Douglas Emmett
DEI
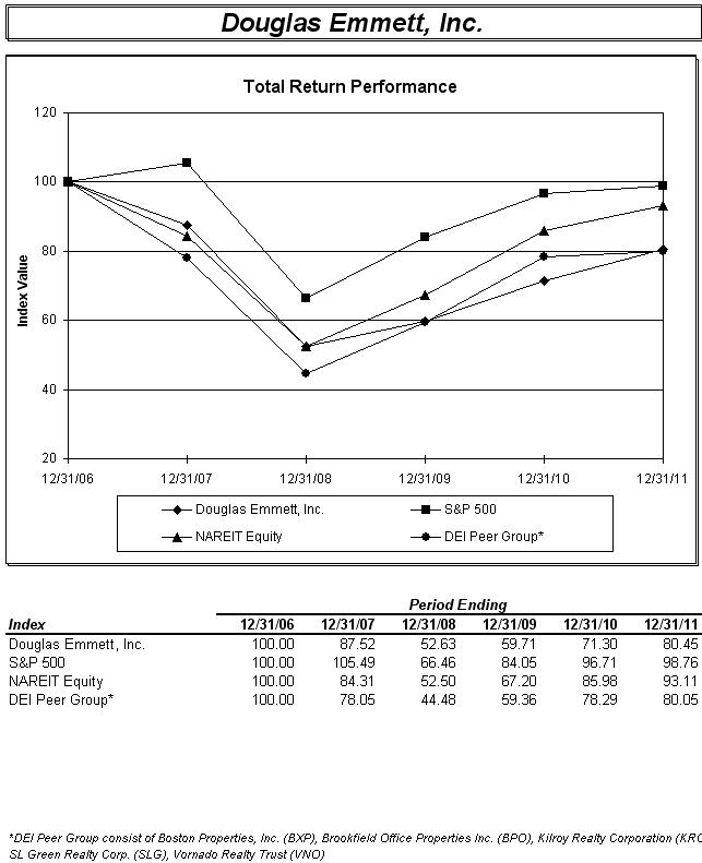
#4625
Rank
NZ$3.74 B
Marketcap
NZ$18.46
Share price
-3.24%
Change (1 day)
-19.75%
Change (1 year)

Douglas Emmett - 10-K annual report 2011


Text size:



UNITED STATES
SECURITIES AND EXCHANGE COMMISSION
WASHINGTON, D.C. 20549

FORM 10-K

ANNUAL REPORT PURSUANT TO SECTION 13 OR 15(d) OF THE SECURITIES EXCHANGE ACT OF 1934 FOR THE FISCAL YEAR ENDED DECEMBER 31, 2011
Commission file number: 1-33106
 
COMPANY LOGO
Douglas Emmett, Inc
(Exact name of registrant as specified in its charter)

MARYLAND
(20-3073047)
(State or other jurisdiction of incorporation or organization)
(I.R.S. Employer Identification No.)

808 Wilshire Boulevard, 2nd Floor
Santa Monica, California 90401
(310) 255-7700
(Address, including Zip Code and Telephone Number, including Area Code, of Registrant’s principal executive offices)

Securities registered pursuant to Section 12(b) of the Act:

Title of Each Class
Name of Each Exchange on Which Registered
Common Stock, $0.01 par value per share
New York Stock Exchange

Securities registered pursuant to Section 12(g) of the Act: None

Indicate by check mark if the registrant is a well known seasoned issuer, as defined in Rule 405 of the Securities Act.
Yes [ x ] or No [ ]
   
Indicate by check mark if the registrant is not required to file reports pursuant to Section 13 or Section 15 (d) of the Act.
Yes [ ] or No [ x ]
   
Indicate by check mark whether the registrant: (1) has filed all reports required to be filed by Section 13 or 15(d) of the Securities Exchange Act of 1934 during the preceding 12 months (or for such shorter period that the registrant was required to file such reports), and (2) has been subject to such filing requirements for the past 90 days.
Yes [ x ] or No [ ]

Indicate by check mark whether the registrant has submitted electronically and posted on its corporate Web site, if any, every Interactive Data File required to be submitted and posted pursuant to Rule 405 of Regulation S-T (§232.405 of this chapter) during the preceding 12 months (or for such shorter period that the registrant was required to submit and post such files).
Yes [ x ] or No [ ]

Indicate by check mark if disclosure of delinquent filers pursuant to Item 405 of Regulation S-K is not contained herein, and will not be contained, to the best of registrant’s knowledge, in definitive proxy or information statements incorporated by reference in Part III of this Form 10-K or any amendment to this Form 10-K
[ x ]

Indicate by check mark whether the registrant is a large accelerated filer, an accelerated filer, a non-accelerated filer, or a smaller reporting company. See definitions of “large accelerated filer,” “accelerated filer” and “smaller reporting company” in Rule 12b-2 of the Exchange Act. (Check one):
 
 
 
Large Accelerated Filer [ x ]
Accelerated Filer [  ]
Non-Accelerated Filer [  ]
(Do not check if a smaller reporting company)
Smaller reporting company [  ]

Indicate by check mark whether the registrant is a shell company (as defined in Rule 12b-2 of the Exchange Act).
Yes [ ] or No [ x ]

The aggregate market value of the common stock, $0.01 par value, held by non-affiliates of the registrant, as of June 30, 2011, was $2.3 billion.

The registrant had 139,598,003 shares of its common stock, $0.01 par value, outstanding as of February 15, 2012.

DOCUMENTS INCORPORATED BY REFERENCE
Portions of the registrant’s definitive proxy statement to be issued in conjunction with the registrant’s annual meeting of shareholders to be held in 2012 (“Proxy Statement”) are incorporated by reference in Part III of this Report on Form 10-K. The Proxy Statement will be filed by the registrant with the Securities and Exchange Commission not later than 120 days after the end of the registrant’s fiscal year ended December 31, 2011.
 

 DOUGLAS EMMETT, INC.
FORM 10-K TABLE OF CONTENTS


     
PAGE NO.
       
PART I
Business
4
 
Risk Factors
8
 
Unresolved Staff Comments
19
 
Properties
20
 
Legal Proceedings
29
 
Reserved
29
       
PART II
Market for Registrant’s Common Equity, Related Stockholder Matters and Issuer Purchases of Equity Securities
30
 
Selected Financial Data
32
 
Management’s Discussion and Analysis of Financial Condition and Results of Operations
33
 
Quantitative and Qualitative Disclosures About Market Risk
43
 
Financial Statements and Supplementary Data
43
 
Changes in and Disagreements with Accountants on Accounting and Financial Disclosure
43
 
Controls and Procedures
43
 
Other Information
43
       
PART III
Directors, Executive Officers and Corporate Governance
44
 
Executive Compensation
44
 
Security Ownership of Certain Beneficial Owners and Management and Related Stockholder Matters
44
 
Certain Relationships and Related Transactions, and Director Independence
44
 
Principal Accounting Fees and Services
44
 
Exhibits and Financial Statement Schedules
45



 

 

Forward Looking Statements.

This Report contains forward-looking statements within the meaning of Section 27A of the Securities Act of 1933, as amended (Securities Act), and Section 21E of the Securities Exchange Act of 1934 as amended (Exchange Act). You can find many (but not all) of these statements by looking for words such as “approximates,” “believes,” “expects,” “anticipates,” “estimates,” “intends,” “plans,” “would,” “may” or other similar expressions in this Report. We claim the protection of the safe harbor contained in the Private Securities Litigation Reform Act of 1995. We caution investors that any forward-looking statements presented in this Report, or those which we may make orally or in writing from time to time, are based on our beliefs and assumptions, as well as information currently available to us. Such statements are based on assumptions and the actual outcome will be affected by known and unknown risks, trends, uncertainties and factors that are beyond our control or ability to predict. Although we believe that our assumptions are reasonable, they are not guarantees of future performance and some will inevitably prove to be incorrect. As a result, our actual future results can be expected to differ from our expectations, and those differences may be material. Accordingly, investors should use caution in relying on past forward-looking statements, which are based on known results and trends at the time they are made, to anticipate future results or trends.

Some of the risks and uncertainties that may cause our actual results, performance or achievements to differ materially from those expressed or implied by forward-looking statements include the following: adverse economic or real estate developments in Southern California and Honolulu; a general downturn in the economy, such as the recent global financial crisis; decreased rental rates or increased tenant incentive and vacancy rates; defaults on, early termination of, or non-renewal of leases by tenants; increased interest rates and operating costs; failure to generate sufficient cash flows to service our outstanding indebtedness; difficulties in raising capital for our unconsolidated institutional real estate funds; difficulties in identifying properties to acquire and completing acquisitions; failure to successfully operate acquired properties and operations; failure to maintain our status as a Real Estate Investment Trust (REIT) under the Internal Revenue Code of 1986, as amended (the Internal Revenue Code); possible adverse changes in rent control laws and regulations; environmental uncertainties; risks related to natural disasters; lack or insufficient amount of insurance; inability to successfully expand into new markets and submarkets; risks associated with property development; conflicts of interest with our officers; changes in real estate zoning laws and increases in real property tax rates; and the consequences of any future terrorist attacks. For further discussion of these and other factors, see “Item 1A. Risk Factors” of this Report.

This Report and all subsequent written and oral forward-looking statements attributable to us or any person acting on our behalf are expressly qualified in their entirety by the cautionary statements contained or referred to in this section. We do not undertake any obligation to release publicly any revisions to our forward-looking statements to reflect events or circumstances after the date of this Report.

 

 

PART I
Item 1. Business
Overview

Douglas Emmett, Inc. is a fully integrated, self-administered and self-managed Real Estate Investment Trust (REIT) and one of the largest owners and operators of high-quality office and multifamily properties located in premier submarkets in California and Hawaii. We focus on owning, acquiring and operating a substantial share of top-tier office properties and premier multifamily communities in neighborhoods that possess significant supply constraints, high-end executive housing and key lifestyle amenities. We intend to increase our market share in our existing submarkets of Los Angeles County and Honolulu, and may selectively enter into other submarkets with similar characteristics where we believe we can gain significant market share.
 
Through our interest in Douglas Emmett Properties, LP (our operating partnership) and its subsidiaries, including our investments in our unconsolidated institutional real estate funds (Funds), we own or partially own, manage, lease, acquire and develop real estate, consisting primarily of office and multifamily properties. At December 31, 2011, our consolidated portfolio of properties included 50 Class A office properties (including ancillary retail space) totaling approximately 12.9 million rentable square feet of space and 9 multifamily properties containing 2,868 apartment units, as well as the fee interests in 2 parcels of land subject to ground leases. We also manage and own equity interests in unconsolidated Funds that, at December 31, 2011, owned 8 additional Class A office properties totaling approximately 1.8 million square feet of space. We manage these 8 properties alongside our consolidated portfolio; therefore we present our office portfolio statistics on a total portfolio basis, with a combined 58 Class A office properties totaling approximately 14.7 million square feet. All of these properties are concentrated in 9 premier Los Angeles County submarkets – Brentwood, Olympic Corridor, Century City, Santa Monica, Beverly Hills, Westwood, Sherman Oaks/Encino, Warner Center/Woodland Hills and Burbank , as well as in Honolulu, Hawaii.
 
We employ a focused business strategy that we have developed and implemented over the last four decades:

·  
Concentration of High Quality Office and Multifamily Assets in Premier Submarkets. First, we select submarkets that are supply constrained, with high barriers to entry, key lifestyle amenities, proximity to high-end executive housing and a strong, diverse economic base. Virtually no entitled Class A office space is currently under construction in any of our targeted submarkets. Our submarkets are dominated by small, affluent tenants, whose rent is very small relative to their revenues and often not the paramount factor in their leasing decisions. In addition, our diverse base of office tenants operates in a variety of legal, medical, entertainment, technology, financial and other professional businesses, reducing our dependence on any one industry. For 2011, 2010 and 2009, no tenant exceeded 10% of our total rental revenue and tenant reimbursements.

·  
Disciplined Strategy of Acquiring Substantial Market Share. Once we select a submarket, we follow a disciplined strategy of gaining substantial market share to provide us with extensive local transactional market information, pricing power in lease and vendor negotiations and an enhanced ability to identify and negotiate investment opportunities. As a result, we average over 20% of the market share of the Class A office space in our targeted submarkets.

·  
Proactive Asset and Property Management. Finally, our fully integrated focused operating platform provides the unsurpassed tenant service demanded in our submarkets, with in-house leasing, proactive asset and property management and internal design and construction services. We believe this provides a key competitive advantage in managing our office portfolio, which at December 31, 2011 consisted of 2,300 offices leases, with a median size of approximately 2,400 square feet, and our 2,868 apartment units. Our property management group oversees day-to-day property management of both our office and multifamily portfolios, allowing us to benefit from the operational efficiencies permitted by our submarket concentration. Our in-house leasing agents and legal specialists allow us to manage and lease a large property portfolio with a diverse group of smaller tenants, closing an average of approximately three office leases per day. Finally, our in house construction company allows us to compress the time required for building out many smaller spaces, so that we can reduce the resulting structural vacancy.
 

 
 
4

 
Insurance

We carry comprehensive liability, fire, extended coverage, business interruption and rental loss insurance covering all of the properties in our portfolio under a blanket insurance policy. We believe the policy specifications and insured limits are appropriate and adequate given the relative risk of loss, the cost of the coverage and industry practice; however, our insurance coverage may not be sufficient to fully cover our losses. We do not carry insurance for certain losses, including, but not limited to, losses caused by riots or war. Some of our policies, like those covering losses due to terrorism, earthquakes and floods, are insured subject to limitations involving substantial self-insurance portions and significant deductibles and co-payments for such events. In addition, most of our properties are located in Southern California, an area subject to an increased risk of earthquakes. While we presently carry earthquake insurance on our properties, the amount of our earthquake insurance coverage may not be sufficient to fully cover losses from earthquakes. We may reduce or discontinue earthquake, terrorism or other insurance on some or all of our properties in the future if the cost of premiums for any of these policies exceeds, in our judgment, the value of the coverage discounted for the risk of loss. In addition, if certain of our properties were destroyed, we might not be able to rebuild them due to current zoning and land use regulations. Also, our title insurance policies may not insure for the current aggregate market value of our portfolio, and we do not intend to increase our title insurance coverage as the market value of our portfolio increases.

Competition

We compete with a number of developers, owners and operators of office and commercial real estate, many of which own properties similar to ours in the same markets in which our properties are located. If our competitors offer space at rental rates below current market rates, or below the rental rates we currently charge our tenants, we may lose potential tenants and we may face pressure to reduce our rental rates below those we currently charge or to offer more substantial rent abatements, tenant improvements, early termination rights or below-market renewal options in order to retain tenants when our tenants’ leases expire. In that case, our financial condition, results of operations, cash flows, per share trading price of our common stock and ability to satisfy our debt service obligations and to pay dividends to our stockholders may be adversely affected.

In addition, all of our multifamily properties are located in developed areas that include a number of other multifamily properties, as well as single-family homes, condominiums and other residential properties. The number of competitive multifamily and other residential properties in a particular area could have a material adverse effect on our ability to lease units and on our rental rates.

Regulation

Our properties are subject to various covenants, laws, ordinances and regulations, including for example regulations relating to common areas, fire and safety requirements, various environmental laws, the Americans with Disabilities Act of 1990 (ADA) and rent control laws. Various environmental laws impose liability for release, disposal or exposure to various hazardous materials, including for example asbestos-containing materials, a substance known to be present in a number of our buildings. Such laws could impose liability on us even if we neither knew about nor were responsible for the contamination. Under the ADA, we must meet federal requirements related to access and use by disabled persons to the extent that our properties are “public accommodations”. The costs of our on-going efforts to comply with these laws are substantial. Moreover, as we have not conducted a comprehensive audit or investigation of all of our properties to determine our compliance with applicable laws, we may be liable for investigation and remediation costs, penalties, and/or damages, which could be substantial and could adversely affect our ability to sell or rent our property or to borrow using such property as collateral.

The Cities of Los Angeles and Santa Monica have enacted rent control legislation, and portions of the Honolulu multifamily market are subject to low and moderate-income housing regulations. Such laws and regulations limit our ability to increase rents, evict tenants or recover increases in our operating expenses and could make it more difficult for us to dispose of properties in certain circumstances. In addition, any failure to comply with low and moderate-income housing regulations could result in the loss of certain tax benefits and the forfeiture of rent payments. Although under current California law we are able to increase rents to market rates once a tenant vacates a rent-controlled unit, any subsequent increases in rental rates will remain limited by Los Angeles and Santa Monica rent control regulations.

For more information about the potential impact of laws and regulations, see Item 1A “Risk Factors” of this Report.

Taxation of Douglas Emmett, Inc.

We believe that we qualify, and intend to continue to qualify, for taxation as a REIT under the Internal Revenue Code, although we cannot assure that this has happened or will happen. See Item 1A. Risk Factors of this Report. The following summary is qualified in its entirety by the applicable Internal Revenue Code provisions and related rules, and administrative and judicial interpretations.

 
5

 
If we qualify for taxation as a REIT, we will generally not be required to pay federal corporate income taxes on the portion of our net income that is currently distributed to stockholders. This treatment substantially eliminates the “double taxation” (i.e., at the corporate and stockholder levels) that generally results from investment in a corporation. However, we will be required to pay federal income tax under certain circumstances.

The Internal Revenue Code defines a REIT as a corporation, trust or association (i) which is managed by one or more trustees or directors; (ii) the beneficial ownership of which is evidenced by transferable shares, or by transferable certificates of beneficial interest; (iii) which would be taxable, but for Sections 856 through 860 of the Internal Revenue Code, as a domestic corporation; (iv) which is neither a financial institution nor an insurance company subject to certain provisions of the Internal Revenue Code; (v) the beneficial ownership of which is held by 100 or more persons; (vi) of which, during the last half of each taxable year, not more than 50% in value of the outstanding stock is owned, actually or constructively, by five or fewer individuals; and (vii) which meets certain other tests, described below, regarding the amount of its distributions and the nature of its income and assets. The Internal Revenue Code provides that conditions (i) to (iv), inclusive, must be met during the entire taxable year and that condition (v) must be met during at least 335 days of a taxable year of 12 months, or during a proportionate part of a taxable year of less than 12 months.

There are presently two gross income requirements. First, at least 75% of our gross income (excluding gross income from “prohibited transactions” as defined below) for each taxable year must be derived directly or indirectly from investments relating to real property or mortgages on real property or from certain types of temporary investment income. Second, at least 95% of our gross income (excluding gross income from prohibited transactions and qualifying hedges) for each taxable year must be derived from income that qualifies under the 75% test and from other dividends, interest and gain from the sale or other disposition of stock or securities. A “prohibited transaction” is a sale or other disposition of property (other than foreclosure property) held for sale to customers in the ordinary course of business.

At the close of each quarter of our taxable year, we must also satisfy four tests relating to the nature of our assets. First, at least 75% of the value of our total assets must be represented by real estate assets including shares of stock of other REITs, certain other stock or debt instruments purchased with the proceeds of a stock offering or long-term public debt offering by us (but only for the one-year period after such offering), cash, cash items and government securities. Second, not more than 25% of our total assets may be represented by securities other than those in the 75% asset class. Third, of the investments included in the 25% asset class, the value of any one issuer’s securities owned by us may not exceed 5% of the value of our total assets and we may not own more than 10% of the vote or value of the securities of a non-REIT corporation, other than certain debt securities and interests in taxable REIT subsidiaries or qualified REIT subsidiaries, each as defined below. Fourth, not more than 25% of the value of our total assets may be represented by securities of one or more taxable REIT subsidiaries.

We own interests in various partnerships and limited liability companies. In the case of a REIT that is a partner in a partnership or a member of a limited liability company that is treated as a partnership under the Internal Revenue Code, Treasury Regulations provide that for purposes of the REIT income and asset tests, the REIT will be deemed to own its proportionate share of the assets of the partnership or limited liability company (determined in accordance with its capital interest in the entity), subject to special rules related to the 10% asset test, and will be deemed to be entitled to the income of the partnership or limited liability company attributable to such share. The ownership of an interest in a partnership or limited liability company by a REIT may involve special tax risks, including the challenge by the Internal Revenue Service (IRS) of the allocations of income and expense items of the partnership or limited liability company, which would affect the computation of taxable income of the REIT, and the status of the partnership or limited liability company as a partnership (as opposed to an association taxable as a corporation) for federal income tax purposes.

We also own an interest in a subsidiary which is intended to be treated as a qualified REIT subsidiary (QRS). The Internal Revenue Code provides that a QRS will be ignored for federal income tax purposes and all assets, liabilities and items of income, deduction and credit of the QRS will be treated as our assets, liabilities and items of income. If any partnership, limited liability company, or subsidiary in which we own an interest were treated as a regular corporation (and not as a partnership, subsidiary REIT, QRS or taxable REIT subsidiary, as the case may be) for federal income tax purposes, we would likely fail to satisfy the REIT asset tests described above and would therefore fail to qualify as a REIT, unless certain relief provisions apply. We believe that each of the partnerships, limited liability companies, and subsidiaries (other than taxable REIT subsidiaries) in which we own an interest will be treated for tax purposes as a partnership, disregarded entity (in the case of a 100% owned partnership or limited liability company), REIT or QRS, as applicable, although no assurance can be given that the IRS will not successfully challenge the status of any such organization.

 
6

 
As of December 31, 2011, we owned interests in certain corporations which have elected to be treated as a taxable REIT subsidiary. A REIT may own any percentage of the voting stock and value of the securities of a corporation which jointly elects with the REIT to be a taxable REIT subsidiary, provided certain requirements are met. A taxable REIT subsidiary generally may engage in any business, including the provision of customary or non-customary services to tenants of its parent REIT and of others, except a taxable REIT subsidiary may not manage or operate a hotel or healthcare facility. A taxable REIT subsidiary is treated as a regular corporation and is subject to federal income tax and applicable state income and franchise taxes at regular corporate rates. In addition, a 100% tax may be imposed on a REIT if its rental, service or other agreements with its taxable REIT subsidiary, or the taxable REIT subsidiary’s agreements with the REIT’s tenants, are not on arm’s-length terms.

In order to qualify as a REIT, we are required to distribute dividends (other than capital gain dividends) to our stockholders in an amount at least equal to (A) the sum of (i) 90% of our “real estate investment trust taxable income” (computed without regard to the dividends paid deduction and our net capital gain) and (ii) 90% of the net income, if any (after tax), from foreclosure property, minus (B) the sum of certain items of non-cash income. Such distributions must be paid in the taxable year to which they relate, or in the following taxable year if declared before we timely file our tax return for such year, if paid on or before the first regular dividend payment date after such declaration and if we so elect and specify the dollar amount in our tax return. To the extent that we do not distribute all of our net long-term capital gain or distribute at least 90%, but less than 100%, of our REIT taxable income, we will be required to pay tax thereon at regular corporate tax rates. Furthermore, if we should fail to distribute during each calendar year at least the sum of (i) 85% of our ordinary income for such year, (ii) 95% of our capital gain income for such year, and (iii) any undistributed taxable income from prior periods, we would be required to pay a 4% excise tax on the excess of such required distributions over the amounts actually distributed.

If we fail to qualify for taxation as a REIT in any taxable year, and certain relief provisions do not apply, we will be required to pay tax (including any applicable alternative minimum tax) on our taxable income at regular corporate rates. Distributions to our stockholders in any year in which we fail to qualify will not be deductible by us nor will such distributions be required to be made. Unless entitled to relief under specific statutory provisions, we will also be disqualified from taxation as a REIT for the four taxable years following the year during which qualification was lost. It is not possible to state whether in all circumstances we would be entitled to the statutory relief. Failure to qualify for even one year could substantially reduce distributions to stockholders and could result in our incurring substantial indebtedness (to the extent borrowings are feasible) or liquidating substantial investments in order to pay the resulting taxes.

We and our stockholders may be required to pay state or local tax in various state or local jurisdictions, including those in which we or they transact business or reside. The state and local tax treatment of us and our stockholders may not conform to the federal income tax consequences discussed above. We may also be subject to certain taxes applicable to REITs, including taxes in lieu of disqualification as a REIT, on undistributed income, on income from prohibited transactions and on built-in gains from the sale of certain assets acquired from C corporations in tax-free transactions during a specified time period.

Our Funds each own properties through an entity which is intended to also qualify as a REIT, and its failure to so qualify could have similar impacts on us.

Employees

As of December 31, 2011, we employed approximately 530 people. We believe that our relationships with our employees are good.

Corporate Structure

We were formed as a Maryland corporation on June 28, 2005 to continue and expand the operations of Douglas Emmett Realty Advisors and its 9 institutional funds. All of our assets are directly or indirectly held by our operating partnership, which was formed as a Delaware limited partnership on July 25, 2005. Our interest in our operating partnership entitles us to share in cash distributions, profits and losses of our operating partnership in proportion to our percentage ownership. As the sole stockholder of the general partner of our operating partnership, under the partnership agreement of our operating partnership we generally have the exclusive power to manage and conduct its business, subject to certain limited approval and voting rights of the other limited partners.

 
7

 
Funds
At December 31, 2011, our unconsolidated Funds had combined equity commitments totaling $554.7 million, of which we committed $196.4 million and certain of our officers committed $2.25 million on the same terms as the other investors. The investment period of our Funds expires not later than October 2012, followed by a ten-year value creation period. With limited exceptions, our Funds will be our exclusive investment vehicle during their investment period, using the same underwriting and leverage principles and focusing primarily on the same markets as we have. While the financial data in this Report does not include our Funds on a consolidated basis, much of the property level data in this Report includes the properties owned by our Funds, as we believe it assists in understanding our business. For further information, see Note 3 to our consolidated financial statements in Item 8 of this Report.

Segments

We have two reportable segments: Office Properties and Multifamily Properties. Information related to our business segments for 2011, 2010 and 2009 is set forth in Note 16 to our consolidated financial statements in Item 8 of this Report.

Principal Executive Offices

Our principal executive offices are located in the building we own at 808 Wilshire Boulevard, Santa Monica, California 90401 (telephone 310-255-7700). We believe that our current facilities are adequate for our present and future operations.

Available Information

We make available free of charge on our website at www.douglasemmett.com our annual reports on Form 10-K, quarterly reports on Form 10-Q, current reports on Form 8-K and all amendments thereto, as soon as reasonably practicable after we file such reports with, or furnish them to, the Securities and Exchange Commission (SEC). None of the information on or hyperlinked from our website is incorporated into this Report.

