggregate amount exceeds 5.0% of the financial institution’s adjusted net worth. A past due loan is reviewed monthly.

     For past due loans, the regulations establish maximum risk classifications, as follows:

  Maximum 
Number of Days Past Due (1) Classification 
  
15 to 30 days  
31 to 60 days  
61 to 90 days  
91 to 120 days  
121 to 150 days  
151 to 180 days  
More than 180 days  
_________________
(1)      The period should be counted in double in the case of loans with maturity in excess of 36 months.
 

     Financial institutions are required to determine, on a monthly basis, whether any loans must be reclassified as a result of these maximum classifications. If so, they must adjust their provisions accordingly.

     The regulations specify a minimum provision for each category of loan, which is measured as a percentage of the total amount of the credit operation, as follows:

Classification of Loan  Minimum Provision (%)
  
AA  
 0.5 
 1.0 
 3.0 
 10.0 
 30.0 
 50.0 
 70.0 
H (1) 100.0 
_________________
(1)      Banks must write off any loan six months after their initial classification as an H loan.
 

     Loans of up to R$50,000 may be classified by the financial institution’s own evaluation method or according to the delay in payments criteria described above.

     Financial institutions must make their lending and loan classification policies available to the Central Bank and to their independent accountants. They also have to submit to the Central Bank information relating to their loan portfolio, along with their financial statements. This information must include:

94


Table of Contents

  • a breakdown of lending activities and the nature of the borrowers;

  • maturities of their loans;

  • amounts of rolled-over, written-off and recovered loans;

  • loan portfolio diversification in accordance with the loan classification; and

  • overdue loans.

Brazilian Clearing System

     The Brazilian clearing system was regulated and restructured under legislation enacted in 2001. The 2001 regulation is intended to increase the responsiveness of the system through the adoption of multilateral settlement and the safety and soundness of the system by reducing the risk of systemic default and the credit risk and liquidity of financial institutions.

     The systems comprising the Brazilian clearing system are responsible for creating safety mechanisms and rules for controlling risks and contingencies, for loss sharing among market participants and for direct execution of custody positions of agreements and foreclosure of collateral held under custody. In addition, clearing houses and settlement services providers that are considered important to the system are obligated to set aside a portion of their assets as an additional guarantee for the settlement of transactions.

     Currently, responsibility for the settlement of a transaction is assigned to the clearinghouses and settlement service providers responsible for it. Once a financial transaction has been submitted for clearing and settlement, it generally becomes the obligation of the relevant clearing house and/or settlement services provider to clear and settle it, and it is no longer subject to the risk of bankruptcy or insolvency on the part of the market participant that submitted it for clearing and settlement.

     Financial institutions and other institutions chartered by the Central Bank are also required under the new rules to create mechanisms to identify and avoid liquidity risks, in accordance with certain procedures established by the Central Bank. Under these procedures, institutions are required to:

  • maintain and document criteria for measuring liquidity risks and mechanisms for managing them;

  • analyze economic and financial data to evaluate the impact of different market scenarios on the institution’s liquidity and cash flow;

  • prepare reports to enable the institution to monitor liquidity risks;

  • identify and evaluate mechanisms for unwinding positions that could threaten the institution economically or financially and for obtaining the resources necessary to carry out such unwinds;

  • adopt system controls and test them periodically;

  • promptly provide to the institution’s management available information and analysis regarding any liquidity risk identified, including any conclusions or remedies adopted; and

95


Table of Contents

  • develop contingency plans for handling liquidity crisis situations.

     Financial institutions were positively affected by a restructuring of the Brazilian clearing system. Under the old system, in which transactions were processed at the end of the day, institutions could carry a balance, positive or negative, which is no longer allowed. Payments must now be processed in real time, and amounts over R$5,000 may be covered by electronic transfers between institutions in immediately available funds. In case they are covered by checks, an additional bank fee will be charged.

     After a period of tests and gradual implementation, the new Brazilian clearing system entered into operation in April 2002. The Central Bank and CVM have the power to regulate and supervise the Brazilian payments and clearing system.

Dissolution of Financial Institutions

     In February 2005, the New Brazilian Bankruptcy Law was approved, replacing the previous regime that had been in effect since 1945. The main goal of the New Bankruptcy Law is to prevent the liquidation of viable companies, for being incapable of fulfilling their debt obligations. The new bankruptcy law seeks to do that by providing greater levels of flexibility to design reorganization strategies while increasing safeguards for secured creditors. It also seeks to improve creditors’ ability to recover through the judiciary system by promoting an agreement between the company and a commission comprised of creditors. The New Brazilian Bankruptcy Law is not currently applicable to financial institutions, and, accordingly, Law 6,024/74 governing the intervention and administrative liquidation of financial institutions is still applicable to us.

     Intervention

     The Central Bank will intervene in the operations and the management of any financial institution not controlled by the federal government if the institution:

  • suffers losses due to bad management which puts creditors at risk;

  • has recurrent violations of banking regulations; or

  • is insolvent.

     Intervention may also be ordered upon the request of a financial institution’s management.

     Intervention may not exceed twelve months. During the intervention period, the institution’s liabilities for overdue obligations, maturity dates for pending obligations contracted prior to the intervention, and liabilities for deposits in the institution existing on the ruling date are suspended.

     Administrative Liquidation

     The Central Bank will liquidate a financial institution if:

  • the institution’s economic or financial situation is at risk, particularly when the institution ceases to meet its obligations as they fall due, or upon the occurrence of an event that could indicate a state of bankruptcy;

  • management commits a material violation of banking laws, regulations or rulings;

96


Table of Contents

  • the institution suffers a loss which subjects its unsecured creditors to severe risk; or

  • if, upon revocation of the authorization to operate, the institution does not initiate ordinary liquidation proceedings within 90 days, or if initiated, the Central Bank determines that the pace of the liquidation may harm the institution’s creditors.

     As a consequence of administrative liquidation:

  • lawsuits asserting claims over the assets of the institution are suspended;

  • the institution’s obligations are accelerated;

  • the institution may not comply with any liquidated damage clause contained in unilateral contracts;

  • interest does not accrue against the institution until its liabilities are paid in full; and

  • the statute of limitations with respect to the institution’s obligations is tolled.

     Temporary Special Administration Regime

     The temporary special administration regime, known as “RAET,” is a less severe form of Central Bank intervention in financial institutions, which allows institutions to continue to operate normally. RAET may be ordered in the case of an institution which:

  • enters into recurrent operations which are against economic or financial policies set forth in federal law;

  • faces a shortage of assets;

  • fails to comply with the compulsory reserves rules;

  • has reckless or fraudulent management; or

  • has operations or circumstances, which call for an intervention.

     Repayment of Creditors in Liquidation

     In the case of liquidation of a financial institution, employees’ wages, indemnities and tax claims have the highest priority over any claims against the bankrupt institution. In November 1995, the Central Bank created the FGC to guarantee the payment of funds deposited with financial institutions in case of intervention, administrative liquidation, bankruptcy, or other state of insolvency. Members of the FGC are financial institutions that accept demand, time and savings deposits as well as savings and loans associations. The FGC is funded principally by mandatory contributions from all Brazilian financial institutions that work with customer deposits.

     The FGC is a deposit insurance system that guarantees a certain maximum amount of deposit and certain credit instruments held by a customer against a financial institution (or against member financial institutions of the same financial group). The liability of the participating institutions is limited to the amount of their contributions to the FGC, with the exception that in limited circumstances if FGC payments are insufficient to cover insured losses, the participating institutions may be asked for extraordinary contributions and advances. The payment of unsecured credit and customer deposits not payable under the FGC is subject to the prior payment of all secured credits and other credits to which specific laws may grant special privileges.

97


Table of Contents

     In September 2006, CMN increased the maximum amount of the guarantee provided by the FGC from R$20,000 to R$60,000. In addition, it reduced the ordinary monthly related-FGC contribution from 0.025% to 0.0125% over the balance of banking accounts that are covered by FGC insurance.

Internal Compliance Procedures

All financial institutions must have in place internal policies and procedures to control:

  • their activities;

  • their financial, operational and management information systems; and

  • their compliance with all applicable regulations.

     The board of executive officers of the financial institution is responsible for implementing an effective structure of internal controls by defining responsibilities and control procedures and establishing corresponding goals and procedures at all levels of the institution. The board of executive officers is also responsible for verifying compliance with all internal procedures.

     We revised our by-laws in December 2003 to include a provision for an internal control and compliance committee, formed by three to six members appointed by our Board of Directors.

Restrictions on Foreign Banks and Foreign Investment

     The Brazilian constitution prohibits foreign financial institutions from establishing new branches in Brazil, except when duly authorized by the Brazilian government. A foreign bank duly authorized to operate in Brazil through a branch or a subsidiary is subject to the same rules, regulations and requirements that are applicable to any other Brazilian financial institution.

     The Brazilian constitution permits foreign individuals or companies to invest in the voting shares of Brazilian financial institutions only if they have specific authorization from the Brazilian government. However, foreign investors without specific authorization may acquire publicly traded non-voting shares of Brazilian financial institutions or depositary receipts offered abroad representing non-voting shares.

Anti-Money Laundering Regulations and Banking Secrecy

     Under Brazilian anti-money laundering law, financial institutions must:

     (a) keep up-to-date records regarding their customers;

     (b) maintain internal controls and records;

     (c) record transactions involving Brazilian and foreign currency, securities, metals or any other asset which may be converted into money;

     (d) keep records of transactions that exceed R$10,000 in a calendar month or reveal a pattern of activity that suggests a scheme to avoid identification;

98


Table of Contents

     (e) keep records of all check transactions; and

     (f) keep records and inform the Central Bank of any cash deposits or cash withdrawals in amounts above R$100,000.

     The financial institution must review transactions or proposals whose characteristics may indicate the existence of a crime and inform the Central Bank of the proposed or executed transaction. The records referred to in (c), (d) and (e) must be kept for at least five years, unless an investigation by CVM into the financial institution is in progress, in which case such five-year obligation may be extended.

     Brazilian regulations list a number of potential money-laundering transactions, such as: (i) transactions involving amounts that are incompatible with the professional, shareholders’ equity and/or earnings condition of the involved parties; (ii) operations evidencing default on behalf of third parties; (iii) transactions intended to create loss or gain with no economic grounds; (iv) transactions involving parties domiciled in jurisdictions that do not cooperate with the Brazilian financial activity control agencies; (v) transactions paid in cash; (vi) transactions the complexity and risk level of which are inconsistent with the client’s technical qualification; (vii) transactions involving non-resident parties, trustees and companies, private banking clients and politically exposed people.

     The CVM directed special attention to politically exposed people in January 2008. The CVM Instruction 463 of January 8, 2008 refers to individuals politically exposed who hold or held prominent public positions in Brazil or abroad for the past five years, their relatives and representatives, heads of state and government, politicians occupying high positions, government employees occupying high positions, magistrates or high-level military officials, and leaders of governmental companies or political parties, among others. Financial institutions are required to adopt certain mechanisms in order to (i) identify the final beneficiaries of each transaction, (ii) identify whether these politically exposed persons are involved, (iii) monitor financial business transactions involving politically exposed persons; and (iv) devote special attention to people from countries with which Brazil maintains a high number of business and financial transactions, common borders or ethnic, linguistic or political relations.

     In addition, this CVM regulation also contains special provisions to control and prevent the flow of funds derived from or financing terrorism activities.

     Financial institutions must maintain the secrecy of their banking operations and services provided to their customers. Certain exceptions apply to this obligation, however, such as: the sharing of information on credit history, criminal activity and violation of bank regulations or disclosure of information authorized by interested parties. Bank secrecy may also be breached by court order when necessary for the investigation of any illegal act.

     Government and auditors from the Brazilian Internal Revenue Service may also inspect an institution’s documents, books and financial registry in certain circumstances.

Change of Independent Accounting Firm

All financial institutions must:

  • be audited by an independent accounting firm; and

  • replace their independent accounting firm responsible for auditing their financial statements for Brazilian regulatory purposes at least every five consecutive fiscal years. An accounting firm that issues an opinion on the financial statements and thereafter is replaced pursuant to this rule may be rehired three fiscal years after its prior service. The CMN has suspended the mandatory requirement to replace the independent accounting firm until December 2008. 

99



Table of Contents

     Each independent accounting firm must immediately communicate to the Central Bank any event that may materially adversely affect the relevant financial institution’s status.

     In March 2002, an amendment to the Brazilian Corporate Law gave the members of our Board of Directors veto rights over the appointment or removal of our independent accounting firm. For more information regarding appointment of directors see “Item 10. Additional Information—Memorandum and Articles of Incorporation—Organization—Voting Rights.”

Brazilian Auditing Requirements

     Because we are a financial institution registered with the domestic stock exchanges, we are obligated to have our financial statements audited every six months in accordance with generally accepted accounting principles in Brazil. Quarterly financial information filed with the CVM is subject to review by our independent accountants.

     In January 2003, the CVM enacted regulations requiring audited entities to disclose information relating to an independent accounting firm’s non-auditing services whenever such services represent more than 5.0% of the external auditors’ compensation.

     Additionally, the independent auditors must also declare to the audited company’s management that their providing these services does not affect the independence and objectivity that is necessary to external auditing services.

     In May 2003, the CMN enacted new regulations on auditing matters applicable to all Brazilian financial institutions, which were revised in November 2003, January and May 2004 and December 2005. Under these regulations, we are required to appoint a member of our management to be responsible for the follow-up and supervision of compliance with the accounting and auditing requirements set forth in the legislation.

     Pursuant to this regulation, financial institutions which have an adjusted net worth in excess of R$1.0 billion, manage third party assets of at least R$1.0 billion or have an aggregate amount of third party assets in excess of R$5.0 billion are also required to create an audit committee made up of independent members. The number of members, the appointment and removal criteria, the term of office and the responsibilities of the audit committee must be set forth in the institutions’ bylaws. Our audit committee has been fully operational since July 1, 2004. The audit committee is responsible for recommending to management which independent accounting firm to hire, reviewing the financial statements, including the notes thereto, and the auditors’ opinion prior to public release, evaluating the effectiveness of the auditing services provided and internal compliance procedures, assessing management’s compliance with the recommendations made by the independent accounting firm, among other things. Our by-laws were revised in December 2003 to establish the audit committee. In May 2004, our Board of Directors approved its members’ internal regulations and appointed its first composition. In October 2006, CMN enacted stricter requirements to be followed by the members of the Board of Directors. See Item 16D. Exemptions from Listing Standards for Audit Committees.

     Effective July 1, 2004, we are required to publish a report of the audit committee along with our semi-annual financial statements. Our audit committee’s first report was related to our financial statements of the second semester of 2004.

100


Table of Contents

Changes to Accounting Practices

     In July 2007, CVM and BACEN established new rules regarding accounting practices of publicly-held companies and financial institutions. As of 2010, we will be required to prepare and present our consolidated financial statements, in accordance with the international accounting standard, pursuant to rules issued by the International Accounting Standards Board, or IASB. This will result in a change in our accounting practices, since our financial statements are currently prepared and disclosed in accordance with the generally accepted accounting principles in Brazil.

     In December, 2007, the Brazilian Congress enacted Law No. 11,638 of December 28, 2007, which we call “Law No. 11,638,” that changed certain accounting practices established by Brazilian corporate law. Pursuant to Law No. 11,638, that publicly-held companies must adopt certain IASB rules as of January 1, 2008. Law No. 11,638 was further regulated by CVM by CVM Rule No. 469 of May 2, 2008. The main provisions of Law No. 11,638 include:

(i) the obligation to prepare cash flow and aggregate value statements;

(ii) the outstanding amounts of the revaluation reserves shall be maintained until their actual realization or otherwise be reversed until the end of 2008;

(iii) permanent assets shall be divided into investments, fixed assets, intangible assets and deferred assets;

(iv) shareholders’ equity shall be divided into capital stock, capital reserves, equity evaluation adjustments, profit reserve, treasury stock and accumulated losses;

(v) mergers, acquisitions and spin-offs between non-related parties that result in transfer of control, the assets and liabilities of the target company shall be evaluated at their fair value;

(vi) introduction of the new concept of “adjustment to present value” for the long-term assets and liabilities transactions and short-term material transactions;

(vii) investments in related companies shall be recorded at the equity method of accounting; and

(viii) changing the treatment of tax incentives, which will be recorded directly in the income statement and may be excluded from the calculation base of minimum mandatory dividends and transferred to profit reserves—reserve of tax incentives.

Asset Management Regulation

     Asset management is regulated by the CMN and the CVM.

     In August 2004, the CVM issued the rule 409/2004 consolidating all previous regulations applicable to fixed income assets funds and variable income mutual funds. Prior to this ruling, fixed income assets funds were regulated by the Central Bank, and variable income mutual funds were regulated by the CVM.

     CVM Rule 409/2004 became effective on November 22, 2004. Since then, all new funds created are subject to its rules, while previously existing funds had until January 31, 2005 to enter into compliance with the new regulation.

     Pursuant to the provisions of the new CVM rule, our investment funds must keep their assets invested in securities and operational assets that are available in the financial and capital markets.

     These securities, operational assets and all other assets that comprise the fund’s portfolio (except for interest in investment funds or in Mercosur), must be registered directly with specific custody deposit accounts, opened in the name of the fund. Such accounts must be held within registration and clearance systems authorized by the Central Bank, or within certain custody institutions authorized by the CVM.

     In addition to the limitations provided in each financial investment funds’ charter, financial investment funds are not permitted to have:

  • more than 10.0% of their net worth invested in securities of a single issuer, if that issuer is (1) a publicly-held non-financial institution, or (2) a federal, state, or municipal entity or (3) another investment fund, except for equity investment funds;

  • more than 20.0% of their net worth invested in securities issued by a financial institution (including the fund manager);

  • more than 5.0% of their net worth invested in securities issued by an individual or non- governmental entity that is not a publicly-held company or financial institution authorized to operate by the Central Bank; and

  • in the case of fixed income assets investment funds and the money market, more than 10.0% of their net worth invested in a real estate investment fund, a receivables investment fund and an investment fund that invests in other receivables investment funds.

     Funds addressed to qualified investors that require a minimum investment of R$1 million per investor are not subject to limitations regarding concentration of their investments in a single issuer or diversification of invested assets, as long as it is set forth in their organizational corporate documents and the specific parameters to each type of fund below are followed.

101


Table of Contents

     In addition, CVM allows funds to keep financial assets traded abroad in their portfolio in accordance with the following criteria:

  • no limitation for foreign debt funds or funds addressed to qualified investors;

  • no more than 20% of their net worth for multimarket fund; and

  • no more than 10% of their net worth for the remaining funds.

     There are no limits when the issuer is the Federal Government. For these limits effects, we consider as the same issuer, its parent company, the companies directly or indirectly controlled thereby, its affiliated companies and shared control companies.

     According to its equity breakdown, the investment funds and the investment funds in quotas are classified as follows:

  • Short–term Funds – These funds invest exclusively in public, federal or private bonds, which are pegged to Selic (or another interest rate) or to a price index and have a maximum maturity of 375 days and an average portfolio period of less than 60 days. Short–term funds may use derivatives only to hedge their portfolios and can enter into transactions in connection with public federal bonds;

  • Reference Funds – These funds have (1) at least 80.0% of their net worth invested solely or together in (a) bonds issued by the Brazilian National Treasure and/or the Brazilian Central Bank or (b) fixed income securities of issuers having low credit risk; (2) have at least 95.0% of their portfolio composed of financial assets that directly or indirectly follow the variation of the performance indicator (benchmark) chosen; and (3) may only use derivatives in connection with transactions that attempt to hedge cash positions, up to their limit.
    Additionally, the name of the fund shall identify its development index based on the financial assets structure of its portfolio.

  • Fixed Income Funds – These funds have at least 80.0% of their assets portfolios directly related, or synthesized through derivatives of fixed income assets;

  • Share Funds – These funds have at least 67.0% of their portfolio invested in shares listed and traded on either over the counter markets or stock exchanges;

  • Exchange Funds – These funds have at least 80.0% of their portfolio invested in derivatives or other funds comprised of derivatives, which hedge foreign currency prices;

  • Foreign Debt Funds – These funds have at least 80.0% of their net worth invested in Brazilian foreign debt bonds, and the remaining 20.0% in other loan securities transacted in the international market; and

  • Money market – It must have an investment policy that involves several risk factors, without the commitment of concentration in any particular factor or in factors different from the other classes provided for in the classifications of the funds above.

102


Table of Contents

Regulation of Brokers and Dealers

     Broker and dealer firms are part of the national financial system and are subject to CMN, Central Bank and CVM regulation and supervision. Brokerage firms must be chartered by the Central Bank, and are the only institutions in Brazil authorized to trade on Brazil’s stock exchanges and mercantile and futures exchanges. Both brokers and dealers may act as underwriters in the public placement of securities and engage in the brokerage of foreign currency in any exchange market.

     Brokers must observe rules of conduct established by the stock exchanges and the BM&F and previously approved by the CVM. They must also select a director responsible for the observance of such rules.

     Broker and dealer firms may not:

  • with limited exceptions, execute operations that may be qualified as the granting of loans to their clients, including the assignment of rights;

  • collect commissions from their constituents related to transactions of securities during the primary distribution;

  • acquire assets, including real estate properties, which are not for their own utilization; or

  • obtain loans from financial institutions, except for (i) loans for the acquisition of goods for use in connection with the firm’s corporate purpose or (ii) loans the amount of which do not exceed two times the firm’s net worth.

     Broker and dealer firms’ employees, managers, partners, controlling and controlled entities may negotiate securities for their own accounts only through the relevant broker and dealer firm.

Regulation of Internet and Electronic Commerce

     The Brazilian Congress has not enacted any specific legislation regulating electronic commerce. Accordingly, electronic commerce remains subject to existing laws and regulation on ordinary commerce and business transactions.

     There are currently several bills dealing with Internet and electronic commerce regulation in the Brazilian congress. The proposed legislation, if enacted, would recognize the legal effect, validity and enforceability of information in the form of electronic messages, allowing parties to enter into an agreement, make an offer or accept one through electronic messages.

     CVM approved new regulations limiting Internet brokerage activities, which may be carried out only by registered companies. Brokers’ web pages must contain detailed information about their systems, fees, security and order processing. They must also contain information about how the market functions generally and the risks involved with each type of investment offered.

     Brokers that carry out transactions over the Internet must guarantee the security and operability of their systems, which must be audited at least on a half-year basis.

103


Table of Contents

Regulation of Operations in Other Jurisdictions

     We have branches and subsidiaries in several other jurisdictions, such as New York, Buenos Aires, Tokyo, the Cayman Islands, the Bahamas and Luxembourg. The Central Bank exercises global consolidated supervision over Brazilian financial institutions’ branches, subsidiaries and corporate holdings abroad and the prior approval of the Central Bank is necessary to establish any new branch, subsidiary or representative office. In most cases, we had to obtain governmental approvals from local central banks and monetary authorities in such jurisdictions before commencing business. In all cases, we are subject to supervision by local authorities.

Taxation

CPMF

     Until December 31, 2007, the CPMF levied at a tax rate of 0.38% of any checking account entry related to funds kept in Brazil. Since January 1, 2008, CPMF is no longer due.

     In June, 2008 the Brazilian House of Representatives approved a bill establishing a new tax, the Contribuição Social para a Saúde, Social Contribution for Health, known as “CSS,” which is similar to CPMF but subject to a rate of 0.1% . This bill still depends on approval from the Brazilian Senate to come into effect. We cannot anticipate whether this bill will be approved by the Brazilian Senate. In any case, CSS will not be charged before January 1, 2009.

Tax on Financial Transactions

     The Imposto Sobre Operações Financeiras, known as “IOF,” is a tax on foreign exchange, securities, credit and insurance transactions. The Minister of Finance sets the tax rates of the IOF, subject to a 25.0% ceiling set forth by law. Financial institutions are required to withhold amounts due as IOF from any transaction that takes place at their facilities, even though the IOF taxpayer is the person or legal entity engaged in the financial transaction that triggers the IOF charge.

     In January 2008, the Brazilian Government increased IOF rates on certain transactions with the purpose of offsetting collection losses from the extinguishment of CPMF.

     IOF may be imposed on a variety of transactions, including the conversion of Brazilian currency into any foreign currency for payment of dividends and repatriation of investments in our ADSs. The IOF rate on such transactions is generally 0.38%; however, it is 0% on exchange transactions between Brazilian and foreign banks and foreign exchange transactions regarding floating income investments of foreign investors in the Brazilian capital markets, namely in stocks exchanges, and future and commodities exchanges.

     Presently, the foreign currency exchange transactions subject to IOF and respective rates are the following:

  • a 5.38% rate applies to conversions into Brazilian currency of foreign loans with a term of less than 90 days;

  • a 2.38% rate applies to foreign exchange transactions for the acquisition of goods with credit cards;

104


Table of Contents

  • a 1.5% rate applies to foreign exchange transactions for investments in the Brazilian financial market;

  • a 0.38% rate applies to foreign currency exchange transactions for import of services or the export of goods and services; and

  • a 0.38% rate applies to other foreign currency exchange transactions.

     The IOF may also be levied on issuances of bonds or securities, including transactions carried out on Brazilian stock, futures or commodities exchanges. The IOF rate with respect to preferred shares and ADSs is currently 0%. The Minister of Finance, however, has the legal authority to increase the rate to a maximum of 1.5% per day of the amount of the taxed transaction, during the period the investor holds the securities, but only to the extent of the gain realized on the transaction and only from the date of its increase or creation.

     The IOF is levied on all types of loan transactions, including overdraft loans, at a daily rate of 0.0041% in case of loans raised by legal entities, or at a daily rate of 0.0082% in case of loans raised by individuals, of the amount of principal. In those loan transactions in which the principal amount is not determined prior to the transaction, in addition to the principal, the IOF tax is also levied on interest and other charges at the same rate. In any case, the IOF tax is subject to a maximum rate of 1.5% during one year.

     In addition, credit operations are subject to IOF at an additional rate of 0.38% since January 2008.

     The IOF is levied on insurance transactions at a rate of:

  • 0%, in the case of reinsurance or mandatory insurance underlying housing financing granted by an agent of the housing financial system, credit-related export transactions, international transportation of goods, rural insurance or premiums designated to fund life insurance plans containing life coverage; or

  • 0% of premiums paid, in case of life insurance and similar policies, for personal and labor accidents, including mandatory insurance for property damage caused by automobiles or ships, including periods during which they are being loaded;

  • 2.38% of premiums paid, in the case of private health insurance; and

  • 7.38% of premiums paid, in the case of other segments of insurance.

     IOF is also assessed on gains realized in transactions with terms of less than 30 days consisting of the sale, assignment, repurchase or renewal of fixed-income investments or the redemption of shares of financial investment funds, variable income funds or investment pools. For more information on financial investment funds and variable income funds see “—Regulation and Supervision—Asset Management Regulation.” The maximum rate of IOF payable in such cases is 1.0% per day and decreases with the length of the transaction, reaching zero for transactions with maturities of at least 30 days, except that the rate for the following types of transactions is currently 0%:

  • transactions carried out by financial institution and other institutions chartered by the Central Bank as principals;

  • transactions carried out by mutual funds or investment pools themselves;

105


Table of Contents

  • transactions carried out in the equity markets, including those performed in stock, futures and commodities exchanges and similar entities; and

  • redemptions of shares in equity funds.

Income Tax and Social Contribution on Profits

     Federal taxes that are levied on a company’s income include two components, an income tax known as “IRPJ” and a social contribution tax on net profits, which is known as the “Social Contribution Tax.” The IRPJ is levied at a rate of 15.0% increased by an additional income tax at a rate of 10.0%. Considering the above, the IRPJ is assessed at a combined rate of 25.0% of adjusted net income. The Social Contribution Tax is usually assessed at a rate of 9.0% of adjusted net income. However, since May 1, 2008, financial institutions, like us, are taxed at a rate of 15.0%.

     For further information on our income tax expense, see note 16 to our consolidated financial statements in Item 18.

     Companies are taxed based on their worldwide income rather than on income produced solely in Brazil. As a result, profits, capital gains and other income obtained abroad by Brazilian entities are computed in the determination of their profits. The Brazilian entity is allowed to deduct income tax paid abroad based on the same income (1) according to the terms and conditions of any existing income tax treaty; or (2) up to the amount of Brazilian income taxes imposed on such income since there is reciprocal treatment between Brazil and the country where the profit or gain is obtained, such as the United States of America. Profits realized by the end of each year by an offshore entity which is a branch, controlled or affiliated to a Brazilian entity are regarded as available to the Brazilian entity and, as a consequence, are subject to the payment of income tax in Brazil.

     The profits or dividends generated and paid by Brazilian entities since January 1, 1996 are not subject to withholding income tax, nor to corporate income tax or individual income tax on the person receiving the dividend either in Brazil or abroad. However, as the payment of dividends is not tax deductible for the corporation distributing them, there is an alternative regime for shareholder compensation called “interest on shareholders’ capital,” which allows corporations to deduct interest paid to shareholders from net profits for tax purposes. This deduction is limited to the product of (a) the variation pro rata die of the long-term interest rate disclosed by the Brazilian government, known as “TJLP”; times (b) the corporation’s net worth calculated in accordance with generally accepted accounting principles in Brazil, and may not exceed the greater of:

  • 50.0% of net income (before taking such distribution and any deductions for income taxes into account) for the year in respect of which the payment is made, as measured in accordance with generally accepted accounting principles in Brazil; or

  • 50.0% of retained earnings for the year prior to the year in respect of which the payment is made, as measured in accordance with generally accepted accounting principles in Brazil.

     Distributions of interest on shareholders’ equity to holders of preferred shares, including payments to the depositary bank in respect of preferred shares underlying ADSs, are subject to a Brazilian withholding tax at a rate of 15.0%, except for payments to people who are exempt from tax in Brazil or to people situated in tax havens. In the latter case, payments are subject to income tax at a rate of 25.0% . For more information on the taxation of interest on shareholders’ capital see “Item 10. Additional Information—Taxation—Brazilian Tax Considerations—Distributions of Interest on Shareholders’ Capital.”

106


Table of Contents

     Accumulated net operating losses of Brazilian companies can be offset with future taxable income during any year up to 30.0% of annual taxable income.

     Gains realized by Brazilian holders in exchange or similar markets on any disposition of preferred shares in Brazil are generally taxed at the following rates:

  • 20.0% if the transaction is “day-traded” on a stock exchange; or

  • 15.0% for all other transactions.

     Gains earned in all transactions carried out on stock, goods, futures and similar markets, except for day-trades (which remain subject to the withholding tax mentioned above), are subject to a withholding income tax of 0.005% as follows:

  • With respect to the futures market, the sum of the daily adjustments, if positive, refined by the closing balance, before or upon its term;

  • With respect to the options market, the result, if positive, of the sum of the paid and received premiums for the same day;

  • With respect to term contracts, which provide for delivery of assets on a set date, the difference, if positive, between the price on the delivery date and the cash price on the closing date;

  • With respect to term contracts having solely a financial component, the amount of the closing as specified by the contract; and

  • With respect to the spot market, the amount of the sale of shares, gold or other securities traded on that market.

     This taxation system was created in order to make it easier for the Brazilian Internal Revenue Service to verify transactions made in the financial and capital markets. Withholding income taxes may be (i) deducted from the income tax levied on net monthly profits; (ii) offset with income tax due in the following months; (iii) offset with the income tax annual declaration of adjustment (if there is any withheld tax accounted for in the balance); or (iv) offset with outstanding withholding income tax due over capital gains from the sale of shares.

     Gains realized on any disposition of preferred shares in Brazil by non-Brazilian holders who reside in a jurisdiction that under Brazilian law is deemed to be a “tax haven” (any country that (i) does not impose income tax, (ii) that imposes income tax at a rate of less than 20.0% or (iii) a country whose corporate law establishes confidentiality regarding the shareholders of corporate entities) are subject to the same rates applicable to Brazilian holders, as described above.

     Gains realized on the disposition of preferred shares in Brazil by non-Brazilian holders who are not resident in a “tax haven” are exempted from Brazilian tax if:

  • the proceeds obtained from the disposition of shares are remitted outside Brazil within five business days of the cancellation of the ADSs, which were represented by the shares sold; or

  • the foreign investment in the preferred shares is registered in the Central Bank under Resolution 2,689.

107


Table of Contents

     Otherwise, the same treatment applicable to Brazilian residents will apply.

     Income tax rate is zero over payment, credit, delivery or remittance of profits from transactions involving Brazilian public bonds acquired as of February 16, 2006, except for bonds subject to resale, in accordance with the rules and conditions established by the CMN. This zero-tax rate is not applicable when the beneficiary is resident or domiciled in a “tax heaven.” This zero-tax rate is also applicable to income of non-residents that invest in quotas of investment funds exclusively for non-resident investors, which funds portfolio is composed by, at least, 98% of public securities. Brazilian tax laws sets forth that remuneration is any amounts from remuneration of invested capital, including the remuneration resulting from variable income securities, such as interest, premiums, commissions, goodwill, negative goodwill, discount and profit sharing, as well as positive results from investments funds and investment clubs.

     The income tax rate is also zero, under certain conditions, on income from investments in investment funds in equity interests, investment funds in quotas of investment funds in equity interests and investment funds in emerging markets, when such income is paid, credited, delivered or remitted to individual or collective beneficiaries resident or domiciled abroad (except for tax havens), whose investments in Brazil are in compliance with the regulations and conditions established by CMN. In addition, investments will be only subject to this zero-income tax rate in case these investment funds comply with diversification limits and investment rules comprised in CVM regulation, and their portfolio must be comprised of, at least, 67% of shares of joint-stock companies, debentures convertible into shares and subscription bonus.

     The income of Brazilian residents from redemption, sale or amortization of quotas of investments in investment funds in equity interests, investment funds in quotas of investment funds in equity interests and investment funds in emerging markets, including the income resulting from the settlement of the fund, is subject to an income tax rate of 15% on the positive difference between the redemption or sale value and the acquisition cost. Gains from the sale of quotas are treated (1) as net gain, when obtained by individuals in operations carried out on the stock exchange, and by companies in operations carried out inside or outside the stock exchange; and (2) according to the rules applicable to capital gains in the sale of properties and rights of any nature, when obtained by individuals in operations carried out outside the stock exchange.

     If investment funds do not comply with the diversification limits and investment rules set forth by the CVM, and if their portfolio is not comprised by, at least, 67% of shares of joint-stock companies, debentures convertible into shares and subscription bonus, the income of Brazilian residents will be subject to income tax at rates varying from 15% to 22.5% (depending on the term of the investment) over profit distribution by the funds.

PIS and COFINS

     Two federal taxes are imposed on the gross revenues of corporate entities: the Programa de Integração Social contribution (the Contribution for Social Integration), known as “PIS,” and the Contribuição para Financiamento de Seguridade Social (the Contribution for Financing Social Security), known as “COFINS.”

     Nonetheless, many revenues, such as dividends, equity in earnings of unconsolidated companies, revenues from the sale of fixed assets and export revenues paid in foreign currency are not included in the calculation base for PIS and COFINS. However, interest on shareholders’ equity is subject to PIS and COFINS.

108


Table of Contents

     Brazilian laws authorize certain adjustments to the calculation base of those taxes depending on the business segment and on other aspects.

     PIS and COFINS underwent significant changes during the last five years. These changes occurred because the Brazilian government decided to implement a non-cumulative collection system in respect of both taxes, allowing taxpayers to determine their calculation basis by discounting credits that originate from certain transactions. In order to offset these discounts, the rates of both PIS and COFINS were substantially increased. Pursuant to the changes made to PIS and COFINS, as of May 2004, both taxes are applicable to goods and services imported from foreign countries by a company located in Brazil.

     As of August 2004, PIS and COFINS rates were eliminated for financial income earned by companies subject to the non-cumulative applicability of these taxes. However, taxes on payments of interest on shareholders’ capital were not eliminated.

     Certain economic activities are expressly excluded from the non-cumulative collection system of both PIS and COFINS. This is the case for financial institutions, which remained subject to the previous legal regime, for both taxes.

     PIS is charged based on the total revenue generated by entities and is charged at a rate of 0.65% in the case of financial institutions.

     Before February 1, 1999, we were not a COFINS taxpayer. At February 1, 1999, COFINS was imposed on our gross revenues at a rate of 3.0% . After September 1, 2003, this tax rate was increased to 4.0% for financial institutions. The calculation base for COFINS is the same as that for PIS. Exclusively in 1999, we were authorized by Central Bank to offset up to one-third of amounts we paid as COFINS against the amounts we should pay as social contribution on taxable profit.

Leasing Regulation

     The basic legal framework governing leasing transactions is established by Law No. 6,099 of September 12, 1974, as amended, which we call the “Leasing Law,” and the regulations issued thereunder by the CMN. The Leasing Law sets forth general guidelines for the incorporation of, and the activities permitted to be performed by, leasing companies. The CMN, in its capacity as regulator of the financial system, provides the details of the provisions set forth in the Leasing Law and supervises and controls the transactions conducted by leasing companies. The laws and regulations issued by the Central Bank with respect to financial institutions in general, such as reporting requirements, capital adequacy and leverage, asset composition limits and treatment of doubtful loans, are also applicable to leasing companies to the extent applicable.

Insurance Regulation

     The main rule that regulates the Brazilian insurance system is the Executive Decree No. 73 of November 21, 1966, as amended. Such Rule has created two regulatory agencies, the National Private Insurance Council, which we call the “CNSP,” and SUSEP. SUSEP is responsible for implementing and overseeing the CNSP’s policies and ensuring compliance with such policies by insurance companies, insurance brokers and insured people. Insurance companies require government approval to operate, as well as specific approval from SUSEP to offer each of their products. Insurance companies may subscribe policies only through qualified brokers.

109


Table of Contents

     Insurance companies must set aside technical reserves in accordance with CNSP criteria. The investments backing up the technical reserves must be diversified and meet certain liquidity, solvency and security criteria. Insurance companies may invest a substantial portion of their assets in securities. As a result, insurance companies are major investors in the Brazilian financial markets and are subject to a series of rules and conditions imposed by the CMN regarding the investment of technical reserves.

     Insurance companies are prohibited from:

  • acting as financial institutions by extending credit and issuing guarantees;

  • trading in securities (subject to exceptions); or

  • investing outside of Brazil, without specific permission from the relevant authorities.

     Insurance companies must operate within certain retention limits approved by SUSEP pursuant to rules established by the CNSP. The rules take into account the economic and financial situation of the insurance companies, the technical conditions of their respective portfolios and the results of their operations with IRB, a quasi-public corporation controlled by the Brazilian government.

     On January 16, 2007, Complementary Law No. 126 created a new policy for reinsurance (whereby underwriters obtain secondary insurance for the risks that they are insuring), retro-assignments and intermediation in Brazil. In practical terms, such law resulted in the end of the IRB monopoly over reinsurance and retro-assignment markets. Furthermore, certain regulatory duties and activities originally attributed to IRB were transferred to CNSP and SUSEP.

     Under Complementary Law No. 126, local insurance or reinsurance companies must first offer to assign their risks to local reinsurance companies when contracting reinsurance or retro-assignment under the following risk percentages: (i) 60% in the first three years as of January 16, 2007; and (ii) 40% in the subsequent years. Exercise of the aforementioned right is yet to be defined by the CNSP and SUSEP.

     The new law also establishes more severe restrictions on the risk assignment to foreign reinsurance companies and on the contracting of insurance abroad.

     The insurance companies must reinsure the amounts exceeding the applicable technical limit on liabilities.

     Insurance companies must file unaudited monthly and audited quarterly, semiannual and annual reports with SUSEP.

     Insurance companies are exempt from ordinary financial liquidation procedures in case of bankruptcy and instead follow a special procedure administered by SUSEP. Financial liquidation may be either voluntary or compulsory. The Minister of Finance institutes compulsory dissolutions of insurance companies.

     There is currently no restriction on foreign investment in insurance companies.

Health Insurance

     Private health insurance and health plans are currently regulated by Law No. 9,656, of July 4, 1998, as amended, which we refer to as the “Health Insurance Law,” which determines the general provisions applicable to health insurance companies and the general terms and conditions of agreements entered into between health insurance companies and their customers. The Health Insurance Law establishes, among other things:

110


Table of Contents

  • mandatory coverage of certain expenses, such as those arising from preexisting conditions;

  • the conditions precedent for admission to a plan;

  • the geographical area covered by each insurance policy; and

  • the pricing criteria plans may use.

     The ANS is responsible for regulating and supervising supplemental health services provided by health insurance companies pursuant to directives set forth by the Conselho de Saúde Suplementar (the Supplemental Health Council).

     Until 2002, SUSEP had authority over insurance companies, which were authorized to offer private pension plans on health assistance. Since 2002, pursuant to ANS regulations and supervision, only operators of private health assistance plans may offer such plans. We created Bradesco Saúde in 1999 to fulfill this requirement.

Private Pension Plans

     Open pension plans are subject, for purposes of inspection and control, to the authority of the CNSP and the SUSEP, which are under the regulatory authority of the Ministry of Finance. The CMN, CVM and Central Bank may also issue regulations pertinent to private pension plans, particularly with respect to the assets guaranteeing the technical reserves.

     Private pension entities must set aside reserves and technical provisions as collateral for their liabilities.

     Open pension plans and insurance companies are allowed to create, trade and operate investment funds with segregated assets since January 1, 2006. Notwithstanding the above, certain provisions of law No. 11,196 of November 21, 2005 will only become effective upon its regulation by SUSEP and CVM. For more information, see “—Asset Management Regulation”.

SELECTED STATISTICAL INFORMATION

     We have included the following information for analytical purposes. You should read this information in conjunction with “Item 5. Operating and Financial Review and Prospects” and our consolidated financial statements in Item 18.

Average Balance Sheet and Interest Rate Data

     The following table presents the average balances of our interest-earning assets and interest-bearing liabilities, other assets and liabilities accounts, the related interest income and expense amounts and the average real yield/rate for each period. We calculated the average balances using the month-end book balances, which include the related allocated interest. These average balances represent our operations.

     We show liabilities in two categories: local and foreign currencies. Local currency balances represent liabilities expressed in reais, while foreign currency balances represent liabilities denominated in foreign currencies, primarily the U.S. dollar. We did not break out asset balances into domestic and international currencies as substantially all of our assets are denominated in reais.

111


Table of Contents

     We excluded non-performing loans from “Loans” in determining average assets and liabilities, and classified them as non-interest-earning assets. Cash received on non-performing loans during the period are included in interest income on loans. We do not consider these amounts significant.

     We do not present interest income on a tax-equivalent basis, as Brazilian tax law does not currently provide for tax exemptions for interest earned on investment securities.

     Additionally, fees received from various loan commitments are included in interest income on loans. We do not consider these amounts significant.

112


Table of Contents

  On December 31 
  2005  2006  2007 
    
 
      Average      Average      Average 
          
  Average    yield/rate  Average    yield/rate  Average    yield/rate 
          
  balance  Interest  (%) balance  Interest  (%) balance  Interest  (%)
          
Interest-earning assets (1):  (R$ in millions, except %)
Loans  R$ 69,988  R$ 16,855  24.1%  R$ 88,044  R$ 20,977  23.8%  R$ 105,470  R$ 22,608  21.4% 
Federal funds sold and securities                   
purchased under agreements to resell  12,858  2,018  15.7  13,378  2,177  16.3  33,299  3,429  10.3 
Trading assets  37,878  7,251  19.1  41,999  5,705  13.6  52,787  5,677  10.8 
Available-for-sale securities (2) 9,640  1,364  14.1  15,980  2,490  15.6  21,760  2,843  13.1 
Held to maturity securities  4,235  495  11.7  4,122  324  7.9  2,762  279  10.1 
Interest-bearing deposits in other                   
banks  9,610  722  7.5  11,945  541  4.5  7,635  429  5.6 
Other interest-earning assets:                   
Central Bank compulsory deposits  15,151  2,160  14.3  16,251  1,998  12.3  18,858  1,207  6.4 
Other assets  811  61  7.5  886  59  6.7  716  37  5.2 
          
 
Total interest-earning assets  160,171  30,926  19.3  192,605  34,271  17.8  243,287  36,509  15.0 
          
 
Non-interest-earning assets(3)                  
Cash and due from banks  3,515  –  –  3,895  –  –  5,006  –  – 
Central Bank compulsory deposits  4,656  –  –  5,298  –  –  6,868  –  – 
Available-for-sale securities  1,684  –  –  2,266  –  –  2,472  –  – 
Non-performing loans  2,021  –  –  3,004  –  –  5,576  –  – 
Allowance for loan losses  (4,476) –  –  (5,832) –  –  (7,114) –  – 
Equity investees and other investments  493  –  –  772  –  –  518  –  – 
Premises and equipment  2,427  –  –  2,445  –  –  2,710  –  – 
Goodwill  297  –  –  500  –  –  893  –  – 
Intangible assets  1,437  –  –  1,577  –  –  1,594  –  – 
Other assets  15,866  –  –  21,368  –  –  27,646  –  – 
          
 
Total non-interest-earning assets  27,920  –  –  35,293  –  –  46,169  –  – 
 
Total assets  R$ 188,091  R$ 30,926  16.4%  R$ 227,898  R$ 34,271  15.0%  R$ 289,456  R$ 36,509  12.6% 
          

113


Table of Contents

  On December 31 
  
  2005  2006  2007 
    
      Average      Average      Average 
  Average    yield/rate  Average    yield/rate  Average    yield/rate 
  balance  Interest  (%) balance  Interest  (%) balance  Interest  (%)
          
Interest-bearing liabilities  (R$ in millions, except %)
 Deposits from banks:                   
     Domestic (3) R$ 116  R$ 21  18.1%  R$ 143  R$ 19  13.3%  R$ 223  R$ 33  14.8% 
          
 Total  116  21  18.1  143  19  13.3  223  33  14.8 
 
 Savings deposits:                   
     Domestic (3) 24,728  2,028  8.2  25,590  1,909  7.5  28,958  2,002  6.9 
          
 Total  24,728  2,028  8.2  25,590  1,909  7.5  28,958  2,002  6.9 
 
 Time deposits:                   
     Domestic(3) 28,641  4,782  16.7  31,203  4,149  13.3  32,322  3,405  10.5 
     International(4) 2,361  113  4.8  3,258  152  4.7  2,066  119  5.8 
          
 Total  31,002  4,895  15.8  34,461  4,301  12.5  34,388  3,524  10.2 
 
Federal funds purchased and securities                   
sold under agreements to repurchase  19,139  3,862  20.2  27,821  3,762  13.5  51,384  5,540  10.8 
 
 Borrowings:                   
     Short-term:                   
     International (4) 7,164  (187) (2.6) 5,741  54  0.9  6,892  (727) (10.5)
          
 Total  7,164  (187) (2.6) 5,741  54  0.9  6,892  (727) (10.5)
 
 Long-term:                   
     Domestic (3) 13,691  1,916  14.0  20,700  2,649  12.8  26,715  2,677  10.0 
     International (4) 7,073  (94) (1.3) 6,589  175  2.7  5,590  (311) (5.6)
 Total  20,764  1,822  8.8  27,289  2,824  10.3  32,305  2,366  7.3 
          
 
Total interest-bearing liabilities  102,913  12,441  12.1  121,045  12,869  10.6  154,150  12,738  8.3 
          
 
Non-interest-bearing liabilities:                   
 Demand deposits:                   
     Domestic (3) 15,042    17,210    22,185   
     International (4) 185    222    126   
          
Total  15,227  -  -  17,432  -  -  22,311  -  - 
          
 
Other non-interest-bearing                   
liabilities  52,537  -  -  67,989  -  -  85,091  -  - 
          
 
Total non-interest-bearing liabilities  67,764  -  -  85,421  -  -  107,402  -  - 
          
 
Total liabilities  170,677  12,441  7.3  206,466  12,869  6.2  261,552  12,738  4.9 
          
 
Shareholders’ equity  17,357  -  -  21,323  -  -  27,731  -  - 
Minority interest on consolidated                   
subsidiaries  57  -  -  109  -  -  173  -  - 
          
 
Total liabilities and shareholders’                   
equity  R$ 188,091  R$ 12,441  6.6%  R$ 227,898  R$ 12,869  5.6%  R$ 289,456  R$ 12,738  4.4% 
         
_________________
(1)      Primarily denominated in reais.
(2)      Calculated using the historical average amortized cost. If calculated using the carrying value, the average yield/rate amounts would be 12.5% in 2007, 13.1% in 2006 and 10.7% in 2005.
(3)      Denominated in reais.
(4)      Denominated in foreign currency, primarily U.S. dollars.

114


Table of Contents

Changes in Interest Income and Expenses—Volume and Rate Analysis

     The following table shows the effects of changes in our interest income and expense arising from changes in average volumes and average yield/rates for the periods presented. We calculated the changes in volume and interest rate based on the evaluation of average balances during the period and changes in average interest rates on interest-earning assets and interest-bearing liabilities. We allocated the net change from the combined effects of volume and rate proportionately to the average volume and rate, in absolute terms, without considering positive and negative effects.

  December 31 
  
  2006/2005  2007/2006 
   
  Increase (decrease) due to changes in: 
  
  Average  Average    Net  Average  Average  Net 
  volume  yield/rate  change  volume  yield/rate  change 
       
  (R$ in millions)
Interest-earning assets:             
 Loans  R$ 4,304  R$ (182) R$ 4,122  R$ 3,875  R$ (2,244) R$ 1,631 
 Federal funds sold and securities purchased             
under agreements to resellunder agreements to resell  83  76  159  2,287  (1,035) 1,252 
 Trading assets  726  (2,272) (1,546) 1,297  (1,325) (28)
 Available-for-sale securities  976  150  1,126  800  (447) 353 
 Held to maturity securities  (13) (158) (171) (123) 78  (45)
 Interest-bearing deposits in other banks  149  (330) (181) (223) 111  (112)
 Central Bank compulsory deposits  149  (311) (162) 282  (1,073) (791)
 Other assets   (7) (2) (10) (12) (22)
       
 
Total interest-earning assets  6,379  (3,034) 3,345  8,185  (5,947) 2,238 
       
 
Interest-bearing liabilities:             
 Deposits from banks             
     Domestic   (6) (2) 12   14 
       
 Total  4  (6) (2) 12  2  14 
       
 
 Savings deposits:             
     Domestic  69  (188) (119) 239  (146) 93 
       
 Total  69  (188) (119) 239  (146) 93 
       
 
 Time deposits:             
     Domestic  401  (1,034) (633) 144  (888) (744)
     International  42  (3) 39  (64) 31  (33)
       
 Total  443  (1,037) (594) 80  (857) (777)
       
 
 Federal funds purchased and securities sold             
 under agreements to repurchase  1,417  (1,517) (100) 2,665  (887) 1,778 
 
 Borrowings:             
     Short-term:             
       International  31  210  241   (790) (781)
       
 Total  31  210  241  9  (790) (781)
       
 
 Long- term:             
     Domestic  909  (176) 733  674  (646) 28 
     International   263  269  (23) (463) (486)
       
 Total  915  87  1,002  651  (1,109) (458)
       
 
Total interest-bearing liabilities  R$ 2,879  R$ (2,451) R$ 428  3,656  (3,787) (131)
       

115


Table of Contents

Net Interest Margin and Spread

     The following table shows the average balance of our interest-earning assets, interest-bearing liabilities and net interest income, and compares the net interest margin and net interest spread for the periods indicated:

  December 31, 
  
  2005  2006  2007 
    
  (R$ in millions, except %)
Average balance of interest-earning assets  R$ 160,171  R$ 192,605  R$243,287 
Average balance of interest-bearing liabilities  102,913  121,045  154,150 
Net interest income (1) R$ 18,485  R$ 21,402  R$ 23,771 
Interest rate on the average balance of interest-earning assets          19.3%  17.8%  15.0% 
Interest rate on the average balance of interest-bearing liabilities  12.1  10.6  8.3 
Net yield on interest–earning assets (2) 7.2  7.2  6.7 
Net interest margin (3)         11.5%  11.1%  9.8% 
_________________
(1)      Total interest income less total interest expenses
(2)      Difference between the yield on the rates of the average interest-earning assets and the rate of the average interest-bearing liabilities.
(3)      Net interest income divided by average interest-earning assets.
 

Return on Equity and Assets

The table below shows selected financial indices for the periods indicated:

  December 31, 
  
      2005  2006  2007 
    
  (R$ in millions, except % and per share information)
Net income  R$ 6,310  R$ 6,462  R$ 7,908 
Average total assets  188,091  227,898  289,456 
Average shareholders’ equity  R$ 17,357  R$ 21,323  R$ 27,731 
Net income as a percentage of average total assets  3.4%            2.8%  2.7% 
Net income as a percentage of average shareholders’ equity  36.4  30.3  28.5 
Average shareholders’ equity as a percentage of average total assets  9.2%            9.4%  9.6% 
Dividends payout ratio per class of shares (1) 0.30            0.33  0.36 
_________________
(1)      Total declared dividends per share divided by net income.
 

116


Table of Contents

Securities Portfolio

     The table below shows our portfolio of trading assets, available-for-sale securities and held to maturity securities as of the dates indicated. The amounts below exclude our equity investees. For additional information on our equity investees and other investments, see note 9 to our consolidated financial statements included in Item 18. The amounts also exclude our compulsory holdings of Brazilian government securities, as required by the Central Bank. For more information on our compulsory holdings, see note 3 to our consolidated financial statements included in Item 18. We state trading assets and available-for-sale securities at market value. See notes 2(e), 2(f), 2(g), 2(h), 4, 5 and 6 to our consolidated financial statements included in Item 18 for a further description of our treatment of trading assets and available-for-sale securities and held to maturity securities.

  December 31, 
  
  2005  2006  2007 
    
  (R$ in millions, except %)
  
Trading securities:       
 
   Mutual funds  R$ 21,420  R$ 28,549  R$ 36,532 
   Brazilian government securities  17,142  31,150  16,741 
   Corporate debt securities  901  1,040  1,846 
   Brazilian sovereign bonds  521  55  36 
   Derivative financial instruments  518  584  1,134 
   Bank debt securities  324  1,263  956 
   Foreign government securities  122  94  1,901 
    
Total  R$ 40,948  R$ 62,735  R$ 59,146 
    
 
   Trading securities as a percentage of total assets  19.8%  24.2%  17.7% 
 
Available-for-sale securities:       
   Brazilian government securities  R$ 6,146  R$ 16,712  R$ 23,190 
   Brazilian sovereign bonds  4,313  1,549  438 
   Corporate debt securities  1,744  2,130  1,364 
   Bank debt securities  309  54  80 
   Foreign government securities    
   Marketable equity securities  2,198  3,425  4,581 
    
Total  R$ 14,710  R$ 23,879  R$ 29,653 
    
 
   Available-for-sale securities as a percentage of total assets  7.1%  9.2%  8.9% 
 
Held to maturity securities:       
   Brazilian government securities  R$ 3,137  R$ 2,188  2,643 
   Brazilian sovereign bonds (1) 909  1,040  288 
   Financial Institution securities  44   
   Foreign government securities  31  37  50 
    
 
Total  R$ 4,121  R$ 3,265  R$ 2,981 
    
   Held to maturity securities as a percentage of total assets  2.0%  1.3%  0.9% 
_________________
(1)      See note 6 to our consolidated financial statements included in Item 18.
 

117


Table of Contents

Maturity Distribution

     The following table sets forth the maturity dates and weighted average yield, as of December 31, 2007, of our trading securities, available-for-sale securities and held to maturity securities.

     As of December 31, 2007 we held no tax-exempt securities in our portfolio.

  December 31, 2007 
  
  Due in 
1 year or less 
 Due after 1 year to 
5 years
 
 Due after 5 years to 
10 years 
 Due after 10 years    Unspecified 
Maturity
 
 Total 
       
  Average yield  Average yield    Average yield  Average yield  Average yield    Average yield 
       
  (R$ in millions, except %)
Trading securities (1):                         
   Brazilian government securities  5,342  11.6%  10,523  11.9%  876  8.5%          16,741  10.7% 
       Fixed rate  4,526  11.4  2,832  12.6   7.5  –  –  –  –  7,360  10.5 
       Floating rate  816  11.7  7,691  11.1  874  9.5  –  –  –  –  9,381  10.8 
   Brazilian sovereign bonds      36  5.2%              36  5.2% 
       Floating rate – bills of exchange  –  –  36  5.2              36  5.2 
   Foreign government securities  1,901  5.4%  –  –    –  –  –  –  –  1,901  5.4% 
       Floating rate – bills of exchange  1,901  5.4  –  –  –  –  –  –  –  –  1,901  5.4 
   Bonds issued by non–financial institutions  954  10.3%  282  9.0%  408  10.0%  202  10.0%  –  –  1,846  9.8% 
       Fixed rate  –  –  –  –  –  –  –  –  –  –  –  – 
       Floating rate – bills of exchange  18  8.7   6.5  38  8.4  101  8.6  –  –  159  – 
       Floating rate  936  11.8  280  11.4  370  11.5  101  11.4  –  –  1,687  – 
   Financial institutions bonds  867  11.8%  17  11.4%  72  8.6%  –  –  –  –  956  10.6% 
       Fixed rate  –  –  –  –  –  –  –  –  –  –  –  – 
       Floating rate – bills of exchange  708  11.8  –  –  66  6.1  –  –  –  –  774  – 
       Floating rate  159  11.7  17  11.4   11.0  –  –  –  –  182  – 
   Mutual Funds (2)     –  –    –  –  –  36,532  –  36,532   
       Floating rate  –  –  –  –  –  –  –  –  36,532  –  36,532  – 
   Derivative financial instruments  535    579  –  20  –  –  –  –  –  1,134   
       Fixed rate  –  –  –  –  –  –  –  –  –  –  –  – 
       Floating rate – bills of exchange  35  –  –  –  –  –  –  –  –  –  35  – 
       Floating rate  500  –  579  –  20  –  –  –  –  –  1,099  – 
             
Total trading securities  9,599    11,437    1,376    202    36,532    59,146   
             
 
Available–for–sale securities at market value (2):                         
   Brazilian government securities  2,326  11.3%  5,828  10.7%  5,633  8.7%  9,403  7.4%      23,190   
       Fixed rate  –  –  –  –  –  –  –  –  –  –  –  – 
       Floating rate  2,326  11.3  5,828  10.7  5,633  8.7  9,403  7.4  –  –  23,190  – 
   Brazilian sovereign bonds  1  9.1%  6  10.8%  99  10.3%  332  9.2%      438  9.9% 
       Floating rate – bills of exchange                         
   9.1   10.8  99  10.3  332  9.2  –  –  438  9.9 
   Foreign government securities                         
       Floating rate – bills of exchange          –  –  –  –  –  –  –  – 
   Bonds issued by non–financial institutions  119  9.7%  684  9.7%  534  10.2%  27  8.6%      1,364  10.0% 
       Floating rate  98  11.2  656  11.4  132  11.8  –  –  –  –  886  11.5 
       Floating rate – bills of exchange  21  8.1  28  8.5  402  8.6  27  8.6  –  –  478  8.4 
       Fixed rate  –  –  –  –  –  –  –  –  –  –  –  – 
   Financial institutions bonds      4  8.7%  17  7.9%  59  11.7%      80  10% 
       Floating rate – bills of exchange  –  –   8.7  17  7.9  –    –  –  21  8.3 
       Floating rate  –  –  –  –  –  –  59  11.7  –  –  59  11.7 
   Mutual Funds (2)                        
       Floating rate  –  –  –  –  –  –  –  –  –  –  –  – 
Marketable equity securities (2)                 4,581    4,581   
             
Total available–for–sale securities  2,446    6,522    6,283    9,821    4,581    29,653   
             
 
Total held to maturity securities, at amortized cost                         
   Brazilian government securities  3  11.8%  102  10.8%  163  7.5%  2,375  6.7%      2,643  9.2% 
       Floating rate   11.8  102  10.8  163  7.5  2,375  6.7  –  –  2,643  9.2 
   Brazilian sovereign bonds      163  11.0%  63  5.1%  62  4.0%      288  6.7% 
       Floating rate – bills of exchange  –  –  163  11.0  63  5.1  62  4.0      288  6.7 
   Foreign government securities              50        50   
       Floating rate – bills of exchange  –  –  –  –  –  –  50  –  –  –  50  – 
 
   Total held to maturity securities  3    265    226    2,487        2,981   
             
Total  12,048    18,224    7,885    12,510    41,113    91,780   
             
_________________
(1)      At market value.
 

118


Table of Contents

(2) Investments in mutual funds are redeemable at any time in accordance with our liquidity needs Average yield is not stated, as future yields are not quantifiable These trading securities were excluded from the total yield computation.
(*) The figures above are not adjusted to the exchange rate variation.

The following table shows our securities portfolio by currency as of the dates indicated:

  At fair value  Amortized Cost 
   
  Trading  Available for sale  Held to maturity securities  Total 
     
December 31, 2007:  (R$ in millions)
     Indexed to reais  R$ 56,241  R$ 28,104  R$ 2,643  R$ 86,988 
     Denominated in foreign currency (1) 2,905  1,549  338  4,792 
December 31, 2006:         
     Indexed to reais  R$ 60,964  R$ 21,144  R$ 2,188  R$ 84,296 
     Indexed to foreign currency (1) 1,254  –  –  1,254 
     Denominated in foreign currency (1) 517  2,735  1,077  4,329 
December 31, 2005:         
     Indexed to reais  R$40,293  R$9,169  R$3,137  R$52,599 
     Denominated in foreign currency (1) 655  5,541  984  7,180 
_________________
(1)      Predominantly U.S. dollars.
 

Central Bank Compulsory Deposits

     We are required to either maintain deposits with the Central Bank, or purchase and keep Brazilian government securities as compulsory deposits.

     The following table sets forth the amounts of these deposits as of the dates indicated:

  December 31, 
  
  2005  2006  2007 
    
    % of total    % of total    % of total 
    compulsory    compulsory    compulsory 
  R$  deposits  R$  deposits              R$  deposits 
       
  (R$ in millions, except %)
Total deposits:             
Non-interest earning (1) R$ 5,269          24.3%  R$ 6,446  27.5%  R$ 8,919  28.0% 
Interest-earning (2) 16,417  75.7  17,015  72.5  22,894  72.0 
       
 
Total  R$ 21,686  100.0%  R$ 23,461  100.0%  R$ 31,813  100.0% 
       
_________________
(1)      Primarily demand deposits
(2)      Primarily time and savings deposits

119


Table of Contents

Credit Operations

     The following table summarizes our outstanding loans by category of transaction. Substantially all of our loans are with borrowers domiciled in Brazil and are denominated in reais. The majority of our loans are denominated in reais and indexed to fixed or variable interest rates. A smaller portion of them are denominated in or indexed to the U.S. dollar and subject to fixed interest rates.