Item 1A. Risk Factors
The following section includes the most significant factors that may adversely affect our business and operations. This is not an exhaustive list, and additional factors could adversely affect our business and financial performance. Moreover, we operate in a very competitive and rapidly changing environment. New risk factors emerge from time to time and it is not possible for us to predict all such risk factors, nor can we assess the impact of all such risk factors on our business or the extent to which any factor, or combination of factors, may cause actual results to differ materially from those contained in any forward-looking statements. This discussion of risk factors includes many forward-looking statements. For cautions about relying on forward-looking statements, please refer to the section entitled “Forward Looking Statements” at the beginning of this Report immediately prior to Item 1.

Risks Related to Our Properties and Our Business

All of our properties (including the properties owned by our Funds) are located in Los Angeles County, California and Honolulu, Hawaii, and we are dependent on the Southern California and Honolulu economies. Therefore, we are susceptible to adverse local conditions and regulations, as well as natural disasters in those areas. Because all of our properties are concentrated in Los Angeles County, California and Honolulu, Hawaii, we are exposed to greater economic risks than if we owned a more geographically dispersed portfolio. Further, within Los Angeles County, our properties are concentrated in certain submarkets, exposing us to risks associated with those specific areas. We are susceptible to adverse developments in the Los Angeles County and Honolulu economic and regulatory environments (such as business layoffs or downsizing, industry slowdowns, relocations of businesses, increases in real estate and other taxes, costs of complying with governmental regulations or increased regulation and other factors) as well as natural disasters that occur in these areas (such as earthquakes, floods, wildfires and other events). In addition, California is also regarded as more litigious and more highly regulated and taxed than many other states, which may reduce demand for office space in California. Any adverse developments in the economy or real estate market in Los Angeles County and the surrounding region, or in Honolulu, or any decrease in demand for office space resulting from the California or Honolulu regulatory or business environment could adversely impact the market price of our common stock, our financial condition, our results of operations and our cash flows, including our ability to satisfy our debt service obligations and to pay dividends to our stockholders. We cannot assure any level of growth in the Los Angeles County or Honolulu economies or of our company.

Our operating performance is subject to risks associated with the real estate industry. Real estate investments are subject to various risks and fluctuations and cycles in value and demand, many of which are beyond our control. Certain events may decrease cash available for dividends, as well as the value of our properties. These events include, but are not limited to:

·  
adverse changes in international, national or local economic and demographic conditions, such as the recent global economic downturn;

 
8

 
·  
vacancies or our inability to rent space on favorable terms, including possible market pressures to offer tenants rent abatements, tenant improvements, early termination rights or below-market renewal options;

·  
adverse changes in financial conditions of buyers, sellers and tenants of properties;

·  
inability to collect rent from tenants;

·  
competition from other real estate investors with significant capital, including other real estate operating companies, publicly-traded REITs and institutional investment funds;

·  
reductions in the level of demand for commercial space and residential units, and changes in the relative popularity of properties;

·  
increases in the supply of office space and multifamily units;

·  
fluctuations in interest rates and the availability of credit, and the pronounced tightening of credit markets that has occurred in the recent liquidity crisis, which could adversely affect our ability, or the ability of buyers and tenants of properties, to obtain financing on favorable terms or at all;

·  
increases in expenses and the possible inability to recover from our tenants the increased expenses, including, without limitation, insurance costs, labor costs (such as the unionization of our employees and our subcontractors’ employees that provide services to our buildings could substantially increase our operating costs), energy prices, real estate assessments and other taxes, as well as costs of compliance with laws, regulations and governmental policies;

·  
the effects of rent controls, stabilization laws and other laws or covenants regulating rental rates; and

·  
changes in, and changes in enforcement of, laws, regulations and governmental policies, including, without limitation, health, safety, environmental, zoning and tax laws, governmental fiscal policies and the ADA.

In addition, periods of economic slowdown or recession, such as the recent global economic downturn, rising interest rates or declining demand for real estate, or the public perception that any of these events may occur, could result in a general decline in rents and property values and an increased incidence of defaults under existing leases. If we cannot operate our properties effectively, or if we do not acquire desirable properties, and when appropriate dispose of properties, on favorable terms at appropriate times, the market price of our common stock, our financial condition, our results of operations and our cash flows, including our ability to satisfy our debt service obligations and to pay dividends to our stockholders, could be adversely affected. There can be no assurance that we can achieve our return objectives.

We have a substantial amount of indebtedness, which may affect our ability to pay dividends, may expose us to interest rate fluctuation risk and may expose us to the risk of default under our debt obligations. As of December 31, 2011, our total consolidated indebtedness was approximately $3.62 billion, excluding loan premiums, and we may incur significant additional debt for various purposes, including, without limitation, to fund future acquisition and development activities and operational needs.

Payments of principal and interest on borrowings may leave us with insufficient cash resources to operate our properties or to pay the distributions currently contemplated or necessary to maintain our REIT qualification. Our substantial outstanding indebtedness, and the limitations and other constraints imposed on us by our debt agreements, especially in periods like the present when credit is harder to obtain, could have significant other adverse consequences, including the following:

·  
our cash flows may be insufficient to meet our required principal and interest payments;

·  
we may be unable to borrow additional funds as needed or on favorable terms, which could, among other things, adversely affect our ability to capitalize upon emerging acquisition opportunities or meet operational needs;

·  
we may be unable to refinance our indebtedness at maturity or the refinancing terms may be less favorable than the terms of our original indebtedness;

·  
we may be forced to dispose of one or more of our properties, possibly on disadvantageous terms;

·  
we may violate restrictive covenants in our loan documents, which would entitle the lenders to accelerate our debt obligations;

 
9

 
·  
we may be unable to hedge floating rate debt, counterparties may fail to honor their obligations under our hedge agreements, these agreements may not effectively hedge interest rate fluctuation risk, and, upon the expiration of any hedge agreements we do have, we will be exposed to then-existing market rates of interest and future interest rate volatility with respect to indebtedness that is currently hedged;

·  
we may default on our obligations and the lenders or mortgagees may foreclose on our properties that secure their loans and receive an assignment of rents and leases; and

·  
our default under any of our indebtedness with cross default provisions could result in a default on other indebtedness.

If any one of these events were to occur, the market price of our common stock, our financial condition, our results of operations and our cash flows, including our ability to satisfy our debt service obligations and to pay dividends to our stockholders, could be adversely affected. In addition, any foreclosure on our properties could create taxable income without accompanying cash proceeds, which could adversely affect our ability to meet the REIT distribution requirements imposed by the Internal Revenue Code.

The recent global financial downturn may adversely affect our business and performance. Our operations and performance depend on general economic conditions. The United States economy has recently experienced a financial crisis and recession, with some financial and economic analysts predicting that the world economy may encounter a prolonged economic period characterized by high unemployment, limited availability of credit and decreased consumer and business spending.

The downturn has had, and may continue to have, an unprecedented negative impact on the global credit markets. Credit tightened significantly. If this reoccurs or other factors affect the availability of credit to us, we might not be able to obtain mortgage loans to purchase additional properties or successfully refinance our properties as loans become due. Further, even if we are able to obtain the financing we need, it may be on terms that are not favorable to us, with increased financing costs and restrictive covenants, including restricting our ability to pay dividends and our Funds’ ability to make distributions to its respective members, including us.

The economic downturn has adversely affected, and may continue to adversely affect, the businesses of many of our tenants. As a result, we have seen increases in bankruptcies of our tenants and increased defaults by tenants, which could continue, and we may experience higher vacancy rates and delays in re-leasing vacant space, which could negatively impact our business and results of operations.

Overall, these factors have resulted in uncertainty in the real estate markets. As a result, the valuation of real-estate related assets has been volatile and may continue to be volatile in the future.  This volatility in the markets may make it more difficult for us to obtain adequate financing or realize gains on our investments, which could have an adverse effect on our business and results of operations.

The actual rents we receive for the properties in our portfolio may be less than our asking rents, and we may experience lease roll-down from time to time. As a result of various factors, including competitive pricing pressure in our submarkets, adverse conditions in the Los Angeles County or Honolulu real estate market, a general economic downturn, such as the recent global economic downturn, and the desirability of our properties compared to other properties in our submarkets, we may be unable to realize our asking rents across the properties in our portfolio. In addition, the degree of discrepancy between our asking rents and the actual rents we are able to obtain may vary both from property to property and among different leased spaces within a single property. If we are unable to obtain rental rates that are on average comparable to our asking rents across our portfolio, then our ability to generate cash flow growth will be negatively impacted. In addition, depending on asking rental rates at any given time as compared to expiring leases in our portfolio, from time to time (including in 2011) rental rates for expiring leases may be higher than starting rental rates for new leases. Significant rent reductions could result in a write-down of one or more of our consolidated properties, or our equity investments in our Funds.

 
10

 
Potential losses, including from adverse weather conditions, natural disasters and title claims, may not be covered by insurance. Our business operations in Los Angeles County, California and Honolulu, Hawaii are susceptible to, and could be significantly affected by, adverse weather conditions and natural disasters such as earthquakes, tsunamis, hurricanes, volcanoes, wind, floods, landslides and fires. These adverse weather conditions and natural disasters could cause significant damage to the properties in our portfolio, the risk of which is enhanced by the concentration of our properties’ locations. Our insurance may not be adequate to cover business interruption or losses resulting from adverse weather or natural disasters. In addition, our insurance policies include substantial self-insurance portions and significant deductibles and co-payments for such events, and we are subject to the availability of insurance in the United States and the pricing thereof. As a result, we may be required to incur significant costs in the event of adverse weather conditions and natural disasters. We may reduce or discontinue earthquake or any other insurance coverage on some or all of our properties in the future if the cost of premiums for any of these policies in our judgment exceeds the value of the coverage discounted for the risk of loss.

Furthermore, we do not carry insurance for certain losses, including, but not limited to, losses caused by certain environmental conditions, asbestos, riots or war. In addition, our title insurance policies may not insure for the current aggregate market value of our portfolio, and we do not intend to increase our title insurance coverage as the market value of our portfolio increases. As a result, we may not have sufficient coverage against all losses that we may experience, including from adverse title claims.

If we experience a loss that is uninsured or which exceeds policy limits, we could incur significant costs and lose the capital invested in the damaged properties as well as the anticipated future cash flows from those properties. In addition, if the damaged properties are subject to recourse indebtedness, we would continue to be liable for the indebtedness, even if these properties were irreparably damaged.

In addition, if any of our properties were destroyed or damaged, then we might not be permitted to rebuild many of those properties to their existing height or size at their existing location under current land-use laws and policies. In the event that we experience a substantial or comprehensive loss of one of our properties, we may not be able to rebuild such property to its existing specifications and otherwise may have to upgrade such property to meet current code requirements.

Terrorism and other factors affecting demand for our properties could harm our operating results. The strength and profitability of our business depends on demand for and the value of our properties. Possible future terrorist attacks in the United States, such as the attacks that occurred in New York and Washington, D.C. on September 11, 2001, and other acts of terrorism or war may have a negative impact on our operations, even if they are not directed at our properties. In addition, the terrorist attacks of September 11, 2001 substantially affected the availability and price of insurance coverage for certain types of damages or occurrences, and our insurance policies for terrorism include large deductibles and co-payments. The lack of sufficient insurance for these types of acts could expose us to significant losses and could have a negative impact on our operations.

We face intense competition, which may decrease or prevent increases of the occupancy and rental rates of our properties. We compete with a number of developers, owners and operators of office and multifamily real estate, many of which own properties similar to ours in the same markets in which our properties are located. If our competitors offer space at rental rates below current market rates, or below the rental rates we currently charge our tenants, we may lose existing or potential tenants, and we may be pressured to reduce our rental rates below those we currently charge or to offer more substantial rent abatements, tenant improvements, early termination rights or below-market renewal options in order to retain tenants when our tenants’ leases expire. In that case, the market price of our common stock, our financial condition, our results of operations and our cash flows, including our ability to satisfy our debt service obligations and to pay dividends to our stockholders, may be adversely affected.

In addition, all of our multifamily properties are located in developed areas that include a significant number of other multifamily properties, as well as single-family homes, condominiums and other residential properties. The number of competitive multifamily and other residential properties in a particular area could have a material adverse effect on our ability to lease units and on our rental rates.

 
11

 
We may be unable to renew leases or lease vacant space. As of December 31, 2011, 10.7% of the square footage of the properties in our total office portfolio, including 10.0% of our consolidated office portfolio, was available for lease. As of December 31, 2011, 21.8% of leases (representing 11.2% of the square footage) in our total portfolio, including 21.0% of leases (representing 10.7% of the square footage) in our consolidated portfolio, were scheduled to expire in 2012. In addition, as of December 31, 2011, approximately 0.4% of the units in our multifamily portfolio were available for lease, and substantially all of the leases in our multifamily portfolio are originally renewable on an annual basis at the tenant’s option and, if not renewed or terminated, automatically convert to month-to-month terms. Our leases may not be renewed, in which case we must find new tenants for that space. To attract new tenants or retain existing tenants, particularly in periods of contraction, we may have to accept rental rates below our existing rental rates or offer substantial rent abatements, tenant improvements, early termination rights or below-market renewal options. Accordingly, portions of our office and multifamily properties may remain vacant for extended periods of time. In addition, some existing leases currently provide tenants with options to renew the terms of their leases at rates that are less than the current market rate or to terminate their leases prior to the expiration date thereof.

Furthermore, as part of our business strategy, we have focused and intend to continue to focus on securing smaller-sized companies as tenants for our office portfolios. Smaller tenants may present greater credit risks and be more susceptible to economic downturns than larger tenants, and may be more likely to cancel or elect not to renew their leases. In addition, we intend to actively pursue opportunities for what we believe to be well-located and high quality buildings that may be in a transitional phase due to current or impending vacancies. We cannot assure you that any such vacancies will be filled following a property acquisition, or that any new tenancies will be established at or above market rates. If the rental rates for our properties decrease, other tenant incentives increase, our existing tenants do not renew their leases or we do not re-lease a significant portion of our available space, the market price of our common stock, our financial condition, our results of operations and our cash flows, including our ability to satisfy our debt service obligations and to pay dividends to our stockholders, would be adversely affected.

Real estate investments are generally illiquid. Our real estate investments are relatively difficult to sell quickly. Return of capital and realization of gains, if any, from an investment generally will occur upon disposition or refinance of the underlying property. We may be unable to realize our investment objectives by sale, other disposition or refinance at attractive prices within any given period of time or may otherwise be unable to complete any exit strategy. In particular, these risks could arise from weakness in or even the lack of an established market for a property, changes in the financial condition or prospects of prospective purchasers, changes in national or international economic conditions, such as the recent economic downturn, and changes in laws, regulations or fiscal policies of jurisdictions in which the property is located. Furthermore, certain properties may be adversely affected by contractual rights, such as rights of first offer.

Because we own real property, we are subject to extensive environmental regulation, which creates uncertainty regarding future environmental expenditures and liabilities.  Environmental laws regulate, and impose liability for, releases of hazardous or toxic substances into the environment. Under various provisions of these laws, an owner or operator of real estate may be liable for costs related to soil or groundwater contamination on, in, or migrating to or from its property. In addition, persons who arrange for the disposal or treatment of hazardous or toxic substances may be liable for the costs of cleaning up contamination at the disposal site. Such laws often impose liability regardless of whether the person knew of, or was responsible for, the presence of the hazardous or toxic substances that caused the contamination. The presence of, or contamination resulting from, any of these substances, or the failure to properly remediate them, may adversely affect our ability to sell or rent our property or to borrow using such property as collateral. In addition, persons exposed to hazardous or toxic substances may sue for personal injury damages. For example, some laws impose liability for release of or exposure to asbestos-containing materials, a substance known to be present in a number of our buildings. In other cases, some of our properties have been (or may have been) impacted by contamination from past operations or from off-site sources. As a result, in connection with our current or former ownership, operation, management and development of real properties, we may be potentially liable for investigation and cleanup costs, penalties, and damages under environmental laws.

Although most of our properties have been subjected to preliminary environmental assessments, known as Phase I assessments, by independent environmental consultants that identify certain liabilities, Phase I assessments are limited in scope, and may not include or identify all potential environmental liabilities or risks associated with the property. Unless required by applicable laws or regulations, we may not further investigate, remedy or ameliorate the liabilities disclosed in the Phase I assessments.

We cannot assure you that these or other environmental studies identified all potential environmental liabilities, or that we will not incur material environmental liabilities in the future. If we do incur material environmental liabilities in the future, we may face significant remediation costs, and we may find it difficult to sell any affected properties.

 
12

 
We may incur significant costs complying with laws, regulations and covenants that are applicable to our properties. The properties in our portfolio are subject to various covenants and federal, state and local laws and regulatory requirements, including permitting and licensing requirements. Such laws and regulations, including municipal or local ordinances, zoning restrictions and restrictive covenants imposed by community developers may restrict our use of our properties and may require us to obtain approval from local officials or community standards organizations at any time with respect to our properties, including prior to acquiring a property or when undertaking renovations of any of our existing properties. Among other things, these restrictions may relate to fire and safety, seismic, asbestos-cleanup or hazardous material abatement requirements. There can be no assurance that existing laws and regulations will not adversely affect us or the timing or cost of any future acquisitions or renovations, or that additional regulations will not be adopted that increase such delays or result in additional costs. Our failure to obtain required permits, licenses and zoning relief or to comply with applicable laws could have a material adverse effect on our business, financial condition and results of operations.

Rent control or rent stabilization legislation and other regulatory restrictions may limit our ability to increase rents and pass through new or increased operating costs to our tenants. Certain states and municipalities have adopted laws and regulations imposing restrictions on the timing or amount of rent increases or have imposed regulations relating to low- and moderate-income housing. Currently, neither California nor Hawaii have state mandated rent control, but various municipalities within Southern California, such as the Cities of Los Angeles and Santa Monica, have enacted rent control legislation. All but one of the properties in our Los Angeles County multifamily portfolio are affected by these laws and regulations. In addition, we have agreed to provide low- and moderate-income housing in many of the units in our Honolulu multifamily portfolio in exchange for certain tax benefits. We presently expect to continue operating and acquiring properties in areas that either are subject to these types of laws or regulations or where legislation with respect to such laws or regulations may be enacted in the future. Such laws and regulations limit our ability to charge market rents, increase rents, evict tenants or recover increases in our operating expenses and could make it more difficult for us to dispose of properties in certain circumstances. Similarly, compliance procedures associated with rent control statutes and low- and moderate-income housing regulations could have a negative impact on our operating costs, and any failure to comply with low- and moderate-income housing regulations could result in the loss of certain tax benefits and the forfeiture of rent payments. In addition, such low- and moderate-income housing regulations require us to rent a certain number of units at below-market rents, which has a negative impact on our ability to increase cash flows from our properties subject to such regulations. Furthermore, such regulations may negatively impact our ability to attract higher-paying tenants to such properties.

We may be unable to complete acquisitions that would grow our business, and even if consummated, we may fail to successfully integrate and operate acquired properties.  Our planned growth strategy includes the disciplined acquisition of properties as opportunities arise. Our ability to acquire properties on favorable terms and successfully integrate and operate them is subject to significant risks, including the following:

·  
we may be unable to acquire desired properties because of competition from other real estate investors with more capital, including other real estate operating companies, publicly-traded REITs and investment funds;

·  
we may acquire properties that are not accretive to our results upon acquisition, and we may not successfully manage and lease those properties to meet our expectations;

·  
competition from other potential acquirers may significantly increase the purchase price of a desired property;

·  
we may be unable to generate sufficient cash from operations, or obtain the necessary debt financing, equity financing, or private equity contributions to consummate an acquisition or, if obtainable, financing may not be on favorable terms;

·  
our cash flows may be insufficient to meet our required principal and interest payments;

·  
we may need to spend more than budgeted amounts to make necessary improvements or renovations to acquired properties;

·  
agreements for the acquisition of office properties are typically subject to customary conditions to closing, including satisfactory completion of due diligence investigations, and we may spend significant time and money on potential acquisitions that we do not consummate;

·  
the process of acquiring or pursuing the acquisition of a new property may divert the attention of our senior management team from our existing business operations;

·  
we may be unable to quickly and efficiently integrate new acquisitions, particularly acquisitions of portfolios of properties, into our existing operations;

·  
market conditions may result in higher than expected vacancy rates and lower than expected rental rates; and

 
13

 
·  
we may acquire properties without any recourse, or with only limited recourse, for liabilities, whether known or unknown, such as clean-up of environmental contamination, claims by tenants, vendors or other persons against the former owners of the properties and claims for indemnification by general partners, directors, officers and others indemnified by the former owners of the properties.

If we cannot complete property acquisitions on favorable terms, or operate acquired properties to meet our goals or expectations, the market price of our common stock, our financial condition, our results of operations and our cash flows, including our ability to satisfy our debt service obligations and to pay dividends to our stockholders, could be adversely affected.

We may be unable to successfully expand our operations into new markets. If the opportunity arises, we may explore acquisitions of properties in new markets. Each of the risks applicable to our ability to acquire, integrate and operate properties in our current markets is also applicable to our ability to acquire and successfully integrate and operate properties in new markets. In addition to these risks, we will not possess the same level of familiarity with the dynamics and market conditions of any new markets that we may enter, which could adversely affect our ability to expand into those markets. We may be unable to build a significant market share or achieve a desired return on our investments in new markets. If we are unsuccessful in expanding into new markets, it could adversely affect the market price of our common stock, our financial condition, our results of operations and our cash flows, including our ability to satisfy our debt service obligations and to pay dividends to our stockholders.

We are exposed to risks associated with property development. We may engage in development and redevelopment activities with respect to certain of our properties. To the extent that we do so, we will be subject to certain risks, including, without limitation:

·  
the availability and pricing of financing on favorable terms or at all;

·  
the availability and timely receipt of zoning and other regulatory approvals; and

·  
the cost and timely completion of construction (including risks beyond our control, such as weather or labor conditions, or material shortages).

These risks could result in substantial unanticipated delays or expenses and, under certain circumstances, could prevent completion of development activities once undertaken, any of which could have an adverse effect on the market price of our common stock, our financial condition, our results of operations and our cash flows, including our ability to satisfy our debt service obligations and to pay dividends to our stockholders.

If we default on the leases to which some of our properties are subject, our business could be adversely affected. We have leasehold interests in certain of our properties. If we default under the terms of these leases, we may be liable for damages and could lose our leasehold interest in the property or our options to purchase the fee interest in such properties. If any of these events were to occur, our business and results of operations would be adversely affected.

The cash available for distribution to stockholders may not be sufficient to pay dividends at expected levels, nor can we assure you of our ability to make distributions in the future. We may elect to distribute the minimum amount to remain compliant with REIT requirements while retaining excess capital for future operations. We may use borrowed funds to make distributions or pay some of the required distributions in equity. Our annual distributions may exceed estimated cash available from operations. While we intend to fund the difference out of excess cash or by incurring additional debt, if necessary, our inability to make, or election to not make, the expected distributions could result in a decrease in the market price of our common stock.

Our property taxes could increase due to property tax rate changes or reassessment, which would impact our cash flows. Even as a REIT for federal income tax purposes, we are required to pay some state and local taxes on our properties. The real property taxes on our properties may increase as property tax rates change or as our properties are assessed or reassessed by taxing authorities. In California, under current law, reassessment occurs primarily as a result of a “change in ownership”. The impact of a potential reassessment may take a considerable amount of time, during which the property taxing authorities make a determination of the occurrence of a “change of ownership”, as well as the actual reassessed value. Therefore, the amount of property taxes we pay could increase substantially from what we have paid in the past. If the property taxes we pay increase, our cash flows would be impacted, and our ability to pay expected dividends to our stockholders could be adversely affected.

 
14

 
Risks Related to Our Organization and Structure

Tax consequences to holders of operating partnership units upon a sale or refinancing of our properties may cause the interests of our executive officers to differ from the interests of other stockholders.  As a result of the unrealized built-in gain attributable to the contributed property at the time of contribution, some holders of operating partnership units, including our executive officers, may suffer different and more adverse tax consequences than holders of our common stock upon the sale or refinancing of the properties owned by our operating partnership, including disproportionately greater allocations of items of taxable income and gain upon a realization event. As those holders will not receive a correspondingly greater distribution of cash proceeds, they may have different objectives regarding the appropriate pricing, timing and other material terms of any sale or refinancing of certain properties, or whether to sell or refinance such properties at all.

Our executive officers will have significant influence over our affairs.  At December 31, 2011, our executive officers owned approximately 5% of our outstanding common stock, or approximately 25% assuming that they convert all of their interests in our operating partnership and exercise all of their options. As a result, our executive officers, to the extent they vote their shares in a similar manner, will have influence over our affairs and could exercise such influence in a manner that is not in the best interests of our other stockholders, including by attempting to delay, defer or prevent a change of control transaction that might otherwise be in the best interests of our stockholders.

Our growth depends on external sources of capital which are outside of our control. In order to qualify as a REIT, we are required under the Internal Revenue Code to distribute annually at least 90% of our “real estate investment trust” taxable income, determined without regard to the dividends paid deduction and by excluding any net capital gain. To the extent that we do not distribute all of our net long-term capital gain or distribute at least 90%, of our REIT taxable income, we will be required to pay tax thereon at regular corporate tax rates. Because of these distribution requirements, we may not be able to fund future capital needs, including any necessary acquisition financing, from operating cash flows. Consequently, we may rely on third-party sources to fund our capital needs. We may not be able to obtain financing on favorable terms or at all. Any additional debt we incur will increase our leverage. Our access to third-party sources of capital depends on many factors, some of which include:

·  
general market conditions;

·  
the market’s perception of our growth potential;

·  
our current debt levels;

·  
our current and expected future earnings;

·  
our cash flows and cash dividends; and

·  
the market price per share of our common stock.

Recently, the credit markets have been subject to significant disruptions. If we cannot obtain capital from third-party sources, we may not be able to acquire or develop properties when strategic opportunities exist, meet the capital and operating needs of our existing properties, satisfy our debt service obligations or pay dividends to our stockholders necessary to maintain our qualification as a REIT.

Our charter, the partnership agreement of our operating partnership and Maryland law contain provisions that may delay or prevent a change of control transaction.

Our charter contains a 5.0% ownership limit. Our charter, subject to certain exceptions, contains restrictions on ownership that limit, and authorizes our directors to take such actions as are necessary and desirable to limit, any person to actual or constructive ownership of no more than 5.0% in value of the outstanding shares of our stock and no more than 5.0% of the value or number, whichever is more restrictive, of the outstanding shares of our common stock. Our board of directors, in its sole discretion, may exempt a proposed transferee from the ownership limit. However, our board of directors may not grant an exemption from the ownership limit to any proposed transferee whose ownership, direct or indirect, of more than 5.0% of the value or number of our outstanding shares of our common stock could jeopardize our status as a REIT. The ownership limit contained in our charter and the restrictions on ownership of our common stock may delay or prevent a transaction or a change of control that might involve a premium price for our common stock or otherwise be in the best interest of our stockholders.

 
15

 
Our board of directors may create and issue a class or series of preferred stock without stockholder approval. Our board of directors is empowered under our charter to amend our charter to increase or decrease the aggregate number of shares of our common stock or the number of shares of stock of any class or series that we have authority to issue, to designate and issue from time to time one or more classes or series of preferred stock and to classify or reclassify any unissued shares of our common stock or preferred stock without stockholder approval. Our board of directors may determine the relative rights, preferences and privileges of any class or series of preferred stock issued. As a result, we may issue series or classes of preferred stock with preferences, dividends, powers and rights, voting or otherwise, senior to the rights of holders of our common stock. The issuance of preferred stock could also have the effect of delaying or preventing a change of control transaction that might otherwise be in the best interests of our stockholders.

Certain provisions in the partnership agreement for our operating partnership may delay or prevent unsolicited acquisitions of us. Provisions in the partnership agreement for our operating partnership may delay or make more difficult unsolicited acquisitions of us or changes in our control. These provisions could discourage third parties from making proposals involving an unsolicited acquisition of us or change of our control, although some stockholders might consider such proposals, if made, desirable. These provisions include, among others:

·  
redemption rights of qualifying parties;

·  
transfer restrictions on our operating partnership units;

·  
the ability of the general partner in some cases to amend the partnership agreement without the consent of the limited partners; and

·  
the right of the limited partners to consent to transfers of the general partnership interest and mergers under specified circumstances.

Any potential change of control transaction may be further limited as a result of provisions of the partnership unit designation for certain long-term incentive plan units (LTIP units), which require us to preserve the rights of LTIP unit holders and may restrict us from amending the partnership agreement for our operating partnership in a manner that would have an adverse effect on the rights of LTIP unit holders.

Certain provisions of Maryland law could inhibit changes in control. Certain provisions of the Maryland General Corporation Law (MGCL) may have the effect of inhibiting a third party from making a proposal to acquire us or impeding a change of control under circumstances that otherwise could provide our stockholders with the opportunity to realize a premium over the then-prevailing market price of our common stock, including:

·  
“business combination” provisions that, subject to limitations, prohibit certain business combinations between us and an “interested stockholder” (defined generally as any person who beneficially owns 10% or more of the voting power of our shares or an affiliate thereof) for five years after the most recent date on which the stockholder becomes an interested stockholder, and thereafter impose special appraisal rights and special stockholder voting requirements on these combinations; and

·  
“control share” provisions that provide that “control shares” of our company (defined as shares which, when aggregated with other shares controlled by the stockholder, entitle the stockholder to exercise one of three increasing ranges of voting power in electing directors) acquired in a “control share acquisition” (defined as the direct or indirect acquisition of ownership or control of “control shares”) have no voting rights except to the extent approved by our stockholders by the affirmative vote of at least two-thirds of all the votes entitled to be cast on the matter, excluding all interested shares.

We have elected to opt out of these provisions of the MGCL, in the case of the business combination provisions of the MGCL, by resolution of our board of directors, and in the case of the control share provisions of the MGCL, pursuant to a provision in our bylaws. However, our board of directors may by resolution elect to repeal the foregoing opt-outs from the business combination provisions of the MGCL and we may, by amendment to our bylaws, opt in to the control share provisions of the MGCL in the future.

Our charter, bylaws, the partnership agreement for our operating partnership and Maryland law also contain other provisions that may delay, defer or prevent a transaction or a change of control that might involve a premium price for our common stock or otherwise be in the best interest of our stockholders.

 
16

 
Under their employment agreements, certain of our executive officers will have the right to terminate their employment and receive severance if there is a change of control. We have employment agreements with Jordan L. Kaplan, Kenneth M. Panzer, William Kamer and Theodore E. Guth, which provide that each executive may terminate his employment under certain conditions, including after a change of control, and receive severance based on two or three times (depending on the officer) his annual total of salary, bonus and incentive compensation such as LTIP units, options or outperformance grants. In addition, these executive officers would not be restricted from competing with us after their departure.

Our fiduciary duties as sole stockholder of the general partner of our operating partnership could create conflicts of interest. We, as the sole stockholder of the general partner of our operating partnership, have fiduciary duties to the other limited partners in our operating partnership, the discharge of which may conflict with the interests of our stockholders. The limited partners of our operating partnership have agreed that, in the event of a conflict in the fiduciary duties owed by us to our stockholders and, in our capacity as general partner of our operating partnership, to such limited partners, we are under no obligation to give priority to the interests of such limited partners. In addition, those persons holding operating partnership units will have the right to vote on certain amendments to the operating partnership agreement (which require approval by a majority in interest of the limited partners, including us) and individually to approve certain amendments that would adversely affect their rights. These voting rights may be exercised in a manner that conflicts with the interests of our stockholders. For example, we are unable to modify the rights of limited partners to receive distributions as set forth in the operating partnership agreement in a manner that adversely affects their rights without their consent, even though such modification might be in the best interest of our stockholders.

The loss of any member of our executive officers or certain other key senior personnel could significantly harm our business. Our ability to maintain our competitive position is dependent to a large degree on the efforts and skills of our executive officers, including Dan A. Emmett, Jordan L. Kaplan, Kenneth M. Panzer, William Kamer and Theodore E. Guth. If we lose the services of any member of our executive officers, our business may be significantly impaired. In addition, many of our executives have strong industry reputations, which aid us in identifying acquisition and borrowing opportunities, having such opportunities brought to us, and negotiating with tenants and sellers of properties. The loss of the services of these key personnel could materially and adversely affect our operations because of diminished relationships with lenders, existing and prospective tenants, property sellers and industry personnel.

If we fail to maintain an effective system of integrated internal control over financial reporting, we may not be able to accurately report our financial results. An effective system of internal control over financial reporting is necessary for us to provide reliable financial reports, prevent fraud and operate successfully as a public company. As part of our ongoing monitoring of internal controls, we may discover material weaknesses or significant deficiencies in our internal controls that we believe require remediation. If we discover such weaknesses, we will make efforts to improve our internal controls in a timely manner. Any system of internal controls, however well designed and operated, is based in part on certain assumptions and can only provide reasonable, not absolute, assurance that the objectives of the system are met. Any failure to maintain effective internal controls, or implement any necessary improvements in a timely manner, could have a material adverse effect on our business and operating results, or cause us to not meet our reporting obligations, which could affect our ability to remain listed with the New York Stock Exchange. Ineffective internal controls could also cause investors to lose confidence in our reported financial information, which would likely have a negative effect on the trading price of our securities.

Our board of directors may change significant corporate policies without stockholder approval. Our investment, financing, borrowing and dividend policies and our policies with respect to all other activities, including growth, debt, capitalization and operations, will be determined by our board of directors. These policies may be amended or revised at any time and from time to time at the discretion of the board of directors without a vote of our stockholders. In addition, the board of directors may change our policies with respect to conflicts of interest provided that such changes are consistent with applicable legal requirements. A change in these policies could have an adverse effect on the market price of our common stock, our financial condition, our results of operations and our cash flows, including our ability to satisfy our debt service obligations and to pay dividends to our stockholders.

Compensation awards to our management may not be tied to or correspond with our improved financial results or share price. The compensation committee of our board of directors is responsible for overseeing our compensation and employee benefit plans and practices, including our executive compensation plans and our incentive compensation and equity-based compensation plans. Our compensation committee has significant discretion in structuring compensation packages and may make compensation decisions based on any number of factors. As a result, compensation awards may not be tied to or correspond with improved financial results at our company or the share price of our common stock.

 
17

 
Tax Risks Related to Ownership of REIT Shares

Our failure to qualify as a REIT would result in higher taxes and reduce cash available for dividends. We currently operate and have operated commencing with our taxable year ended December 31, 2006 in a manner that is intended to allow us to qualify as a REIT for federal income tax purposes. Qualification as a REIT involves the application of highly technical and complex Internal Revenue Code provisions for which there are only limited judicial and administrative interpretations. The determination of various factual matters and circumstances not entirely within our control may affect our ability to qualify as a REIT. To qualify as a REIT, we must satisfy certain asset, income, organizational, distribution, stockholder ownership and other requirements on a continuing basis. For example, to qualify as a REIT, at least 95% of our gross income in any year must be derived from qualifying sources; at least 75% of the value of our total assets must be represented by certain real estate assets including shares of stock of other REITs, certain other stock or debt instruments purchased with the proceeds of a stock offering or long-term public debt offering by us (but only for the one-year period after such offering), cash, cash items and government securities; and we must make distributions to our stockholders aggregating annually at least 90% of our REIT taxable income, excluding capital gains. Our ability to satisfy the asset tests depends upon our analysis of the characterization and fair market values of our assets, some of which are not susceptible to a precise determination, and for which we may not obtain independent appraisals. Our compliance with the REIT income and quarterly asset requirements also depends upon our ability to successfully manage the composition of our income and assets on an ongoing basis. The fact that we hold most of our assets through the operating partnership further complicates the application of the REIT requirements. Even a technical or inadvertent mistake could jeopardize our REIT status.  In addition, legislation, new regulations, administrative interpretations or court decisions might significantly change the tax laws with respect to the requirements for qualification as a REIT or the federal income tax consequences of qualification as a REIT. Although we believe that we have been organized and have operated in a manner that is intended to allow us to qualify for taxation as a REIT, we can give no assurance that we have qualified or will continue to qualify as a REIT for tax purposes. We have not requested and do not plan to request a ruling from the IRS regarding our qualification as a REIT.

If we were to fail to qualify as a REIT in any taxable year, we would be subject to federal income tax, including any applicable alternative minimum tax, on our taxable income at regular corporate rates, and distributions to stockholders would not be deductible by us in computing our taxable income. Any such corporate tax liability could be substantial and would reduce the amount of cash available for distribution to our stockholders, which in turn could have an adverse impact on the value of, and trading prices for, our common stock. Unless entitled to relief under certain Internal Revenue Code provisions, we also would be disqualified from taxation as a REIT for the four taxable years following the year during which we ceased to qualify as a REIT. In addition, if we fail to qualify as a REIT, we will not be required to make distributions to stockholders, and all distributions to stockholders will be subject to tax as dividend income to the extent of our current and accumulated earnings and profits. As a result of all these factors, our failure to qualify as a REIT also could impair our ability to expand our business and raise capital, and would adversely affect the value of our common stock. If we fail to qualify as a REIT for federal income tax purposes and are able to avail ourselves of one or more of the relief provisions under the Internal Revenue Code in order to maintain our REIT status, we would nevertheless be required to pay penalty taxes of $50,000 or more for each such failure.

Our Funds each own properties through an entity which is intended to also qualify as a REIT, and the failure of those entities to so qualify could have similar impacts on us.

Even if we qualify as a REIT, we will be required to pay some taxes. Even if we qualify as a REIT for federal income tax purposes, we will be required to pay certain federal, state and local taxes on our income and property. For example, we will be subject to income tax to the extent we distribute less than 100% of our REIT taxable income (including capital gains). Moreover, if we have net income from “prohibited transactions,” that income will be subject to a 100% tax. In general, prohibited transactions are sales or other dispositions of property held primarily for sale to customers in the ordinary course of business.

The tax imposed on REITs engaging in “prohibited transactions” will limit our ability to engage in transactions which would be treated as sales for federal income tax purposes. A REIT’s net income from prohibited transactions is subject to a 100% tax. In general, prohibited transactions are sales or other dispositions of property, other than foreclosure property but including any property held in inventory primarily for sale to customers in the ordinary course of business. Although we do not intend to hold any properties that would be characterized as inventory held for sale to customers in the ordinary course of our business, such characterization is a factual determination and we cannot guarantee that the IRS would agree with our characterization of our properties.

 
18

 
In addition, any net taxable income earned directly by our taxable REIT subsidiaries, or through entities that are disregarded for federal income tax purposes as entities separate from our taxable REIT subsidiary, will be subject to federal and possibly state corporate income tax. We have elected to treat several subsidiaries as taxable REIT subsidiaries, and we may elect to treat other subsidiaries as taxable REIT subsidiaries in the future. In this regard, several provisions of the laws applicable to REITs and their subsidiaries ensure that a taxable REIT subsidiary will be subject to an appropriate level of federal income taxation. For example, a taxable REIT subsidiary is limited in its ability to deduct interest payments made to an affiliated REIT. In addition, the REIT has to pay a 100% tax on some payments that it receives or on some deductions taken by its taxable REIT subsidiaries if the economic arrangements between the REIT, the REIT’s tenants, and the taxable REIT subsidiary are not comparable to similar arrangements between unrelated parties. Finally, some state and local jurisdictions may tax some of our income even though as a REIT we are not subject to federal income tax on that income because not all states and localities treat REITs the same as they are treated for federal income tax purposes. To the extent that we and our affiliates are required to pay federal, state and local taxes, we will have less cash available for distributions to our stockholders.

REIT distribution requirements could adversely affect our liquidity. We generally must distribute annually at least 90% of our REIT taxable income, excluding any net capital gain, in order to qualify as a REIT. To the extent that we do not distribute all of our net long-term capital gain or distribute at least 90% of our REIT taxable income, we will be required to pay tax thereon at regular corporate tax rates. We intend to make distributions to our stockholders to comply with the requirements of the Internal Revenue Code for REITs and to minimize or eliminate our corporate income tax obligation. However, differences between the recognition of taxable income and the actual receipt of cash could require us to sell assets or borrow funds on a short-term or long-term basis to meet the distribution requirements of the Internal Revenue Code. Certain types of assets generate substantial mismatches between taxable income and available cash. Such assets include rental real estate that has been financed through financing structures which require some or all of available cash flows to be used to service borrowings. As a result, the requirement to distribute a substantial portion of our taxable income could cause us to sell assets in adverse market conditions, borrow on unfavorable terms, or distribute amounts that would otherwise be invested in future acquisitions, capital expenditures or repayment of debt in order to comply with REIT requirements. Further, amounts distributed will not be available to fund our operations.

Item 1B. Unresolved Staff Comments
None


 
  19

 

Item 2. Properties
Our total portfolio of 67 properties consists of 50 office properties that we directly own and operate, 8 office properties that we operate and indirectly own through our equity interest in our unconsolidated Funds, and 9 wholly-owned multifamily properties. Our properties are located in the Brentwood, Olympic Corridor, Century City, Beverly Hills, Santa Monica, Westwood, Sherman Oaks/Encino, Warner Center/Woodland Hills and Burbank submarkets of Los Angeles County, California, and in Honolulu, Hawaii.

Office Portfolio
Presented below is an overview of certain information regarding our total office portfolio as of December 31, 2011:


Office Portfolio by Submarket (1)
 
Number of Properties
  
Rentable Square
Feet (2)
  
Square Feet as a Percent of Total
  
Beverly Hills
  7   1,416,762   9.6 % 
Brentwood
  14   1,700,882   11.6  
Burbank
  1   420,949   2.9  
Century City
  3   916,059   6.2  
Honolulu
  4   1,716,697   11.7  
Olympic Corridor
  5   1,098,068   7.5  
Santa Monica
  8   970,704   6.6  
Sherman Oaks/Encino
  11   3,181,172   21.7  
Warner Center/Woodland Hills
  3   2,855,877   19.5  
Westwood
  2   396,807   2.7  
Total
  58   14,673,977   100.0 % 


 (1)
All properties are 100% owned except 8 properties totaling 1.8 million square feet owned by our Funds and a 79,000 square foot property owned by a consolidated joint venture in which we own a 66.7% interest.
(2)
Based on Building Owners and Managers Association (BOMA) 1996 remeasurement. Total consists of 12,917,612 leased square feet (includes 268,230 square feet with respect to signed leases not commenced), 1,567,805 available square feet, 99,834 building management use square feet, and 88,726 square feet of BOMA 1996 adjustment on leased space.
   


 
20 

 

The following table presents our total office portfolio occupancy and in-place rents as of December 31, 2011:


Office Portfolio by Submarket (1)
 
Percent Leased(2)
  
Annualized Rent(3)
  
Annualized Rent Per Leased Square Foot (4)
  
Beverly Hills
  90.1 % $50,395,015  $42.18  
Brentwood
  86.5   55,771,077   39.34  
Burbank
  100.0   14,243,935   33.84  
Century City
  94.8   32,044,730   37.43  
Honolulu
  89.2   47,547,653   32.67  
Olympic Corridor
  90.1   31,628,050   33.04  
Santa Monica (5)
  97.8   50,025,230   53.91  
Sherman Oaks/Encino
  92.2   91,361,197   32.23  
Warner Center/Woodland Hills
  81.2   66,553,818   29.62  
Westwood
  87.7   12,637,837   37.46  
Total / Weighted Average
  89.3  $452,208,542   35.75  


(1)
All properties are 100% owned except 8 properties totaling 1.8 million square feet owned by our Funds and a 79,000 square foot property owned by a consolidated joint venture in which we own a 66.7% interest.
(2)
Includes 268,230 square feet with respect to signed leases not yet commenced.
(3)
Represents annualized monthly cash base rent (i.e., excludes tenant reimbursements, parking and other revenue) before abatements under leases commenced as of December 31, 2011 (does not include 268,230 square feet with respect to signed leases not yet commenced). For our triple net Burbank and Honolulu office properties, annualized rent is calculated by adding expense reimbursements to base rent.
(4)
Represents annualized rent divided by leased square feet (excluding 268,230 square feet with respect to signed leases not commenced as set forth in note (2) above for the total).
(5)
Includes $1,332,386 of annualized rent attributable to our corporate headquarters at our Lincoln/Wilshire property.


 
21 

 


The following table presents the submarket concentration for our total office portfolio as of December 31, 2011:



            
   
Douglas Emmett
  
Submarket
     
   
Rentable
  
Rentable
  
Douglas Emmett
  
Office Portfolio by Submarket (1)
 
Square Feet
  
Square Feet
  
Market Share
  
Beverly Hills
  1,416,762   7,709,880   18.4 % 
Brentwood
  1,700,882   3,356,126   50.7  
Burbank
  420,949   6,662,410   6.3  
Century City
  916,059   10,064,599   9.1  
Honolulu (2)
  1,637,712   5,128,779   31.9  
Olympic Corridor
  1,098,068   3,022,969   36.3  
Santa Monica
  970,704   8,700,348   11.2  
Sherman Oaks/Encino
  3,181,172   6,171,530   51.5  
Warner Center/Woodland Hills
  2,855,877   7,239,293   39.4  
Westwood
  396,807   4,443,398   8.9  
Total (2)
  14,594,992   62,499,332   23.4  
 
 
(1)
All properties are 100% owned except 8 properties totaling 1.8 million square feet owned by our Funds.
(2)
In addition, a joint venture in which we hold a 66.7% interest owns a 79,000 square foot building in the Kapiolani District of Honolulu.


 
22 

 

 
Tenant Diversification
Our total office portfolio is currently leased to approximately 2,200 tenants in a variety of industries, including entertainment, real estate, technology, legal and financial services. The following table sets forth information regarding tenants with 1.0% or more of annualized rent in our total office portfolio as of December 31, 2011:


Office Portfolio by Tenant (1)
 
Number of Leases
  
Number of Properties
  
Lease Expiration(2)
  
Total Leased Square Feet
  
Percent of Rentable Square Feet
  
Annualized Rent(3)
  
Percent of Annualized Rent
  
                        
Time Warner(4)
  4   4   2013-2020   625,748   4.3%   $21,175,355   4.7%  
William Morris Endeavor(5)
  2   1   2027   148,071   1.0   7,268,763   1.6  
AIG (Sun America Life Insurance)
  1   1   2013   182,010   1.2   6,052,536   1.3  
Bank of America(6)
  12   9   2012-2018   132,508   0.9   5,616,527   1.2  
The Macerich Partnership, L.P.
  1   1   2018   90,832   0.6   4,579,778   1.0  
Total
  20   16       1,179,169   8.0  $44,692,959   9.9  


(1)
All properties are 100% owned except 8 properties totaling 1.8 million square feet owned by our Funds and a 79,000 square foot property owned by a consolidated joint venture in which we own a 66.7% interest .
(2)
Expiration dates are per leases and do not assume exercise of renewal, extension or termination options. For tenants with multiple leases, other than storage, ATM and similar leases, expirations are shown as a range.
(3)
Represents annualized monthly cash base rent (i.e. excludes tenant reimbursements, parking and other revenue) before abatements under leases commenced as of December 31, 2011 (excluding 268,230 square feet with respect to signed leases not yet commenced at December 31, 2011). For our triple net Burbank and Honolulu office properties, annualized rent is calculated by adding expense reimbursements to base rent.
(4)
Includes a 10,000 square foot lease expiring in October 2013, a 150,000 square foot lease expiring in April 2016, a 421,000 square foot lease expiring in September 2019 and a 45,000 square foot lease expiring in December 2020.
(5)
Includes a 146,000 square foot lease expiring in June 2027 and a 2,000 square foot month-to-month storage lease. Does not include an additional 24,000 square feet under leases that commence in 2012 and 2013, expiring in 2027.
(6)
Includes a 21,000 square foot lease expiring in September 2012, an 8,000 square foot lease expiring in July 2013, a 7,000 square foot lease expiring in March 2014, a 9,000 square foot lease expiring in September 2014, an 11,000 square foot lease expiring in October 2014, an 11,000 square foot lease expiring in November 2014, a 4,000 square foot lease expiring in February 2015, a 21,000 square foot lease expiring in February 2015, a 6,000 square foot lease expiring in May 2015, a 23,000 square foot lease expiring in December 2015, a 12,000 square foot lease expiring in March 2018 and a small ATM lease.

 
23 

 

Industry Diversification
The following table sets forth information relating to tenant diversification by industry in our total office portfolio based on annualized rent as of December 31, 2011:

Industry
 
Number of Leases (1)
 
Annualized Rent as a Percent of Total
 
Legal
   
461
     
18.3
%
 
Financial Services
   
295
     
14.3
   
Entertainment
   
141
     
12.4
   
Real Estate
   
173
     
9.7
   
Accounting & Consulting
   
282
     
8.8
   
Health Services
   
313
     
8.1
   
Insurance
   
103
     
7.8
   
Retail
   
188
     
7.0
   
Technology
   
100
     
4.4
   
Advertising
   
67
     
3.1
   
Public Administration
   
65
     
2.5
   
Educational Services
   
21
     
1.4
   
Other
   
91
     
2.2
   
Total
   
2,300
     
100.0
%
 



(1)
All properties are 100% owned except 8 properties totaling 1.8 million square feet owned by our Funds and a 79,000 square foot property owned by a consolidated joint venture in which we own a 66.7% interest.

 
24 

 

Lease Distribution
The following table sets forth information relating to the distribution of leases in our total office portfolio, based on rentable square feet leased as of December 31, 2011:



Square Feet Under Lease
  
Number of Leases
  
Leases as a Percent of Total
  
Rentable Square Feet (1)
  
Square Feet as a Percent of Total
  
Annualized Rent(2)(3)
  
Annualized Rent as a Percent of Total
  
2,500 or less
   1,193   51.9 %  1,605,114   10.9 % $57,573,571   12.7 % 
2,501-10,000   801   34.8   3,853,119   26.3   136,820,200   30.2  
10,001-20,000   202   8.8   2,791,001   19.0   101,570,915   22.5  
20,001-40,000   80   3.5   2,177,908   14.8   76,010,365   16.8  
40,001-100,000   19   0.8   1,197,708   8.2   44,651,958   9.9  
Greater than 100,000
   5   0.2   1,024,532   7.0   35,581,533   7.9  
Subtotal
   2,300   100.0 %  12,649,382   86.2 % $452,208,542   100.0 % 
Signed leases not commenced
           268,230   1.8          
Available
           1,567,805   10.7          
Building Management Use
           99,834   0.7          
BOMA Adjustment(5)
           88,726   0.6          
Total
   2,300   100.0 %  14,673,977   100.0 % $452,208,542   100.0 % 

(1)
Based on Building Owners and Managers Association (BOMA) 1996 remeasurement.
(2)
Represents annualized monthly cash base rent (i.e. excludes tenant reimbursements, parking and other revenue) before abatements under leases commenced as of December 31, 2011 (excluding 268,230 square feet with respect to signed leases not yet commenced at December 31, 2011). For our triple net Burbank and Honolulu office properties, annualized rent is calculated by adding expense reimbursements to base rent.
(3)
All properties are 100% owned except 8 properties totaling 1.8 million square feet owned by our Funds and a 79,000 square foot property owned by a consolidated joint venture in which we own a 66.7% interest.
(4)
Average tenant size is approximately 5,500 square feet. Median is approximately 2,400 square feet.
(5)
Represents square footage adjustments for leases that do not reflect BOMA 1996 remeasurement.