  December 31, 
  
  2003  2004  2005  2006  2007 
      
  (R$ in millions)
  
Type of credit operations           
Commercial           
 Industrial and others  R$21,156  R$23,343  R$28,690  R$32,604  R$44,380 
 Import financing  673  1,242  1,100  1,465  2,179 
 Export financing  8,375  8,181  10,067  12,934  15,342 
Leasing  1,364  1,626  2,491  3,842  8,097 
Construction  415  449  523  519  1,634 
Individuals           
 Overdraft  1,134  1,301  1,572  1,263  1,881 
 Real estate  1,097  921  832  1,326  1,571 
 Financing (1) 10,442  15,305  25,187  28,828  38,791 
 Credit card  1,373  1,289  1,830  2,652  2,330 
Rural credit  4,404  6,034  6,369  7,399  9,032 
Foreign currency loans  2,429  1,588  1,900  1,546  2,529 
Public Sector   15  49  62  94 
Non-performing loans  2,144  2,206  2,701  4,284  5,277 
Allowance for loan losses  (3,846) (4,063) (4,964) (6,552) (7,769)
      
 
Loans, net  R$ 51,160  R$59,437  R$78,347  R$92,172  R$125,368 
      
_________________
(1)      Constituted primarily by loans for the acquisition of vehicles and direct consumer financing.
 

     The types of credit operations presented above are as follows:

     Commercial – commercial loans include loans to corporate customers, including small businesses, as well as the financing of imports for corporate customers. We also provide advances to corporate exporters under trade exchange contracts, which are typically short- and medium-term loans.

     Construction – real estate construction financing consists primarily of mortgage loans to construction companies, which generally have medium-term maturities.

     Leasing – leasing contracts consist primarily of leases of equipment and automobiles to both corporate and individual borrowers.

     Individuals – loans to individuals include mortgage loans to individuals for the purchase of their own residences, which generally have long-term maturities, credit cards and lines of credit provided to individuals under pre-approved credit limits as a result of overdrafts on their deposit accounts. We offer individuals personal loans for various other purposes, classified as “financing,” which consist of loans for the acquisition of vehicles and direct consumer financing.

     Rural credit – rural credit consists of loans to borrowers who operate in rural businesses, including farming, production, livestock and reforestation.

120


Table of Contents

     Foreign currency loans – foreign currency loans are on-lending financing raised by Brazilian companies that are indexed to U.S. dollar and are subject to foreign exchange rate variation and accrued interests.

     Public sector – public sector credit operations are loans to Brazilian federal, state and municipal governments or agencies.

     Non-performing loans – we classify all loans that are sixty days or more overdue as non-performing once the credits are classified as non-performing loans we stop accruing interest over them.

     Impairment – clients with significant loans whose profile indicates that they may have difficulty making their payments, or that their credit rating has declined, presenting probable losses for us. These loans are classified as “impaired” and are subject to review in accordance with SFAS 114, “Accounting for Impairment of a Loan by a Creditor,” as amended by SFAS 118.

     We estimate the value of impaired loans based on:

  • the present value of expected future cash flows discounted at the loan’s effective interest rate; or

  • for collateral dependent loans, the fair value of the underlying collateral.

     Through the allowance for loan losses we establish a valuation allowance for the difference between the carrying value of the impaired loan and its estimated value, as determined above. We periodically adjust the allowance for loan losses based on an analysis of the loan portfolio.

     We provision up to 100.0% of the outstanding amount of those loans, which are classified as “non performing” instead of impaired. We provision these sums up to 180 days before payments under such loans become due depending on the credit rating of the debtor.

     Homogeneous loans with small outstanding balances, such as overdraft loans, credit cards, residential mortgages and consumer credit, are considered in the aggregate for the purpose of evaluating the risk of default based on our prior experiences with default, current economic conditions, client profiles and internal risk classification.

Charge-offs

     Loans are charged off when they are between 180 and 360 days overdue, depending on their initial risk classification. Generally, the charge-off takes place after 360 days. However, the charge-off might be postponed for longer-term loans (that will mature after 36 months), until they are up to 540 days overdue.

     We generally carry overdue loans as non-performing loans before charging them off. The allowance for loan losses related to any loan remains on our books until the loan is charged off.

     There were no changes made to our loan classification system. For more information on our categorization of loans, see “—Regulation and Supervision—Bank Regulations—Treatment of Overdue Debts” and “—Classification of Loan Operations Portfolio.”

121


Table of Contents

Maturities and Interest Rates of Loans

     The following tables show the distribution of maturities of our loans by type, as well as the composition of our loan portfolio by interest rate and maturity as of the dates indicated:

  December 31, 2007 
  
  Due                Allowance   
  within 30  Due in 31  Due in 91  Due in          for Losses   
  days or  to 90  to 180  181 to  Due in 1  Due after  No stated  Total loans,  in loan   
  less  days  days  360 days  to 3 years  3 years  maturity (1) gross  operations    Total 
           
Type of loan:  (R$ in millions)
Commercial:                     
 Industrial and others  R$8,609  R$9,625  R$5,387  R$5,260  R$9,647  R$5,500  R$1,626  R$45,654  R$(2,759) R$42,895 
 Import financing  247  560  917  399  52    2,181  (10) 2,171 
 Export financing  1,502  2,245  2,554  3,191  2,612  3,238  18  15,360  (79) 15,281 
Construction   20  60  187  983  375  20  1,654  (56) 1,598 
Leasing  412  699  299  1,699  4,728  245  127  8,209  (171) 8,038 
Individuals:                     
 Overdraft  1,736       395  2,131  (232) 1,899 
 Real estate  21  34  51  100  352  1,006  50  1,614  (129) 1,485 
 Financing (2) 3,674  5,070  5,907  8,348  13,716  1,826  2,733  41,274  (3,424) 37,850 
 Credit cards        3,215  3,215  (686) 2,529 
Rural credit  236  584  1,325  2,461  1,841  2,525  250  9,222  (216) 9,006 
Foreign currency loans  725  166  459  686  172  11  310  2,529  (7) 2,522 
Public Sector      25  57   94   94 
           
Total  R$17,172  R$19,005  R$16,962  R$22,337  R$34,128  R$14,787  R$8,746  R$133,137  R$(7,769) R$125,368 
           
_________________
(1)      Primarily composed of non-performing credit cards and loans.
(2)      Primarily composed of loans for the acquisition of vehicles and direct consumer financing.
 
  December 31, 2007 
  
  Due within               
  30 days or  Due in 31  Due in 91  Due in 181      Due in  Due after 3  No stated  Total loans, 
  less  to 90 days  to 180 days  to 360 days  1 to 3 years      years  maturity  gross 
         
        (R$ in millions)      
Types of loans to                 
customer by maturity                 
 Floating or adjustable                 
 rates(1) R$4,233  R$4,525  R$5,677  R$9,394  R$ 10,199  R$10,683  R$5,277  R$49,988 
 Fixed rates  12,939  14,480  11,285  12,943  23,929  4,104  3,469  83,149 
         
 
Total  R$17,172  R$19,005  R$16,962  R$22,337  R$34,128  R$14,787  R$8,746  R$133,137 
         
_________________
(1)      Includes non-performing loans.
 

Credit Approval Process

     For a description of our credit approval process, see “—History and Development of the Company—Risk Management—Credit.”

Indexation

     The majority of our entire portfolio of loans is denominated in reais. However, a portion of our portfolio is indexed to foreign currencies, predominantly the U.S. dollar. Our loans indexed to the U.S. dollar consist of on lending of Eurobond and export and import financing. In many cases our clients hold derivative instruments to minimize exchange rate variation risk.

122


Table of Contents

Non-performing Loans and Allowance for Loan Losses

     The following table presents a summary of our non-performing loans (comprised entirely of non-accrual loans) together with certain asset quality ratios, at the dates indicated. We aggregate small balance of homogeneous loans, such as overdrafts, consumer installment loans and credit card financing, for the purpose of measuring impairment. We assess larger balance loans based on the risk characteristics of each individual borrower. We do not have any material restructured loans.

  December 31, 
  
  2003  2004  2005  2006  2007 
      
   (R$ in millions, except %)
Non-performing loans  R$ 2,144  R$ 2,206  R$ 2,701  R$ 4,284  R$5,277 
Foreclosed assets, net of reserves  194  229  166  161  195 
      
Total non-performing loans and           
foreclosed assets  2,338  2,435  2,867  4,445  5,472 
      
 
Allowance for loan losses  3,846  4,063  4,964  6,552  7,769 
Total loans  R$55,006  R$63,500  R$83,311  R$98,724  R$133,137 
 
Non-performing loans as a percentage of total loans  3.9%  3.5%  3.2%  4.3%  4.0% 
Non-performing loans and foreclosed assets as a percentage of total loans  4.3  3.8  3.4  4.5  4.1 
Allowance for loan losses as a percentage of total loans  7.0  6.4  6.0  6.6  5.8 
Allowance for loan losses as a percentage of non- performing loans  179.4  184.2  183.8  152.9  147.2 
Allowance for loan losses as a percentage of non- performing loans and foreclosed assets  164.5  166.9  173.1  147.4  142.0 
Net charge-offs for the period as a percentage of the average balance of loans (including non-performing loans) 3.1%  2.1%  1.3%  2.4%  3.1% 

     We do not have a significant amount of foreign loans. The majority of our assets are denominated in reais.

Outstanding Foreign Loans

     The aggregate amount of our outstanding cross-border commercial loans that are denominated in foreign currencies are mainly raised in U.S. dollars by subsidiaries of Brazilian companies through our Cayman branch. These loans represented on average approximately 3.0% of our total assets in the last three years. We believe that there are no significant cross-border risks on these transactions, since a substantial part of the related credit risk is guaranteed by the parent company in Brazil of each subsidiary. The remainder of our outstanding cross-border transactions mainly includes investments in securities, which represented on average approximately 2.0% of our total assets in the last 3 years.

     Additionally, our deposit base is primarily comprised of Brazilian residents and the amount of deposits in our branches outside Brazil is less than 10.0% of our total deposits and is therefore not considered significant.

123


Table of Contents

Loans by Economic Activity

     The following table summarizes our loans by borrowers’ economic activity as of the dates indicated. This table does not include non-performing loans.

  December 31, 
  
  2005  2006  2007 
    
  Loan  % of loan  Loan  % of loan  Loan  % of loan 
  portfolio  portfolio    portfolio  portfolio  portfolio  portfolio 
       
  (R$ in millions, except %)
Industrial:             
   Food, beverages and tobacco  R$ 4,065            5.0%  R$ 4,226            4.5%  R$6,547            5.1% 
   Electric and electronic, and communication equipment  964  1.2  633  0.7  812  0.6 
   Chemicals and pharmaceuticals  2,100  2.6  2,614  2.8  3,847  3.0 
   Civil construction  1,214  1.5  1,475  1.5  3,271  2.6 
   Basic metal industries  1,693  2.1  1,937  2.0  2,446  1.9 
   Textiles, clothing and leather goods  1,241  1.5  1,450  1.5  2,602  2.0 
   Manufacturing of machinery and equipment  1,268  1.6  1,702  1.8  1,947  1.5 
   Paper, paper products, printing and publishing  1,440  1.8  2,340  2.5  2,121  1.7 
   Automotive  2,749  3.4  2,449  2.6  2,530  2.0 
   Non-metallic minerals  398  0.5  1,306  1.4  529  0.4 
   Rubber and plastic  906  1.1  1,040  1.1  1,385  1.1 
   Information technology and office equipment  25   52   155  0.1 
   Wood and wood products, including furniture  617  0.8  643  0.7  747  0.6 
   Extractive  855  1.1  758  0.8  1,563  1.2 
   Petrochemicals  307  0.4  470  0.5  270  0.2 
   Others  3,050  3.8  4,700  5.0  9,522  7.5 
       
Subtotal  22,892  28.4  27,795  29.4  40,294  31.5 
       
Individuals:             
   Consumer loans  28,589  35.5  32,743  34.7  43,002  33.6 
   Real estate  832  1.0  1,326  1.4  1,571  1.2 
   Lease financing  55  0.1  100  0.1  251  0.2 
       
Subtotal  29,476  36.6  34,169  36.2  44,824  35.0 
       
Real Estate Construction  523  0.7  519  0.6  1,634  1.3 
       
Commercial             
   Retail  7,014  8.7  7,393  7.8  9,725  7.6 
   Wholesale  4,228  5.2  4,781  5.1  5,842  4.6 
   Lodging and catering services  302  0.4  374  0.4  592  0.5 
       
Subtotal  11,544  14.3  12,548  13.3  16,159  12.7 
       
Financial services:             
   Financial institutions  762  1.0  987  1.1  1,048  0.8 
   Insurance companies and private pension plans  26   27   44  
       
Subtotal  788  1.0  1,014  1.1  1,092  0.8 
       
Services             
   Telecommunications  1,423  1.8  1,097  1.2  1,191  0.9 
   Service providers  1,625  2.0  2,602  2.7  3,544  2.8 
   Transportation  3,435  4.3  4,238  4.5  5,559  4.4 

124


Table of Contents

  December 31, 
  
  2005  2006  2007 
    
  Loan  % of loan  Loan  % of loan  Loan  % of loan 
  portfolio  portfolio  portfolio  portfolio  portfolio  portfolio 
       
  (R$ in millions, except %)
   Real estate  566  0.7  773  0.8  1,364  1.1 
   Health and social services  572  0.7  581  0.6  787  0.6 
   Leisure  423  0.5  575  0.6  824  0.6 
   Education  320  0.4  367  0.4  426  0.3 
   Public administration and             
   defense  16   14   73  0.1 
   Other  638  0.8  749  0.8  1,057  0.8 
       
Subtotal  9,018  11.2  10,996  11.6  14,825  11.6 
       
Agriculture, breeding, forestry and fishing  6,369  7.9  7,399  7.8  9,032  7.1 
       
Total  R$80,610  100.0%  R$94,440  100.0%  R$127,860  100.0% 
       

125


Table of Contents

Allowance for Loan Losses

     The following table states the allowance for loan losses by economic activity for the periods indicated:

  December 31, 
  
  2003  2004  2005  2006      2007 
      
  (R$ in millions, except %)
Balance at the beginning of the period  R$3,455  R$3,846  R$4,063  R$4,964  R$ 6,552 
Charge–off from assets           
       Commercial           
           Industrial and others  (1,006) (853) (604) (947) (1,015)
           Import financing  (14) (5) –  –  – 
         Export financing  (28) (13) (8) (3) (1)
       Construction  (5) (5) –  –  – 
       Leasing  (85) (31) (23) (7) (106)
       Individuals           
           Overdraft  (284) (278) (177) (247) (247)
           Real Estate  (72) (135) (26) (47) (61)
           Financing (1) (290) (207) (572) (1,301) (2,252)
           Credit card  (163) (287) (153) (257) (596)
       Rural credit  (109) (8) (39) (6) (2)
       Foreign currency loans  (2) (2) (1) (1) (1)
      
 
   Total charge–off from assets  (2,058) (1,824) (1,603) (2,816) (4,281)
      
Recoveries           
       Commercial           
           Industrial and others  144  286  308  253  383 
           Import financing  –   –  –  – 
           Export financing  –  –  –  –  – 
       Construction  –  –  –  –  – 
       Leasing  18   42  14  13 
       Individuals           
           Overdraft  48  54  38  39  51 
           Real estate   69  31  18  18 
           Financing (1) 193  175  208  281  367 
       Credit card    10  19  35 
       Rural credit    36  10  10 
       Foreign currency loans  –  11    
      
Total recoveries  415  612  681  637  882 
      
 
Net charge–offs  (1,643) (1,212) (922) (2,179) (3,399)
      
 
Provision for loan losses  2,034  1,429  1,823  3,767  4,616 
      
 
Balance at the end of the period  R$3,846  R$4,063  R$4,964  R$6,552  R$ 7,769 
      
Net charge–offs during the period as a percentage of average loans outstanding(including non– performing loans) 3.1%  2.1%  1.3%  2.4%  3.1% 

_________________
(1)
Primarily composed of vehicle financing and consumer loans

126


Table of Contents

     Based on information available regarding our debtors, we believe that our aggregate allowance for loan losses is sufficient to cover probable losses in our loan operations portfolio.

     The following table sets forth our provision for loan losses, charge-offs and recoveries included in results of operations for the periods indicated:

  Year ended December 31,  % Change 
   
  2005  2006  2007  2006/2005  2007/2006 
      
  (R$ in millions, except %)
Provision for loan losses expenses  R$ 1,823  R$ 3,767  R$ 4,616  106.6%  22.5% 
Loan charge-offs  (1,603) (2,816) (4,281) 75.7  52.0 
Loan recoveries  681  637  882  (6.5) 38.5 
Net Charge offs  R$ (922) R$ (2,179) R$ (3,399) 136.3%  56.0% 
Provision for loan losses (1) 2.5%   4.2%  4.2%   

_________________
(1)
Provision as a percentage of average loans outstanding.

Allocation of the Allowance for Loan losses

     The tables below set forth the allocation of the allowance for loan losses for the periods indicated. The allowance amount allocated and the loan category are stated as a percentage of total loans.

  December 31, 2003 
  
        Loan  Loan 
    Allowance  Allowance  operations  operations 
    allocated as a  allocated as a  category as a  category as a 
  Allowance  percentage of  percentage of  percentage of  percentage of 
  Allocated  total loans (1) total loans(2) total loans(1) total loans(2)
      
  (R$ in millions, except %)
Type of loans           
Commercial           
 Industrial and others  R$1,738   3.3%   3.2%  40.1%  40.0% 
 Import financing  57  0.1   0.1  1.3  1.3 
 Export financing  83  0.2   0.1  15.9  15.3 
Construction  32  0.1   0.1  0.8  0.8 
Leasing  115  0.2   0.2  2.6  2.6 
Individuals           
 Overdraft  179  0.3   0.3  2.2  2.4 
   Real Estate  253  0.5   0.5  2.1  2.3 
 Financing (3) 974  1.9   1.8  19.4  20.0 
 Credit card  121  0.2   0.2  2.6  2.7 
Rural credit  269  0.5   0.5  8.4  8.1 
Foreign currency loans  25   -   4.6  4.5 
      
 
Total  R$3,846  7.3%  7.0%  100.0%  100.0% 
      

_________________
(1)
Excludes non-performing loans.
(2)
Includes non-performing loans.
(3)
Primarily includes loans for the acquisition of vehicles and direct consumer financing.

127


Table of Contents

  December 31, 2004 
  
    Allocated  Allocated     
    allowance as a  allowance as a  Loan category  Loan category 
  Allocated  percentage of  percentage of  as a percentage  as a percentage 
  allowance  total loans (1) total loans (2) of total loans (1) of total loans (2)
      
  (R$ in millions, except %)
Type of loans           
Commercial           
Industrial and others  R$1,600  2.6%  2.5%  38.3%  38.1% 
 Import financing  45  0.1  0.1  2.1  2.0 
 Export financing  122  0.2  0.2  13.4  13.1 
Construction  23  –  –  0.7  0.7 
Leasing  53  0.1  0.1  2.7  2.6 
Individuals           
 Overdraft  191  0.3  0.3  2.1  2.3 
   Real Estate  111  0.3  0.2  1.5  1.7 
 Financing (3) 1,415  2.3  2.2  24.6  25.0 
 Credit card  188  0.3  0.3  2.1  2.4 
Rural credit  302  0.5  0.5  9.9  9.6 
Foreign currency loans  13  –  –  2.6  2.5 
      
 
Total  R$4,063  6.7%  6.4%  100.0%  100.0% 
      

_________________
(1)
Excludes non-performing loans.
(2)
Includes non-performing loans.
(3)
Primarily includes loans for the acquisition of vehicles and direct consumer financing.

128


Table of Contents

  December 31, 2005 
  
    Allocated  Allocated     
    allowance as a  allowance as a  Loan category  Loan category 
  Allocated  percentage of  percentage of  as a percentage  as a percentage 
  allowance  total loans (1) total loans (2) of total loans (1) of total loans (2)
      
  (R$ in millions, except %)
Type of loans           
Commercial           
 Industrial and others  R$1,885  2.3%  2.3%  35.9%  35.6% 
 Import financing  24  –  –  1.4  1.3 
 Export financing  123  0.2  0.1  12.5  12.3 
Construction  56  0.1  0.1  0.7  0.6 
Leasing  105  0.1  0.1  3.1  3.0 
Individuals           
 Overdraft  242  0.3  0.3  2.0  2.1 
 Real estate  137  0.2  0.2  1.0  1.1 
 Financing (3) 1,832  2.3  2.2  30.7  31.4 
 Credit card  249  0.3  0.3  2.3  2.5 
Rural credit  304  0.4  0.4  8.0  7.8 
Foreign currency loans   –  –  2.4  2.3 
      
 
Total  R$4,964                 6.2%   6.0%  100.0%  100.0% 
      

_______________
(1)
Excludes non-performing loans.
(2)
Includes non-performing loans.
(3)
Primarily includes loans for the acquisition of vehicles and direct consumer financing.

129


Table of Contents

  December 31, 2006 
  
    Allocated  Allocated     
    allowance as a  allowance as a  Loan category  Loan category 
  Allocated  percentage of  percentage of  as a percentage  as a percentage 
  allowance  total loans (1) total loans (2) of total loans (1) of total loans (2)
      
  (R$ in millions, except %)
Type of loans           
Commercial           
 Industrial and others  R$ 2,569  2.7%  2.6%  34.8%  34.5% 
 Import financing   –  –  1.6  1.5 
 Export financing  101  0.1  0.1  13.8  13.2 
Construction  56  0.1  0.1  0.6  0.5 
Leasing  105  0.1  0.1  4.1  4.0 
Individuals           
 Overdraft  182  0.2  0.2  1.4  2.0 
 Real estate  132  0.1  0.1  1.4  1.4 
 Financing (3) 2,941  3.2  3.0  29.9  30.7 
 Credit card  265  0.3  0.3  2.8  2.8 
Rural credit  196  0.2  0.2  7.9  7.8 
Foreign currency loans   –  –  1.7  1.6 
      
 
Total  R$ 6,552  7.0%  6.7%  100.0%  100.0% 
      

_______________
(1)
Excludes non-performing loans.
(2)
Includes non-performing loans.
(3)
Primarily includes loans for the acquisition of vehicles and direct consumer financing.

130


Table of Contents

  December 31, 2007 
  
    Allocated  Allocated     
    allowance as a  allowance as a  Loan category  Loan category 
  Allocated  percentage of  percentage of  as a percentage  as a percentage 
  allowance  total loans (1) total loans (2) of total loans (1) of total loans (2)
      
  (R$ in millions, except %)
Type of loans           
Commercial           
 Industrial and others  R$ 2,759  2.2%  2.1%  34.7%  34.3% 
 Import financing  10  –  –  1.7  1.7 
 Export financing  79  0.1  0.1  12.0  11.5 
Construction  56  0.1  0.1  1.3  1.3 
Leasing  171  0.1  0.1  6.3  6.2 
Individuals           
 Overdraft  232  0.2  0.2  1.5  1.6 
 Real estate  129  0.1  0.1  1.3  1.2 
 Financing (3) 3,424  2.7  2.6  30.3  31.0 
 Credit card  686  0.5  0.5  1.8  2.4 
Rural credit  216  0.2  0.2  7.1  6.9 
Foreign currency loans   –  –  2.0  1.9 
      
 
Total  R$ 7,769  6.2%  6.0  100.0%  100.0% 
      

_______________
(1)
Excludes non-performing loans.
(2)
Includes non-performing loans.
(3)
Primarily includes loans for the acquisition of vehicles and direct consumer financing.

131


Table of Contents

Average Deposit Balances and Interest Rates

     The following table shows the average balances of deposits as well as the average interest rate paid on deposits for the periods indicated:

  Year ended December 31, 
  
  2005  2006  2007 
    
  Average  Average  Average  Average  Average  Average 
  balance  rate  balance  rate  balance  rate 
       
  (R$ in millions, except %)
Domestic deposits             
   Non–interest–bearing deposits             
       Demand deposits  R$ 15,042    R$ 17,210    R$ 22.185   
   Interest–bearing deposits             
       Deposits from banks  116   18.1%  143  13.3%  223  14.8% 
       Savings deposits  24,728  8.2  25,590  7.5  28,958  6.9 
       Time deposits  28,641  16.7  31,203  13.3  32,322  10.5 
       
   Total interest–bearing             
     deposits  53,485  12.8  56,936  10.7  61,503  8.8 
       
 
Total domestic deposits  68,527  10.0  74,146  8.2  83,688  6.5 
       
 
International deposits (1):             
   Non–interest–bearing deposits             
       Demand deposits  185         222    126   
   Interest–bearing deposits             
       Time deposits  2,361  4.8  3,258  4.7  2,066  5.8 
       
   Total interest–bearing             
     deposits  2,361  4.8  3,258  4.7  2,066  5.8 
       
 
Total international deposits  2,546  4.4  3,480  4.4  2,192  5.4 
       
 
Total deposits  R$ 71,073  9.8%  R$ 77,626  8.0%  R$ 85,880  6.5% 
       

_______________
(1)
Denominated in currencies other than reais, primarily U.S. dollars.

132


Table of Contents

Maturity of Deposits

     The following table shows the distribution of our deposits by maturity at the date indicated:

  December 31, 2007 
  
  Due in 3  Due after 3  Due after 6     
  months or  months to 6  months to 1  Due after 1   
  less  months  year  year        Total 
      
  (R$ in millions)
Domestic deposits           
Non–interest–bearing deposits           
   Demand deposits (1) R$ 29,222        R$29,222 
Interest–bearing deposits           
   Deposits from banks  257  R$ 42  R$ 63  R$ 8  370 
   Savings deposits (1) 32,813  –  –  –  32,813 
   Time deposits  4,674  2,223  4,323  22,438  33,658 
      
 
Total interest–bearing           
     deposits  37,744  2,265  4,386  22,446  66,841 
      
 
Total domestic deposits  66,966  2,265  4,386  22,446  96,063 
      
 
International deposits (2):           
Non–interest–bearing deposits           
   Demand deposits  201        201 
Interest–bearing deposits           
   Interbank deposits   –  –  –  
   Time deposits  1,699  145  151  80  2,075 
      
 
Total interest–bearing           
   deposits  1,701  145  151  80  2,077 
      
 
Total international deposits  1,902  145  151  80  2,278 
      
 
Total deposits  R$68,868  R$2,410  R$4,537  R$22,526  R$98,341 
      

_______________
(1)
Demand deposits and savings deposits are classified as due in three months or less, without taking into account the average turnaround history.
(2)
Denominated in currencies other than reais, primarily U.S. dollars.

     The following table sets forth information regarding the maturity of outstanding time deposits with balances greater than US$100,000 (or its equivalent), by maturity, as of the date indicated:

  December 31, 2007 
  Domestic  International 
  Currency  Currency 
   
  (R$ in millions)
Maturity within 3 months  3,476  1,495 
Maturity after 3 months but within 6 months  983  126 
Maturity after 6 months but within 12 months  2,070  143 
Maturity after 12 months  12,579  83 
   
 
Total deposits in excess of US$100,000  19,108  1,847 
   

133


Table of Contents

Federal Funds Purchased and Securities Sold under Agreements to Repurchase and Short-term Borrowings

     Federal funds purchased and securities sold under agreements to repurchase and short-term borrowings totaled R$77,004 million on December 31, 2007, R$48,584 million on December 31, 2006 and R$29,952 million on December 31, 2005. The principal categories of short-term borrowings are import and export financing and commercial paper.

     The following table summarizes the federal funds purchased and securities sold under agreements to repurchase and short-term borrowings for the periods indicated:

  Year ended December 31, 
  
   2005  2006  2007 
    
  (R$ in millions, except %)
Federal funds purchased and securities sold under       
agreements to repurchase       
   Amount outstanding  R$ 22,886  R$ 42,875  R$ 69,015 
   Maximum amount outstanding during the period  23,882  42,875  69,015 
   Weighted average interest rate at period end  18.1%  13.1%  10.9% 
   Average amount outstanding during period  19,139  27,821  51,384 
   Weighted average interest rate  20.2%  13.5%  10.8% 
Import and export financing       
   Amount outstanding  4,405  4,440  6,073 
   Maximum amount outstanding during the period  4,405  4,440  6,073 
   Weighted average interest rate at period end  5.3%  5.0%  4.8% 
   Average amount outstanding during period  4,587  3,964  5,159 
   Weighted average interest rate   (8.9)%   (4.0)%  (18.3)% 
Commercial paper       
   Amount outstanding  2,661  1,225  1,915 
   Maximum amount outstanding during the period  2,944  2,607  2,023 
   Weighted average interest rate at period end  4.5%  4.9%  4.8% 
   Average amount outstanding during period  2,577  1,752  1,728 
   Weighted average interest rate  8.7%  12.2%  12.7% 
Other  –  44  
    
 
Total  R$ 29,952  R$ 48,584  R$ 77,004 
    

Item 5. Operating and Financial Review and Prospects.

     You should read this discussion in conjunction with our consolidated financial statements, the notes thereto and other financial information included elsewhere in this annual report.

Overview

Brazilian Economic Conditions

     In 2005, Brazilian GDP grew by 2.9%, and the real appreciated by 11.8% in relation to the U.S. dollar, reaching R$2.3407 per U.S. dollar at December 31, 2005, compared to R$2.6544 at December 31, 2004. The Central Bank increased the base interest rate in the first half of 2005, from 17.75% to 19.75%, but began decreasing the interest rate later in that year, eventually arriving at an interest rate of 18.0% in December 2005.

134


Table of Contents

     In 2006, Brazilian GDP grew by 3.7%, and the real appreciated by 8.7% in relation to the U.S. dollar, reaching R$2.1380 per U.S. dollar on December 31, 2006 compared to R$2.3407 per U.S. dollar on December 31, 2005. The Central Bank gradually reduced the interest rates from 18% in December 2005 to 13.25% in December 2006.

     In 2007, Brazilian GDP grew 5.4% and the real appreciated 17.1% when compared to the US dollar, reaching R$1.7713 per US dollar on December 31, 2007, compared to R$2.1380 per US dollar on December 31, 2006. The Central Bank gradually reduced interest rates from 13.25% in December 2006 to 11.25% in December 2007.

     The Brazilian economy continued its growth during the first five months of 2008. During the first quarter of 2008, GDP increased by 5.8% over the same period in 2007. The real appreciated to R$1.6294 per U.S. dollar at May 31, 2008, compared with R$1.7713 at December 31, 2007. During the first six months of 2008, the Central Bank increased the base interest rate from 11.25% to 12.25% . Inflation for the first five months of 2008 was 5.2% . On June 16, 2008, the real/U.S. dollar exchange rate was R$1.6277.

     The following table shows the Brazilian inflation measured by IGP-DI, the appreciation of the real against U.S. dollar, the exchange rate at the end of each year and the average exchange rate for the periods indicated:

  December 31, 
  
  2005  2006  2007 
    
  (R$ in millions, except %)
 
Inflation (IGP-DI) 1.2%  3.8%  7.9% 
Appreciation of the real against U.S. dollar  (11.8)%  (8.7)%  (17.1)% 
Period-end exchange rate—US$1.00  R$ 2.3407  R$ 2.1380  R$ 1.7713 
Average exchange rate—US$1.00(1) R$ 2.4341  R$ 2.1812  R$ 1.9460 

_______________
(1)
The average exchange rate is the sum of the closing exchange rates at the end of each month in the period divided by the number of months in the period. 
Sources: FGV and the Central Bank. 

     The following table shows the change in real GDP and average interbank interest rates for the periods indicated:

  December 31, 
  
    2005  2006    2007 
    
Change in real GDP(1) 2.9%  3.7%  5.4% 
Average base interest rates(2) 19.0  15.0  11.8 
Average interbank interest rates(3) 19.0%  15.0%  11.8% 

_______________
(1)
Calculated by dividing the change in real GDP during a year by the real GDP of the previous year. 
(2)
Calculated in accordance with Central Bank methodology (based on nominal rates). 
(3)
Calculated in accordance with Clearing and Custody Chamber (“CETIP”) methodology (based on nominal rates). 
Sources:
The Central Bank, the Brazilian Geography and Statistics Institute and CETIP. 

135


Table of Contents

     The interbank interest rate has been relatively similar to, and is sometimes lower than, the average base interest rate over the past three years, primarily due to the relatively high level of funds available in the Brazilian banking industry and increased competition between banks. These factors move the interbank interest rate towards the base interest rate as banks seek to use their funds available and remain competitive with each other.

Effects of Interest Rates and Devaluation, Appreciation on Net Interest Income

     During periods of high interest rates, our interest income increased due to increasing interest rates on our interest-bearing assets. At the same time, our interest expense increased as interest rates on our interest-bearing liabilities also rose. Changes in volumes of interest-earning assets and interest bearing liabilities also produce changes in interest income and interest expense. For example, an increase in our interest income attributable to an increase in interest rates may be offset by a decrease in the volume of our outstanding loans.

     In addition, when the real is devalued, we incur (i) losses on our liabilities denominated in or indexed to foreign currencies, such as our U.S. dollar-denominated long-term debt and foreign currency loans, as the cost in reais of the related interest expense increases and (ii) gains in our assets denominated in or indexed to foreign currencies, such as our dollar-indexed securities and loans, as the income from such assets as measured inreais increases.

     Conversely, when the real appreciates against the U.S. dollar, as occurred from 2003 to 2007, we incur losses on our monetary assets denominated in or indexed to foreign currencies and record gains on our liabilities denominated in or indexed to foreign currencies.

     During 2005, our interest income increased by 31.5% as compared to 2004, from R$23,509 million in 2004 to R$30,926 million in 2005, and our interest expenses increased by 39.5%, from R$8,919 million in 2004 to R$12,441 million in 2005. This increase in interest income and expenses resulted both from increases in our average interest rates (mainly the CDI, which increased from 16.2% in 2004 to 19.0% in 2005,) and from increases in the average balance of our interest-bearing assets and liabilities.

     During the course of 2006, our financial income increased by 10.8% as compared to 2005, from R$30,926 million in 2005 to R$34,271 million in 2006, and our financial expenses increased by 3.4%, from R$12,441 million in 2005 to R$12,869 million in 2006. That increase in financial income and expenses was mainly a result of the increase in the average balance of our interest-bearing assets and liabilities, partially offset by the decrease in the average interest rates, mainly CDI, which decreased from 19.0% in 2005 to 15.0% in 2006.

     During the course of 2007, our financial income increased by 6.5% as compared to 2006, from R$34,271 million in 2006 to R$36,509 million in 2007, and our financial expenses decreased by 1.0%, from R$12,869 million in 2006 to R$12,738 million in 2007. These variations in our financial income and expenses were mainly a result of the increase in the average balance of our interest-bearing assets and liabilities, partially offset by the decrease in the average interest rates, mainly CDI, which decreased from 15.0% in 2006 to 11.8% in 2007.

136


Table of Contents

     The following table shows our foreign-currency-denominated and foreign-currency-indexed assets and liabilities at the dates indicated:

  December 31, 
  
  2005  2006  2007 
    
  (R$ in millions)
Assets       
   Cash and due from banks  R$139  R$177  R$ 508 
   Interest earning deposits in other banks  3,218  2,616  1,410 
   Federal funds sold and securities purchased under agreements to resell  640  1,065  3,001 
   Brazilian Central Bank compulsory deposits   12  11 
   Trading securities, at fair value  655  1,771  2,905 
   Available-for-sale securities, at fair value  5,541  2,735  1,551 
   Held to maturity securities  984  1,077  338 
   Net loans  12,634  15,258  17,615 
   Other assets  930  207  3,270 
    
 
Total assets  24,748  24,918  30,609 
    
 
Off-balance sheet accounts – notional value:       
 Derivatives:       
   Futures  4,404  5,759  3,609 
   Forwards  812  1,396  2,088 
   Swaps  147  711  3,387 
    
 
Total  R$ 30,111  R$ 32,784  R$ 39,693 
    
 
  December 31, 
  
  2005  2006  2007 
    
  (R$ in millions)
Liabilities       
Deposits  R$ 2,600  R$ 3,449  R$ 2,278 
Federal funds purchased and securities sold under agreements to repurchase  579  922  2,822 
   Short-term borrowings  7,066  5,709  7,989 
   Long-term debt  6,462  5,632  7,063 
   Others  2,159  1,059  1,464 
    
 
 Total liabilities  18,866  16,771  21,616 
    
 
Off-balance sheet accounts – notional value:       
 Derivatives:       
   Futures  5,709  10,907  11,859 
   Forward  369  459  1,191 
   Options    
   Swap  9,659  9,601  9,555 
    
 
 Total  34,603  37,738  44,221 
    
 
   Net exposure  R$ (4,492) R$ (4,954) R$ (4,528)

     The excess of our foreign-currency-denominated and indexed assets as compared to foreign-currency-denominated and indexed liabilities, adjusted according to derivatives instruments as well as the higher interest rates earned on foreign-currency-denominated and -indexed assets compared to our foreign-currency-denominated and -indexed liabilities, led to net financial gains on our net foreign currency asset position in 2003.

137


Table of Contents

     In 2005, 2006 and 2007, the excess of our foreign-currency-denominated and -indexed liabilities over foreign-currency-denominated and -indexed assets, adjusted according to derivative financial instruments, led to net financial gains as a result of the real appreciation during that period.

     We used swaps, futures contracts and other hedging instruments in order to minimize the potential impact on us of currency changes. For more information on our use of derivatives for hedging purposes, see notes 2(e), 2(f) and 22(b) to the consolidated financial statements in Item 18.

Lending and Treasury Activities

     Our provisions for loan losses increased to R$1,823 million, R$3,767 million and R$4,616 million for the years ended December 31, 2005, 2006 and 2007, respectively. This overall increase during the 2005-2007 period is in line with the increase in the average balance of our loan portfolio.

     Our balance of outstanding loans grew from R$98,724 million on December 31, 2006 to R$133,137 million on December 31, 2007. This 34.9% increase in our lending activities was largely a result of ongoing marketing efforts, increased confidence on the part of borrowers, and strengthening domestic and international markets. In addition, the value of the federal funds sold and securities purchased under agreements to resell increased from R$14,649 million as of December 31, 2006 to R$40,601 million as of December 31, 2007, due to our treasury strategy to diversify our assets.

Taxes

     Our income tax expense consists of two federal taxes: (1) the IRPJ, which is assessed at a rate of 15.0% of adjusted net income increased by an additional income tax at a rate of 10.0%; and (2) the social contribution tax, which is assessed at a rate of 9.0% of adjusted net income.

     On January 3, 2008, Brazilian government increased the social contribution tax rate for the financial segment from 9% to 15%. Financial institutions have been collecting the social contribution tax on adjusted net income at the 15% tax rate since May 1, 2008. The legality of this increase is being questioned at the Brazilian Supreme Court. In case the Brazilian Supreme Court understands that this increase is not legal, we would be entitled to recover any amount we have collected in excess under the 15% tax rate regime as we have had always collected the social contribution tax under the 9% regime.

     Brazilian corporations may pay shareholders interest on shareholders’ capital as an alternative form of making dividend distributions, and may take a deduction against taxable income for such payments. We aim to maximize the amount of dividends we pay in the form of interest on shareholders’ equity. For further information on our tax expenses, see “Item 4. Information on the Company—Regulation and Supervision—Taxation” and “Item 10. Additional Information—Memorandum and Articles of Incorporation—Organization—Allocation of Net Income and Distribution of Dividends” and “Taxation - Distributions of Interest on Shareholders’ Capital.”

Impact of Recent Material Acquisitions on our Future Financial Performance

     We have made the following significant acquisitions during the past three years:

138


Table of Contents

  • In March 2005, we acquired the minority participation interest held by third parties in the capital stock of Bradesco Seguros S.A. through the exchange of the Bradesco Seguros shares held by third parties for our shares. Upon the completion of this transaction, Bradesco Seguros became our wholly owned subsidiary and the minority shareholders of Bradesco Seguros became the holders of 363,271 shares of our capital stock. The total aggregate amount of this transaction was R$11.9 million.

  • In April 2005, through our subsidiary Finasa Promotora de Vendas, we acquired the personal loans and consumer credit distribution network of Banco Morada, one of the main suppliers of individual loans in the State of Rio de Janeiro for a total purchase price of R$80.0 million.

  • In July 2005, we acquired 50.0% of the total issued and outstanding capital stock of Leader Card, the company responsible for the agency and management of the private label credit card of Leader Magazine, for a total amount of R$47.0 million. Leader Magazine is a retail chain with its operations focused on the States of Rio de Janeiro and Espírito Santo. Leader Card is one of the five biggest own credit cards in Brazil, with over 2.3 million holders.

  • In January 2006, we became the controlling shareholder of BEC and its subsidiary BEC DTVM upon payment of the purchase price of R$700.0 million, as a result an auction held by the Brazilian Government in December 2005.

  • In March 2006, we entered into an agreement with the controlling shareholders of American Express Company to acquire the total capital of its subsidiaries in Brazil that operate credit card and related businesses, such as insurance brokerage, business travel, retail foreign exchange services and direct consumer financing operations. The transaction closed upon payment of US$468 million, equivalent to R$1.0 billion.

  • In March 2006, we entered into an agreement with Lojas Colombo to acquire 50% of the total capital stock of Credifar, a company that distributes financial products and services to the clients of Lojas Colombo, the third largest retail chain of electrical and electronic appliances and furniture in Brazil, with 365 stores in the States of Rio Grande do Sul, Santa Catarina, Paraná, São Paulo and Minas Gerais. Lojas Colombo has been acting as a banking correspondent of ours since August 2004, with more than 2 million active clients. In May 2007, our transaction with Lojas Colombo was definitively concluded upon its approval by Central Bank.

  • On May 15, 2006, we acquired 100% of the total capital stock of Bradesplan, for an acquisition cost of R$308.0 million.

  • In January 2007, we entered into an agreement with the shareholders of BMC to acquire 100% of the total capital stock of BMC, and, accordingly, its controlled companies BMC Asset Management Ltda. – Distribuidora de Títulos e Valores Mobiliários, BMC Previdência Privada S.A. and Credicerto Promotora de Vendas Ltda. BMC is one of the largest private banks in the paycheck deductible loan market for beneficiaries and pensioners of INSS, with a network of approximately 7,000 agents and 749 banking correspondents distributed throughout the country. In accordance with the terms of this agreement, we delivered in August, 2007 9,299,618 of our common shares and 9,299,514 of our preferred shares to BMC shareholders for their BMC shares, which amounted to R$790 million. This transaction was closed in August 2007, upon receipt of Central Bank approval over the transaction.

139


Table of Contents

  • In March 2008, we, through BBI, entered into an agreement with the shareholders of Ágora Corretora to acquire 100% of the total capital stock of Ágora Corretora for approximately R$830 million. Approval or the transaction by the Central Bank is still pending. Upon receipt of Central Bank approval, we will deliver to Ágora Corretora shareholders, as compensation for Ágora Corretora capital stock, shares representing 8.0% of BBI and will convert Ágora Corretora into BBI’s wholly owned subsidiary.

     We believe that the above acquisitions and related transfers of assets and liabilities led to an increase in our revenues, expenses and income. However, we do not separately account for these acquisitions, and the acquired operations have been integrated into our operations. Accordingly, we cannot quantify the financial impact of these acquisitions. Similarly, we expect that each of the acquisitions and the related transfers of assets and liabilities will increase our future revenues and expenses. The amount of such potential increases is uncertain, and we therefore cannot estimate with confidence the impact of these transactions on our future financial performance. For more information, see “Item 4. Information of the Company—History and Development of the Company—History—Recent Acquisitions.”

     With the exception of the acquisition in 2003 of BBV Banco, now Banco Alvorada, none of our acquisitions made since January 2003 has been significant as measured in accordance with U.S. GAAP.

CRITICAL ACCOUNTING POLICIES

     Our significant accounting policies are described in note 2 to our Consolidated Financial Statements. The following discussion describes the areas that require the most judgment or involve a higher degree of complexity in the application of the accounting policies that currently affect our financial condition and results of operations. The accounting estimates we make in these contexts involve making assumptions about highly uncertain matters. In each case, other estimates or changes in the estimates between periods could have had a material impact on our financial condition and results of operations, as shown in our financial statements.

Allowance for loan losses

     We periodically adjust our allowance for loan losses based on an analysis of our loan portfolio, including our estimate of the probable losses on our loan and lease portfolio at the end of each reporting period.

     The determination of the amount of the allowance for loan and leasing losses by its nature requires us to make judgments and assumptions regarding our loan portfolio, both on a portfolio and on an individual basis. When we review our portfolio as a whole, several factors can affect our estimate of the likely range of losses, including which methodology we use in measuring historical delinquency rates and what historical period we consider in making those measurements. Additional factors that can affect our determination of the allowance for loan losses include:

  • general Brazilian economic conditions and conditions in the relevant industry;

  • past experience with the relevant debtor or industry, including recent loss experience;

  • credit quality trends;

  • amounts of loan collateral;

  • the volume, composition, and growth of our loan portfolio;

140


Table of Contents

  • the Brazilian government’s monetary policy; and

  • any delays in the receipt of information needed to evaluate loans or to confirm existing credit deterioration.

     We use models to assist us in analyzing our loan portfolio and in determining what allowance for loan losses to make. Although we frequently revise and improve our models, they are by their nature dependent on our judgment and on the information and estimates that we receive. In addition, the volatility of the Brazilian economy may lead to greater uncertainty in our models than would be expected in more stable macroeconomic environments. Accordingly, our allowance for loan losses may not be indicative of future charge-offs.

     Our allowance for loan losses is based on our risk classification of each client and/or operation and on portfolio delinquency rates. Assuming a 1.0% increase in losses to our loan portfolio, as of December 31, 2007, our loan losses would increase by approximately R$50 million. This sensitivity analysis is hypothetical, and is meant to illustrate the impact that the delinquencies, and therefore the risk rating, have on the determination of an allowance for loan losses. This should not be considered as an expectation of future allowances or losses due to the risk rating and/or for changes in the amount of losses in the future. Given the procedures that we follow in order to determine the risk classification of our clients and of the credit portfolio by products, we believe that our current risk classifications and estimates of severity of losses are appropriate for our loan portfolio.

     For additional information regarding our practices related to the allowance for loan losses, see “Item 4. Information on the Company—Selected Statistical Information—Credit Operations—Non- performing loans” and “—Allowance for loan losses.”

Valuation of Derivatives and Securities

     Financial instruments reported at fair value in our financial statements consist primarily of securities classified as trading and available-for-sale and other trading assets, including derivatives. Fair value is defined as the value at which a position could be closed out or sold in a transaction with a willing and knowledgeable party.

     When quoted market prices are not available, we use models to estimate fair value. The factors used in these models include dealer quotes, pricing models, prices of instruments with similar characteristics and discounted cash flows or similar methodologies, each of which requiring significant judgment or estimate from our management. Model-based pricing also uses information on interest rates, foreign exchange rates and option volatilities when relevant and available. Quoted market price may be affected by the volume of securities traded and may not reflect control premiums in transactions for equity securities with shareholders with significant holdings. Nonetheless, we believe that quoted market prices are the best indicator of fair value.

     The determination of fair value when quoted market prices are not available involves management judgment, as models are dependent on our judgment regarding what weight to give different factors and the quality of the information we receive. For example, market data to rely upon when estimating the impact of holding a large or mature position are often limited. Similarly, we utilize our judgment in estimating prices when no external parameters exist. If we make incorrect assumptions, or the model itself makes incorrect assumptions or correlations, the amount of revenue or loss recorded for a specific asset or liability may be exaggerated. Judgment is also required to determine whether a decline in fair value below the amortized cost of an available-for-sale security or a security held to maturity is “other than temporary,” such that it requires that we write down the amortized cost basis and reflect the reduction as an expense. In evaluating whether a decline is “other than temporary,” management exercises discretion in deciding the historical period to be considered and how severe a loss may be.

141


Table of Contents

     These valuation methods could expose us to materially different results should the models used, or their underlying assumptions, be inaccurate.

Classification of Securities

     The classification of securities under trading, available-for-sale or held to maturity categories is based on management’s intention to hold or trade such securities at the time of acquisition. The accounting treatment of the securities we hold thus depends on whether we classify them at acquisition as trading, available-for-sale or held to maturity. Changes in circumstances may modify our strategy with respect to a specific security, requiring transfers among the three categories indicated above.

Income Tax

     The determination of the amount of our income tax liability is complex, and our assessment is related to our analysis of our deferred tax assets and liabilities and income tax payable. In general, our evaluation requires that we estimate future amounts of deferred tax benefits and income tax payable. Our assessment of the possibility that a deferred tax benefit could be realized is subjective and involves assessments and assumptions that are inherently uncertain in nature. The realization of deferred tax benefits is subject to changes in future tax rates and developments in our tax planning strategies. The underlying support for our assessments and assumptions could change over time as a result of unforeseen events or circumstances, affecting our determination of the amount of our tax liability.

     We constantly monitor and evaluate the impact on our liability of new tax laws as well as new developments that could affect the assessments and assumptions underlying our analysis of the possibility of realizing deferred tax benefits.

     We have applied the FASB Interpretation No. 48, or FIN 48, (Accounting for Uncertainty in Income Taxes – An Interpretation of FASB Statement of Financial Accounting Standards No. 109, or SFAS 109), which consists of a framework to determine the appropriate level of tax reserves for these uncertain tax positions. See note 16 to our consolidated financial statements.

     Significant judgment is required in determining whether it is more likely than not that an income tax position will be sustained upon examination, even after the outcome of any related administrative or judicial proceedings based on technical merits. Further judgment is then required to determine the amount of benefit eligible for recognition in our consolidated financial statements.

     In addition, we have also applied SFAS 109 to monitor the interpretation of tax laws by, and decisions of, tax authorities and Courts so that we can adjust any prior judgment of accrued income taxes. This monitoring may also result from our own income tax planning or resolution of income tax controversies, and may be material to our operating results for any given period. For additional information about FIN 48, see note 2(q) and note 16 to our consolidated financial statements.

     For additional information regarding our income tax, see “Item 4. Information on the Company—Regulation and Supervision—Taxation—Income Tax and Social Contribution on Profits.”

Insurance Reserves

142


Table of Contents

     Reserves for insurance claims and related expenses are created as they are incurred. The calculation of reserves for insurance claims and related expenses takes into account estimates for reported claims, and include provisions for claims incurred but not reported. The methods of determining these estimates and establishing the reserves are reviewed and updated regularly. Adjustments resulting thereof are recognized in earnings for the respective period. For additional information, see note 2(v) to our consolidated financial statements.

Use of Estimates

     In presenting the financial statements our management also makes estimates and assumptions relating to the calculation of insurance technical reserves, the selection of useful lives for certain assets and the determination of whether a specific asset or group of assets would be impaired. Estimates, by their nature, are based on judgment and available information. Therefore, actual results could be different from those estimates.

Commitments and Contingencies

     We have contractual obligations to make certain payments to third parties, in accordance with the amounts presented in the following table:

   Payments due as of December 31, 2007 
    
  Less than 1  1 to 3    More than   
Contractual Obligations  year (1) years  3 to 5 years  5 years  Total 
      
  (R$ in millions)
Time deposits  R$ 13,215  R$ 18,673  R$ 3,814  R$ 31  R$ 35,733 
Federal funds purchased and           
   securities sold under agreements to repurchase 49,865  15,880  3,031  239  69,015 
Long-term debt  8,395   7,525  18,263  4,732  38,915 
Other obligations (2) 61,766  23,978  995  140  86,879 
      
 
Total (3) R$ 133,241  R$ 66,056  R$ 26,103  R$ 5,142  R$ 230,542 
      
_______________
(1)
Based on our historical experience, we assume that most of our obligations that are due in less than one year will be rolled over.
(2)
Includes reserves for insurance claims, pension plans and pension investment contracts.
(3)
Excludes the liability for unrecognized tax benefits in the amount of R$2,977, for which we understand it is not reasonable to estimate the period for related future payments.

143


Table of Contents

Off-balance Sheet Financial Guarantees

     As part of our credit operations, we enter into credit-related transactions with our customers, for the purpose of attending to their financing needs. These transactions are not recorded on our balance sheet in accordance with U.S. GAAP. The following table summarizes these off-balance sheet financial arrangements as of December 31, 2007:

  Payments due as of December 31, 2007 
   
  Less than  1 to 3  3 to 5  More than   
Contract Obligations  1 year  years  years  5 years  Total 
      
  (R$ in millions)
Financial guarantees  R$ 6,664  R$ 3,838  R$ 1,712  R$ 12,082  R$ 24,296 
Letters of credit  361     361 
      
 
Total  R$ 7,025  R$ 3,838  R$ 1,712  R$ 12,082  R$ 24,657 
      

     We grant financial guarantees of our clients’ performance of obligations to third parties. We have the right to seek reimbursement from our clients for any amount we shall have to pay under such a guarantee. Additionally, we may hold cash or other highly liquid collateral for these obligations. These agreements are subject to the same credit evaluation performed on the execution of loans.

     Letters of credit are conditional commitments issued by us to guarantee the performance of a customer’s obligations to a third party. We issue commercial letters of credit to facilitate foreign trade transactions and to support public and private borrowing agreements including commercial paper, bond financing and similar transactions. These instruments are short-term commitments to pay a third-party beneficiary under certain contractual conditions. Letters of credit are subject to the same credit evaluations as other extensions of credit.

     We expect many of these guarantees to expire without the need to advance any cash. Therefore, in the ordinary course of business, we expect that these transactions will have virtually no impact on our liquidity.

Results by Segment

     We operate and manage our business through two principal operating segments: the banking segment and the insurance, pension funds and certificated savings plans segment. Our segments are managed based on types of products and services offered and their related client bases. We evaluate the performance of our segments based on net income, net interest income, and non-interest income and expense.

     The total amounts per segment shown in the tables below may not correspond to the amounts shown on a consolidated basis, as they do not take into account other activities we develop as they are immaterial, and were subject to adjustments, reclassifications and eliminations for inter-company transactions.

     In our banking segment, we offer a range of banking products and services to our customers, including deposit-taking and lending operations, credit and debit card services and capital markets services, through our broad distribution network. For a description of the banking segment’s operations, see “Item 4. Information on the Company—History and Development of the Company—Banking Activity.”

     In our insurance, pension funds and certificated savings plans segment, we offer a range of products and services to our customers, including health, life, accident, automobile and property insurance, individual and corporate pension plans, and certificated savings plans, through our broad distribution network. For a description of the operations of the insurance, pension plans and certificated savings plans segment, see “Item 4. Information on the Company—History and Development of the Company—Insurance, Pension Plans and Certificated Savings Plans.”

144


Table of Contents

Results of Operations for Year Ended December 31, 2007 compared with the Year Ended December 31, 2006

     The following tables set forth the principal components of our net income for 2007 and 2006, on a company-wide basis and by segment:

  Consolidated 
    
      Percentage
  2006 2007 change
    
  (R$ in millions, except %)
Net interest income  R$ 21,402  R$ 23,771       11.1% 
Provision for loan losses  (3,767) (4,616)      22.5 
Non-interest income  19,853  23,881       20.3 
Non-interest expense  (28,738) (31,739)      10.4 
Income before income taxes and minority interests  8,750  11,297       29.1 
Income tax and social contribution  (2,273) (3,352)      47.5 
Income before minority interest  6,477  7,945       22.7 
Minority interest  (15) (37) 146.7 
    
 
Net income  R$ 6,462  R$ 7,908       22.4% 
    

        Insurance, Pension Plans and 
  Banking  Certificated Savings Plans 
     
  2006  2007  % Change  2006  2007  % Change 
       
  (R$ in millions, except %)
Net interest income  R$ 14,750  R$ 17,188     16.5%  R$ 6,476  R$6,577  1.6% 
Provision for loan losses  (3,770) (4,617)    22.5    
Non-interest income  9,482  12,403     30.8  10,307  11,292  9.6 
Non-interest expense  (15,289) (18,270)    19.5  (13,407) (13,949) 4.0 
       
Income before income taxes             
   and minority interests  5,173  6,704     29.6  3,376  3,920  16.1 
Income tax and social             
   contribution  (1,348) (1,877)    39.2  (918) (1,287) 30.2 
       
Income before minority             
   interest  3,825  4,827     26.2  2,458  2,633  7.1 
Minority interest   (28)  (16) (19) 18.8 
       
Net income  R$ 3,826  R$ 4,799     25.4%  R$ 2,442  R$ 2,614  7.0% 
       

145


Table of Contents

Net Interest Income

     The following table shows the principal components of our net interest income before provision for loan losses for 2006 and 2007, on a company-wide basis and by segment:

              Insurance, Pension Plans and 
  Consolidated  Banking  Certificated Savings Plans 
        
                  Percentage 
  2006  2007  % Change  2006  2007  % Change  2006  2007  Change 
          
  (R$ in millions, except %)
Interest income  R$ 34,271  R$ 36,509  6.5%  R$ 27,794  R$ 29,940  7.7%  R$ 6,476  R$ 6,577       1.6% 
Interest expense  (12,869) (12,738) (1.0) (13,044) (12,752) (2.2)        - 
          
 
Net interest                   
income  R$ 21,402  R$ 23,771  11.1%  R$ 14,750  R$ 17,188  16.5%  R$ 6,476  R$ 6,577       1.6% 
          

     The following table shows, on a company-wide basis and by segment, how much of the increase in our net interest income was attributable to changes in the average volume of interest-earning assets and interest-bearing liabilities, and how much was attributable to changes in average interest rates (including the effects of the appreciation of the real) in each case for 2007 and 2006:

      Insurance, 
       Pension Plans 
      and Certificated 
   Consolidated  Banking   Savings Plans 
    
    2007/2006   
    
  Increase (decrease)
   (R$ in millions)
Due to changes in average volume of interest-earning       
assets and interest-bearing liabilities  R$ 4,529     R$ 2,617   - 
Due to changes in average interest rates  (2,160) (179) 
    
 
Net change  R$ 2,369     R$ 2,438   R$ 101 

Banking

     Our net interest income in the banking segment increased by 16.5% from R$14,750 million for 2006 to R$17,188 million for 2007. This increase was mainly due to a 28.2% increase in the average volume of interest-earning assets, which in turn was mainly due to a 19.8% increase in the average volume of loan operations, a 126.8% increase in the average volume of federal funds and securities purchased under agreements to resell and a 47.2% increase in trading securities. The increase in our net interest income in the banking segment was partially offset by a 27.3% increase in the average volume of interest-bearing liabilities, which in turn was mainly due to a 84.7% increase in federal funds purchased and securities sold under agreements to repurchase, a 18.4% increase in long-term loans, a 13.2% increase in savings deposits and a decrease in the average interest rate from 15.0% for 2006 to 11.8% for 2007, which in turn amounted to R$179 million.

     As a percentage of average interest-earning assets, our net interest income in the banking segment decreased from 10.3% for 2006 to 9.4% for 2007.

Insurance, Pension Plans and Certificated Savings Plans

     Our net interest income in the insurance, pension plans and certificated savings plans segment increased by 1.6% from R$6,476 million for 2006 to R$6,577 million for 2007. This increase was mainly due to a 20.9% increase in the average volume of interest-earning assets, which in turn was mainly due to a 60.7% increase in our average balance of available-for-sale securities and a 16.5% increase in trading securities. These increases were mainly due to an increase in funds from sales of our pension investment contracts VGBL and PGBL in 2007. The increase in our net interest income in the insurance, pension plans and certificated saving plans was partially offset by a R$1,300 million decrease, which was mainly due to a decrease in the average interest rates from 15.0% for 2006 to 11.8% for 2007.

146


Table of Contents

     As a percentage of average interest-earning assets, our net interest income in the insurance, pension plans and certificated savings plans segment decreased from 13.1% for 2006 to 11.0% for 2007.

Interest Income

     The following tables show, on a company-wide basis and by segment, the average balance of the principal components of our average interest-earning assets and the average interest rates earned in 2007 and 2006:

  Consolidated 
    
  2006  2007  % Change 
    
  (R$ in millions, except %)
Average balance of interest-earning assets:       
Loans  R$ 88,044  R$ 105,470     19.8% 
Federal funds sold and securities purchased under       
    agreements to resell  13,378  33,299  148.9 
Trading securities  41,999  52,787  25.7 
Available-for-sale securities  15,980  21,760  36.2 
Held to maturity securities  4,122  2,762  (33.0)
Interest earning deposits in other banks  11,945  7,635  (36.1)
Central Bank compulsory deposits  16,251  18,858  16.0 
Other interest-earning assets  886  716  (19.2)
    
 
Total  R$ 192,605  R$ 243,287     26.3% 
    
 
Average interest rate earned  17.8%  15.0%   

147


Table of Contents

        Insurance, Pension Plans
  Banking and Certificated Savings Plans
     
      %      % 
  2006  2007  Change  2006  2007  Change 
       
  (R$ in millions, except %)
Average balance of interest-             
   earning assets:             
Loans  R$ 88,044  R$ 105,470  19.8%     
Federal funds sold and securities             
   purchased under agreements to             
   resell  13,378  30,346  126.8   2,953  
Trading securities  12,631  18,590  47.2  R$ 29,314  34,143  16.5 
Available-for-sale securities  4,024  2,541  (36.8) 11,956  19,219  60.7 
Held to maturity securities  955  479  (49.8) 3,167  2,283  (27.9)
Interest earning deposits in other             
   banks  6,865  6,389  (6.9) 5,080  1,246  (75.5)
Central Bank compulsory deposits  16,251  18,858  16.0      
Other interest-earning assets  886  716  (19.2)     
       
 
Total  R$ 143,034  R$183,389  28.2%  R$ 49,517  59,844  20.9% 
       
 
Average interest rate           19.4%  16.3%    13.1%     11.0%   

     For further information about average interest rates by type of assets, see “Item 4. Information on the Company—Selected Statistical Information—Average Balance Sheet and Interest Rate Data.”

     The following table shows, on a company-wide basis and by segment, how much of the increase in our interest income was attributable to changes in the average volume of interest-earning assets, and how much was attributable to changes in average interest rates (including the effects of the appreciation of the real), in each case for the year 2007 as compared to the year 2006:

      Insurance, 
      Pension Plans 
      and Certificated 
  Consolidated  Banking  Savings Plans 
    
  (R$ in millions)
Increase (decrease) from 2006 to 2007:       
Due to changes in average volume of interest-earning assets  R$ 8,185  R$ 6,326  R$ 1,401 
Due to changes in average interest rates  (5,947) (4,180) (1,300)
    
 
Net change  R$ 2,238  R$ 2,146  R$ 101 
    

Banking

     Our interest income in the banking segment increased by 7.7%, from R$27,794 million for 2006 to R$29,940 million for 2007, which was mainly due to an increase in interest income from loan transactions and an increase in the average volume of federal funds sold and securities purchased under agreements to resell. The increase in our interest income in the banking segment was partially offset by a decrease in interest income from compulsory deposits with the Central Bank.

     Our interest income from loan transactions increased by 7.8% from R$20.977 million for 2006 to R$22,608 million for 2007. This increase was mainly due to a 19.8% increase in the average balance of loans from R$88,044 million for 2006 to R$105,470 million for 2007, which in turn was mainly due to an increase in personal loans, mainly in the “Automobile” and “Personal Credit” segments, as a result of our strategy to expand our loan transactions, as we take advantage of growing consumption in Brazil, and an increase in the volume of transactions with corporate clients, mainly “Foreign Transactions,” “BNDES On-lendings” and “Working Capital” products, as a reflection of the growth in Brazilian economy. The increase in our interest income from loan transactions was partially offset by a 17.1% appreciation of the real in 2007, which impacted our transactions denominated in or indexed to foreign currencies.

148


Table of Contents

     Our interest income from federal funds sold and securities purchased under agreements to resell increased by 47.1% from R$2,177 million for 2006 to R$3,202 million for 2007. This increase was mainly due to an increase in the average volume of this type of transaction from R$13,378 million for 2006 to R$30,346 million for 2007, which in turn was mainly due to an increase in the funded status.

     Our interest income from compulsory deposits with the Central Bank decreased 39.6% from R$1,998 million for 2006 to R$1,207 million for 2007. This decrease was mainly due to a decrease in the average interest rates from 15.0% for 2006 to 11.8% for 2007.

Insurance, Pension Plans and Certificated Savings Plans

     Our interest income in the insurance, pension plans and certificated savings plans segment increased by 1.6% from R$6,476 million for 2006 to R$6,577 million for 2007. This increase was mainly due to a 20.9% increase in the average volume of the interest-earning assets, which in turn was mainly due to a 60.7% increase in the average balance of our available-for-sale securities and a 16.5% increase in trading securities, which in turn was mainly due to an increase in funds from sales of our pension investment contracts VGBL and PGBL in 2007. This increase was partially offset by a decrease in the average interest rates from 15.0% for 2006 to 11.8% for 2007.

Interest Expense

     The following table shows the principal components of our average interest-bearing liabilities and the average interest rates paid on those liabilities in 2006 and 2007, all of which are in the banking segment:

  Consolidated 
    
  2006  2007  % Change 
    
  (R$ in millions, except %)
Average balance of interest-bearing liabilities:       
Savings deposits  R$ 25,590  R$ 28,958       13.2% 
Time deposits  34,461  34,388       (0.2)
Federal funds purchased and securities sold under       
   agreements to repurchase  27,821  51,384       84.7 
Short-term borrowings  5,741  6,892       20.0 
Long-term debt  27,289  32,305       18.4 
Deposits from banks  143  223       55.9 
    
 
Total  R$ 121,045  R$ 154,150       27.3% 
    
 
Average interest rate paid:  10.6%  8.3%   

149


Table of Contents

        Insurance, Pension Plans and 
  Banking   Certificated Savings Plans 
     
      %      % 
  2006  2007  Change  2006  2007  Change 
       
  (R$ in millions, except %)
Average balance of interest-bearing             
   liabilities:             
Savings deposits  R$ 25,590  R$ 28,958  13.2%    
Time deposits  34,484  34,411   (0.2)   
Federal funds purchased and securities             
   sold under agreements to repurchase  27,821  51,384 84.7      
Short-term borrowings  5,741  6,892  20.0    
Long-term debt  27,289  32,305  18.4    
Deposits from financial institutions  143  223  55.9    
       
 
Total  R$ 121,068   R$154,173  27.3%  -  -  - 
      
 
Average interest rate paid  10.8%  8.3%    -  -   

     For further information on average interest rates by type of liability, see “Item 4. Information on the Company—Selected Statistical Information—Average Balance Sheet and Interest Rate Data.”

     The following table shows, on a company-wide basis and by segment, how much of the increase in our interest expense was attributable to changes in the average volume of interest-bearing liabilities and how much was attributable to changes in average interest rates (including the effects of the appreciation of the real), in each case, for 2007 as compared to 2006:

      Insurance, 
      Pension Plans 
      and Certificated 
  Consolidated       Banking  Savings Plans 
    
  (R$ in millions)
Increase(decrease) from 2006 to 2007:       
Due to changes in average volume of       
   interest-bearing liabilities   R$ 3,656       R$ 3,709  
Due to changes in average interest rates  (3,787) (4,001) 
    
 
Net change   R$ (131)      R$ (292) - 
    

Banking

     Our interest expense in the banking segment decreased by 2.2%, from R$13,044 million for 2006 to R$12,752 million for 2007. This decrease was mainly due to a decrease in the average interest rates from 15.0% for 2006 to 11.8% for 2007, and an increase in our exchange losses from 8.7% for 2006 to 17.2% for 2007, which affected transactions denominated in, or indexed to, foreign currency. This decrease was partially offset by a 84.7% increase in the average balance of our funding transactions in the open market from R$27,821million for 2006 to R$51,384 million for 2007 and a 13.2% increase in the average balance of savings deposits from R$25,590 million for 2006 to R$28,958 million for 2007.

150


Table of Contents

Provision for Loan Losses

     The following table shows changes in our allowance for loan losses, provision for loan losses, loan charge-offs and loan recoveries for the years ended 2007 and 2006, as well as our provisions-to-loans ratio (provisions as a percentage of the average balance of our loans):

  2006  2007  % Change 
    
  (R$ in millions, except %)
Allowance for loan losses at the beginning of the year  R$ 4,964  R$ 6,552     32.0% 
Provisions for loan losses  3,767  4,616     22.5 
Loan charge-offs  (2,816) (4,281)    52.0 
Loan recoveries  637  882     38.5 
    
Allowance for loan losses at the end of the year  R$ 6,552  R$ 7,769     18.6% 
    
Ratio of provision for loan losses to average loans       
outstanding  4.3%  4.4%   

     Our provision for loan losses increased by 18.6%, from R$6,552 million for 2006 to R$7,769 million for 2007. This increase was mainly due to a 19.8% increase in our average balance of outstanding loans.

     The year of 2007 was characterized by the continuing favorable period in the Brazilian economy, which had begun in 2004. The favorable macroeconomic and credit scenarios, increase in the minimum salary, decrease in the average interest rates and extension of loans and financing terms had positive effects in the volume of our credit portfolio.

     The Brazilian economy performed well during 2007, largely due to the implementation of fiscal and monetary austerity policies by the Federal Government in the past years. Our level of annual loan losses, calculated as the value of loan charge-offs as a percentage of the total average balance of outstanding loans, increased from 3.2% in 2006 to 4.1% in 2007. Recoveries of non-performing loans increased by 38.5% as compared to 2006, and loan charge-offs increased by 52.0% in 2007. Overall, during 2007 the provision for loan losses increased by 22.5% as compared to 2006, in line with the increase in the portfolio and the change in our portfolio mix, due to an increase in our individual client and retail segments, which is characterized by the need of a higher level of provisions as compared to the corporate segment.

     Our levels of provision for loan losses decreased as a percentage of our credit transactions from 6.6% in 2006 to 5.8% in 2007.

     Our clients’ ability to perform their obligations in light of the continuation of the positive Brazilian economy scenario, as well as our own increased selectivity in granting loans, is reflected in improvements in the risk classifications of our loan portfolio. The percentage of loans that we classify in the four lowest risk classifications, none of them considered as being of “abnormal course,” was 94.0% on December 31, 2007, an increase as compared to the 93.1% percentage recorded on December 31, 2006. The percentage of loans that we classify in the two lowest risk classifications represented 66.4% of the total at year-end 2007 and 67.8% at year-end 2006.

     We believe that our current allowance for loan losses is sufficient to cover probable losses associated to our portfolio. For more information, see “Item 4. Information on the Company—Selected Statistical Information—Credit Operations—Charge-offs” and “—Non-performing Loans and Allowance for Loan Losses.”

151


Table of Contents

     We believe that the amount of, and changes in, our allowance for loan losses, viewed as a percentage of the total portfolio, are consistent with our historical experience with delinquency ratios, charge-offs and net losses.

     In 2006 and 2007, our loan portfolio growth strategy focused on extending personal loans, mainly automobile financing and personal financing to individuals, because such loans historically have had a better rate of return than loans to companies, although such loans do have higher average rates of default. Our strategy is reflected in the growth of our “financings” account, which includes loans only to individuals, which increased by 37.4% in 2007, and, as a percentage of our total credit portfolio, increased from 30.4% in 2006 to 31.0% in 2007.

     The expansion of loans to individuals was due mainly to our strategy of increasing our presence in the retail market, through our efforts to estimate the organic growth of our portfolio.

     Shifts in the quality of our loan portfolio played a more significant role in determining our allocation of allowances for loan losses than any criteria change or trend in non-performing loans.

     Among our commercial loans, the ones that presented a better performance in 2007 were those that were oriented towards foreign trade, mainly export transactions and transactions entered into by our branches and offices abroad. In the corporate segment, loans classified as “industrial and other loans” increased by 35.2%, but such loans as a percentage of our loan portfolio remained practically stable in 34.3% from 34.2% in 2006. This decrease was mainly due to an increase in the corporate loans, which was mainly due to the stability of Brazilian economy.

     For a description of the Central Bank’s regulation of lending operations, see “Item 4. Information on the Company—Regulation and Supervision—Treatment of Overdue Debts” and note 2(j) to our consolidated financial statements in Item 18.

Non-interest Income

     The following tables show, on a company-wide basis and by segment, the principal components of our non-interest income for 2006 and 2007.

  Consolidated 
    
  2006  2007  % Change 
    
  (R$ in millions, except %)
Fee and commission income  R$ 6,379  R$ 7,819       22.6% 
Net trading gains  2,360  3,694       56.5 
Net realized gains on available-for-sale securities  1,157  1,456       25.8 
Equity in the earnings of unconsolidated companies  224  407       81.7 
Insurance premiums  8,121  8,843  8.9 
Pension plan income  791  555  (29.8)
Other non-interest income  821  1,107       34.8 
    
 
Total  R$19,853  R$ 23,881       20.3% 
    

152


Table of Contents

        Insurance, Pension Plans and 
  Banking  Certificated Savings Plans 
     
  2006  2007  % Change       2006  2007  % Change 
       
  (R$ in millions, except %)
Fee and commission income  R$ 5,750  R$ 6,994       21.6%  R$ 552  R$ 712  29.0% 
Net trading gains (losses) 2,348  3,585  52.7  12  60  400.0 
Net realized gains on available-             
   for-sale securities  520  425  (18.3) 627  1,016  62.0 
Equity in earnings of             
   unconsolidated companies  157  451  187.3  64  (39) (160.9)
Insurance premiums     8,121  8,843  8.9 
Pension plan income     791  555  (29.8)
Other non-interest income  707  948  34.1  140  145  3.6 
       
 
Total  R$ 9,482  R$ 12,403       30.8%  R$ 10,307   R$ 11,292  9.6% 
      

Banking

     Non-interest income in the banking segment increased by 30.8%, from R$9,482 million for 2006 to R$12,403 million for 2007. This increase was mainly due to an increase in our fee and commission income and an increase in our trading gains.

     Our fee and commission income increased by 21.6%, from R$5,750 million for 2006 to R$6,994 million for 2007. This increase was mainly due to an increase in the average volume of transactions and growth in our client portfolio, mainly in our credit card segment.

     Our net realized gains increased by 52.7% from R$2,348 million for 2006 to R$3,585 million for 2007. This increase was mainly due to the better results we obtained in our treasury and securities trading transactions.

Insurance, Pension Plans and Certificated Savings Plans

     Non-interest income in the insurance, pension plans and certificated savings plans segment increased by 9.6% from R$10,307 million for 2006 to R$11,292 million for 2007. This increase was mainly due to an increase in income from insurance premiums and trading gains.

     Our income from insurance premiums increased by 8.9% from R$8,121 million for 2006 to R$8,843 million for 2007. This increase was mainly due to an increase in the volume of automobile, life and health insurance products sold.

     Our net realized gains from available for sale securities increased by 62.0% from R$627 million for 2006 to R$1,016 million for 2007. This increase was mainly due to the better results we obtained in our treasury and securities trading transactions.

153


Table of Contents

Non-interest Expense

     The following tables show, on a company-wide and per segment basis, the principal components of our non-interest expense for 2006 and 2007:

  Consolidated 
    
  2006  2007  % Change 
    
  (R$ in millions, except %)
Salaries and benefits  R$ (6,087) R$ (6,769)  11.2% 
Administrative expenses  (5,223) (6,236)  19.4 
Amortization of intangible assets  (430) (620)  44.2 
Insurance claims  (6,124) (6,012)    (1.8)
Changes in provisions for insurance, pension plans, certificated       
   savings plans and pension investment contracts  (4,199) (4,981)  18.6 
Pension plan operating expenses  (560) (478) (14.6)
Insurance and pension plan selling expenses  (852) (1,157)  35.8 
Depreciation and amortization  (534) (746)  39.7 
Other non-interest expense  (4,729) (4,740) 2.3 
    
 
Total  R$ (28,738) R$ (31,739)  10.4% 
    

        Insurance, Pension Plans and
  Banking Certificated Savings Plans
     
      %      % 
  2006  2007  Change  2006  2007  Change 
       
  (R$ in millions, except %)
Salaries and benefits  R$ (5,533) R$ (6,094)  10.1%  R$ (504) R$ (510)  1.2% 
Administrative expenses  (4,933) (5,856) 18.7  (499) (585) 17.2 
Amortization of intangible assets  (339) (616) 81.7  (4) (4) 
Insurance claims     (6,125) (6,013)  (1.8)
Changes in provisions for insurance,             
   pension plans, certificated savings             
   plans and pension investment             
   contracts     (4,199) (4,981) 18.6 
Pension plan operating expenses     (560) (478) (14.6)
Insurance and pension plan selling             
expenses     (860) (1,157) 34.5 
Depreciation and amortization  (483) (694) 43.7  (48) (49) 2.1 
Other non-interest expense  (4,001) (5,010) 25.2  (608) (172) (71.7)
       
 
             
Total  R$ (15,289) R$(18,270)  19.5%  R$(13,407) R$(13,949)    4.0% 
       

Banking

     Non-interest expense in the banking segment increased by 19.5% in 2007, increasing from R$15,289 million in 2006 to R$18,270 million in 2007. This increase was mainly due to increases in salaries and benefits and administrative expenses.

     Expenses from salaries and benefits increased by 10.1% from R$5,533 million for 2006 to R$6,094 million for 2007, which was mainly due to the effects from negotiations with labor unions and resulted in increases in employees’ benefits and in expenses associated with our employee profit sharing program.

154


Table of Contents

     Administrative expenses increased by 18.7% from R$4,933 million for 2006 to R$5,856 million for 2007, which was mainly due to higher costs for services from third parties, which in turn was mainly due to an increase in the volume of our banking business and an increase in investments to improve our technology systems.

Insurance, Pension Plans and Certificated Savings Plans

     Non-interest expense in the insurance, pension plans and certificated savings plans segment increased by 4.0% from R$13,407 million for 2006 to R$13,949 million for 2007. This increase was mainly due to an increase in selling expenses regarding insurance and pension plans, and an increase in expenses regarding allowances for insurance, certificated savings plans and pension plans. Selling expenses regarding insurance and pension plans increased by 34.5% from R$860 million for 2006 to R$1,157 million for 2007, which was mainly due to an increase in the sale of traditional pension products. Expenses regarding allowances for insurance, pension plans and certificated savings plans increased by 18.6% from R$4,199 million for 2006 to R$4,981 million for 2007, which was mainly due to increases in the volume of sales of insurance, pension plans and certificated savings products.

Income Tax

     Income tax in Brazil is comprised of federal income taxes and the social contribution tax on adjusted income. See “—Taxes.” The combined rate of these two taxes has been 34.0% since February 2000.

     Expenses with income tax increased by 47.5% from R$2,273 million for 2006 to R$3,352 million for 2007.

     As a percentage of our income before income taxes, adjusted for nontaxable income of unconsolidated companies, expenses with income tax increased from 26.7% for 2006 to 30.8% for 2007.

Net Income

     As a result of the foregoing, our net income increased by 22.4% from R$6,462 million for 2006 to R$7,908 million for 2007.

155


Table of Contents

Results of Operations for Year Ended December 31, 2006 Compared with the Year Ended December 31, 2005

     The following tables set forth the principal components of our net income for 2006 and 2005, on a company-wide basis and by segment:

  Consolidated 
    
  2005   2006  % change 
    
  (R$ in millions, except %)
Net interest income  R$ 18,485   R$ 21,402       15.7% 
Provision for loan losses  (1,823)  (3,767) 106.6 
Non-interest income  17,540  19,853  13.2 
Non-interest expense  (25,450) (28,738) 12.9 
    
Income before income taxes and minority interests  8,752  8,750  
Income tax and social contribution  (2,431)  (2,273) (6.5)
Income before minority interest  6,321  6,477  2.5 
Minority interest  (11) (15) 36.4 
    
Net income  R$ 6,310   R$ 6,462  2.4% 
    

        Insurance, Pension Plans and 
  Banking  Certificated Savings Plans 
     
       2005       2006  % Change       2005  2006  % Change 
       
  (R$ in millions, except %)
Net interest income  R$ 12,511  R$ 14,750   17.9%  R$ 5,938  R$ 6,476  9.1% 
Provision for loan losses  (1,823) (3,770) 106.8    
Non-interest income  8,161  9,482   16.2  9,374  10,307  10.0 
Non-interest expense  (13,021) (15,289)  17.9  (12,428) (13,407) 7.9 
       
Income before income taxes             
    and minority interests  5,828  5,173  (11.2) 2,884  3,376  17.1 
Income tax and social             
contribution  (1,570) (1,348) (14.1) (858) (918) 7.0 
       
Income before minority interest  4,258  3,825  (10.2) 2,026  2,458  21.3 
Minority interest  (2)   (9) (16) 77.8 
       
Net income  R$ 4,256  R$ 3,826  (10.1)%  R$ 2,017  R$ 2,442  21.1% 
       

Net Interest Income

     The following table shows the principal components of our net interest income before provision for loan losses for 2005 and 2006, on a company-wide basis and by segment:

              Insurance, Pension Plans and 
  Consolidated  Banking  Certificated Savings Plans 
        
  2005 2006 % Change 2005 2006 % Change 2005  2006  % Change 
          
  (R$ in millions, except %)
Interest income  R$ 30,926  R$ 34,271  10.8%  R$ 24,953  R$ 27,794  11.4%  R$ 5,938  R$ 6,476       9.1% 
Interest expense  (12,441) (12,869) 3.4  (12,442) (13,044) 4.8         - 
          
Net interest income R$ 18,485  R$ 21,402  15.8%  R$ 12,511  R$ 14,750  17.9%  R$ 5,938  R$ 6,476       9.1% 
          

     The following table shows, on a company-wide basis and by segment, how much of the increase in our net interest income was attributable to changes in the average volume of interest-earning assets and interest-bearing liabilities, and how much was attributable to changes in average interest rates (including the effects of the appreciation of the real) in each case for the year 2006 as compared to the year 2005:

156


Table of Contents

      Insurance, 
      Pension Plans 
      and Certificated 
  Consolidated  Banking  Savings Plans 
    
  2006/2005 
    
  Increase (decrease)
  (R$ in millions)
Due to changes in average volume of interest-earning assets       
   and interest-bearing liabilities  R$ 3,500  R$ 2,297  R$ 1,135 
Due to changes in average interest rates  (583) (58) (597)
    
 
Net change  R$ 2,917  R$ 2,239  R$ 538 
    

Banking

     Our net interest income in the banking segment increased by 17.9%, increasing from R$12,511 million for 2005 to R$14,750 million for 2006. This increase was mainly due to a 17.6% increase in the average volume of interest-earning assets, which in turn was mainly due to a 25.8% increase in the average volume of loan operations, and a 30.3% increase in trading securities. The increase in our net interest income in the banking segment was partially offset by a 16.7% increase in the average volume of interest-bearing liabilities, which in turn was mainly due to a 39.4% increase in federal funds purchased and securities sold under agreements to repurchase, a 31.4% increase in long-term loans, 11.1% increase in time deposits and a decrease in the average interest rates from 19.0% for 2005 to 15.0% for 2006.

     As a percentage of average interest-earning assets, our net interest income in the banking segment was 10.3% in 2005 and 2006.

Insurance, Pension Plans and Certificated Savings Plans

     Our net interest income in the insurance, pension plans and certificated savings plans segments increased by 9.1% from R$5,938 million for 2005 to R$6,476 million for 2006. This increase was mainly due to a 25.8% increase in the average volume of interest-earning assets, which in turn was mainly due to a 100.6% increase in our average balance of available-for-sale securities and a 76.4% increase in the interest-bearing deposits in other banks. These increases were mainly due to an increase in funds from sales of our pension investment contracts VGBL and PGBL. The increase in our net interest income in the insurance, pension plans and certificated saving plans was partially offset by a decrease in the average interest rates from 19.0% in 2005 to 15.0% in 2006.

     As a percentage of average interest-earning assets, our net interest income in the insurance, pension plans and certificated savings plans segment decreased from 15.1% for 2005 to 13.1% for 2006.

157


Table of Contents

Interest Income

     The following tables show, on a company-wide basis and by segment, the average balance of the principal components of our average interest-earning assets and the average interest rates earned in 2005 and 2006:

  Consolidated 
    
  2005  2006  % Change 
    
  (R$ in millions, except %)
Average balance of interest-earning assets:       
Loans  R$ 69,988  R$ 88,044     25.8% 
Federal funds sold and securities purchased under agreements       
to resell  12,858  13,378  4.0 
Trading securities  37,878  41,999  10.9 
Available-for-sale securities  9,640  15,980  65.8 
Held to maturity securities  4,235  4,122       (2.7)
Interest earning deposits in other banks  9,610  11,945  24.3 
Compulsory deposits with Central Bank  15,151  16,251  7.3 
Other interest-earning assets  811  886  9.2 
    
 
Total  R$ 160,171  R$ 192,605     20.2% 
    
 
Average interest rate earned  19.3%  17.8%   

        Insurance, Pension Plans and 
  Banking  Certificated Savings Plans 
     
  2005   2006  % Change   2005  2006  % Change 
       
  (R$ in millions, except %)
Average balance of interest-             
 earning assets:             
Loans  R$ 69,988  R$ 88,044  25.8%    
Federal funds sold and securities purchased under            
 agreements to resell  14,463  13,378  (7.5)           - 
Trading securities  9,697  12,631  30.3  R$ 27,361  R$ 29,314          7.1% 
Available-for-sale securities  3,679  4,024  9.4  5,961  11,956  100.6 
Held to maturity securities  1,076  955  (11.2) 3,159  3,167            0.3 
Interest earning deposits in             
 other banks  6,731  6,865  2.0  2,880  5,080  76.4 
Central Bank compulsory             
 deposits  15,151  16,251  7.3    
Other interest-earning assets  811  886  9.2    
       
 
Total  R$ 121,596  R$ 143,034          17.6%  R$ 39,361  R$ 49,517  25.8% 
       
 
Average interest rate  20.5%            19.4%    15.1%  13.1%   

     For further information about average interest rates by type of assets, see “Item 4. Information on the Company—Selected Statistical Information—Average Balance Sheet and Interest Rate Data.”

     The following table shows, on a company-wide basis and by segment, how much of the increase in our interest income was attributable to changes in the average volume of interest-earning assets, and how much was attributable to changes in average interest rates (including the effects of the appreciation of the real), in each case for the year 2006 as compared to the year 2005:

158


Table of Contents

      Insurance, 
      Pension Plans 
      and Certificated 
  Consolidated  Banking Savings Plans 
    
  2006/2005
    
  Increase (decrease)
  (R$ in millions)
Due to changes in average volume of interest-earning assets  R$ 6,379  R$ 4,968  R$ 1,135 
Due to changes in average interest rates  (3,034) (2,127) (597)
    
 
Net change  R$ 3,345          R$ 2,841  R$ 538 
    

Banking

     Our interest income in the banking segment increased by 11.4%, increasing from R$24,953 million for 2005 to R$27,794 million for 2006. This increase was mainly due to an increase in interest income from loan transactions, and was partially offset by a decrease in interest income from trading securities and a decrease in interest income from available-for-sale securities.

     Our interest income from loan transactions increased by 24.5%, increasing from R$16,855 million for 2005 to R$20,977 million for 2006. This increase was mainly due to a 25.8% increase in the average balance of loans from R$69,988 million for 2005 to R$88,044 million for 2006, which in turn was mainly due to an increase in personal loans, mainly in the “Automobile” and “Personal Credit” areas, and an increase in operations with corporate clients, mainly the “Foreign Transactions,” “BNDES On-lendings” and “Working Capital” products, as a reflection of stability of Brazilian economy. The increase our interest income from loan transactions was partially offset by the 8.7% appreciation of the real in 2006, which impacted our transactions denominated in or indexed to foreign currencies.

     Our interest income from trading securities decreased by 41.4% from R$2,435 million for 2005 to R$1,428 million for 2006 and our interest income from available-for-sale securities decreased by 29.4% from R$974 million for 2005 to R$688 million for 2006. These decreases were mainly due to a decrease in the average interest rates from 19% in 2005 to 15.0% in 2006.

Insurance, Pension Plans and Certificated Savings Plans

     Our interest income in the insurance, pension plans and certificated savings plans segment increased by 9.1% from R$5,938 million for 2005 to R$6,476 million for 2006. This increase was mainly due to a 25.8% increase in the average volume of the interest-earning assets, which in turn was mainly due to a 100.6% increase in the average balance of our available-for-sale securities and a 76.4% increase in interest-bearing deposits in other banks, which in turn was mainly due to an increase in funds from sales of our pension investment contracts VGBL and PGBL in 2006.

159


Table of Contents

Interest Expense

     The following table shows the principal components of our average interest-bearing liabilities and the average interest rates paid on those liabilities in 2005 and 2006, all of which are in the banking segment:

  Consolidated 
    
   2005  2006  % Change 
    
  (R$ in millions, except %)
Average balance of interest-bearing liabilities:       
Savings deposits  R$ 24,728  R$ 25,590  3.5% 
Time deposits  31,002  34,461  11.2 
Federal funds purchased and securities sold under       
    agreements to repurchase  19,139  27,821  45.4 
Short-term borrowings  7,164  5,741  (19.9)
Long-term debt  20,764  27,289  31.4 
Deposits from banks  116  143  23.3 
    
 
Total  R$ 102,913  R$ 121,045      17.6% 
    
 
Average interest rate paid:  12.1%  10.6%   

        Insurance, Pension Plans and
     Banking   Certificated Savings Plans
     
  2005 2006  % Change  2005 2006 % Change
       
  (R$ in millions, except %)
Average balance of interest-             
   bearing liabilities:             
Savings deposits  R$ 24,728  R$ 25,590  3.5%          -   
Time deposits  31,039  34,484        11.1          -   
Federal funds purchased and securities sold under            
   agreements to repurchase  19,957  27,821        39.4          -   
Short-term borrowings  7,164  5,741  (19.9)         -   
Long-term debt  20,764  27,289        31.4          -   
Deposits from financial             
institutions  116  143        23.3          -   
       
 
Total  R$ 103,768  R$ 121,068        16.7%          -  -  - 
       
 
Average interest rate paid  12.0%  10.8%  -          -  -   

     For further information on average interest rates by type of liability, see “Item 4. Information on the Company—Selected Statistical Information—Average Balance Sheet and Interest Rate Data.”

160


Table of Contents

     The following table shows, on a company-wide basis and by segment, how much of the increase in our interest expense was attributable to changes in the average volume of interest-bearing liabilities and how much was attributable to changes in average interest rates (including the effects of the appreciation of the real), in each case, for 2006 as compared to 2005:

      Insurance, 
      Pension Plans 
      and Certificated 
  Consolidated  Banking  Savings Plans 
    
  2006/2005 
  Increase(decrease)
  (R$ in millions)
Due to changes in average volume of interest-bearing       
liabilities  R$ 2,879  R$ 2,671  
Due to changes in average interest rates  (2,451) (2,069) 
    
 
 
Net change  R$ 428  R$ 602  
    

Banking

     Our interest expense in the banking segment increased by 4.8%, from R$12,442 million for 2005 to R$13,044 million for 2006. This increase was mainly due to a 55.0% increase in our interest expenses on long-term loans from R$1,822 million for 2005 to R$2,824 million for 2006, which in turn was mainly due to a 31.4% increase in the average balance of our long-term loans from R$20,764 million for 2005 to R$27,289 million for 2006, which in turn was mainly due to an increase in our issuance of subordinated debt. The increase in our interest expense in the banking segment was partially offset by a decrease in average interest rates from 19.0% for 2005 to 15.0% for 2006.

Provision for Loan Losses

     The following table shows changes in our allowance for loan losses, provision for loan losses, loan charge-offs and loan recoveries for the years ended 2005 and 2006, as well as our provisions-to-loans ratio (provisions as a percentage of the average balance of our loans):

      2005  2006  % Change 
    
  (R$ in millions, except %)
Allowance for loan losses at the beginning of the year  R$ 4,063  R$ 4,964        22.2% 
Provisions for loan losses  1,823  3,767  106.6 
Loan charge-offs  (1,603) (2,816)       75.7 
Loan recoveries  681  637          (6.5)
    
Allowance for loan losses at the end of the year  R$ 4,964  R$ 6,552        32.0% 
    
Ratio of provision for loan losses to average loans outstanding  2.5%  4.2%   

     Our provision for loan losses increased by 32.0%, from R$4,964 million for 2005 to R$6,552 million for 2006. This increase was mainly due to a 25.8% increase in our average balance of outstanding loans.

     The year of 2006 was characterized by the continuing favorable period in the Brazilian economy, which had begun in 2004. This had a positive effect in the volume of our credit portfolio.

     The Brazilian economy performed well during 2006, largely due to the implementation of fiscal and monetary austerity policies by the Federal Government in the past years. Our level of annual loan losses, calculated as the value of loan charge-offs as a percentage of the total average balance of outstanding loans, increased from 2.2% in 2005 to 3.2% in 2006. Recoveries of non-performing loans decreased by 6.5% as compared to 2005, and loan charge-offs increased by 75.7% in 2006. Overall, during 2006 the provision for loan losses increased by 106.6% as compared to 2005, in line with the increase in the portfolio and the change in our portfolio mix, due to an increase in our individual client segment, which is characterized by the need of a higher level of provisions as compared to the corporate segment. This is evidenced by the increase in the levels of our provision for loan losses from 6.0% in 2005 to 6.6% in 2006, in terms of our credit portfolio.

161


Table of Contents

     Our clients’ ability to perform their obligations in light of the continuation of the positive Brazilian economy scenario, as well as our own increased selectivity in granting loans, is reflected in improvements in the risk classifications of our loan portfolio. The percentage of loans that we classify in the four lowest risk classifications, none of them considered as being of “abnormal course,” was 93.1% on December 31, 2006, practically stable in relation to the 93.9% percentage recorded on December 31, 2005. The percentage of loans that we classify in the two lowest risk classifications represented 69.6% of the total at year-end 2005 and 67.8% at year-end 2006.

     We believe that our current allowance for loan losses is sufficient to cover probable losses associated to our portfolio. For more information, see “Item 4. Information on the Company—Selected Statistical Information—Credit Operations—Charge-offs” and “—Non-performing Loans and Allowance for Loan Losses.”

     We believe that the amount of, and changes in, our allowance for loan losses, viewed as a percentage of the total portfolio, are consistent with our historical experience with delinquency ratios, charge-offs and net losses.

     In 2006, our loan portfolio growth strategy focused on extending personal loans, mainly automobile financing and personal financing to individuals, because such loans historically have had a better rate of return than loans to companies, although such loans do have higher average rates of default. Our strategy is reflected in the growth of our “financings” account, which includes loans only to individuals, which increased by 16.4% in 2006, although its percentage of our total credit portfolio has decreased from 31.8% in 2005 to 31.2% in 2006.

     The expansion of loans to individuals was due mainly to our strategy of increasing our presence in the retail market, through our efforts to estimate the organic growth of our portfolio.

     Shifts in the quality of our loan portfolio played a more significant role in determining our allocation of allowances for loan losses than any criteria change or trend in non-performing loans.

     Among our commercial loans, the ones that presented a better performance in 2006 were those that were oriented towards foreign trade, mainly export transactions and transactions entered into by our branches and offices abroad. In the corporate segment, loans classified as “industrial and other loans” increased by 14.6%, but such loans as a percentage of our loan portfolio decreased to 34.2% from 35.4% in 2005. This decrease was mainly due to a decrease in corporate loans, as a result of a demand decrease due to the enhancement of cheaper funding alternatives available in the market.

     For a description of the Central Bank’s regulation of lending operations, see “Item 4. Information on the Company—Regulation and Supervision—Treatment of Overdue Debts” and note 2(j) to our consolidated financial statements in Item 18.

162


Table of Contents

Non-interest Income

     The following tables show, on a company-wide basis and by segment, the principal components of our non-interest income for 2005 and 2006.

  Consolidated 
  
  2005  2006  % Change 
    
  (R$ in millions, except %)
Fee and commission income  R$5,121  R$6,379  24.6% 
Net trading gains  2,428  2,360  (2.8)
Net realized gains on available-for-sale securities  747  1,157  54.9 
Equity in the earnings of unconsolidated companies  186  224  20.4 
Insurance premiums  7,805  8,121  4.0 
Pension plan income  377  791  109.8 
Other non-interest income  876  821   (6.3)
    
 
Total  R$17,540  R$19,853  13.2 
    

        Insurance, Pension Plans and 
  Banking  Certificated Savings Plans 
   
  2005  2006  % Change  2005  2006  % Change 
       
  (R$ in millions, except %)
Fee and commission income  R$4,671  R$5,750   23.1%  R$416  R$552   32.7% 
Net trading gains (losses) 2,392  2,348   (1.8) 36  12   (66.7)
Net realized gains on available- for-sale securities  428  520   21.5  318  627  97.2 
Equity in earnings of unconsolidated companies  169  157  7.1  17  64   276.5 
Insurance premiums       7,805  8,121  4.0 
Pension plan income       377  791   109.8 
Other non-interest income  501  707   41.1  405  140   (65.4)
       
 
Total  R$8,161  R$9,482  16.2  R$9,374  R$10,307  10.0% 
       

Banking

     Non-interest income in the banking segment increased by 16.2% from R$8,161 million for 2005 to R$9,482 million for 2006. This increase was mainly due to an increase in fee and commission income.

     Fee and commission income increased by 23.1% from R$4,671 million for 2005 to R$5.750 million for 2006, which was mainly due to an increase in the average volume of transactions and growth in our client portfolio.

Insurance, Pension Plans and Certificated Savings Plans

     Non-interest income in the insurance, pension plans and certificated savings plans segment increased by 10.0% from R$9,374 million for 2005 to R$10,307 million for 2006. This increase was mainly due to an increase in income from insurance premiums and pension plans.

     Income from insurance premiums increased by 4.0% from R$7,805 million for 2005 to R$8,121 million for 2006, which was mainly due to an increase in the volume of automobile, life and health insurance products sold. Income from pension plans increased by 109.8% from R$377 million for 2005 to R$791 million for 2006, which was mainly due to an increase in the volume of sales.

163


Table of Contents

Non-interest Expense

     The following tables show, on a company-wide and per segment basis, the principal components of our non-interest expense for 2005 and 2006:

  Consolidated 
  
  2005  2006  % Change 
    
  (R$ in millions, except %)
Salaries and benefits  R$(5,198) R$(6,087)           17.1% 
Administrative expenses  (4,447) (5,223) 17.4 
Amortization of intangible assets  (353) (430) 21.8 
Insurance claims  (5,501) (6,124) (11.3)
Changes in provisions for insurance, pension plans, certificated savings plans and pension investment contracts  (3,939) (4,199) 6.6 
Pension plan operating expenses  (505) (560) 10.9 
Insurance and pension plan selling expenses  (1,041) (852) (18.2)
Depreciation and amortization  (712) (534) (25.0)
Other non-interest expense  (3,754) (4,729) 26.0 
    
 
Total  R$(25,450) R$(28,738) 12.9% 
    

        Insurance, Pension Plans and 
  Banking  Certificated Savings Plans 
   
            2005  2006   % Change  2005  2006  % Change 
       
  (R$ in millions, except %)
Salaries and benefits  R$(4,812) R$(5,533) 15.0%  R$(359) R$(504)   40.4% 
Administrative expenses  (4,152) (4,933) 18.8  (464) (499) 7.5 
Amortization of intangible assets  (348) (426) 22.4  (5) (4) (20.0)
Insurance claims  –  –    –  (5,501) (6,125) 11.3 
Changes in provisions for insurance, pension plans, certificated savings plans and pension investment contracts  –  –    –  (3,939) (4,199) 6.6 
Pension plan operating expenses  –  –    –  (505) (560) 10.9 
Insurance and pension plan selling expenses  –  –    –  (1,055) (860) (18.5)
Depreciation and amortization  (630) (483) (23.3) (80) (48) (40.0)
Other non–interest expense  (3,079) (3,914) 27.1  (520) (608) 16.9 
       
 
 
Total  R$(13,021) R$(15,289) 17.4%  R$(12,428) R$(13,407) 7.9% 
       

164


Table of Contents

Banking

     Non-interest expense in the banking segment increased by 17.4%, from R$13,021 million for 2005 to R$15,289 million for 2006. This increase was mainly due to increases in salaries and benefits and administrative expenses.

     Expenses from salaries and benefits increased by 15.0% from R$4,812 million for 2005 to R$5,533 million for 2006, which in turn was due to the effects of negotiations with labor unions and resulted in increases in employees’ benefits and expenses associated with our employee profit sharing program.

     Administrative expenses increased by 18.8% from R$4,152million for 2005 to R$4,933 million for 2006, which was mainly due to higher costs for services from third parties, which was mainly due to an increase in the volume of our banking business and an increase in investments to improve our technology systems.

Insurance, Pension Plans and Certificated Savings Plans

     Non-interest expense in the insurance, pension plans and certificated savings plans segment increased by 7.9% from R$12,428 million for 2005 to R$13,407 million for 2006. This increase was mainly due to an increase in insurance claims and provisions for claims incurred but not reported and an increase in expenses for allowances for insurance, certificated savings plans and pension plans. Expenses with insurance claims increased by 11.3% from R$5,501 million for 2005 to R$6,125million for 2006, which was mainly due to an increase in payments of claims under automobile, life and health insurance policies. Expenses with allowances for insurance, pension plans and certificated savings plans increased by 6.6% from R$3,939 million for 2005 to R$4,199 million for 2006, which was mainly due to increases in the volume of sales of insurance, pension plans and certificated savings products.

Income Tax

     Income tax in Brazil is comprised of federal income taxes and the social contribution tax on adjusted income. See “—Taxes.” The combined rate of these two taxes has been 34.0% since February 2000.

     Income tax expense decreased by 6.5%, from R$2,431 million for 2005 to R$2,273 million for 2006. As a percentage of our income before income taxes, adjusted for nontaxable income of unconsolidated companies, income tax expense decreased from 28.4% for 2005 to 26.7% for 2006.

Net Income

     As a result of the foregoing, our net income increased by 2.4% from R$6,310 million for 2005 to R$6,462 million for 2006.

Asset and Liability Management

     Our general policy on asset and liability management is to:

  • manage interest rate, liquidity, foreign exchange and maturity risks in order to maximize our net income from financial operations and our return on assets and equity, in light of our internal risk management policies; and maintain adequate levels of liquidity and capital.

165


Table of Contents

     As part of our asset and liability management we seek to avoid material mismatches between assets and liabilities by matching, to the extent possible, the maturity, currency and interest rate structure of the loans we extend to the terms of the transactions under which we fund such loans. Subject to our policy constraints, from time to time we take mismatched positions as to interest rates, maturities and, in more limited circumstances, foreign currencies, when we believe such positions are justified in view of market conditions and prospects.

     We monitor our asset and liability position in accordance with Central Bank requirements and guidelines. The treasury committee of our senior management meets on a weekly basis to:

  • present and discuss the transactions conducted by us during the previous week;

  • present the exposure in each of item of our portfolio, to factors such as fixed rates, floating rates, foreign currency and exchange rates;

  • establish exposure limits based on our evaluation of the risks presented by our currency, term and rate gap positions and current market volatility levels;

  • establish asset allocation and funding policies; and

  • decide on the maturity terms of our assets and obligations.

     In making such decisions, our senior management evaluates not only our exposure limits for each market segment and product, but also market volatility levels and the extent to which we are exposed to market risk through interest, maturity, liquidity and currency mismatches. It also considers other potential risks as well as the liquidity of the market, our institutional needs and perceived opportunities for gain. The committee holds special meetings as needed in response to unexpected macroeconomic changes.

     In addition, we have two credit committees which help carry out our asset and liability management:

  • the executive credit committee, which is made up of members of our senior management and which meets on a weekly basis, analyzes credits of over R$20.0 million and determines the general policies that will guide our asset and liability management until its next meeting; and

  • the daily credit committee, which meets on a daily basis and is responsible for analysis of credits of up to R$20.0 million.

     In addition, our senior managers receive daily reports on our unmatched and open positions, while the treasury committee assesses our risk position weekly.

Liquidity and Funding

     Central Bank requirements for compulsory deposits determine our minimum liquidity levels. We review our asset and liability management policies from time to time to ensure that we have sufficient liquidity available to honor withdrawals of deposits, repay other liabilities at maturity, extend loans or other forms of credit to our customers and meet our own working capital needs.

     Our treasury department acts as a support center for our different business segments by managing our funding and liquidity positions and executing our investment objectives in accordance with our asset and liability management policies. It is also responsible for setting the rates for our different products, including exchange and interbank transactions. The treasury department covers any funding shortfall through borrowing in the interbank market. It seeks to maximize efficient use of our deposit base by investing any surpluses in liquid instruments in the interbank market.

166


Table of Contents

     We have used our excess liquidity to invest in Government bonds and expect to continue doing so, subject to regulatory requirements and investment considerations.

     Our principal sources of financing are:

  • demand, savings, time and interbank deposits; and

  • short and long-term borrowings, part of which is denominated in foreign currencies.

     The following table shows the average balance and average real interest rates of our sources of funding (interest-bearing as well as non-interest bearing) in the periods indicated:

  2005  2006  2007 
    
  Average  % of  Average  Average  % of  Average  Average  % of  Average 
          
  balance  total    rate  balance  total    rate  balance  total  rate 
          
  (R$ in millions, except %)
Deposits from banks  R$ 116  0.1%      18.1%  R$ 143    0.1%    13.3%  R$ 223  0.1%    14.8% 
Savings deposits  24,728  14.5  8.2  25,590  12.4  7.5  28,958  11.1  6.9 
Time deposits  31,002  18.1    15.8  34,461  16.7    12.5  34,388  13.1  10.2 
Interest-bearing liabilities:                   
Federal funds purchased and                   
 securities sold under                   
 agreements to repurchase  19,139  11.2    20.2  27,821  13.5    13.5  51,384  19.6  10.8 
Short-term borrowings  7,164  4.2    (2.6) 5,741  2.8  0.9  6,892  2.6  (10.5)
Long-term debt  20,764  12.2  8.8  27,289  13.2    10.3  32,305  12.4  7.3 
          
 
Total interest-bearing                   
 liabilities  102,913  60.3    12.1%  121,045  58.7    10.6%  154,150  58.9  8.3 
 
Non-interest-bearing                   
 liabilities:                   
 Demand deposits  15,227  8.9    17,432  8.4    22,311  8.5   
 Other non-interest-bearing liabilities (1) 52,537  30.8    67,989  32.9    85,091  32.6   
          
 
Total non-interest-bearing                   
 liabilities  67,764  39.7    85,421  41.3    107,402  41.1   
          
 
Total liabilities  R$ 170,677  100.0%    R$ 206,466  100.0%    R$ 261,552  100.0%   
          

_______________
(1)
Other non-interest-bearing liabilities, whose primary components are technical reserves for insurance losses, provision for pension plans, provision for certificated savings plans, provision for pension plan investment agreements and provision for contingent liabilities, are not a source of funding.

     Deposits are our most important source of funding, accounting for 41.6% of average total liabilities in 2005, compared to 37.6% in 2006 and 32.8% in 2007. Our deposits balance over these years progressed in the following manner:

  • In 2005, the average balance of our deposits increased by 16.3% compared to 2004, but remained stable as a percentage of total liabilities. This was due to the increase in other funding sources, in particular, the 16.4% increase in our liabilities for long-term debt and 21.2% increase in other non-interest-bearing liabilities.

  • In 2006, the average balance of our deposits increased by 9.2% as compared to 2005. However, there was a slight reduction when the average balance of our deposits is compared to the percentage of the average balance of liabilities, due to the increase in other funding sources, in particular, the 45.4% increase in federal funds purchased and securities sold under agreements to repurchase, and the 29.4% increase in the average balance of other non-interest bearing liabilities.

167


Table of Contents

  • In 2007, the average balance of our deposits increased by 10.6% as compared to 2006. As a percentage of average balance of liabilities, the average balance of our deposits decreased from 37.6% in 2006 to 32.8% in 2007, mainly due to an increase in other funding sources, especially a 84.7% increase in open-market fundings and a 25.2% increase in the average balance of other liabilities which do not bear interest.

     Short and long-term borrowings, our second-most-important source of funding, accounted for 16.4% of total average liabilities in 2005, compared to 16.0% in 2006 and 15.0% in 2007. Although our average balance of short and long-term borrowings increased in 2005, 2006 and 2007, it decreased as a percentage of total liabilities, mainly due to the increase in other funding sources.

     The following table shows our sources of funding and liquidity at December 31, 2007:

  December 31, 2007 
  
  (R$ in millions) % of total 
   
Deposits from banks   R$ 372  0.1% 
Savings deposits  32,813  10.9 
Time deposits  35,733  11.9 
Federal funds purchased and securities sold under     
agreements to repurchase  69,015  22.9 
Short-term borrowings  7,989  2.7 
Long-term debt  38,915  12.9 
   
 
Total interest-bearing liabilities  184,837  61.4 
   
 
Demand deposits  29,423  9.8 
Other non-interest-bearing liabilities  86,879  28.8 
   
 
Total non-interest-bearing liabilities  116,302  38.6 
   
 
     Total liabilities  R$ 301,139  100.0% 
   

Deposits

     Deposits accounted for approximately 32.7% of total liabilities at December 31, 2007. Our deposits consist primarily of real-denominated, interest-bearing time and savings deposits and real-denominated, non-interest-bearing demand deposits. The increase in the average balances of our time, savings and demand deposits from December 31, 2006 through December 31, 2007 was due to the increase in our client base. At December 31, 2006, we had approximately 16.8 million checking accounts and 35.2 million savings accounts, compared to approximately 18.8 million checking accounts and 34.6 million savings accounts at December 31, 2007. For additional information regarding our deposits, see “Item 4. Information on the Company—Selected Statistical Information—Maturity of Deposits.”

Federal funds purchased and securities sold under agreements to repurchase

     Federal funds purchased and securities sold under agreements to repurchase consist mainly of funds we obtained from financial institutions in the market by selling securities with agreements to repurchase.

168


Table of Contents

     On December 31, 2007 we had federal funds purchased and securities sold under agreements to repurchase in the amount of R$ 69,0 million, a R$26,1 million increase as compared to December 31, 2006. This increase was mainly due to an increase in our money market transactions in order to increase our liquidity.

     On December 31, 2006 we had federal funds purchased and securities sold under agreements to repurchase in the amount of R$42,8 million, a R$20,0 million increase as compared to December 31, 2005. This increase was mainly due to our decision to increase our funding in the money market by using securities sold under agreements to repurchase.

Short-term Borrowings

     Our short-term borrowings in foreign currencies consist primarily of lines obtained from banking correspondents for import and export financings, as well as issuances of certificates of deposit. We have consistently had access to short-term borrowings on market terms.

     We do not have any unused credit lines, credit facilities or portions thereof due to the fact that we do not maintain any pre-approved credit lines with other financial institutions.

     Our credit facilities could be impacted by various factors, including downgrades in our rating, fluctuations in Brazilian exchange rates and base interest rates, increased rates of inflation, currency devaluations, and adverse developments in the Brazilian and world economies. For a further discussion of risks that could have an adverse effect on our credit facilities, see “Item 3. Key Information—Risk Factors—Risks Relating to Brazil” and “—Risks Relating to the company and the Brazilian Banking Industry.”

     On December 31, 2007, we had short-term loans (up to 360 days) amounting to R$7,989 million, an increase of R$2,280 million in relation to December 31, 2006. Our short-term loans increased as a demand for imports and exports financing, which we financed by means of short-term loans, increased by 36.8% from R$4,440 million on December 31, 2006 to R$6,073 million on December 31, 2007. The balance of our commercial papers denominated in and indexed to U.S. dollar increased by 56.3%, from R$1,225 million on December 31, 2006 to R$1,915 million on December 31, 2007, as a result of the stability of Brazilian economy, combined with the appreciation of real against U.S. dollar in 2007.

     At December 31, 2006, we had short-term (up to 360 days) borrowings totaling R$5,709 million, a decrease of R$1,357 million from December 31, 2005. Our short-term borrowings decreased as demand for U.S. dollar-denominated and indexed commercial paper decreased by 54.0%, from R$2,661 million at December 31, 2005 to R$1,225 million at December 31, 2006, due to the decrease in our commercial paper financings and the appreciation of the realagainst the U.S. dollar in 2006. Our import and export financing operations remained practically stable in 2006.

     Substantially all of our foreign trade finance credit lines from banking correspondents are U.S. dollar-denominated. We have historically funded a substantial portion of our foreign-currency trade loans from foreign-currency credit lines with foreign banking correspondents.

     For additional information on our short-term borrowings, see “Item 4. Information on the Company—Selected Statistical Information—Short-term Borrowings” and “Item 11. Quantitative and Qualitative Disclosure about Market Risk - Sensitivity Analysis.”

169


Table of Contents

Long-term Debt

     We classify as “long-term” all borrowings not classified as short-term. Long-term debt consist primarily of funds borrowed for local on-lendings, in which we borrow from Brazilian governmental agencies and entities to make loans to Brazilian entities for investments in facilities and equipment, as well as our subordinated notes, Euronotes and foreign currency loans.

     On December 31, 2007, the amount of our long-term debt increased from R$38,915 million to R$8,793 million as of December 31, 2006. The increase in our long-term debt was mainly due to (1) an increase of R$3,901 million of our subordinated debt and related earnings with floating interest rate; (2) an increase of R$2,445 million in our funding for transfer of internal funds; and (3) increase of R$ 1,153 million in securities issued by means of securitization of money orders and receivables from credit card bills, as a result of new issues in 2007.

     At December 31, 2006, we had R$30,122 million in long-term outstanding borrowings, an increase of R$6,806 million from December 31, 2005. The increase in our long-term outstanding borrowings was primarily attributable to a R$5,230 million increase in the balance of our subordinated debt, due mainly to the issuance of subordinated CDB with a floating interest rate.

     Medium and long-term securities are also included in our long-term debt, including through our medium-term note program. This program permits us to issue up to US$2.5 billion (or its equivalent in other currencies) of medium-term notes through our branches in Grand Cayman and New York and through our headquarters in Brazil. The program provides that the notes are unsecured, unsubordinated obligations and rank on the same level as all our present and future unsecured and unsubordinated external debt. Outstanding notes issued under the program have maturities of two years or more from their respective date of issuance and bear interest at a fixed rate. We may offer the notes issued under the program for sale to qualified institutional buyers in the United States under the Rule 144A of the Securities Act or to non-U.S. persons outside the United States in accordance with Regulation S of the Securities Act.

     We had US$450 million outstanding notes on December 31, 2007 and US$525.9 million outstanding notes on December 31, 2006 issued under our medium-term securities program. US$250 million of our outstanding notes on December 31, 2007 were issued during 2005 and US$200 million in 2007. Even though the program allows us the issuance of up to US$2.5 billion in medium-term securities, our ability to issue the remaining balance under the program depends on whether there is a demand for these resources.

     In August 2003, we issued two series of notes due in 2010, in an aggregate amount of US$400.0 million, and in July 2004 we issued a new series of notes due in 2012, in an aggregate amount of US$100.0 million. The notes are secured by future flows of payment orders we receive from abroad. In August 2005, we redeemed in advance one of the series issued in 2003 in the amount of US$200.0 million. In 2007, we issued four new series due in 2014, two of which were issued in June 2007 in an aggregate amount of US$500 million and the remainder was issued in December 2007 in an aggregate amount of US$400 million. Out of the outstanding series as of December 31, 2007, only the 2003 and 2004 series bear fixed interest rates.

     In December 2001, April 2002, October 2003, and April 2004, we issued, through our branch in Grand Cayman, subordinated debt securities with a 10-year maturity, in the amounts of US$150 million, JP¥17.5 billion, US$500 million, and EUR225 million, respectively. In June 2005, we issued US$300.0 million in non-cumulative junior subordinated perpetual bonds, on which we pay interest at a fixed rate on a quarterly basis.

170


Table of Contents

     We use the proceeds of our long-term debt issuances for general on-lending purposes, principally to our Brazilian clients. The difference between the interest we pay on our borrowings and the interest we charge our clients, known as the “spread,” is related to the term of the loans, our assessment of the client risk, and the general condition of the Brazilian economy. With the exception of our local on-lendings, there are no regulatory restrictions on the use of our borrowings.

     For additional information on our long-term debt, see “Item 11. Quantitative and Qualitative Disclosure about Market Risk—Sensitivity Analysis” and note 14 to our consolidated financial statements in Item 18.

Compulsory Deposits with the Central Bank

     The Central Bank requires us, as a financial institution, either to deposit a determined amount of funds with the Central Bank or to purchase and hold Brazilian federal treasury securities. We cannot use these compulsory deposits for any other purpose. The Central Bank determines the interest to be paid on these deposits, if any. For more information on compulsory deposit requirements, see “Item 4. Information on the Company—History and Development of the Company—Banking Activity—Deposit-taking Activities.”

     On December 31, 2007, the balance of our compulsory deposits increased by 35.6% as compared to 2006, from R$23,461 million on December 31, 2006 to R$31,813 million on December 31, 2007, basically due to an increase in the volume of deposits. We had compulsory deposits at the amount of R$23,461 million at December 31, 2006, an 8.2% increase from December 31, 2005, basically due to an increase in the volume of deposits.

Sources of Additional Liquidity

     We do not maintain unused pre-approved credit lines, but we believe that our strong presence in the Brazilian market and our reputation in international credit markets would enable us to obtain funds on market terms if necessary. Although our medium-term notes program is not a guaranteed pre-approved credit line and our ability to issue notes under the program at any given time depends on whether there is demand for such notes, as a general matter the program can facilitate our access to international credit markets, depending on the market scenario, in which we can borrow funds at a lower interest rate and for longer tenors than in the Brazilian market. Furthermore, we may access the international capital markets to raise longer-term resources, under our existing program of notes guaranteed by future cash flows from payment orders that we receive from abroad. However, the overall liquidity of the global financial markets could adversely affect us. In the second half of 2007, certain credit markets experienced difficult conditions and a certain degree of volatility, resulting in less liquidity and greater volatility.

     Finally, in some limited circumstances we may obtain emergency funds from the Central Bank through a transaction referred to as “redesconto.” A redesconto is a loan from the Central Bank to a financial institution, which loan is guaranteed by federal government securities owned by the financial institution. The amount of federal government securities held by the financial institution as trading securities limits the amount of theredesconto transaction. We have never obtained funds from the Central Bank through redesconto transactions for liquidity purposes. At December 31, 2007, we had available R$12,932 million in federal government securities as trading securities that could be used for this purpose.

171


Table of Contents

Cash Flow

     During 2005, 2006 and 2007, the primary influence on our cash flow was the changes in the Brazilian economic environment. The following table shows the principal variations in cash outflows during the periods indicated:

    2005  2006  2007 
    
Net cash provided by (used in) operating activities  R$ 4,593  R$ (14,440) R$ 23,134 
Net cash used in investing activities  (20,809) (22,362) (44,384)
Net cash provided by (used in) financing activities  13,909  29,203  49,972 
    
Net increase (decrease) in cash and cash equivalents   R$  (2,307)  R$  (7,599) R$ 28,722 
    

2005

     During 2005, we experienced a net decrease of R$2,307 million in cash and cash equivalents due to the R$20,809 million used in our investing activities, which was partially offset by the R$13,909 million provided by our financing activities and R$4,593 million provided by our operating activities.

     The cash used in our investing activities in 2005 resulted primarily from the use of R$4,435 million to acquire available-for-sale securities and of R$20,468 million in our loan activities that was offset by the R$5,034 million income from the sale of available-for-sale securities.

     The cash generated from our financing activities in 2005 of R$6,354 million resulted primarily from a net increase of transactions involving federal funds and securities sold under agreements to repurchase, a R$6,397 million net increase in the volume of deposits, mainly time deposits, and a R$3,531 million increase in long-term debt, net of repayments. This was partially offset by a R$1,559 million payment of dividends and interest on shareholders’ capital and by a R$1,302 million decrease in our short-term borrowings, pursuant to our liquidation of borrowing and financing operations.

2006

     During 2006, we experienced a net reduction of R$7,599 million in cash and cash equivalents, basically due to the R$22,362 million used in our investment activities, and by the R$14,440 million used in from our operating activities, which was partially offset by R$29,203 million derived from our financing activities.

     The use of cash in our investment activities in 2006 resulted primarily from the use of R$8,796 million for the acquisition of available-for-sale securities, and to the use of R$17,561 million in loan operations, which was offset by the R$7,019 million generated in the sale of available-for-sale securities.

     The cash generated by our financing activities in 2006 resulted primarily from a net increase of R$19,557 million in our transactions involving federal funds purchased and securities sold under agreements to repurchase, as well as the net increase of R$6,639 million in deposit-taking activities, mainly demand deposits, and the R$6,587 million increase in our long-term debt, net of the respective payments, partially offset by the impact of interest on shareholders’ capital and dividends of R$3,334 million, and by a R$1,431 million decrease in our short-term borrowings, resulting from the liquidation of commercial paper operations.

172


Table of Contents

2007

     During 2007, we had a net increase of R$28,722 million in cash and cash equivalents, as a result of R$23,134 million from our operating activities and R$49,972 million from our financing activities, which was partially offset by the utilization of $44,384 million in our investment activities.

     The utilization of cash in our investment activities in 2007 mainly resulted from the utilization of R$6,658 million for the acquisition of available-for-sale securities, R$35,363 million in credit operations and R$4,875 million compulsory deposits at the Central Bank. The utilization of cash was partially offset by R$3,094 million generated by the sale of available-for-sale securities.

     The cash generated by our financing activities in 2007 basically resulted from a net increase of R$26,140 million in our transactions involving fundings in the open-market, as well as the net increase of R$14,588 million in funding of deposits, mainly cash deposits and increase in our long-term loans of R$7,650 million, net of respective payments.

Capital Compliance

     The Basel I Accord requires banks to have a ratio of capital to risk-weighted assets of a minimum of 8.0% . At least half of total capital must consist of Tier I capital. Tier I, or core capital, includes equity capital less certain intangibles. Tier II capital includes asset revaluation reserves, general loan loss reserves and subordinated debt, subject to some limitations.

     Brazilian banking regulations differ from Basel Accord requirements in several ways. Brazilian banking regulations:

  • require a minimum ratio of capital to risk-weighted assets of 11.0%;

  • do not permit general loan loss reserves to be considered as capital;

  • different specific risk-weighted categories;

  • impose a deduction from capital corresponding to fixed assets held in excess over limits imposed by the Central Bank; and

  • limit the issuance of subordinated notes to 50.0% of Tier I capital.

     Prior to July 31, 2000, capital adequacy requirements could be calculated on either a consolidated or unconsolidated basis. Since July 31, 2000, we have measured our capital compliance on a consolidated basis, in accordance with Central Bank rules. See “Item 4. Information on the Company - Regulation and Supervision - Principal Limitations and Restrictions on Activities of Financial Institutions” for a more detailed discussion of Brazilian capital adequacy requirements.

173


Table of Contents

     The following table shows our capital positions as a percentage of total risk weighted assets, as well as our minimum capital requirements under Brazilian law, for the dates indicated. The table and the following information are based on generally accepted accounting principles in Brazil:

  At December 31, 
  
  2005  2006  2007 
    
  (R$ in millions, except %)
Capital - Tier I  11.5%  11.6%  10.3% 
Capital - Tier II  3.7  4.9  3.7 
    
 
Total Capital  15.2%  16.5%  14.0% 
    
 
Available regulatory capital  R$ 25,658  R$ 35,046  R$ 41,448 
Minimum regulatory capital required  18,532  23,399  32,641 
    
 
Excess over minimum regulatory capital required  R$ 7,126  R$ 11,647  R$ 8,807 
    

     The increase in our available authorized capital from R$35,046 million at December 31, 2006 to R$41,448 million at December 31, 2007 was mainly due to (i) our issuance of R$1,338 million in subordinated notes,(ii) profit capitalization of R$5,187 million after payment of interest on shareholders’ capital. These factors were partially offset by (iii) a negative adjustment of R$175 million related to unrealized losses in investments classified as available for sale; and (iv) effect of a R$81 million decrease for deposit in our treasury account.

     The increase in our available authorized capital from R$25,658 million at December 31, 2005 to R$35,046 million at December 31, 2006 was mainly due to (i) our issuance of R$4,121 million in subordinated notes,(ii) capital increase of R$1,218 million, (iii) a positive adjustment of R$1,137 million related to unrealized gains in investments classified as available for sale, and (iv) profit capitalization of R$2,895 million after payment of interest on shareholders’ capital. These factors were partially offset by (v) the acquisition of treasury shares in the amount of R$23.0 million.

     The excess of our capitalization over the minimum regulatory capital required was R$8,807 million at December 31, 2007, as compared to R$11,647 million in 2006.

     As of December 31 of each of 2005, 2006 and 2007, we were in compliance with all minimum capital requirements imposed by the Central Bank. For a description of our capital requirements and Central Bank capital adequacy regulations see “Item 4. Information on the Company—Regulation and Supervision—Principal Limitations and Restrictions on Activities of Financial Institutions.”

     In the previous years we maintained a significant position in short-term, highly liquid instruments, which in general have a zero or low risk weighting, thereby eliminating or significantly reducing the need to maintain capital against these assets. This position reflects the restrictive credit environment that prevailed in Brazil during 2002-2003. If we were to increase significantly our loan portfolio, we would be required to maintain capital against these assets which, depending on the capital position at that time, could reduce our capital as a percentage of risk-weighted assets.

Interest Rate Sensitivity

     Management of interest rate sensitivity is a key component of our asset and liability policy. Interest rate sensitivity is the relationship between market interest rates and net interest revenue due to the maturity or repricing characteristics of interest-earning assets and interest-bearing liabilities. For any given period, the pricing structure is considered balanced when an equal amount of these assets or liabilities matures or reprices in that period. Any mismatch of interest-earning assets and interest-bearing liabilities is known as a gap position. A negative gap denotes liability sensitivity and normally means that a decline in interest rates would have a negative effect on net interest income. Conversely, a positive gap denotes asset sensitivity and normally means that a decline in interest rates would have a positive effect on net interest income. These relationships can change significantly from day to day as a result of both market forces and management decisions.

174


Table of Contents

     Our interest rate sensitivity strategy takes into account:

  • rates of return;

  • the underlying degree of risk; and

  • liquidity requirements, including minimum regulatory banking reserves, mandatory liquidity ratios, withdrawal and maturity of deposits, capital costs and additional demand for funds.

     We monitor our maturity mismatches and positions and manage them within established limits. Our Treasury committee reviews our positions at least weekly and changes our positions as market outlooks change.

175


Table of Contents

     The following table shows the maturities of our interest-earning assets and interest-bearing liabilities at December 31, 2007 and may not reflect interest rate gap positions at other times. In addition, variations in interest rate sensitivity may exist within the repricing periods presented due to differing repricing dates. Variations may also arise among the different currencies in which interest rate positions are held.