 
25 

 

Lease Expirations
The following table sets forth a summary schedule of lease expirations for leases in place as of December 31, 2011, plus available space, for each of the ten years beginning January 1, 2012 and thereafter in our total office portfolio (unless otherwise stated in the footnotes, the information set forth in the table assumes that tenants exercise no renewal options and no early termination rights):


                     
Annualized
  
                     
Rent Per
  
         
Expiring
     
Annualized
  
Annualized
  
Leased
  
   
Number of
  
Rentable
  
Sqaure Feet
     
Rent as a
  
Rent Per
  
Square
  
   
Leases
  
Square
  
as a Percent
  
Annualized
  
Percent
  
Leased Square
  
Foot at
  
Year of Lease Expiration
 
Expiring
  
Feet (1)
  
of Total
  
Rent (2)(3)
  
of Total
  
Foot (4)
  
Expiration (5)
  
2012
  501   1,647,705   11.2 % $59,800,082   13.2 % $36.29  $36.38  
2013
  438   1,907,401   13.0   74,440,004   16.5   39.03   40.38  
2014
  391   1,877,973   12.8   66,255,072   14.6   35.28   37.63  
2015
  291   1,642,223   11.2   55,636,860   12.3   33.88   36.95  
2016
  294   1,718,872   11.7   57,000,805   12.6   33.16   36.82  
2017
  177   1,198,025   8.2   40,590,293   9.0   33.88   37.82  
2018
  76   659,465   4.5   26,722,900   5.9   40.52   47.80  
2019
  42   825,277   5.6   28,772,317   6.4   34.86   42.18  
2020
  44   424,186   2.9   14,397,572   3.2   33.94   42.82  
2021
  33   372,619   2.5   12,590,915   2.8   33.79   41.14  
Thereafter
  13   375,636   2.6   16,001,722   3.5   42.60   58.67  
Subtotal
  2,300   12,649,382   86.2 % $452,208,542   100.0 %  35.75   39.43  
Signed leases not commenced
      268,230   1.8   -              
Available
      1,567,805   10.7   -              
Building management use
      99,834   0.7   -              
BOMA adjustment (6)
      88,726   0.6   -              
Total/Weighted Average
  2,300   14,673,977   100.0 % $452,208,542   100.0 % $35.75  $39.43  


(1)
Based on Building Owners and Managers Association (BOMA) 1996 remeasurement.
(2)
Represents annualized monthly cash base rent (i.e. excludes tenant reimbursements, parking and other revenue) before abatements under leases commenced as of December 31, 2011 (excluding 268,230 square feet with respect to signed leases not yet commenced at December 31, 2011). For our triple net Burbank and Honolulu office properties, annualized rent is calculated by adding expense reimbursements to base rent.
(3)
All properties are 100% owned except 8 properties totaling 1.8 million square feet owned by our Funds and a 79,000 square foot property owned by a consolidated joint venture in which we own a 66.7% interest.
(4)
Represents annualized base rent divided by leased square feet.
(5)
Represents annualized base rent at expiration divided by leased square feet.
(6)
Represents the square footage adjustments for leases that do not reflect BOMA 1996 remeasurement.


 
 26

 

Multifamily Portfolio
The following table presents an overview of our wholly-owned multifamily portfolio, including occupancy and in-place rents, as of December 31, 2011:


         
Unit as a
  
   
Number of
  
Number of
  
Percent
  
Submarket
 
Properties
  
Units
  
of Total
  
Brentwood
  5   950   33% 
Honolulu
  2   1,098   38  
Santa Monica
  2   820   29  
Total
  9   2,868   100% 


         
Monthly
  
   
Percent
  
Annualized
  
Rent per
  
Submarket
 
Leased
  
Rent (1)
  
Lease Unit
  
Brentwood
  99.3 % $22,988,516  $2,032  
Honolulu
  99.9   18,796,140   1,428  
Santa Monica(2)
  99.6   22,197,936   2,264  
Total / Weighted Average
  99.6  $63,982,592   1,866  

(1)   Represents annualized monthly multifamily rental income under leases commenced as of December 31, 2011.
(2)   Excludes 8,013 square feet of ancillary retail space, which generates $221,971 of annualized rent as of December 31, 2011.

 
 27

 

Historical Tenant Improvements and Leasing Commissions
The following table sets forth certain historical information regarding tenant improvement and leasing commission costs for tenants at the properties in our total office portfolio (including properties owned by our Funds) through December 31, 2011:

   
Year Ended December 31,
  
   
2011
  
2010
  
2009
  
Renewals (1)
          
Number of leases
  427   406   324  
Square feet
  1,916,602   1,808,739   1,516,453  
Tenant improvement costs per square foot (2)(3)
 $9.51  $10.66  $7.14  
Leasing commission costs per square foot (2)
 $5.72  $6.29  $6.53  
Total tenant improvement and leasing commission costs (2)
 $15.23  $16.95  $13.67  
               
New leases (4)
             
Number of leases
  322   275   223  
Square feet
  1,004,811   897,196   654,558  
Tenant improvement costs per square foot (2)(3)
 $19.37  $18.43  $15.21  
Leasing commission costs per square foot (2)
 $7.22  $7.61  $8.65  
Total tenant improvement and leasing commission costs (2)
 $26.59  $26.04  $23.86  
               
Total
             
Number of leases
  749   681   547  
Square feet
  2,921,413   2,705,935   2,171,011  
Tenant improvement costs per square foot (2)(3)
 $12.90  $13.23  $9.57  
Leasing commission costs per square foot (2)
 $6.24  $6.73  $7.17  
Total tenant improvement and leasing commission costs (2)
 $19.14  $19.96  $16.74  


(1)
Includes retained tenants that have relocated or expanded into new space within our portfolio.
(2)
Assumes all tenant improvement and leasing commissions are paid in the calendar year in which the lease is executed, which may be different than the year in which they were actually paid.
(3)
Tenant improvement costs are based on negotiated tenant improvement allowances set forth in leases, or, for any lease in which a tenant improvement allowance was not specified, the aggregate cost originally budgeted, at the time the lease commenced.
(4)
Excludes retained tenants that have relocated or expanded into new space within our portfolio.


 
28 

 

Historical Capital Expenditures
The following table sets forth certain information regarding historical recurring capital expenditures at the properties in our total office portfolio through December 31, 2011:


   
Year Ended December 31,
  
Office
 
2011
  
2010
  
2009
  
Recurring capital expenditures
 $2,746,628  $2,854,605  $2,709,654  
Total square feet (1)
  11,892,726   11,891,541   11,810,724  
Recurring capital expenditures per square foot
 $0.23  $0.24  $0.23  


(1)
Excludes square footage attributable to acquired properties with only non-recurring capital expenditures in the respective period.

The following table sets forth certain information regarding historical recurring capital expenditures at the properties in our multifamily portfolio through December 31, 2011:

   
Year Ended December 31,
  
Multifamily
 
2011
  
2010
  
2009
  
Recurring capital expenditures
 $1,440,962  $1,124,886  $1,118,460  
Total units
  2,868   2,868   2,868  
Recurring capital expenditures per unit
 $502  $392  $390  



Our multifamily portfolio contains a large number of units that, due to Santa Monica rent control laws, have had only insignificant rent increases since 1979. Historically, when a tenant has vacated one of these units, we have spent between $24,000 and $40,000 per unit, depending on apartment size, to bring the unit up to our standards. We have characterized these expenditures as non-recurring capital expenditures. Our make-ready costs associated with the turnover of our other units are included in recurring capital expenditures.

Item 3. Legal Proceedings
From time to time, we are party to various lawsuits, claims and other legal proceedings that arise in the ordinary course of our business. Excluding ordinary, routine litigation incidental to our business, we are not currently a party to any legal proceedings that we believe would reasonably be expected to have a material adverse effect on our business, financial condition or results of operations.

Item 4. Reserved

 
29 

 

PART II
Item 5. Market for Registrant’s Common Equity, Related Stockholder Matters and Issuer Purchases of Equity Securities

Market for Common Stock; Dividends
Our common stock is traded on the New York Stock Exchange under the symbol “DEI”. On February 15, 2012, the reported closing sale price per share of our common stock on the New York Stock Exchange was $20.90. The following table shows our dividends, and the high and low sales prices for our common stock as reported by the New York Stock Exchange, for the periods indicated:


   
First Quarter
  
Second Quarter
  
Third Quarter
  
Fourth Quarter
  
2011
             
Dividend
 $0.10  $0.13  $0.13  $0.13  
Common Stock Price
                 
High
 $19.25  $21.05  $20.80  $19.70  
Low
 $16.86  $18.73  $15.54  $15.92  
                   
2010
                 
Dividend
 $0.10  $0.10  $0.10  $0.10  
Common Stock Price
                 
High
 $16.07  $17.75  $17.69  $18.56  
Low
 $13.00  $14.22  $13.27  $15.87  


Holders of Record
We had 18 holders of record of our common stock on February 15, 2012. Certain of our shares are held in “street” name and accordingly, the number of beneficial owners of such shares is not known or included in the foregoing number.

Dividend Policy
We typically pay dividends to common stockholders quarterly at the discretion of the Board of Directors. Dividend amounts depend on our available cash flows, financial condition and capital requirements, the annual distribution requirements under the REIT provisions of the Internal Revenue Code and such other factors as the Board of Directors deems relevant.

Sales of Unregistered Securities
None

Repurchases of Equity Securities
None



 
  30

 

Performance Graph
The information below shall not be deemed to be “soliciting material” or to be “filed” with the U.S. Securities and Exchange Commission or subject to Regulation 14A or 14C, other than as provided in Item 201 of Regulation S-K , or to the liabilities of Section 18 of the Exchange Act, except to the extent we specifically request that such information be treated as soliciting material or specifically incorporate it by reference into a filing under the Securities Act or the Exchange Act.

The following graph compares the cumulative total stockholder return on the common stock of Douglas Emmett, Inc. from December 31, 2006 to December 31, 2011 with the cumulative total return of the Standard & Poor’s 500 Index and an appropriate “peer group” index (assuming the investment of $100 in our common stock and in each of the indexes on December 31, 2006 and that all dividends were reinvested into additional shares of common stock at the frequency with which dividends are paid on the common stock during the applicable fiscal year). The total return performance shown in this graph is not necessarily indicative of and is not intended to suggest future total return performance.

2011 PERFORMANCE GRAPH
Source: SNL Financial LC
 
31

 

Item 6. Selected Financial Data
The following table sets forth summary financial and operating data as of, and for the years ended, December 31, 2011, 2010, 2009, 2008 and 2007. You should read the following summary financial and operating data in conjunction with “Management’s Discussion and Analysis of Financial Condition and Results of Operations”, and the financial statements included elsewhere in this Report.

   
Year Ending December 31,
  
   
2011
  
2010
  
2009
  
2008
  
2007
  
Statement of Operations Data (in thousands):
                
Total office revenues
 $505,077  $502,700  $502,767  $537,377  $468,569  
Total multifamily revenues
  70,260   68,144   68,293   70,717   71,059  
Total revenues
  575,337   570,844   571,060   608,094   539,628  
Operating income
  152,474   140,027   148,358   154,234   141,232  
Income (Loss) attributable to common stockholders
  1,451   (26,423)  (27,064)  (27,993)  (13,008) 
                       
Per Share Data:
                     
Income (Loss) per share - basic and diluted
 $0.01  $(0.22) $(0.22) $(0.23) $(0.12) 
Weighted average common shares outstanding (in thousands):
                     
Basic
  126,187   122,715   121,553   120,726   112,646  
Diluted
  159,966   122,715   121,553   120,726   112,646  
Dividends declared per common share
 $0.49  $0.40  $0.40  $0.75  $0.70  
                       
   
As of December 31,
  
    2011   2010   2009   2008   2007  
Balance Sheet Data (in thousands):
                     
Total assets
 $6,231,602  $6,279,289  $6,059,932  $6,761,034  $6,189,968  
Secured notes payable
  3,624,156   3,668,133   3,273,459   3,692,785   3,105,677  
Other Data:
                     
Number of consolidated properties (1)
  59   59   58   64   57  

 (1)
Includes (i) 57 properties that are 100% owned by our operating partnership, (ii) commencing with 2008, 1 property owned by a consolidated joint venture in which we held a 66.7% interest, (iii) in 2008 only, 6 properties owned by one of our Funds which was consolidated in that year, and (iv) 1 property acquired in 2010 that is 100% owned by our operating partnership.



 
32 

 


Item 7. Management’s Discussion and Analysis of Financial Condition and Results of Operations
Forward Looking Statements

This Management’s Discussion and Analysis of Financial Condition and Results of Operations includes many forward-looking statements. For cautions about relying on such forward-looking statements, please refer to the section entitled “Forward Looking Statements” at the beginning of this Report immediately prior to “Item 1”.

Executive Summary
Through our interest in Douglas Emmett Properties, LP (our operating partnership) and its subsidiaries, including our investments in unconsolidated Funds, we own or partially own, manage, lease, acquire and develop real estate, consisting primarily of office and multifamily properties. As of December 31, 2011, our consolidated portfolio of properties included 50 Class A office properties (including ancillary retail space) totaling approximately 12.9 million rentable square feet and 9 multifamily properties containing 2,868  apartment units, as well as the fee interests in 2 parcels of land subject to ground leases. Our total office portfolio consisted of 58 office properties with approximately 14.7 million rentable square feet, which includes our consolidated office properties and the 8 Class A office properties owned by the Funds we manage, and in which we invested an average of 35% of the total capital. As of December 31, 2011, our consolidated office portfolio was 90.0% leased and 88.4% occupied, our total office portfolio (including properties owned by our Funds and our operating partnership) was 89.3% leased and 87.5% occupied, and our multifamily properties were 99.6% leased and 98.4% occupied. At December 31, 2011, the annualized rent of our consolidated portfolio reflected approximately 86.3% from our office properties and the remaining 13.7% from our multifamily properties. Our properties are located in 9 premier Los Angeles County submarkets—Brentwood, Olympic Corridor, Century City, Santa Monica, Beverly Hills, Westwood, Sherman Oaks/Encino, Warner Center/Woodland Hills and Burbank—as well as in Honolulu, Hawaii. At December 31, 2011, the annualized rent of our consolidated portfolio reflected approximately 85.8% from our Los Angeles County office and multifamily properties and the remaining 14.2% from our Honolulu, Hawaii office and multifamily properties.

Recent Year Acquisitions, Dispositions, Repositionings and Financings

Financings

·  
In January 2011, we modified and extended the maturity of our $18.0 million loan that was scheduled to mature on March 1, 2011. The modified loan has an outstanding balance of $16.1 million, bears interest at a floating rate equal to one-month LIBOR plus 185 basis points and matures on March 3, 2014.
 
·  
In February 2011, we obtained a secured, non-recourse $350.0 million term loan. This loan has a maturity date of March 1, 2020, including 2 one-year extension options. The loan bears interest at a fixed interest rate of 4.46% until March 1, 2018. The loan proceeds were primarily used to repay a term loan that was scheduled to mature in 2012.
 
·  
In March 2011, we obtained a secured, non-recourse $510.0 million term loan. This loan has a maturity date of April 2, 2018, with an annual interest rate effectively fixed at 4.12% until April 1, 2016. The loan proceeds were used in the repayment of a term loan that was scheduled to mature in 2012.
 
·  
In July 2011, we obtained 2 additional secured, non-recourse term loans totaling $885.0 million. The first loan, for $355.0 million, bears interest at a fixed rate of 4.14% through its maturity date of August 5, 2018. The second loan, for $530.0 million, matures August 1, 2018, and has an annual interest rate effectively fixed at 3.74% until August 1, 2016. The proceeds of these loans were used in the repayment of term loans that were scheduled to mature in 2012.
 
·  
During 2011, we sold 6.2 million shares of our common stock for aggregate gross proceeds of $119.8 million pursuant to a $250 million “At the Market” (ATM) program. Subsequent to year end, in January 2012, we completed our ATM program by selling an additional 6.9 million shares of our common stock for aggregate gross proceeds of $130.2 million.
 
·  
Subsequent to year end, in January 2012, we obtained a secured, non-recourse $155.0 million term loan. The loan bears interest at a fixed interest rate of 4.00% through its maturity date of February 1, 2019. Monthly interest payments are interest-only until February 2015, with principal amortization thereafter based upon a 30-year amortization table.
 
·  
Subsequent to year end, in January and February 2012, we repaid all of our remaining 2012 debt maturities from the proceeds of our new $155.0 million loan and our ATM program, as well as cash on hand.
 

 
33

 

Acquisitions: In April 2011, one of our Funds acquired a Class A office building located on Rodeo Drive in Beverly Hills for a contract price of $42.0 million. We did not make any property acquisitions in our consolidated portfolio during 2011.

Dispositions: During 2011, we had no property dispositions.

Repositionings: We generally select a property for repositioning at the time we purchase it. We often strategically purchase properties with large vacancies or expected near-term lease roll-over and use our knowledge of the property and submarket to determine the optimal use and tenant mix. A repositioning can consist of a range of improvements to a property. A repositioning may involve a complete structural renovation of a building to significantly upgrade the character of the property, or it may involve targeted remodeling of common areas and tenant spaces to make the property more attractive to certain identified tenants. Each repositioning effort is unique and determined based on the property, tenants and overall trends in the general market and specific submarket. Accordingly, the results are varying degrees of depressed rental revenue and occupancy levels for the affected property, which impacts our results and, therefore, comparisons of our performance from period to period. The repositioning process generally occurs over the course of months or even years. Although usually associated with newly-acquired properties, repositioning efforts can also occur at properties we already own, therefore repositioning properties discussed in the context of this paragraph exclude acquisition properties where the plan for improvement is implemented as part of the acquisition. During 2011, we had no properties that qualify as repositioning properties.

Rental rate trends

Office Rental Rates: The following table sets forth the average effective annual rental rate per leased square foot and the annualized lease transaction costs for leases executed in our total office portfolio during the specified periods:


   
Twelve Months Ended December 31,
  
Historical straight-line rents: (1)
 
2011
  
2010
  
2009
  
2008
  
2007
  
Average rental rate (2)
 $32.76  $32.33  $35.11  $41.90  $43.37  
Annualized lease transaction costs (3)
 $3.64  $3.68  $3.33  $3.23  $3.62  


(1)
Because straight-line rent takes into account the full economic value of each lease, including accommodations and rent escalations, we believe that it may provide a better comparison than ending cash rents, which include the impact of the annual escalations over the entire term of the terminating lease.  However, care should be taken in any comparison, as the averages can be affected in each period by factors such as buildings, types of space and term involved in the leases executed during the period.
(2)
Represents the weighted average straight-line annualized base rent (i.e., excludes tenant reimbursements, parking and other revenue) per leased square foot for leases entered into within our total office portfolio. For our triple net Burbank and Honolulu office properties, annualized rent is calculated by adding expense reimbursements to base rent
(3)
Represents the weighted average leasing commissions and tenant improvement allowances under all office leases within our total office portfolio that were entered into during the applicable period, divided by the number of years of the lease.

Office rental rates in our markets generally peaked in 2007 and early 2008, so that rental rates on new leases since that period have generally been less than the rental rates on the expiring leases for the same space.  During the fourth quarter of 2011, the average straight-line rent under new and renewal leases we signed was 4.9% higher than the average straight-line rent under the expiring leases for the same space. However, net changes in our office rental rates have not had a significant impact on our revenues in recent periods, as the negative effect of rent roll downs, which affect approximately 11% to 14% of our office portfolio each year, have been offset by the positive impact of the annual 3% to 5% rent escalations contained in virtually all of our continuing in-place office leases.

 
34

 
Over the next four quarters, we expect to see expiring cash rents as set forth in the following table:

   
Three Months Ended
  
Expiring cash rents:
 
March 31,
2012
  
June 30,
2012
  
September 30,
2012
  
December 31,
2012
  
Expiring square feet (1)
  379,890   298,846   369,529   599,440  
Expiring rent per square foot (2)
 $35.17  $35.65  $38.62  $36.14  


(1)
Includes scheduled expirations for our total office portfolio, including our consolidated portfolio of 50 properties as well as 8 properties totaling 1.8 million square feet owned by our Funds. Expiring square footage reflects all existing leases that are scheduled to expire in the respective quarter shown above, excluding the square footage under leases where the existing tenant has renewed the lease prior to December 31, 2011. These numbers (i) include leases for space where someone other than the existing tenant (for example, a subtenant) had executed a lease for the space prior to December 31, 2011 but that had not commenced as of that date but (ii) do not include exercises of early termination options (unless exercised prior to December 31, 2011) or defaults occurring after December 31, 2011. All month-to-month tenants are included in the expiring leases in the first quarter listed.
(2)
Represents annualized base rent (i.e., excludes tenant reimbursements, parking and other revenue) per leased square foot at expiration. The amount reflects total cash base rent before abatements. For our Burbank and Honolulu office properties, we calculate annualized base rent for triple net leases by adding expense reimbursements to base rent. Expiring rent per square foot on a quarterly basis is impacted by a number of variables, including variations in the submarkets or buildings involved.

Multifamily Rental Rates: With respect to our residential properties, our average rent on leases to new tenants during the fourth quarter of 2011 was 4.2% higher than the rent for the same unit at the time it became vacant. The following table sets forth the average effective annual rental rate per leased unit for leases executed in our residential portfolio during the specified periods:


   
Twelve Months Ended December 31,
  
   
2011
  
2010
  
2009
  
2008
  
2007
  
Rental rate
 $24,502  $22,497  $22,776  $23,427  $23,837  


Results of Operations and Basis of Presentation
The accompanying consolidated financial statements as of December 31, 2011 and 2010 and for the three years ended December 31, 2011, 2010 and 2009 are the consolidated financial statements of Douglas Emmett, Inc. and our subsidiaries including our operating partnership. All significant intercompany balances and transactions have been eliminated in our consolidated financial statements. The comparability of our results of operations between 2011, 2010 and 2009 is affected by (i) the acquisitions of 1 office property we acquired during the second quarter of 2010, 1 property acquired during the fourth quarter of 2010 by one of our Funds and 1 property acquired during the second quarter of 2011 by one of our Funds and (ii) the deconsolidation of one of our Funds, which owned 6 properties, at the end of February 2009, as described in Note 3 to the consolidated financial statements in Item 8 of this Report. Beginning in February 2009, we have accounted for our interest in our Funds under the equity method.

Funds From Operations

Many investors use Funds From Operations, or FFO, as a performance yardstick to compare our operating performance with that of other REITs. FFO represents net income (loss), computed in accordance with GAAP, excluding gains (or losses) from sales of depreciable operating property, other-than-temporary impairments of investments, real estate depreciation and amortization (other than amortization of deferred financing costs) and after adjustments for unconsolidated partnerships and joint ventures. We calculate FFO in accordance with the standards established by the National Association of Real Estate Investment Trusts (NAREIT), although doing so may still involve some judgments (for example, amortization of the impact of swap terminations).

Like any metric, FFO is not perfect as a measure of our performance because it excludes depreciation and amortization and captures neither the changes in the value of our properties that result from use or market conditions nor the level of capital expenditures and leasing commissions necessary to maintain the operating performance of our properties, all of which have real economic effect and could materially impact our results from operations. Other equity REITs may not calculate FFO in accordance with the NAREIT definition and, accordingly, our FFO may not be comparable to those other REITs’ FFO. Accordingly, FFO should be considered only as a supplement to net income as a measure of our performance. FFO should not be used as a measure of our liquidity, nor is it indicative of funds available to fund our cash needs, including our ability to pay dividends. FFO should not be used as a supplement to or substitute measure for cash flow from operating activities computed in accordance with GAAP.


 
35

 
For the reasons described below, our FFO for 2011 increased by $26.8 million, or 13.8%, to $221.2 million compared to $194.4 million for 2010. The following table (in thousands) sets forth a reconciliation of our FFO to net income (loss) computed in accordance with GAAP:
 
   
Year ended December 31,
  
   
2011
  
2010
  
2009
  
Funds From Operations (FFO)
          
Net income (loss) attributable to common stockholders
 $1,451  $(26,423) $(27,064) 
Depreciation and amortization of real estate assets
  205,696   225,030   226,620  
Net income (loss) attributable to noncontrolling interests
  807   (6,533)  (7,093) 
Gain on disposition of interest in unconsolidated real estate fund
  -   -   (5,573) 
Swap termination fee
  (10,120)  (13,931)  -  
Amortization of swap termination fee (1)
  11,701   3,495   -  
Less: adjustments attributable to consolidated joint venture and
             
       unconsolidated investment in real estate funds
  11,675   12,716   11,183  
FFO
 $221,210  $194,354  $198,073  
 
 
(1)  
We terminated certain interest rate swaps in November 2010 and December 2011 by paying an amount based on the projected payments due under the swap.  For FFO purposes, we recognize the full impact of the termination in the quarter in which the swap is terminated.  In contrast, under GAAP, we amortize the impact over the remaining life of the swap.  With respect to the swaps terminated in November 2010, GAAP net income for the fourth quarter and full year of 2010 was reduced by only $3.5 million, while FFO in both periods was reduced by an additional $10.4 million to reflect the full impact of terminating those swaps.  As that additional $10.4 million of non cash interest expense was amortized for GAAP purposes during the first 7 months of 2011, we offset that amortization by an equivalent amount in calculating FFO for each period.  As a result, the November 2010 swap termination had a net zero impact on 2011 FFO.  Similarly, with respect to the swaps terminated in December 2011, GAAP net income for the fourth quarter and full year of 2011 was reduced by only $1.3 million, while FFO in both periods was reduced by an additional $8.8 million to reflect the full impact of terminating those swaps. During the first 7 months of 2012, as that additional $8.8 million of non cash interest expense is amortized for GAAP purposes, we will offset that amortization by an equivalent amount in calculating FFO for each period.  Accordingly, there will be a net zero impact from the December 2011 swap termination on 2012 FFO.


 
Comparison of year ended December 31, 2011 to year ended December 31, 2010

Revenues

Office Rental Revenue: Rental revenue includes rental revenues from our office properties, percentage rent on the retail space contained within our office properties, and lease termination income. Total office rental revenue decreased by $5.8 million, or 1.4%, to $393.4 million for 2011 compared to $399.2 million for 2010.  The decrease was primarily due to $12.7 million lower revenue from the 49 office properties we owned during both comparable periods, partially offset by $6.9 million of incremental rent from the property we acquired at the end of the second quarter of 2010. The decrease for the 49 office properties owned during both periods was primarily due to decreases in occupancy and lower accretion from below-market leases in place at the time of our initial public offering (IPO) as the result of the ongoing expiration of these leases.

Office Tenant Recoveries: Total office tenant recoveries increased by $6.5 million, or 17.4%, to $43.9 million for 2011 compared to $37.4 million for 2010. The increase was primarily due to $6.6 million in additional revenue from the property we acquired at the end of the second quarter of 2010.

Office Parking and Other Income: Total office parking and other income increased by $1.6 million, or 2.4%, to $67.7 million for 2011 compared to $66.1 million for 2010. The increase was primarily due to $3.4 million of additional revenue from the property we acquired at the end of the second quarter of 2010, partly offset by a decrease of $1.7 million for the 49 office properties owned during both periods as a result of lower occupancy.

Multifamily Revenue: Total multifamily revenue increased by $2.1 million, or 3.1%, to $70.3 million for 2011 compared to $68.1 million for 2010.  The increase was primarily due to increases in average rental rates.

Operating Expenses

Office Rental Expenses: Total office rental expense increased by $9.7 million, or 6.1%, to $168.9 million for 2011 compared to $159.2 million for 2010.  The increase was primarily due to $7.9 million of additional expense from the property we acquired at the end of the second quarter of 2010, as well as an increase of $2.0 million for the remainder of our office portfolio primarily due to increases in utilities expenses, scheduled services and ancillary property tax assessments.

Multifamily Rental Expenses: Total multifamily rental expense increased by $685 thousand, or 3.7%, to $19.0 million for 2011 compared to $18.3 million for 2010. The increase was primarily due to increases in utilities expenses and payroll.

 
36

 
Depreciation and Amortization: Depreciation and amortization expense decreased $19.3 million, or 8.6%, to $205.7 million for 2011 compared to $225.0 million for 2010.  The decrease was primarily due to a decrease of $23.9 million for the 49 office properties owned during both periods resulting from the completion of the depreciation of certain tenant-related assets which were acquired at the time of our IPO in 2006, partially offset by $4.6 million of incremental depreciation expense from the property we acquired at the end of the second quarter of 2010.

Non-Operating Income and Expenses

Loss, including Depreciation, from Unconsolidated Real Estate Funds: This amount represents our equity interest in the operating results from our Funds, including the operating income net of historical cost-basis depreciation, for the full year. Our share of the loss, including depreciation, from our Funds decreased by $4.1 million or 58.9%, to $2.9 million for 2011 compared to $7.0 million for 2010, which was primarily due to better operating results for the Funds, as well as an increase in revenue we earned for managing our Funds.

Interest Expense: Interest expense decreased $18.4 million, or 11.1%, to $148.5 million for 2011, compared to $166.9 million for 2010.  The decrease was primarily due to lower effective interest rates, both as a result of our refinancings and the expiration and termination of certain interest rate swaps. These decreases were partially offset by increased interest expense related to the amortization of the remaining accumulated other comprehensive income balance associated with certain cash flow swaps that we terminated in 2010. This accumulated other comprehensive income balance was fully amortized by the end of the third quarter of 2011. In December 2011, we terminated certain swaps for which a portion of the accumulated other comprehensive income balance was amortized to interest expense in 2011. The remaining accumulated other comprehensive income balance will be amortized during 2012. See Notes 8 and 10 to our consolidated financial statements in Item 8 of this Report

 
Comparison of year ended December 31, 2010 to year ended December 31, 2009

Revenues

Office Rental Revenue: Total office rental revenue decreased by $6.9 million, or 1.7%, to $399.2 million for 2010 compared to $406.1 million for 2009. The decrease was primarily due to $7.6 million of rent reflected in our 2009 consolidated results from the 6 properties owned by the Fund that was deconsolidated at the end of February 2009, as well as a decrease of $7.3 million for the remainder of our portfolio, partially offset by $8.0 million of incremental rent from the property we acquired during the second quarter of 2010. The $7.3 million decrease for the remainder of our portfolio was primarily due to lower accretion of net below-market rents and decreases in occupancy and rental rates.

Office Tenant Recoveries: Total office tenant recoveries increased by $6.0 million, or 19.1%, to $37.4 million for 2010 compared to $31.4 million for 2009. The increase was primarily due to $6.2 million of additional revenue from the property we acquired during 2010 and $520 thousand from the remainder of our office portfolio, partially offset by $710 thousand of recoveries in 2009 from the 6 properties owned by the Fund that was deconsolidated at the end of February 2009. The increase for the remainder of our portfolio was primarily due to the completion of 2009 common area management (CAM) reconciliations during 2010 and the corresponding recognition of incremental amounts due.

Office Parking and Other Income: Total office parking and other income increased by $867 thousand, or 1.3%, to $66.1 million for 2010 compared to $65.2 million for 2009. The increase was primarily due to $3.2 million of additional revenue from the property we acquired during 2010, partially offset by $1.2 million of parking income in 2009 from the 6 properties owned by the Fund that was deconsolidated at the end of February 2009, as well as decreases in parking and other income of $1.1 million for the remainder of our portfolio as a result of lower occupancy and usage.

Operating Expenses

Office Rental Expenses: Total office rental expense increased by $4.9 million, or 3.2%, to $159.2 million for 2010 compared to $154.3 million for 2009. The increase was primarily due to $7.3 million of incremental expense from the property we acquired during 2010, partially offset by $2.7 million in office rental expenses in 2009 from the 6 properties owned by the Fund that was deconsolidated at the end of February 2009. Office rental expense was essentially unchanged for the remainder of our portfolio.

General and Administrative Expenses: General and administrative expenses increased $4.4 million, or 18.5%, to $28.3 million for 2010 compared to $23.9 million for 2009. The increase was primarily due to the cost of our multi-year equity grants that were announced during the fourth quarter of 2010.

 
37

 
Depreciation and Amortization: Depreciation and amortization expense decreased $1.6 million, or 0.7%, to $225.0 million for 2010 compared to $226.6 million for 2009. The decrease was primarily due to $4.9 million in depreciation and amortization in 2009 from the 6 properties owned by the Fund that was deconsolidated at the end of February 2009 and $1.4 million for the remainder of our portfolio due to certain assets being fully depreciated, partially offset by $4.7 million of incremental depreciation from the property we acquired during 2010.

Non-Operating Income and Expenses
Gain on Disposition of Interest in Unconsolidated Real Estate Fund: In February 2009, we recorded a gain of $5.6 million related to the 6 properties previously contributed to one of our Funds that was deconsolidated in February 2009, as described in Note 3 to our consolidated financial statements in Item 8 of this Report.

Other Income (Loss): Other income (loss) in 2010 reflected a net income of $1.2 million, which included $665 thousand of net profit generated by our management of the properties owned by our Funds as well as $526 thousand of interest income. Other income (loss) reflected a net loss in 2009 which represents the allocation to outside ownership interest of profit generated by the 6 properties we contributed to the Fund that were deconsolidated at the end of February 2009, net of the profit generated by our management of those properties during the 10 months of 2009 following deconsolidation.

Loss, including Depreciation, from Unconsolidated Real Estate Funds: This totaled $7.0 million for 2010 and $3.3 million for 2009. The 2009 amount reflects only the 10 months after the Fund involved was deconsolidated.

Interest Expense: Interest expense decreased $17.9 million, or 9.7%, to $166.9 million for 2010 compared to $184.8 million for 2009. This decrease was primarily due to the expiration of various interest rate swaps during the third and fourth quarters of 2010, which caused $1.66 billion of our variable-rate debt to no longer have corresponding swap payments at a higher fixed rate in exchange for lower variable interest.  Additionally, as a result of the natural expiration and early termination of approximately $1.40 billion of our pre-IPO swaps, there was lower non-cash interest expense from the amortization of these interest rate swaps. The decrease was partially offset by the amortization of other comprehensive income resulting from the early termination of our cash flow swaps.

Liquidity and Capital Resources

Our long-term liquidity needs consist primarily of funds necessary to pay for acquisitions, redevelopment and repositioning of properties, non-recurring capital expenditures and repayment of indebtedness at maturity. We do not expect that we will have sufficient funds on hand to cover all of these long-term cash requirements. The nature of our business, and the requirements imposed by REIT rules that we distribute a substantial majority of our income on an annual basis, may cause us to have substantial liquidity needs over the long term, although we have not had any taxable income to date. With respect to 2011, we declared dividends aggregating $0.49 per share, at the rate of $0.10 per share for the first quarter of the year and $0.13 per each quarter during the remaining three quarters of the year. We will seek to satisfy our long-term liquidity needs through cash flows from operations, long-term secured and unsecured indebtedness, the issuance of debt and equity securities, including units in our operating partnership, property dispositions and joint venture transactions. We have historically financed our operations, acquisitions and development, through long-term secured floating rate mortgage debt. To mitigate the impact of fluctuations in short-term interest rates on our cash flows from operations, we generally enter into interest rate swap or interest rate cap agreements at the time we enter into term borrowings. We expect to meet our operating liquidity requirements generally through cash on hand and cash provided by operations. Excluding any acquisitions and debt refinancings, we anticipate that cash on hand and provided by operations will be sufficient to meet our liquidity requirements for at least the next 12 months.

Available Borrowings, Cash Balances and Capital Resources

We had total indebtedness of $3.62 billion at December 31, 2011, excluding a loan premium representing the mark-to-market adjustment on variable rate debt assumed from our IPO.

We have typically financed our capital needs through short-term lines of credit and long-term secured mortgages, some of which are fixed and some of which are at floating rates. To mitigate the impact of fluctuations in short-term interest rates on our cash flows from operations, we generally enter into interest rate swap or interest rate cap agreements with respect to our long-term secured mortgages with floating rates. At December 31, 2011, approximately $2.97 billion or 82.1% of our debt had an annual interest rate that was effectively fixed at an average rate of 4.20% (on an actual / 360-day basis). See Item 7A of this Report for a description of the impact of variable rates on our interest expense. See also Note 8 and Note 10 to our consolidated financial statements in Item 8 of this Report.

As of December 31, 2011, only one loan with a balance of $522.0 million was scheduled to mature in 2012. On January 3, 2012 we paid down $222.0 million of the $522.0 million loan and on February 1, 2012, we paid down the remaining $300.0 million.
 
 
38

 
On January 18, 2012, we obtained a secured, non-recourse $155.0 million term loan. The loan bears interest at a fixed interest rate of 4.00% through its maturity date of February 1, 2019. Monthly interest payments are interest-only until February 2015, with principal amortization thereafter based upon a 30-year amortization table. The loan proceeds were primarily used to pay down a portion of the remaining $522.0 million of the 2012 debt maturities.

At December 31, 2011, our $3.62 billion of borrowings under secured loans represented 54.7% of our total market capitalization of $6.63 billion. Total market capitalization includes our consolidated debt and the value of common stock and operating partnership units, each based on our common stock closing price at December 31, 2011 on the New York Stock Exchange of $18.24 per share.

During 2011 we sold 6.2 million shares of our common stock in open market transactions under our ATM program for gross proceeds of approximately $119.8 million. During the fourth quarter of 2011 we sold 3.2 million shares of our common stock under the ATM program, in exchange for gross proceeds of approximately $58.7 million. After commissions of $881 thousand and other expenses, the net proceeds from the sales during the quarter totaled $57.8 million. We did not make any repurchases of shares or share equivalents during 2011. We did not sell or repurchase any share equivalents during 2010. During 2009, we repurchased 819,500 share equivalents in open market transactions and 250,000 share equivalents in a private transaction for a total combined consideration of approximately $8.2 million.

Subsequent to year end, we sold an additional 6.9 million shares of our common stock in open market transactions under our ATM program for gross proceeds of approximately $130.2 million, which completed our $250.0 million ATM program. We used the proceeds from the ATM program and the new $155 million loan, as well as cash on hand, to repay the remaining $522.0 million of our debt scheduled to mature in 2012. As a result of these actions, we reduced our outstanding consolidated debt from $3.62 billion on December 31, 2011 to $3.26 billion on February 1, 2012.

Commitments
The following table sets forth our principal obligations and commitments, excluding periodic interest payments, as of December 31, 2011:


   
Payment due by period (in thousands)
  
Contractual Obligations
 
Total
  
Less than
1 year
  
1-3
years
  
4-5
years
  
Thereafter
  
Long-term debt obligations(1)
 $3,623,096  $521,956  $20,381  $551,013  $2,529,746  
Minimum lease payments
  54,974   733   1,466   1,466   51,309  
Remaining capital commitment to
                     
unconsolidated real estate funds(2)
  37,963   37,963   -   -   -  
Purchase commitments related to capital expenditures
                     
associated with tenant improvements and
                     
repositioning and other purchase obligations
  3,798   3,798   -   -   -  
Total
 $3,719,831  $564,450  $21,847  $552,479  $2,581,055  


(1)  
For detail of the rates that determine our periodic interest payments related to our long-term debt obligations, see Note 8 to our consolidated financial statements in Item 8 of this Report. All of the long-term debt shown as due in less than one year was fully repaid as of February 1, 2012.
(2)  
Because there is not an explicit date for when our remaining capital commitment will be called, we reflect the entire commitment in the earliest category.


Off-Balance Sheet Arrangements

We have established and manage Funds through which institutional investors provide capital commitments for acquisition of properties.  The capital we invest in our Funds is invested on a pari passu basis with the other investors. In addition, we also receive certain additional distributions based on committed capital and on any profits that exceed certain specified cash returns to the investors. We do not expect to receive additional significant liquidity from our investments in our Funds until the disposition of the properties held by the relevant Fund, which may not be for many years. Certain of our wholly-owned affiliates provide property management and other services with respect to the real estate owned by our Funds for which we are paid fees and/or reimbursed our costs.

At December 31, 2011, our Funds had obtained capital commitments of $554.7 million, of which $171.3 million remained undrawn. This amount included commitments from us of $196.4 million, of which $38.0 million remained undrawn.

 
39

 
We do not have any debt outstanding in connection with our interest in our Funds. Each of our Funds may have its own debt, secured by the properties it owns. The following table summarizes the debt of our Funds at December 31, 2011:

Type of Debt
 
Principal Balance
(in millions)
  
Maturity Date
  
Variable Rate
  
Fixed Rate
   
Swap Maturity Date
  
                    
Variable rate term loan
 (swapped to fixed rate) (1) (2)
 $365.0  
08/17/13
  
LIBOR + 1.65%
  5.52%  (3) 
09/04/12
  
Fixed rate term loan (4)
 $55.3  
04/01/16
  N/A  5.67%  N/A  

(1)
The loan is secured by 6 properties in a collateralized pool. Requires monthly payments of interest only, with outstanding principal due upon maturity.
(2)
We transferred this loan to one of our Funds during the fourth quarter of 2008 when we contributed the properties securing it to that Fund. We remain responsible under certain environmental and other limited indemnities and guarantees covering customary non-recourse carve outs under this loan, which we entered into prior to our contribution of this debt and the related properties, although we have an indemnity from that Fund for any amounts we would be required to pay under these agreements. In addition, if that Fund fails to perform any obligations under a swap agreement related to this loan, we remain liable to the swap counterparties. The maximum future payments under the swap agreements were approximately $9.7 million as of December 31, 2011. To date, all obligations under the swap agreements have been performed by that Fund in accordance with the terms of the agreements.
(3)
Effective annual rate including the effect of interest rate contracts. Based on actual/360-day basis and excludes amortization of loan fees.
(4)
Requires monthly payments of principal and interest.

Cash Flows
Our cash and cash equivalents were $407.0 million and $272.4 million at December 31, 2011 and 2010, respectively.

Our cash flows from operating activities is primarily dependent upon the occupancy level of our portfolio, the rental rates achieved on our leases, the collectability of rent and recoveries from our tenants and the level of operating expenses and other general and administrative costs. Net cash provided by operating activities increased by $19.0 million to $207.8 million for 2011 compared to $188.9 million for 2010. The increase was primarily due to a decrease in cash interest paid in the 2011 period resulting from lower effective interest rates, both as a result of our refinancings and the expiration and termination of certain interest rate swaps. This increase was partly offset by an decrease in cash generated from our office rental portfolio in 2011 due to lower occupancy rates in 2011. The decrease in cash generated from our office rental portfolio in 2011was partly offset by incremental cash flows from the property we acquired at the end of the second quarter of 2010.

Our net cash used in investing activities is generally used to fund property acquisitions, development and redevelopment projects recurring and non-recurring capital expenditures. Net cash used in investing activities decreased $244.7 million to $60.0 million for 2011 compared to $304.6 million for 2010. The decrease is primarily due to (i) a property acquisition by us in 2010, while the acquisition in the 2011 period was made by one of our Funds, and (ii) decreased contributions to our Funds in 2011. This decrease was partly offset by an increase in capital expenditures in 2011 for the property acquired in 2010.

Our net cash related to financing activities is generally impacted by our borrowings, capital activities net of dividends and distributions paid to common stockholders and noncontrolling interests. Net cash flows from financing activities amounted to a net use of cash for 2011 totaling $13.3 million compared to a net provision of cash for 2010 totaling $315.4 million. The decrease was primarily due to the fact that 2011 reflects our debt refinancing program and our ATM program that almost entirely offset each other, compared to 2010 which reflects additional debt borrowing related to an acquired property.

 
40

 
Critical Accounting Policies
Our discussion and analysis of the historical financial condition and results of operations of Douglas Emmett, Inc. and our predecessor are based upon their respective consolidated financial statements, which have been prepared in accordance with U.S. generally accepted accounting principles (GAAP). The preparation of these financial statements in conformity with GAAP requires us to make estimates of certain items and judgments as to certain future events, for example with respect to the allocation of the purchase price of acquired property among land, buildings, improvements, equipment, and any related intangible assets and liabilities. These determinations, even though inherently subjective and subject to change, affect the reported amounts of our assets, liabilities, revenues and expenses. While we believe that our estimates are based on reasonable assumptions and judgments at the time they are made, some of our assumptions, estimates and judgments will inevitably prove to be incorrect. As a result, actual outcomes will likely differ from our accruals, and those differences—positive or negative—could be material. Some of our accruals are subject to adjustment as we believe appropriate based on revised estimates and reconciliation to the actual results when available. For a discussion of recently issued accounting literature, see Note 2 to our consolidated financial statements in Item 8 of this Report

Investment in Real Estate: Acquisitions of properties and other business combinations are accounted for utilizing the purchase method and, accordingly, the results of operations of acquired properties are included in our results of operations from the respective dates of acquisition. Transaction costs related to acquisitions have been expensed, rather than included with the consideration paid. Estimates of future cash flows and other valuation techniques are used to allocate the purchase price of acquired property between land, buildings and improvements, equipment and identifiable intangible assets and liabilities such as amounts related to in-place at-market leases, acquired above- and below-market ground leases, and acquired above- and below-market tenant leases. Initial valuations are subject to change until such information is finalized no later than 12 months from the acquisition date. Each of these estimates requires a great deal of judgment, and some of the estimates involve complex calculations. These allocation assessments have a direct impact on our results of operations because if we were to allocate more value to land there would be no depreciation with respect to such amount. If we were to allocate more value to the buildings as opposed to allocating to the value of tenant leases, this amount would be recognized as an expense over a much longer period of time, since the amounts allocated to buildings are depreciated over the estimated lives of the buildings whereas amounts allocated to tenant leases are amortized over the remaining terms of the leases.

The fair values of tangible assets are determined on an ‘‘as-if-vacant’’ basis. The ‘‘as-if-vacant’’ fair value is allocated to land, where applicable, buildings, tenant improvements and equipment based on comparable sales and other relevant information obtained in connection with the acquisition of the property.

The estimated fair value of acquired in-place at-market leases are the costs we would have incurred to lease the property to the occupancy level of the property at the date of acquisition. Such estimates include the fair value of leasing commissions and legal costs that would be incurred to lease the property to this occupancy level. Additionally, we evaluate the time period over which such occupancy level would be achieved and we include an estimate of the net operating costs (primarily real estate taxes, insurance and utilities) incurred during the lease-up period, which is generally 6 months.

Above-market and below-market in-place lease values are recorded as an asset or liability based on the present value (using an interest rate which reflects the risks associated with the leases acquired) of the difference between the contractual amounts to be received or paid pursuant to the in-place tenant or ground leases, respectively, and our estimate of fair market lease rates for the corresponding in-place leases, measured over a period equal to the remaining noncancelable term of the lease.

Expenditures for repairs and maintenance are expensed to operations as incurred. Significant improvements are capitalized. Interest, insurance and property tax costs incurred during the period of construction of real estate facilities are capitalized. When assets are sold or retired, their costs and related accumulated depreciation are removed from the accounts with the resulting gains or losses reflected in net income or loss for the period.

The values allocated to land, buildings, site improvements, in-place leases and tenant improvements are depreciated on a straight-line basis using an estimated life of 40 years for buildings, 15 years for site improvements, the average term of existing leases in the building acquired for in-place lease values and the respective remaining lease terms for tenant improvements and leasing costs. The values of above- and below-market tenant leases are amortized over the remaining life of the related lease and recorded as either an increase (for below-market tenant leases) or a decrease (for above-market tenant leases) to rental income. The value of above- and below-market ground leases are amortized over the remaining life of the related lease and recorded as either an increase (for below-market ground leases) or a decrease (for above-market ground leases) to office rental operating expense. The amortization of acquired in-place leases is recorded as an adjustment to depreciation and amortization in the consolidated statements of operations. If a lease is terminated prior to its stated expiration, all unamortized amounts relating to that lease are written off.

 
41

 
Impairment of Long-Lived Assets: We assess whether there has been impairment in the value of our long-lived assets whenever events or changes in circumstances indicate the carrying amount of an asset may not be recoverable. Recoverability of assets to be held and used is measured by a comparison of the carrying amount to the undiscounted future cash flows expected to be generated by the asset. We consider factors such as future operating income, trends and prospects, as well as the effects of leasing demand, competition and other factors. If our evaluation indicates that we may be unable to recover the carrying value of an investment in real estate or an investment in one of our Funds, an impairment loss is recorded to the extent that the carrying value exceeds the estimated fair value of the property or equity investment. These losses have a direct impact on our net income because recording an impairment loss results in an immediate negative adjustment to net income. Assets to be disposed of are reported at the lower of the carrying amount or fair value, less costs to sell. The evaluation of anticipated cash flows is highly subjective and is based in part on assumptions regarding future occupancy, rental rates and capital requirements that could differ materially from actual results in future periods. If our strategy changes or market conditions otherwise dictate an earlier sale date, an impairment loss may be recognized and such loss could be material.

Income Taxes: As a REIT, we are permitted to deduct distributions paid to our stockholders, eliminating the federal taxation of income represented by such distributions at the corporate level. REITs are subject to a number of organizational and operational requirements. If we fail to qualify as a REIT in any taxable year, we will be subject to federal income tax (including any applicable alternative minimum tax) on our taxable income at regular corporate tax rates.

Revenue Recognition: Four basic criteria must be met before revenue can be recognized: persuasive evidence of an arrangement exists; services are rendered; the fee is fixed and determinable; and collectibility is reasonably assured. All leases are classified as operating leases. For all lease terms exceeding one year, rental income is recognized on a straight-line basis over the term of the lease. Deferred rent receivables represent rental revenue recognized on a straight-line basis in excess of billed rents. Lease termination fees, which are included in rental revenues in the accompanying consolidated statements of operations, are recognized when the related lease is canceled and we have no continuing obligation to provide services to such former tenant.

Estimated recoveries from tenants for real estate taxes, common area maintenance and other recoverable operating expenses are recognized as revenues in the period that the expenses are incurred. Subsequent to year-end, we perform final reconciliations on a lease-by-lease basis and bill or credit each tenant for any cumulative annual adjustments. In addition, we record a capital asset for leasehold improvements constructed by us that are reimbursed by tenants, with the offsetting side of this accounting entry recorded to deferred revenue which is included in accounts payable and accrued expenses. The deferred revenue is amortized as additional rental revenue over the life of the related lease. Rental revenue from month-to-month leases or leases with no scheduled rent increases or other adjustments is recognized on a monthly basis when earned.

The recognition of gains on sales of real estate requires that we measure the timing of a sale against various criteria related to the terms of the transaction, as well as any continuing involvement in the form of management or financial assistance associated with the property. If the sales criteria are not met, we defer gain recognition and account for the continued operations of the property by applying the finance, profit-sharing or leasing method. If the sales criteria have been met, we further analyze whether profit recognition is appropriate using the full accrual method. If the criteria to recognize profit using the full accrual method have not been met, we defer the gain and recognize it when the criteria are met or use the installment or cost recovery method as appropriate under the circumstances.

Monitoring of Rents and Other Receivables: We maintain an allowance for estimated losses that may result from the inability of tenants to make required payments. If a tenant fails to make contractual payments beyond any allowance, we may recognize bad debt expense in future periods equal to the amount of unpaid rent and deferred rent. We generally do not require collateral or other security from our tenants, other than security deposits or letters of credit. If our estimates of collectability differ from the cash received, the timing and amount of our reported revenue could be impacted.

Stock-Based Compensation: We have awarded stock-based compensation to certain key employees and members of our Board of Directors in the form of stock options and LTIP units. We estimate the fair value of the awards and recognize this value over the requisite vesting period. We utilize a Black-Scholes model to calculate the fair value of options, which uses assumptions related to the stock, including volatility and dividend yield, as well as assumptions related to the stock award itself, such as the expected term and estimated forfeiture rate. Option valuation models require the input of somewhat subjective assumptions for which we have relied on observations of both historical trends and implied estimates as determined by independent third parties. For LTIP units, the fair value is based on the market value of our common stock on the date of grant and a discount for post-vesting restrictions estimated by a third-party consultant.

Financial Instruments: The estimated fair values of financial instruments are determined using available market information and appropriate valuation methods. Considerable judgment is necessary to interpret market data and develop estimated fair values. The use of different market assumptions or estimation methods may have a material effect on the estimated fair value amounts. Accordingly, estimated fair values are not necessarily indicative of the amounts that could be realized in current market exchanges.

 
42

 
Interest Rate Agreements: We manage our interest rate risk associated with borrowings by obtaining interest rate swap and interest rate cap contracts. No other derivative instruments are used. We recognize all derivatives on the balance sheet at fair value. Derivatives that are not hedges must be adjusted to fair value and the changes in fair value must be reflected as income or expense. If the derivative is a hedge, depending on the nature of the hedge, changes in the fair value of derivatives are either offset against the change in fair value of the hedged assets, liabilities, or firm commitments through earnings or recognized in other comprehensive income, which is a component of our stockholders’ equity accounts. The ineffective portion of a derivative’s change in fair value is immediately recognized in earnings.

Item 7A. Quantitative and Qualitative Disclosures about Market Risk

Our future income, cash flows and fair values relevant to financial instruments are dependent upon prevalent market interest rates. Market risk refers to the risk of loss from adverse changes in market prices and interest rates. We use derivative financial instruments to manage, or hedge, interest rate risks related to our borrowings. We only enter into contracts with major financial institutions based on their credit rating and other factors. For a description of our interest rate contracts, please see Note 10 to our consolidated financial statements contained in Item 8 of this Report.