  At December 31, 2007 
  
  Up to  31 – 90  91 – 180  181 – 365  1 – 3  Over   
  30 days  days  days  days  years  3 years  Total 
        
Interest–earning assets:  (R$ in millions, except %)
Deposits from banks  R$ 952  R$ 1,146  R$ 948  R$ 1,703  R$ 2,523  R$ 615  R$ 7,887 
Federal funds sold and securities purchased               
under agreements to resell  26,912  610  2,569  1,486  1,465  7,559  40,601 
 Central bank compulsory deposits  22,377  –  –  –  22  495  22,894 
 Trading securities  39,382  412  2,104  4,233  6,736  6,279  59,146 
 Available–for–sale securities  1,614  19  406  407  4,091  18,535  25,072 
 Held to maturity securities  –    –   2,973  2,981 
 Loans  20,641  19,005  16,962  22,337  34,128  14,787  127,860 
 Other assets  –  –  –  –  –  453  453 
        
 
Total interest–earning assets  111,878  21,193  22,991  30,166  48,970  51,696  286,984 
        
 
Interest–bearing liabilities:               
 Deposits from banks  219  40  42  63   –  372 
 Savings deposits  32,813  –  –  –  –  –  32,813 
 Time deposits  2,302  4,071  2,368  4,474  18,673  3,845  35,733 
 Federal funds purchased and securities sold               
 under agreements to repurchase  37,940  4,261  1,926  5,738  15,880  3,270  69,015 
 Short–term borrowings  1,251  1,930  2,201  2,260  315  32  7,989 
 Long–term debt  931  957  2,133  4,374  7,525  22,995  38,915 
        
 
Total interest–bearing liabilities  75,456  11,259  8,670  16,909  42,401  30,142  184,837 
        
 
Asset/liability gap  36,422  9,934  14,321  13,257  6,569  21,554  102,057 
Cumulative gap  R$ 36,422  R$ 46,356  R$ 60,677  R$ 73,934  R$ 80,503  R$102,057   
Ratio of cumulative gap to cumulative total               
interest–earning assets  12.70%  16.16%  21.15%  25.77%  28.06%  35.57%   

Exchange Rate Sensitivity

     Most of our operations are denominated in reais. Our policy is to avoid material exchange rate mismatches. However, at any given time, we generally have outstanding long-term debt denominated in and indexed to foreign currencies, principally the U.S. dollar. We had R$7,063 million of long-term debt outstanding at December 31, 2007. At that date, our net foreign currency liability exposure was R$4,528 million, or 13.7% of shareholders’ liability. Consolidated net foreign currency exposure is the difference between total foreign currency-indexed or -denominated assets and total foreign currency-indexed or -denominated liabilities, including off-balance-sheet derivatives financial instruments.

     Our foreign currency position arises primarily through our purchases and sales of foreign exchange (primarily U.S. dollars) from Brazilian exporters and importers, from other financial institutions on the interbank market, and on the spot and forward currency markets. The Central Bank regulates our maximum outstanding sold and purchased foreign currency positions.

     At December 31, 2007, the composition of our assets, liabilities and shareholders’ equity by currency and term was as shown below. Our foreign currency assets are largely denominated in reais but are indexed to foreign currencies, principally the U.S. dollar. Most of our foreign currency liabilities are denominated in foreign currencies, principally the U.S. dollar.

176


Table of Contents

  December 31, 2007 
  
        Foreign 
        currency 
    Foreign    as % of 
  R$  currency   Total  total 
     
  (R$ in millions, except %)
Assets:         
Cash and due from banks  R$ 4,977  R$ 508  R$5,485        9.3% 
Interest earning deposits in other banks  6,477  1,410  7,887    17.9 
Federal funds sold and securities purchased under agreements to resell  37,600  3,001  40,601        7.4 
Brazilian Central bank compulsory deposits  31,802  11  31,813   
Trading securities:  56,241  2,905  59,146   
   Less than one year  6,937  2,662  9,599    27.7 
   From one to three years  6,735   6,736        – 
   More than three years  6,037  242  6,279        3.9 
   Indefinite (1) 36,532  –  36,532        – 
Available–for–sale securities:  28,102  1,551  29,653        – 
   Less than one year  2,424  22  2,446        0.9 
   From one to three years  4,067  24  4,091        0.6 
   More than three years  17,644  891  18,535        4.8 
   Indefinite  3,967  614  4,581    13.4 
Held to maturity securities:  2,643  338  2,981        – 
   Less than one year   –         – 
   From one to three years   –    
   More than three years  2,635  338  2,973    11.4 
Loans:  115,522  17,615  133,137   
   Less than one year  63,460  12,016  75,476    15.9 
   From one to three years  32,013  2,115  34,128        6.2 
   More than three years  11,303  3,484  14,787    23.6 
 Indefinite (2) 8,746  –  8,746        – 
Equity investees and other investments  728  33  761        4.3 
Premises and equipment, net  3,542   3,547        0.1 
Goodwill  883  –  883        – 
Intangible assets, net  2,917  –  2,917        – 
Other assets:  20,215  3,252  23,467   
   Less than one year  8,376  2,696  11,072    24.4 
   From one to three years  8,869  –  8,869        – 
   More than three years  2,970  556  3,526    15.8 
Allowance for loan losses  (7,749) (20) (7,769)       0.3 
     
 
Total  R$ 305,400  R$ 30,609  R$ 334,509        9.2 % 
     
 
Percentage of total assets  90.8%  9.2%                  100.0%   
Liabilities and Shareholders’ Equity:         
Deposits:  R$ 96,063  R$ 2,278  R$ 98,341   
   Less than one year  73,617  2,198  75,815        2.9% 
   From one to three years  18,664  17  18,681        0.1 
   More than three years  3,782  63  3,845        1.6 
Federal funds purchased and securities sold under         
agreements to repurchase  66,193  2,822  69,015        4.1 
Short–term borrowings:  –  7,989  7,989   
   Less than one year  –  7,642  7,642  100.0 
   From one to three years  –  315  315  100.0 
   More than three years  –  32  32  100.0 
Long–term debt:  31,852  7,063  38,915   

177


Table of Contents

  December 31, 2007 
  
        Foreign 
        currency 
    Foreign    as% of 
  R$  currency  Total  total 
     
  (R$ in millions, except %)
   Less than one year  6,229  2,166  8,395  25.8 
   From one to three years  6,563  962  7,525  12.8 
   More than three years  19,060  3,400  22,460  15.1 
   Undetermined  –  535  535  100.0 
Other liabilities:  85,415  1,464  86,879   
   Less than one year  60,336  1,430  61,766  2.3 
   From one to three years  23,978  –  23,978  – 
   More than three years  1,101  34  1,135  3.0 
Minority interest in consolidated subsidiaries  281  –  281  – 
Shareholders’ equity  33,089  –  33,089  – 
     
 
Total  R$ 312,893  R$ 21,616  R$ 334,509  6.5% 
     
 
Percentage of total liabilities and shareholders’ equity   93.5%  6.5%   100.0%   

_______________
(1)
Represents investments in mutual funds, which are redeemable at any time, in accordance with our liquidity needs.
(2)
Represents non-performing loans.

     Derivatives are presented in the table below on the same basis as presented in the consolidated financial statements in Item 18.

     Our cash and cash equivalents in foreign currency are represented principally by U.S. dollars. Amounts denominated in other currencies, which include euros and yen, are indexed to the U.S. dollar as well through currency swaps, effectively limiting our foreign currency exposure to U.S. dollars only.

     We enter into short-term derivatives contracts with selected counterparties to manage our overall exposure as well as to assist customers in managing their exposures. These transactions involve a variety of derivatives, including interest rate swaps, currency swaps, futures and options. For more information regarding these derivative contracts, see note 22(b) to our consolidated financial statements in Item 18.

178


Table of Contents

     At December 31, 2007, the composition of our derivatives by currency was as it follows:

  December 31, 2007 
  
  Reference amounts 
  
  R$  Foreign currency  Total 
    
Derivatives:  (R$ in millions)
   Interest rate futures contracts:       
       Purchases  R$ 5,078  –  R$ 5,078 
       Sales  33,277  –  33,277 
 
   Foreign currency futures contracts:       
       Purchases  –  R$ 6,212  6,212 
       Sales  –  14,196  14,196 
 
   Future contracts – other       
       Purchases  59  –  59 
       Sales  25  –  25 
 
   Interest rate option contracts:       
       Purchases  3,312  –  3,312 
       Sales  2,983  –  2,983 
 
   Foreign currency option contracts:       
       Purchases  –  1,149  1,149 
       Sales  –  1,947  1,947 
 
   Option contracts – other:       
       Purchases  322  –  322 
       Sales  862  –  862 
 
   Foreign currency forward contracts:       
       Purchases  –  1,465  1,465 
       Sales  –  1,873  1,873 
 
   Forward contracts – other:       
       Purchases  16  –  16 
       Sales  81  –  81 
 
   Swap contracts:       
       Asset position:       
       Interest rate swaps  13,660  –  13,660 
       Currency swaps  –  19,096  19,096 
       Liability position:       
       Interest rate swaps  R$ 8,090  –  8,090 
       Currency swaps  –  R$ 24,348  R$ 24,348 

Capital Expenditures

     In the past three years, we have made, and expect to continue to make, significant capital expenditures related to improvements and innovations in technology and the Internet designed to maintain and expand our technology infrastructure in order to increase our productivity, accessibility and cost efficiency and our reputation as a leader in technological innovation in the financial services sector. We have made significant capital expenditures for systems development, data processing equipment and other technology designed to further these goals. These expenditures are for systems and technology for use both in our own operations and by clients.

179


Table of Contents

     The following table shows our capital expenditures accounted for as fixed assets in the periods:

  2005  2006  2007 
    
  (R$ in millions)
Infrastructure:       
   Land and buildings  R$ 59  R$ 62  R$ 79 
   Leasehold furniture and equipment  76  152  169 
   Betterments in owned and third-party real estate  68  100  137 
   Others  15  18  67 
    
 
Total  218  332  452 
    
 
Information Technology:       
   Systems development  200  274  238 
   Data processing equipment  488  603  664 
    
 
Total  688  877  902 
    
 
Total  R$ 906  R$ 1,209  R$ 1,354 
    

     During 2007, we made R$1,944 million in capital expenditures, R$1,354 million of which were related to the acquisition of assets and R$590 million to telecommunications services and data processing expenses. During the first three months of 2008, we made investments valued at R$511 million. 

     We believe that capital expenditures in 2008 through 2010 will not be substantially greater than historical expenditure levels and anticipate that in accordance with our practice during recent years, our capital expenditures in 2008 through 2010 will be funded from our own resources. No assurance can be given, however, that the capital expenditures will be made and, if made, that such expenditures will be made in the amounts currently expected. 

Transactions Recorded in Off-balance Sheet Accounts 

     All of our off -balance sheet financial guarantees are described under “- Off-balance Sheet Financial Guarantees.” None of our off-balance sheet arrangements are of the type with respect to which we are required to provide disclosure pursuant to Item 5.E. of Form 20-F. 

Research and Development, Patents and Licenses 

     Other than our program of technological innovation we do not have any significant policies or projects relating to research and development, and we own no patents or licenses. 

Item 6. Directors, Senior Management and Employees 

Management of Banco Bradesco 

     We are managed by our Conselho de Administração, which we call the “Board of Directors,” together with our Board of Executive Officers. The Board of Directors establishes our corporate strategy and policies and supervises and monitors the Board of Executive Officers. In turn, the Board of Executive Officers implements the strategy and policies set by the Board of Directors and is responsible for our day- to-day management. 

180



Table of Contents

     Our Board of Executive Officers is currently made up of (1) the “Diretoria Executiva,” which is the board of senior executive officers, and (2) our departmental and regional directors. The Diretoria Executiva is made up of the president, eight vice presidents and twelve managing executive directors.

     Our seven-member Board of Directors meets on a regular basis every 90 days and meets on an extraordinary basis whenever necessary. It is responsible for:

  • approving, on a case-by-case basis, any engagement of our independent auditors for audit and non-audit services provided to our subsidiaries or to us;

  • establishing our corporate strategy;

  • reviewing our business plans and policies; and

  • supervising and monitoring the activities of our Board of Executive Officers.

     Our Board of Directors acts as our audit committee, as specified in Section 3(a)(58) of the Exchange Act of 1934, for purposes of approving, on a case-by-case basis, any engagement of our independent auditors for audit and non-audit services provided to our subsidiaries or to us.

     Our Diretoria Executiva meets weekly and is responsible for:

  • implementing the strategy and policies established by our Board of Directors; and

  • our day-to-day management.

     Several members of our Board of Directors and the Diretoria Executiva also perform senior management functions at our subsidiaries, including Bradesco Seguros, Bradesco Auto/RE Companhia de Seguros, Bradesco Capitalização, Bram-Bradesco Asset Management S.A. DTVM, Banco Finasa, Bradesco Administradora de Consórcios, Bradesco BBI, Bradesco Saúde, Bradesco Dental S.A., Bradesco Leasing, BMC, BEM DTVM and Bradesco Cartões. Each of our subsidiaries has an independent management structure.

     On June 9, 2003, our controlling shareholders Cidade de Deus—Companhia Comercial de Participações and Fundação Bradesco, which we call “Controlling Shareholders,” entered into a shareholders’ agreement, which we call the “Shareholders’ Agreement,” with our shareholder BBVA. Under the Shareholders’ Agreement, BBVA has a put option against our Controlling Shareholders that might be exercised in full or in part on our common shares representing 5.0% of our capital stock until 2010. At March 4, 2008, BBVA, aiming to strengthen its market share in the country with its own platform for global businesses, exercised in full its put option. Our Controlling Shareholders and BBVA concluded such purchase and sale at April 11, 2008, upon delivery on April 16, 2008 of R$2.3 billion to BBVA. As of April 11, 2008, the Shareholders’ Agreement ceased to be in effect.

     For more information regarding the Shareholders’ Agreement, see “Item 4. Information on the Company—History and Development of the Company—History—Acquisitions in 2003 and 2004—Acquisition of BBV Banco.”

     Pursuant to Brazilian law, all members of our Board of Directors and Board of Executive Officers have been approved by the Central Bank.

181


Table of Contents

     The following are biographies of the current members of our Board of Directors and Board of Executive Officers.

Members of the Board of Directors:

     Lázaro de Mello Brandão, Chairman: Born on June 15, 1926; economist and business administrator. In September 1942, Mr. Brandão was hired as a bookkeeper by Casa Bancária Almeida & Cia., the financial institution that became Banco Brasileiro de Descontos S.A. on March 10, 1943, and later became Banco Bradesco S.A. He has held a variety of positions during his banking career. In January 1963, he was electedas an Officer, and in September 1977, he was elected Vice-President. In January 1981 he assumed the position of CEO, succeeding Mr. Amador Aguiar, the founder of Bradesco. Since February 1990, he has served as the Chairman of our Board of Directors. In March 1999, he decided to step down as CEO, but has remained the Chairman of our Board of Directors. He also holds a variety of positions within Organização Bradesco, such as Chairman of the Board of Trustees and President of Fundação Bradesco; and Chairman of the Board of Directors and President of the Institute of Diseases of the Digestive System and Nutrition (Fimaden). In addition, he is the Chairman of the Board of Directors of Bradespar S.A. He has also served as President of the Banking Associations of the States of São Paulo, Paraná, Mato Grosso, Mato Grosso do Sul, Acre, Amazona, Pará, Amapá, Rondônia and Roraima, as Vice-President of the National Federation of Banks, known as “Fenaban”, as a member of the Board of the Federation of Brazilian Banking Associations, known as “Febraban” and as Chairman of the Board of Directors of Fundo Garantidor de Créditos—FGC and Cibrasec Companhia Brasileira de Securitização and a member of the consulting committee of VBC Participações S.A. and a member of the Managing Board of Banco Espírito Santo S.A., located in Lisbon, Portugal.

     Antônio Bornia, Vice-Chairman: Born on November 22, 1935. Mr. Bornia started his career with Banco Bradesco S.A. Since then, he has held a variety of positions within Bradesco. In September 1975, he became an Associate Officer; in April 1979, he was appointed to an Executive Officer position; in June 1981 he became Vice-President and since March 1999 he has been the Vice-Chairman of our Board of Directors. He is Chairman of the Board of Directors of Bradesco Securities, Inc. and Bradesco Securities UK Limited and Vice Chairman of the Board of Directors of Banco Bradesco Luxembourg S.A. and Bradesco Leasing S.A.—Arrendamento Mercantil; Vice President of NCF Participações S.A., Nova Cidade de Deus Participações S.A. and Top Clube Bradesco, Segurança, Educação e Assistência Social; Manager of Bradport—S.G.P.S. Sociedade Unipessoal, Lda.; Vice Chairman of the Board of Trustees; Vice President of Fundação Bradesco; Vice Chairman of the Board of Directors; and Vice President of Institute of Diseases of the Digestive System and Nutrition (Fimaden). He is also the Chairman of the Board of the ABEL—Associação Brasileira das Empresas de Leasing, and he previously held the position of Chief Executive Officer; Vice-president of the Board of Directors of Bradespar S.A., and member of the Brazilian Sector of the Brazil-United States Business Council. He has also served as an alternate member of the Board of Resources of the National Financial System, an agency related to the Treasury Ministry, as representative of the ABEL—Associação Brasileira das Empresas de Leasing from July 1989 until July 1991 and from February 2000 to February 2002. He was also the Chairman of the Board of Directors of the FGC from January 2002 to January 2005, and Vice Chairman of the Executive Board of the Latin American Leasing Federation—Felalease from August 2003 to October 2005; and CEO of the National Union of Leasing Companies, from September 1988 to April 2006; Vice Chief Executive Officer and Vice-President of the Board of Representatives of the National Confederation of the Financial System—Consif, from January 2004 to May 2007; and in CNF—National Confederation of the Financial Institutions, he held the positions of Chairman, Vice Chairman and member of Board of Representatives and Vice-President Director, from September 1988 to March 2007.

     Mário da Silveira Teixeira Júnior, Director: Born on March 4, 1946. Mr. Teixeira received a degree in civil engineering and business administration from Mackenzie Presbyterian University. In July

182


Table of Contents

1971, Mr. Teixeira joined Bradesco S.A Corretora de Títulos e Valores Mobiliários, having served as an officer from March 1983 until January 1984, when he was transferred to Banco Bradesco de Investimento S.A. and Banco Bradesco S.A. There, he was appointed Departmental Director in January 1984; Managing Officer in March 1992; Vice-President in March 1998, and from March 1999 to July 2001 he served as a member of our Board of Directors, when he resigned to manage Bradespar S.A., a company incorporated by our partial spin-off. In March 2002, he returned to his position as a member of our Board of Directors, where he remains until today. Currently he is also a Member of the Board of Directors of Bradesco Leasing S.A. – Arrendamento Mercantil, member of the Board of Trustees and Managing Officer of Fundação Bradesco, member of the Board of Directors and Managing Director of Institute of Diseases of the Digestive System and Nutrition (Fimaden). In addition to these activities, Mr. Teixeira is a member of the Board of Directors of Bradespar S.A., Vice Chairman of the Board of Directors of Companhia Vale do Rio Doce and Valepar S.A., and a voting member of the Managing Board of Banco Espírito Santo de Investimentos S.A., located in Lisbon, Portugal. He has also served as Vice-President of ANBIDAssociação Nacional dos Bancos de Investimento, member of the Management Board of AbrascaBrazilian Association of Publicly-held Companies, and Vice-chairman of the Board of Directors of BES Investimento do Brasil S.A.Banco de Investimento, member of the Board of Directors of Companhia Paulista de Força e LuzCPFL, Companhia Piratininga de Força e Luz, Companhia Siderúrgica NacionalCSN, CPFL Energia S.A., CPFL Geração de Energia S.A., Latasa S.A., São Paulo Alpargatas S.A., Tigre S.A. Tubos e Conexões, VBC Energia S.A. and VBC Participações S.A.

     Márcio Artur Laurelli Cypriano, Director: Born on November 20, 1943. Mr. Cypriano received a law degree from Mackenzie Presbyterian University. In July 1967, he started his career joining Banco da Bahia S.A., a financial institution we merged with in December 1973. Thereafter, Mr. Cypriano became a manager of Bradesco. In January 1984, Mr. Cypriano was appointed as a Departmental Officer, in January 1986 he became a Deputy Managing Officer, in February 1988, Mr. Cypriano was designated Managing Officer and in February 1995, he became Vice-President. In March 1999, he was appointed our CEO, and since March 2002, he has been a director. Prior to that, he was the CEO of Banco BCN from April 1998 until March 1999. Currently Mr. Cypriano also serves as CEO of several companies of Organização Bradesco, such as member of the Board of Trustees and Managing Director of Fundação Bradesco; and member of the Board of Directors and Managing Director of Institute of Diseases of the Digestive System and Nutrition (Fimaden). In addition to these activities, he is a member of the Board of Directors of Bradespar S.A., member of the Managing Board of Febraban, by holding the positions of CEO and President; effective member of the Board of Directors of FGC and of the Agribusiness Board – Consagro, as a representative of Febraban; Vice-Chairman of the Board of Representatives of CNF; Vice President Director of Consif; and Co-founder of Se ToqueSP Instituto de Desenvolvimento Social da Cidade de São Paulo (Social Development Institute of the city of São Paulo). He was CEO of Fenaban and of the Union of the Banks in the States of São Paulo, Paraná, Mato Grosso and Mato Grosso do Sul; member of the Conselho de Desenvolvimento Econômico e SocialCDES and member of Conselho Superior de Comércio Exterior (Coscex), and of the Federation of the Industries of the State of São Paulo/Instituto Roberto Simonsen.

     João Aguiar Alvarez, Director: Born on August 11, 1960. Mr. Alvarez received a degree in agronomy from the Manuel Carlos Gonçalves College of Agronomy and Animal Husbandry in Espírito Santo do Pinhal, SP. In April 1986 he was elected to the Board of Directors of Cidade de DeusCompanhia Comercial de Participações, one of the holding companies of Banco Bradesco S.A., and since April 1988, he has served as a Director. Since February 1990, Mr. Alvarez has been a member of our Board of Directors and a director of Bradespar S.A. since March 2000. He is a member of the Board of Trustees and Associate Director of Fundação Bradesco and Member of the Board of Directors and Associate Director of Institute of Diseases of the Digestive System and Nutrition (Fimaden).

183


Table of Contents

     Denise Aguiar Alvarez Valente, Director: Born on January 24, 1958. Ms. Valente received a degree in education from São Paulo Pontific Catholic University and received a Masters in Education from New York University. In April 1986, she was appointed to the Board of Directors of Cidade de Deus - Companhia Comercial de Participações, one of our controlling shareholders, and since July 1988 she has also been serving as an Officer. Since February 1990, Ms. Valente has served as a member of our Board of Directors, and since March 2000, she has also served as a Director of Bradespar S.A. She is also a member of the Board of Trustees and Associate Director of Fundação Bradesco and member of the Board of Directors and Associate Directors of Institute of Diseases of the Digestive System and Nutrition (Fimaden). In addition to these activities, she was previously member and currently is Chairwoman of the Governance Board of GIFEGroup of Institutions, Foundations and Companies,; a member of the Board of Directors of Associação dos Amigos da Pinacoteca do Estado and of the Deliberative Board of Museu de Arte Moderna de São PauloMAM, member of the Board of Trustees of Fundação Dorina Nowill para Cegos and Fundação Roberto Marinho, member of the Consulting Board of Canal Futura; Member of the General Board of Comunitas Parcerias para o Desenvolvimento Solidário; and effective member (Socia Efetiva) of Associação de Apoio ao Programa Alfabetização SolidáriaAAPAS. She was member of the Deliberative Board of Fundo Social de Solidariedade do Estado de São PauloFussesp.

     Ricardo Espírito Santo Silva Salgado, Director: Born on June, 25 1944. Mr. Salgado received a degree in economics from the Instituto Superior de Ciências Econômicas e Financeiras at Universidade Técnica de Lisboa - Portugal. In June 2003 he was appointed to our Board of Directors. He is also a member of the Superior Council of the Espírito Santo group, Vice-President of the Board of Directors and President of the Executive Commission of Banco Espírito Santo, S.A. - Lisbon, President of Espírito Santo Financial Group (ESFG) - Luxembourg, a member of the Supervisory Board of Euronext NV - the Netherlands, and a member of the Executive Committee of Institut Internationale d’Études Bancaires (IIEB) - Brussels. He has served as a member of the Board of Directors of Banco Boavista Interatlântico S.A. (Brazil) from September 1997 to October 2000.

Members of the “Diretoria Executiva”:

     Márcio Artur Laurelli Cypriano, Chief Executive Officer: Mr. Cypriano serves as our Chief Executive Officer, as well as a Member of our Board of Directors. His experience is summarized above underMembers of the Board of Directors.

     Laércio Albino Cezar, Vice President: Mr. Cezar was born on October 13, 1946. Mr. Cezar is accountant. He started his career in April 1960. Since then, Mr. Cezar has held a variety of positions within Bradesco, such as being appointed as our Departmental Officer in March 1982, Managing Executive Officer in March 1992 and Vice-President since March 1999. He also holds a variety of positions within Organização Bradesco, such as a member of the Board of Trustees and Managing Officer of Fundação Bradesco and member of the Board of Directors and Managing Director of Institute of Diseases of the Digestive System and Nutrition (Fimaden). He is also a member of the Board of Trustees of the National Quality Foundation—FNQ. Prior to that, from November 1983 to March 1992, he was a member of the Security Against Frauds Sub-committee of Febraban. Mr. Cezar was also the Brazilian representative within the Internal Auditors Committee of FELABANFederação Latino-americana de Bancos – from January 1991 to April 1997; Vice-President of the Institute of Rational Organization of Labor (IDORT) of São Paulo from July 1997 to July 2000, and First Executive Vice-President from July 2000 to July 2003.

     Arnaldo Alves Vieira, Vice President: Born on April 9, 1948. Mr. Vieira received a law degree from Guarulhos University and a degree in business administration from Mackenzie Presbyterian University. He started his career in October 1961 in Bradesco. Since then, Mr. Vieira has held a variety of positions within Bradesco, such as being appointed as our Officer in April 1985, Departmental Officer in March 1992, Managing Officer in February 1995 and Vice President since March 1999. He also holds a variety of positions within Organização Bradesco, such as a member of the Board of Trustees and Managing Officer of Fundação Bradesco and member of the Board of Directors and Managing Directors of Institute of Diseases of the Digestive System and Nutrition (Fimaden). In addition to these activities, since November 1995 he has been the Vice-Chairman of Companhia Brasileira de Meios de Pagamento (VISANET), of Celta Holdings S.A. and of Fidelity Processadora e Serviços S.A since April 2006, Officer of the InterAmerica Overseas Limited since May 2000, Director of the Regional Board of Directors of Visa International since May 1999 and Member of the Board of Ethics and Self Regulation of the Brazilian Association of Credit Card Companies and ServicesABECS – since January, 2006. Mr. Vieira has also served as Executive Officer of Febraban and Fenaban from March to September of 2002.

184


Table of Contents

     Luiz Carlos Trabuco Cappi, Vice President: Born on October 6, 1951. Mr. Cappi received a degree in philosophy from the São Paulo University of Philosophy, Science and Languages and a postgraduate degree in social psychology from the São Paulo School of Sociology and Politics. He began his career at Bradesco in April 1969. Since then, Mr. Cappi has held a variety of positions within Bradesco, such as being appointed Departmental Officer in January 1984, Managing Officer in March 1998 and Vice-President since March 1999. Since March 2003, he has been the CEO of Bradesco Seguros S.A. and he also served as a member of the Board of Directors of Bradesco Seguros from March 1999 to March 2005. He also holds a variety of positions within Organização Bradesco, such as a member of the Board of Trustees and Managing Directors of Fundação Bradesco and member of the Board of Directors and Managing Director of Institute of Diseases of the Digestive System and Nutrition (Fimaden). In addition to these activities, he is President of Federação Nacional de Saúde Suplementar—FENASAÚDE, a member of the Egregious Board of ANSP—National Academy of Insurance and Pension Plans and member of the Consulting Board of APTS—São Paulo Association of Insurance Technicians and Vice-President of the Executive Board of Instituto de Estudos em Saúde Suplementar—IESS and member of the Superior Board and Vice-President of Federação Nacional das Empresas de Seguros Privados e de Capitalização—FENASEG. He was a Sector Director of ADVB—Association of Sales Directors of Brazil, President of Anapp—National Association of Private Pension, a member of the Managing Board of Abrasca—Brazilian Association of Publicly-held Companies and of the Rio de Janeiro Commercial Association, a member of the Board of Directors of Companhia Siderúrgica Belgo-Mineira and Marketing Sector Director and a member of the National Board of Banking Ethics (Coneb) of the Brazilian Federation of Banks (Febraban).

     Sérgio Socha, Vice President: Born on March 15, 1946. Accounting technician. Mr. Socha began his career at Banco Indústria e Comércio de Santa Catarina S.A. in September 1961. With the acquisition of Banco Indústria e Comércio de Santa Catarina S.A., he joined our staff in May 1968. Since then he has held a variety of positions within the banking sector, such as being appointed in Bradesco as an Officer in March 1986, Departmental Officer from July 1995 to January 1998 and Vice President since July 1999. He also holds a variety of positions within Organização Bradesco, such as member of the Board of Trustees and Managing Officer of Fundação Bradesco and member of the Board of Directors and Managing Director of Institute of Diseases of the Digestive System and Nutrition (Fimaden). Mr. Socha was an officer of BCN S.A. from December 1997 to November 1998. At that time, he became Vice President of BCN, a position he held until July 1999, and Vice-President of ABECIP, the Brazilian Association of Home Loan and Savings Entities, from November 1999 to March 2002. He was a Member of the Deliberation Council from March 2002 to November 2003.

     Julio de Siqueira Carvalho de Araujo, Vice President: Born on December 10, 1954. Mr. Carvalho de Araújo began his career in March 1978 at Banco BCN S.A., an institution that was acquired by us in 1997. He has held a variety of positions within the banking sector, such as being appointed in Bradesco Officer in October 1989 and Vice President of BCN from May 1995 to August 2000. Since August 2000 he has been our Vice President. He also holds a variety of positions within Organização Bradesco, such as member of the Board of Trustees and Managing Officer of Fundação Bradesco and member of the Board of Directors and Managing Director of Institute of Diseases of the Digestive System and Nutrition (Fimaden). In addition to these activities, he serves as a member of the board of directors of the Bolsa de Mercadorias & Futuros—BM&F S.A. and alternate member of the Board of Directors of Interbank Chamber of Payments—CIP. He was effective member of the Board of Directors of Companhia Brasileira de Liquidação e Custódia (CBLC) and member of the Deliberative Board of the Brazilian Association of Real Estate Credit and Savings Entities—ABECIP.

185


Table of Contents

     Milton Almicar Silva Vargas, Vice President: Born on May 10, 1956. Mr. Vargas received a degree in business administration from UNIFIEO - University Center FIEO of Osasco. He began at Bradesco in July 1976. Mr. Vargas has held a variety of positions within the banking sector, such as being appointed in Bradesco as Departmental Officer in December 1997, Managing Officer in March 2000 and Vice President since March 2002. He also holds a variety of positions within Organização Bradesco, such as member of the Board of Trustees, Managing Officer of Fundação Bradesco and member of the Board of Directors and Managing Director of Institute of Diseases of the Digestive System and Nutrition (Fimaden). In addition to these activities, he is a Member of the Board of Directors of the Brazilian Institute of Investor Relations (IBRI). Mr. Vargas is also an alternate member of the National Board of Banking Ethics and Auto-Regulation, member of the Fiscal Council of the Credit Guarantee Fund - FGC and a member of the Managing Board of Abrasca—Brazilian Association of Publicly-held Companies. He was an effective member of the Fiscal Council of ASSOBESP—Association of Banks of the State of São Paulo, National Federation of Banks (Fenaban), Brazilian Federation of Banks (Febraban), Union of Banks in the States of São Paulo, Paraná, Mato Grosso, Mato Grosso do Sul, Acre, Amazonas, Pará, Amapá, Rondônia and Roraima, effective member of the Board of Directors of CPM Braxis S.A. and a representative of Bradesco in the Managing Board of Brazilian Institute of Accounting, Actuarial and Financial Researches—Ipecafi.

     José Luiz Acar Pedro, Vice President: Born on November 23, 1952. Mr. Pedro received a business administration degree from the Santana College of Economic and Accounting Sciences at São Judas Tadeu University in São Paulo/SP. He began his career in January 1971 at Banco BCN S.A., a financial institution that was acquired by us in December 1997. Mr. Pedro has held a variety of positions within the banking sector, such as being appointed in Bradesco as an Officer in June 1986, an Executive Officer in May 1996 and CEO of BCN from March 1999 to March 2004. In February 2003, he was elected as Executive Vice President of Banco Bradesco S.A., a position that he currently holds. He also holds a variety of positions within Organização Bradesco, such as member of the Board of Trustees and Managing Officer of Fundação Bradesco and member of the Board of Directors and Managing Director of Institute of Diseases of the Digestive System and Nutrition (Fimaden). In addition to these activities, he has been an effective member of the Board of Directors of CPM Holdings Ltd. and CPM Braxis S.A., Vice-President of Febraban, Vice-President and Deputy Commissioner of Consif in Fenaban; Treasury Officer of the banks unions in the States of São Paulo, Paraná, Mato Grosso, Mato Grosso do Sul, Acre, Amazonas, Pará, Amapá, Rondônia and Roraima and Member of the Ethics Committee of the Brazilian Institute of Investor Relations (IBRI), having occupied the posts of Chairman and Member of the Board of Directors. He was Chairman of the Board of Directors of BCN Corretora de Títulos e Valores Mobiliários S.A.; CEO of Banco Boavista Interatlântico S.A., Banco Mercantil de São Paulo S.A and Potenza S.A. Processamento de Dados; CEO and Member of the Advisory Board of BCN Asset Management S.A.; Director of Financiadora BCN S.A.—Crédito, Financiamento e Investimentos; Member of the Curator Council of the National Quality Foundation—FNQ; alternate member of the Social and Economic Development Council—CDES; and member of the Managing Board of Abrasca.

     Norberto Pinto Barbedo, Vice-President: Born on February 26, 1952. Mr. Barbedo received an accounting degree from Tibiriçá College of Accounting Sciences. He began his career in January 1968 at Banco BCN S.A., a financial institution that was acquired by us in December 1997. Mr. Barbedo has held a variety of positions within the banking sector, such as being appointed in Bradesco as an Officer in October 1989 and Executive Officer and Vice-President of Banco BCN S.A. from December 1997 to March 2004. In February 2003, Mr. Barbedo was appointed our Executive Officer and Vice-President. He also holds a variety of positions within Organização Bradesco, such as member of the Board of Trustees, Managing Officer of Fundação Bradesco, member of the Board of Directors and Managing Director of the Institute of Diseases of the Digestive System and Nutrition (Fimaden). Besides these activities, he is Vice-President of the Brazilian Association of Real Estate Credit and Savings Entities—ABECIP and Chairman of the Board of Directors of Companhia Brasileira de Securitização—Cibrasec. Mr. Barbedo was Vice-President of Banco Boavista Interatlantico S.A., Banco Mercantil de São Paulo S.A., Banco Zogbi S.A. and Potenza S.A. Processamento de Dados. He also served as director of BCN Corretora de Títulos e Valores Mobiliários S.A. and Officer of Financiadora BCN S.A.—Crédito, Financiamento e Investimentos.

186


Table of Contents

     Armando Trivelato Filho, Managing Officer: Born on August 10, 1946. Mr. Filho received a degree in civil engineering from Minas Gerais University. He began at Bradesco in May 1977. Mr. Trivelato has held a variety of positions within Bradesco, such as being appointed in Bradesco as Departmental Officer in July 1988, Deputy Managing Officer in March 1998 and a Managing Officer since March 1999. He is also a member of the Board of Trustees of Fundação Bradesco and member of the Board of Directors of the Institute of Diseases of the Digestive System and Nutrition (Fimaden). Prior to that he was an Engineer of Bradesco S.A. Crédito Imobiliário, Officer of the Digilab—Laboratório Digital Ltda., director of Matel Tecnologia de Teleinformática S.A.—MATEC, alternate director of the Companhia Siderúrgica Nacional—CSN, Officer and director of Matel S.A. - Participação and Administração, Vice-Chairman of Teletrim Telecomunicações S.A. and director of VICOM S.A.

     Carlos Alberto Rodrigues Guilherme, Managing Officer: Born on December 21, 1943, Mr. Guilherme received a law degree from Pinhalense Education Foundation. He began at Bradesco in December 1957. Mr. Guilherme has held a variety of positions within the banking sector, such as being appointed as Departmental Officer in March 1986, Deputy Managing Officer in March 1998 and a Managing Officer since March 1999. He also holds a variety of positions within Grupo Bradesco, such as member of the Board of Trustees of Fundação Bradesco and member of the Board of Directors of the Institute of Diseases of the Digestive System and Nutrition (Fimaden). Prior to that, he served as Officer of Banco de Crédito Real de Minas Gerais S.A. from April 1998 until April 2003 and of Credireal Leasing S.A.—Arrendamento Mercantil from April 1998 to September 1999.

     José Alcides Munhoz, Managing Officer: Born on July 23, 1948. Mr. Munhoz began at Bradesco in October 1970. He has held a variety of positions within the banking sector, such as being appointed in Bradesco as Officer in March 1989, Departmental Officer in January 1995, Deputy Managing Officer in March 1998, and a Managing Officer since March 1999. He is a member of the Board of Trustees of Fundação Bradesco and member of the Board of Directors of the Institute of Diseases of the Digestive System and Nutrition (Fimaden). He was also elected Director of Bradesco Consórcios Ltda, current Bradesco Administradora de Consórcios Ltda.

     José Guilherme Lembi de Faria, Managing Officer: Born on June 25, 1945. Mr. Lembi de Faria received a degree in economics from the Fluminense Federal University. He began his career in January 1967 at Banco Mineiro do Oeste S.A., which was acquired by us in 1973. In September 1981 he was designated General Manager of our New York Branch. After returning to Brazil, he became an Officer in March 1993, appointed as Departmental Officer in February 1995, Deputy Managing Officer in March 1998, and a Managing Officer since March 1999. He is also a member of the Board of Trustees of Fundação Bradesco and member of the Board of Directors of the Institute of Diseases of the Digestive System and Nutrition (Fimaden), CEO of Banco Bradesco Argentina S.A., Vice-President of the Bradesco Services Co., Ltd., Officer of Bradesco Trade Services Limited and of Cidade Capital Markets Ltd., Manager of Bradport—S.G.P.S. Sociedade Unipessoal, Lda. and Managing Officer of Bram—Bradesco Asset Management S.A. Distribuidora de Títulos e Valores Mobiliários. Besides these activities, he is Member of the Advisory Board of the Brazilian Center for International Relations—CEBRI. He was a Member of the Board of Directors and Treasury Director of Boavista Banking Limited.

187


Table of Contents

     Luiz Pasteur Vasconcellos Machado, Managing Officer: Born on June 14, 1948. Mr. Machado received a law degree from the United Metropolitan Colleges—FMU. He began at Bradesco in June 1962. He has held a variety of positions within the banking sector, such as being appointed in Bradesco as an Officer in March 1986, Departmental Officer in March 1992, Deputy Managing Officer in March 1998, and a Managing Officer since March 1999. He is also a member of the Board of Trustees of Fundação Bradesco and member of the Board of Directors of the Institute of Diseases of the Digestive System and Nutrition (Fimaden). He has also served as a member of the Board of Directors of Companhia Brasileira de Meios de Pagamento from April 1998 to April 2006, Chairman of the Smart Club do Brasil Ltda. from June 2004 to November 2004, where he has also held the position of member of its Board of Directors.

     Milton Matsumoto, Managing Officer: Born on April 24, 1945. Mr. Matsumoto received a degree in business administration from UNIFIEO—University Center FIEO of Osasco. He began at Bradesco in September 1957. He has held a variety of positions within the banking sector, such as being appointed in Bradesco as Departmental Officer in March 1985, Assistant Officer in March 1998, and a Managing Officer since March 1999. Mr. Matsumoto is also a member of the Board of Trustees of Fundação Bradesco and member of the Board of Directors of the Institute of Diseases of the Digestive System and Nutrition (Fimaden). He also serves as an alternate member of the Board of Directors of CPM Holdings Ltd., Secretary Officer of the union of the credit, financing and investing companies of the State of São Paulo of FENACREFI—Interstate Federation of Loan, Financing and Investment Institutions. He was an Officer of Bradesco S.A. Corretora de Títulos e Valores Mobiliários from January 1984 to March 1985; the first Secretary Officer of the Bank Union in the States of São Paulo, Paraná, Mato Grosso, Mato Grosso do Sul, Acre, Amazonas, Pará, Amapá, Rondônia and Roraima, from June 1989 to May 1998; and deputy member of the Board of Directors of CPM Braxis S.A. from February 2003 to March 2007.

     Odair Afonso Rebelato, Managing Officer: Born on July 28, 1945. Accounting technician. Mr. Rebelato began at Bradesco in August 1960. He has held a variety of positions within the banking sector, such as being appointed in Bradesco as an Officer in March 1989, Departmental Officer in March 1998, and a Managing Officer since August 2001. Mr. Rebelato is also a member of the Board of Trustees of Fundação Bradesco and member of the Board of Directors of the Institute of Diseases of the Digestive System and Nutrition (Fimaden).

     Aurélio Conrado Boni, Managing Officer: Born on July 19, 1951. Business Administration technician. He began at Bradesco in February 1971. He has held a variety of positions within the banking sector, such as being appointed in Bradesco as a Departmental Officer in December 1997 and a Managing Officer since December 2001. Mr. Boni is also a member of the Board of Trustees of Fundação Bradesco and member of the Board of Directors of the Institute of Diseases of the Digestive System and Nutrition (Fimaden).

     Domingos Figueiredo de Abreu, Managing Officer: Born on January 8, 1959. He received a degree in economics from College of Economic Sciences of Mogi das Cruzes and a degree in accounting from College of Economic Sciences and Administration of OSASCO—FEAO, with a postgraduate degree in Financial Administration (CEAG) from Fundação Getúlio Vargas and an MBA in Finance from the IBMEC (Capital Markets Brazilian Institute). Mr. Abreu began at Bradesco in December 1981. He has held a variety of positions within the banking sector, such as being appointed in Bradesco as a Departmental Officer in June 2001 and a Managing Officer since March 2002. Mr. Abreu is also a member of the Board of Trustees of Fundação Bradesco and member of the Board of Directors of the Institute of Diseases of the Digestive System and Nutrition (Fimaden). Since March 2006, he holds the position of deputy member of CPM Holdings Limited’s Board of Directors. He was officer of Banco BCN S.A. from December 1997 to June 2001 and deputy member of CPM Braxis S.A.’s Board of Directors from October 2001 to March 2007, where he was also a member of the Board of Technical Administration from June 1998 to May 1999.

188


Table of Contents

     Paulo Eduardo D’Avila Isola, Managing Officer: Born on December 11, 1955. Mr. Isola received a business administration degree from Braz Cubas University, Mogi das Cruzes, SP. He began his career as a Director of Continental Promotora de Venda Ltda, now called Finasa Promotora de Vendas Ltda, in July 1997. He later became Managing Director in April 2004. In March 2002, he became Managing Officer. He was designated Managing Officer of Banco BCN S.A. until February 2003, when he became our current Managing Officer. Mr. Isola also holds the position of member of the Board of Trustees of Fundação Bradesco and member of the Board of Directors of the Institute of Diseases of the Digestive System and Nutrition (Fimaden). He is also Vice-President of ACREFI—Associação Nacional das Instituições de Crédito, Financiamento e Investimento; Alternate Vice-Chairman of the Board of Directors of Fidelity Processadora e Serviços S.A. and Celta Holdings S.A.; member of the Board of Directors of Clicar Central On-Line de Financiamentos Sociedade Simples Ltda; member of the Board of Directors of Companhia Brasileira de Meios de Pagamento and Chairman of the Board of Directors of Companhia Leader de Investimentos and Josema Administração e Participações S.A.. Mr. Isola has also served as Technician Officer of the ABEL—Associação Brasileira das Empresas de Leasing and alternate director of CIBRASEC—Companhia Brasileira de Securitização.

     Ademir Cossiello, Managing Officer: Born on July 3, 1955. Mr. Cossiello received a degree in economics from Faculdades Padre Anchieta. He began at Bradesco in October 1973. He has held a variety of positions within the banking sector, such as being appointed in Bradesco as an Officer in January 1995 and Departmental Officer from March 1998 until September 1999. In June 2003, he became Executive Managing Director, a position he currently holds. Mr. Cossiello also holds positions as a member of the Board of Trustees of Fundação Bradesco and member of the Board of Directors of the Institute of Diseases of the Digestive System and Nutrition (Fimaden). Since August 2003, he is also a member of the Deliberative Council of the Commerce Association of São Paulo, where he previously held the position of member of the deliberative board from February to September 1999. He was an Officer and Managing Officer at Banco Baneb S.A. from June 1999 to October 2001. From October 2001 to March 2004, he served as Managing Officer of Banco BCN S.A., and from January 1995 to January 1997, he was a director of ASBAN—Associação de Bancos no Estado de Goiás.

     Sérgio Alexandre Figueiredo Clemente, Managing Director: Born on June 7, 1959. Graduated in Mechanical Engineering from PUC—Pontifícia Universidade Católica de Minas Gerais (Catholic University of Minas Gerais), with an executive MBA in Finance from IBMEC (Capital Markets Brazilian Institute) and specialization in Finance through the Executive Management Development Program (PDG), administered by the Business Development Corporation. He is currently attending the Advanced Management Program (PGA), administered by Fundação Dom Cabral and INSEAD. Mr. Clemente joined Banco BCN S.A. in May 1996 as Assistant Director. In January 1998, he was elected Director. With the acquisition of BCN, he joined the Bradesco staff, having been elected Departmental Director in March 2000, as the person responsible for the Corporate Department, and, in December 2006, became Executive Managing Director, position he currently holds. He is a member of the Governing Board of Fundação Bradesco and of the Board of Directors of the Institute of Diseases of the Digestive System and Nutrition (Fimaden).

189


Table of Contents

Compensation

     At the Annual Shareholders’ meeting, our shareholders establish the maximum global compensation of the members of our Board of Directors and Board of Executive Officers for the ensuing year. In 2007, our shareholders set the global compensation for our Directors and Executive Officers at R$170 million.

     In 2007, our directors and executive officers received aggregate compensation of R$170 million for their services, whether as members of the Board of Directors or Board of Executive Officers, as applicable, or as providers of services to our subsidiaries. No part of the aggregate compensation was paid as part of a profit sharing plan or in the form of stock options.

     We are not required under Brazilian law to disclose on an individual basis the compensation of the members of our Board of Directors, Board of Executive Officers or any other person of our management team, and we do not otherwise publicly disclose this information.

     Our directors and executive officers have the right to participate in the same complementary retirement pension plans available to all our employees. In 2007, we contributed R$200 million to pension plans on behalf of our directors and executive officers.

Board Practices

     Our shareholders elect the members of our Board of Directors at the annual general shareholders meeting for one-year terms and the board members can be reelected for consecutive terms. The Board of Directors appoints the members of our Board of Executive Officers for one-year terms, which can also be extended for consecutive terms.

     To become a member of our Board of Executive Officers, a person must have worked for us or our affiliates for a minimum of ten consecutive years and be less than sixty-five years old at the time of appointment. There are 36 departmental directors and 9 directors on the Board of Executive Officers. The departmental and directors direct the business of each of our various divisions and branches and report to the Board of Executive Officers. To become a departmental or director, a person must be an employee or executive officer at Bradesco or one of our affiliates and be less than sixty-two years old, in the case of departmental directors, or sixty years old, in the case of regional directors, at the time of appointment. Our Board of Directors may, for up to 25.0% of the members of our Board of Executive Officers, waive the fulfillment of certain requirements for their appointment, as follows:

I     
Executive Officers – the Board of Directors can waive the requirement pursuant to which the person should be an employee of Bradesco or any of its affiliates for at least 10 years. Notwithstanding the above, such requirement cannot be waived for persons to be appointed as Presidents or Vice-Presidents.
II     
Departmental and Regional Directors – the Board of Directors can waive the requirement pursuant to which the person should be an employee or member of the management of Bradesco or any of its affiliates.

     The members of our Board of Directors are required to work exclusively for us, unless granted an exception by the Board of Directors. Notwithstanding the above, the members of our Board of Directors are not required to be or to have been our employees, and service as a member of our Board of Directors does not constitute employment with us.

190


Table of Contents

Fiscal Council

     Under Brazilian law, corporations may have a “conselho fiscal,” or fiscal council, which is an independent corporate body, with general monitoring and supervision powers according to Brazilian Corporate Law. Our bylaws provide for a fiscal council and specify that if our shareholders convene a fiscal council, it shall have from three to five effective members and an equal number of alternates.

     Our fiscal council has three members (Domingos Aparecido Maia, José Roberto Aparecido Nunciaroni and Ricardo Abecassis Espírito Santo Silva) and three alternates (João Batistela Biazon, Nelson Lopes de Oliveira and Renaud Roberto Teixeira), all of whom were appointed on March 24, 2008, and all of whose terms will expire in March 2009. In accordance with Brazilian Corporate Law, our fiscal council has the right and obligation to, among other things:

supervise, through any of its members, the actions of our managers and to verify their fulfillment of their duties;
 
review and issue opinions regarding our financial statements prior to their disclosure, including the explanatory notes to the financial statements, the independent auditor’s report and any management reports;
 
opine on any management proposals to be submitted to the shareholders’ meeting related to:
 
  changes in our social capital,
   
  issuances of debentures or rights offerings entitling the holder to subscribe for equity
   
  investment plans and capital expenditure budgets,
   
  distributions of dividends, and
   
  transformation of our corporate form and corporate restructuring, as takeovers, mergers and spin-offs;
   
inform our management of any error, fraud, or felony it discovers and suggest measures management should take in order to protect our best interests. If our management fails to take these necessary steps, to inform the shareholders’ assembly; and
 
call general shareholders’ assemblies if management delays the general shareholders’ assembly for more than one month and call special shareholders’ meetings in case of material or important matters.

Board Committees

     Our shareholders approved the creation of the audit committee, the internal control and compliance committee and the compensation committee at an extraordinary shareholders’ meeting held on December 17, 2003. At an ordinary and extraordinary shareholders’ meeting held on March 27, 2006, our shareholders approved the transformation of the ethics committee into a statutory committee. At the ordinary and extraordinary shareholders’ meetings held on March 24, 2008, our shareholders approved the creation of the risks integrated management and capital allocation committee.

191


Table of Contents

     Audit Committee - Pursuant to our Bylaws and to Central Bank regulations since July 2004, we have appointed an Audit Committee, which may be comprised of three to five members, each of whom serves a term of one year. Our Audit Committee members are appointed by, and may be replaced by, the Board of Directors. The current members of the committee are Mário da Silveira Teixeira Júnior, who acts as coordinator, and Hélio Machado dos Reis, Paulo Roberto Simões da Cunha and Yves Louis Jacques Lejeune, as members with no specific designation. Of the members, only Mr. Mario Teixeira is a member of our Board of Directors.

     In addition, under Brazilian law, the function of hiring independent auditors is reserved for the board of directors of a company. As a result, our board of directors functions as our audit committee, as specified in Section 3(a)(58) of the Exchange Act, for purposes of approving, on a case-by-case basis, any engagement of our independent auditors for audit and non-audit services provided to our subsidiaries or to us. Except in these respects, our audit committee is comparable to and performs the functions of audit committees of U.S. companies. Since our Audit Committee cannot be compared to the audit committees of American companies in terms of commitment from our independent auditors in audit and non-audit services, we have relied on the exemption set forth in Exchange Act Rule 10A-3(c)(3) in this regard. For more information see “Item 16.D – Exemptions from the Listing Standards for Audit Committees.”

     The responsibilities of the audit committee include:

  • establishing its own rules of operation;

  • recommending to the Board of Directors which outside firm should be hired to provide independent audit services, the amount of compensation such firm should receive and providing recommendations as to substitute auditors;

  • reviewing financial statements prior to their disclosure, including the explanatory notes to the financial statements, the independent auditor’s report and management reports;

  • establishing and disclosing procedures for responding to any reports or allegations of a failure to comply with applicable legal requirements or internal codes and regulations, including procedures to ensure the confidentiality and protection of any persons providing information regarding such failures;

  • evaluating the effectiveness of the work of both the internal and the independent auditors, including their compliance with applicable legal obligations and internal regulations and codes;

  • meeting with the Directors and both the independent and the internal auditors at least quarterly;

  • assessing the Board of Directors’ responsiveness to any recommendations made by both the independent and internal auditors;

  • advising the Board of Directors regarding any conflicts between the external auditors and the Board of Executive Officers;

  • recommending policies, practices and procedures for improving the performance of the Board of Directors; and

192


Table of Contents

  • following up by occasion of its meetings, on its recommendations and requests for information, including the planning of the respective auditing works in order to turn into minutes the content of such meetings.

     Internal Control and Compliance Committee - The Internal Control and Compliance Committee has three to six members, each with a term of one year. Members are appointed and replaced by the Board of Directors. The committee’s primary responsibility is to assist the Board of Directors with the performance of its duties related to the adoption of strategies, policies and measures governing internal controls, mitigation of risks, and compliance with applicable rules.

     Compensation Committee - The Compensation Committee has three to five members, all of whom are members of the Board of Directors, and each of whom serves a term of one year. Members are appointed by and replaced by the Board of Directors. The committee’s primary responsibility is to provide the Board of Directors with proposed policies and guidelines related to the compensation of our managers. The compensation is to be based on performance targets established by the Board.

     Ethics Committee - The Ethics Committee is comprised of up to nine members, each of whom serves for a one-year term. Members are appointed and may be replaced by the Board of Directors. The committee’s primary responsibility is to propose actions to ensure the enforcement of our Corporate and Sector Codes of Ethics and to promote awareness of it by our employees and management.

     Integrated Risk Management and Capital Allocation Committee – The Integrated Risk Management and Capital Allocation Committee currently has 11 members, each of whom serves a one-year term. Members are appointed and replaced by the Board of Directors. This committee’s primary responsibility is to advise the Board of Directors in the performance of its duties related to the approval of institutional policies and operational guidelines, and to establish of risk exposure limits. Currently, this committee is composed of our management, namely: the chief executive officer, who acts as coordinator, and the vice-presidents and managing and departmental directors of the risks management and compliance department.

Employees

     On December 31, 2007, we had 82,773 employees, of which 65,050 were employed by us and 17,723 were employed by our subsidiaries, as compared to 79,306 employees on December 31, 2006 and 73,881 employees on December 31, 2005.

     The following table sets forth the number of our employees and a breakdown of employees by main category of activity and geographic location as of the dates indicated:

    December 31,   
    
  2005  2006  2007 
    
Total number of employees  73,881  79,306  82,773 
Number by category of activity:       
 Banking:       
 Bradesco  61,347  63,163  65,050 
 Insurance activities  4,737  4,758  4,818 
 Pension plan activity  1,465  1,491  1,584 
 Other categories  6,332  9,894  11,321 
Number by geographic location:       
 Cidade de Deus, Osasco  9,708  10,235  10,702 
 Alphaville, Barueri  1,333  1,385  1,419 
 São Paulo  15,184  15,607  17,102 
Other locations in Brazil  47,599  51,982  53,446 
International  97  97  104 

193


Table of Contents


     During the period between 2005 and 2007, we acquired Morada Serviços, Amex Brasil, BEM and BMC.

     Our part-time employees work six hours a day, while our full-time employees work eight hours a day. We had 29,454 part-time employees and 53,319 full-time employees as of December 31, 2007 compared to 29,210 part-time employees and 50,096 full-time employees as of December 31, 2006 and 28,353 part-time and 45,528 full-time as of December 31, 2005.

     We generally hire our employees at the entry level, and encourage them to remain with us throughout their careers. In filling all positions, we give preference to candidates from within Bradesco, including middle management and senior positions. We also hire professionals from the marketplace, but to a lesser extent.

     On December 31, 2007, approximately 52% of our employees were associated with one of the labor unions that represents bank or insurance employees in Brazil. We consider our relations with our employees as well as with the labor unions to be good, in large part due to our philosophy of internal recruiting and open communication. We have not experienced any strikes during the past four years. We are party to two collective bargaining agreements: one relating to our banking employees and the other to our insurance sector employees.

     We offer our employees benefits which include a Bradesco Saúde health plan which permits beneficiaries to choose their doctors, hospitals and dentists throughout the country, supplementary retirement and pension plans, and subsidized life and accident insurance. We also have a team of social workers who work with our employees and their dependents. These benefits apply regardless of the employee’s position. Currently, 27% of our employees participate in our Bradesco Vida e Previdência pension plan. In accordance with our collective bargaining agreement, we also offer our employees profit-sharing compensation plans.

     We also offer professional training to our employees. In 2007, we invested R$75.3 million in training for professional qualification for a total of 1,021,153 participants. In 2006, we invested R$57.9 million in training for 1,167,743 participants. Our professional training department prepares and delivers personnel training and development courses in operating, technical and behavioral areas.

Share Ownership

     On December 31, 2007, the members of our Board of Directors and Board of Executive Officers indirectly held 4.30% of our voting capital and 2.15% of our total capital stock, in the aggregate, through a company called Elo Participações e Investimentos S.A., which we call “Elo.” In addition, some of our directors and executive officers directly hold shares of our capital stock. However, on December 31, 2007, each of our directors and senior managers individually owned, directly or indirectly, less than 1.00% of any class of our shares.

Item 7. Major Shareholders and Related Party Transactions.

Major Shareholders

     We are a publicly held corporation with, as of December 31, 2007, 1,514,005,545 common shares and 1,514,005,389 preferred shares, discounting treasury shares (as adjusted by the stock dividends approved at our special shareholders’ meeting held on March 24, 2008), and all of which are nominative and book-entry shares with no par value.

194


Table of Contents

     At our special general meeting held on January 4, 2008, our capital was increased by the issuance of 27,906,977 nominative, book-entry shares with no par value, 13,953,489 of which were common shares and 13,953,488 were preferred shares. At our special shareholders meeting held on March 24, 2008, our capital was increased by means of the issuance of 995,381,890 nominative, book-entry shares with no par value, 525,597,949 of which were common shares and 525,597,895 of which were preferred shares. For information on shareholders’ rights and our dividend distributions, see “Item 8. Financial Information—Policy on Dividend Distributions” and “Item 10. Additional Information—Memorandum and Articles of Incorporation—Organization—Allocation of Net Income and Distribution of Dividends.”

195


Table of Contents

The following chart illustrates our capital ownership structure as of December 31, 2007:


     Cidade de Deus Participações, a holding company, directly owns 48.22% of our voting capital and 24.12% of our total capital stock. Cidade de Deus Participações, in turn, is owned by the Aguiar family, Fundação Bradesco, and another holding company, Nova Cidade de Deus Participações S.A., which we call “Nova Cidade de Deus.” Nova Cidade de Deus is largely owned by Fundação Bradesco and Elo.

     Other than the 1999 share acquisitions by Elo and the 2003 share acquisitions by BBVA and the increase of BES participation interest in our voting stock, which are described below, to the best of our knowledge there has been no significant change in the percentage ownership held by any major shareholders during the past five years.

     The following table shows the direct ownership of our outstanding common and preferred shares on December 31, 2007. To the best of our knowledge, only those shareholders mentioned in the table below, except for the members of the Diretoria Executiva or the Board of Directors, directly hold five percent or more of our securities with voting rights.

196


Table of Contents

    % of   % of    
  Number of common Number of preferred Total Number  % of total
Shareholder  common shares shares preferred shares shares of shares  shares
       
  (number of shares, except %)
Cidade de Deus Participações  486,663,092  48.22  246,156  0.02  486,909,248  24.12 
Fundação Bradesco(1) 165,718,222  16.42  22,752,281  2.25  188,470,503  9.34 
Banco Bilbao Viscaya Argentaria  50,566,602  5.01  415,508  0.04  50,982,110  2.53 
Banco Espírito Santo S.A.  64,979,080  6.44  58,600  0.01  65,037,680  3.22 
Members of the Board             
   Lázaro de Mello Brandão  (*) (*) (*) (*) (*) (*)
   Antônio Bornia  (*) (*) (*) (*) (*) (*)
   Mário da Silveira Teixeira Júnior  (*) (*) (*) (*) (*) (*)
   Márcio Artur Laurelli Cypriano  (*) (*) (*) (*) (*) (*)
   João Aguiar Alvarez  (*) (*) (*) (*) (*) (*)
   Denise Aguiar A. Valente  (*) (*) (*) (*) (*) (*)
   Raul Santoro de Mattos Almeida  (*) (*) (*) (*) (*) (*)
   Ricardo Espírito Santo S. Salgado  (*) (*) (*) (*) (*) (*)
Total Board of Directors  9,541,368  0.95  9,790,958  0.97  19,332,326  0.96 
Members of the Diretoria Executiva             
   Laércio Albino Cezar  (*) (*) (*) (*) (*) (*)
   Arnaldo Alves Vieira  (*) (*) (*) (*) (*) (*)
   Luiz Carlos Trabuco Cappi  (*) (*) (*) (*) (*) (*)
   Sérgio Socha  (*) (*) (*) (*) (*) (*)
   Julio de Siqueira Carvalho de             
         Araújo  (*) (*) (*) (*) (*) (*)
   Milton Almicar Silva Vargas  (*) (*) (*) (*) (*) (*)
   José Luiz Acar Pedro  (*) (*) (*) (*) (*) (*)
   Norberto Pinto Barbedo  (*) (*) (*) (*) (*) (*)
   Armando Trivelato Filho  (*) (*) (*) (*) (*) (*)
   Carlos Alberto Rodrigues             
         Guilherme  (*) (*) (*) (*) (*) (*)
   José Alcides Munhoz  (*) (*) (*) (*) (*) (*)
   José Guilherme Lembi de Faria  (*) (*) (*) (*) (*) (*)
   Luiz Pasteur Vasconcellos             
         Machado  (*) (*) (*) (*) (*) (*)
   Milton Matsumoto  (*) (*) (*) (*) (*) (*)
   Odair Afonso Rebelato  (*) (*) (*) (*) (*) (*)
   Aurélio Conrado Boni  (*) (*) (*) (*) (*) (*)
   Domingos Figueiredo de Abreu  (*) (*) (*) (*) (*) (*)
   Paulo Eduardo D’Avila Isola  (*) (*) (*) (*) (*) (*)
   Ademir Cossielo.  (*) (*) (*) (*) (*) (*)
   Sergio Alexandre Figueiredo             
         Clemente  (*) (*) (*) (*) (*) (*)
Total Members of the Diretoria             
   Executiva  401,494  0.04  924,687  0.09  1,326,181  0.07 
Subtotal  777,869,858  77.08  34,188,190  3.38  812,058,048  40.24 
       
Other  231,467,172  22.92  975,148,736  96.62  1,206,615,908  59.76 
       
Total  1,009,337,030  100.00  1,009,336,926  100.00  2,018,673,956  100.00 
       
_______________
(1)
Also indirectly owns, through its interest in Cidade de Deus Participações and Nova Cidade de Deus, 31.79% of our common shares and 15.90% of our total shares. 
(*)
None of the members of our Board of Directors, Board of Executive Officers or other administrative, supervisory or management bodies directly or beneficially holds 1.0% or more of any of our classes of shares, and their individual share ownership has not been previously disclosed to our shareholders or otherwise made public. See “Item 6. Directors, Senior Management and Employees—Share Ownership” for more information. 
(**)
These figures were not adjusted to reflect the stock split approved on March 24, 2008. As adjusted to these stock split, our capital stock is divided into 1,514,005,545 common shares, 1,514,005,389 preferred shares and 3,028,010,934 total shares on December 31, 2007.