At December 31, 2011, $705.0 million or 19% of our debt was fixed rate debt, $2.27 billion or 63% of our debt was floating rate debt hedged with derivative instruments that swapped to fixed interest rates, and $650.0 million or 18% was unhedged floating rate debt. Based on the level of unhedged floating rate debt outstanding at December 31, 2011, a 50 basis point change in LIBOR would result in an annual impact to our earnings of approximately $3.3 million. Subsequent to year end, we repaid a portion of our floating rate debt that was scheduled to mature in 2012.  Therefore at February 1, 2012, $860.0 million or 26% of our debt was fixed rate debt, $2.27 billion or 70% of our debt was floating rate debt hedged with derivative instruments that swapped to fixed interest rates, and $128.1 million or 4% was unhedged floating rate debt. Based on the level of unhedged floating rate debt outstanding at February 1, 2012, a 50 basis point change in LIBOR would result in an annual impact to our earnings of approximately $649 thousand.

We calculate interest sensitivity by multiplying the amount of unhedged floating rate debt by the respective change in rate. The sensitivity analysis does not take into consideration possible changes in the balances or fair value of our floating rate debt.

By using derivative instruments to hedge exposure to changes in interest rates, we expose ourselves to credit risk and the potential inability of our counterparties to perform under the terms of the agreements. We attempt to minimize this credit risk by contracting with high-quality bank financial counterparties.

Item 8. Financial Statements and Supplementary Data

All information required by this item is listed in the Index to Financial Statements in Part IV, Item 15(a)(1).

Item 9. Changes in and Disagreements with Accountants on Accounting and Financial Disclosure

None

Item 9A. Controls and Procedures

As of December 31, 2011, the end of the period covered by this Report, we carried out an evaluation, under the supervision and with the participation of management, including our Chief Executive Officer and Chief Financial Officer, regarding the effectiveness of our disclosure controls and procedures (as defined in Rules 13a-15(e) and 15d-15(e) under the Securities Exchange Act of 1934, as amended (the “Exchange Act”)) at the end of the period covered by this Report. Based on the foregoing, our Chief Executive Officer and Chief Financial Officer concluded, as of that time, that our disclosure controls and procedures were effective in ensuring that information required to be disclosed by us in reports filed or submitted under the Exchange Act (i) is processed, recorded, summarized and reported within the time periods specified in the Securities and Exchange Commission’s rules and forms and (ii) is accumulated and communicated to our management, including our Chief Executive Officer and our Chief Financial Officer, as appropriate to allow for timely decisions regarding required disclosure.

There have not been any changes in our internal control over financial reporting that occurred during the quarter ended December 31, 2011, that have materially affected, or are reasonably likely to materially affect, our internal control over financial reporting. Management’s Report on Internal Control Over Financial Reporting and the Report of Independent Registered Public Accounting Firm thereon appear at pages F-1 and F-3, respectively, and are incorporated herein by reference.

Item 9B. Other Information

None

 
43 

 

PART III
Item 10. Directors, Executive Officers and Corporate Governance
Information required by this item is incorporated by reference to the information set forth under the captions “Election of Directors (Proposal 1) – Information Concerning Nominees,” “Executive Officers,” “Section 16(a) Beneficial Ownership Reporting Compliance,” “Corporate Governance” and “Board Meetings and Committees” in our Proxy Statement for the 2012 Annual Meeting of Stockholders to be filed with the SEC within 120 days after the end of 2011.

Item 11. Executive Compensation
Information required by this item is incorporated by reference to the information set forth under the captions “Executive Compensation,” “Director Compensation,” “Compensation Committee Interlocks and Insider Participation” and “Compensation Committee Report” in our Proxy Statement for the 2012 Annual Meeting of Stockholders to be filed with the SEC within 120 days after the end of 2011.

Item 12. Security Ownership of Certain Beneficial Owners and Management and Related Stockholder Matters

Securities Authorized for Issuance Under Equity Compensation Plan

The following table provides information as of December 31, 2011 with respect to shares of our common stock that may be issued under our existing stock incentive plan (in thousands, except exercise price):

Plan Category
 
Number of shares of common stock to be issued upon exercise of outstanding options, warrants and rights
  
Weighted-average exercise price of outstanding options, warrants and rights
  
Number of shares of common stock remaining available for future issuance under equity compensation plans (excluding shares reflected in column (a))
  
   
(a)
  
(b)
  
(c)
  
Equity compensation plans approved by stockholders
  12,540  $18.10   22,670  

For a description of our 2006 Omnibus Stock Incentive Plan, please see Note 13 to our consolidated financial statements contained in Item 8 of this Report. We did not have any other equity compensation plans as of December 31, 2011.

The remaining information required by this item is incorporated by reference to the information set forth under the caption “Voting Securities and Principal Stockholders—Security Ownership of Certain Beneficial Owners and Management” in our Proxy Statement for the 2012 Annual Meeting of Stockholders to be filed with the SEC within 120 days after the end of 2011.

Item 13. Certain Relationships and Related Transactions, and Director Independence
Information required by this item is incorporated by reference to the information set forth under the captions “Transactions With Related Persons,” “Election of Directors (Proposal 1) – Information Concerning Nominees” and “Corporate Governance” in our Proxy Statement for the 2012 Annual Meeting of Stockholders to be filed with the SEC within 120 days after the end of 2011.

Item 14. Principal Accounting Fees and Services
Information required by this item is incorporated by reference to the information set forth under the caption “Independent Registered Public Accounting Firm” in our Proxy Statement for the 2012 Annual Meeting of Stockholders to be filed with the SEC within 120 days after the end of 2011.


 
44 

 

PART IV
Item 15. Exhibits and Financial Statement Schedules

(a) and (c) Financial Statements and Financial Statement Schedule
     
     
Page No.
 
Index to Financial Statements
     
The following financial statements and the Reports of Ernst & Young, LLP, Independent Registered Public Accounting Firm, are included in Part IV of this Report on the pages indicated:
   
1. Consolidated Financial Statements of Douglas Emmett, Inc.
     
   
  Report of Management on Internal Control Over Financial Reporting
 
F-1
   
   
  Report of Independent Registered Public Accounting Firm
 
F-2
   
   
  Report of Independent Registered Public Accounting Firm on Internal Control Over Financial Reporting
 
F-3
   
   
  Consolidated Balance Sheets as of December 31, 2011 and 2010
 
F-4
   
   
  Consolidated Statements of Operations for the years ended December 31, 2011, 2010 and 2009
 
F-5
   
   
  Consolidated Statements of Comprehensive Income for the years ended December 31, 2011, 2010 and 2009
 
F-5
   
   
  Consolidated Statements of Equity for the years ended December 31, 2011, 2010 and 2009
 
F-6
   
   
  Consolidated Statements of Cash Flows for the years ended December 31, 2011, 2010 and 2009
 
F-7
   
   
  Notes to Consolidated Financial Statements
 
F-8
   
   
  Schedule III - Consolidated Real Estate and Accumulated Depreciation as of December 31, 2011
 
F-30
   
2. Consolidated Financial Statements of Douglas Emmett Fund X, LLC
     
   
  Report of Independent Registered Public Accounting Firm
 
F-32
   
   
  Consolidated Balance Sheets as of December 31, 2011 and 2010
 
F-33
   
   
  Consolidated Statements of Comprehensive Income for the years ended December 31, 2011, 2010, and 2009 (unaudited)
 
F-34
   
   
  Consolidated Statements of Equity for the years ended December 31, 2011, 2010 and 2009 (unaudited)
 
F-35
   
   
  Consolidated Statements of Cash Flows for the years ended December 31, 2011, 2010 and 2009 (unaudited)
 
F-36
   
   
  Notes to Consolidated Financial Statements
 
F-37
   
             
   
  All other schedules have been omitted since the required information is not present or not present in amounts sufficient to require submission of the schedule, or because the information required is included in the consolidated financial statements or notes thereto.
       
         
(b)
Exhibits
     
 
3.1
  Articles of Amendment and Restatement of Douglas Emmett, Inc. (4)
     
 
3.2
  Bylaws of Douglas Emmett, Inc. (4)
     
 
3.3
  Certificate of Correction to Articles of Amendment and Restatement of Douglas Emmett, Inc.(5)
     
 
4.1
  Form of Certificate of Common Stock of Douglas Emmett, Inc.(3)
     
 
10.1
  Form of Agreement of Limited Partnership of Douglas Emmett Properties, LP. (3)
     
 
10.2
  Registration Rights Agreement among Douglas Emmett, Inc. and the Initial Holders named therein.(1) +
     
 
10.3
  Form of Indemnification Agreement between Douglas Emmett, Inc. and its directors and officers. (2) +
     
 
10.4
  Douglas Emmett, Inc. 2006 Omnibus Stock Incentive Plan. (6) +
     
 
10.5
  Form of Douglas Emmett, Inc. 2006 Omnibus Stock Incentive Plan Non-Qualified Stock Option Agreement.(2) +
     
 
10.6
  Form of Douglas Emmett, Inc. 2006 Omnibus Stock Incentive Plan LTIP Unit Award Agreement.(3)+
     
 
10.7
  Form of Douglas Emmett Properties, LP Partnership Unit Designation – LTIP Units. (3) +
     
 
10.8
  Douglas Emmett, Inc. 2006 Omnibus Stock Incentive Plan Amendment No. 1. (7) +
     
 
10.9
  Form of Douglas Emmett, Inc. 2006 Omnibus Stock Incentive Plan LTIP Unit Award Agreement (for independent directors) . (8) +
     
 
10.10
  Employment agreement dated December 6, 2010 between Douglas Emmett, Inc., Douglas Emmett Properties, LP and Jordan L. Kaplan. (9)+
     
 
10.11
  Employment agreement dated December 6, 2010 between Douglas Emmett, Inc., Douglas Emmett Properties, LP and Kenneth Panzer. (9)+
     
 
10.12
  Employment agreement dated December 6, 2010 between Douglas Emmett, Inc., Douglas Emmett Properties, LP and William Kamer. (9)+
     
 
10.13
  Employment agreement dated January 1, 2011  between Douglas Emmett, Inc., Douglas Emmett Properties, LP and Theodore Guth. (10)+
     
 
21.1
  List of Subsidiaries of the Registrant.
     
 
 
45

 
 
23.1
  Consent of Independent Registered Public Accounting Firm.
     
 
31.1
  Certificate of Chief Executive Officer pursuant to Section 302 of the Sarbanes-Oxley Act of 2002.
     
 
31.2
  Certificate of Chief Financial Officer pursuant to Section 302 of the Sarbanes-Oxley Act of 2002.
     
 
32.1
  Certificate of Chief Executive Officer pursuant to Section 906 of the Sarbanes-Oxley Act of 2002. (11)
     
 
32.2
  Certificate of Chief Financial Officer pursuant to Section 906 of the Sarbanes-Oxley Act of 2002. (11)
     
 
101
  The following financial information from Douglas Emmett Inc.’s Annual Report on Form 10-K for the year ended December 31, 2010, formatted in XBRL (eXtensible Business Reporting Language):
        (i) Consolidated Balance Sheets, (ii) Consolidated Statements of Operations, (iii) Consolidated Statements of Comprehensive Income,            (iv) Consolidated Statements of Equity, (v) Consolidated Statements of Cash Flows and (vi) Notes to Consolidated Financial Statements.
     
           
   
  Footnotes to Exhibits
     
           
 
+
  Denotes management contract or compensatory plan, contract or arrangement
     
 
(1)
  Filed with Registration Statement on Form S-11 (Registration  No. 333-135082) filed June 16, 2006 and incorporated herein by this reference.
     
 
(2)
  Filed with Registrant’s Amendment No. 2 to Form S-11 filed September 20, 2006 and incorporated herein by this reference.
     
 
(3)
  Filed with Registrant’s Amendment No. 3 to Form S-11 filed October 3, 2006 and incorporated herein by this reference.
   
 
(4)
  Filed with Registrant’s Amendment No. 6 to Form S-11 filed October 19, 2006 and incorporated herein by this reference.
   
 
(5)
  Filed with Registrant's Current Report on Form 8-K filed October 30, 2006 and incorporated herein by this reference.
   
 
(6)
  Filed with Registrant’s Registration Statement on Form S-8 (File No. 333-148268) filed December 21, 2007 and incorporated herein by this reference.
   
 
(7)
  Filed August 6, 2009 with Registrant's Quarterly Report on Form 10-Q for the quarter ended June 30, 2009 and incorporated herein by this reference.
   
 
(8)
  Filed February 26, 2010 with Registrant’s Annual Report on Form 10-K for the fiscal year ended December 31, 2009 and incorporated herein by this reference.
   
 
(9)
  Filed February 25, 2011 with Registrants Annual Report on Form 10-K for the year ended December 31, 2010 and incorporated herein by this reference.
   
 
(10)
  Filed May 6, 2011 with Registrants Quarterly Report on Form 10-Q for the quarter ended March 31, 2011 and incorporated herein by this reference.
   
 
(11)
  In accordance with SEC Release No. 33-8212, this exhibit is being furnished, and is not being filed as part of this Report or as a separate disclosure document, and is not being incorporated by reference into any Securities Act of 1933 registration statement.
   


 
46 

 

Signatures
Pursuant to the requirements of Section 13 or 15(d) of the Securities Exchange Act of 1934, the registrant has duly caused this Report to be signed on its behalf by the undersigned, thereunto duly authorized.

 
DOUGLAS EMMETT, INC.
     
Dated: February 24, 2012
By:
/s/ JORDAN L. KAPLAN
 
 
Jordan L. Kaplan
 
 
President and Chief Executive Officer

Pursuant to the requirements of the Securities Exchange Act of 1934, this report has been signed below by the following persons on behalf of the registrant and in the capacities and on the date indicated.

Signature
Title
   
   
/s/ JORDAN L. KAPLAN
 
Jordan L. Kaplan
 
President, Chief Executive Officer and Director
(Principal Executive Officer)
   
/s/ THEODORE E. GUTH
 
Theodore E. Guth
 
Chief Financial Officer
(Principal Financial and Accounting Officer)
   
/s/ DAN A. EMMETT
 
Dan A. Emmett
 
Chairman of the Board
 
   
/s/ KENNETH M. PANZER
 
Kenneth M. Panzer
 
Chief Operating Officer and Director
 
   
/s/ LESLIE E. BIDER
 
Leslie E. Bider
 
Director
 
   
/s/ GHEBRE SELASSIE MEHRETEAB
 
Ghebre Selassie Mehreteab
 
Director
 
   
/s/ THOMAS E. O’HERN
 
Thomas E. O’Hern
 
Director
 
   
/s/ DR. ANDREA L. RICH
 
Dr. Andrea L. Rich
 
Director
 
   
/s/ CHRISTOPHER ANDERSON
 
Christopher Anderson
 
Director
 

/s/ DR. DAVID T. FEINBERG
 
Dr. David T. Feinberg
 
Director
 

Each of the above signatures is affixed as of February 24, 2012.


 
  47

 


Report of Management on Internal Control over Financial Reporting

The management of Douglas Emmett, Inc. is responsible for establishing and maintaining adequate internal control over financial reporting, as defined in Rules 13a-15(f) and 15d-15(f) under the Securities Exchange Act of 1934.

Our system of internal control is designed to provide reasonable assurance regarding the reliability of financial reporting and preparation of our financial statements for external reporting purposes in accordance with United States generally accepted accounting principles. Our management, including the undersigned Chief Executive Officer and Chief Financial Officer, assessed the effectiveness of our internal control over financial reporting as of December 31, 2011. In conducting its assessment, management used the criteria issued by the Committee of Sponsoring Organizations of the Treadway Commission on Internal Control—Integrated Framework. Based on this assessment, management concluded that, as of December 31, 2011, our internal control over financial reporting was effective based on those criteria.

Management, including our Chief Executive Officer and Chief Financial Officer, does not expect that our disclosure controls and procedures, or our internal controls will prevent all error and fraud. A control system, no matter how well conceived and operated, can provide only reasonable, not absolute, assurance that the objectives of the control system are met. Further, the design of a control system must reflect the fact that there are resource constraints and the benefit of controls must be considered relative to their costs. Because of the inherent limitations in all control systems, no evaluation of controls can provide absolute assurance that all control issues and instances of fraud, if any, have been detected.

The effectiveness of our internal control over financial reporting as of December 31, 2011, has been audited by Ernst & Young LLP, the independent registered public accounting firm that audited the consolidated financial statements included in this annual report, as stated in their report appearing on page F-3, which expresses an unqualified opinion on the effectiveness of our internal control over financial reporting as of December 31, 2011.



 
 
/s/ JORDAN L. KAPLAN
 
Jordan L. Kaplan
Chief Executive Officer
 
 
 
/s/ THEODORE E. GUTH
 
Theodore E. Guth
Chief Financial Officer
 

February 24, 2012


 
F-1 

 

Report of Independent Registered Public Accounting Firm

The Board of Directors and Stockholders of
Douglas Emmett, Inc.

We have audited the accompanying consolidated balance sheets of Douglas Emmett, Inc. (the “Company”) as of December 31, 2011 and 2010, and the related consolidated statements of operations, comprehensive income, equity, and cash flows for each of the three years in the period ended December 31, 2011. Our audits also included the financial statement schedule listed in the Index at Item 15(a). These financial statements and schedule are the responsibility of the Company’s management. Our responsibility is to express an opinion on these financial statements and schedule based on our audits.

We conducted our audits in accordance with the standards of the Public Company Accounting Oversight Board (United States). Those standards require that we plan and perform the audit to obtain reasonable assurance about whether the financial statements are free of material misstatement. An audit includes examining, on a test basis, evidence supporting the amounts and disclosures in the financial statements. An audit also includes assessing the accounting principles used and significant estimates made by management, as well as evaluating the overall financial statement presentation. We believe that our audits provide a reasonable basis for our opinion.

In our opinion, the financial statements referred to above present fairly, in all material respects, the consolidated financial position of Douglas Emmett, Inc. at December 31, 2011 and 2010, and the consolidated results of its operations and its cash flows for each of the three years in the period ended December 31, 2011, in conformity with U.S. generally accepted accounting principles. Also, in our opinion, the related financial statement schedule, when considered in relation to the basic financial statements taken as a whole, presents fairly in all material respects the information set forth therein.

We also have audited, in accordance with the standards of the Public Company Accounting Oversight Board (United States), Douglas Emmett, Inc.’s internal control over financial reporting as of December 31, 2011, based on criteria established in Internal Control-Integrated Framework issued by the Committee of Sponsoring Organizations of the Treadway Commission and our report dated February 24, 2012 expressed an unqualified opinion thereon.


 
/s/ Ernst & Young LLP
 
 
Los Angeles, California
February 24, 2012
 


 
F-2 

 

Report of Independent Registered Public Accounting Firm

The Board of Directors and Stockholders of
Douglas Emmett, Inc.

We have audited Douglas Emmett, Inc.’s internal control over financial reporting as of December 31, 2011, based on criteria established in Internal Control—Integrated Framework issued by the Committee of Sponsoring Organizations of the Treadway Commission (the COSO criteria). Douglas Emmett, Inc.’s management is responsible for maintaining effective internal control over financial reporting, and for its assessment of the effectiveness of internal control over financial reporting included in the accompanying Report of Management on Internal Control over Financial Reporting. Our responsibility is to express an opinion on the company’s internal control over financial reporting based on our audit.

We conducted our audit in accordance with the standards of the Public Company Accounting Oversight Board (United States). Those standards require that we plan and perform the audit to obtain reasonable assurance about whether effective internal control over financial reporting was maintained in all material respects. Our audit included obtaining an understanding of internal control over financial reporting, assessing the risk that a material weakness exists, testing and evaluating the design and operating effectiveness of internal control based on the assessed risk, and performing such other procedures as we considered necessary in the circumstances. We believe that our audit provides a reasonable basis for our opinion.

A company’s internal control over financial reporting is a process designed to provide reasonable assurance regarding the reliability of financial reporting and the preparation of financial statements for external purposes in accordance with generally accepted accounting principles. A company’s internal control over financial reporting includes those policies and procedures that (1) pertain to the maintenance of records that, in reasonable detail, accurately and fairly reflect the transactions and dispositions of the assets of the company; (2) provide reasonable assurance that transactions are recorded as necessary to permit preparation of financial statements in accordance with generally accepted accounting principles, and that receipts and expenditures of the company are being made only in accordance with authorizations of management and directors of the company; and (3) provide reasonable assurance regarding prevention or timely detection of unauthorized acquisition, use, or disposition of the company’s assets that could have a material effect on the financial statements.

Because of its inherent limitations, internal control over financial reporting may not prevent or detect misstatements. Also, projections of any evaluation of effectiveness to future periods are subject to the risk that controls may become inadequate because of changes in conditions, or that the degree of compliance with the policies or procedures may deteriorate.

In our opinion, Douglas Emmett, Inc. maintained, in all material respects, effective internal control over financial reporting as of December 31, 2011, based on the COSO criteria.

We also have audited, in accordance with the standards of the Public Company Accounting Oversight Board (United States), the consolidated balance sheets of Douglas Emmett, Inc. as of December 31, 2011 and 2010, and the related consolidated statements of operations, comprehensive income, equity, and cash flows for each of the three years in the period ended December 31, 2011, and our report dated February 24, 2012 expressed an unqualified opinion thereon.

 
/s/ Ernst & Young LLP
 
 
Los Angeles, California
February 24, 2012
 


 
F-3 

 

Douglas Emmett, Inc.
Consolidated Balance Sheets
(in thousands, except share data)


   
December 31, 2011
  
December 31, 2010
  
         
Assets
       
Investment in real estate:
       
Land
 $851,679  $851,679  
Buildings and improvements
  5,233,692   5,226,269  
Tenant improvements and lease intangibles
  640,647   592,735  
Investment in real estate, gross
  6,726,018   6,670,683  
Less: accumulated depreciation
  (1,119,619)  (913,923) 
Investment in real estate, net
  5,606,399   5,756,760  
           
Cash and cash equivalents
  406,977   272,419  
Tenant receivables, net
  1,722   1,591  
Deferred rent receivables, net
  58,681   48,933  
Interest rate contracts
  699   52,528  
Acquired lease intangible assets, net
  6,379   9,356  
Investment in unconsolidated real estate funds
  117,055   110,920  
Other assets
  33,690   26,782  
Total assets
 $6,231,602  $6,279,289  
           
Liabilities
         
Secured notes payable, including loan premium
 $3,624,156  $3,668,133  
Accounts payable and accrued expenses
  55,280   57,793  
Security deposits
  33,954   31,850  
Acquired lease intangible liabilities, net
  86,801   110,244  
Interest rate contracts
  98,417   99,687  
Dividends payable
  17,039   12,413  
Total liabilities
  3,915,647   3,980,120  
           
Equity
         
Douglas Emmett, Inc. stockholders' equity:
         
Common Stock, $0.01 par value 750,000,000 authorized, 131,070,239 and 124,131,557 outstanding at December 31, 2011 and December 31, 2010, respectively
  1,311   1,241  
Additional paid-in capital
  2,461,649   2,332,307  
Accumulated other comprehensive income (loss)
  (89,180)  (58,765) 
Accumulated deficit
  (508,674)  (447,722) 
Total Douglas Emmett, Inc. stockholders' equity
  1,865,106   1,827,061  
Noncontrolling interests
  450,849   472,108  
Total equity
  2,315,955   2,299,169  
Total liabilities and equity
 $6,231,602  $6,279,289  

 
See notes to consolidated financial statements.