197


Table of Contents

     The following is a brief description of our principal beneficial shareholders. None of the principal beneficial shareholders have voting rights that differ from those of the other holders of our common shares, except that pursuant to the June 9, 2003 Shareholders’ Agreement, BBVA has the right to name one member of our Board of Directors. For more information, see “Item 4. Information on the Company—History and Development of the Company—History—Acquisitions in 2003 and 2004—Acquisition of BBV Banco.”

Cidade de Deus Participações

     Cidade de Deus Participações is a holding company that holds investments in other companies. It also administers, purchases and sells securities and other assets on its own account. Its shareholders are Nova Cidade de Deus, with 44.78% of its common and total shares, Fundação Bradesco, with 33.11% of its common and total shares, and the Aguiar family, with 22.11% of its common and total shares as of December 31, 2007. The company’s capital stock is made up of common, nominative book-entry shares, with no par value.

Nova Cidade de Deus

     Nova Cidade de Deus is a holding company that holds investments in other companies, particularly those that directly or indirectly own our voting capital. On December 31, 2007, the company owned, through its participation in Cidade de Deus Participações, 21.59% of our common shares and 10.80% of our total shares.

     The capital stock of Nova Cidade de Deus is divided in class A and class B common shares and one class of preferred shares. Ownership of the class B common shares is limited to:

  • members of our Diretoria Executiva;

  • former members of our Diretoria Executiva, who have become members of our Board of Directors;

  • former members of our Diretoria Executiva, who have become members of the Board of Directors of one or more of our subsidiaries; and

  • commercial or civil associations in which the majority of the voting interest is owned by the individuals above.

     Ownership of Nova Cidade de Deus’ Class “A” common shares is limited to the persons entitled to own Class B common shares and any civil associations and private foundations managed by them or their appointed representatives. Only the class A and class B common shareholders in Nova Cidade de Deus have voting rights.

The Aguiar Family

     As of December 31, 2007, three members of the Aguiar family, along with the estate of Mr. Amador Aguiar, indirectly owned, by way of their participation in Cidade de Deus Participações, 10.66% of our common shares and 5.33% of our total shares. In addition, the same parties directly held a total of 1.12% of our common shares and 1.04% of our preferred shares and 1.08% of our total shares. None of the individual members of the Aguiar family directly holds more than 1.00% of our voting shares.

198


Table of Contents

Fundação Bradesco

     As of December 31, 2007, Fundação Bradesco, directly and indirectly, through its participation in Cidade de Deus Participações and Nova Cidade de Deus, owned 48.21% of our common shares, 2.27% of our preferred shares and 25.24% of our total shares. Under the terms of Fundação Bradesco’s bylaws, all of our directors, members of the Board of Executive Officers and departmental directors, as well as all directors and officers of Cidade de Deus Participações, serve as members of the board of trustees of Fundação Bradesco, known as the “Board of Trustees”. They receive no compensation for their service on the Board of Trustees.

     Fundação Bradesco, the center of our social activities, was founded in 1956 to invest in the development and education of children, teenagers and adults in Brazil, especially the poorest, in order to facilitate their “social inclusion”. Throughout its 51 years of activities, Fundação Bradesco has offered quality, free-of-charge, formal education to more than 2 million students and distance education programs (and other in-class courses) to more than 500,000 students.

     In 2007, Fundação Bradesco assisted over 384,000 students, 109,000 of which were assisted at Fundação Bradesco’s own facilities and 275,000 of which were assisted by means of its virtual school, e-learning portal, and digital inclusion centers. Fundação Bradesco offers a wide range of educational programs, including basic education, from kindergarten to high school, adult and youngster education and preliminary and continuing qualification for workers. Fundação Bradesco also provides basic education students (approximately 50,000 students) with free-of-charge uniforms, school supplies, meals and medical and dental care.

     Students passage rates in Fundação Bradesco’s Schools has been an average of 96%, over the last five years, equivalent to the best international standards.

     Aiming at catering for the challenges of updating, qualifying and re-qualifying employees with different levels of education, Fundação Bradesco offers more than 100 options of free courses, with flexible programs, modeled with the goal of training the participants to set up their own business or to conquer better positions in the job market. Within that context, we can highlight the courses in the Graphic Technology, Agribusiness, Management, Information Technology, Fashion, Leisure and Development, which expands the solid bonds with the regional markets, as well as with the communities’ specific interests.

     On March 18, 2007, all the units of Fundação Bradesco conducted the “National Day of Voluntary Action”, rallying over 27,000 volunteers in more than 149 locations, which included the Public Network Schools and Digital Inclusion Centers (Centro de Inclusão Digital). On that occasion, the volunteers carried out more than 1 million services in the citizenship, education, leisure, sports and environment areas.

     The alliances consolidated over the years allowed Fundação Bradesco to expand its achievements, giving a new breath to special programs aimed at updating knowledge and making it more democratic. With the Media Lab, a Research Center at MIT—Massachusetts Institute of Technology, Fundação Bradesco developed projects that integrate technology and social issues. The D-Lab (Development Laboratory) is another project in which students at MIT, USP (São Paulo University) and Fundação Bradesco work together on the implementation of technologies in the Indian community of Javaés, in Canuanã, State of Tocantins. In addition, in 1997, together with Fundação Roberto Marinho, from Organizações Globo, Fundação Bradesco co-founded Canal Futura – “The Knowledge Channel.” In 2007, Fundação Bradesco invested R$18,841 million in the Knowledge Channel, which currently reaches around 33 million viewers.

199


Table of Contents

     The IT for the Visually Handicapped Program, implemented nine years ago, has already attended to 8 thousand students, and the “Intel Educação para o Futuro” (Intel Education for the Future) and “Intel Aprender” (Intel Learn) complete the list of initiatives in the technology area, having attended to over 56 thousand educators and 19 thousand young people. Since 1998, through “Programa Alfabetização Solidária” (Solidary Literacy Program), Fundação Bradesco has contributed to the literacy of residents of the North and Northeast regions, investing R$900 thousand in 2007 to provide education for more than 6 thousand Brazilian citizens.

     The “Virtual School” e-learning portal develops 184 distance education programs and hybrid education courses in information technology and teachers qualification. The “Virtual School” has already benefited more than 165 thousand students. By means of “Virtual School”, Fundação Bradesco also promoted the digital inclusion of surrounding populations through its 69 CIDs—Digital Inclusion Centers, four of which are located indigenous communities and which together benefited more than 109 thousand students.

     Aiming at promoting environmental education and reforestation actions, Fundação Bradesco supports Fundação SOS Mata Atlântica, by keeping 15 nurseries for the growing of seedlings in its facilities. In 2007, Fundação Bradesco also launched the book “Ações no Presente para um Futuro Melhor” (“Present action for a better future,” which contains the main 50 Environmental Education projects developed in its 40 schools throughout Brazil, and four DVDs of “Environmental Education at Schools”.

     The Fundação Bradesco’s activities were acknowledged by Havard University’s John F. Kennedy School of Government when they became a case study under the title “The challenges of Fundação Bradesco: making the difference in the Brazilian educational system,” which describes the 50 years of activities and possible future actions of the Fundação Bradesco in the field of education.

     The depth and reach of Fundação Bradesco’s social actions deserved the acknowledgment of several awards, among which the highlights are the 2007 Social Intelligence Award, Brands & Leader’s Diploma, Afro Brazilian Civic Merit Medal, João Ribeiro Medal of the Brazilian Academy of Literature, the Republic of Brazil’s Order of Judicial Merit for Labour, 50th Scientist of Tomorrow Contest (Ibecc-Unesco Award and MEC Award), IT Leaders 2007 Award and Social Responsibility Award.

     Fundação Bradesco represents an unmistakable form of wealth distribution generated by the Bradesco Organization, keeping in mind that its main funding source comes from its participation in our capital stock. Furthermore, Fundação Bradesco’s work has been improving the quality of life in communities where it operates.

     Fundação Bradesco’s 2007 budget totaled R$200.9 million, and for 2008, we estimate that R$220.0 million will be allocated in order to finance assistance to more than 411,000 students, over 110,000 students assisted within the foundation’s own facilities (in basic education and education for adults, youngsters and workers) and more than 301,000 in other in-class and distance learning courses through “Virtual School” and CIDs—Digital Inclusion Center. Over the last ten years, the accumulated investment of Fundação Bradesco was R$3.047 billion.

200


Table of Contents

Elo Participações e Investimentos

     Elo indirectly owned, through its participation in Nova Cidade de Deus, 5.58% of our common shares and 2.79% of our total shares on December 31, 2007. Elo is a holding company that was organized to hold interests in our capital and in the capital of our indirect and direct shareholders. In 1999, Elo acquired from several shareholders an indirect interest of 5.51% of our voting capital. Only members of the Board of Directors or the Board of Executive Officers and qualified employees of Banco Bradesco, Bradespar, or our subsidiaries may own shares in Elo. However, only the members of the Board of Directors and executive officers may own voting shares. Most of our board members and executive officers own shares in Elo.

BBVA

     BBVA is a global financial group headquartered in Bilbao, Spain. On December 31, 2007, BBVA directly owned 5.01% of our common shares and 2.53% of our total shares. Pursuant to our acquisition of BBV Banco in June 2003, we issued, for distribution to BBVA, common and preferred shares equal to 4.4% of our share capital, valued at R$630.0 million. Subsequently, BBVA increased its percentage ownership through purchases of our shares on Bovespa.

     In March 2008 we announced to the market that BBVA notified the exercise of put option in its shareholding, pursuant to the Shareholders’ Agreement executed in June 2003, and such position was acquired on April 11, 2008.

     BBVA offers retail, wholesale and investment banking services, asset management services and insurance, among other activities. As of December 31, 2003, Chase Nominees Ltd. held 5.25% of BBVA’s capital. We are not aware of any other significant individual holdings in BBVA’s share capital or any persons exercising substantial control.

     Pursuant to the June 9, 2003, Shareholders’ Agreement, BBVA has the right to elect one member of our board of directors. Accordingly, José Fonollosa García was appointed to our board of directors on June 9, 2003, and was replaced in January 2005 by Mr. Raul Santoro de Mattos Almeida. For more information regarding the Agreement, see “Item 4. Information on the Company—History and Development of the Company—History—Acquisitions in 2003 and 2004—Acquisition of BBV Banco.”

BES

     Banco Espírito Santo S.A. (BES) is a commercial bank whose headquarters are in Portugal. In December 2007, BES directly held 6.44% of our common shares and 3.22% of our total capital. Currently Mr. Ricardo Espírito Santo Silva Salgado represents BES on our Board of Directors.

Other

     Direct market holdings represented 22.92% of our voting capital on December 31, 2007 (including equity participations of 1.22% held by Bank of Tokyo Mitsubishi—UFJ (MUFG)) and 96.62% of our preferred shares. Direct and indirect participation by the market in our common and preferred shares represented effective interest over 59.76% of our capital stock on December 31, 2007.

     On December 31, 2007, 20.58% of our preferred shares and 12.78% of our common shares were held by 3,699 foreign investors registered with the Companhia Brasileira de Liquidação e Custódia (Brazilian Clearance and Depository Corporation), known as “CBLC.” At the same date, our ADRs represented 22.81% of our preferred shares and our GDRs represented 0.05% of our preferred shares.

201


Table of Contents

Related Party and Subsidiary Transactions

Under laws nos. 4,595/64 and 7,492/86, financial institutions may not grant loans or advances to:

  • officers and members of the board of directors, fiscal councils, advisory committees and similar corporate bodies, their spouses and relatives up to the second degree;

  • individuals or legal entities with a direct or indirect equity interest of at least 10%;

  • legal entities in which such financial institutions held a direct or indirect equity interest of at least 10%; or

  • legal entities in which capital any officers or managers of such financial institution, including their spouses or relatives of the second degree, held a direct or indirect equity interest of at least 10%.

     Accordingly, we have not made any loans or advances to any of our subsidiaries, affiliates, executive officers, board members or their relatives of second degree. Under Brazilian regulation, financial institutions must keep any record of impediment updated in order to avoid the occurrence of any prohibited loan or cash advance. For further details on restrictions on the operations of financial institutions, see “Item 4. Regulation and Supervision—Bank Regulations—Principal Limitations and Restrictions on Activities of Financial Institutions.”

Distribution of Products in our Branches

     All of our business units and subsidiaries, including Bradesco Leasing, Bradesco Consórcios, Bradesco Seguros, Bradesco Vida e Previdência and Bradesco Capitalização, use our branch network as a distribution channel for the sale of insurance, pension funds, certificated savings plans, consortiums and other products, leases and services. We record all costs related to the branch network in our financial statements.

     For further discussion of the use of our branches by our business units and subsidiaries for distribution, see “Item 4. Information on the Company—History and Development of the Company—Distribution Channels—Branch System.”

Other Matters

     Until 2004, we made regular, voluntary contributions to our shareholder Fundação Bradesco, a charitable foundation. We did not make any donations to Fundação Bradesco in 2005, 2006 and 2007. Our donations to Fundação Bradesco totaled R$71.4 million in 2004 and R$62.7 million in 2003. For additional information about Fundação Bradesco, see “—Major Shareholders—Fundação Bradesco” and note 27 to our consolidated financial statements in Item 18.

     Bank of Tokyo Mitsubishi—UFJ (MUFG) owns 1.21% and BES owns 3.22% of our total equity, and BBVA owns 2.53% of our total capital, and they provide credit lines to us for trade-related transactions. The terms of these transactions are consistent with similar transactions that we engage in with other, unrelated entities.

202


Table of Contents

Item 8. Financial Information

     See “Item 18. Financial Statements,” which contains our audited consolidated financial statements prepared in accordance with U.S. GAAP.

Legal Proceedings

     We are party in civil, tax and labor administrative proceedings and lawsuits that have arisen during the normal course of our business. We do not have any litigation matters that are significant on an individual basis. We believe that there are no suits pending or threatened, individually or in the aggregate, that if decided against us or our subsidiaries would have a material adverse effect on our business, financial condition, properties, prospects or results of operations.

     As of December 31, 2007, of our litigation provision of R$9.1 billion, approximately 16.2% related to labor matters, approximately 69.0% related to tax-related matters and approximately 14.8% related to civil cases. For additional information see note 23 to our Consolidated Financial Statements in Item 18.

     We believe that as of December 31, 2007, we have provisioned sufficient funds to cover our expected losses from litigation matters, subject to the inflation-indexation requirement for provisions relating to certain tax matters.

     Labor matters. During 2007, we became involved in 4,038 new litigation matters related to labor claims, none of which is individually significant. These matters relate primarily to actions brought by employees who have been laid off. We have acquired a number of financial institutions in recent years. In connection with the acquisition of a financial institution and its integration into our Company, we commonly reduce our number of employees and the number of employees of the acquired institution, as a result of the synergy. The majority of the labor-related litigation matters that we are involved in relates to such reductions.

     Tax-related matters. We are a party in several tax administrative proceedings or lawsuits, including disputes relating to the constitutional validity of certain tax requirements. Some of these claims have the objective of avoiding the payment of taxes with which we do not agree and the other claims intend to recover the amount of taxes that we deem to have been unduly paid. The amounts that we did not pay as a result of these claims are fully provisioned and restated by inflation indexes determined by tax laws. The taxes to be refunded are only recorded when an unappealable decision acknowledging our right is rendered.

     Civil matters. We are a party in various civil cases arising from the normal course of our business activities. These matters consist mainly of claims for financial damages, generally for complaints regarding charging of due and non-paid financial debts, inflation indices resulting from economic plans, from bounced checks and from our credit information that is adverse to the bodies controlling credit information.

     In 2007, we had an increase in lawsuits claiming the applicability of inflation indices that were expunged when savings accounts were inflation-adjusted as a result of economic plans, although these adjustments were in accordance with the law in force at the time.

     Like certain other Brazilian banks, we are involved in a number of disputes with respect to the method used to account for the effects of inflation during periods of hyperinflation. In general, the Superior Court of Justice in Brazil has decided these disputes in favor of the banks. An unfavorable outcome to these disputes would not have a material adverse effect on our results of operations or financial position.

203


Table of Contents

     Other matters. We are not currently the subject of any pending or threatened material proceedings by the Central Bank, CVM, ANS or SUSEP. Our management believes that we are in compliance with all applicable Central Bank, CVM, ANS and SUSEP regulations.

Policy on Dividend Distributions

     Our Bylaws state that our Board of Directors shall recommend, at each annual shareholders’ meeting, a mandatory annual distribution to our shareholders of at least 30.0% of our adjusted net income, which is in excess of the minimum of 25.0% of net income established by Brazilian Corporate Law. For additional information, including exceptions to this requirement, see “Item 10. Additional Information—Memorandum and Articles of Incorporation—Allocation of Net Income and Distribution of Dividends.”

     Brazilian law authorizes companies to pay interest on shareholders’ capital to its shareholders, which is attributed to the amount of mandatory minimum dividend, net of withholding tax.

     Our policy relating to dividend distributions and/or interest on shareholders’ capital is to maximize the amount of distributions, in accordance with our tax management strategy. For additional information, see “Item 5. Operating and Financial Review and Prospects—Overview—Taxes.”

Item 9. The Offer and Listing

DESCRIPTION OF SECURITIES

     Our capital stock, adjusted to the split of our capital stock on March 12, 2007 and the acquisition of Banco BMC S/A, on August 24, 2007, comprises 1,010,165,730 common shares and 1,010,754,450 preferred shares, without par value. Our preferred shares are traded on the Bovespa under the symbol “BBDC4”. Our preferred shares are included in the Bovespa Index. On December 31, 2007, we had 975,148,736 preferred shares outstanding.

     Citibank N.A., as depositary bank, issued the Level I ADRs, for trading on the New York Stock Exchange—NYSE in June 1997 and, since February 2001, on the Market for Latin-American Stocks in euros, known as “Latibex,” in Madrid, Spain, under the symbol “XBBDC.”

     In November 2001, our Level II ADRs became listed on the NYSE under the symbol “BBD,” the ratio of ADRs to preferred shares was changed such that each ADRs that formerly represented 5,000 preferred shares now represents one preferred share. In March 2004, in addition to the corporate restructuring we has undergone, we have adjusted the parity of our ADRs in relation to our preferred shares in order to make each ADR to correspond to each preferred share.

     On December 17, 2003, our Board of Directors approved a reverse split of our shares at a 10,000:1 share ratio, resulting in a reverse split of one ADR at a 2:1 ratio, such that each ADR represents one preferred share. The reverse split was approved on January 06, 2004. As a result of the reverse split, the capital stock was altered to 79,894,005 common shares and 78,693,936 preferred shares. As of March 2004, our shares have been traded on the Bovespa, on the NYSE at one share per ADR, and on the Latibex at one share per GDR.

     On December 9, 2004, the extraordinary shareholders’ meeting approved a stock split, without changing value per share, at the ratio of two new shares for each share issued by us.

204


Table of Contents

     On November 11, 2005, our Board of Directors approved the issuance of subscription bonuses attached to our shares at a ratio of one new share of the same type to each share issued by us. Our shareholders had their equity interests in our capital stock increased, on a free basis. The above-mentioned bonus was approved by the Central Bank on November 14, 2005.

     On March 12, 2007, our Board of Directors approved a split of our capital stock. As a result, our shareholders were entitled to one new share for each existing share of the same class.

     On March 24, 2008, the Board of Directors resolved on the bonus, at the ratio of 1 new share of same type for each 2 shares held.

     These bonuses attached to our shares were carried out on the Bovespa in the sum ratio that was applied to the ADRs on the NYSE and the GDRs on the Latibex, maintaining the ratio of one share for each ADR and one share for each GDR.

     Our ADRs are traded on the NYSE under the ticker symbol “BBD.”

205


Table of Contents

     The following table shows, for the indicated period, the reported high and low closing sale prices in nominal reais for the preferred shares on Bovespa:

  Price per  Average monthly 
  Preferred share (1)(2) trading volume (1)(2)
   
  High  Low  (shares in units)
    
  (in R$)  
2003  12.61  7.82  51,166,210 
2004  17.15  8.98  47,348,207 
2005  38.07  14.59  49,361,417 
2006  46.02  28.33  47,462,200 
2007       
     1st Quarter  45.13  36.90  52,412,733 
     2nd Quarter  50.36  40.24  56,901,503 
     3rd Quarter  54.32  41.21  58,283,728 
     4th Quarter  62.31  49.90  55,948,786 
     December  62.31  53.96  52,819,740 
2008       
     1st Quarter  56.86  43.46  67,375,667 
     January  56.69  43.44  65,800,350 
     February  54.60  43.60  67,732,900 
     March  54.59  47.25  65,460,400 
     April  51.90  32.75  91,681,600 
     May  41.50  36.78  111,708,600 

_______________
(1)
Prices and amounts not adjusted by income. 
(2)
Prices and amounts adjusted by the stock split approved on March 12, 2007. 
Source: Economatica. 

206


Table of Contents

     The following table shows, for the indicated periods, the reported high and low closing sale prices in U.S. dollars for the ADRs on the NYSE:

        Average monthly 
  Price per ADR (1)(2) trading volume (1) (2)
  High  Low    (ADRs in units)
    
  (in US$)  
2003  4.48  2.22  29,240,050 
2004  6.34  2.92  26,441,100 
2005  17.70  5.47  45,086,117 
2006  21.91  12.34  61,540,383 
2007       
     1st Quarter  21.23  17.20  73,638,067 
     2nd Quarter  26.51  19.71  80,578,033 
     3rd Quarter       29.65  19.93  103,583,683 
     4th Quarter  35.61  27.06  97,570,545 
     December  35.61  29.65  89,039,482 
2008       
     1st Quarter  32.87  23.75  147,685,063 
     January  32.17  23.75  162,305,350 
     February  32.87  24.53  135,887,248 
     March  32.74  27.11  128,632,055 
     April  31.12  20.26  157,257,208 
     May  25.24  22.14  216,080,070 
_______________
(1)
Prices and amounts not adjusted by income. 
(2)
Prices and amounts adjusted by the stock split approved on March 12, 2007. 
Source: Economatica. 

     Our preferred shares are registered in book-entry form and we perform all the services of safekeeping and transfer of shares. Our shareholders may choose to hold their shares through the CBLC. Under Brazilian law non-Brazilian holders of our preferred shares may be subject to certain adverse tax consequences due to their ownership and any transfer of the preferred shares. For further discussion of the restrictions on the transfer of preferred shares, see “Item 10. Additional Information—Memorandum and Articles of Incorporation—Organization—Form and Transfer” and “—Exchange Controls.”

     Our ADSs are evidenced by ADRs as definitive receipts. ADSs may be held in book-entry form through financial institutions that are participants in the Depositary Trust Company, or DTC. The depositary bank, as registrar, performs the services of transfer of the ADRs. Title to an ADR (and to each ADS evidenced thereby), when properly endorsed or accompanied by proper instruments of transfer, is transferable by delivery with the same effect as in the case of a certificated security under the laws of the State of New York. Holders of the ADRs who transfer their ADRs may be required to:

  • reimburse the depositary bank for any taxes, governmental charges or fees the depositary bank has paid;

  • pay any transfer fees as required by the deposit agreement;

  • produce satisfactory proof of identity and genuineness of their signatures or any other documents required by the deposit agreement;

207


Table of Contents

  • comply with any United States, Brazilian or other applicable laws or governmental regulations; and

  • comply with such reasonable regulations, if any, as we and the depositary bank may establish consistent with the deposit agreement.

     All of our outstanding shares are fully paid and non-assessable.

     The rights of holders of our preferred shares are limited in comparison with those of the holders of common shares in several material ways:

  • Each common share entitles the holder to one vote at shareholders’ meetings, while holders of preferred shares are only entitled to a vote in the limited circumstances described in “Item 10. Additional Information—Memorandum and Articles of Incorporation—Organization—Voting Rights”; and

  • The nature of preferred shareholders’ preemptive rights to subscribe for shares or convertible securities depends on the proportion of capital that would be represented by preferred shares after the capital increase, as described under “Item 10. Additional Information— Memorandum and Articles of Incorporation—Organization—Preemptive Rights.”

     The holders of the ADSs have the rights corresponding to the underlying preferred shares, subject to the deposit agreement. Owners of the ADSs are parties to the deposit agreement and therefore are bound to its terms and to the terms of the ADRs that represent the ADSs.

TRADING ON THE SÃO PAULO STOCK EXCHANGE

     BOVESPA is a publicly traded corporation controlled by Bovespa Holding S.A. Beginning in April 2000, the Brazilian stock exchanges were reorganized through the execution of protocols of intention by the Brazilian stock exchanges. Until April 2004, all shares underlying securities were traded only on the Bovespa, with the exception of privatization auctions, which occurred on the Rio de Janeiro Stock Exchange. In May 2004, the Rio de Janeiro Stock Exchange reopened for the trading of certain Brazilian government securities.

     If you were to trade in our preferred shares on the Bovespa, your trade would settle in three business days after the trade date. The seller is ordinarily required to deliver the shares to the exchange before 10:00 A.M. on the third business day following the trade date. Delivery of and payment for shares are made through the facilities of the CBLC.

     The Bovespa is less liquid than the NYSE or other major exchanges in the world. On December 31, 2007, the aggregate market capitalization of the 404 companies listed on the Bovespa, was equivalent to approximately US$1,398 billion and the ten largest companies listed on the Bovespa represented approximately 50.69% of the total market capitalization of all listed companies. Although any of the outstanding shares of a listed company may trade on a Brazilian stock exchange, in most cases fewer than half of the listed shares are actually available for trading by the public, the remainder being held by a small group of controlling persons, by governmental entities or by one principal shareholder. As of December 31, 2007, we accounted for approximately 4.42% of the market capitalization of all listed companies on the Bovespa.

208


Table of Contents

     Trading on Brazilian stock exchanges by a holder not deemed to be domiciled in Brazil for Brazilian tax and regulatory purposes (a “non-Brazilian holder”) is subject to certain limitations under Brazilian foreign investment legislation. With limited exceptions, non-Brazilian holders may only trade on Brazilian stock exchanges in accordance with the requirements of Resolution 2,689 of the CMN. Resolution 2,689 requires that securities held by non-Brazilian holders be maintained in the custody of, or in deposit accounts with, financial institutions duly authorized by the Central Bank and the CVM. In addition, Resolution 2,689 requires non-Brazilian holders to restrict their securities trading to transactions on Brazilian stock exchanges or qualified over-the-counter markets. With limited exceptions, non-Brazilian holders may not transfer to other non-Brazilian holders the ownership of investments made under Resolution 2,689. See “Item 10. Additional Information - Exchange Controls” for further information about Resolution 2,689, and “- Taxation - Brazilian Tax Considerations - Taxation of Gains” for a description of certain tax benefits extended to non-Brazilian holders who qualify under Resolution 2,689.

Item 10. Additional Information.

MEMORANDUM AND ARTICLES OF INCORPORATION

     We are a publicly traded company duly registered with the CVM under No. 00090-6. Article 5 of our bylaws establishes our purpose as carrying out banking transactions, including foreign exchange activities.

Comparison of Bradesco Corporate Governance Rules and the Rules of the NYSE Applicable to U.S. Companies

     On November 4, 2003, the Securities and Exchange Commission (“SEC”) approved the final corporate governance rules of the NYSE. According to such rules, foreign private issuers are subject to a more limited set of requirements regarding corporate governance than those imposed on U.S. domestic issuers. As a foreign private issuer, we must comply with three rules imposed by the NYSE:

 (1)
the requirements set forth by the SEC concerning audit committees;
 
 (2)
our CEO must promptly notify the SEC in writing after any executive officer becomes aware of any material non-compliance with any of the applicable NYSE corporate governance rules; and
 
 (3)
we shall provide a brief description disclosing any significant ways in which our corporate governance practices differ from those followed by U.S. companies under NYSE listing standards.

209


Table of Contents

     The chart below provides a brief description of the significant differences between our corporate governance practices and those followed by U.S. companies under NYSE listing standards.

Article  NYSE Corporate Governance Rules for Domestic Issuers  Bradesco Corporate Governance Rules 
   
 
303A.01  
Independent directors must comprise a majority of the members of the board of directors of a listed company on NYSE. 
 
Brazilian law provides that only shareholders of a company may be appointed to its board of directors. Accordingly, there is no legal or statutory provision requiring Bradesco to have independent directors, however, one of our directors is independent and representative of BES located in Portugal. There is no minimum share ownership or residency requirement for qualification as a director. 
 
303A.03  
Non-management directors of a listed company must meet at regularly scheduled executive sessions without management. 
 
With the exception of our CEO, who is also a director of the Company, none of the directors of Bradesco are managers. The directors do not have regularly scheduled executive sessions without the presence of the CEO. 
 
303A.04  
Listed companies must have a nominating/corporate governance committee composed entirely of independent directors, with a written charter that addresses specific minimum requirements. 
 
We have a Corporate Governance Executive Committee composed of managers from Bradesco. The Committee has a charter that addresses certain minimum requirements. 
 
303A.05  
Listed companies must have a compensation committee composed entirely of independent directors, with a written charter that addresses specific minimum requirements. 
 
We have a Compensation Committee of three to five members, who are all members of the Board of Directors. The members are appointed by the Board of Directors, each with a one-year term of office. The committee’s primary responsibility is to provide the Board of Directors with proposed policies and guidelines related to the compensation of our managers. The compensation is to be based on performance targets established by the Board. 
 
    
None of the members of the Compensation Committee are independent directors. The compensation committee has a written charter that states the responsibilities of the committee. 

210


Table of Contents

Article  NYSE Corporate Governance Rules for Domestic Issuers  Bradesco Corporate Governance Rules 
   
 
303A.06 

303A.07 
 
Listed companies must have an audit committee, composed by a minimum of three members who satisfy the requirements of Rule 10A–3 under the Exchange Act, with a written charter that addresses specific minimum requirements. 
 
Pursuant to our Bylaws and to Central Bank regulations since July 2004, we have appointed an Audit Committee. Our Audit Committee is comprised of three to five members, each of whom serves for a term of one year and is appointed by, and may be replaced by, the Board of Directors. All the members to the Audit Committee are independent from our management. We currently have four members on our audit committee, and only one of these members is also a member of our Board of Directors. Under Brazilian law, the function of hiring independent auditors is reserved for the board of directors of a company. As a result, our Board of Directors acts as our Audit Committee, as specified in Section 3(a)(58) of the Exchange Act, for purposes of approving, on a case-by-case basis, any engagement of our independent auditors for audit and non-audit services provided to our s ubsidiaries or to us. Except in these respects, our audit committee is comparable to and performs the functions of audit committees of U.S. companies. Since our audit committee is a separate organ from our Board of Directors, pursuant to Central Bank regulations, we have relied on the exemption set forth in Exchange Act Rule 10A-3(c)(3) in this regard. 
 
    
The main obligations of our Audit Committee are: 
 
    • 
recommending to the Board of Directors which outside firm should be hired to provide independent audit services and the amount of compensation such firm should receive, as well as to recommend the replacement of such firm; 
 
    • 
reviewing statutory financial statements prior to their disclosure, including the explanatory notes to the financial statements, the independent auditor’s report and any management reports; 
 
    • 
establishing policies and procedures for responding to any reports or allegations of a failure to comply with applicable legal requirements or internal codes and regulations, including procedures to ensure the confidentiality and protection of any persons providing information regarding such failures; 
 
    • 
evaluating the work of both the internal and the independent auditors, including their compliance with applicable legal obligations and internal regulations and codes; 
    
    • 
meeting with the Board of Executive Officers and both the independent and the external auditors at least quarterly. 

211


Table of Contents

Article  NYSE Corporate Governance Rules for Domestic Issuers  Bradesco Corporate Governance Rules 
   
 
    
We also have a Fiscal Council, which can have from three to five members and an equal number of substitutes. It currently has three members and three alternates. The Fiscal Council is an independent corporate body. In accordance with Brazilian Corporate Law, the Fiscal Council’s responsibilities include: 
 
    • 
supervising, through any of its members, the actions of our managers and verifying the fulfillment of their duties; 
 
    • 
reviewing and issuing opinions regarding our statutory financial statements prior to their disclosure, including the explanatory notes to the financial statements, the independent auditor’s report and any management reports; and 
 
    • 
opining on any management proposals to be submitted to the shareholders’ meeting related to changes in our share capital, issuances of debentures or rights offerings entitling the holder to subscribe for equity, investment plans and capital expenditure budgets, distributions of dividends and/or interest on shareholders’ equity, changes in the corporate structure, mergers or spin-offs. 
 
303A.08  
Shareholders must be given the opportunity to vote on equity-compensation plans and material revisions thereto, with limited exemptions set forth in the NYSE rules. 
 
Under the Brazilian Corporate Law, shareholder approval is required for the adoption of any compensation plans upon delivery of equity interests. We currently do not have any stock option based compensation plan. 
 
303A.09  
Listed companies must adopt and disclose corporate governance guidelines addressing specific minimum requirements. 
 
Our corporate governance guidelines and practices are available in our website at www.bradesco.com.br on our Corporate Governance page. 

212


Table of Contents

Article  NYSE Corporate Governance Rules for Domestic Issuers  Bradesco Corporate Governance Rules 
   
 
303A.10  
Listed companies must adopt and disclose a code of business conduct and ethics for directors, officers and employees, and promptly disclose any waivers of the code for directors or executive officers. 
 
We have adopted code of ethics, which applies to the CEO, Chief Financial Officer, Chief Accounting Officer and any person in similar positions, as well as to the members of the Board of Directors, the Board of Executive Officers and employees, as well as to our partners and service providers. We have a Committee for Ethical Conduct, appointed by the Board of Directors, which is responsible for the enforcement of the Codes of Ethics, including determining which actions to take concerning the disclosure, dissemination and fulfillment of the Codes of Ethics, as well as ensuring its effectiveness. 
 
    
We will post any modifications or waivers to either Codes of Ethics on our website. 
 
303A.12  
A CEO of a listed company must promptly notify the NYSE in writing after any executive officer of the listed company becomes aware of any material non-compliance with any applicable provisions of Section 303A. 
 
Our CEO shall promptly notify the NYSE in writing, should any executive officer become aware of any material non-compliance with any applicable provision of the NYSE corporate governance rules. 

Organization

Qualification of Directors

     Brazilian law provides that only shareholders of a company may be appointed to its board of directors. There is no minimum share ownership or residency requirement for qualification as director.

Allocation of Net Income and Distribution of Dividends

     Our bylaws require the Board of Directors to recommend, at each annual shareholders’ meeting, the allocation of net income for the fiscal year as follows:

  • 5.0% of net income to a legal reserve, during each fiscal year, not to exceed 20.0% in the aggregate of our paid-in capital. This requirement shall not be applicable in fiscal years when the legal reserve, added to our other capital reserves, exceeds 30.0% of our paid-in capital;

  • upon proposal by our management, an amount to a contingency reserve against future losses, which amount is determined by our shareholders on the basis of what potential losses they consider probable, our shareholders never allocated profits to this reserve;

  • at least 30.0% of net income (after the deductions under the two preceding items) for mandatory distribution to our shareholders; and

  • any balance to revenue reserves for the maintenance of an operational margin that is compatible with the conduct of our lending business, up to a limit of 95.0% of our paid-in capital.

213


Table of Contents

     Our bylaws also authorize our shareholders to allocate an amount to a reserve for realizable revenue. Historically, our shareholders have not allocated amounts to such reserve.

     The minimum of 30.0% of our adjusted net income must be distributed as annual dividends and must be paid out within 60 days of the annual shareholders’ meeting in which the distribution is approved. However, Brazilian law permits us to suspend payment of the mandatory distribution if our Board of Directors reports to the shareholders’ assembly that the distribution would be incompatible with our financial condition, event in which the suspension is subject to approval by the shareholders’ meeting. Under Brazilian Corporate Law, the Conselho Fiscal shall prepare a report on this matter and the Board of Directors is obligated to present a justification for the suspension with the CVM within five days of the shareholders’ assembly. The income not distributed due to the suspension must be allocated to a special reserve. If not absorbed by subsequent losses, the amounts in the reserve shall be paid as dividends as soon as our financial situation permits.

     Preferred shareholders are entitled to receive dividends per share in an amount 10.0% greater than the dividends per share paid to the common shareholders.

     We must prepare financial statements on a quarterly basis. Our Board of Executive Officers, with Board of Directors approval, may distribute dividends based on the profits reported in interim financial statements. Our by-laws provide for the payment of interim dividends, which cannot exceed the amount of our retained earnings or our profit reserves contained in our last, annual or bi-annual financial statements. Our Board of Executive Officers bases the amount of the interim dividends on previously accrued or retained earnings.

     Since 1970, we have been distributing dividends on a monthly basis.

     Consistent with Brazilian law, our bylaws allow our Board of Executive Officers, upon approval by the Board of Directors, to make distributions in the form of interest on shareholders’ capital instead of dividends. Payments of interest on shareholders’ capital may be considered for the calculation of the mandatory dividend; such inclusion must be at net value. Since July 1997, we have been making monthly payments of interest on shareholders’ capital in an amount approved by our Board of Directors prior to the declaration of dividends at the end of each year. The amounts paid as interest on shareholders’ capital net of withholding income tax are attributed to the amount of the dividends declared at the end of each year. The section “—Taxation—Brazilian Tax Considerations—Distributions of Interest on Shareholders’ Capital” describes certain limits to be observed in payment of interest on shareholders’ capital and to deduct distributions made as interest on shareholders’ capital. As of May 2008, we started to pay monthly dividends, which are exempt from withholding income tax.

     According to the Brazilian law, a shareholder who does not receive a dividend payment may start a proceeding for the charging of these payments within three years, counting from the date when the dividends are made available for distribution. When that term ends, the unclaimed dividends return to the Company.

General Meetings of the Shareholders

     Our shareholders have the power to decide any matters related to our corporate purpose and to approve any resolutions they deem necessary for our protection and development, through voting at a general shareholders’ general meeting.

     We call our shareholders’ general meetings by publishing a notice in the Official Gazette of the State of São Paulo and the Diário do Comércio, both in the state of São Paulo. The notice must be published three times, beginning at least 15 calendar days prior to the scheduled assembly date. The notice must contain the assembly’s agenda and, in the case of a proposed amendment to our bylaws, an indication of the subject matter.

214


Table of Contents

     The Board of Directors, or, in some specific situations set forth in the Brazilian Corporate Law, the shareholders, may call our general shareholders’ general meetings. A shareholder may be represented at a general shareholders’ general meeting by an attorney-in-fact so long as the attorney-in-fact was appointed less than a year of the assembly. The attorney-in-fact must be a shareholder, a member of our management, a lawyer or a financial institution. The power of attorney given the attorney-in-fact must comply with certain formalities set forth by Brazilian law.

     In order for a general shareholders’ general meeting validly to take any action, shareholders representing at least one quarter of our issued and outstanding common shares must be present at the assembly. However, in the case of a general meeting to amend our bylaws, shareholders representing at least two-thirds of our issued and outstanding common shares must be present. If no such quorum is verified, the board of directors may call a second meeting by notice given at least eight calendar days prior to the scheduled assembly and otherwise in accordance with the rules of publication described above. The quorum requirements will not apply to a second meeting, subject to the quorum requirements applicable to the first one.

Voting Rights

     Each common share entitles its holder to the right of one vote at our shareholders’ meetings. Except as otherwise provided by law, the decisions of a general shareholders’ meeting are passed by a vote by holders of a simple majority of our common shares, while abstentions are not taken into account.

     In March 2002, the Brazilian Corporate Law was amended to, among other issues, grant more protection to minority shareholders and ensure them to the right to appoint one member of the Board of Directors and an alternate to our Board of Directors. To qualify for the exercise of such right, the minority shareholder must have held, for at least the prior three months, either (1) preferred shares representing at least 10.0% of our share capital, or (2) common shares representing at least 15.0% of our voting shares. If no shareholders meet the thresholds, shareholders representing at least 10.0% of our share capital may be able to combine their holdings to appoint one member and an alternate to our Board of Directors.

     From 2003 to 2005, if shareholders holding preferred shares decide to exercise such right, they could choose one member and its respective alternate to our Board of Directors based on a three-name list prepared by the controlling shareholder of the company. The voting right mentioned in the precedent paragraph has not yet been exercised by our minority shareholders, since we currently have among the members of our Board of Directors, one member appointed by our minority shareholders BES.

     The Brazilian Corporate Law provides that non-voting preferred shares acquire voting rights when a company has failed for the term provided for in its by-laws (for more than three fiscal years) to pay any fixed or minimum dividend to which such shares are entitled. Such voting rights remain effective until payment of the cumulative dividends is made.

Shareholders

     Pursuant to Brazilian law, the approval of the holders of a majority of the outstanding adversely affected preferred shares as well as shareholders representing at least one-half of the issued and outstanding common shares is required for the following actions:

215


Table of Contents

  • creating preferred shares or increasing an existing class of preferred shares without preserving the proportions of any other class of the existing preferred shares;

  • changing a preference, privilege or condition of redemption or amortization of any class of preferred shares; and

  • creating a new class of preferred shares that has a preference, privilege or condition of redemption or amortization superior to the existing classes of preferred shares.

     These actions are put to the vote of the holders of the adversely affected preferred shares at a special assembly, where each preferred share entitles the shareholder to one vote. Preferred shareholders have the right to vote on any change to our legal form and obtain the right to vote if we enter into a liquidation process.

     The approval of holders of at least one-half of the issued common shares is required for the following actions:

  • reducing the mandatory distribution of dividends;

  • approving a takeover, merger or spin-off;

  • approving our participation in a “grupo de sociedades” (a group of companies whose management is coordinated through contractual relationships and equity ownerships) as defined under the Brazilian Corporate Law;

  • changing our corporate purpose;

  • ceasing our state of liquidation; and

  • approving our dissolution.

     Pursuant to Brazilian Corporate Law, holders of common shares, voting at a general shareholders’ assembly, have the exclusive power to:

     amend our bylaws, including changes to the rights of the holders of the common shares;

     elect or dismiss members of our Board of Directors;

     receive the yearly accounts prepared by our management and accept or reject management’s financial statements, including the allocation of net profits for payment of the mandatory dividend and allocation to the various reserve accounts;

     authorize the issuance of debentures;

     suspend the rights of a shareholder who has not fulfilled the obligations imposed by law or by our bylaws;

     accept or reject the valuation of assets contributed by a shareholder in consideration for issuance of capital stock; and

216


Table of Contents

     pass resolutions to approve corporate restructurings, such as takeovers, mergers and spin-offs; dissolve or liquidate, elect or dismiss our liquidators or examine their accounts.

Preemptive Rights

     Each of our shareholders has a general preemptive right to subscribe for shares or convertible securities in any capital increase in proportion to its holding. Shareholders must be granted at least a 30-day period following the publication of notice of the issuance of shares or convertible securities to exercise their preemptive rights.

     As described under “—Regulations of and Restrictions on Foreign Investors,” under the Brazilian constitution the increase of foreign investors’ participation in the voting capital (common shares) of financial institutions is subject to prior authorization by the Brazilian government. Therefore, in the event common shares are offered, our foreign shareholders could be prevented from exercising their preemptive rights.

     In the event of a capital increase that would maintain or increase the proportion of capital represented by the preferred shares, holders of preferred shares would have preemptive rights to subscribe to newly issued preferred shares only. In the event of a capital increase that would reduce the proportion of capital represented by the preferred shares, holders of preferred shares would have preemptive rights to subscribe to any new preferred shares in proportion to their shareholdings, and to common shares (subject to the restrictions on foreign ownership mentioned above) only to the extent necessary to prevent dilution of their interests in our total capital. Under Brazilian Corporate Law, shareholders are permitted to transfer or dispose of their preemptive rights.

     You may not be able to exercise the preemptive rights relating to the preferred shares underlying your ADSs unless a registration statement under the Securities Act of 1933 is effective with respect to those rights or an exemption from the registration requirements of the Securities Act is available. In such an event, the contractual arrangements governing the ADSs provide that the custodian of the shares underlying the ADSs may, if possible, transfer or dispose of the pre-emptive rights. Such contractual arrangements related to the ADSs, provide for the custodian to remit the consideration received to the depositary bank that holds the ADSs and distributed by the depositary bank to holders of ADSs, net of any fees due to the custodian and the depositary bank. For more details see “Item 3. Key Information—Risk Factors—Risks Relating to the Preferred Shares and ADSs.”

Right of Withdrawal

     Brazilian Corporate Law provides that under certain circumstances a shareholder has the right to withdraw his or her equity interest from a company and to receive a payment for the portion of shareholder’s equity attributable to his or her equity interest.

This right of withdrawal may be exercised:

by the dissenting or non-voting holders of the adversely affected class of shares (including any holder of preferred shares) in the event that a shareholders’ meeting resolves to:
 
 create of preferred shares or increase an existing class of preferred shares relative to the other class or classes of preferred shares;
 
 
modify a preference, privilege or condition of redemption or amortization conferred on one or more classes of preferred shares;

217


Table of Contents

 
create a new class of preferred shares with greater privileges than the existing class of preferred shares; or
 
by the dissenting or non-voting shareholders (including any holder of preferred shares) in the event that a shareholders’ meeting resolves to:
 
 
reduce the mandatory distribution of dividends;
 
 
change our corporate purpose;
 
 
transfer all of our shares to another company, making us a wholly owned subsidiary of such company, known as an “incorporação de ações”; or
 
by the dissenting or non-voting holder of common shares, in the event that a shareholders’ meeting resolves to:
 
 
acquire control of another company at a price exceeding certain limits set forth in Brazilian Corporate Law;
 
 
merge or consolidate a company, provided that its shares do not have liquidity and are widely held by the market;
 
 
participate in a “grupo de sociedades” as defined under the Brazilian Corporate Law, provided that its shares do not have liquidity and are widely held by the market; or
 
 
spin off a company or companies resulting in, among other things, a reduction of the mandatory annual dividend, participation in a group of companies, or a change of corporate purpose.

     Our dissenting or non-voting shareholders also have a right of withdrawal in the event that the entity resulting from our merger, merger of our shares, or spin-off does not become a listed company within 120 days of the shareholders’ assembly at which the relevant decision was taken. The dissenting or non-voting shareholders only have a withdrawal right if they owned the shares, which have been adversely affected at the time of the first call for the shareholders’ assembly in which the relevant decision was made. If a public announcement of the action taken or to be taken was made prior to the call for the shareholders’ assembly, the shareholders’ ownership of shares is based on the date of announcement.

     The right of withdrawal lapses thirty days after publication of the minutes of the shareholders’ assembly at which the action is taken, except when the resolution is subject to confirmation by the preferred shareholders (which must be made at a special assembly to be held within one year). In that case the 30-day term is counted from the date the minutes of the special assembly are published. We would be entitled to reconsider any action giving rise to redemption rights within ten days following the expiration of such rights if the redemption of shares of dissenting shareholders would jeopardize our financial stability.

     In all the situations described above, our shares would be redeemable at their book value, determined on the basis of the last balance sheet approved by our shareholders. If the shareholders’ assembly giving rise to withdrawal rights occurs more than sixty days after the date of the last approved balance sheet, a shareholder may demand that its shares be valued on the basis of a new balance sheet of a date within sixty days preceding such shareholders’ assembly.

218


Table of Contents

Liquidation

     In the event of our liquidation, our preferred shareholders would be entitled to priority over common shareholders in the return of capital. The amount to which they would be entitled is based on the portion of the capital stock represented by the preferred shares, as adjusted from time to time to reflect any capital increases or reductions. After all our creditors had been paid, our residual assets would be used to return the amount of capital represented by the preferred shares to the preferred shareholders. Once the preferred shareholders had been fully reimbursed, the common shareholders would be reimbursed on the portion of the capital stock represented by the common shares. All our shareholders would participate equally and ratably in any remaining residual assets.

Redemption

     Our bylaws provide that our shares are not redeemable. However, Brazilian Corporate Law authorizes us to redeem minority shareholders’ shares if, after a public tender offer for our delisting, our controlling shareholder increases its participation in our total capital stock to more than 95.0% .

Conversion Rights

     Our bylaws provide that our common shares cannot be converted into preferred shares or our preferred shares into common shares.

Liability of Our Shareholders for Further Capital Calls

     Neither Brazilian law nor our bylaws provide for capital calls. Our shareholders’ liability is limited to the payment of the issue price of the shares subscribed or acquired.

Form and Transfer

     Our shares are registered in book-entry form and we perform all the services of safekeeping and transfer of shares. To make the transfer we make an entry in the register, debit the share account of the transferor and credit the share account of the transferee.

     Transfers of shares by a foreign investor are made in the same way and executed by the investor’s local agent on the investor’s behalf. However, if the original investment was registered with the Central Bank pursuant to a foreign investment mechanism regulated by the CMN’s Resolution 2,689 as described under “—Exchange Controls”, the foreign investor must declare the transfer in its electronic registration.

     Our shareholders may opt to hold their shares through CBLC. Shares are added to the CBLC system through Brazilian institutions, which have clearing accounts with the CBLC. Our shareholder registry indicates which shares are listed on the CBLC system. Each participating shareholder is in turn registered in a register of beneficial shareholders maintained by the CBLC and is treated in the same manner as our registered shareholders.

Brazilian Rules Related to Information Disclosure

     In January 2002, the CVM issued regulations, which were amended in June 2002 and March 2007, regarding the disclosure of information to the market. These regulations include provisions which:

determine what information must be filed with the CVM in the form of a notice to the shareholders or a “fato relevante” of a material fact. The “fato relevante” includes any controlling shareholder decisions that could influence the price of our securities and any controlling shareholder decision to trade, cease to trade, or exercise any rights under our securities;

219


Table of Contents

expand the list of events which are considered material, including, among others:
 
 
the execution, amendment or termination of shareholders’ agreements to which the company is a party, or which have been registered in our records;
 
 
the entry or withdrawal of shareholders that have a financial, operational, technological or management collaboration agreement with us;
 
 
any authorization to trade our securities in any market, national or abroad;
 
 
the merger, consolidation or spin-off of a company or its affiliates;
 
 
the change in the composition of a company’s capital stock;
 
 
the change in accounting criteria;
 
 
the debt renegotiation;
 
 
the change in rights and advantages attached to the securities of a company;
 
 
the acquisition of a company’s shares to keep in treasury or cancellation, and their sale;
 
 
the company’s profit or loss and the allocation of its cash dividends;
 
 
the execution or termination of an agreement, or failure on its implementation, when the expectation of its accomplishment is public’s knowledge; and
 
 
the approval, change or abandonment of a project or delay in its implementation.
 
in the event our executive officer in charge of investor relations does not make required disclosure, extend the responsibility to make the required disclosure to our controlling shareholders, our management, the members of our fiscal council and to any member of a technical or consulting body created by our by-laws;
 
extend confidentiality obligations related to undisclosed information to, in addition to our management and controlling shareholders, the members of any technical or consulting bodies created by our by-laws and our employees in charge of the issues considered relevant matters;
 
disclose the information contained in material facts in all markets where our securities are traded;
 
if we acquire a controlling participation in a company that has its securities traded on a market, disclose any intention to delist the company within the period of one year;
 
fulfill disclosure requirements related to the acquisition and sale of relevant shareholder participations, or the acquisition and sale of our securities by our managing shareholders, members of our fiscal council or any member of a technical or consulting body created by our by-laws; and

220


Table of Contents

before a material fact is publicly disclosed, prohibit the trading of our securities by our direct and indirect controlling shareholders, officers, members of our board of directors, fiscal council and any technical or advisory committees or whomever by virtue of their position has knowledge of information related to the material fact.

Regulation of and Restrictions on Non-Brazilian Holders

     The Brazilian constitution prohibits any increase in the foreign participation in the capital stock of financial institutions headquartered in Brazil. However, because we are a publicly-traded financial institution, non-Brazilian holders of our preferred shares benefit from an exception to this provision. Accordingly, foreign holders face no legal restrictions on the ownership of our preferred shares or of ADRs based on our preferred shares, and are entitled to all the rights and preferences of such preferred shares.

     However, the ability to convert into foreign currency dividend payments and proceeds from the sale of preferred shares or preemptive rights and to remit such amounts outside Brazil is subject to restrictions under foreign investment legislation which generally requires, among other things, the registration of the relevant investment with the Central Bank. Nonetheless, any non-Brazilian holder who registers with the CVM in accordance with Resolution 2,689 may buy and sell securities on Brazilian stock exchanges without obtaining a separate certificate of registration for each transaction.

     Appendix V to Resolution No. 1,289 of the CMN, known as the “Appendix V Regulations,” allows Brazilian companies to issue depositary receipts in foreign exchange markets. Our ADR program is duly registered with the Central Bank of Brazil.

     Our bylaws do not impose any limitation on the rights of Brazilian residents or non-residents to hold our shares and exercise the rights in connection therewith.

New Civil Code

     A new Brazilian civil code became effective on January 11, 2003. The new code was issued with the intent of updating Brazilian civil legislation. The new code introduced various changes, including changes to existing contract and Brazilian Corporate Law. Transactions and other acts carried out prior to effectiveness of the new civil code continue to be regulated by the previous law, except that the effects of such transactions, if produced after January 11, 2003, as well as any transactions or other acts carried out subsequent to such date, are subject to the new civil code.

Transfer of Control

     Our bylaws do not contain any provision that would have the effect of delaying, deferring or preventing a change in our control or that would operate only with respect to a merger, acquisition or corporate restructuring involving ourselves or any of our subsidiaries. However, Brazilian banking regulations require that any transfer of control of a financial institution be previously approved by the Central Bank.

     Additionally, Brazilian Corporate Law provides that acquisition of control of a publicly held company is contingent on tender offers for all outstanding common shares at a price equivalent to at least 80% of the price per share paid for the controlling block. In December 2003, we amended our by-laws to provide that in the event of a change in our control, the acquirer will be required to pay our shareholders an amount equal to (a) in the case of our non-controlling common shareholders, 100.0% of the price per share paid to our controlling shareholders and (b) in the case of our preferred shareholders, 80% of the price per share paid for our controlling shareholders.

221


Table of Contents

     In the case of our liquidation, our preferred shareholders would be entitled to priority over our common shareholders in the return of capital. See “—Liquidation” for more information. In addition, in the event of a transfer of control, our shareholders have the right of withdrawal under certain circumstances. See “- Right of Withdrawal” for more information.

     Brazilian Corporate Law also obliges our controlling shareholder to make a tender offer for our shares if it increases its interest in our capital stock to a level that materially and negatively affects the liquidity of our shares.

Disclosure of Shareholder Ownership

     Brazilian regulations require that any person or group of persons representing the same interest that has directly or indirectly acquired an interest corresponding to 5.0% of any type or class of shares of a publicly traded company must disclose its share ownership to the CVM and stock exchanges. In addition, a statement containing the required information must be published in the newspapers. Any subsequent increase or decrease of five percent or more in ownership of any type or class of shares must be similarly disclosed.

Bovespa’s Differentiated Corporate Governance Practices

     Bovespa has a program known as the Differentiated Corporate Governance Practices program, which we refer to as the “DCGP program.” Under the DCGP program, listed companies may elect to adhere to one or two sets of rules which apply to the Company, its management and controlling shareholders and are intended to promote good corporate governance practices and improve market disclosure.

     Since 2001, we have been in compliance with a less strict set of rules called DCPG. According to such rules, we must comply with:

  • maintaining a minimum float of 25.0% of our capital stock;

  • having an annual public meeting with analysts and any other interested people;

  • disclosing the annual calendar of corporate events;

  • utilizing mechanisms in public offerings intended to increase the dispersion of capital;

  • disclosing quarterly consolidated financial statements, which are subject to a limited review; and

  • disclosing information on securities, including derivatives, held by our controlling shareholders, members of our management and members of our fiscal council.

222


Table of Contents

MATERIAL AGREEMENTS

     On June 9, 2003, our shareholders Cidade de Deus Participações and Fundação Bradesco entered into the Shareholders’ Agreement with BBVA. Under the terms of the Agreement, BBVA has the right to elect one member of our board of directors. The Shareholders’ Agreement provides that BBVA will have this right so long as BBVA owns at least 3.94% of our voting capital. However, if BBVA’s participation falls below this percentage threshold due to an increase in our capital stock in which our shareholders, including BBVA, are not given preemptive rights, BBVA’s right to elect a member of our board of directors will not be affected. For more information regarding the Shareholders’ Agreement, see “Item 4. Information on the Company—History and Development of the Company—History—Acquisitions in 2003 and 2004—Acquisition of BBV Banco.”

     On March 4, 2008, BBVA exercised its put option for all common shares or 5% of our common capital over Controlling Shareholders. The Controlling Shareholders and BBVA concluded such purchase and sale at April 11, 2008, with payment on April 16, 2008, for all shares and the Shareholders’ Agreement is no longer effective since April 11, 2008.

     On April 11, 2008, the controlling shareholders sold to Banco Espírito Santo S.A. (BES), Portugal, the corresponding to 1.5% of common shares issued by Bradesco.

EXCHANGE CONTROLS

     The Central Bank may impose temporary restrictions on the remittance of foreign capital abroad, including payments of principal, interests or dividends, and on the repatriation of capital whenever it is foreseen a significant imbalance in Brazil’s balance of payments. The last occurrence of restrictions on the remittance of foreign capital was in 1989, when for approximately six months in 1989 and early 1990 the Brazilian government suspended all remittances abroad of dividends and invested capital. The Central Bank subsequently released these amounts for remittance abroad in accordance with its guidelines. The Brazilian government may take similar measures in the future.

     Under Brazilian tax laws, non-Brazilian holders of securities enjoy favorable tax treatment if they have qualified under Resolution 2,689. To qualify under Resolution 2,689, a non-Brazilian holder must:

  • appoint a representative in Brazil with power to take action relating to the investment;

  • register as a foreign investor with the CVM; and

  • register its investment with the Central Bank.

     See “—Taxation—Brazilian Tax Considerations—Taxation of Gains” for a description of the tax benefits extended to non-Brazilian holders of securities who qualify under Resolution 2,689.

     Under Resolution 2,689 securities held by non-Brazilian holders must be maintained under the custody of, or in deposit accounts held in financial institutions duly authorized by the Central Bank and the CVM. In addition, securities trading is restricted under Resolution 2,689 to transactions on Brazilian stock exchanges or qualified over-the-counter markets.

     Registered non-Brazilian holders are allowed to invest in any type of investment available to Brazilian citizens in the financial and securities markets, with the exception that the Brazilian constitution limits the ability of non-Brazilian holders to acquire capital of financial institutions, as mentioned above under “—Regulation of and Restrictions on Non-Brazilian holders.” Registration allows investors to remit foreign currency abroad when the funds are distributions on registered preferred shares or proceeds from the disposition of such shares. The funds are converted into foreign currency at the Exchange Market rate.

223


Table of Contents

     The registered capital for each preferred share purchased in Brazil and deposited with the custodian is equal to its purchase price (informed in U.S. dollars). If an ADS holder chooses to cancel ADSs in exchange for preferred shares, the investment in preferred shares may be registered with the Central Bank. Such registration is necessary for the holder to receive profit sharing or proceeds from the sale of the shares outside of Brazil.

     Pursuant to Resolution 2,689, the registration of a foreign investment is made electronically by the local representative of the foreign investor. The registered capital for a preferred share withdrawn from the depositary bank upon cancellation of an ADS will be the U.S. dollar equivalent of:

  • the average price of a preferred share on the stock exchange on the date of withdrawal; or

  • if no preferred shares were sold on that day, the average price on the stock exchange in the 15 trading sessions immediately preceding the withdrawal.

     When a holder of ADSs exchanges ADSs for the underlying preferred shares, the holder is entitled to either:

  • sell the preferred shares on the stock exchange and remit the proceeds abroad within five business days; or

  • freely convert the investment in the preferred shares to either an investment under Resolution 2,689 (subject to satisfaction of the legal requirements described above) or a direct foreign investment in Brazil (in accordance with applicable rules).

     Holders that do not comply with the rules described above may still register their investment, but the registration process will be subject to detailed procedures established by the Central Bank. Holders that do not comply with these rules may also be subject to monetary penalties.

TAXATION

     The following summary contains a description of the major consequences about Brazilian taxes incurring on the income and U.S. federal income tax consequences of the acquisition, ownership and disposition of our preferred shares or ADSs, but it does not purport to be a comprehensive description of all the tax considerations that may be relevant to a decision to purchase our preferred shares or ADSs. Accordingly, prospective purchasers of preferred shares or ADSs should consult their own tax advisors as to the tax consequences of the acquisition, ownership and disposition of preferred shares or ADSs.

     This summary is based upon the tax laws of Brazil and the United States as in effect on the date hereof, which are subject to change.

     Currently, there is no income tax treaty for double taxation signed between Brazil and the United States. However, due to the reciprocity of treatment in the United States, the Brazilian revenue authority ensures to residents in Brazil the right to deduct, from the income tax due, the tax amount levied on the income already paid in the United States. Although the tax authorities of the two countries have had discussions that may culminate in this treaty, no assurance can be provided regarding the possibility of a treaty of this kind or how it will affect the U.S. holders of our preferred shares or ADSs. Accordingly, prospective holders of our preferred shares or ADSs should consult their own tax advisors as to the tax consequences of the acquisition, ownership and disposition of preferred shares or ADSs in their particular circumstances.

224


Table of Contents

Brazilian Tax Considerations

     The following discussion summarizes the principal Brazilian tax consequences of the acquisition, ownership and disposition of preferred shares or ADSs by a non-Brazilian holder. This discussion does not analyze all the Brazilian tax considerations that may be applicable to any particular non-Brazilian holder, and each non-Brazilian holder should consult its own tax advisor about the Brazilian tax consequences of investing in preferred shares or ADSs.

Taxation of Dividends

     Dividends from profits of years beginning on or after January 1, 1996 that we pay to any beneficiary, including depositary bank in respect of preferred shares underlying ADSs or and a non-Brazilian holder in respect of preferred shares are not subject to Brazilian withholding income tax. Only dividends paid from profits generated prior to January 1, 1996 are subject to Brazilian withholding income tax unless the amount of the relevant dividend is used to increase our capital and we do not redeem those shares for a period of five years. Pursuant to Brazilian law, we assume the responsibility for withholding and paying any tax on dividends we distribute.

Distributions of Interest on Shareholders’ Capital

     Brazilian corporations may, subject to certain limitations, make payments to shareholders in the form of interest on shareholders’ capital, as an alternative for the profit sharing. The principal difference between dividends and interest on shareholders’ capital is their tax treatment.