 
F-4 

 

Douglas Emmett, Inc.
Consolidated Statements of Operations
(in thousands, except per share data)

   
Year Ended December 31,
  
   
2011
  
2010
  
2009
  
Revenues:
          
Office rental
          
Rental revenues
 $393,434  $399,184  $406,117  
Tenant recoveries
  43,914   37,406   31,407  
Parking and other income
  67,729   66,110   65,243  
Total office revenues
  505,077   502,700   502,767  
               
Multifamily rental
             
Rental revenues
  65,267   63,564   64,127  
Parking and other income
  4,993   4,580   4,166  
Total multifamily revenues
  70,260   68,144   68,293  
               
Total revenues
  575,337   570,844   571,060  
               
Operating Expenses:
             
Office expense
  168,869   159,155   154,270  
Multifamily expense
  19,012   18,327   17,925  
General and administrative
  29,286   28,305   23,887  
Depreciation and amortization
  205,696   225,030   226,620  
Total operating expenses
  422,863   430,817   422,702  
               
Operating income
  152,474   140,027   148,358  
               
Gain on disposition of interest in unconsolidated real estate fund
  -   -   5,573  
Other income (loss)
  1,106   1,191   (12) 
Loss, including depreciation, from unconsolidated real estate funds
  (2,867)  (6,971)  (3,279) 
Interest expense
  (148,455)  (166,907)  (184,797) 
Acquisition-related expenses
  -   (296)  -  
               
Net income (loss)
  2,258   (32,956)  (34,157) 
Less: net (income) loss attributable to noncontrolling interests
  (807)  6,533   7,093  
Net income (loss) attributable to common stockholders
 $1,451  $(26,423) $(27,064) 
               
Net income (loss) attributable to common stockholders per share – basic
 $0.01  $(0.22) $(0.22) 
Net income (loss) attributable to common stockholders per share – diluted
 $0.01  $(0.22) $(0.22) 


Douglas Emmett, Inc.
Consolidated Statements of Comprehensive Income
(in thousands)


   
Year Ended December 31,
  
   
2011
  
2010
  
2009
  
Net income (loss)
 $2,258  $(32,956) $(34,157) 
Other comprehensive income (loss): cash flow hedge adjustment
  (37,011)  87,985   112,217  
Comprehensive income (loss)
  (34,753)  55,029   78,060  
Less comprehensive (income) loss attributable to noncontrolling interests
  5,789   (14,015)  (17,268) 
Comprehensive income (loss) attributable to common stockholders
 $(28,964) $41,014  $60,792  



See notes to consolidated financial statements

 
F-5 

 

Douglas Emmett, Inc.
Consolidated Statements of Equity
(in thousands, except per share data)
   
Year Ended December 31,
  
   
2011
  
2010
  
2009
  
Shares of Common Stock
          
Balance at beginning of period
  124,131   121,596   121,897  
Repurchase of equity units
  -   -   (820) 
Conversion of operating partnership units
  714   2,535   519  
Issuance of common stock
  6,225   -   -  
Balance at end of period
  131,070   124,131   121,596  
               
Common Stock
             
Balance at beginning of period
 $1,241  $1,216  $1,219  
Repurchase of equity units
  -   -   (8) 
Conversion of operating partnership units
  8   25   5  
Issuance of common stock
  62   -   -  
Balance at end of period
 $1,311  $1,241  $1,216  
               
Additional Paid-in Capital
             
Balance at beginning of period
 $2,332,307  $2,290,419  $2,284,429  
Repurchase of equity units
  -   -   (4,606) 
Conversion of operating partnership units
  10,453   37,119   7,665  
Issuance of common stock
  117,397   -   -  
Stock compensation
  1,492   4,769   2,931  
Balance at end of period
 $2,461,649  $2,332,307  $2,290,419  
               
Accumulated Other Comprehensive Income (Loss)
             
Balance at beginning of period
 $(58,765) $(126,202) $(214,058) 
Cash flow hedge adjustment
  (30,415)  67,437   87,856  
Balance at end of period
 $(89,180) $(58,765) $(126,202) 
               
Accumulated Deficit
             
Balance at beginning of period
 $(447,722) $(372,070) $(296,401) 
Net income (loss)
  1,451   (26,423)  (27,064) 
Dividends
  (62,403)  (49,229)  (48,605) 
Balance at end of period
 $(508,674) $(447,722) $(372,070) 
               
Noncontrolling Interests
             
Balance at beginning of period
 $472,108  $499,022  $505,025  
Net income (loss)
  807   (6,533)  (7,093) 
Cash flow hedge adjustment
  (6,596)  20,548   24,361  
Repurchase of equity units
  -   -   (3,603) 
Deconsolidation of Douglas Emmett Fund X, LLC
  -   -   10  
Contributions
  10   167   450  
Distributions
  (14,904)  (13,595)  (16,571) 
Conversion of operating partnership units
  (10,461)  (37,144)  (7,670) 
Stock compensation
  9,885   9,643   4,113  
Balance at end of period
 $450,849  $472,108  $499,022  
               
Total Equity
             
Balance at beginning of period
 $2,299,169  $2,292,385  $2,280,214  
Net income (loss)
  2,258   (32,956)  (34,157) 
Cash flow hedge adjustment
  (37,011)  87,985   112,217  
Issuance of common stock
  117,459   -   -  
Repurchase of equity units
  -   -   (8,217) 
Dividends
  (62,403)  (49,229)  (48,605) 
Deconsolidation of Douglas Emmett Fund X, LLC
  -   -   10  
Contributions
  10   167   450  
Distributions
  (14,904)  (13,595)  (16,571) 
Stock compensation
  11,377   14,412   7,044  
Balance at end of period
 $2,315,955  $2,299,169  $2,292,385  
               
Dividends declared per common share
 $0.49  $0.40  $0.40  
 
See notes to consolidated financial statements.
 
F-6 

 

Douglas Emmett, Inc.
Consolidated Statements of Cash Flows
(in thousands)
   
Year Ended December 31,
  
   
2011
  
2010
  
2009
  
Operating Activities
          
Net income (loss)
 $2,258  $(32,956) $(34,157) 
Adjustments to reconcile net income (loss) to net cash provided by operating activities:
             
Depreciation and amortization
  205,696   225,030   226,620  
Net accretion of acquired lease intangibles
  (20,466)  (26,260)  (32,468) 
Loss, including depreciation, from unconsolidated real estate funds
  2,867   6,971   3,279  
Gain on disposition of interest in unconsolidated real estate fund
  -   -   (5,573) 
Non-cash profit sharing allocation to consolidated real estate fund
  -   -   660  
Amortization of deferred loan costs
  4,512   2,424   2,018  
Amortization of loan premium
  (9,073)  (5,326)  (5,026) 
Non-cash market value adjustments on interest rate contracts
  16,497   17,610   20,062  
Non-cash amortization of stock-based compensation
  7,995   10,127   5,101  
Change in working capital components:
             
Tenant receivables
  (131)  766   (132) 
Deferred rent receivables
  (9,748)  (8,538)  (8,961) 
Accounts payable and accrued expenses
  1,498   (11,276)  9,739  
Security deposits
  2,104   (935)  (75) 
Other assets
  3,829   11,238   (744) 
Net cash provided by operating activities
  207,838   188,875   180,343  
               
Investing Activities
             
Capital expenditures and property acquisitions
  (55,963)  (283,398)  (42,151) 
Deconsolidation of Douglas Emmett Fund X, LLC
  -   -   (6,625) 
Contributions to unconsolidated real estate funds
  (9,211)  (26,923)  -  
Distributions from unconsolidated real estate funds
  5,218   5,710   -  
Net cash used in investing activities
  (59,956)  (304,611)  (48,776) 
               
Financing Activities
             
Proceeds from long-term borrowings
  1,745,000   788,080   82,640  
Deferred loan costs
  (13,400)  (10,168)  (446) 
Repayment of borrowings
  (1,779,904)  (388,080)  (106,665) 
Net change in short-term borrowings
  -   -   (25,275) 
Payment of refundable loan deposit
  (1,575)  -   -  
Contributions by Douglas Emmett Fund X, LLC investors
  -   -   66,074  
Contributions by noncontrolling interests
  10   167   450  
Distributions to noncontrolling interests
  (15,090)  (13,400)  (16,742) 
Distributions of capital to noncontrolling interests
  -   (400)  -  
Redemption of noncontrolling interests
  -   -   (2,880) 
Issuance of common stock, net
  117,752   -   -  
Repurchase of common stock
  -   -   (5,337) 
Cash dividends
  (57,777)  (48,976)  (59,301) 
Termination of interest rate contracts
  (8,340)  (11,808)  -  
Net cash (used in) provided by financing activities
  (13,324)  315,415   (67,482) 
               
Increase in Cash and Cash Equivalents
  134,558   199,679   64,085  
Cash and Cash Equivalents at Beginning of Year
  272,419   72,740   8,655  
Cash and Cash Equivalents at End of Year
 $406,977  $272,419  $72,740  
               
Noncash transactions:
             
Investing activity related to contribution of properties to unconsolidated
             
 real estate fund
 $-  $-  $476,852  
Financing activity related to contribution of debt and noncontrolling interest
             
to unconsolidated real estate fund
 $-  $-  $(483,477) 
               
Supplemental disclosure of cash flow information
             
Cash paid during the year for interest
 $135,278  $158,641  $163,244  

See notes to consolidated financial statements for additional non-cash items.
 
F-7 

 
Douglas Emmett, Inc.
Notes to Consolidated Financial Statements


 
1. Organization and Description of Business

Douglas Emmett, Inc. is a fully integrated, self-administered and self-managed Real Estate Investment Trust (REIT). The terms “us,” “we” and “our” as used in these financial statements refer to Douglas Emmett, Inc. and its subsidiaries. Through our interest in Douglas Emmett Properties, LP (our operating partnership) and its subsidiaries, as well as our investment in our Funds, we own or partially own, manage, lease, acquire and develop real estate, consisting primarily of office and multifamily properties. As of December 31, 2011, we own a consolidated portfolio of 50 office properties (including ancillary retail space) and 9 multifamily properties, as well as the fee interests in 2 parcels of land subject to ground leases. Alongside our consolidated portfolio, we also manage and own equity interests in Funds that, at December 31, 2011, owned 8 additional office properties, for a combined 58 office properties in our total portfolio. All of these properties are located in Los Angeles County, California and Honolulu, Hawaii.

We are one of the largest owners and operators of high-quality office and multifamily properties in Los Angeles County, California and in Honolulu, Hawaii. Our presence in Los Angeles and Honolulu is the result of a consistent and focused strategy of identifying submarkets that are supply constrained, have high barriers to entry and typically exhibit strong economic characteristics such as population and job growth and a diverse economic base. In our office portfolio, we focus primarily on owning and acquiring a substantial share of top-tier office properties within submarkets located near high-end executive housing and key lifestyle amenities. In our multifamily portfolio, we focus primarily on owning and acquiring select properties at premier locations within these same submarkets. Our properties are concentrated in 9 premier Los Angeles County submarkets—Brentwood, Olympic Corridor, Century City, Santa Monica, Beverly Hills, Westwood, Sherman Oaks/Encino, Warner Center/Woodland Hills and Burbank—as well as in Honolulu, Hawaii.

2. Summary of Significant Accounting Policies

Basis of Presentation
The financial statements presented are the consolidated financial statements of Douglas Emmett, Inc. and its subsidiaries, including our operating partnership. Substantially all of our business is conducted through our consolidated operating partnership, in which other investors own a noncontrolling interest. See Note 11. Our business also includes a consolidated joint venture in which our operating partnership owns a two-thirds interest. The balances and results of the property owned by this consolidated joint venture are included in our financial statements.

The accompanying financial statements have been prepared pursuant to the rules and regulations of the United States Securities and Exchange Commission (SEC) in conformity with Generally Accepted Accounting Principles of the United States (GAAP) as established by the Financial Accounting Standards Board (FASB) in the Accounting Standards Codification (ASC) including modifications issued under Accounting Standards Updates (ASUs). The accompanying financial statements include, in our opinion, all adjustments, consisting of normal recurring adjustments, necessary to present fairly the financial information set forth therein. Any reference to the number of properties and square footage are unaudited and outside the scope of our independent registered public accounting firm’s audit of our financial statements in accordance with the standards of the United States Public Company Accounting Oversight Board.

Use of Estimates
The preparation of financial statements in conformity with GAAP requires management to make certain estimates and assumptions that affect the reported amounts in the consolidated financial statements and accompanying notes. Actual results could differ materially from those estimates.

Segment Information
Segment information is prepared on the same basis that our management reviews information for operational decision-making purposes. We operate two business segments: the acquisition, redevelopment, ownership and management of office real estate and the acquisition, redevelopment, ownership and management of multifamily real estate.

The products for our office segment include primarily rental of office space and other tenant services including parking and storage space rental. The products for our multifamily segment include rental of apartments and other tenant services including parking and storage space rental.

 
F-8

 
Douglas Emmett, Inc.
Notes to Consolidated Financial Statements (continued)

 
Investments in Real Estate
Acquisitions of properties are accounted for utilizing the purchase method and accordingly, the results of operations of acquired properties are included in our results of operations from the respective dates of acquisition. Transaction costs related to acquisitions are expensed, rather than included with the consideration paid. Estimates of future cash flows and other valuation techniques are used to allocate the purchase price of acquired property between land, buildings and improvements, equipment and identifiable intangible assets and liabilities such as amounts related to in-place at-market leases, acquired above- and below-market ground leases, and acquired above- and below-market tenant leases. Initial valuations are subject to change until such information is finalized, but no later than 12 months from the acquisition date.

The fair values of tangible assets are determined on an ‘‘as-if-vacant’’ basis. The ‘‘as-if-vacant’’ fair value is allocated to land, where applicable, buildings, tenant improvements and equipment based on comparable sales and other relevant information obtained in connection with the acquisition of the property.

The estimated fair value of acquired in-place at-market tenant leases are the costs we would have incurred to lease the property to the occupancy level of the property at the date of acquisition. Such estimates include the fair value of leasing commissions and legal costs that would be incurred to lease the property to this occupancy level. Additionally, we evaluate the time period over which such occupancy level would be achieved and include an estimate of the net operating costs (primarily real estate taxes, insurance and utilities) incurred during the lease-up period, which is generally 6 months.

Above-market and below-market in-place lease intangibles are recorded as an asset or liability based on the present value (using a discount rate which reflects the risks associated with the leases acquired) of the difference between the contractual amounts to be received or paid pursuant to the in-place tenant or ground leases, respectively, and our estimate of fair market lease rates for the corresponding in-place leases, measured over a period equal to the remaining non-cancelable term of the lease.

Expenditures for repairs and maintenance are charged to operations as incurred. Significant improvements and costs incurred in the execution of leases are capitalized. When assets are sold or retired, their costs and related accumulated depreciation are removed from the accounts with the resulting gains or losses reflected in operations for the period.

The values allocated to land, buildings, site improvements, in-place leases, tenant improvements and leasing costs are depreciated on a straight-line basis using an estimated life of 40 years for buildings; 15 years for site improvements; the average term of existing leases in the building acquired for in-place lease values; and the respective lease term for tenant improvements and leasing costs. The values of above- and below-market tenant leases are amortized over the life of the related lease and recorded as either an increase (for below-market leases) or a decrease (for above-market leases) to rental income. The values of acquired above- and below-market ground leases are amortized over the life of the lease and recorded either as an increase (for below-market leases) or a decrease (for above-market leases) to office rental operating expense. The amortization of acquired in-place leases is recorded as an adjustment to depreciation and amortization in the consolidated statements of operations. Any unamortized amounts relating to a lease that is terminated prior to its stated expiration are written off in the period of termination.

Investment in Unconsolidated Real Estate Funds
At December 31, 2011, we managed and held equity interests in two Funds: Douglas Emmett Fund X, LLC and Douglas Emmett Partnership X, LP. We held a 48.82% interest in Douglas Emmett Fund X, LLC and an aggregate 21.52% interest in the properties held by Douglas Emmett Partnership X, LP and its subsidiaries. Our investment balance represents our share of the net assets of the combined Funds, plus additional basis of approximately $4.2 million, primarily due to the inclusion of the cost of raising capital that is accounted for as part of our investment basis.

Impairment of Long-Lived Assets
We assess whether there has been impairment in the value of our long-lived assets whenever events or changes in circumstances indicate the carrying amount of an asset may not be recoverable. Recoverability of assets to be held and used is measured by a comparison of the carrying amount to the undiscounted future cash flows expected to be generated by the asset. If the current carrying value exceeds the estimated undiscounted cash flows, an impairment loss is recorded equal to the difference between the asset’s current carrying value and its value based on the discounted estimated future cash flows. Assets to be disposed of are reported at the lower of the carrying amount or fair value, less costs to sell. Based upon such periodic assessments, no impairments occurred during 2011, 2010 or 2009.

 
F-9

 
Douglas Emmett, Inc.
Notes to Consolidated Financial Statements (continued)
 
We assess whether there has been impairment in the value of our investments in our Funds periodically. An impairment charge is recorded when events or change in circumstances indicate that a decline in the fair value below the carrying value has occurred and such decline is other-than-temporary. The ultimate realization of the investments in our Funds is dependent on a number of factors, including the performance of the investment and market conditions. We will record an impairment charge if we determine that a decline in the value of an investment in one of our Funds is other-than-temporary.  Based upon such periodic assessments, no impairment occurred during 2011.

An asset is classified as an asset held for disposition when it meets certain requirements, including the approval of the sale of the asset, the marketing of the asset for sale and our expectation that the sale will likely occur within the next 12 months. Upon classification of an asset as held for disposition, the net book value of the asset, excluding long-term debt, is included on the balance sheet as properties held for disposition, depreciation of the asset is ceased and the operating results of the asset are included in discontinued operations for all periods presented.

Cash and Cash Equivalents
For purposes of the consolidated statements of cash flows, we consider short-term investments with maturities of three months or less when purchased to be cash equivalents.

Revenue and Gain Recognition
Four basic criteria must be met before revenue can be recognized: persuasive evidence of an arrangement exists; services are rendered; the fee is fixed and determinable; and collectibility is reasonably assured. All leases are classified as operating leases. For all lease terms exceeding one year, rental income is recognized on a straight-line basis over the term of the lease. Deferred rent receivables represent rental revenue recognized on a straight-line basis in excess of billed rents. Lease termination fees, which are included in rental revenues in the accompanying consolidated statements of operations, are recognized when the related lease is canceled and we have no continuing obligation to provide services to such former tenant. We recorded total lease termination revenue of $444 thousand for 2011, $844 thousand for 2010 and $1.0 million for 2009.

Estimated recoveries from tenants for real estate taxes, common area maintenance and other recoverable operating expenses are recognized as revenues in the period that the expenses are incurred. Subsequent to year-end, we perform reconciliations on a lease-by-lease basis and bill or credit each tenant for any cumulative annual adjustments. In addition, we record a capital asset for leasehold improvements constructed by us that are reimbursed by tenants, with the offsetting side of this accounting entry recorded to deferred revenue which is included in accounts payable and accrued expenses. The deferred revenue is amortized as additional rental revenue over the life of the related lease. Rental revenue from month-to-month leases or leases with no scheduled rent increases or other adjustments is recognized on a monthly basis when earned.

The recognition of gains on sales of real estate requires that we measure the timing of a sale against various criteria related to the terms of the transaction, as well as any continuing involvement in the form of management or financial assistance associated with the property. If the sales criteria are not met, we defer gain recognition and account for the continued operations of the property by applying the finance, profit-sharing or leasing method. If the sales criteria have been met, we further analyze whether profit recognition is appropriate using the full accrual method. If the criteria to recognize profit using the full accrual method have not been met, we defer the gain and recognize it when the criteria are met or use the installment or cost recovery method as appropriate under the circumstances.

Monitoring of Rents and Other Receivables
We maintain an allowance for estimated losses that may result from the inability of tenants to make required payments. If a tenant fails to make contractual payments beyond any allowance, we may recognize bad debt expense in future periods equal to the amount of unpaid rent and deferred rent. We take into consideration many factors to evaluate the level of reserves necessary, including historical termination/default activity and current economic conditions. As of December 31, 2011 and 2010, we had an allowance for doubtful accounts of $19.1 million and $17.1 million, respectively.

We generally do not require collateral or other security from our tenants other than security deposits or letters of credit. As of December 31, 2011 and 2010, we had a total of approximately $18.4 million and $17.2 million, respectively, of lease security available on existing letters of credit, as well as $34.0 million and $31.9 million, respectively, of lease security available in security deposits.

 
F-10

 
Douglas Emmett, Inc.
Notes to Consolidated Financial Statements (continued)
 
Deferred Loan Costs
Costs incurred in issuing secured notes payable are capitalized. Deferred loan costs are included in other assets in the consolidated balance sheets at December 31, 2011 and 2010. The deferred loan costs are amortized to interest expense over the life of the respective loans. Any unamortized amounts upon early repayment of secured notes payable are written-off in the period of repayment.

Interest Rate Agreements
We generally manage our interest rate risk associated with floating rate borrowings by obtaining interest rate swap and interest rate cap contracts. The interest rate swap agreements we utilize effectively modify our exposure to interest rate risk by converting our floating-rate debt to a fixed-rate basis, thus reducing the impact of interest-rate changes on future interest expense. These agreements involve the receipt of floating-rate amounts in exchange for fixed-rate interest payments over the life of the agreements without an exchange of the underlying principal amount. We do not use any other derivative instruments.

We record all derivatives on the balance sheet at fair value. The accounting for changes in the fair value of derivatives depends on the intended use of the derivative and the resulting designation. Derivatives used to hedge the exposure to changes in the fair value of an asset, liability, or firm commitment attributable to a particular risk, are considered fair value hedges. Derivatives used to hedge the exposure to variability in expected future cash flows, or other types of forecasted transactions, are considered cash flow hedges.

Our objective in using derivatives is to add stability to interest expense and to manage our exposure to interest rate movements and other identified risks. To accomplish this objective, we primarily use interest rate swaps as part of our cash flow hedging strategy. Interest rate swaps designated as cash flow hedges involve the receipt of variable-rate amounts in exchange for fixed-rate payments over the life of the agreements without exchange of the underlying principal amount. For derivatives designated as cash flow hedges, the effective portion of changes in the fair value of the derivative is initially reported in other comprehensive income (outside of earnings) and subsequently reclassified to earnings when the hedged transaction affects earnings. The ineffective portion of changes in the fair value of the derivative is recognized directly in earnings. We assess the effectiveness of each hedging relationship by comparing the changes in fair value or cash flows of the derivative hedging instrument with the changes in fair value or cash flows of the designated hedged item or transaction. For derivatives not designated as hedges, changes in fair value are recognized in earnings. The fair value of these hedges is obtained through independent third-party valuation sources that use conventional valuation algorithms. See Note 10.

Stock-Based Compensation
We account for stock-based compensation, including stock options and long-term incentive plan units, using the fair value method of accounting. The estimated fair value of the stock options and the long-term incentive units is amortized over their respective vesting periods.

Earnings (Loss) Per Share
Basic earnings (loss) per share is calculated by dividing the net income (loss) attributable to common stockholders for the period by the weighted average of common shares outstanding during the period. Diluted earnings (loss) per share is calculated by dividing the net income attributable to common stockholders for the period by the weighted average number of common and dilutive instruments outstanding during the period using the treasury stock method. See Note 12.

Income Taxes
We have elected to be taxed as a REIT under the Internal Revenue Code of 1986, as amended (IRC), commencing with our initial taxable year ending December 31, 2006. To qualify as a REIT, we are required (among other things) to distribute at least 90% of our REIT taxable income to our stockholders and meet the various other requirements imposed by the IRC relating to matters such as operating results, asset holdings, distribution levels and diversity of stock ownership. Provided we qualify for taxation as a REIT, we are generally not subject to corporate-level income tax on the earnings distributed currently to our stockholders that we derive from our REIT qualifying activities. We are subject to corporate-level tax on the earnings we derive through our taxable REIT subsidiaries (TRS). If we fail to qualify as a REIT in any taxable year, and were unable to avail ourselves of certain savings provisions set forth in the IRC, all of our taxable income would be subject to federal income tax at regular corporate rates, including any applicable alternative minimum tax.

In addition, we are subject to taxation by various state and local jurisdictions, including those in which we transact business or reside. Our non-TRS subsidiaries, including our operating partnership, are either partnerships or disregarded entities for federal income tax purposes. Under applicable federal and state income tax rules, the allocated share of net income or loss from disregarded entities (including limited partnerships and S-Corporations) is reportable in the income tax returns of the respective partners and stockholders. Accordingly, no income tax provision is included in the accompanying consolidated financial statements.

 
F-11

 
Douglas Emmett, Inc.
Notes to Consolidated Financial Statements (continued)
 
We have elected to treat several of our subsidiaries as taxable REIT subsidiaries which generally may engage in any business, including the provision of customary or non-customary services for our tenants. A TRS is treated as a regular corporation and is subject to federal income tax and applicable state income and franchise taxes at regular corporate rates.  Our TRS subsidiaries did not have significant tax provisions or deferred income tax items for 2011, 2010 or 2009.

Recently Issued Accounting Literature

In June 2011, the FASB issued ASU No. 2011-05, Comprehensive Income (Topic 220): Presentation of Comprehensive Income.  This ASU requires an entity to present the total of comprehensive income, the components of net income, and the components of other comprehensive income either in a single continuous statement of comprehensive income, or in two separate but consecutive statements. This ASU eliminates the option to present the components of other comprehensive income as part of the statement of changes in stockholders’ equity. This ASU is effective for fiscal years, and interim periods within those years, beginning after December 15, 2011, which for us means the first quarter of 2012. In December 2011, the FASB issued ASU No. 2011-12 which effectively deferred those changes in Update 2011-05 that relate to the presentation of reclassification adjustments out of accumulated other comprehensive income. The amendments will be temporary to allow the FASB time to redeliberate the presentation requirements for reclassifications out of accumulated other comprehensive income for annual and interim financial statements for public, private, and non-profit entities. We adopted ASU 2011-05 during the fourth quarter of 2011, and it did not have a material effect on our financial position or results of operations, as it only affects presentation.

In December 2011, the FASB issued ASU No. 2011-10, Derecognition of in Substance Real Estate - a Scope Clarification (Topic 360). This ASU modifies ASC Subtopic 360-20, which specifies circumstances under which the parent (reporting entity) of an “in substance real estate” entity derecognizes that in substance real estate. Generally, if the parent ceases to have a controlling financial interest (as described under ASC Subtopic 810-10) in the subsidiary as a result of a default on the subsidiary’s nonrecourse debt, then the subsidiary’s in substance real estate and related debt, as well as the corresponding results of operations, will continue to be included in the consolidated financial statements and not be removed from the consolidated results until legal title to the real estate is transferred. ASU 2011-10 will be effective for fiscal years, and interim periods within those years, beginning on or after June 15, 2012, which for us means the third quarter of 2012. We do not expect ASU 2011-10 to have a material effect on our financial position or results of operations.

In December 2011, the FASB issued ASU No. 2011-11, Disclosures about Offsetting Assets and Liabilities (Topic 210). The amendments in this ASU affect all entities that have financial instruments and derivative instruments that are either (1) offset in accordance with either Section 210-20-45 or Section 815-10-45 or (2) subject to an enforceable master netting arrangement or similar agreement. The amendments in this ASU require disclosure of information about the effects of offsetting and related arrangements under Section 210-20-50. ASU 2011-11 will be effective for annual reporting periods beginning on or after January 1, 2013, and interim periods within those annual periods, which for us means the first quarter of 2013. The ASU will require retrospective disclosures for all comparative periods presented. We do not expect ASU 2011-11 to have a material effect on our financial position or results of operations.

We do not expect any other recently issued ASUs to have any material impact on our consolidated financial position or results of operations, either because the ASU is not applicable or because we expect its impact to be immaterial.

 
F-12

 
Douglas Emmett, Inc.
Notes to Consolidated Financial Statements (continued)
 
3. Investment in Real Estate

The results of operations for 2011, 2010 and 2009 were affected by the acquisition of new properties, as well as the contribution of certain properties to one of our Funds. The operating results of acquired properties are included in our consolidated statements of operations only from the date each property was acquired, and in the case of the properties contributed to that Fund, only until the end of February 2009, when that Fund was deconsolidated from our financial statements. During the three years presented in our results of operations, we made one consolidated acquisition: Bishop Square, an office project containing approximately 960,000 square feet located in Honolulu, Hawaii for a contract price of $232.0 million, which we acquired in June 2010. Bishop Square is the largest office project in the state of Hawaii, and consists of two Class A office towers, an above-ground parking structure and a one-acre park. The following table (in thousands) summarizes the allocations of estimated fair values of the assets acquired and liabilities assumed at the date of acquisition:


   
2010 Acquisition
  
Investment in real estate:
    
Land
 $16,273  
Buildings and improvements
  200,781  
Tenant improvements and other in-place lease assets
  13,012  
Tenant receivables and other assets
  19  
Accounts payable, accrued expenses and tenant security deposits
  (1,015) 
Acquired lease intangibles
  501  
Net acquisition costs
 $229,571  


In addition, the total portfolio that we manage was increased by the following acquisitions made by our Funds: (i) the acquisition of a Class A office building located on Rodeo Drive in Beverly Hills in April 2011 for a contract price of $42.0 million and (ii) the acquisition of a Class A office building located in West Los Angeles in October 2010 for a contract price of $111.0 million.