     Dividends payments are not deductible for income tax purposes. On the other hand, for determination of the income tax due by a Brazilian legal entity, we may deduct distributions of interest on shareholders’ capital paid to Brazilian and non-Brazilian holders of preferred and common shares, including payments to the depositary bank in respect of preferred shares underlying ADSs, up to an interest rate which does not exceed the pro rata diefluctuation of the rate of the Federal government’s long-term interest rate, TJLP applied on the shareholders’ equity and appraised based on the generally accepted accounting principles in Brazil. The total amount distributed as interest on shareholders’ capital, which may be deducted for purposes of corporate income tax and social contribution tax, may not exceed the greater of:

  • 50.0% of our net income (before taking the distribution and any deductions for calculating income taxes into account), as measured in accordance with generally accepted accounting principles in Brazil for the year in respect of which the payment is made; or

  • 50.0% of retained earnings for the year preceding the year in which the payment is made, as measured in accordance with generally accepted accounting principles in Brazil.

     Payments of interest on shareholders’ capital are subject to Brazilian withholding tax at the rate of 15.0%, except for payments to persons who are exempt from tax in Brazil. For payments to persons who are resident in a jurisdiction that under Brazilian law is deemed to be a “tax haven” (any country that (a) does not impose income tax or that taxes income at a rate of less than 20.0% or (b) a country whose corporate law establishes confidentiality of the corporate entities’ shareholders, Brazilian tax law subjects such payments to withholding tax at the source at a 25.0% rate. It is our responsibility to withhold and pay the tax levied on interest on shareholders’ capital we distribute.

225


Table of Contents

     Amounts paid as interest on shareholders’ capital (net of withholding tax owed) may be treated as payments in respect of the mandatory dividends we are obligated to distribute to our shareholders in accordance with our bylaws. Distributions of interest on shareholders’ capital in respect of the preferred shares, including distributions to the depositary bank in respect of preferred shares underlying ADSs, may be converted into U.S. dollars and remitted outside of Brazil, subject to applicable exchange controls.

     Payments of interest on shareholders’ capital are decided by the Board of Directors on the basis of recommendations of our Board of Executive Officers.

     Our Board of Directors has traditionally approved the distribution of the maximum amount of interest on shareholders’ capital permitted by law.

Taxation of Gains

     Gains realized outside Brazil by a holder not residing in Brazil on the disposition of ADSs or preferred shares to another non-Brazilian holder are not subject to Brazilian tax.

     Gains realized by holders residing in Brazil on any disposition of preferred shares in Brazil are subject to tax at the following rates:

  • 20.0% if the transaction is “day-traded” on a stock exchange; or

  • 15.0% for all other cases.

     The earnings reached in “day trade” operations in Stock Exchanges, of Goods, Futures and Similar, are subject to withholding income tax at a 1.0% rate, and this tax may be deduced from the tax on the net gains reached in the month.

     By January 1, 2005, the net gains from trading, realized in stock exchanges, of goods, futures and similar, except for the day trade ones (that remain subject to taxation as mentioned above) are subject to 0.005% of withholding income tax. For more information regarding this case occurring, see “Item 10. Taxation”.

     Gains realized on any disposition of preferred shares in Brazil by non-Brazilian holders who are resident in a country that under Brazilian law is deemed to be a tax haven are subject to the same rates applicable to Brazilian holders, as described above.

     Capital gains realized on disposition of preferred shares in Brazil by non-Brazilian holders who are not resident in a “tax haven” are not subject to Brazilian tax if:

  • the proceeds obtained by the disposition are remitted outside Brazil within five business days of the cancellation of the ADSs which were represented by the shares sold; or

  • the foreign investment in the preferred shares is registered in Central Bank under CMN Resolution 2,689.

     Otherwise, the same treatment applicable to Brazilian residents will apply.

     Gain on the disposition of preferred shares is measured by the difference in U.S. dollars between the amount in foreign currency received on the sale or exchange and the acquisition cost of the shares sold, measured in Brazilian currency without any correction for inflation and converted into the foreign currency based on the exchange rate published by Central Bank in such date in which the acquisition was made. The acquisition cost of shares registered as an investment with the Central Bank is calculated on the basis of its effective cost as evidenced by valid documentation or, in its absence, on the basis of the foreign currency amount registered with the Central Bank. See “- Exchange Controls.”

226


Table of Contents

     Except for the international avoidance of double taxation tax treaty signed with Japan, Brazil’s other signed international tax treaties do not grant relief from taxes on gains realized on sales or exchanges of preferred shares. Gains realized by a non-Brazilian holder upon the redemption of preferred shares would be treated as gains from the disposition of such preferred shares to a Brazilian resident occurring off of a stock exchange and would accordingly be subject to income tax at a rate of 15.0% (except for tax heaven residents , which applicable rate would be 25%).

     Any exercise of preemptive rights relating to the preferred shares or ADSs will not be subject to Brazilian taxation. Gains on the sale or assignment of preemptive rights relating to the preferred shares will be treated differently for Brazilian tax purposes depending on:

  • whether the sale or assignment is made by or on behalf of the depositary bank or the investor; and

  • whether the transaction takes place on a Brazilian stock exchange.

     Gains on sales or assignments made by or on behalf of the depositary bank on a Brazilian stock exchange are not taxed in Brazil, but gains on other sales or assignments may be subject to income tax at rates up to 15.0% ..

     The deposit of preferred shares in exchange for ADSs may be subject to Brazilian tax if the amount previously registered with the Central Bank as a foreign investment in preferred shares is lower than the product of multiplying the total number of shares deposited on the date of the deposit by:

  • the average price per preferred share on a Brazilian stock exchange on which the greatest number of such shares were sold on the date of deposit; or

  • if no preferred shares were sold on that day, the average price on the Brazilian stock exchange on which the greatest number of preferred shares were sold during the 15 preceding trading sessions.

     In this case, the difference between the amount previously registered and the average price of the preferred shares, calculated as set forth above, is considered a capital gain subject to income tax at a rate of 15.0% (unless the preferred shares were held in accordance with Resolution 2,689, in which case the exchange would be tax-free).

     On receipt of the underlying preferred shares, a non-Brazilian holder entitled to benefits under Resolution 2,689 will be entitled to register the U.S. dollar value of such shares with the Central Bank as previously described under “—Exchange Controls.” If the non-Brazilian holder does not qualify under Resolution 2,689, it will be subject to the less favorable tax treatment previously described in respect of exchanges of preferred shares.

     The withdrawal of preferred shares in exchange for ADSs is not subject to Brazilian tax.

227


Table of Contents

Other Brazilian Taxes

     There are no Brazilian inheritance, gift or succession taxes applicable to the ownership, transfer or disposition of preferred shares or ADSs by a non-Brazilian holder, with the exception of gift and inheritance taxes levied by some states in Brazil on gifts made or inheritances bestowed by individuals or entities not resident or domiciled in Brazil or in the relevant state to individuals or entities that are resident or domiciled within such state in Brazil. There are no Brazilian stamp, issue, registration, or similar taxes or duties payable by holders of preferred shares or ADSs.

     IOF may be imposed on a variety of transactions, including the conversion of Brazilian currency into any foreign currency (e.g., for purposes of paying dividends and interest). The IOF tax rate on such transactions is generally 0.38%, however it is reduced to 0% in certain occasions, such as interbank foreign exchange transactions and in foreign exchange transactions carried out by a foreign investor in the (i) floating income investments (including return of the investment, and distribution of dividends and interest on shareholders’ capital) on stock exchanges or commodities and futures exchange, also in case of public offerings and share subscription, as regulated by the National Monetary Council, except for derivatives operations and resulting in pre-fixed income, (ii) return of funds used in financial and capital markets, as well as (iii) payment of dividends and interest on shareholders’ capital. As of March 17, 2008, the rate is 1.5% in exchange operations for entry of funds in Brazil carried out by foreign investor to be invested in financial and capital markets, except for the cases mentioned above. The Minister of Finance, however, has the legal authority to increase the rate to a maximum of 25.0% . Any increase in this regard would be only applicable thenceforth.

     IOF taxes may also be levied on transactions involving bonds or securities, even if the transactions are carried out on Brazilian stock, futures or commodities exchanges. The rate of the IOF tax with respect to preferred shares and ADSs is currently 0%. The Minister of Finance, however, has the legal authority to increase the rate to a maximum of 1.5% of the amount of the taxed transaction per each day of the investor’s holding period, but only to the extent of gain realized on the transaction and only on a prospective basis.

     In addition to the IOF tax, a temporary tax, the CPMF tax, was imposed on our distributions in respect of ADSs at the time the distributions are converted into U.S. dollars and remitted abroad by the custodian. The CPMF was imposed at a rate of 0.38% and took effect up to December 31, 2007. However, the Brazilian Congress rejected the government’s proposal to extend the contribution, which is no longer charged since January 1, 2008. In June, 2008 the Brazilian House of Representatives approved a bill establishing a new tax, the CSS, which is similar to CPMF but subject to a rate of 0.1% . This bill still depends on approval from the Brazilian Senate to come into effect. For more information, please see “Taxation - CPMF”.

Registered Capital

     Amounts invested in securities by a non-Brazilian holder who (1) qualifies for benefits under Resolution 2,689 and who registers with the CVM, or (2) holds ADSs and is represented by the depositary bank’s registration, are eligible for registration with the Central Bank. In the case of ADSs, since the shareholder of record is the depositary bank, the depositary bank is responsible for obtaining the registration. The registration allows the remittance outside Brazil of foreign currency, converted at the Exchange Market rate, acquired with the proceeds of distributions on or dispositions of preferred shares.

228


Table of Contents

U.S. Federal Income Tax Considerations

     The statements regarding U.S. tax law set forth below are based on U.S. law as in force on the date of this annual report, and changes to such law subsequent to the date of this annual report may affect the tax consequences described herein. This summary describes the principal tax consequences of the ownership and disposition of preferred shares or ADSs, but it does not purport to be a comprehensive description of all of the tax consequences that may be relevant to a decision to hold or dispose of preferred shares or ADSs. This summary applies only to purchasers of preferred shares or ADSs who will hold the preferred shares or ADSs as capital assets and does not apply to special classes of holders such as dealers in securities or currencies, holders whose functional currency is not the U.S. dollar, holders of 10.0% or more of our shares (taking into account shares held directly or through depositary arrangements), tax-exempt organizations, financial institutions, holders liable for the alternative minimum tax, securities traders who elect to account for their investment in preferred shares or ADSs on a mark-to-market basis, and persons holding preferred shares or ADSs in a hedging transaction or as part of a straddle or conversion transaction. Accordingly, each holder should consult such holder’s own tax advisor concerning the overall tax consequences to it, including the consequences under laws other than U.S. federal income tax laws, of an investment in preferred shares or ADSs.

     In this discussion, references to a “U.S. holder” are to a holder of a preferred share or an ADS: (i) that is a citizen or resident of the United States of America, (ii) that is a corporation organized under the laws of the United States of America or any state thereof, or (iii) that is otherwise subject to U.S. federal income taxation on a net basis with respect to the preferred shares or ADSs. :

     The preferred shares will be treated as equity for U.S. federal income tax purposes. For purposes of the U.S. Internal Revenue Code of 1986, as amended, which we call the “Code,” holders of ADSs generally will be treated as owners of the preferred shares represented by such ADSs.

Taxation of Distributions

     A U.S. holder will recognize dividend income for U.S. federal income tax purposes in an amount equal to the amount of any cash and the value of any property distributed by us as a dividend to the extent that such distribution is paid out of our current or accumulated earnings and profits, as determined for U.S. federal income tax purposes, when such distribution is received by the custodian (or by the U.S. holder in the case of a holder of preferred shares). The amount of any distribution will include the amount of Brazilian tax withheld on the amount distributed, and the amount of a distribution paid in reais will be measured by reference to the exchange rate for converting reais into U.S. dollars in effect on the date the distribution is received by the custodian (or by a U.S. holder in the case of a holder of preferred shares). If the custodian (or U.S. holder in the case of a holder of preferred shares) does not convert such reais into U.S. dollars on the date it receives them, it is possible that the U.S. holder will recognize foreign currency loss or gain, which would be ordinary loss or gain, when the reais are converted into U.S. dollars. Dividends paid by us will not be eligible for the dividends received deduction allowed to corporations under the Code.

     Subject to certain exceptions for short-term and hedged positions, the U.S. dollar amount of dividends received by an individual prior to January 1, 2011 with respect to the ADSs will be subject to taxation at a maximum rate of 15.0% if the dividends are “qualified dividends.” Dividends paid on the ADSs will be treated as qualified dividends if: (i) the ADSs are readily tradable on an established securities market in the United States and (ii) we were not, in the year prior to the year in which the dividend was paid, and are not, in the year in which the dividend is paid, a passive foreign investment company (“PFIC”). The ADSs are listed on the New York Stock Exchange, and will qualify as readily tradable on an established securities market in the United States so long as they are so listed. Based on existing guidance, it is not clear whether dividends received with respect to the preferred shares will be treated as qualified dividends, because the preferred shares themselves are not listed on a U.S. exchange. In addition, the U.S. Treasury has announced its intention to promulgate rules pursuant to which holders of ADSs or preferred shares and intermediaries through whom such securities are held will be permitted to rely on certifications from issuers to treat dividends as qualified for tax reporting purposes. Because such procedures have not yet been issued, it is not clear whether we will be able to comply with them. Holders of ADSs and preferred shares should consult their own tax advisers regarding the availability of the reduced dividend tax rate in light of the considerations discussed above and their own particular circumstances.

229


Table of Contents

     Based on our audited financial statements and relevant market and shareholder data, we believe that we were not treated as a PFIC for U.S. federal income tax purposes with respect to our 2005 or 2006 taxable years. In addition, based on our audited financial statements and our current expectations regarding the value and nature of our assets, the sources and nature of our income, and relevant market and shareholder data, we do not anticipate becoming a PFIC for the 2007 taxable year. Our belief that we are not, and will not in the future be, a PFIC is based on certain Proposed Treasury Regulations dealing with non-U.S. banks. Such regulations are not final and are subject to modification, in which case our determination regarding PFIC status may be different.

     Distributions out of earnings and profits with respect to the preferred shares or ADSs generally will be treated as dividend income from sources outside of the United States and generally will be treated separately along with other items of “passive” (or, in the case of certain U.S. holders, “financial services”) income for purposes of determining the credit for foreign income taxes allowed under the Code. Subject to certain limitations, Brazilian income tax withheld in connection with any distribution with respect to the preferred shares or ADSs may be claimed as a credit against the U.S. federal income tax liability of a U.S. holder if such U.S. holder elects for that year to credit all foreign income taxes. Alternatively such Brazilian withholding tax may be taken as a deduction against taxable income. Foreign tax credits will not be allowed for withholding taxes imposed in respect of certain short-term or hedged positions in securities and may not be allowed in respect of arrangements in which a U.S. holder’s expected economic profit is not substantial. U.S. holders should consult their own tax advisors concerning the implications of these rules in light of their particular circumstances.

     Distributions of additional shares to holders with respect to their preferred shares or ADSs that are made as part of a pro rata distribution to all our shareholders generally will not be subject to U.S. federal income tax.

     Holders of preferred shares or ADSs that are foreign corporations or nonresident alien individuals, which we call “non-U.S. holders,” generally will not be subject to U.S. federal income tax or withholding tax on distributions with respect to preferred shares or ADSs that are treated as dividend income for U.S. federal income tax purposes unless such dividends are effectively connected with the conduct by the holder of a trade or business in the United States.

Taxation of Capital Gains

     Upon the sale or other disposition of a preferred share or an ADS, a U.S. holder generally will recognize gain or loss for U.S. federal income tax purposes. The amount of the gain or loss will be equal to the difference between the amount realized in consideration for the disposition of the preferred share or the ADS and the U.S. holder’s tax basis in the preferred share or ADS. Such gain or loss generally will be subject to U.S. federal income tax as capital gain or loss and will be long-term capital gain or loss if held for more than one year. Capital losses may be deducted from taxable income, subject to certain limitations. Gain realized by a U.S. holder on a sale or disposition of preferred shares or ADSs generally will be treated as U.S. source income. Consequently, if Brazilian tax is imposed on such gain, the U.S. holder will not be able to use the corresponding foreign tax credit, unless the holder has other foreign source income of the appropriate type in respect of which the credit may be used.

230


Table of Contents

     A non-U.S. holder will not be subject to U.S. federal income tax or withholding tax on gain realized on the sale or other disposition of a preferred share or an ADS unless (1) such gain is effectively connected with the conduct by the holder of a trade or business in the United States, or (2) such holder is an individual who is present in the United States of America for 183 days or more in the taxable year of the sale and certain other conditions are met.

Backup Withholding and Information Reporting

     Dividends paid on, and proceeds from the sale or other disposition of, the ADSs or preferred shares to a U.S. holder generally may be subject to the information reporting requirements of the Code and may be subject to backup withholding unless the U.S. holder (i) is a corporation or other exempt recipient or (ii) provides an accurate taxpayer identification number and certifies that no loss of exemption from backup withholding has occurred. The amount of any backup withholding collected from a payment to a U.S. holder will be allowed as a credit against the U.S. holder’s U.S. federal income tax liability and may entitle the U.S. holder to a refund, provided that certain required information is furnished to the U.S. Internal Revenue Service.

     A non-U.S. holder generally will be exempt from these information reporting requirements and backup withholding tax, but may be required to comply with certain certification and identification procedures in order to establish its eligibility for such exemption.

Documents on Display

     We file reports, including annual reports on Form 20-F, and other information with the SEC pursuant to the rules and regulations of the SEC that apply to foreign private issuers. You may read and copy any materials filed with the SEC at its Public Reference Room at 450 Fifth Street, N.W., Washington, D.C. 20549. You may obtain information on the operation of the Public Reference Room by calling the SEC at 1-800-SEC-0330. Since November 4, 2002, we are required to make filings with the SEC by electronic means. Any filings we make electronically will be available to the public over the Internet at the SEC’s web site at http://www.sec.gov.

Item 11. Quantitative and Qualitative Disclosures about Market Risk.

Risk and Risk Management

     In the course of our normal operations we are exposed to a number of risks, which are inherent to banking and insurance activities. The extent to which we properly and effectively identify and manage these risks is critical to our profitability. The most significant of these risks are:

  • market risk;

  • liquidity risk;

  • credit risk; and

  • operational risk.

231


Table of Contents

     Management of these risks is a process, which involves different levels of our organization and encompasses a range of policies and strategies. Our risk management policies are generally conservative ones, which seek to limit absolute loss to the extent possible without loss of efficiency. For a discussion of our risk management policies see “Item 4. Information on the Company— History and Development of the Company —Risk Management” and “Item 5. Operating and Financial Review and Prospects—Asset and Liability Management.” For a summary of Brazilian regulations on managing market risk in the banking sector, see “Item 4. Information on the Company—Regulation and Supervision.”

Market Risk

     Market risk is the risk that changes in factors such as interest rates or currency exchange rates will have an adverse impact on the value of our assets, liabilities or off-balance sheet positions. We are exposed to market risk in both our trading and non-trading activities. The primary market risks we face are interest rate risk and foreign exchange risk.

     We employ the sensitivity analysis methodology set forth below for evaluating our market risk. Our sensitivity analyses evaluate the potential loss in future earnings resulting from hypothetical changes in interest rates and foreign currency exchange rates.

Interest Rate Risk

     Interest rate risk arises as a result of timing differences on the re-pricing of assets and liabilities, unexpected changes in the slope and shape of yield curves and changes in correlation of interest rates between different financial instruments. We are exposed to the risk of interest rate movements when there is a mismatch between fixed interest rates and market interest rates. For a discussion of our management of interest rate sensitivity, see “Item 5. Operating and Financial Review and Prospects-Interest Rate Sensitivity.”

Exchange Risk

     Exchange risk arises as a result of our having assets, liabilities and off-balance sheet items that are denominated in or indexed to currencies other than reais, either as a result of trading or in the normal course of banking activities. We control exposure to exchange rate movements by ensuring that mismatches are managed and monitored, and our policy is to avoid material exchange rate mismatches. Virtually all of our transactions (by value) that are denominated in or indexed to foreign currencies are denominated in or indexed to the U.S. dollar. Our assets and liabilities denominated in other currencies, which include the euro and yen, are generally indexed to the U.S. dollar as well, effectively limiting our foreign currency exposure to U.S. dollars through currency swaps. For a discussion of our management of exchange rate sensitivity, see “Item 5. Operating and Financial Review and Prospects—Exchange Rate Sensitivity.”

Market Risk of Trading Activities

     We enter into derivatives transactions to manage our exposure to interest rate and exchange rate risk. As a result, our exposure to the potential losses described below is generally reduced by these transactions. These derivatives do not qualify as hedges under U.S. GAAP. Accordingly, we classify derivatives as trading securities.

Sensitivity Analysis

     We utilized the following criteria and methodology in making our sensitivity analysis:

232


Table of Contents

  • We assumed that the book value of our foreign-currency denominated and indexed assets and liabilities as of December 31, 2007 is equivalent to the market value of those assets and liabilities as of that date.

  • The amount of our interest-earning assets and interest-bearing liabilities subject to floating rates is not materially affected by fluctuations in interest rates. As a result, we have discussed only interest-earning assets and interest-bearing liabilities that are subject to fixed rates in our sensitivity analysis.

  • In classifying our assets and liabilities by maturity, we have assumed that on average the assets and liabilities mature at the midpoint of each period indicated.

  • Our negative scenario projection for the real/U.S. dollar exchange rate, the pre-fixed interest rate and the foreign exchange coupon were based on their historical behavior, their probability and the economic projections for the current year. The basic assumptions considered: political stability and continuation of the economic policies adopted in Brazil in the past years; the country’s rating upgrade to investment grade; relevant deceleration of United States’ economy to 0.9% GDP growth in 2008 and consequent monetary policy response (Fed Funds close to 2%); moderate decrease in interest rates in the Euro Zone, England and Canada, in view of the risk of deceleration of the economic activity; moderate consequences of the financial system’s crisis for the international liquidity and credit market; increase in interest rates in most of the emerging countries due to inflation acceleration and low risk for economic activity in these countries (robust internal demand); commodities prices at high levels, even though they present some deceleration in the margin (compared to the current price); slight deceleration in the worldwide GDP growth, in view of the lower, but yet robust growth of the emerging economies.

  • The scenario for the exchange rate included the background of the level and variation of the exchange rate in other times of crisis. More recently, we have noticed a high and negative correlation between the exchange rate and the commodities prices, reason why we have included the CRB (Commodities Research Bureau) commodities index in the exchange rate regression, in addition to the country’s risk spread. We considered an increase in the country’s risk spread of 250 points, and a drop in the CRB to 370 points as a negative scenario. The positive scenario, on the other hand,, estimates a country’s risk spread of 150 points, and the maintenance of the current commodities price level (CRB at 410 points). The scenarios for pre-fixed rates were built based essentially on the variation of the inflation expectations, in view of the basic scenario for the Selic (both negative and positive scenarios estimate the Selic at 13.0%). The great difference between one scenario and the other is the expected inflation for the next 12 months. The scenario for the exchange rate coupon considered our expectations for the Fed Funds (U.S. base interest rate) in alternative scenarios (2.5% in the negative scenario - U.S. economy begins its quick recovery and inflation increases, making the FED increase the base rate even higher - and 1.5 in the positive scenario - U.S. recession is more intense than expected, making the FED cut the base rate even lower). The U.S. base rates were used in the model due to the historical correlation between the exchange rate coupon and the Fed Funds. Furthermore, the analysis was complemented by a statistical approach.

233 



Table of Contents

     The following table shows the maturities of our fixed-rate transactions denominated in or indexed to the real as of December 31, 2007:

  From 0 to  From 31 to  From 91 to  From 181  From 1 to  More than   
  30 days  90 days  180 days  to 365 days  3 years  3 years  Total 
        
Interest-earning assets  (R$ in millions)
Federal funds sold and securities purchased               
under agreements to resell    R$809  R$690  R$2,535  R$47  R$4,081 
Brazilian Central Bank compulsory               
Deposits  R$7,756       7,756 
Trading securities, at fair value  1,786  R$1  269  1,010  1,503   4,571 
Loans, net  16,408  14,480  11,285  12,943  23,929  4,104  83,149 
        
Total  25,950  14,481  12,363  14,643  27,967  4,153  99,557 
        
 
Interest-bearing liabilities               
Time deposits  324  302  97  42  20   786 
Federal funds purchased and securities sold               
under agreements to repurchase  35,278  4,261  1,924  5,738  15,877  3,115  66,193 
        
 
Total liabilities  35,602  4,563  2,021  5,780  15,897  3,116  66,979 
        
 
Assets/Liabilities gap  (9,552) 9,918  10,342  8,863  12,070  1,037  R$32,578 
Cumulative assets/liabilities gap  R$(9,552) R$ 266  R$10,608  R$19,471  R$31,541  R$32,578   

234


Table of Contents

     The following table shows the maturities of our transactions denominated in or indexed to U.S. dollars, as of December 31, 2007:

  From 0 to  From 31 to  From 91 to  From 181 to  From 1 to  More than 3   
    30 days  90 days  180 days  365 days  3 years   years   Total
        
Interest-earning assets  (R$ in millions)
Interest-earning deposits in               
   other banks  R$1,278  R$57  R$75     R$1,410 
Federal funds sold and securities               
   purchased under agreements to resell.     R$7  R$29  R$2,958  3,001 
Brazilian Central Bank               
   compulsory Deposits  11       11 
Trading securities  646   102  1,914   242  2,905 
Available-for-sale securities     19  24  891  937 
Held to maturity securities       338  338 
Loans  2,510  2,608  3,018  3,880  2,115  3,484  17,615 
 
Total assets  4,452  2,667  3,196  5,820  2,169  7,913  26,217 
        
 
Interest-bearing liabilities               
Interbank deposits        
Time deposits  1,145  554  145  151  17  63  2,075 
Federal funds purchased and securities sold under agreements               
   to repurchase  2,662      155  2,822 
Short-term borrowings  1,251  1,930  2,201  2,260  315  32  7,989 
Long-term debt  290  69  403  1,404  962  3,935  7,063 
        
 
Total  5,350  2,553  2,751  3,815  1,297  4,185  19,951 
        
 
Assets/liabilities gap  (898) 114  445  2,005  872  3,728  6,266 
Cumulative assets/liabilities gap  (898) (784) (339) 1,666  2,538  6,266   

Interest Rate Sensitivity

     The rate risks to which we are subject can be divided into two categories:

(a)
real-denominated assets and liabilities on which interest accrues at fixed rates; and
  
(b)
assets and liabilities denominated or indexed to foreign currencies on which the interest rate risk can be expressed as what is called the “cupom cambial,” i.e., the “foreign exchange coupon,” which is the difference between floating interest rate and exchange variation.

     Because the interest rate on the vast majority of our real-denominated floating-rate assets and liabilities is CDI/Selic, which is equal to the discount rate used to calculate the present value of future rate fluctuations, the net result is that such rate fluctuations will not result in any changes to the fair value of such assets and liabilities as at the balance sheet date.

Real-Denominated Fixed-Rate Transactions

     On December 31, 2007 we had an excess of R$5.5 million in fixed-rate real-denominated assets over our fixed-rate real-denominated liabilities, including derivative financial instruments. The potential loss in the value on our fixed-rate financial assets and liabilities would not exceed R$312.0 million, as a result of a hypothetical unfavorable fluctuations estimated by our economic research department of up to 2.25% of the annualized interest rate, irrespective of term to maturity or the period of time during which such unfavorable change would persist. However, the effects of the natural hedge from our liability transactions with deposit-taking and over demand, time and savings deposits would practically offset our losses or gains from our asset transactions with loans if a hypothetical increase or decrease in the market interest rates would occur.

235


Table of Contents

Foreign Currency—Denominated and Indexed Transactions

     A hypothetical unfavorable fluctuation of up to 1.3% in the annualized interest rate on our foreign currency-denominated or -indexed assets and liabilities, including derivatives, would result in potential losses of up to R$6.0 million in the value of our U.S. dollar-denominated or -indexed financial assets and liabilities as of December 31, 2007, irrespective of how long the unfavorable change persisted.

     On December 31, 2007, we had an excess of R$4.5 billion in obligations denominated in or indexed to foreign currencies over the assets denominated in or indexed to foreign currency. Although we have more liabilities than assets, a foreign exchange coupon increase would result in losses, as most of our liabilities have short-term maturities and most of our assets have a longer average maturity term. This would lead us to a higher sensibility to an increase in foreign exchange coupon and, accordingly, higher losses.

Exchange Rate Sensitivity

     On December 31, 2007, we had an excess of R$4.5 billion in obligations denominated in or indexed to foreign currencies over the assets denominated in or indexed to foreign currency, including derivative financial instruments. A hypothetical devaluation of up to 6.4% of the real against the U.S. dollar would result in a potential loss of up to R$280.0 million in the fair value on our assets and liabilities denominated in, or indexed to, U.S. dollar. However, the tax effects resulting from this hypothetical devaluation would offset this potential loss. According to our economical research department, the estimated exchange rate of an unfavorable scenario would be R$/US$1.89.

Value at Risk (“VaR”)

     We started to use the VaR methodology for our treasury positions on January 2000 and on March 2005 it has also been implemented for our commercial and external portfolios, except for foreign investments or their respective hedging transactions, which are managed in a different manner.

     In the first two quarters of 2007 the maximum VaR recorded was R$110.0 million, and the average VaR ranged from R$55.0 million to R$75.0 million. This result was due to the increase in volatility in the last half of the year, when maximum VaR reached R$176.0 million, and average VaR ranged from R$114.0 million to R$117.0 million.

     The following shows the value at risk, as measured under the VaR methodology in 2007:

  First Quarter of 2007 
    
  Average  Minimum  Maximum  On March 31 
     
  (R$ in millions)
Risk Factors:         
   Reais (fixed and floating rate) 46  27  65  55 
   Foreign exchange coupon     
   Foreign Currency     
   Variable Income     
   Offshore Fixed Income  14   22  21 
   Total VaR  55  34  78  68 

236


Table of Contents

  Second Quarter of 2007 
    
  Average  Minimum  Maximum  On June 30 
     
  (R$ in millions)
Risk Factors:         
   Reais (fixed and floating rate) 63  37  96  50 
   Foreign Exchange Coupon     
   Foreign Currency    11  
   Variable Income     
   Offshore Fixed Income  16  11  20  17 
   Total VaR  75  52  110  66 
 
  Third Quarter of 2007
    
  Average  Minimum Maximum On September 30
     
  (R$ in millions)
Risk Factors:         
   Reais (fixed and floating rate) 80  29  137  110 
   Foreign exchange coupon     
   Foreign Currency    20  
   Variable Income     
   Offshore Fixed Income  41  13  64  38 
   Total VaR  114  42  176  143 
 
  Fourth Quarter of 2007 
    
  Average  Minimum Maximum  On December 31 
     
  (R$ in millions)
Risk Factors:         
   Reais (fixed and floating rate) 89  60  110  84 
   Foreign exchange coupon     
   Foreign Currency     
   Variable Income     
   Offshore Fixed Income  34  27  40  39 
   Total VaR  117  82  140  109 

     The following table below shows the concentration of the VaR and the number of events during the year ended December 31, 2007 calculated on positions up to December 31, 2007:

VaR - Value at Risk           
(R$ in millions) 1st quarter  2nd quarter  3rd quarter  4th quarter  % of events 
      
Up to R$60  59.68 16.13 17.19 0.00 23.20
From R$60 up to R$80  40.32 54.84 10.94 0.00 26.40
From R$80 up to R$100  0.00 12.90 9.38 11.29 8.40
From R$100 up to R$120  0.00 16.13 14.06 41.94 18.00
More than R$120  0.00 0.00 48.43 46.77 24.00
      
 
  100.00%  100.00%  100.00%  100.00%  100.00% 
      

Item 12. Description of Securities Other than Equity Securities.

     Not applicable.

237


Table of Contents

PART II 

Item 13. Defaults, Dividend Arrearages and Delinquencies. 

     Not applicable. 

Item 14. Material Modifications to the Rights of Security Holders and Use of Proceeds. 

     Not applicable. 

Item 15. Controls and Procedures. 

     Financial Responsibility, Disclosure Controls and Procedures, and Report on Internal Control Over Financial Reporting 

     (a)Disclosure Controls and Procedures 

     During the fiscal year ended December 31, 2007, evaluations of the effectiveness of our disclosure controls and procedures (as defined in Rules 13a-15(e) and 15d-15(e) under the Securities Exchange Act of 1934) were carried out under the supervision of our management, including our Chief Executive Officer and Chief Financial Officer. There are inherent limitations to the effectiveness of any system of disclosure controls and procedures, and it may not prevent or identify deficiencies. Accordingly, even effective disclosure controls and procedures can only provide reasonable assurance of achieving their control objectives. 

     Based upon the evaluation referred to above, our Chief Executive Officer and Chief Financial Officer concluded, subject to the limitations noted above, that for the period covered by this annual report, our disclosure controls and procedures were adequate and effective to provide reasonable assurance that information required to be disclosed by us in the reports that we file or submit under the Exchange Act is recorded, processed, summarized and disclosed, within the time periods specified in the applicable rules and forms, and that it is accumulated and communicated to our management, including our Chief Executive Officer and Chief Financial Officer, as appropriate to allow timely decisions regarding required disclosure. 

     (b)Management’s Annual Report on Internal Control over Financial Reporting 

     Our management is responsible for establishing and maintaining adequate internal control over financial reporting as defined in Rules 13a-15(f) and 15d-15(f) under the Securities and Exchange Act of 1934. Our internal control was designed to provide reasonable assurance regarding the reliability of financial reporting and the preparation of financial statements for external purposes in accordance with generally accepted accounting principles. 

     All internal control systems, no matter how well designed, have inherent limitations. Therefore, even those systems determined to be effective may not prevent or detect misstatements. Also, projections of any evaluation of effectiveness to future periods are subject to the risk that controls may become inadequate because of changes in conditions, or that the degree of compliance with the policies or procedures may decline. 

     Our management assessed the effectiveness of our internal control over financial reporting as of December 31, 2007. In making this assessment, it used the criteria established by the Internal Control - Integrated Framework of COSO. Based on its evaluation and those criteria, our management has concluded that our internal control over financial reporting was effective as of December 31, 2007.

238


Table of Contents

     The effectiveness of the internal control over financial reporting as of December 31, 2007, has been was audited by PricewaterhouseCoopers Auditores Independentes, an independent registered public accounting firm, as stated in their report, as stated in their report beginning on page F-2 of the financial statements to this Form 20-F.

     (c) Attestation Report of the Independent Registered Public Accounting Firm

     For the report of PricewaterhouseCoopers Auditores Independentes, our independent registered public accounting firm, dated June 30, 2008, on the effectiveness of the internal control over financial reporting as of December 31, 2007, see “Item 18. Financial Statements.”

     (d) Changes in Internal Control over Financial Reporting

     There have been no changes in our internal control over financial reporting (as such term is defined in Rules 13a-15(f) and 15d-15(f) under the Exchange Act) that occurred during the fiscal year ended December 31, 2007 that have materially affected, or are reasonably likely to materially affect, our internal control over financial reporting.

Item 16. [Reserved]

Item 16A. Audit Committee Financial Expert.

     Our board of directors has reviewed the qualifications and backgrounds of the members of the audit committee and determined that Hélio Machado dos Reis is an “audit committee financial expert” within the meaning of Item 16A and that he is independent. For more information regarding our audit committee, see “Item 6. Directors, Senior Management and Employees—Board Practices—Board Committees—Audit Committee.”

Item 16B. Code of Ethics

     We have adopted a set of codes of ethics, as such term is defined in Item 16B of Form 20-F under the Securities Exchange Act of 1934, as amended. Our codes of ethics apply to our chief executive officer, chief financial officer, chief accounting officer and persons performing similar functions as well as to our advisors, other officers, employees, suppliers and business partners. Our codes of ethics are available on our website at http://www.bradesco.com.br/ir/. If we amend the provisions of our codes of ethics, or if we grant any waiver of such provisions, we will disclose such amendment or waiver on our website at the same address.

Item 16C. Principal Accountant Fees and Services.

Audit and Non-Audit Fees

     The following table sets forth the fees billed to us by our independent accounting firm during the fiscal years ended in 2006 and 2007:

  Year ended on December 31, 
  
  2006 2007
   
  (R$ thousand)
Audit fees  R$13,773  R$22,028 
Audit-related fees  2,923  881 
Tax fees  218  638 
Other fees  233  201 
   
 
   Total fees  R$17,147  R$23,748 
   

239


Table of Contents

     Our independent accounting firm audits our annual financial statements in accordance with U.S. GAAP and the generally accepted accounting principles in Brazil, as well as statutory and regulatory reports submitted to the Banco Central, CVM, SEC and SUSEP, including the review of our quarterly interim financial statements.

     Audit-related fees in the above table are the aggregate fees billed by the independent auditors for domestic and international control and attestation reports, agreed-upon procedures reports, reviews of internal controls and procedures requested by our management and the issuance of comfort letters upon our sale of securities outside of Brazil.

     Tax fees in the above table are fees billed by the independent auditors for tax compliance, consultation and planning services.

     Other fees in the above table are fees billed by the independent auditors primarily related to reviews of controls, which cover the technological environment and others.

Audit Committee Pre-Approval Policies and Procedures

     Neither our board of directors nor our audit committee has established pre-approval policies and procedures for the engagement of our independent auditors for services. Our board of directors expressly approves on a case-by-case basis any engagement of our independent auditors for audit and non-audit services provided to our subsidiaries or to us. Our audit committee provides recommendations to our board of directors regarding such engagements. For more information regarding our board of directors and audit committee, see “Item 6. Directors, Senior Management and Employees—Board Practices.”

Item 16D. Exemptions from the Listing Standards for Audit Committees.

     Under the listed company audit committee rules of the NYSE and the SEC, effective July 31, 2006, we must comply with Exchange Act Rule 10A-3, which requires that we either establish an audit committee composed of members of the board of directors that meets specified requirements or designate and empower a board of auditors or similar body to perform the role of the audit committee in reliance on the exemption set forth in Exchange Act Rule 10A-3(c)(3).

     We have established a body similar to the audit committee of a U.S. company, which under Central Bank regulations is required to be called an “audit committee”. Our audit committee performs nearly all of the functions of an audit committee of the board of directors of a U.S. company. Of the four members of our audit committee, only one member is also a member of our Board of Directors. Under Brazilian law, the function of hiring independent auditors is a power reserved for the board of directors. As a result, our board of directors acts as our audit committee, as specified in Section 3(a)(58) of the Exchange Act, for purposes of approving, on a case-by-case basis, any engagement of our independent auditors for audit and non-audit services provided to our subsidiaries or to us. Except in these respects, our audit committee is comparable to and performs the functions of an audit committee of the board of directors of a U.S. company. Since our audit committee is not a committee of our Board of Directors, but is a separate body required under Brazilian law to perform the role of an audit committee, we believe that our audit committee satisfies the requirements of Exchange Act Rule 10(a)(3). However, we have relied on the exemption set forth in Exchange Act Rule 10A-3(c)(3) because under Central Bank regulations, our Audit Committee is a separate organ from our Board of Directors. We believe that our audit committee is able to act independently in performing the responsibilities of an audit committee under the Sarbanes-Oxley Act and to satisfy the other requirements of Exchange Act Rule 10A-3.

240


Table of Contents

Item 16E. Purchases of Equity Securities by the Issuer and Affiliated Purchasers.

     Not applicable.

Item 17. Financial Statements.

     Not applicable.

Item 18. Financial Statements.

     See pages F-1 through F-63 incorporated herein by reference.

Item 19. Exhibits.

     Documents filed as exhibits to this annual report:

1.1      Amended and Restated Bylaws of Banco Bradesco S.A. (English translation).
 
2.1      Amended and Restated Deposit Agreement, between Banco Bradesco S.A., Citibank N.A., as Depositary, and holders and beneficial owners of American Depositary Receipts*
 
3.1      Shareholders’ Agreement dated June 9, 2003, among Cidade de Deus Companhia Comercial de Participações, Fundação Bradesco, Banco Bilbao Vizcaya Argentaria S.A. and Banco Bradesco S.A. (as intervening party) **
 
6.1      Calculation of earnings per share data and weighted average number of shares outstanding
 
7.1      Calculation of dividends/interest on shareholders’ capital per share data
 
8.1      List of Subsidiaries
 
12.1      Certification of the Chief Executive Officer of Bradesco, pursuant to Rules 13a-14 and 15d-14 under the Securities Exchange Act of 1934.
 
12.2      Certification of the Chief Financial Officer of Bradesco, pursuant to Rules 13a-14 and 15d-14 under the Securities Exchange Act of 1934.
 
13.1      Certification of Chief Executive Officer of Bradesco, pursuant to Section 906 of the Sarbanes- Oxley Act of 2002.
 
13.2      Certification of the Chief Financial Officer of Bradesco, pursuant to Section 906 of the Sarbanes-Oxley Act of 2002.
_______________
(*)
Incorporated by reference to our Registration Statement on Form 20-F (file no. 333-13950), originally filed with the SEC on September 28, 2001.
(**)
Incorporated by reference to our Annual Report on Form 20-F (file no. 1-15250), originally filed with the SEC on June 30, 2004.



241


Table of Contents

SIGNATURES

     Pursuant to the requirements of Section 12 of the Securities Exchange Act of 1934, the registrant certifies that it meets all the requirements for filing on Form 20-F and has duly caused this annual report to be signed on its behalf by the undersigned, thereunto duly authorized.

Banco Bradesco S.A.  
  
 /s/ Márcio Artur Laurelli Cypriano 
  
 Márcio Artur Laurelli Cypriano 
 Chief Executive Officer 

Date: June 30, 2008

242


Table of Contents

Banco Bradesco S.A.

Consolidated Financial Statements as of
December 31, 2006 and 2007 and for each of the
three years in the period ended December 31,

2007 and Report of Independent Registered Public Accounting Firm


Table of Contents

Report of Independent Registered Public Accounting Firm

To the Board of Directors and Shareholders
Banco Bradesco S.A.

In our opinion, the accompanying consolidated balance sheets and the related consolidated statements of income, of changes in shareholders’ equity and of cash flows present fairly, in all material respects, the financial position of Banco Bradesco S.A. and its subsidiaries at December 31, 2007 and 2006, and the results of their operations and their cash flows for each of the three years in the period ended December 31, 2007 in conformity with accounting principles generally accepted in United State of America. Also in our opinion, the Company maintained, in all material respects, effective internal control over financial reporting as of December 31, 2007, based on criteria established in Internal Control - Integrated Framework issued by the Committee of Sponsoring Organizations of the Treadway Commission (COSO). The Company's management is responsible for these financial statements, for maintaining effective internal control over financial reporting and for its assessment of the effectiveness of internal control over financial reporting, included in the Management's Annual Report on Internal Control Over Financial Reporting appearing under Item 15. Our responsibility is to express opinions on these financial statements and on the Company's internal control over financial reporting based on our audits (which were integrated audits in 2007 and 2006). We conducted our audits in accordance with the standards of the Public Company Accounting Oversight Board (United States). Those standards require that we plan and perform the audits to obtain reasonable assurance about whether the financial statements are free of material misstatement and whether effective internal control over financial reporting was maintained in all material respects. Our audits of the financial statements included examining, on a test basis, evidence supporting the amounts and disclosures in the financial statements, assessing the accounting principles used and significant estimates made by management, and evaluating the overall financial statement presentation. Our audit of internal control over financial reporting included obtaining an understanding of internal control over financial reporting, assessing the risk that a material weakness exists, and testing and evaluating the design and operating effectiveness of internal control based on the assessed risk. Our audits also included performing such other procedures as we considered necessary in the circumstances. We believe that our audits provide a reasonable basis for our opinions.

As presented in notes 2(t) and 26 to the consolidated financial statements, on December 31, 2006 the Company changed the manner in which it accounts for defined benefit pension and other postretirement plans by adopting Financial Accounting Standards Board Statement (“SFAS”) No. 158, “Employers Accounting for Defined Benefit Pension and Other Postretirement Plans”.

A company’s internal control over financial reporting is a process designed to provide reasonable assurance regarding the reliability of financial reporting and the preparation of financial statements for external purposes in accordance with generally accepted accounting principles. A company’s internal control over financial reporting includes those policies and procedures that (i) pertain to the maintenance of records that, in reasonable detail, accurately and fairly reflect the transactions and dispositions of the assets of the company; (ii) provide reasonable assurance that transactions are recorded as necessary to permit preparation of financial statements in accordance with generally accepted accounting principles, and that receipts and expenditures of the company are being made only in accordance with authorizations of management and directors of the company; and (iii) provide reasonable assurance regarding prevention or timely detection of unauthorized acquisition, use, or disposition of the company’s assets that could have a material effect on the financial statements.

Because of its inherent limitations, internal control over financial reporting may not prevent or detect misstatements. Also, projections of any evaluation of effectiveness to future periods are subject to the risk that controls may become inadequate because of changes in conditions, or that the degree of compliance with the policies or procedures may deteriorate.

F -2


Table of Contents

PricewaterhouseCoopers
Auditores Independentes

São Paulo, Brazil

June 30, 2008

F -3


Table of Contents

Banco Bradesco S.A. 
 
Consolidated Balance Sheet 
Expressed in millions of Brazilian reais, unless otherwise stated 
 

  December 31, 
  
Assets  2006  2007 
   
 Cash and due from banks  4,748  5,485 
 Interest-earning deposits in other banks  8,918  7,887 
 Federal funds sold and securities purchased under agreements to resell  14,649  40,601 
 Brazilian Central Bank compulsory deposits  23,461  31,813 
 Trading securities, at fair value  62,735  59,146 
 Available for sale securities, at fair value  23,879  29,653 
 Held to maturity securities  3,265  2,981 
       Loans  98,724  133,137 
       Allowance for loan losses  (6,552) (7,769)
   
 Net loans  92,172  125,368 
 Equity investees and other investments  527  761 
 Premises and equipment, net  3,000  3,547 
 Goodwill  667  883 
 Intangible assets, net  2,163  2,917 
 Other assets  19,087  23,467 
   
Total assets  259,271  334,509 
   
 
Liabilities and shareholders´ equity     
 Deposits from customers:     
       Demand, non-interest bearing  21,081  29,423 
       Savings  27,613  32,813 
       Time  34,941  35,733 
 Deposits from financial institutions  290  372 
   
       Total deposits  83,925  98,341 
 Federal funds purchased and securities sold under agreements to repurchase  42,875  69,015 
 Short-term borrowings  5,709  7,989 
 Long-term debt  30,122  38,915 
 Other liabilities  70,083  86,879 
   
Total liabilities  232,714  301,139 
   
 
Commitments and contingencies (Notes 2(p) and 23(b))    
 
Minority interest in consolidated subsidiaries  93  281 
   
 
Shareholders' equity     
 Common shares - no par value (issued and authorized at December 31, 2006 – 1,501,299,168 and at December 31, 2007 – 1,515,248,595) (1) 7,095  9,497 
 Preferred shares - no par value (issued and authorized at December 31, 2006 – 1,502,182,404 and at December 31, 2007 – 1,516,131,675) (1) 7,105  9,503 
 Treasury shares (at December 31, 2006 – 1,128,000 common shares and 9,600 preferred shares and at December 31, 2007 – 1,243,050 common shares and 2,126,286 preferred shares) (1) (50) (132)
 Additional paid-in capital  101  205 
 Statutory reserves  1,287  1,477 
 Accumulated other comprehensive income  1,160  1,888 
 Unappropriated retained earnings  9,766  10,651 
   
Total shareholders' equity  26,464  33,089 
   
 
Total liabilities and shareholders' equity  259,271  334,509 
   

(1) On March 24, 2008, our Board of Directors approved a split of our capital stock, in which our shareholders were entitled to one new share for each two existing shares of the same class. Therefore, all related share amounts have been retroactively adjusted for all periods presented to reflect the stock split, whereby one new share was received in exchange for each two shares held. At December 31, 2007, our capital were represented by 1,010,165,730 voting common shares with no par value, 1,010,754,450 non-voting preferred shares with no par value, 828,700 treasury common shares and 1,417,524 treasury preferred shares.

F -4

The accompanying notes are an integral part of these consolidated financial statements


Table of Contents

Banco Bradesco S.A. 
 
Consolidated Statement of Income 
Expressed in millions of Brazilian reais, unless otherwise stated 
 

  Year ended December 31, 
  
  2005  2006  2007 
    
   Interest income       
     Interest on loans  16,855  20,977  22,608 
     Interest on federal funds sold and securities purchased under agreements to resell  2,018  2,177  3,429 
     Interest on securities       
           Trading  7,251  5,705  5,677 
           Available for sale  1,364  2,490  2,843 
           Held to maturity  495  324  279 
     Interest on deposits in other banks  722  541  429 
     Interest on Brazilian Central Bank compulsory deposits  2,160  1,998  1,207 
     Other  61  59  37 
    
Total interest income  30,926  34,271  36,509 
    
 Interest expense       
     Interest on deposits       
         From customers       
               Savings deposits  (2,028) (1,909) (2,002)
               Time deposits  (4,895) (4,301) (3,524)
         From financial institutions  (21) (19) (33)
     Interest on federal funds purchased and securities sold under agreements to repurchase  (3,862) (3,762) (5,540)
     Interest on short-term borrowings  187  (54) 727 
     Interest on long-term debt  (1,822) (2,824) (2,366)
    
 
Total interest expense  (12,441) (12,869) (12,738)
    
 
Net interest income  18,485  21,402  23,771 
    
 
Provision for loan losses  (1,823) (3,767) (4,616)
    
 
Net interest income after provision for loan losses  16,662  17,635  19,155 
    

F –5

The accompanying notes are an integral part of these consolidated financial statements


Table of Contents

Banco Bradesco S.A. 
 
Consolidated Statement of Income 
Expressed in millions of Brazilian reais, unless otherwise stated 
(continued)
 

  Year ended December 31, 
  
  2005  2006  2007 
    
 
Non-interest income       
   Fee and commission income  5,121  6,379  7,819 
   Net trading gains  2,428  2,360  3,694 
   Net realized gains on available for sale securities  747  1,157  1,456 
   Equity in earnings of unconsolidated companies  186  224  407 
   Insurance premiums  7,805  8,121  8,843 
   Pension plan income  377  791  555 
   Other non-interest income  876  821  1,107 
    
 
     Total non-interest income  17,540  19,853  23,881 
    
 
Non-interest expense       
   Salaries and benefits  (5,198) (6,087) (6,769)
   Administrative expenses  (4,447) (5,223) (6,236)
   Amortization of intangible assets  (353) (430) (620)
   Insurance claims  (5,501) (6,124) (6,012)
   Changes in provisions for insurance, pension plans, certificated savings plans and pension investment contracts .  (3,939) (4,199) (4,981)
   Pension plan operating expenses  (505) (560) (478)
   Insurance and pension plan selling expenses  (1,041) (852) (1,157)
   Depreciation and amortization  (712) (534) (746)
   Other non-interest expense  (3,754) (4,729) (4,740)
    
 
     Total non-interest expense  (25,450) (28,738) (31,739)
    
 
Income before income taxes and minority interest  8,752  8,750  11,297 
Taxes on income       
   Current expense  (1,222) (3,167) (3,869)
   Deferred benefit (expense) (1,209) 894  517 
    
 
     Total taxes on income  (2,431) (2,273) (3,352)
    
 
Income before minority interest  6,321  6,477  7,945 
 
Minority interest  (11) (15) (37)
    
 Net income  6,310  6,462  7,908 
    
 
 Net income applicable to each class of shares(2)(3)      
     Common shares  3,010  3,075  3,764 
     Preferred shares  3,300  3,387  4,144 
    
 Net income  6,310  6,462  7,908 
 Earnings per shares (in reais)(1) (2) (3)       
     Common shares  2.05  2.09  2.50 
     Preferred shares  2.26  2.30  2.75 
 Weighted average number of shares outstanding(2) (3)      
     Common shares  1,465,770,912  1,470,575,223  1,504,008,900 
     Preferred shares  1,460,839,863  1,472,508,873  1,505,136,649 
    

(1) None of our outstanding obligations are exchangeable or convertible into equity securities and as a result, diluted earnings per share do not differ from net income per share (Note 2 (u)).
(2) On March 12, 2007, our Board of Directors approved a split of our capital stock, in which our shareholders were entitled to one new share for each existing share of the same class. Therefore, all related share amounts have been retroactively adjusted for all periods presented to reflect the stock split, whereby one new share was received in exchange for each share held.
(3) On March 24, 2008, our Board of Directors approved a split of our capital stock, in which our shareholders were entitled to one new share for each two existing shares of the same class. Therefore, all related share amounts have been retroactively adjusted for all periods presented to reflect the stock split, whereby one new share was received in exchange for each two shares held.

F–6

The accompanying notes are an integral part of these consolidated financial statements


Table of Contents

Banco Bradesco S.A. 
 
Consolidated Statement of Cash Flows 
Expressed in millions of Brazilian reais 
 

  Year ended December 31, 
  
  2005  2006  2007 
    
Operating activities       
   Net income  6,310  6,462  7,908 
   Adjustment to reconcile net income to net cash from operating activities:       
       Provision for loan losses  1,823  3,767  4,616 
       Provision for other investments  17  17  
       Provision for insurance, pension plans, certificated savings plans and pension investment contracts  3,939  4,199  4,981 
       Depreciation and amortization  712  534  746 
       Amortization of intangible assets  353  430  620 
       Equity in earnings of unconsolidated companies  (186) (224) (407)
       Loss on foreclosed assets, net  35  46  11 
       Net realized gains on available for sale securities  (747) (1,157) (1,456)
       (Gains) losses on sale of premises and equipment, net  (35) 15  
       (Gains) losses on sale of unconsolidated companies  12  (32) (1,225)
       Deferred tax benefit (expense) 1,209  (894) (517)
         Dividends received from unconsolidated companies  110  236  301 
       Minority interest  11  15  37 
   Changes in assets and liabilities       
       Net increase in interest receivable  (2,114) (611) (1,573)
       Net increase (decrease) in interest payable  319  832  (262)
       Increase in trading assets  (5,624) (35,076) 3,382 
       Increase in other assets  (6,556) (44) (2,709)
       Net increase (decrease) in foreign exchange portfolio  350  (318) 179 
       Increase in other liabilities  4,655  7,363  8,488 
    
 
Net cash provided by (used in) operating activities  4,593  (14,440) 23,134 
    
 
Investing activities       
   Net increase in Brazilian Central Bank compulsory deposits  (787) (1,449) (4,875)
   Purchases of available for sale securities  (4,435) (8,796) (6,658)
   Proceeds from sale of available for sale securities  5,034  7,019  3,094 
   Purchases of held to maturity securities  (31) (224) (306)
   Proceeds from maturities of held to maturity securities  171  978  37 
   Net increase in loans  (20,468) (17,561) (35,363)
   Acquisition of subsidiaries, net of cash and cash equivalents paid  (80) (1,448) (180)
   Acquisition of intangible assets  (87) (367) (984)
   Purchases of unconsolidated companies  (35) (190) 
   Purchases of premises and equipment  (583) (727) (962)
   Proceeds from sale of premises and equipment  305  199  271 
   Proceeds from sale of foreclosed assets  167  140  185 
   Proceeds from sale of unconsolidated companies  20  64  1,357 
    
 
Net cash used in investing activities  (20,809) (22,362) (44,384)
    

F-7

The accompanying notes are an integral part of these consolidated financial statements


Table of Contents

Banco Bradesco S.A. 
 
Consolidated Statement of Cash Flows 
Expressed in millions of Brazilian reais 
 

  Year ended December 31, 
  
  2005  2006  2007 
    
 
Financing activities       
   Net increase in deposits  6,397  6,639  14,588 
   Net increase in federal funds purchased and securities sold under agreements to repurchase  6,354  19,557  26,140 
   Net increase (decrease) in short-term borrowings  (1,302) (1,431) 2,280 
   Borrowings under long-term debt  11,133  13,133  14,071 
   Repayment of long-term debt  (7,602) (6,546) (6,421)
   Minority interest  (24) (10) 27 
   Capital increase  737  1,218  
   Sale of shares by a subsidiary    175 
   Purchase of own shares  (225) (23) (82)
   Dividends and interest paid on shareholders' capital  (1,559) (3,334) (806)
    
 
Net cash provided by (used in) financing activities  13,909  29,203  49,972 
    
 
 
   Cash and cash equivalents       
       At beginning of the year  21,280  18,973  11,374 
       At end of the year  18,973  11,374  40,096 
    
 
 
Decrease in cash and cash equivalents  (2,307) (7,599) 28,722 
    
 
Supplemental cash flow disclosure       
   Cash paid for interest  12,123  12,037  12,999 
   Cash paid for taxes on income and social contribution  1,445  2,559  2,959 
   Loans transferred to foreclosed assets  78  180  192 
   Dividends and interest on shareholders' capital declared but not paid  1,248  74  2,092 
   Issuance of shares for BMC acquisition    790 

F-8

The accompanying notes are an integral part of these consolidated financial statements


Table of Contents

Banco Bradesco S.A. 
 
Consolidated Statement of Changes in Shareholders’ Equity
Expressed in shares 
 

      Common  Preferred 
  Common  Preferred  treasury stock  treasury stock 
  (1) (2) (3) (4) (1) (2) (3) (4) (1) (2) (3) (4) (1) (2) (3) (4)
     
 
Balance on December 31, 2004  1,428,936,774  1,416,219,576  -  - 
     
   Shares subscribed and issued  52,751,142  52,248,858   
   Shares issued to minority shareholders of Bradesco Seguros  1,095,024  1,084,602   
   Purchase of own shares    (14,907,678) (7,722)
   Treasury shares cancelled  (14,211,228) (7,722) 14,211,228  7,722 
     
Balance on December 31, 2005  1,468,571,712  1,469,545,314  (696,450) - 
     
   Shares subscribed and issued  32,727,456  32,727,090   
   Purchase of own shares    (431,550) (99,600)
   Treasury shares cancelled   (90,000)  90,000 
     
Balance on December 31, 2006  1,501,299,168  1,502,182,404  (1,128,000) (9,600)
     
   Shares issued to merge BMC shares  13,949,427  13,949,271   
   Purchase of own shares    (115,050) (2,116,686)
     
   Balance on December 31, 2007  1,515,248,595  1,516,131,675  (1,243,050) (2,126,286)
     

(1) On November 11, 2005, our Board of Directors approved a split of our capital stock, in which our shareholders were entitled to one new share for each existing share of the same class.
(2) On March 12, 2007, our Board of Directors approved a split of our capital stock, in which our shareholders were entitled to one new share for each existing share of the same class. Therefore, all related share amounts have been retroactively adjusted for all periods presented to reflect the stock split, whereby one new share was received in exchange for each share held.
(3) On January 4, 2008, our Board of Directors approved the cancellation on 2,246,224 book-entry shares, with no par value, constituted of 828,700 treasury common shares and 1,417,524 treasury preferred shares, representing its capital stock.
(4) On March 24, 2008, our Board of Directors approved a split of our capital stock, in which our shareholders were entitled to one new share for each two existing shares of the same class. Therefore, all related share amounts have been retroactively adjusted for all periods presented to reflect the stock split, whereby one new share was received in exchange for each two shares held. At December 31, 2007, our capital were represented by 1,010,165,730 voting common shares with no par value, 1,010,754,450 non-voting preferred shares with no par value, 828,700 treasury common shares and 1,417,524 treasury preferred shares.

F -9

The accompanying notes are an integral part of these consolidated financial statements


Table of Contents

Banco Bradesco S.A. 
 
Consolidated Statement of Changes in Shareholders’ Equity 
 Expressed in millions of Brazilian reais, except for share information 
 

        Additional   Accumulated Unappropriated  
  Common  Preferred Treasury paid-in Statutory other comprehensive retained  
  Shares shares shares capital reserves income earnings Total
         
 
 
Balance on December 31, 2004  3,525  3,475  -  58  1,067  693  6,741  15,559 
         
 
Net income        6,310  6,310 
Available for sale securities(2)      (281)  (281)
Comprehensive income(1)        6,029 
Interest on shareholders' capital and dividends        (1,881) (1,881)
Treasury shares cancelled    195     (195) 
Purchase of own shares    (225)     (225)
Capital increase  358  354       712 
Transfers(3) 2,614  2,674    (32)  (5,256) 
Others     25     25 
 
Balance on December 31, 2005  6,497  6,503  (30) 83  1,035  412  5,719  20,219 
         
Net income        6,462  6,462 
 
Available for sale securities(2)      733   733 
Comprehensive income(1)        7,195 
Adjustment upon adoption of SFAS 158,                 
 net of tax of R$8       15   15 
Interest on shareholders' capital and dividends        (2,160) (2,160)
Treasury shares cancelled        (3) 
Purchase of own shares    (23)     (23)
Capital increase(4) 598  602   18     1,218 
Transfers      252   (252) 
Balance on December 31, 2006  7,095  7,105  (50) 101  1,287  1,160  9,766  26,464 
         
Net income        7,908  7,908 
Available for sale securities(2)      685   685 
Adjustment upon defined benefit plans  -  -  -  -  -  43   43 
Comprehensive income(1)        8,636 
Interest on shareholders' capital and dividends        (2,823) (2,823)
Purchase of own shares    (82)     (82)
Capital increase(6) 395  395   104     894 
Transfers(7) 2,007  2,003    190   (4,200) - 
 
Balance on December 31, 2007  9,497  9,503  (132) 205  1,477  1,888  10,651  33,089 
         

  Year ended December 31, 
  
    2005  2006    2007 
    
Per share information(5) (8)      
   Distributed earnings (interest on shareholders' capital and dividends):       
         Common  0.62   0.70  0.89 
         Preferred  0.67   0.77  0.98 

(1) Consists of (i) unrealized gains of investment securities classified as available for sale, and (ii) gain on defined-benefit pension plans, all of them net of deferred income tax and social contribution effects amounting to R$529, R$867 and R$1,444 at December 31, 2005, 2006 e 2007, respectively.
(2) Adjusted by other than temporary losses written off, as described in Note 5.
(3) A capital increase of R$5,288 (R$2,614 of common shares and R$2,674 of preferred shares), through incorporation of statutory reserves, was approved on a shareholders’ meeting during 2005.
(4) A capital increase of R$1,200 (R$598 of common shares and R$ 602 of preferred shares) with no par value, was approved on a shareholders’ meeting in October 2006.
(5) On March 12, 2007, our Board of Directors approved a split of our capital stock, in which our shareholders were entitled to one new share for each existing share of the same class. Therefore, all related share amounts have been retroactively adjusted for all periods presented to reflect the stock split, whereby one new share was received in exchange for each share held.
(6) In August 2007, a capital increase of R$790, (R$395 of common shares and R$395 of preferred shares ) with no par value was approved in our Shareholders´ General Meeting for purposes of BMC acquisition (note 1(b)) and a capital transaction related to a sale of shares by a subsidiary in July, 2007.
(7) Increase in capital stock of R$ 4,010, with R$ 2,007 of common shares and R$ 2,003 of preferred shares, through the incorporation of statutory reserves. This increase was approved on shareholders meetings in March and August, 2007.
(8) On March 24, 2008, our Board of Directors approved a split of our capital stock, in which our shareholders were entitled to one new share for each two existing shares of the same class. Therefore, all related share amounts have been retroactively adjusted for all periods presented to reflect the stock split, whereby one new share was received in exchange for each two shares held.

F -10

The accompanying notes are an integral part of these consolidated financial statements


Table of Contents

Banco Bradesco S.A. 
 
Notes to the Consolidated Financial Statements 
Expressed in millions of Brazilian reais, unless otherwise stated 
 

1 Basis of Presentation

(a) History

Banco Bradesco S.A. (also referred as "we," the "Company" or "Bradesco"), a publicly traded company organized under the laws of the Federative Republic of Brazil, has its headquarters in Osasco, State of São Paulo, Brazil.

We are a multiple service bank under Brazilian banking regulations, operating principally in two segments. The Banking segment includes a wide variety of banking activities, servicing both retail and corporate customers and engaging in investment banking, international banking, consortia administration and asset management operations. The Insurance, Pension Plan and Certificated Savings plans segment relates to auto, health, life, casualty and property insurance, pension and certificated savings plans.

Our retail banking products include demand deposits, savings deposits, time deposits, mutual funds, foreign exchange services and a variety of financing operations including overdraft facilities, credit cards, installment loans and consortia administration. Corporate services include cash management and treasury services, foreign exchange operations, corporate finance and investment banking services, hedging programs and financing operations including working capital loans, leasing and installment loans. Such services are conducted primarily in Brazilian markets but also include, to a lesser extent, cross-border services.

We have over the years acquired a number of Brazilian financial institutions in order to expand our business and customer base. The effects of acquisitions made in 2005, 2006 and through 2007, either individually or on a combined basis, were not significant to us.

We have prepared these financial statements in accordance with accounting principles generally accepted in the United States of America ("U.S. GAAP"), which differ in certain respects from accounting principles we apply in accordance with accounting practices adopted in Brazil (“Brazilian GAAP”) including the rules and regulations of the National Monetary Council (“CMN”), Banco Central do Brasil ("Central Bank"), Insurance Superintendency (“SUSEP”), Brazilian Securities Commission (“CVM”), National Private Insurance Council (“CNSP”) and the National Agency for Supplementary Healthcare (“ANS”).

Shareholders' equity and net income included in these financial statements differ from those included in the statutory accounting records prepared in accordance with Brazilian GAAP as a result of adjustments made to reflect the requirements of U.S. GAAP. Appropriated reserves under Corporate Law available for distribution, net of treasury shares, were R$7,449 and R$8,354 at December 31, 2006 and 2007, respectively.

The consolidated financial statements include the accounts of Banco Bradesco S.A. (parent company), its foreign branches and all direct or indirect majority-owned subsidiaries, based on the concepts of the Accounting Research Bulletin (ARB 51) – “Consolidated Financial Statements”. All significant intercompany accounts and transactions have been eliminated. In addition, the consolidated financial statements include account balances of Variable Interest Entities (“VIEs”), of which we are the primary beneficiary, under FASB Interpretation 46R, “Consolidation of Variable Interest Entities, an Interpretation of ARB No. 51”. Notes 2 (bb) and 14 (d).

The following table presents our voting interest in the most significant operational subsidiaries together with the main business activity of each. During the presented periods, several mergers and splits occurred in our subsidiaries, however, no gains or losses were recognized in the consolidated statement of income for the respective periods.

F -11


Table of Contents

Banco Bradesco S.A. 
 
Notes to the Consolidated Financial Statements 
Expressed in millions of Brazilian reais, unless otherwise stated 
 

  Voting interest - % 
  
  December 31, 
  
Subsidiaries  2006  2007 
   
Alvorada Cartões, Crédito, Financiamento e Investimento S.A. (Credit Finance Company) 100.00  100.00 
Banco Alvorada S.A. (Banking) 99.88  99.88 
Banco BMC S.A. (Banking) (1)  100.00 
Banco Bankpar S.A.  99.99  100.00 
Banco Boavista Interatlântico S.A. (Banking) 100.00  100.00 
Banco Bradesco Argentina S.A. (Banking) 99.99  99.99 
Banco Bradesco BBI S.A.  100.00  100.00 
Banco Finasa S.A. (Banking) 100.00  100.00 
Banco Bradesco Cartões S.A(2) 99.99  100.00 
Bradesco Administradora de Consórcios Ltda.  99.99  99.99 
Bradesco SegPrev Investimentos Ltda. (Holding) 99.99  99.99 
Bradesco Auto/RE Cia. de Seguros  100.00  100.00 
Bradesco Capitalização S.A. (Certificated Savings plans) 100.00  100.00 
Bradesco Leasing S.A. Arrendamento Mercantil (Leasing) 100.00  100.00 
Bradesco S.A. Corretora de Títulos e Valores Mobiliários (Brokerage) 100.00  100.00 
Bradesco Saúde S.A  100.00  100.00 
Bradesco Seguros S.A. (Insurance) 100.00  100.00 
Bradesco Vida e Previdência S.A. (Life Insurance and Pension Plans) 100.00  100.00 
Bradesplan Participações Ltda  99.98  99.98 
BRAM – Bradesco Asset Management S.A. DTVM  100.00  100.00 
Tempo Serviços Ltda.  99.99  99.99 
União de Participações Ltda.  99.99  99.99 
   

(1) Acquired in August 2007.
(2) Current denomination of Bankpar Banco Múltiplo S.A.

(b) Recent Acquisitions

In our shareholders’ general meeting held on March 10, 2005, we received the approval to acquire the shares held by the minority shareholders of Bradesco Seguros S.A. (“Bradesco Seguros”) through the issuance of shares in the amount of R$12, which was approved by the Central Bank on July 18, 2005.

On April 15, 2005, through Banco Finasa, we acquired from Banco Morada S.A. and Morada Investimentos S.A. (“Grupo Morada”), the total capital stock of Morada Serviços Ltda. (“Morada Serviços”) for the total amount of R$80 paid in cash.

On July 26, 2005, we acquired 50% of the total capital of União de Lojas Leader S.A. (“Leader Magazine”), for the total amount of R$47 in cash.

On January 3, 2006, we acquired 89.35% of Banco do Estado do Ceará – BEC’s voting capital and 89.17% of BEC’s total capital for the amount of R$700, with R$458 paid in cash and R$242 paid in government securities, the market value of which was equivalent to R$134 as of the date of the transaction. BEC’s total capital was acquired afterwards at the São Paulo Stock Exchange - BOVESPA, for the amount of R$ 86. In November 2006, BEC was merged by Alvorada Cartões, Crédito, Financiamento e Investimento S.A..

F -12


Table of Contents

Banco Bradesco S.A. 
 
Notes to the Consolidated Financial Statements 
Expressed in millions of Brazilian reais, unless otherwise stated 
 

On March 20, 2006, we signed an agreement with the controlling shareholders of American Express Company to acquire the total capital of its subsidiaries in Brazil (Banco American Express S.A., American Express Banco Múltiplo S.A., American Express do Brasil Tempo Ltda, and Inter American Express Arrendamento Mercantil S.A., (together referred as “Amex”). The transaction was concluded upon Central Bank approval on June 30, 2006 and upon payment of US$468, equivalent to R$1,001 paid in cash.

On May 15, 2006, we acquired the total capital of Bradesplan Participações S.A. (“Bradesplan”) for the amount of R$308 paid in cash.

On March 2006, we entered into an agreement with Lojas Colombo S.A. Comércio de Utilidades Domésticas, (“Lojas Colombo”) to acquire 50% of the total capital stock of Josema Administração e Participações S.A., parent company of Credifar S.A., Crédito, Financiamento e Investimento, (“Credifar”), a financial institution that has the exclusive rights to offer financial products and services to Lojas Colombo´s clients. We have consolidated Credifar in 2007, when the acquisition was approved by the Central Bank, and based on our primary beneficiary status. The acquisition was paid in cash in the amount of R$221.

On January 23, 2007, we entered into an agreement with the shareholders of Banco BMC S.A. (“BMC”), to acquire 100% of its capital stock and its controlled subsidiaries BMC Asset Management Ltda. – Distribuidora de Títulos e Valores Mobiliários, BMC Previdência Privada S.A. and Credicerto Promotora de Vendas Ltda. In accordance with the terms of the agreement, we delivered 9,299,618 of our common shares and 9,299,514 of our preferred shares to BMC shareholders, as payment for the acquisition in the amount of R$790. In August 2007, the transaction was approved by the Central Bank.

We present below the condensed balance sheets for the recent acquisitions:

  2005 
  
      Bradesco   
  Morada  Leader  Seguros  Total 
     
Cash and cash equivalents   47   47 
Goodwill  50  20   70 
Intangible assets – client portfolio  28    28 
Other assets     
Other liabilities   (27)  (27)
Minority shareholders    12  12 
     
 
Total consideration and fair value of net assets acquired  80  47  12  139 
     

F -13


Table of Contents

Banco Bradesco S.A. 
 
Notes to the Consolidated Financial Statements 
Expressed in millions of Brazilian reais, unless otherwise stated 
 

  2006 
  
  BEC  Amex  Bradesplan  Total 
     
Cash and cash equivalents  503  50   553 
Securities  724  189  10  923 
Loans  261  155   416 
Goodwill   335   335 
Intangible assets – client portfolio  398  274   672 
Other assets  662  1,726  398  2,786 
Deposits  (982) (166)  (1,148)
Loans   (31)  (31)
Other liabilities  (888) (1,531) (100) (2,519)
     
 
Total consideration and fair value of net assets acquired  678  1,001  308  1,987 
     

  2007 
  
  BMC  Josema  Total 
    
Cash and cash equivalents  41   41 
Loans  1,238  113  1,351 
Securities  127  19  146 
Goodwill  234   234 
Intangible assets – client portfolio  281  167  448 
Other assets  464   473 
Deposits  (310) (65) (375)
Borrowings  (197)  (197)
Other liabilities  (1,088) (22) (1,110)
    
 
Total consideration and fair value of net assets acquired  790  221  1,011 
    

The total consideration given for acquisitions in 2005, 2006 and 2007 was R$139, R$1,987 and R$ 1,011 respectively, and is comprised as follows:

  2005  2006  2007 
    
Payment in currency  127  1,853  221 
Government securities, at fair value   134  
Issuance of shares, at fair value  12   790 
    
Total cost of acquisitions  139  1,987  1,011 
    

These acquisitions were accounted for under the purchase method of accounting and the companies acquired were thus consolidated as from the date of acquisition of the controlling interest.

In conjunction with these acquisitions, finite-lived intangible assets of R$28 in 2005, R$672 in 2006 and R$ 448 in 2007 were recorded and are related primarily to client’s deposit and relationship portfolios, being amortized over the period in which the assets are expected to contribute directly or indirectly to the future cash flows (between five and ten years). In addition, we recorded a goodwill balance of R$70 in 2005, related to Morada and Leader transactions, R$ 335 in 2006 related to Amex transaction and R$234 in 2007 related to BMC transactions. For further details: Notes 2 (o) and 11.

F -14


Table of Contents

Banco Bradesco S.A. 
 
Notes to the Consolidated Financial Statements 
Expressed in millions of Brazilian reais, unless otherwise stated 
 

2 Significant Accounting Policies

The preparation of the consolidated financial statements in conformity with U.S. GAAP requires management to make estimates and assumptions that affect the reported amounts of assets and liabilities and disclosure of contingent assets and liabilities at the date of the financial statements and the reported amounts of revenues and expenses during the reporting period. The consolidated financial statements include various estimates and assumptions, including, but not limited to: the adequacy of the allowance for loan losses, estimates of fair value of certain financial instruments, depreciation and amortization, asset impairments, useful lives of intangible assets, tax valuation allowances, assumptions used for calculation of insurance reserves, pension plans, contingencies and reserves for potential losses from tax uncertainties. Actual results could differ from those estimates.

a) Constant currency remeasurement

Until December 31, 1997, Brazil was considered to be a highly inflationary environment and accordingly all balances and transactions prior to that date were remeasured at December 31, 1997 price levels. The index selected for this remeasurement was the General Price Index - Internal Availability (IGP-DI), which we consider to be the most appropriate index due to its independent source, long history of publication and its mix of wholesale, consumer and construction prices.

As from January 1, 1998, Brazil was no longer a highly inflationary environment, since the cumulative rate of inflation over preceding three-year period was below 100% without any indication of a return to the high rates prevailing prior to June 30, 1994. Accordingly, balances and transactions as from January 1, 1998 are expressed in nominal reais, as required by U.S. GAAP and the guidelines of the U.S. Securities and Exchange Commission – (“SEC”).

b) Cash and cash equivalents

For purposes of the statement of cash flows, cash and cash equivalents include cash and due from banks, interest-earning deposits in other banks and federal funds sold and securities purchased under agreements to resell, that have original maturities of three months or less and present insignificant risk of changes in value.

  December 31, 
  
  2006  2007 
   
Cash and due from banks  4,747  5,485 
Interest-earning deposits in other banks  2,968  2,942 
Federal funds sold and securities purchased under agreements to resell  3,659  31,669 
   
Total  11,374  40,096 
   

c) Presentation of interest earning assets and interest bearing liabilities.

Interest earning assets and interest bearing liabilities are presented in the consolidated balance sheet at the principal amount outstanding plus accrued interest and monetary and exchange variation incurred. Such presentation is required since accrued interest and monetary (indexation) variations and exchange gains/losses are added to the outstanding principal each period for substantially all Brazilian real-based assets and liabilities.

F -15


Table of Contents

Banco Bradesco S.A. 
 
Notes to the Consolidated Financial Statements 
Expressed in millions of Brazilian reais, unless otherwise stated 
 

The total interest and monetary and exchange variations accrued on the outstanding principal of assets was R$7,909 and R$8,273 at December 31, 2006 and 2007, respectively. Total interest and monetary and exchange variation accrued on outstanding principal of liabilities was R$4,835 and R$4,573 at December 31, 2006 and 2007, respectively.

d) Federal funds sold and securities purchased under agreements to resell and securities pledged under repurchase agreements

Federal funds sold and securities purchased under agreements to resell are treated as collateralized financial transactions and are recorded at the amounts at which the federal funds and securities were acquired or sold plus accrued interest. This classification also includes securities pledged under repurchase agreements mainly comprising Brazilian federal government securities. These securities present insignificant risk of changes in interest rates and may be subject to repledge agreements by the relevant counterparties.

e) Trading securities, including derivatives

Instruments utilized in trading activities include securities stated at fair value in accordance with Statement of Financial Accounting Standards (“SFAS”) 115, "Accounting for Investments in Debt and Equity Securities." Fair value is generally based on quoted prices in active markets or quoted market prices for similar assets or liabilities. If these market prices are not available, fair values are estimated based on dealer quotes, pricing models, discounted cash flow methodologies or similar techniques, for which the determination of fair value may require significant management judgment or estimation. Realized and unrealized gains and losses are recognized in net trading gain.

Derivatives entered into for trading purposes with our customers or which do not qualify as hedges (primarily derivatives used to manage our overall exposure to changes in interest rates and foreign currencies) are carried at fair value with realized and unrealized gains (losses) recognized in trading income (Non-interest income). All our derivatives were accounted for under Trading Derivatives, as disclosed in Note 22 (b).

f) Derivatives other than trading and embedded derivatives

Derivative instruments are recognized as assets or liabilities in the balance sheet and measured at fair value, regardless of the purpose or intention to hold them in accordance with SFAS 133, “Accounting for Derivative Financial Instruments and Hedging Activities”, as amended by SFAS 137, 138 and 149. Changes in the fair values of an instrument are recognized in income or equity, depending on its designation and qualification as a fair value, cash flow or foreign currency hedge. In order to qualify as a hedge, the derivative must be: (i) designated as hedge of a specific financial asset or liability at the inception of the contract, (ii) effective at reducing the risk associated with the exposure to be hedged, and (iii) highly correlated with respect to changes in its fair value or in the related cash flows in relation to the fair value of or cash flows related to the item to be hedged both at inception and over the life of the contract. The Company has not adopted hedge accounting.

Embedded derivatives are bifurcated when all of the following criteria are met: (i) the economic characteristics and risks of the embedded derivative instrument are not clearly and closely related to the economic characteristics and risks of the host contract, (ii) the contract that embodies both the embedded derivative instrument and the host contract is not remeasured at fair value with changes in fair value reported in earnings as they occur and (iii) a separate instrument with the same terms as the embedded derivative instrument would be a derivative instrument subject to the requirements of SFAS 133, as amended. These embedded derivative instruments are measured at fair value with gains and losses recognized in income at each reporting date.

In accordance with SFAS No. 155, “Accounting for Certain Hybrid Financial Instruments” (SFAS 155) hybrid financial instruments which contain an embedded derivative that would otherwise require bifurcation may be accounted for at fair value, with changes in fair value recognized in consolidated statement of income. The fair value would be applied on an instrument-by-instrument basis; however the election to apply fair value accounting is irrevocable.

F -16


Table of Contents

Banco Bradesco S.A. 
 
Notes to the Consolidated Financial Statements 
Expressed in millions of Brazilian reais, unless otherwise stated 
 

g) Available for sale securities

Debt securities are classified based on management's intention at the date of purchase. Securities that are bought and held principally for the purpose of resale in the near term are classified as trading assets and are stated at fair value. Securities are classified as available for sale when, in management’s judgment, they may be sold in response to or in anticipation of changes in market conditions, being carried at fair value with net unrealized gains and losses included in shareholders' equity on an after-tax basis. Average cost is used to determine realized gains and (losses) on sales of available for sale securities.

Amortization of premiums or discounts is recorded as interest using the effective yield method through the maturity date of the security.

Marketable equity securities, which are included as available for sale, are carried at fair value with net unrealized gains and losses included in shareholders' equity on an after-tax basis, until realization at which time the net realized gains (losses) are included in non-interest income (expenses).

h) Held to maturity securities

Debt securities for which there is intention and financial capacity for maintenance in portfolio through maturity are classified as held to maturity securities and recorded at purchase cost, plus the effective interest rate (yield method) through the maturity date of security.

Transfers of investments from trading and available for sale categories to the held to maturity category were accounted at fair value on the date of the transfer:

  • in the case of trading securities, prior gains and losses were previously recorded in the consolidated income statement;
  • in the case of available for sale securities, unrealized gains/losses are recorded in “Unrealized gains/losses on available for sale securities” directly in shareholders’ equity at the time of the transfer and are subsequently amortized over the period from the date of the transfer to the maturity of the security.

i) Other than temporary impairment

In determining whether or not impairment of a security (classified either as available for sale or held-to-maturity) is other than temporary, we use a combination of factors aimed at determining whether recovery of the value of a security is likely. These factors include, besides the duration and magnitude of impairment, a number of other unrelated factors, such as the likelihood, based on the historical behavior of the value of particular securities and our experience with them, that a decline in value will be recovered, as well as the likelihood that we will be unable to collect either principal or interest, due to: (i) filing by the issuer of a bankruptcy or debtor workout procedure; (ii) deterioration of the issuer’s credit risk rating; or (iii) financial difficulties of the issuer, whether or not related to the market conditions in the industry in which it operates.

In addition to the disclosures already required by SFAS 115, we have followed the policies determined by Emerging Issues Task Force (“EITF”) Issue 03-1, “The Meaning of Other than Temporary Impairment and Its Application to Certain Investments”, FASB Staff Position (“FSP”) SFAS 115-1 and SFAS 124-1.

F -17


Table of Contents

Banco Bradesco S.A. 
 
Notes to the Consolidated Financial Statements 
Expressed in millions of Brazilian reais, unless otherwise stated 
 

j) Loans and leases

Loans and leases are stated at amortized cost using the effective yield interest method, including interest receivable, origination fees and costs and monetary indexation (Note 2 (c)). Interest income is recorded on an accrual basis and is added to the principal amount of the loan in each period. The accrual of interest is generally discontinued on all loans that are not considered collectible as to principal or interest and for all loans 60 days or more overdue. Interest collections on such loans are recorded as reductions of the principal balance when collectibility is uncertain, otherwise income is recognized on a cash basis.

We provide vehicle and equipment financing to our customers through a variety of lease arrangements. Lease financing receivables are recorded at the aggregate of lease payments receivable plus the estimated residual value of the leased property, less unearned income.

Also, we have followed the policies prescribed by Statement of Position 03-3. “Accounting for Certain Loans or Debt Securities Acquired in a Transfer”, which addresses accounting for differences between contractual and expected cash flows from the purchaser’s initial investment in loans or debt securities acquired in a transfer, if those differences are attributable, at least in part, to credit quality.

k) Allowance for loan losses and non-performing loans

The allowance for loan losses represents management’s estimate of probable losses inherent in the loan portfolio at each balance sheet date. Our evaluation on the adequacy of the allowance is based on regular reviews on individual loans, in accordance with SFAS 114, “Accounting for Impairment of a Loan by a Creditor”, as amended by SFAS 118 and on the aggregate analysis of homogeneous loans.

The individual loan analysis considers a loan as impaired, when, in our opinion, all amounts due are no longer considered collectible, including accrued interest, in accordance with SFAS 114, “Accounting for Impairment of a Loan by a Creditor”, as amended by SFAS 118. We then measure impaired loans based on (i) present value of expected future cash flows discounted at the loan’s effective interest rate or (ii) the fair value of the collateral if the loan is collateral dependent. The allowance is established through the difference between the carrying value of the impaired loan and its value determined as described above.

The aggregate loss analysis for groups of homogeneous loans is based on internal models, which consider a number of features including, but not limited to, the recent loss experience, current economic conditions, clients´ profiles and internal risk ratings. These models and inputs are frequently reviewed to take into consideration actual losses.

Loans are charged-off against the allowance when the loan is considered uncollectible collected or is considered permanently impaired.

l) Equity investees and other investments

Equity investees and other investments, where we own between 20% and 50% of voting capital, are accounted for using the equity method of accounting, according to the Accounting Principles Board (APB) Opinion 18, “The Equity Method of Accounting for Investments in Common Stock”. Under this method, our share of results of the investee, as reported under U.S. GAAP, is recognized in the statement of income as "Equity in earnings (losses) of unconsolidated companies" and dividends are credited when declared to the "Equity investees and other investments" balance sheet account (Note 9).

Interests in companies of less than 20% with no readily determinable market value are recorded at cost (unless we have the ability to exercise significant influence over the operations of the investee, in which case we use the equity method) and dividends are recognized in income when received.

F -18


Table of Contents

Banco Bradesco S.A. 
 
Notes to the Consolidated Financial Statements 
Expressed in millions of Brazilian reais, unless otherwise stated 
 

None of our investments in unconsolidated companies, analyzed on an individual basis, are considered significant for additional disclosures in our consolidated financial statements. When analyzed on an aggregate basis for the fiscal year ended December 31, 2007, they meet the criteria of relevant subsidiaries and thus, aggregate summary financial information is disclosed in Note 9.

m) Premises and equipment, net

Premises and equipment are recorded at cost (plus price-level restatements through December 31, 1997). Depreciation is computed on the straight-line method at the following annual rates: premises – 4%; data processing equipment – 20% to 50%; and other assets – 10% to 20%.

Development and acquisition costs of software, included within premises and equipment, net relate to costs of internal use software capitalized, in accordance with Statement of Position 98-1 “Accounting for computer software developed or obtained for internal use.”

We recognize an impairment loss only if the carrying amounts of long-lived assets to be held and used are not recoverable from their expected undiscounted future cash flows, pursuant to SFAS 144 “Accounting for the Impairment or Disposal of Long-Lived Assets”.

Fixed assets, mainly comprising certain bank branches, which were sold and subsequently leased by us for the purposes of continuing our operations, were recorded pursuant to SFAS 13 and SFAS 98, “Accounting for Leasing” and SFAS 28 “Accounting for Sales Subject to Rental Contracts.”

For transactions classified as operating leases, relating to property sold for cash, only the portion corresponding to: (i) the positive difference between revenue determined at the time of the sale and the present value of the future lease to be paid is recognized immediately in income for the period, whereas (ii) the remaining portion is deferred over the corresponding rental contract terms, and (iii) exclusively in cases of loss, the amounts are recognized immediately. In cases where the sale is financed, income will be determined only as from the final maturity of the corresponding financing (Note 10) and subsequently recorded in accordance with the criteria described above.

Gain or loss on cash sales not subject to lease contracts was recognized immediately in income for the year as “Other non-interest income”.

n) Foreclosed assets

Assets are classified as foreclosed assets and are included in other assets upon actual foreclosure or when physical possession of the collateral is taken, through agreement on court action.

Foreclosed properties are carried at the lower of the recorded amount of the loan or lease for which the property previously served as collateral, or the fair value of the property less estimated costs to sell. Prior to foreclosure, any write-downs, if necessary, are charged to the allowance for loan losses.

Subsequent to foreclosure, gains or losses on the sale of and losses on the periodic revaluation of foreclosed properties are recorded in income. Net costs of maintaining and operating foreclosed properties are expensed as incurred.

o) Goodwill and other intangible assets

SFAS 141, “Business Combinations” requires accounting for business combinations determining whether an acquired intangible asset should be recognized separately from goodwill, as well as additional disclosures relating to the primary reason for a business combination and the allocation of the purchase price by major balance sheet captions.

SFAS 142, “Goodwill and Other Intangible Assets” requires that goodwill, including that acquired before initial application of the standard, is no longer amortized but is tested for impairment at least annually, using a two-step approach that involves the identification of “reporting units” and the estimation of fair value. The reporting unit is the banking segment that is analyzed by the management on a regular basis.

F -19


Table of Contents

Banco Bradesco S.A. 
 
Notes to the Consolidated Financial Statements 
Expressed in millions of Brazilian reais, unless otherwise stated 
 

The impairment test is performed in two phases. The first step of the goodwill impairment test compares the fair value of the reporting unit with its carrying amount, including goodwill. If the carrying amount of the reporting unit exceeds its fair value, an additional step has to be performed. This additional step compares the implied fair value of the reporting unit’s goodwill with the carrying amount of that goodwill. An impairment loss is recorded to the extent that the carrying amount of goodwill exceeds its implied fair value.

Finite-lived intangible assets are generally amortized on a straight-line basis over the estimated period benefited. The client portfolios intangible asset is recorded and amortized over a period in which the asset is expected to contribute directly or indirectly to the future cash flows (between five and ten years). We review our intangible assets for events or changes in circumstances that may indicate that the carrying amount of the assets may not be recoverable, in which case its impairment charge is recognized on income immediately, according to SFAS 144.

Also, we have followed the policies prescribed by SFAS 147, “Acquisitions of Certain Financial Institutions”, which requires that business combinations involving depositary financial institutions within its scope, except for combinations between mutual institutions, be accounted for under SFAS 141.

p) Litigation

According to SFAS 5 “Accounting for Contingencies” and Interpretation N° 14 (“FIN 14”) “Reasonable Estimation of the Amount of a Loss,” we recognize accruals in determining loss contingencies when the conditions known before the issuance of the financial statements show that: (i) it is probable that losses had been incurred at the date of the financial statements; and (ii) the amount of such losses can be reasonably estimated. We accrue our best estimate of probable losses.

We constantly monitor litigation in progress to evaluate, among other things: (i) its nature and complexity; (ii) the evolution of the proceedings; (iii) the views of our legal advisors; and (iv) our experience with similar proceedings. We also consider in determining whether a loss is probable and in estimating its amount:

a) The probability of loss from claims or events that have occurred on or before the date of the financial statements, but which come to our attention only after the date of the financial statements, but before the financial statements are issued; and

b) The need to disclose claims or events occurring after the date of the financial statements but before they are issued.

q) Income taxes

We account for income taxes in accordance with SFAS No. 109, “Accounting for Income Taxes” (SFAS 109) as interpreted by FIN 48, resulting in two components of income tax expense: current and deferred. Current income tax expense approximates taxes to be paid or refunded for the current period. Deferred income tax expense results from changes in deferred tax assets and liabilities between periods. These gross deferred tax assets and liabilities represent decreases or increases in taxes expected to be paid in the future because of future reversals of temporary differences in the bases of assets and liabilities as measured by tax laws and their bases as reported in the financial statements.

Deferred tax assets are also recognized for tax attributes such as net operating loss carryforwards and tax credit carryforwards. Valuation allowances are then recorded to reduce deferred tax assets to the amounts management concludes are more-likely-than-not to be realized. Under FIN 48, income tax benefits are recognized and measured based upon a two-step model: 1) a tax position must be more-likely than- not to be sustained based solely on its technical merits in order to be recognized, and 2) the benefit is measured as the largest amount of that position that is more-likely-than-not to be sustained upon settlement. The difference between the benefit recognized for a position in accordance with this FIN 48 model and the tax benefit claimed on a tax return is referred to as an unrecognized tax benefit (UTB). We accrue income-tax-related interest and penalties (if applicable) within income tax expense. We implemented FIN 48 on January 1, 2007 and it did not have any impact on our consolidated financial position.

F -20


Table of Contents

Banco Bradesco S.A. 
 
Notes to the Consolidated Financial Statements 
Expressed in millions of Brazilian reais, unless otherwise stated 
 

r) Asset management and commission fees

We earn fee income from investment management, credit card, investment banking and certain commercial banking services. Such fees are recognized when the service is performed (investment and commercial banking) or over the life of the contract (investment management and credit card).

s) Foreign currency translation

For the majority of our foreign operations, the functional currency is the Brazilian real, in which case the assets and liabilities are remeasured, at current exchange rates from the local currency to the Brazilian real and the results of operations are remeasured at the average rate for the period. Losses and gains arising from the remeasurement process are included in current income.

t) Employee benefits

We are required to make employer contributions to INSS, a Brazilian Government Agency that manages social securities, retirement pension and other benefits. Such contributions, which are expensed as incurred, totaled R$647 in 2005, R$716 in 2006 and R$809 in 2007.

In addition, we make contributions to defined-benefit plans for our employees coming from acquired institutions. We account for these plans in accordance with SFAS 87 "Employers Accounting for Pensions".

We adopted the revised SFAS 132 (“SFAS 132R”) that maintains the disclosure requirements of the original statement and requires additional disclosures for pension plan assets, expected benefit obligations, cash flows for future contributions and benefit payments and other relevant information. See Note 26 to the Consolidated Financial Statements for these disclosures.

In September 2006, the FASB issued SFAS 158. “Employers’ Accounting for Defined Benefit Pension and Other Postretirement Plans - an amendment of the FASB Statements No 87, 88, 106, and 132(R)” (“SFAS 158”). SFAS 158 requires the funded status of pension and other postretirement plans to be recorded on the balance sheet as of December 31, 2006 with a corresponding offset, net of tax effects, recorded in accumulated other comprehensive income (loss) within shareholder’s equity. The requirement to recognize the funded status of a benefit plan and the disclosure requirements are effective as of the end of the fiscal year ending after December 15, 2006. The effect of adopting SFAS 158 is not material and presented in note 26.

SFAS 158 also requires the measurement of the plan assets and benefit obligations as of the date of the employer’s fiscal year-end statement of financial position, effective for fiscal years ending after December 15, 2008. The antecipated adoption of this requirement for the fiscal year ended December 31, 2007 did not have a material impact on our consolidated financial position or results of operations.

u) Earnings per share

Earnings per share are presented based on the two classes of shares issued. Both classes, common and preferred, participate in dividends on substantially the same basis, except that preferred shareholders are entitled to dividends per share 10% higher than common shareholders (Note 17). Earnings per share are computed based on the distributed dividends or interest on shareholders’ capital and undistributed earnings of Bradesco after giving effect to the 10% preference, as though all earnings will be distributed. Weighted average shares are computed based on the periods for which the shares are outstanding.

F -21


Table of Contents

Banco Bradesco S.A. 
 
Notes to the Consolidated Financial Statements 
Expressed in millions of Brazilian reais, unless otherwise stated 
 

On March 12, 2007, our Board of Directors approved a split of our capital stock in which our shareholders were entitled to one new share for each existing share of the same class. On March 24, 2008, our Board of Directors approved a split of our capital stock, in which our shareholders were entitled to one new share for each two existing shares of the same class. Therefore, all related share amounts have been retroactively adjusted for all periods presented to reflect the stock split.

In addition, we considered the policies prescribed by EITF Issue 03-6,"Participating Securities and the Two-Class Method” under SFAS 128, “Earnings per Share."

v) Insurance and pension plans policyholders

Substantially all of our insurance contracts are considered short-duration insurance contracts. Premiums from short-duration insurance contracts are recognized over the related contract period. Premiums from long-duration contracts are recognized when due from the policyholders.

Reserves for insurance claims are established based on historical experience, claims in process of payment, estimated amount of claims incurred but not yet reported, and other factors relevant to the level of reserves required. Reserves are adjusted regularly based upon experience, with the effects of changes in such estimated reserves included in the results of operations in the period in which the estimated reserves were changed, and include estimated reserves for reported and unreported claims incurred.

Reserves for private pension plan are established based on actuarial calculations.

Certain products offered by us, such as pension investment contracts and funds where the investment risk is for the account of policyholders, are considered investment contracts in accordance with the requirements of SFAS 97, “Accounting and Reporting by Insurance Enterprises for Certain Long Duration Contracts and For Realized Gains and Losses from Sale of Investments,” (“SFAS 97”). During the accumulation phase of the pension investment contracts, when the investment risk is for the account of policyholders, the contracts are treated as an investment contract. During the annuity phase the contract is treated as an insurance contract with mortality risk. Funds related to pension investment contracts where the investment risk is for the account of policyholders are equal to the account value. Account values are not actuarially determined. Rather, account values are increased by the deposits received and interest credited (based on contract provisions) and are reduced by redemptions at the policyholders option.

In addition, we determine the need to record an additional liability for the contract feature when the present value of expected annuitization payment at the expected annuitization date exceeds the expected account balance at the annuitization date, in accordance with SOP 03-1 “Accounting and Reporting by Insurance Enterprises for Certain Non-traditional Long-Duration Contracts and for Separate Accounts” (“SOP 03-1”). The securities related to these pension investment contracts are classified as “trading securities” and “available for sale securities” in the consolidated financial statements.

In October 2005, the American Institute of Certified Public Accountants (“AICPA”) issued Statement of Position 05-1, “Accounting by Insurance Enterprises for Deferred Acquisition Costs in Connection with Modifications or Exchanges of Insurance Contracts” ("SOP 05-1"). SOP 05-1 provides accounting guidance for deferred policy acquisition costs on internal replacements of insurance and investment contracts other than those specifically described in Statement of Financial Accounting Standards ("SFAS") No. 97, “Accounting and Reporting by Insurance Enterprises for Certain Long-Duration Contracts and for Realized Gains and Losses from the Sale of Investments”. SOP 05-1 defines an internal replacement as a modification in product benefits, features, rights or coverages that occurs by the exchange of a contract for a new contract, or by amendment, endorsement or rider to a contract, or by the election of a feature or coverage within a contract. The provisions of SOP 05-1 are effective for internal replacements occurring in fiscal years beginning after December 15, 2006. The SOP 05-1 did not have a material impact on our financial condition and results of operations.

F -22


Table of Contents

Banco Bradesco S.A. 
 
Notes to the Consolidated Financial Statements 
Expressed in millions of Brazilian reais, unless otherwise stated 
 

w) Liability for unpaid claims and claim adjustment expenses

The liability for unpaid claims and claim adjustment expenses represents the amounts needed to provide for the estimated ultimate cost of settling claims relating to insured events that have occurred on or before the balance sheet date. The estimated liability includes the amount of money that will be required for future payments of (a) claims that have been reported to the insurer, (b) claims related to insured events that have occurred but that have not been reported to the insurer as of the date the liability is estimated, and (c) claim adjustment expenses. Claim adjustment expenses include costs incurred in the claim settlement process such as legal fees; outside adjuster fees; and costs to record, process, and adjust claims.

Premium deficiency reserves are established if necessary, when the liability for future policy benefits plus the present value of expected future gross premiums are determined to be insufficient to provide for expected future policy benefits and expenses and to recover any unamortized policy acquisition costs.

During the regular course of our insurance activities, we reinsure a portion of the underwritten risk with IRB Brasil Resseguros S.A., a government controlled entity. The reinsurance agreement permits a recovery of a portion of losses from the reinsurer, although it does not discharge our primary liability as direct insurer of the risks reinsured. Reinsurance receivables as of December 31, 2006 and 2007 amounted to R$35 and R$55, respectively, and are included in "Other assets".

x) Deferred acquisition costs

The costs that vary with and are related to the production of new insurance business are deferred to the extent that such costs are deemed recoverable from future profits.

Such costs include mainly commissions, cost of policy insurance and variable support service costs and are amortized over the expected life of the contracts in proportion to the premium income. Deferred acquisition costs are subject to recoverability testing at the end of each accounting period and, if not recoverable, are charged to expense.

y) Compensated absences

The liability for future compensation for employee vacations is accrued and expensed as earned by the employees.

z) Interest on shareholders' capital

Brazilian corporations are permitted to attribute a tax-deductible interest charge on shareholders' equity. The notional interest charge is treated as though it was a dividend and is accordingly shown as a direct reduction of retained earnings in these financial statements. The related tax benefit is recorded in the income statement.

aa) Credit card fees

Credit card fees, periodically charged to cardholders, net of related issuance costs, are deferred and recognized on a straight-line basis over the period that the fee entitles the cardholder to use the card.

bb) Special Purpose Financing entities

The Company utilizes certain financial arrangements to meet its funding and liquidity management through SPF entities. These SPF entities are generally funded with long-term debt (Note 14 (d)) and are paid down through the future cash flow of the underlying assets. The underlying assets are essentially current and future flows of (i) payment orders from individuals and corporations outside Brazil to individuals and corporations in Brazil on which we act as the paying bank and (ii) credit card bill receivables from purchases in Brazil from foreign cardholders.

We consolidated these SPF entities based on the policies issued by FASB Interpretation N° 46 ("FIN 46") "Consolidation of Variable Interest Entities", revised in December 2003 ("FIN 46R").

F -23


Table of Contents

Banco Bradesco S.A. 
 
Notes to the Consolidated Financial Statements 
Expressed in millions of Brazilian reais, unless otherwise stated 
 

cc) Guarantees provision

We adopted the provisions issued by FASB Interpretation No 45, “Guarantor’s Accounting and Disclosure Requirements for Guarantees, including Indirect Guarantees of Indebtedness of Others (FIN 45).” The FIN 45, which clarifies previously issued accounting guidance and disclosure requirements for guarantees, expands the disclosures to be made by a guarantor in its financial statements about obligations under certain guarantees and requires the guarantor to recognize a liability for the fair value of an obligation assumed under a guarantee.

The new requirements include the disclosure of the nature of the guarantee, the maximum potential amount of future payments that we could be required to make under the guarantee, and the current amount of the liability, if any, for the guarantor’s obligations under the guarantee. Significant guarantees that have been provided by us are disclosed in Note 22 (d).

dd) Perpetual bonds

In July 2003, the FASB issued SFAS 150. “Accounting for Certain Financial Instruments with Characteristics of both Liabilities and Equity,” which establishes standards for how an issuer measures certain financial instruments with characteristics of both liabilities and equity and classifies them in its statement of financial position.

ee) Reclassification

In the financial statements for the years ended December 31, 2006 and 2005, we have made certain reclassifications to conform to the presentation in the current year: such reclassification did not affect the amounts that were previously recorded as assets, liabilities, stockholders´equity and net income. They include (i) intangible assets related to exclusive rights for rendering banking services and (ii) loan origination fees and costs.

In the original financial statements issued for prior years, some intangible assets related to acquisition of exclusive rights for rendering banking services were presented under “Prepaid Expenses” and “Postal Bank service prepayment” In these financial statements, these balances are presented under “Intangible assets, net”. The amount reclassified was R$540 as of December 31, 2006.

Also, loan origination fees and costs were presented within “Non-interest income” and “Non-interest expense” and in these financial statements those amounts are presented under “Interest on loans”. The amounts reclassified to “Interest on loans” are R$304 and R$381 for 2006 and 2005, respectively. Additionally, we have reclassified the related costs on the origination of the loans classified in the priors years as “Commission on the placement of financing- Other Assets” to “Loans” on the balance sheet in the total amount of R$789 as of December 31, 2006.

As a result the reclassification above, the impact on cash flows was (i) an increase in 2005 and a decrease in 2006 in the “Net cash provided by (use in) operating activities” and (ii) a decrease in 2005 and an increase in 2006 in the “Net cash used in investing activities” in the total amounts of R$ 386 and R$ 534, respectively.

ff) Recent accounting pronouncements

In September 2006, the FASB issued SFAS No 157 (“SFAS 157”), “Fair Value Measurements.” The Statement defines fair value, establishes a framework for measuring fair value in accordance with GAAP, and expands disclosure requirements regarding methods used to measure fair value and the effects on earnings. SFAS 157 clarifies that fair value is the amount that would be exchanged to sell an asset or transfer a liability, in an orderly transaction between market participants on the measurement date. SFAS 157 is effective for fiscal years beginning after November 15, 2007, with earlier adoption permitted. We do not expect that the adoption of this requirement to have a material impact on our consolidated financial position or results of operations.

F -24


Table of Contents

Banco Bradesco S.A. 
 
Notes to the Consolidated Financial Statements 
Expressed in millions of Brazilian reais, unless otherwise stated 
 

In February 2007, the FASB issued SFAS 159 (“SFAS 159”), “The Fair Value Option for Financial Assets and Financial Liabilities.” SFAS 159 provides companies with an option to report selected financial assets and liabilities at fair value and to provide additional information that will help investors and other users of financial statements to understand more easily the effect on earnings of the company’s choice to use fair value. SFAS 159 is effective as of the first quarter of 2008. We are currently evaluating the impact of the adoption of SFAS 159 which depends on the nature and extent of items elected to be measured at fair value, upon initial application of the standards in 2008.

In December 2007, the FASB issued SFAS 141 (“SFAS 141 (R)”) “Business Combinations”. This Statement replaces SFAS 141, “Business Combinations". SFAS 141(R) requires an acquiring entity to recognize all assets acquired, liabilities assumed, and any non controlling interest in the acquired entity at the acquisition date, at fair value as of that date. Also, requires that (i) the measuring stock consideration be based on the quoted market price as of the acquisition date and not on the date the deal is announced, (ii) the contingent consideration arising from a contract and noncontractual contingencies be measured and recognized as an asset or liability at fair value at the acquisition date with subsequent changes in fair value reflected in earnings and noncontractual contingencies that do not meet the more-likely-than-not criteria continue to be recognized when they are probable and reasonably estimable, and (iii) expensing of acquisition-related transaction and restructuring costs. The guidance is effective on a prospective basis for business combinations in which the acquisition date is on or after the first annual reporting period beginning on or after January 1, 2009.

In December 2007, the FASB issued SFAS 160 (“SFAS 160”), “Non-controlling Interests in Consolidated Financial Statements – an amendment of ARB No. 51” to establish accounting and reporting standards for the noncontrolling interest in a subsidiary and for the deconsolidation of a subsidiary. SFAS 160 requires the recognition of a non controlling interest as equity in the consolidated financial statements and segregated from the parent’s equity. In addition, net income attributable to the noncontrolling interest must be included in the consolidated net income on the face of the income statement. In case a subsidiary is deconsolidated, any retained noncontrolling equity investment in the former subsidiary should be measured at fair value. The gain or loss on the deconsolidation of the subsidiary is measured using the fair value of any noncontrolling equity investment. SFAS 160 is effective for fiscal years, and interim periods within those fiscal years, beginning after December 15, 2008. We do not expect that the adoption of this requirement to have a material impact on our consolidated financial position or results of operations.

In November 2007, the SEC issued Staff Accounting Bulletin No. 109 “Written Loan Commitments Recorded at Fair Value through Earnings” (“SAB 109”), which requires that the expected net future cash flows related to servicing of a loan should be included in the measurement of all written loan commitments measured at fair value through earnings. The adoption of SAB 109 is on a prospective basis and effective for a loan commitments measured at fair value through earnings when are issued or modified after January 1, 2008. We are currently evaluating the potential impact of the adoption of this SAB 109. However, the adoption of this accounting pronouncement is not expected to have a significant impact on our consolidated financial condition and results of operations.

In February 2008, the FASB issued FASB Staff Position No. FSP 140-3, “Accounting for Transfers of Financial Assets and Repurchasing Transactions”, ("FSP 140-3"). FSP 140-3 addresses accounting for repurchase agreements related to previously transferred financial assets when the repurchase arrangement is between the same parties as the original transfer. This FSP presumes that an initial transfer of a financial asset and a repurchase agreement are considered part of the same arrangement under SFAS No. 140. However, if certain criteria are met, the initial transfer and repurchase financing shall not be evaluated as a linked transaction and instead should be evaluated separately under SFAS 140. This FSP is effective fiscal years beginning after November 15, 2008 and shall be applied prospectively to initial transfers and repurchase financings for which the initial transfer is executed on or after the beginning of the fiscal year this FSP is initially applied. We are currently evaluating the potential impact of the adoption of FSP 140-3.

In March 2008, the FASB issued SFAS 161 (“SFAS 161”), “Disclosure about Derivative Instruments and Hedging Activities, an amendment of FASB Statements No. 133”, which requires the enhancement of the current disclosure framework in Statement 133. The Statement requires that the objectives and strategies for using derivative instruments be disclosed in the underlying risks and accounting designation. Disclosing the fair value of derivative instruments and their gains and losses in a tabular format should provide a more complete presentation of the location in an entity’s financial statements of both the derivative positions existing at period end and the effect of using derivatives during the reporting period. Disclosing information about credit-risk-related contingent features should provide information on the potential effect on an entity’s liquidity from using derivatives. This Statement is effective for financial statements issued for fiscal years and interim periods beginning after November 15, 2008, with early adoption encouraged. This Statement encourages, but does not require, comparative disclosures for earlier periods at initial adoption. We are evaluating the effects of the adoption of this statement on our consolidated financial statements and results of operations.

F -25


Table of Contents

Banco Bradesco S.A. 
 
Notes to the Consolidated Financial Statements 
Expressed in millions of Brazilian reais, unless otherwise stated 
 

In April 2008, the FASB issued FASB Staff Position FSP 142-3, “Determination of Useful Life of Intangible Assets”(“FSP FAS 142-3”), which amends the factors that should be considered in developing renewal or extension assumptions used to determine the useful life of a recognized intangible asset under SFAS 142. The intent of this FSP is to improve the consistency between the useful life of a recognized intangible asset under Statement 142 and the period of expected cash flows used to measure the fair value of the asset under FASB Statement No. 141(R), and other U.S. generally accepted accounting principles (GAAP). This FSP applies regardless of the nature of the transaction that resulted in the recognition of the intangible asset, that is, whether acquired in a business combination or otherwise. In developing assumptions about renewal or extension used to determine the useful life of a recognized intangible asset, an entity shall consider its own historical experience in renewing or extending similar arrangements. However, these assumptions should be adjusted for the entity-specific factors in paragraph 11 of Statement 142. In the absence of that experience, an entity shall consider the assumptions that market participants would use about renewal or extension (consistent with the highest and best use of the asset by market participants), adjusted for the entity-specific factors in paragraph 11 of Statement 142. We are currently evaluating the potential impact of the adoption of FSP FAS 142-3.

In May 2008, the FASB issued SFAS No. 163, "Accounting for Financial Guarantee Insurance Contracts - an interpretation of FASB Statement No. 60." SFAS 163 requires that an insurance enterprise recognize a claim liability prior to an event of default (insured event) when there is evidence that credit deterioration has occurred in an insured financial obligation. This Statement also clarifies how Statement 60 applies to financial guarantee insurance contracts, including the recognition and measurement to be used to account for premium revenue and claim liabilities. Those clarifications will increase comparability in financial reporting of financial guarantee insurance contracts by insurance enterprises. This Statement requires expanded disclosures about financial guarantee insurance contracts. The accounting and disclosure requirements of the Statement will improve the quality of information provided to users of financial statements. SFAS 163 will be effective for fiscal years beginning after December 15, 2008. We are currently evaluating the potential impact of the adoption of SFAS 163.

F -26


Table of Contents

Banco Bradesco S.A. 
 
Notes to the Consolidated Financial Statements 
Expressed in millions of Brazilian reais, unless otherwise stated 
 

3 Brazilian Central Bank Compulsory Deposits

a) Like other Brazilian financial institutions, we are required to maintain deposit funds with the Central Bank or to purchase and hold Brazilian federal government securities. in the form of compulsory deposits which are as follows:

    December 31, 
   
    2006  2007 
    
Non-interest earning (1) 6,446  8,919 
Interest-earning (2) 12,219  14,620 
Interest-earning (3) 4,796  8,274 
   
 
Total  23,461  31,813 
   

(1)Related to demand deposits.
(2)Mainly related to saving deposits.
(3)Time deposits deposited with the Central Bank in the form of Brazilian government securities.

b) The Brazilian government securities related to the compulsory deposits and accounted for under SFAS 115. were as follows:

  Trading securities  Available for sale
securities 
 Held to maturity
securities 
    
  2006  2007  2006  2007  2006  2007 
       
Amortized cost  4,795  7,773   -  511   
Gross unrealized gains     -    
Gross unrealized           
losses(1)  (1)  -  (15)  
       
Fair value  4,796  7,772   -  496   
       
Average balance  4,875  5,869         
       

(1) No other than temporary losses have been identified for the gross unrealized loss amount.

The amortized cost and the fair value of the securities, by maturity, were as follows:

  December 31, 
  
  2006  2007 
   
  Amortized  Fair  Amortized  Fair 
  cost  value  cost  value 
     
Due in one year or less  4,572  4,572  7,757  7,756 
Due after one year through five years  223  224  533  518 
     
Total  4,795  4,796  8,290  8,274 
     

F -27


Table of Contents

Banco Bradesco S.A. 
 
Notes to the Consolidated Financial Statements 
Expressed in millions of Brazilian reais, unless otherwise stated 
 

4 Trading Securities

  Fair value 
  
  December 31,  Average balance 
   
  2006  2007  2006  2007 
     
Mutual funds  28,549  36,532  24,002  32,231 
Brazilian government securities  31,150  16,741  15,732  14,815 
Corporate debt securities  1,040  1,846  896  769 
Brazilian sovereign bonds  55  36  77  45 
Bank debt securities  1,263  956  384  3,188 
Foreign government securities  94  1,901  112  324 
     
 
Total  62,151  58,012  41,203  51,372 
     
Derivative financial instruments  584  1,134  796  1,415 
     
 
Total trading account assets  62,735  59,146  41,999  52,787 
     

Net unrealized gains (losses) included in trading assets at December 31, 2006 and 2007 were R$23 and R$(65), respectively.

The net change in the unrealized gains (losses) on trading securities held as of December 31, 2005, 2006 and 2007, included in non-interest income, were R$90, R$(82) and R$(88), respectively.

Trading securities presented above include securities pledged as collateral that amounted to R$821 and R$3,331 at December 31, 2006 and 2007, respectively.

Derivative positions presented above represent the fair values of interest rate, foreign exchange, equity and commodity-related products, including financial forward settlement and option contracts and swap agreements associated with our financial derivative instruments trading activities.

5 Available for Sale Securities, at Fair Value

    Gross  Gross   
  Amortized  unrealized  unrealized  Fair 
  cost  gains  losses  value 
     
December 31, 2006         
 Brazilian government securities  15,644  1,068   16,712 
 Brazilian sovereign bonds  1,312  237   1,549 
 Corporate debt securities  2,048  83  (1) 2,130 
 Bank debt securities  45    54 
 Foreign government securities     
 Marketable equity securities  2,549  1,035  (159) 3,425 
     
 
Total  21,607  2,432  (160) 23,879 
     
 
December 31, 2007         
 Brazilian government securities  21,657  1,722  (189) 23,190 
 Brazilian sovereign bonds  361  77   438 
 Corporate debt securities  1,307  59  (2) 1,364 
 Bank debt securities  69  11   80 
 Marketable equity securities  2,385  2,219  (23) 4,581 
     
 
Total  25,779  4,088  (214) 29,653 
     

F -28


Table of Contents

Banco Bradesco S.A. 
 
Notes to the Consolidated Financial Statements 
Expressed in millions of Brazilian reais, unless otherwise stated 
 

In 2005, 2006 e 2007, we recorded R$49, R$64 and R$26, respectively, as other than temporary losses and they were written off and recorded as non-interest income.

No other than temporary losses have been identified for the remaining gross unrealized losses as of December 31, 2007 and 2006.

At December 31, 2006 and 2007 there were no securities of a single issuer, or group of related companies, for which the fair value exceeded 10% of shareholders' equity.

Realized gains and losses on securities are calculated based on the average cost method. The components of gains and losses realized on available for sale securities were as follows:

  Year ended December 31, 
  
  2005  2006  2007 
    
Gross gains  833  1,338  1,575 
Gross losses  (86) (181) (119)
    
 
Net gains  747  1,157  1,456 
    

The amortized cost and fair value of available for sale securities, by maturity, were as follows:

  December 31, 
  
  2006  2007 
   
  Amortized  Fair  Amortized  Fair 
  cost  value  cost  value 
     
Due in one year or less  294  323  2,364  2,446 
Due after one year through five years  7,619  7,907  6,387  6,522 
Due after five years through ten years  10,275  10,531  6,029  6,283 
Due after ten years  870  1,693  8,614  9,821 
No stated maturity (marketable equity securities) 2,549  3,425  2,385  4,581 
     
Total  21,607  23,879  25,779  29,653 
     

Available for sale securities presented above include securities pledged as collateral that amounted to R$12 and R$736 at December 31, 2006 and 2007, respectively.

Additionally, available for sale securities presented as “Federal funds sold and securities purchased under agreements to resell” amount to R$3,899 at December 31, 2007, with a market value of R$4,198, basically consist of Brazilian government securities (maturities between 3 and 10 years). At December 31, 2006 these securities amounted to R$2,825, with a market value of R$3,106.

F -29


Table of Contents

Banco Bradesco S.A. 
 
Notes to the Consolidated Financial Statements 
Expressed in millions of Brazilian reais, unless otherwise stated 
 

6 Held to Maturity Securities

The amortized cost and fair value of held to maturity securities were as follows:

    Gross  Gross   
  Amortized  unrealized  unrealized  Fair 
  cost  gains  losses  value 
     
December 31, 2006         
 Brazilian government securities  2,188  736   2,924 
 Brazilian sovereign bonds  1,040  263   1,303 
 Foreign government securities  37    37 
     
 
Total  3,265  999  -  4,264 
     
 
December 31, 2007         
 Brazilian government securities  2,643  1,103  (10) 3,736 
 Brazilian sovereign bonds  288  47   335 
 Foreign government securities  50    50 
     
 
Total  2,981  1,150  (10) 4,121 
     

The amortized cost and market value of held to maturity securities, by maturity, were as follows:

  December 31, 
  
  2006  2007 
   
  Amortized  Fair  Amortized  Fair 
  cost  value  cost  value 
     
Due in one year or less  37  37   
Due after one year through five years    265  283 
Due after five years through ten years  966  1,205  226  229 
Due after ten years  2,262  3,022  2,487  3,605 
     
Total  3,265  4,264  2,981  4,121 
     

At December 31, 2007, we recorded securities pledged as collateral in our portfolio of held to maturity securities in the amount of R$3. At December 31, 2006, no securities pledged as collateral were recorded in our portfolio of held to maturity securities.

In addition, held to maturity securities recorded as “Federal funds sold and securities purchased under agreements to resell” in a amount of R$578 at December 31, 2007, with a market value of R$665 comprise mainly Brazilian sovereign bonds (maturities from 3 to 10 years). At December 31, 2006, there were no securities recorded as “Federal funds sold and securities purchased under agreements to resell” in our held to maturity securities portfolio.

The following table sets out our securities by denomination:

  December 31, 
  
    2006  2007 
   
  Amortized    Amortized   
  cost  Percentage  cost  Percentage 
     
Brazilian currency (reais) 2,188            67%  2,643  89% 
Indexed to and denominated in foreign currency  1,077              33  338              11 
     
  3,265          100%  2,981  100% 
     

F -30


Table of Contents

Banco Bradesco S.A. 
 
Notes to the Consolidated Financial Statements 
Expressed in millions of Brazilian reais, unless otherwise stated 
 

7 Loans

  December 31, 
  
  2006  2007 
   
Commercial:     
   Industrial and others  32,604  44,380 
   Import financing  1,465  2,179 
   Export financing  12,934  15,342 
Leasing  3,842  8,097 
Construction  519  1,634 
Individuals:     
   Overdraft  1,263  1,881 
   Real estate  1,326  1,571 
   Financing (1) 28,828  38,791 
   Credit card  2,652  2,330 
Rural credit  7,399  9,032 
Foreign currency loans  1,546  2,529 
Public sector  62  94 
Non-performing loans  4,284  5,277 
   
Total loans  98,724  133,137 
   

(1) Consisting primarily of automobile financing and direct consumer financing.

8 Allowance for Loan Losses

                Year ended December 31, 
  
  2005  2006  2007 
    
At beginning of year  4,063  4,964  6,552 
Provision for loan losses  1,823  3,767  4,616 
Loan charge-offs  (1,603) (2,816) (4,281)
Loan recoveries  681  637  882 
    
Net charge-offs  (922) (2,179) (3,399)
    
At end of year  4,964  6,552  7,769 
    

At December 31, 2006 and 2007, the recorded investment in loans for which impairment has been recognized in accordance with SFAS 114 totaled R$594, and R$589, respectively, of which R$260, and R$340, related to loans with a corresponding valuation allowance of R$167, and R$187, respectively. For the year ended December 31, 2007, the average recorded investment in impaired loans was approximately R$553. For 2005, 2006 and 2007, interest income recognized on impaired loans was deemed immaterial. At December 31, 2005, 2006 and 2007, we had non-accrual loans of R$2,701, R$4,284 and R$5,277, respectively.

The calculation of the allowance for loan losses comprises an individual analysis of impaired loans and an aggregate loss analysis for groups of homogeneous loans, as follows:

  December 31, 
  
  2005  2006  2007 
    
Impaired loans  286  167  187 
Homogeneous loan losses  4,678  6,385  7,582 
    
 
At end of year  4,964  6,552  7,769 
    

F -31


Table of Contents

Banco Bradesco S.A. 
 
Notes to the Consolidated Financial Statements 
Expressed in millions of Brazilian reais, unless otherwise stated 
 

9 Equity Investees and Other Investments

    December 31, 
   
Company  December 31,               
  2007  2005  2006  2007 
     
    Equity in    Equity in        Equity in 
  Voting  earnings    earnings  Shareholders´  Net income    earnings 
  ownership %  (losses) Investment  (losses) Equity  (losses) Investment  (losses)
         
BES Investimentos do Brasil S.A  20.00   23   207  96  32  10 
Biu Participações S.A. (1) 33.84      12   
Cia. Brasileira de Meios de Pagamento – VISANET  39.76  162  173  236  616  881  245  351 
Cia. Brasileira de Soluções e Serviços – Visavale  35.20   17   77  37  21  
CPM Holding Ltd.  49.00  (19)  (80) 67  51  33  25 
Serasa S.A. (1)  24  61  29     10 
Other Investments (2)  12  251  25      429  
         
 
Total    186  527  224      761  407 
         

(1) On June 2007, we sold 18.1% interest of the total capital of Serasa S.A. to Experian Brasil Aquisições Ltda. The gross gain on sale of the mentioned participation was R$ 599. The remaining interest in the shareholders' equity of Serasa was contributed to BIU, a newly created entity where we obtained 33.84% participation and whose other shareholders also contributed shares of Serasa to BIU. BIU had as of December 31, 2007 a 24.69% participation in Serasa.
(2) Including mainly our investments in preferred shares of Celta Holdings S.A - 51.4%, of IRB- Brasil Resseguros S.A - 42.5% and CPM Braxis S.A - 31.8%, as well as other investments.

The following table sets forth, on a combined basis, aggregated summary financial information for our equity investees and other investments.

  December 31, 2007 
  
Current assets  4,525 
Non-current assets  922 
Current liabilities  3,729 
Non-current liabilities  1,280 
Gross Profit  2,513 
Profit before income taxes  1,961 
Net income  1,417 

In 2007, we recorded a gross gain mainly from the partial sale of our investments (i) in Serasa, in the amount of R$599, (ii) in Bovespa – R$253 and (iii) in BM&F (“Future and Commodities Exchange”)– R$263. The remaining balance of our investments in Bovespa and BM&F was classified as “available for sale securities, at fair value”.

Dividends, including interest on shareholders’ capital, received from the equity investees above were as follows:

    Year ended December 31, 
  
  2005  2006  2007 
    
Companhia Brasileira de Meios de Pagamento - Visanet  89  211  278 
Serasa S.A.  16  22  
Biu Paricipações S.A    17 
Others    
    
 
Total  110  236  301 
    

As of December 31, 2007, the above investments were not regularly traded on any stock exchange.

F -32


Table of Contents

Banco Bradesco S.A. 
 
Notes to the Consolidated Financial Statements 
Expressed in millions of Brazilian reais, unless otherwise stated 
 

10 Premises and Equipment, Net

  December 31, 
  
  2006  2007 
   
Furniture and equipment  1,770  1,681 
Leased equipment  1,690  1,846 
Data processing equipment  1,581  1,713 
Buildings  822  859 
Development and acquisition costs of software  565  628 
Land  496  508 
Leasehold improvements  453  559 
Vehicles  28  28 
Others   
Less: accumulated depreciation and amortization  (4,412) (4,282)
   
Total  3,000  3,547 
   

Depreciation and amortization expense were R$712, R$534 and R$746 for the years ended December 31, 2005, 2006 and 2007, respectively.

We have entered into leasing agreements, primarily related to data processing equipment, which are accounted for as capital leases. Under this accounting method both an asset and an obligation are recorded in the financial statements and the asset is depreciated in a manner consistent with our normal depreciation policy of owned assets.

In 2002 and 2003, certain bank branches were sold through public auctions as part of a disposal program. These comprised cash transactions or installment sales financed by the Bank. There were no sales of bank branches through public auctions in 2006 and 2007.

At the same time, these branches were leased to us for the purpose of continuing our business operations and were accounted for mostly as operating leases. Only the financed sales were maintained as fixed assets, reflecting the possibility of repossession in the event of default by the purchaser.

Future liabilities for the payment of leases related to financings for the following five years are as follows:

For the year ending December 31,  Lease expense 
  
2008  
2009  
2010  
2011  
2012  
  
Total  10 
  

F -33


Table of Contents

Banco Bradesco S.A. 
 
Notes to the Consolidated Financial Statements 
Expressed in millions of Brazilian reais, unless otherwise stated 
 

11 Goodwill and Other Intangible Assets

(a) Goodwill

The changes in the carrying amount of goodwill as a result of our acquisitions (Note 1 (b)) for the years ended December 31, 2006 and 2007 are as follows:

  Banking 
  segment 
  
Balance as of December 31, 2005  332 
Amex acquisition  335 
Balance as of December 31, 2006  667 
BMC acquisition  234 
Tax benefit on realization for tax purposes of tax deductible goodwill on acquisitions  (18) 
  
Balance as of December 31, 2007  883 
  

The banking segment, in which we allocated the acquisitions, is tested annually for impairment of goodwill. We did not identify any impairment losses to be recorded in 2006 and 2007.

(b) Other intangible assets

The net carrying amount of finite-lived intangible assets subject to amortization are related to: existing clients deposits and relationship portfolios of R$ 1,623 and R$ 1,722 and amounts paid to acquire exclusive rights for rendering banking services of R$ 540 and R$ 1,253, at December 31, 2006 and 2007, respectively.

The net carrying amount of finite-lived intangible assets for the year ended December 31, 2006 and 2007 are as follows:

  Segments 
  
    Insurance, pension   
    plans and certificated   
  Banking  savings plans  Total 
    
Balance as of January 1, 2006  1,542  12  1,554 
Acquisition of BEC  398   398 
Acquisition of AMEX  274   274 
Acquisition of rights for rendering banking services  367   367 
Amortized during the year  (425) (5) (430)
    
Balance as of December 31, 2006  2,156  7  2,163 
    
Acquisition of BMC  281   281 
Acquisition of Josema  167   167 
Acquisition of rights for rendering banking services  984   984 
Tax benefit on realization for tax purposes of tax deductible goodwill on acquisitions  (58)   (58) 
Amortized during the year  (616) (4) (620)
    
Balance as of December 31, 2007  2,914  3  2,917 
    

F -34


Table of Contents

Banco Bradesco S.A. 
 
Notes to the Consolidated Financial Statements 
Expressed in millions of Brazilian reais, unless otherwise stated 
 

The following table presents the gross carrying value and accumulated amortization for finite-lived intangible assets subject to amortization:

  December 31, 2006  December 31, 2007 
   
  Gross carrying  Accumulated  Gross carrying  Accumulated 
  value  amortization  value  amortization 
     
Other intangible assets…………………  3,959  1,796  5,391  2,416 

The aggregate amortization expense was R$353, R$430 and R$620 for 2005, 2006 and 2007, respectively.

The estimated amortization expense for the next five years is as follows:

  Amortization 
For the year ended December 31,  expense 
  
2008   647
2009   565
2010   541
2011   466
2012   301

12 Other Assets

  December 31, 
  
  2006  2007 
   
Deferred tax assets, net (Note 16) 4,759  4,759 
Credit card operations  5,215  5,804 
Restricted escrow deposits for taxation and labor matters  3,542  4,517 
Taxes available for offset  1,395  1,475 
Insurance premiums receivable  1,328  1,325 
Negotiation and intermediation of securities  709  1,378 
Deferred policy acquisition costs(1) 565  641 
National property system  405  453 
Securitization of credit card bill receivables (Note 14 (d)) 372  308 
Prepaid expenses  169  183 
Foreclosed assets, net  161  195 
Other  467  2,429 
   
 
Total  19,087  23,467 
   
(1) Commissions paid to insurance brokers on trade of insurance products, private pension plans and certificated savings plans.

13 Short-term Borrowings

  December 31, 
  
  2006  2007 
   
Import and export financings  4,440  6,073 
Commercial paper  1,225  1,915 
Other  44  
   
Total  5,709  7,989 
   

Import and export financings represent credit lines available to finance imports and exports by Brazilian companies, typically denominated in foreign currency.

F -35


Table of Contents

Banco Bradesco S.A. 
 
Notes to the Consolidated Financial Statements 
Expressed in millions of Brazilian reais, unless otherwise stated 
 

At December 31, 2007 interest rates applicable to short-term borrowings were between 4.69% and 5.51% per annum (2006 – 4.87% and 5.83%) for import and export financings, and 4.78% and 6.24% per annum (2006 – 5.06% and 7.11%) for commercial paper. Average borrowing rates in 2006 and 2007 were 5.53% and 5.36% per annum, respectively.

14 Long-term Debt

  December 31, 
  
  2006  2007 
   
Local onlendings  11,642  14,087 
Subordinated notes  11,949  15,850 
Non-convertible debentures  2,603  2,595 
Debt issued under securitization of payment orders and credit card bill receivables (Note 14 (d)) 1,344  2,497 
Euronotes  1,235  810 
Mortgage notes  841  867 
Obligations under capital leases  430  874 
Foreign currency loans (1) 78  1,335 
   
Total  30,122  38,915 
   
(1) On December 3, 2007, we made a foreign currency loan in the amount of JPY 79,205, corresponding to R$ 1,283. The maturity date of this transaction is November 26, 2008 and interest amounts are paid quarterly at Libor rate.

(a) Local onlendings

Local onlendings represent amounts borrowed from Brazilian agencies for loans to Brazilian entities that invest primarily in premises and equipment. Such amounts are due in monthly installments through 2027 and bear fixed interest between 6.9% and 16.0% per annum, plus variable interest based on the Taxa de Juros de Longo Prazo (Federal Government long-term interest rate determined on a quarterly basis, or "TJLP") and Taxa Referencial de Juros (reference interest rate, or “TR”) respectively. These borrowings are primarily from Banco Nacional de Desenvolvimento Econômico e Social - BNDES (National Economic and Social Development Bank) and Fundo de Financiamento para Aquisição de Máquinas e Equipamentos Industriais - FINAME (National Industrial Equipment Finance Authority) in the form of credit lines.

F -36


Table of Contents

Banco Bradesco S.A. 
 
Notes to the Consolidated Financial Statements 
Expressed in millions of Brazilian reais, unless otherwise stated 
 

(b) Subordinated notes

        December 31, 
     
  Original term         
Maturity/date  (in years) Currency  Interest %  2006  2007 
      
2008   R$  100% CDI(1) + 0.75%  619  616 
2011   R$  102.5% CDI(1) – 104% CDI(1) 4,995  5,608 
2011  10  US$  10.25%  319  265 
      103% CDI(1)    
      100% CDI(1) + 0.344%     
      IPCA + (7.102% - 7.632%)    
2012   R$     3,327 
      100% CDI(1)+ 0.75%     
      100% CDI(1)+ 0.87%     
2012  10  R$  100% CDI(1) – 102.5% CDI(1) 3,360  3,770 
2012  10  Yen  4.05  291  241 
2013  10  US$  8.75  1,080  896 
2014  10  US$  8.00  639  592 
No stated maturity(2)   US$  8.87  646  535 
      
 
Total       11,949  15,850 
      
(1)Brazilian benchmark interest rate. 
(2)On June 3, 2005, perpetual subordinated debt was issued in the amount of US$ 300. With interest paid on a quarterly basis as from September 3, 2005. 

(c) Non-convertible debentures

        December 31, 
     
  Original term         
Maturity/date  years  Currency  Interest %  2006  2007 
      
2011   R$  102% - CDI  2,603  2,595 
      
Total        2,603  2,595 
      

(d) Debt issued under securitization of payment orders and credit card bill receivables

As from 2003, we securitize current and future flows of (i) payment orders from individuals and corporations outside Brazil to individuals and corporations in Brazil on which we act as the paying bank and (ii) credit card bill receivables from purchases in Brazil by foreign cardholders.

The Long-term debt issued by the SPF entities and sold to investors is expected to be repaid through the future flows of funds provided by both payment orders and credit card bills. We are obligated to redeem the debt if certain specified events of defaults or of early termination occur.

Proceeds from sale of current and future flows of payment orders and credit cards bills received by the SPF entities are required to be maintained in a specified bank account until a certain minimum level is achieved. The amount subject to restricted withdrawal in the amount of R$1 in 2006 is considered "Restricted Cash" and presented as “Cash and due from banks” in our consolidated balance sheet. As of December 31, 2007 this effect did not exist.

F -37


Table of Contents

Banco Bradesco S.A. 
 
Notes to the Consolidated Financial Statements 
Expressed in millions of Brazilian reais, unless otherwise stated 
 

The following table summarizes the main characteristics of debts issued by the SPF entities:

        December 31, 
     
Asset securitized  Maturity/date  Currency  Annual rate - %  2006  2007 
      
Payment orders  2010  US$  6.75  331  191 
Payment orders(1) 2012  US$  4.69  206  142 
Payment orders  2014  US$  5.57 - 5.89   1,612 
Credit card bills(2) 2011  US$  5.69  807  552 
      
Total        1,344  2,497 
      

(1) If the SPF entity fails to make a timely payment of accrued interest and/or principal, the investors have the benefit of a financial guarantee insurance policy provided by an unrelated insurance company.
(2) 44.618488% of the securities issued will be repaid through the future flows of credit card bills provided by the secondary beneficiary designated bank (Banco do Brasil S.A.). Therefore, since the SPF entity was consolidated in our financial statements, we have recorded R$308 as securitization of credit card bill receivables in “Other assets” as of December 31, 2007 (2006 – R$ 372).

(e) Euronotes

    Range of annual  December 31, 
    
Maturity/date  Currency  coupon rates - %  2006  2007 
     
2007  US$/R$  4.26 – 17.50  1,006  - 
2008  US$  4.38 -12.29  206  548 
2010  US$/R$  14.80  14  258 
After 2010  US$  5.39 – 6.39  9  4 
     
 
Total      1,235  810 
     

(f) Mortgage notes

Mortgage notes are generally issued with maturities up to one year and bear interest rates of TR plus interest between 10.0% and 11.0% p.a.

(g) Long-term debt maturity

  December 31, 
  
  2006  2007 
   
Due within one year  6,660  8,395 
From 1 to 2 years  5,211  6,912 
From 2 to 3 years  2,091  613 
From 3 to 4 years  1,319  11,571 
From 4 to 5 years  5,920  6,692 
Over 5 years  8,275  4,197 
No stated maturity  646  535 
   
Total  30,122  38,915 
   

F -38


Table of Contents

Banco Bradesco S.A. 
 
Notes to the Consolidated Financial Statements 
Expressed in millions of Brazilian reais, unless otherwise stated 
 

15 Other Liabilities

(a) Breakdown of other liabilities

  December 31, 
  
  2006  2007 
   
Pension plan investment contracts  30,948  37,947 
Insurance claims and pension plans reserves  12,787  14,616 
Litigation (Note 23 (b)) 7,125  9,091 
Credit card operations  4,482  6,018 
Certificated savings plans  2,307  2,491 
Unpaid claims and claim adjustment reserves (Note 15 (b)) 2,821  2,738 
Payment orders to be settled  2,039  2,092 
Interest on shareholders’ capital payable  187  2,194 
Negotiation and intermediation of securities  857  1,457 
Taxes on income  1,031  1,239 
Labor related liabilities  900  1,120 
Foreign exchange portfolio, net  428  607 
Social security program reserve  16  382 
Taxes other than on income  275  262 
Collection of third-party taxes, social contributions and other  196  267 
Others  3,684  4,358 
   
 
Total  70,083  86,879 
   

(b) Changes in unpaid claims and claim adjustment reserves

  December 31, 
  
  2005  2006  2007 
    
Balance at the beginning of the year  1,838  2,383  2,821 
( - ) Reinsurance recoverables(1) (62) (53) (35)
    
Net balance at January 1  1,776  2,330  2,786 
    
Incurred related to:       
 current year  5,705  5,963  6,462 
 prior years  279  396  399 
    
Total incurred  5,984  6,359  6,861 
    
Payments related to:       
 current year  5,004  5,442  5,970 
 prior years  426  461  994 
    
Total payments  5,430  5,903  6,964 
    
Net balance at December 31  2,330  2,786  2,683 
    
( + ) Reinsurance recoverables(1) 53  35  55 
    
Balance at the end of the year  2,383  2,821  2,738 
    
____________________________
(1) Reinsurance recoverables are recorded as “Insurance premiums receivable” in “Other assets”.

F -39


Table of Contents

Banco Bradesco S.A. 
 
Notes to the Consolidated Financial Statements 
Expressed in millions of Brazilian reais, unless otherwise stated 
 

16 Income Tax and Social Contribution

We and each of our subsidiaries file separate company tax returns for each fiscal year. Income taxes in Brazil comprise federal income tax (rate of 15% plus an additional of 10%) and social contribution (rate of 9%), which is an additional federal tax, applicable to all periods presented.

The amounts reported as income tax expense in the consolidated financial statements are reconciled to the statutory rates as follows:

  Years ended December 31, 
  
  2005  2006  2007 
    
Income before income tax and social contribution  8,752  8,750  11,297 
Adjusted for: equity in earnings of unconsolidated companies  (186) (224) (407)
    
Adjusted tax basis  8,566  8,526  10,890 
    
Tax expense at statutory rates  (2,912) (2,899) (3,703)
Non deductible expenses/(non-taxable income) 29  (35) 89 
Tax benefit on interest attributed to shareholders’ capital paid  522  523  539 
Non-deductible exchange losses on foreign assets  (165) (171) (606)
Foreign exchange variation adjustment on available for sale securities  69  (23) 99 
Reversal of prior year allowance for non-realization of deferred tax assets  17  116  107 
Deferred tax assets acquired from purchase of a non operating entity   53  
Others   163  123 
    
Income tax expense  (2,431) (2,273) (3,352)
    

The major components of the deferred tax accounts in the consolidated balance sheet are as follows:

  December 31, 
  
  2006  2007 
   
 
Provisions not currently deductible, mainly allowance for loan losses and contingencies  5,579  6,492 
Tax loss carryforwards  618  761 
Other temporary differences  175  190 
   
Total gross deferred tax assets  6,372  7,443 
   
Allowance for non-realization  (98) (37)
   
Total deferred tax assets  6,274  7,406 
   
Temporary non-taxable gains, mainly relating to mark-to-market adjustment on securities, derivative financial instruments  827  1,391 
Temporary non-taxable gains, mainly relating to leasing  239  518 
Other temporary differences  449  738 
   
Total deferred tax liabilities  1,515  2,647 
   
 
Net deferred tax asset, included in other assets (Note 12) 4,759  4,759 
   

F -40


Table of Contents

Banco Bradesco S.A. 
 
Notes to the Consolidated Financial Statements 
Expressed in millions of Brazilian reais, unless otherwise stated 
 

Net deferred income taxes include brazilian tax loss carryforward, which have no expiration dates, available for offset against future taxable income. Carryforward losses are available for offset within any year up to 30% of annual income before taxes, determined in accordance with Brazilian Tax Rules. For tax loss carryforward recorded by subsidiaries or foreign branches there is no limit as to offsetting.

We adopted the provisions of FASB Interpretation No. 48, Accounting for Uncertainty in Income Taxes, on January 1, 2007. As a result of the implementation of Interpretation 48, no increase or decrease in the liability for unrecognized tax benefits was recognized. A reconciliation of the beginning and ending amount of unrecognized tax benefits is as follows:

Balance at January 1, 2007 2,391 
Additions based on tax positions related to the current year 509 
Business combination 77 
Balance at December 31, 2007 2,977 

The above balance at the end of the year represents the amount of unrecognized tax benefits that, if recognized, would favorably affect the effective tax rate in future periods (except interest accrued and penalties).

We recognize interest accrued and penalties related to unrecognized tax benefits, in the total amount of R$ 214 for the year ended December 31, 2007, in other non-interest expense. The Company had approximately R$1,594 for the payment of the interest and penalties accrued at December 31, 2007.

As of December 31, 2007, we have been involved in several tax disputes, including judicial lawsuits and administrative proceedings, mainly relating to the constitutionality and legality of certain taxes imposed on us by the Brazilian government, among which the most relevant are related to: (i) questioning of CSLL required from financial institutions in the reference years from 1995 to 1998 by rates higher than the ones applied to general legal entities, not complying with the constitutional principle of isonomy, representing R$ 1,296; (ii) lawsuit to allow the deduction, for purposes of determination of the calculation basis of due IRPJ and CSLL, of the amount of the effective and definite losses, total or partial, suffered from 1997 to 2006, in the reception of credits, regardless of the compliance with the conditions and terms provided for in articles 9 to 14 of Law No. 9,430/96 which only apply to the provisory losses, in the amount of R$ 575; and (iii) a lawsuit for the non-collection of CSLL from 1996 to 1998, years in which some companies of Bradesco Organization did not have employees, since the subsection I, article 195, of the Federal Constitution provides for that this contribution is only due by employers, in the amount of R$ 480.

Although it is possible that a change in the gross balance of unrecognized tax benefits may occur in the next 12 months of December 31, 2007, quantification of an estimated range cannot be made at this time due to the uncertainty of the potential outcome of outstanding issues in Brazilian courts. However, we do not anticipate any adjustments would result in a material change to its financial position.

We file income tax returns in the Brazilian federal jurisdiction, the major tax jurisdictions in which we and our subsidiaries operate, and should be no longer subject to examinations by Brazilian tax authority for tax years before 2003.

F -41


Table of Contents

Banco Bradesco S.A. 
 
Notes to the Consolidated Financial Statements 
Expressed in millions of Brazilian reais, unless otherwise stated 
 

17 Shareholders' Equity

(a) Capital and shareholders' rights

(i) Capital

The Special Stockholders’ Meeting held on March 12, 2007 resolved on a R$3,800 increase in the capital stock, raising it from R$14,200 to R$18,000, by using part of the balance in the account “Profit Reserves – Statutory Reserve”, assigning to the Company’s stockholders, free of charge, as a bonus, one (1) new stock of the same type for each stock owned. 1,000,679,724 non-par registered, book-entry stocks were issued, 500,042,656 of which were common stocks and 500,637,068 were preferred stocks. All share amounts presented above are demonstrated before the split of our capital stock of March 24, 2008.

In our Extraordinary General Shareholders´ Meeting held on August 24, 2007, we approved a capital increase of R$ 790, from R$ 18,000 to R$ 18,790, through the issuance of 18,599,132 new book-entry nominative shares, with no par value, with 9,299,618 common shares and 9,299,514 preferred shares. This increase happened as a result of the merger of BMC shares, which belonged to the former BMC shareholders, into Bradesco, making BMC one of our wholly-owned subsidiaries. There was another capital increase in the amount of R$ 210 reaching R$ 19,000, through the capitalization of a partial balance from the “Profits Reserve – Statutory Reserve” account, with no issuance of shares. These transactions were approved by the Central Bank on September 28, 2007. All share amounts presented above are demonstrated before the split of our capital stock of March 24, 2008.

On March 24, 2008, our Board of Directors approved a split of our capital stock, in which our shareholders were entitled to one new share per each two existing shares of the same class, on a free basis. Therefore, all related share amounts have been retroactively adjusted for all periods presented to reflect the stock split, whereby one new share was received in exchange for each share held.

At December 31, 2007, Bradesco's outstanding capital, adjusted by the stock split approved on March 24, 2008, consists of 1,514,005,545 voting common shares and 1,514,005,389 non-voting preferred shares with no par value. Preferred shares carry no voting rights but have priority over common shareholders in the reimbursement of capital in the case of liquidation, up to the amount of capital represented by such preferred shares, and the right to receive a minimum dividend per-share 10% greater than that distributed per-share to common shareholders. All shareholders are entitled to receive, in total, a mandatory dividend of at least 30% of Bradesco's annual net income as stated in the statutory accounting records adjusted for transfers to and from reserves. None of our outstanding obligations are exchangeable or convertible into equity securities and as a result, diluted earnings per share do not differ from net income per share.

(ii) Treasury shares

Treasury shares are recorded at cost, which approximates market prices at the date of purchase. Treasury shares cancelled are recorded as a reduction of unappropriated retained earnings. Treasury shares are held for subsequent sale or cancellation.

(iii) Additional paid-in capital

Additional paid-in capital consists of premium on the initial issuance of shares less capitalization of such amounts.

F -42


Table of Contents

Banco Bradesco S.A. 
 
Notes to the Consolidated Financial Statements 
Expressed in millions of Brazilian reais, unless otherwise stated 
 

(b) Appropriated retained earnings

Statutory reserve

Under the Corporate Law, Bradesco and its Brazilian subsidiaries are required to appropriate 5% of their annual statutory earnings, after absorbing accumulated losses, to a legal reserve, which is restricted as to distribution. The reserve may be used to increase capital or absorb losses, but may not be distributed as dividends.

(c) Unappropriated retained earnings

Any income remaining after the distribution of dividends on the statutory records of the Company and appropriations to statutory reserves is transferred to the reserve for future investments. Such reserve may be distributed in the form of dividends upon approval of the shareholders.

Accordingly, the difference as compared to retained earnings in the U.S. GAAP financial statements represents the effect of interperiod differences between U.S. GAAP and Brazilian GAAP, which will become distributable only when recognized under Corporate Law.

(d) Dividends (including interest on shareholders' capital)

Dividends are calculated on net income as determined by the financial statements prepared in accordance with Brazilian GAAP. Dividends are payable in Brazilian reais and may be converted into United States dollars and remitted to shareholders abroad provided that the non-resident shareholder's ownership is registered with the Brazilian Central Bank.

(e) Comprehensive Income

  Year ended December 31, 
  
  2005  2006  2007 
    
 
Net income reported in statement of income  6,310  6,462  7,908 
    
Unrealized holding gains arising during the period:       
 Unrealized gains on available for sale securities  422  2,228  2,696 
   Less reclassification adjustment for (gains) losses on available for sale       
      securities included in net income  (747) (1,157) (1,456)
Defined benefit plans    65 
    
Other comprehensive income before tax  (325) 1,071  1,305 
Income tax related to items of other comprehensive income (loss) 44  (338) (577)
    
Other comprehensive income (loss), net of tax  (281) 733  728 
    
Comprehensive income  6,029  7,195  8,636 
    

Accumulated other comprehensive income is as follows:

  Year ended December 31, 
  
  2005 2006  2007 
    
 
Balance at the beginning of the year  693  412  1,160 
Current period change:       
     Unrealized gains (losses) on available for sale securities. net of taxes  (281) 733  685 
     Defined benefit plans   15  43 
    
Balance at the end of the year  412  1,160  1,888 
    

F -43


Table of Contents

Banco Bradesco S.A. 
 
Notes to the Consolidated Financial Statements 
Expressed in millions of Brazilian reais, unless otherwise stated 
 

18 Fee and Commission Income

  Years ended December 31, 
  
  2005  2006  2007 
    
Fees charged on checking account services  1,563  1,879  2,108 
Asset management fees  1,070  1,245  1,455 
Collection fees  718  751  859 
Credit card fees  562  929  1,273 
Interbank fees  271  290  321 
Fees for receipt of taxes  190  237  237 
Financial guarantees  109  143  197 
Consortium management  149  202  256 
Other(1) 489  703  1,113 
    
Total  5,121  6,379  7,819 
    

(1) None of the items included in “other” is significant on an individual basis.

19 Administrative Expenses

  Years ended December 31, 
  
  2005  2006  2007 
    
Third-party services  1,049  1,343  1,820 
Financial system services  624  634  658 
Communication  644  738  923 
Transport  409  523  509 
Rents  319  343  353 
Advertising and publicity  342  443  557 
Maintenance and repairs  291  312  292 
Data processing  240  329  467 
Office supplies  171  165  189 
Water, electricity and gas  141  158  172 
Other  217  235  296 
    
 
Total  4,447  5,223  6,236 
    

F -44


Table of Contents

Banco Bradesco S.A. 
 
Notes to the Consolidated Financial Statements 
Expressed in millions of Brazilian reais, unless otherwise stated 
 

20 Other Non-Interest Income and Expenses

  Years ended December 31, 
  
  2005  2006  2007 
    
Other non-interest income:       
   Net gains in foreign exchange transactions  294  43  48 
   Recovery of expenses  77  122  46 
   Rental income  22  21  10 
   Other(2) 483  635  1,003 
    
Total non-interest income  876  821  1,107 
    

Other non-interest expense:       
   Taxes on services, income and other taxes  1,753  2,042  2,327 
   Litigation(1) 344  324  509 
   Monetary variation and exchange loss, net  562  608  1,459 
   Branch network losses  291  265  130 
   Loss (gain) on sale of foreclosed assets, unconsolidated       
       investments and premises and equipment, net (3)  (27) (1,200)
   Credit card bonus  50  101  162 
   Asset management expenses  44  38  23 
   Other(2) 701  1,378  1,330 
    
 
Total non-interest expenses  3,754  4,729  4,740 
    

(1) Includes only those items not recognized specifically in personnel or tax expenses, registered in specific accounts.
(2) None of the items included in “other” is significant on an individual basis.
(3) In 2007, we recorded a gross gain mainly from the partial sale of our investments (i) in Serasa, in the amount of R$599, (ii) in Bovespa – R$253 and (iii) in BM&F – R$263. The remaining balance of our investments in Bovespa and BM&F was classified as “available for sale securities, at fair value”.

21 Fair Value of Financial Instruments

SFAS 107 "Disclosures About Fair Value of Financial Instruments," requires disclosure of the estimated fair values of financial instruments. The fair value of a financial instrument is the amount at which instrument could be exchanged in a current transaction between willing parties other than in a forced or liquidation sale. Quoted market prices, if available, are utilized as estimates of the fair value of financial instruments. Because no quoted market prices exist for certain of our financial instruments the fair values have been derived based on management's assumptions, the amount, timing of future cash flows and estimated discount rates. The estimation methods for individual classifications of financial instruments are described with more details below. Different assumptions could significantly affect these estimates. Accordingly, net realizable values could be different from the estimates presented below.

In addition, the estimates are only indicative of the value of individual financial instruments and should not be considered an indication of the fair value of the Company.

F -45


Table of Contents

Banco Bradesco S.A. 
 
Notes to the Consolidated Financial Statements 
Expressed in millions of Brazilian reais, unless otherwise stated 
 

Cash and cash equivalents

The carrying amounts reported in the consolidated balance sheet for cash, due from banks and short-term investments approximate their fair values. Short-term investments include: interest-earning deposits in other banks and federal funds sold and securities purchased under resale agreements, all of which generally have original maturities of 3 months or less and present insignificant risk of changes in value because of interest rate changes.

Trading assets, including derivatives and available for sale securities

These assets are reported in the consolidated balance sheet at estimated fair value. Fair value is generally based on quoted prices in active markets or quoted market prices for similar assets or liabilities. If these market prices are not available, fair values are estimated based on dealer quotes, pricing models, discounted cash flow methodologies or similar techniques, for which the determination of fair value may require significant management judgment or estimation.

For derivative instruments, where practical, quoted market prices are used to determine fair value of these instruments. The fair value of swaps is determined using discounted cash flow modeling techniques using yield curves, reflecting the appropriate risk factors. Inputs obtained to build up the yield curves are obtained mainly from BM&F and the secondary market. These yield curves are used to determine the fair value for currency swaps, interest rate swaps and swaps based on other risk factors. The fair value of futures and forward contracts is also determined on quoted market prices on the exchanges of exchanges-traded derivatives or using similar methodologies to those described for swaps. The fair value of options is determined on mathematical models, such as Black & Scholes, using yield curves, implied volatilities and the fair value of the underlying asset. Current market prices are used to valuate the implied volatilities.

Held to maturity securities

Held to maturity securities are carried at amortized cost. Fair values are estimated according to the assumptions described on note 2 (e). See Note 6 for further details regarding the amortized cost and fair values of held to maturity securities.

Loans, net of allowance for loan losses

Fair values were estimated for groups of similar loans based upon type of loan, credit quality and maturity. The fair value of fixed-rate loans was determined by discounting estimated cash flows using interest rates approximating our current origination rates for similar loans. For most variable-rate loans, the carrying amounts were considered to approximate fair value. Where credit deterioration has occurred, estimated cash flows for fixed and variable-rate loans have been reduced to incorporate estimated losses.

The fair values for performing loans are calculated by discounting scheduled principal and interest cash flows through maturity using market discount rates and yield curves that reflect the credit and interest rate risk inherent in the loan type at each reporting date. The fair values for impaired loans are based on the discounting cash flows or the value of underlying collateral.

The non-performing loans were allocated into each loan category for purposes of fair value disclosure. Assumptions regarding cash flows and discount rates are determined using available market information and specific borrower information.

F -46


Table of Contents

Banco Bradesco S.A. 
 
Notes to the Consolidated Financial Statements 
Expressed in millions of Brazilian reais, unless otherwise stated 
 

The following table presents the carrying amounts and estimated fair values for loans:

  December 31, 
  
  2006  2007 
   
  Carrying  Fair  Carrying  Fair 
  amount  value  amount  value 
     
Commercial:         
 Industrial and others  31,205  31,615  42,895  43,179 
 Import financing  1,463  1,463  2,171  2,171 
 Export financing  12,847  12,847  15,281  15,281 
Leasing  3,806  3,806  8,038  8,038 
Construction  479  479  1,598  1,598 
Individuals:         
 Overdraft  1,757  1,757  1,899  1,899 
 Real estate  1,280  1,281  1,485  1,486 
 Financing (1) 28,888  27,783  37,850  37,956 
 Credit card  2,432  2,432  2,529  2,529 
Rural credit  7,410  7,405  9,006  9,001 
Foreign currency loans  1,543  1,539  2,522  2,492 
Public sector  62  62  94  94 
     
 
Total loans, net of allowance for loan losses  92,172  92,469  125,368  125,724 
     

(1) Consists primarily of automobile financing and direct consumer financing.

Deposits

The fair value of fixed-rate deposits with stated maturities was calculated by discounting the difference between the cash flows on a contractual basis and current market rates for instruments with similar maturities. For variable-rate deposits, the carrying amount was considered to approximate fair value.

The following table presents the carrying amounts and estimated fair values for deposits:

  December 31, 
  
  2006  2007 
   
  Carrying  Fair  Carrying  Fair 
  amount  value  amount  value 
     
Deposits from customers:         
 Demand deposits  21,081  21,081  29,423  29,423 
 Savings accounts  27,613  27,613  32,813  32,813 
 Time deposits  34,941  34,922  35,733  35,729 
Deposits from financial institutions  290  290  372  372 
     
 
Total deposits  83,925  83,906  98,341  98,337 
     

Short-term borrowings

The carrying values of federal funds purchased and securities sold under repurchase agreements. commercial paper, import and export financing and other short-term borrowings, approximate the fair values of these instruments.

F -47


Table of Contents

Banco Bradesco S.A. 
 
Notes to the Consolidated Financial Statements 
Expressed in millions of Brazilian reais, unless otherwise stated 
 

Long-term debt

Fair values for long-term debt were estimated using a discounted cash flow calculation that applies interest rates offered in the market for similar maturities and terms.

The following table presents the carrying amounts and estimated fair values for long-term debt:

  December 31, 
  
  2006  2007 
   
  Carrying  Fair  Carrying  Fair 
  amount  value  amount  value 
     
Local onlendings  11,642  11,605  14,087  13,993 
Subordinated notes  11,949  12,562  15,850  16,161 
Non-convertible debentures  2,603  2,603  2,595  2,595 
Debt issued under securitization of payment         
   orders and credit card bill receivables  1,344  1,344  2,497  2,497 
Euronotes  1,235  1,249  810  781 
Mortgage notes  841  841  867  867 
Obligations under capital lease  430  430  874  874 
Foreign currency loans  78  78  1,335  1,349 
     
 
Total  30,122  30,712  38,915  39,117 
     

Off-balance sheet financial instruments

The fair value of commitments to extend credit is estimated based on the fees currently charged to enter into similar agreements taking into account the remaining terms of the agreements and the present credit quality to the counterparties. The fair values of standby and commercial letters of credit are based on fees currently charged for similar agreements or on the estimated cost to terminate the agreements or otherwise settle the obligations with the counterparties. The fair value of derivatives is included with trading assets. Note 22(b) for the notional value and estimated fair value of our off-balance sheet derivative financial instruments.

22 Off-balance Sheet Financial Instruments

(a) Risks and Risk Management

The main risks related to financial instruments, which result from the Company’s and its subsidiaries’ business are: credit risk; market risk and; liquidity risk. Management of these risks is a process that involves different levels of the Company and covers several policies and strategies. Risk management policies are, in general, conservative, seeking to limit absolute losses to a minimum.

F -48


Table of Contents

Banco Bradesco S.A. 
 
Notes to the Consolidated Financial Statements 
Expressed in millions of Brazilian reais, unless otherwise stated 
 

Credit Risk

Credit risk is the risk arising from the possibility of loss resulting from the non-receipt from counterparties or creditors of the amounts they have contracted with us to pay. Credit risk management requires a high level of discipline and control in terms of the analyses and operations conducted, and the preservation of the integrity and independence of processes.

Credit policy is designed to provide security, quality and liquidity in asset investments, and speed and profitability in our operations, minimizing the risks inherent to any credit operation. It also provides guidelines for the establishment of operational limits and/or the extension of the Company’s credit. The Credit Department and Committees located in our Corporate Head Office assume a fundamental role in the execution of our Credit Policy, deciding on transactions which exceed branch limits and monitoring this core strategic activity.
Transactions are diversified and focused on creditworthy individuals and companies in good standing, and our transactions are typically supported by guaranties that are consistent with the risks assumed, with consideration given to purposes and terms of the credit extended. Automated credit approval systems were developed and are constantly being improved with the objective of facilitating and expediting the entire credit process as well as the analysis and issuance of opinions. The analysis of transactions involving less significant sums is conducted by “credit scoring” systems.

Market Risk

Market risk is linked to the possibility of loss due to rate fluctuations relating to unhedged terms, currencies and indices in the Company’s portfolio. The Company seeks to maintain a conservative policy with respect to exposure to market risks. The observance of the VAR (Value at Risk) limits set by senior management is monitored daily by an area that is independent from portfolio management. The models use volatilities and correlations that are calculated using statistical bases. These models are used in processes applied prospectively, in accordance with economic studies. The methodology applied and existing statistical models are validated daily using “backtesting” techniques.

Additionally, a daily “Gap Analysis” is undertaken, which measures the effect on the portfolio of changes in the internal interest rate curve and foreign exchange coupon curve (difference in interest paid over and above the foreign exchange variation). In addition to the monitoring, control and management of market risks, in compliance with Central Bank Regulations, the value at risk of fixed rate and foreign exchange positions of the Company’s total portfolio, as well as the resulting capital requirement, is verified daily. Our analysis covers all financial assets and liabilities held in treasury, including our derivative instruments.

Liquidity Risk

Liquidity risk management is designed to control risk relating to the different unhedged settlement terms of the Company’s rights and obligations. Knowledge and monitoring of this risk are crucial to enable the Company to settle transactions in a timely and secure manner. At Bradesco, liquidity risk management involves a set of controls, principally relating to the establishment of technical limits, and the positions assumed are constantly evaluated.

F -49


Table of Contents

Banco Bradesco S.A. 
 
Notes to the Consolidated Financial Statements 
Expressed in millions of Brazilian reais, unless otherwise stated 
 

(b) Derivatives

We enter into financial derivative instruments contracts with various counterparties to manage our overall exposures as well as to assist customers in managing their exposures. Such derivatives are summarized as follows:

  Notional amounts 
  
  December 31, 
  
  2006  2007 
   
Interest rate futures contracts:     
 Purchases  765  5,078 
 Sales  37,457  33,277 
Foreign currency futures contracts:     
 Purchases  3,959  6,212 
 Sales  14,439  14,196 
Futures contracts – others:     
 Purchases   59 
 Sales  54  25 
Interest rate option contracts:     
 Purchases   3,312 
 Sales   2,983 
Foreign currency option contracts:     
 Purchases  540  1,149 
 Sales  472  1,947 
Option contracts - others:     
 Purchases   322 
 Sales   862 
Foreign currency forward contracts:     
 Purchases  1,243  1,465 
 Sales  475  1,873 
Forward contracts - others:     
 Purchases   16 
 Sales  369  81 
Swap contracts:     
 Asset Position:     
       Interest rate swaps  9,237  13,660 
       Currency swaps  4,070  19,096 
 Liability Position:     
       Interest rate swaps  2,408  8,090 
       Currency swaps  10,775  24,348 

Interest rate, currency and cross-currency interest rate swaps are contracts in which a series of interest rate cash flows of a single currency or interest or principal payments in two different currencies are exchanged for a contractual period. The notional amount represents the basis on which the cash flows are determined. The risks associated with swaps relate to the potential inability or unwillingness of the counterparties to perform according to the contractual terms and the risk associated with changes in market conditions due to changes in interest rates and the exchange rate of currencies. The total credit exposure associated with interest rate and currency swaps was R$584 and R$1,134 at December 31, 2006 and 2007, respectively.

F -50


Table of Contents

Banco Bradesco S.A. 
 
Notes to the Consolidated Financial Statements 
Expressed in millions of Brazilian reais, unless otherwise stated 
 

Interest rate and currency futures and interest rate forwards are contracts for the delayed delivery of an instrument at a specified price or yield. The notional amounts represent the face value of the underlying instrument for which daily cash settlements of the price changes are made. The credit risk associated with futures contracts is minimized due to daily cash settlements. Futures contracts are also subject to the risk of changes in interest rates or the value of the underlying instruments.

(c) Off-balance sheet credit instruments

As part of our lending operations, we enter into various off-balance sheet credit instruments with our customers which are summarized as follows:

  Contractual amounts 
  
  December 31, 
  
  2006  2007 
   
Commitments to extend credit including credit cards  38,482  54,253 
Financial guarantees  14,791  24,296 
Other letters of credit  242  361 

Unfunded commitments to extend credit including credit cards are contracts for a specified time period and at variable rates to lend to a customer who has complied with predetermined contractual conditions. The guarantees are conditional commitments issued by us to assure the performance of a customer to a third party in borrowing arrangements.

The maximum potential credit risk on undrawn commitments, standby and commercial letters of credit is equal to the contractual amounts shown above if the counterparty does not perform under the contract. Generally, these contracts expire without being drawn upon; therefore, the contractual amounts are not indicative of the actual credit exposure or future cash flow requirements for such commitments. The fair value of the obligation undertaken in issuing the guarantee at inception is typically equal to the net present value of the future amount of premium receivable under the contract. To mitigate credit risk, we may require the counterparty to pledge collateral in the form of cash, securities or other assets to support the extension of credit similar to the collateral required for our lending operations.

(d) Financial guarantees

The following is a summary of the carrying values for the financial guarantees and other letters of credit, mentioned before:

  December 31, 
  
  2006 2007
   
  Maximum    Maximum   
  payout/  Carrying  payout/  Carrying 
  Notional  value  Notional  value 
     
Financial guarantees  14,791  29  24,296  74 
Other letters of credit  242   361  

The carrying value includes amounts deferred and to be recognized in income over the life of the contract and amounts accrued for inherent losses in accordance with SFAS 5, “Accounting for Contingencies” and FIN 45.

F -51


Table of Contents

Banco Bradesco S.A. 
 
Notes to the Consolidated Financial Statements 
Expressed in millions of Brazilian reais, unless otherwise stated 
 

Financial guarantees are conditional loan commitments issued by us to guarantee the performance of a particular customer in relation to a third party. In general, we are guaranteed the right of return against the customer to recover any amounts paid under these guarantees. In addition, we may retain amounts in cash or other highly liquid guarantees to secure the commitments. The contracts are subject to the same credit rating process used to grant other credits.

Standby letters of credit are primarily issued to support public and private borrowing arrangements, including commercial paper, bond financing and similar transactions. Standby letters of credit are subject to management's credit evaluation of the customer.

Letters of credit are conditional commitments issued by us to guarantee the performance of a customer to a third party. We issue commercial letters of credit to facilitate foreign trade transactions. These instruments are short-term commitments to pay a third-party beneficiary under certain contractual conditions for the shipments of goods. The contracts are subject to the same credit evaluations as other extensions of credit.

23 Commitments and Contingencies

(a) Assets under management

We manage a number of assets and customer portfolios that are available to institutional investors and the general public. These assets are not included in our consolidated balance sheet. Fees are generally charged monthly, representing approximately 0.88% (2006 – 0.89%) per annum of the market value of the assets under management. The total assets under management, at December 31, 2006 and 2007 were R$139,905 and R$163,963, respectively, in investment fund portfolios and R$7,203 and R$13,523, respectively, in customer portfolios.

(b) Litigation

In the normal course of business, we are involved in various legal proceedings arising out of our operations.

We are subject to challenges from tax authorities regarding amounts of tax due. These challenges may alter the timing or amount of taxable income or deductions, or the allocation of income among tax jurisdictions. The probable losses recognized in our consolidated financial statements are related to litigation matters related to (i) inflation adjustments and (ii) legality of certain taxes and contributions.

The remaining litigation matters, considered as possible under our judgment based on information available, are related to tax assessments in the amount of R$161 as of December 31, 2007 (R$103 in 2006), which we believe are inconsistent with existing law and, therefore, are not recognized in our consolidated financial statements. Resolution of these issues is not expected to have a significant impact on our financial position or results of operations.

Like many other Brazilian banks, we are defendants in various labor suits by employees. These suits are related to compensation and indemnification for employees who have been laid off as a result of our recent acquisitions of financial institutions and their integration into our structure. Management continually monitors and evaluates the impact of current events and circumstances on the estimates and assumptions used in the recognition of probable losses.

We also face a number of civil matters, which primarily consist of claims for pecuniary damages, such as (i) to collect on unpaid financial instruments, (ii) in relation to returned checks and (iii) in reporting adverse claims arising from credit information to credit reporting agencies. None of these claims is individually significant.

F -52


Table of Contents

Banco Bradesco S.A. 
 
Notes to the Consolidated Financial Statements 
Expressed in millions of Brazilian reais, unless otherwise stated 
 

The other labor suits and civil matters, to which we are a party, are subject to many uncertainties and the outcome of any individual matter is not predictable with assurance. Although the final resolution of any such matters could have a material effect on the consolidated operating results for a particular reporting period, we believe that it would not materially affect our consolidated financial position.

The changes in the provision during the periods were as follows:

  Year ended December 31, 
  
Tax litigation  2005  2006  2007 
    
At beginning of year  3,003  3,540  5,046 
Business combinations   275  160 
Indexation charges  224  509  387 
Provisions  434  815  1,009 
Reversal  (49) (51) (305)
Payments  (72) (42) (25)
    
At end of the year  3,540  5,046  6,272 
    
 
  Year ended December 31, 
  
Labor litigation  2005  2006  2007 
    
At beginning of year  835  814  1,259 
Business combinations   190  
Provisions  406  726  705 
Reversal  (51) (50) (33)
Payments  (376) (421) (462)
    
At end of the year  814  1,259  1,474 
    
 
  Year ended December 31, 
  
Civil litigation  2005  2006  2007 
    
At beginning of year  460  506  820 
Business combinations   153  47 
Provisions  179  427  784 
Reversal  (14) (61) (143)
Payments  (119) (205) (163)
    
At end of the year  506  820  1,345 
    
Total provision  4,860  7,125  9,091 
    

24 Regulatory Matters

The Bank is subject to regulation by the Central Bank, which issues directions and instructions regarding currency and credit policies for financial institutions operating in Brazil. The Central Bank also determines minimum capital requirements, fixed asset limits, lending limits, accounting practices and compulsory deposit requirements, and requires banks to comply with regulations, based on the Basel Accord as regards capital adequacy.

F -53


Table of Contents

Banco Bradesco S.A. 
 
Notes to the Consolidated Financial Statements 
Expressed in millions of Brazilian reais, unless otherwise stated 
 

The Basel Accord requires banks to have a ratio of capital to risk-weighted assets of a minimum of 8%. At least half of total capital must consist of Tier I Capital. Tier I, or core capital, includes equity capital less certain intangibles. Tier II Capital includes, subject to certain limitations, asset revaluation reserves, general loan loss reserves and subordinated debt, and is limited to the amount of Tier I Capital. However, Brazilian banking regulations: (i) require a minimum capital ratio of 11%, (ii) do not permit general loan loss reserves to be considered as Capital, (iii) specify different risk-weighted categories, and (iv) impose a deduction from Capital corresponding to possible excess in fixed assets over the limits imposed by the Central Bank.

The following table sets forth our required capital ratios (in percentages) based on the Brazilian GAAP financial statements.

  December 31, 
  
  2005  2006  2007 
    
In accordance with the Basel Accord applicable to Brazil       
 Tier I Capital  11.50%  11.58%  10.24% 
 Tier II Capital  3.73  4.90  3.73 
    
Total Capital  15.23  16.48  13.97 
    
Minimum required by Brazilian Central Bank  11.00%  11.00%  11.00% 

Currently, the Central Bank does not limit the amount of dividends that may be paid subject to the capital requirements set forth above. As of each reporting date, we were in compliance with all capital requirements imposed by the Central Bank.

25 Segment Information

We operate primarily in the banking, insurance, pension plan and certificated savings plans business. Banking operations include retail and corporate banking, leasing, international banking, private banking and investment banking activities. We carry out our banking operations through our own operations located in Brazil, foreign branches and majority-owned subsidiaries as well as equity investments in other companies. Additionally, we engage in insurance, pension plan and certificated savings plans activities through our majority-owned subsidiary, Bradesco Seguros S.A. and its affiliates.

The following segment information was compiled based on reports used by Senior Management to evaluate the segment performance and make decisions as to the allocation of resources for investment and other purposes. Our Senior Management uses a variety of information for such purposes including financial and non-financial information measured on different bases. In accordance with SFAS 131 “Disclosures about Segments of an Enterprise and Related Information,” the information included below has been compiled from that prepared on the basis which is most consistent with that used in measuring the amounts included in the financial statements in accordance with Brazilian GAAP.

Principal segment assumptions for revenues and expenses include: (i) cash surpluses generated by the insurance pension plan and certificated savings plans segment are retained by that segment resulting in an increased net interest income, (ii) salaries and benefits and administrative costs included within the insurance, pension plan and certificated savings plans segment consist of only costs directly related to those operations, and (iii) costs incurred in the Banking segment relating to branch network infrastructure and other overheads are not allocated.

F -54


Table of Contents

Banco Bradesco S.A. 
 
Notes to the Consolidated Financial Statements 
Expressed in millions of Brazilian reais, unless otherwise stated 
 

  Year ended December 31, 2005 
  
    Insurance.  Other   
    pension plan  operations,   
    and  adjustments,   
    certificated  reclassifications  U.S. GAAP 
  Banking  savings plans  and eliminations  consolidated 
     
 
Interest income  25,060  5,939  (73) 30,926 
Interest expense  (12,786)  345  (12,441)
     
Net interest income  12,274  5,939  272  18,485 
     
Provision for loan losses  (1,823)   (1,823)
Insurance premiums   9,928  (2,123) 7,805 
Pension plan income   2,386  (2,009) 377 
Certificated saving plans   1,420  (1,420) 
Equity in earnings (losses) of unconsolidated companies  176  81  (71) 186 
Other income  7,813  1,143  216  9,172 
Salaries and benefits  (4,824) (359) (15) (5,198)
Administrative expenses  (4,219) (463) 235  (4,447)
Insurance claims   (6,730) 1,229  (5,501)
Changes in provisions related to insurance, pension plan,         
 certificated savings plans and pension investment contracts   (6,841) 2,902  (3,939)
Pension plan operating expenses   (2,507) 2,002  (505)
Insurance and pension plan selling expenses   (1,055) 14  (1,041)
Other expense  (4,049) (678) (92) (4,819)
     
 
Income before income taxes and minority interest  5,348  2,264  1,140  8,752 
     
 
Identifiable assets  164,821  49,295  (7,522) 206,594 
     

  Year ended December 31, 2006 
  
    Insurance.  Other   
    pension plan  operations,   
    and  adjustments,   
    certificated  reclassifications  U.S. GAAP 
  Banking  savings plans  and eliminations  consolidated 
     
 
Interest income  27,771  6,476  24  34,271 
Interest expense  (13,039)  170  (12,869)
     
Net interest income  14,732  6,476  194  21,402 
     
Provision for loan losses  (3,770)   (3,767)
Insurance premiums   11,212  (3,091) 8,121 
Pension plan income   2,650  (1,859) 791 
Certificated saving plans   1,418  (1,418) 
Equity in earnings (losses) of unconsolidated companies  296  106  (178) 224 
Other income  9,243  1,258  216  10,717 
Salaries and benefits  (5,543) (504) (40) (6,087)
Administrative expenses  (4,962) (498) 237  (5,223)
Insurance claims   (7,347) 1,223  (6,124)
Changes in provisions related to insurance, pension plan,         
 certificated savings plans and pension investment contracts   (7,904) 3,705  (4,199)
Pension plan operating expenses   (2,164) 1,604  (560)
Insurance and pension plan selling expenses   (1,140) 288  (852)
Other expense  (4,761) (651) (281) (5,693)
     
 
Income before income taxes and minority interest  5,235  2,912  603  8,750 
     
 
Identifiable assets  206,349  61,021  (8,099) 259,271 
     

F -55


Table of Contents

Banco Bradesco S.A. 
 
Notes to the Consolidated Financial Statements 
Expressed in millions of Brazilian reais, unless otherwise stated 
 

  Year ended December 31, 2007 
  
    Insurance.  Other   
    pension plan  operations,   
    and  adjustments,   
    certificated  reclassifications  U.S. GAAP 
  Banking  savings plans  and eliminations  consolidated 
     
 
Interest income  30,000  6,577  (68) 36,509 
Interest expense  (12,901)  163  (12,738)
     
Net interest income  17,099  6,577  95  23,771 
     
Provision for loan losses  (4,617)   (4,616)
Insurance premiums   12,556  (3,713) 8,843 
Pension plan income   2,447  (1,892) 555 
Certificated saving plans   1,556  (1,556) 
Equity in earnings (losses) of unconsolidated companies  434  79  (106) 407 
Other income  12,777  1,948  (649) 14,076 
Salaries and benefits  (6,105) (510) (154) (6,769)
Administrative expenses  (5,846) (581) 191  (6,236)
Insurance claims   (7,391) 1,379  (6,012)
Changes in provisions related to insurance, pension plan,         
 certificated savings plans and pension investment contracts   (9,661) 4,680  (4,981)
Pension plan operating expenses   (2,037) 1,559  (478)
Insurance and pension plan selling expenses   (1,247) 90  (1,157)
Other expense  (7,511) (265) 1,670  (6,106)
     
 
Income before income taxes and minority interest  6,231  3,471  1,595  11,297 
     
 
Identifiable assets  275,081  72,449  (13,021) 334,509 
     

Adjustments to U.S. GAAP relate principally to:

• Interest expense: capital lease accounting;

• Equity in earnings (losses) of unconsolidated companies: elimination of equity accounting for investments in which we hold less than 20% of the voting capital;

• Insurance and pension investment contracts plans reserves;

• Other income: adjustments for gain/loss on sale of available for sale securities;

• Amortization on the Postal Service and other transaction expenses;

• Salaries and benefits: defined benefits pension plan accounting;

• Revenue recognition on sales of branches subject to rental contracts; and

• Other expenses: fair value, goodwill and negative goodwill adjustment related to acquisitions.

Our operations are primarily carried out in Brazil. Additionally, on December 31, 2007 we had a branch in New York, three branches in Grand Cayman and one in Nassau, Bahamas, mainly to complement our banking and advisory services relating to import and export activities with Brazilian customers. Furthermore, we also have the following foreign subsidiaries: Banco Bradesco Argentina S.A. (Buenos Aires), Banco Bradesco

F -56


Table of Contents

Banco Bradesco S.A. 
 
Notes to the Consolidated Financial Statements 
Expressed in millions of Brazilian reais, unless otherwise stated 
 

Luxemburgo (Luxembourg), Bradesco Securities. Inc. (New York), Bradesco Securities UK Limited (London), Bradesco Services Co.. Ltd. (Tokyo), Cidade Capital Markets Ltd. (Grand Cayman) and Bradesco Trade Services Limited (Hong Kong).

26 Pension Plans

We sponsor defined-benefit pension plans, which supplement benefits that the Brazilian government social security system provides to employees of Bradesco and its Brazilian subsidiaries. The pension plans were established solely for the benefit of eligible employees and directors, and their assets are held independently of Bradesco. During 2001, participants of the defined benefit plan for Bradesco employees joined a new defined contribution plan (PGBL). Our plan for the year ended December 31, 2004 and 2006 includes BEM and BEC defined benefit pension plans as a result of their acquisitions on February 10, 2004 and January 3, 2006, respectively. Our contributions to the PGBL plan in 2007 totaled R$ 340 (2006 - R$316).

Our policy is to fund the pension plans through contributions based on payroll, adjusted periodically pursuant to recommendations of the Fund’s external actuary. At December 31, 2007 our contribution represents 5.0% (2006 – 5.2% and 2005 – 4.8%) of payroll, and employees and directors contribute amounts of at least 4% (2006 – 4% and 2005 – 4%) of their salaries.

The pension plan’s assets are mainly invested in government and private securities, marketable equity securities and properties.

Employees and directors who withdraw from the pension plans for any reason receive the minimum benefit based on past contributions in a single lump sum installment.

BEC, BEM and Banco Alvorada plans are measured annually.

As discussed in Note 2(t), in September 2006 the FASB issued SFAS N° 158. This statement requires an employer on a prospective basis to recognize the overfunded or underfunded status of its defined benefit pension and postretirement plans as an asset or liability in its statement of financial position and to recognize changes in that funded status in the year in which the changes occur through comprehensive income. We adopted this requirement, along with the required disclosures, on December 31, 2006. The effects of the adoption as well as the related disclosure requirements are presented below:

F -57


Table of Contents

Banco Bradesco S.A. 
 
Notes to the Consolidated Financial Statements 
Expressed in millions of Brazilian reais, unless otherwise stated 
 

The adjustments from the adoption of SFAS 158 affected our consolidated balance sheet as follows:

  Alvorada, BEM and BEC 
  plans 
  
  Year ended 
  2006 
  
 
Before application of SFAS 158   
Prepaid pension cost  55 
Accrued pension liability  (65)
 
Adjustments   
Prepaid pension cost  14 
Accrued pension liability  
Deferred tax liability  (7)
Accumulated other comprehensive income  15 
 
After aplication of SFAS 158   
Prepaid pension cost  69 
Accrued pension liability  (57)
Deferred tax liability  (7)
Accumulated other comprehensive income  15 

Based upon the report of the pension plan’s external actuary, changes in the benefit obligation and plan assets and the amounts recognized in the consolidated financial statements are as follows:

F -58


Table of Contents

Banco Bradesco S.A. 
 
Notes to the Consolidated Financial Statements 
Expressed in millions of Brazilian reais, unless otherwise stated 
 

    Alvorada, BEM and BEC plans 
    
    Year ended 
   
    2005 2006  2007 
     
(i) Projected benefit obligation:       
  At beginning of year  442  454  712 
  Business acquisition   240  
  Service cost    
  Benefits paid  (36) (38) (58)
  Interest cost  48  49  70 
  Plan changes    
  Adjustment from date change    13 
  Actuarial loss (gain) (1)  (13)
     
 
  At end of year  454  712  729 
     
 
(ii) Plan assets at market value:       
  At beginning of year  448  486  724 
  Business acquisition   194  
  Contributions received:       
  Employer    
  Employees    
  Current return on plan assets  72  79  123 
  Adjustment from date change    12 
  Benefits paid  (36) (38) (58)
     
 
  At end of year  486  724  807 
     
 
(iii) Funded status:       
  Excess of plan assets over projected       
     benefit obligation acquired  (32) (12) (79)
  Unrecognized net gain (loss) (1)  
     
  Amounts recognized in the       
      balance sheet, net  (33) (12) (79)
     

Net pension (benefit) cost includes the following components:

  Alvorada, BEM and BEC plans 
  
  Year ended 
  
  2005 2006  2007 
    
 
Projected benefit obligation:       
Service cost    
Interest cost  48  70  72 
Amortization of prior service cost    (3)
Expected return on assets  (51) (72) (81)
Expected participant contribution   (2) (1)
    
Net periodic pension cost (benefit) (2) 2  (8)
    

Prepaid pension costs and accrued pension liabilities are included in “Other assets” and “Other liabilities” respectively, in our Consolidated Statements of Financial Position.

F -59


Table of Contents

Banco Bradesco S.A. 
 
Notes to the Consolidated Financial Statements 
Expressed in millions of Brazilian reais, unless otherwise stated 
 

The amounts recognized in our balance sheets are as follows:

  2006 2007 
   
Assets     
Prepaid pension cost  69  102 
Liabilities     
Accrued pension liability  57  23 
Net asset recognized, end of year  12  79 

The amount recognized in accumulated other comprehensive income, which totaled R$ 15 at December 31, 2006 and R$ 58 at December 31, 2007, net of taxes, as a result of the implementation of SFAS 158, relates to actuarial gains.

The amount in accumulated other comprehensive income expected to be recognized as a component of a net periodic cost in 2007 total R$1 and refers to amortization of prior services cost.

Assumptions used to determine our benefit obligation and net periodic benefit cost at and for the years ended October 31, 2006 and December 31, 2007 were (1):

  Alvorada plan  BEM plan  BEC plan 
    
  2006  2007  2006  2007  2006  2007 
       
Assumed discount rate   10.2%  10.2%  10.2%  10.2%  10.2%  10.2% 
Expected long-term rate of return on assets   10.2  10.2  10.2  10.2  10.2  10.2 
Rate of increase in compensation levels   7.1%  7.1%  7.1%  7.1%  7.1%  7.1% 

(1) Including a 4.0% p.a. inflation rate and an actual discount rate of 6.0% p.a..

The rationale behind the used long-term rate of return on plan assets is the following:

• Based on the asset managers mid to long-term expectations.

• Private and Brazilian Government bonds, which are a very significant segment of the invested portfolio of Alvorada, BEM and BEC, earn interest above inflation plus interest of 8% p.a. and maturities from short to long-term.

• The asset mix of Alvorada Plan is of more than 71% and 59% in government bonds in 2006 and 2007, respectively, and more than 80% and 79% in government bonds in the case of the BEM Plan in 2006 and 2007, respectively and more than 76% and 61% in government bonds in the case of BEC plan in 2006 and 2007 and the remainder assets in stocks for all the plans.

F -60


Table of Contents

Banco Bradesco S.A. 
 
Notes to the Consolidated Financial Statements 
Expressed in millions of Brazilian reais, unless otherwise stated 
 

Our pension plan weighted-average asset allocations in 2006 and 2007, by asset category are as follows:

  Alvorada plan assets  BEM plan assets  BEC plan assets 
    
  2006  2007  2006  2007  2006  2007 
       
Asset categories             
Equity securities  0.6%  0.4%  1.6%  4.7%  6.3%  0.0% 
Debt securities  94.0  94.4  95.5  92.1  84.7  90.8 
Real estate  3.9  3.5  0.8  0.2  5.4  5.7 
Other  1.5  1.7  2.1  3.0  3.6  3.5 
       
Total  100.0%  100.0%  100.0%  100.0%  100.0%  100.0% 
       

The benefit payments, which reflect expected future services projected, to be made by us are:

   For the year ended December 31,  Pension plan benefits 
  
2008  52 
2009  54 
2010  56 
2011  59 
2012  62 
2013 - 2017  362 
  
Total  645 
  

The contributions related to the private pension plans of Alvorada, BEM and BEC, to be made by us in 2008, are estimated at R$0.3, R$1.5 and R$4.1, respectively.

27 Related Party Transactions

Bradesco has Cidade de Deus Companhia Comercial de Participações and Fundação Bradesco as primary shareholders. There is no controlling shareholder, nor is there an agreement for shareholders to vote in concert. Fundação Bradesco is a not-for-profit trust that for over 40 years has been promoting and developing the potential of children and young people through schools maintained in underprivileged areas.

We have made no loans to our officers or directors, since this practice is prohibited for all Brazilian banks by the Central Bank.

F -61


Table of Contents

Banco Bradesco S.A. 
 
Notes to the Consolidated Financial Statements 
Expressed in millions of Brazilian reais, unless otherwise stated 
 

Transactions with primary shareholders and direct and indirect affiliates (mainly represented by CPM Holding Ltd. and Cia. Brasileira de Meios de Pagamento –Visanet, Serasa S.A.), are conducted in similar conditions to those used when making transactions with third-parties, which are effective as of the date of the operations as follows.

  December 31, 
  
  2005 2006  2007
    
ASSETS       
Dividends receivable  43   16 
Other assets  99  213  110 
 
LIABILITIES       
Demand deposits   47  11 
Time deposits   261  120 
Debentures  380  444  582 
Interest on shareholders’ capital and dividends  268  23  607 
Subordinated notes  269  460  845 
Other liabilities  195  23  541 
 
INCOME AND EXPENSES       
Income on securities  27  22  24 
Other income  29  30  40 
Interest on long-term debt  83  108  228 
Other expenses  104  332  240 

28 Subsequent Events

On January 4, 2008, our Board of Directors approved the cancellation of 828,700 treasury common shares and 1,417.524 treasury preferred shares, representing its capital stock.

On January 4, 2008, our Board of Directors approved a capital increase in the amount of R$1,200, through the issuance of 13,953,489 common shares and 13,953,488 preferred shares, to be subscribed for R$43.00 per share.

On January 21, 2008 we, through Bradesco Seguros S.A., entered into an agreement with Marsh Corretora de Seguros Ltda., with the purpose of acquiring the majority of shares of Mediservice – Administradora de Planos de Saúde Ltda., for the amount of R$85. The operation is pending approval of the regulatory authorities.

On January 3, 2008, the Provisory Measure N° 413 increased the Social Contribution rate for the financial segment, from 9% to 15% of the taxable income. This Measure causes an increase in Social Contribution becoming effective May 1, 2008 and has been submitted to the Brazilian Congress within regulatory timeframe. If this Measure is deemed unconstitutional by the Supreme Court, its effects will become null and void and corresponding tax credits shall be calculated using the 9% rate.

On March 6, 2008, we entered into an agreement with the shareholders of Ágora Holdings S.A. (“Ágora Holdings”), for the acquisition of Ágora´s total capital stock, through our subsidiary Banco Bradesco BBI S.A. (“BBI”). The operation will comprise the indirect transfer of 100% of the shares representing Ágora Corretora de Títulos e Valores Mobiliários S.A. (“Ágora Corretora”) capital stock to BBI. Ágora Corretora is a wholly-owned subsidiary of Ágora Holdings. The payment of the operation, in an amount of approximately R$ 830, will be made upon the delivery, to Ágora Holdings’ shareholders, of shares corresponding to approximately 8% of BBI´s capital stock, upon the closing of the transaction. This transaction makes Ágora Holdings into a wholly-owned subsidiary of BBI. The operation is pending approval by the regulatory authorities.

F -62


Table of Contents

Banco Bradesco S.A. 
 
Notes to the Consolidated Financial Statements 
Expressed in millions of Brazilian reais, unless otherwise stated 
 

On March 24, 2008, our Board of Directors approved a capital increase of R$2,800, through: a) the capitalization of a partial balance from the “Profits Reserve – Statutory Reserve” account, and b) a 50% share bonus, in which our shareholders were entitled to receive a new share per each 2 existing shares from the same class, on a free basis. This capital increase also takes into account shares subscribed in the capital increase approved on January 4, 2008. As a result, 511,644,460 common shares and 511,644,407 preferred shares were issued.

On March 31, 2008, we sold part of our interest in Visa Inc.´s capital stock through an IPO process that took place in the United States of America. We had a gain of approximately R$352 before income taxes in this transaction. The remaining 3.7 million shares that we still hold, correspond to US$163, based on the US$ 44.00 fixed price as established in the bookbuilding process. According to the IPO rules, this interest is subject to a lock-up period of 3 years.

In 2008, the Decree-Laws No. 6,339 and 6,345 increased the IOF (Tax on Financial Transactions) rate, which is a tax levied on foreign exchange, loan and insurance transactions, among others. This amendment became effective on January 4, 2008. As a financial institution, we have the responsibility to withhold the IOF incurred in our clients transactions.

* * *

F-63