 
F-13 

 
Douglas Emmett, Inc.
Notes to Consolidated Financial Statements (continued)


4. Acquired Lease Intangibles

The following summarizes our acquired lease intangibles related to above/below-market leases (in thousands) as of December 31:
   
2011
  
2010
  
Above-market tenant leases
 $34,968  $34,968  
Accumulated amortization
  (31,389)  (28,489) 
Below-market ground leases
  3,198   3,198  
Accumulated amortization
  (398)  (321) 
Acquired lease intangible assets, net
 $6,379  $9,356  
           
Below-market tenant leases
 $263,220  $263,220  
Accumulated accretion
  (189,371)  (166,127) 
Above-market ground leases
  16,200   16,200  
Accumulated accretion
  (3,248)  (3,049) 
Acquired lease intangible liabilities, net
 $86,801  $110,244  



Net accretion of above- and below-market in-place tenant lease value was recorded as an increase to rental income totaling $20.3 million for 2011, $26.1 million for 2010 and $32.3 million for 2009. The net accretion of above- and below-market ground lease value has been recorded as a decrease of office rental operating expense totaling $122 thousand for 2011, $123 thousand for 2010 and $122 thousand for 2009.

Following is the estimated net accretion at December 31, 2011 for the next five years (in thousands):

 
Year
    
2012
 $17,626  
2013
  15,263  
2014
  12,582  
2015
  10,281  
2016
  7,244  
Thereafter
  17,426  
Total
 $80,422  


5. Other Assets

Other assets consist of the following (in thousands) at December 31:

   
2011
  
2010
  
Deferred loan costs, net of accumulated amortization of $8,850 and
   $4,770 at December 31, 2011 and December 31, 2010, respectively
 $21,448  $12,561  
Restricted cash
  2,434   2,675  
Prepaid expenses
  3,770   3,710  
Interest receivable
  334   3,560  
Other indefinite-lived intangible
  1,988   1,988  
Deposits in escrow
  1,575   -  
Other
  2,141   2,288  
     Total other assets
 $33,690  $26,782  


We incurred deferred loan cost amortization expense of $4.5 million in 2011, $2.4 million in 2010 and $2.0 million in 2009. Deferred loan cost amortization is included as a component of interest expense in the consolidated statements of operations.

 
F-14

 
Douglas Emmett, Inc.
Notes to Consolidated Financial Statements (continued)
 
6. Future Minimum Lease Receipts

We lease space to tenants primarily under noncancelable operating leases that generally contain provisions for a base rent plus reimbursement for certain operating expenses. Operating expense reimbursements are reflected in our consolidated statements of operations as tenant recoveries.

We lease space to certain tenants under noncancelable leases that provide for percentage rents based upon tenant revenues. Percentage rental income totaled $591 thousand for 2011, $603 thousand for 2010 and $654 thousand for 2009.

Future minimum base rentals on our non-cancelable office and ground operating leases at December 31, 2011 were as follows (in thousands):


Twelve months ending December 31:
    
2012
 $358,922  
2013
  318,572  
2014
  261,967  
2015
  209,656  
2016
  166,577  
Thereafter
  452,600  
Total future minimum base rentals
 $1,768,294  


The future minimum lease payments in the table above (i) exclude residential leases, which typically have a term of one year or less, as well as tenant reimbursements, amortization of deferred rent receivables and above/below-market lease intangibles and (ii) assume that the termination options in some leases, which generally require payment of a termination fee, are not exercised.

7. Future Minimum Lease Payments

As of December 31, 2011, we leased portions of the land underlying two of our office properties. We have an ordinary purchase option on one of these two leases, which we may exercise at any time prior to May 31, 2014 for a purchase price of $27.5 million. We have the ability and intent to exercise this option, and therefore the future minimum rent payments are excluded from the table below. We expensed ground lease payments totaling $2.2 million for 2011, $2.2 million for 2010 and $2.1 million for 2009.

The following is a schedule of our minimum ground lease payments (in thousands) as of December 31, 2011:

Twelve months ending December 31:
    
2012
 $733  
2013
  733  
2014
  733  
2015
  733  
2016
  733  
Thereafter
  51,309  
Total future minimum lease payments
 $54,974  

 
F-15

 
Douglas Emmett, Inc.
Notes to Consolidated Financial Statements (continued)
 
8. Secured Notes Payable

A summary of our secured notes payable is as follows (in thousands):

Description
 
Maturity
Date (1)
   
Outstanding Principal Balance as of December 31, 2011
  
Outstanding Principal Balance as of December 31, 2010
  
Variable Interest Rate
  
Effective
Annual
Fixed Interest
Rate (1)
  
Swap Maturity Date (1)
  
Term Loans (2)
 
08/31/12
   $521,956  $2,300,000  
LIBOR + 0.85%
   N/A  --  
Term Loan (3)
 
03/03/14
    16,140   18,000  
LIBOR + 1.85%
   N/A  --  
Fannie Mae Loan (4)
 
02/01/15
    111,920   111,920  
DMBS + 0.707%
   N/A  --  
Term Loan
 
04/01/15
    340,000   340,000  
LIBOR +1.50%
   4.77% 
01/02/13
  
Fannie Mae Loan
 
02/01/16
    82,000   82,000  
LIBOR + 0.62%
   5.62% 
03/01/12
  
Fannie Mae Loans
 
06/01/17
    18,000   18,000  
LIBOR + 0.62%
   5.82% 
06/01/12
  
Term Loan
 
10/02/17
    400,000   400,000  
LIBOR + 2.00%
   4.45% 
07/01/15
  
Term Loan
 
04/02/18
    510,000   -  
LIBOR + 2.00%
   4.12% 
04/01/16
  
Term Loan
 
08/01/18
    530,000   -  
LIBOR + 1.70%
   3.74% 
08/01/16
  
Term Loan (5)
 
08/05/18
    355,000   -   --   4.14% --  
Term Loan (6)
 
03/01/20
(7)   350,000   -   --   4.46% --  
Fannie Mae Loans
 
11/02/20
    388,080   388,080  
LIBOR + 1.65%
   3.65% 
11/01/17
  
Aggregate loan principal
       3,623,096   3,658,000             
Unamortized Loan Premium (8)
       1,060   10,133             
Total
      $3,624,156  $3,668,133             
                           
Aggregate amount of effective fixed rate loans
   $2,268,080  $1,985,000       4.17%    
Aggregate amount of fixed rate loans
    705,000   -       4.30%    
Aggregate amount of variable rate loans
    650,016   1,673,000       N/A     
Aggregate loan principal
       3,623,096   3,658,000             
Unamortized Loan Premium
       1,060   10,133             
Total
      $3,624,156  $3,668,133             


(1)
Includes the effect of interest rate contracts and excludes amortization of loan fees, all shown on an actual/360-day basis. As of December 31, 2011, the weighted average remaining life of our consolidated outstanding debt was 5.5 years. Of the $2.97 billion of that debt where the interest rate was fixed under the terms of the loan or a swap, the weighted average remaining life was 6.5 years, the weighted average remaining period during which interest was fixed was 4.7 years, and the weighted average annual interest rate was 4.20%. Including the non-cash amortization of interest rate contracts, loan premium and prepaid financing, the effective weighted average interest rate was 4.66%. Except as otherwise noted, each loan is secured by a separate collateral pool consisting of one or more properties, requiring monthly payments of interest only with outstanding principal due upon maturity.
(2)
Includes 1 loan of approximately $522.0 million as of December 31, 2011 and a group of 7 separate loans aggregating $2.30 billion as of December 31, 2010. Originally, the interest rates on all of these loans were effectively fixed by interest rate swaps. As presented in the table, all of the remaining debt as of December 31, 2011 was variable rate debt due to the expiration or termination of the related swaps. See Note 19 regarding subsequent events.
(3)
The borrower is a consolidated entity in which our operating partnership owns a two-thirds interest.
(4)
The loan has a $75.0 million tranche bearing interest at DMBS + 0.76% and a $36.9 million tranche bearing interest at DMBS + 0.60%.
(5)
Monthly payments are interest-only until February 5, 2016, with principal amortization thereafter based upon a 30-year amortization table.
(6)
Bears interest at a fixed interest rate until March 1, 2018 and a floating interest rate based on LIBOR thereafter. Monthly interest payments are interest-only until March 1, 2014, with principal amortization thereafter based upon a 30-year amortization table.
(7)
We have 2 one-year extension options, which would extend the maturity to March 1, 2020 from March 1, 2018, subject to meeting certain conditions.
(8)
Represents non-cash mark-to-market adjustment on variable rate debt associated with office properties.

 
F-16

 
Douglas Emmett, Inc.
Notes to Consolidated Financial Statements (continued)
 
In January 2011, we modified and extended the maturity of an $18.0 million loan that was scheduled to mature on March 1, 2011. The modified loan has an outstanding balance of $16.1 million, bears interest at a floating rate equal to one-month LIBOR plus 1.85% and matures on March 3, 2014.

In February 2011, we obtained a secured, non-recourse $350.0 million term loan. This loan has a maturity date of March 1, 2020, including 2 one-year extension options. The loan bears interest at a fixed interest rate of 4.46% until March 1, 2018 and a floating interest rate thereafter. Monthly loan payments are interest-only until March 1, 2014, with principal amortization thereafter based upon a 30-year amortization schedule. The loan proceeds were largely used to fully repay a $319.6 million term loan, which was scheduled to mature in 2012. The balance of the loan proceeds were retained for other corporate purposes.

In March 2011, we obtained a secured, non-recourse $510.0 million term loan. This loan has a maturity date of April 2, 2018. The loan bears interest at a floating rate equal to LIBOR plus 2.00%, but we have entered into an interest rate swap contract that effectively fixes the annual interest rate at 4.12% until April 1, 2016. The loan proceeds were used in the repayment of a $531.8 million term loan, which was scheduled to mature in 2012.

In July 2011, we closed two secured, non-recourse loans. The first loan, for $355.0 million, bears interest at a fixed rate of 4.14% through the maturity date of August 5, 2018. Monthly payments are interest-only until February 5, 2016, with principal amortization thereafter based upon a 30-year amortization table. The second loan, for $530.0 million, bears interest at a floating rate equal to LIBOR plus 1.70% through the maturity date of August 1, 2018, but we have entered into an interest rate swap contract that effectively fixes the annual interest rate at 3.74% until August 1, 2016. The loan requires monthly interest-only payments. The proceeds of these loans were used in the repayment of term loans that were scheduled to mature in 2012.

Including the effect of the refinancings listed above, the minimum future principal payments due on our secured notes payable at December 31, 2011, excluding the non-cash loan premium amortization, were as follows (in thousands) :

Twelve months ending December 31:
    
2012
 $521,956  
2013
  -  
2014
  20,381  
2015
  457,799  
2016
  93,214  
Thereafter
  2,529,746  
Total future principal payments
 $3,623,096  


Subsequent to year end, we repaid the balance of all the 2012 maturities listed above. See Note 19.


9. Accounts Payable and Accrued Expenses

Accounts payable and accrued expenses consist of the following (in thousands) as of December 31:


   
2011
  
2010
  
Accounts payable
 $28,360  $29,713  
Accrued interest payable
  10,781   12,789  
Deferred revenue
  16,139   15,291  
     Total accounts payable and accrued expenses
 $55,280  $57,793  




 
F-17 

 
Douglas Emmett, Inc.
Notes to Consolidated Financial Statements (continued)


10. Interest Rate Contracts

Cash Flow Hedges of Interest Rate Risk
We manage our interest rate risk associated with floating-rate borrowings by obtaining interest rate swap and interest rate cap contracts. Our objective in using derivatives is to add stability to interest expense and to manage our exposure to interest rate movements or other identified risks. To accomplish this objective, we primarily use interest rate swaps as part of our cash flow hedging strategy to convert our floating-rate debt to a fixed-rate basis, thus reducing the impact of interest-rate changes on future interest expense and cash flows. These agreements involve the receipt of floating-rate amounts in exchange for fixed-rate interest payments over the life of the agreements without an exchange of the underlying principal amount. In limited instances, we use interest rate caps to limit our exposure to interest rate increases on an underlying floating-rate debt instrument. During 2011, we entered into two new interest rate swaps to fix the floating rate payments on two new borrowings of $510.0 million and $530.0 million, while certain swaps with a combined notional of $434.4 million reached their natural maturity in August 2011. We entered into interest rate caps designated as cash flow hedges to replace the $111.9 million of the $434.4 million of interest rate swaps that reached their natural maturity in August 2011. In December 2011, we terminated $322.5 million of our interest rate swaps by paying a swap termination fee of approximately $8.3 million. We may enter into derivative contracts that are intended to hedge certain economic risks, even though hedge accounting does not apply, or for which we elect to not apply hedge accounting. We do not use any other derivative instruments.

As of December 31, 2011, the totals of our existing swaps that qualified as highly effective cash flow hedges were as follows:

Interest Rate Derivative
  
Number of Instruments
  
Notional (in thousands)
  
Interest Rate Swaps
   11  $2,268,080   
Interest Rate Caps
   2  $111,920  


Non-designated Hedges
Derivatives not designated as hedges are not speculative. Prior to our IPO, we entered into certain pay-fixed swaps, as well as purchased caps to manage our exposure to interest rate movements and other identified risks. At the time of our IPO, we entered into an equal notional amount of offsetting receive-fixed swaps and sold caps, which were intended to reduce the effect on our reported earnings by largely offsetting the future cash flows and future change in fair value of our pre-IPO pay-fixed swaps and purchased caps. Over time, certain swaps have reached their natural maturity and others have been terminated. Most recently, $397.5 million of our pay-fixed swaps and $397.5 million of the offsetting receive-fixed swaps, as well as $111.9 million of our purchased caps and $111.9 million of our offsetting sold caps, reached their natural maturity in August 2011. In January 2011, we terminated $388.1 million of our interest rate caps as well as $388.1 million of the offsetting sold caps. In December 2011, we terminated $322.5 million of our pay-fixed swaps as well as $322.5 million of the offsetting receive-fixed swaps. Accordingly, as of December 31, 2011, we had the following outstanding interest rate derivatives that were not designated for accounting purposes as hedging instruments, but were used to hedge our economic exposure to interest rate risk:

Interest Rate Derivative
  
Number of Instruments
  
Notional (in thousands)
  
Pay-Fixed Swaps
   1  $82,000  
Receive-Fixed Swaps
   1  $82,000  
Purchased Caps
   4  $100,000  
Sold Caps
   4  $100,000  

Credit-risk-related Contingent Features
We have agreements with each of our derivative counterparties that contain a provision under which we could also be declared in default on our derivative obligations if we default on any of our indebtedness, including any default where repayment of the indebtedness has not been accelerated by the lender. We have agreements with certain of our derivative counterparties that contain a provision under which, if we fail to maintain a minimum cash and cash equivalents balance of $1.0 million, then the derivative counterparty would have the right to terminate the derivative. There have been no events of default on any of our derivatives.

As of December 31, 2011 and 2010, the fair value of derivatives, aggregated by counterparty, in a net liability position was $105.5 million and $59.7 million, respectively, which includes accrued interest but excludes any adjustment for nonperformance risk related to these agreements.

 
F-18

 
Douglas Emmett, Inc.
Notes to Consolidated Financial Statements (continued)
 
Accounting for Interest Rate Contracts
Hedge accounting generally provides for the timing of gain or loss recognition on the hedging instrument to match the earnings effect of the hedged forecasted transactions in a cash flow hedge. All other changes in fair value, with the exception of hedge ineffectiveness, are recorded in accumulated other comprehensive income (loss) (AOCI), which is a component of equity outside of earnings. Amounts reported in AOCI related to derivatives designated as accounting hedges will be reclassified to interest expense as interest payments are made on our hedged variable-rate debt. The ineffective portion of changes in the fair value of the derivative is recognized directly in earnings as interest expense. We assess the effectiveness of each hedging relationship by comparing the changes in fair value or cash flows of the derivative hedging instrument with the changes in fair value or cash flows of the designated hedged item or transaction. For derivatives not designated as hedges, changes in fair value are recognized directly in earnings as interest expense.

The change in net unrealized gains and losses on cash flow hedges reflects a reclassification from AOCI to interest expense, which increased interest expense by $80.9 million for 2011, $128.5 million for 2010 and $144.7 million for 2009. The cash flow swaps that we terminated in November 2010 had an AOCI balance of $13.9 million at the time they were terminated. Amortization of $3.5 million relating to this balance was included as part of the reclassification from AOCI to interest expense in 2010, and the remaining $10.4 million was reclassified in 2011. The cash flow swaps that we terminated in December 2011 had an AOCI balance of $10.1 million at the time they were terminated. Amortization of $1.3 million relating to this balance was included as part of the reclassification from AOCI to interest expense in 2011, and the remaining $8.8 million will be reclassified from AOCI to interest expense in 2012. Including this $8.8 million, we estimate an additional $66.0 million will be reclassified within 12 months after December 31, 2011 from AOCI to interest expense as an increase to interest expense.

The ineffectiveness attributable to mismatches between certain interest rate contracts and the corresponding items against which they were designated to hedge produced a gain of $50 thousand in 2011, a gain of $221 thousand in 2010 and a loss of $518 thousand in 2009.

Changes in fair value of derivatives not designated as hedges have been recognized in earnings for all periods. The aggregate net asset fair value of these swaps decreased $4.8 million in 2011, $14.3 million in 2010 and $19.5 million in 2009. These decreases in net asset fair value were recorded as additional interest expense.

The following table represents the effect of derivative instruments on our consolidated statements of operations and comprehensive income (in thousands) for the year ended December 31:



   
2011
  
2010
  
Derivatives Designated as Cash Flow Hedges:
       
Amount of gain (loss) recognized in other comprehensive income (OCI) on derivatives (effective portion)
 $(117,939) $(40,545) 
           
Amount of gain (loss) reclassified from accumulated OCI into earnings under "interest expense" (effective portion)
 $(80,928) $(128,530) 
           
Amount of gain (loss) on derivatives recognized in earnings under "interest expense" (ineffective portion and amount excluded from effectiveness testing)
 $50  $221  
           
Derivatives Not Designated as Cash Flow Hedges:
         
Amount of realized and unrealized gain (loss) on derivatives recognized in earnings under "interest expense"
 $(371) $47  

 
F-19 

 
Douglas Emmett, Inc.
Notes to Consolidated Financial Statements (continued)


Fair Value Measurement
We record all derivatives on the balance sheet at fair value, using the framework for measuring fair value established by the FASB. The fair value of these hedges is obtained through independent third-party valuation sources that use conventional valuation algorithms. The following table represents the fair values of derivative instruments (in thousands) as of December 31:


   
2011
  
2010
  
Derivative assets, disclosed as "Interest Rate Contracts":
       
Derivatives designated as accounting hedges
 $55  $14,204  
Derivatives not designated as accounting hedges
  644   38,324  
     Total derivative assets
 $699  $52,528  
           
Derivative liabilities, disclosed as "Interest Rate Contracts":
         
Derivatives designated as accounting hedges
 $97,774  $67,990  
Derivatives not designated as accounting hedges
  643   31,697  
     Total derivative liabilities
 $98,417  $99,687  


The FASB fair value framework includes a hierarchy that distinguishes between assumptions based on market data obtained from sources independent of the reporting entity and the reporting entity’s own assumptions about market-based inputs. Level 1 inputs utilize unadjusted quoted prices in active markets for identical assets or liabilities. Level 2 inputs are observable either directly or indirectly for similar assets and liabilities in active markets. Level 3 inputs are unobservable assumptions generated by the reporting entity.

The valuation of our interest rate swaps and caps is determined using widely accepted valuation techniques, including discounted cash flow analysis on the expected future cash flows of each derivative. This analysis reflects the contractual terms of the derivatives, including the period to maturity, and uses observable market-based inputs, including interest rate curves and implied volatilities. We incorporate credit valuation adjustments to appropriately reflect both our own nonperformance risk and the respective counterparty’s nonperformance risk in the fair value measurements. In adjusting the fair value of our derivative contracts for the effect of nonperformance risk, we considered the impact of netting and any applicable credit enhancements, such as collateral postings, thresholds, mutual puts and guarantees. We have determined that our derivative valuations in their entirety are classified in Level 2 of the fair value hierarchy. We did not have any fair value measurements using significant unobservable inputs (Level 3) as of December 31, 2011.

The table below presents the derivative assets and liabilities presented in our financial statements at their estimated fair value on a gross basis as of December 31, 2011 without reflecting any net settlement positions with the same counterparty (in thousands):

 
Quoted Prices in Active Markets for Identical Assets and Liabilities (Level 1)
   
Significant Other Observable Inputs (Level 2)
 
Significant Unobservable Inputs (Level 3)
 
Balance at
December 31, 2011
 
Assets
                             
Interest Rate Contracts
$
-
   
$
699
   
$
-
   
$
699
   
                               
Liabilities
                             
Interest Rate Contracts
$
-
   
$
98,417
   
$
-
   
$
98,417
   


 
F-20

 
Douglas Emmett, Inc.
Notes to Consolidated Financial Statements (continued)

 
11. Equity

We had 131.1 million shares of common stock and 32.0 million operating partnership units and fully-vested LTIP units outstanding as of December 31, 2011. Noncontrolling interests in our operating partnership relate to interests in our operating partnership that are not owned by us. Noncontrolling interests represented approximately 20% of our operating partnership as of December 31, 2011. A unit in our operating partnership and a share of our common stock have essentially the same economic characteristics as they share equally in the total net income or loss distributions of our operating partnership. Investors who own units in our operating partnership have the right to cause our operating partnership to redeem any or all of their units in our operating partnership for cash equal to the then-current market value of one share of common stock, or, at our election, shares of our common stock on a one-for-one basis.

Noncontrolling interests also includes the interest of a minority partner in a joint venture formed to purchase an office building in Honolulu, Hawaii. The joint venture is two-thirds owned by our operating partnership and was consolidated in our financial statements as of December 31, 2011.

During 2011 approximately 714 thousand units in our operating partnership were converted to shares of our common stock and we sold 6.2 million shares of our common stock in open market transactions under our ATM program for gross proceeds of approximately $119.8 million, or net proceeds of approximately $117.8 million after commissions and other expenses, leaving approximately $130.2 million available under our ATM program at December 31, 2011 (all of which was sold subsequent to year end; see Note 19). We did not make any repurchases of shares or share equivalents during 2011. During 2010, approximately 2.5 million operating partnership units were exchanged for shares of common stock. We did not make any repurchases of share equivalents during 2010. During 2009, we repurchased 820 thousand share equivalents in open market transactions and 250 thousand share equivalents in a private transaction for a total combined consideration of approximately $8.2 million. We may make additional purchases of our share equivalents from time to time in private transactions or in the public markets, but have no commitments to do so.

The table below represents the net income attributable to common stockholders and transfers from noncontrolling interests (in thousands) for the year ended December 31:


   
2011
  
2010
  
2009
  
            
Net income (loss) attributable to common stockholders
 $1,451  $(26,423) $(27,064) 
Transfers from the noncontrolling interests:
             
Increase in common stockholders additional paid-in capital for
             
    repurchase of operating partnership units
  -   -   723  
Increase in common stockholders additional paid-in capital for
             
    exchange of operating partnership units
  10,453   37,119   7,665  
Net transfers from noncontrolling interests
  10,453   37,119   8,388  
Change from net income (loss) attributable to common stockholders
             
    and transfers from noncontrolling interests
 $11,904  $10,696  $(18,676) 

 
 
During the second quarter of 2011, we increased our quarterly dividend from $0.10 per share to $0.13 per share, so that we paid aggregate dividends of $0.46 per share during 2011. During 2010 and 2009, we declared four quarterly dividends of $0.10 per share, or an aggregate of $0.40 per share.

Earnings and profits, which determine the taxability of distributions to stockholders, may differ from income reported for financial reporting purposes due to the differences for federal income tax purposes in the treatment of loss on extinguishment of debt, revenue recognition, compensation expense and in the basis of depreciable assets and estimated useful lives used to compute depreciation. Our common stock dividends are classified for United States federal income tax purposes as follows (unaudited):

Record Date
Paid Date
 
Dividend Per Share
  
Ordinary Income %
  
Capital Gain %
  
Return of Capital %
  
12/31/10
1/14/11
 $0.1000   0.0%  0.0%  100.0% 
3/31/11
4/15/11
  0.1000   0.0%  0.0%  100.0% 
6/30/11
7/15/11
  0.1300   0.0%  0.0%  100.0% 
9/30/11
10/13/11
  0.1300   0.0%  0.0%  100.0% 
 
Total:
 $0.4600   0.0%  0.0%  100.0% 

 
F-21

 
Douglas Emmett, Inc.
Notes to Consolidated Financial Statements (continued)
 
12. Earnings (Loss) Per Share


            
   
Year ended December 31,
  
   
2011
  
2010
  
2009
  
Numerator (in thousands):
          
Net income (loss) attributable to common stockholders
 $1,451  $(26,423) $(27,064) 
Add back: Net income (loss) attributable to noncontrolling interests
             
in our operating partnership
  366   -   -  
Numerator for diluted net income (loss) attributable to all equity holders
 $1,817  $(26,423) $(27,064) 
               
Denominator (in thousands):
             
Weighted average shares of common stock outstanding - basic
  126,187   122,715   121,553  
Effect of dilutive securities (1):
             
Operating partnership units
  31,840   -   -  
Stock options
  1,412   -   -  
Unvested LTIP units
  527   -   -  
Weighted average shares of common stock and common stock equivalents
             
outstanding - diluted
  159,966   122,715   121,553  
               
Basic earnings (loss) per share:
             
Net income (loss) attributable to common stockholders per share
 $0.01  $(0.22) $(0.22) 
               
Diluted earnings (loss) per share:
             
Net income (loss) attributable to common stockholders per share
 $0.01  $(0.22) $(0.22) 


(1)
Diluted shares represent ownership in our company through shares of common stock, units in our operating partnership and other convertible equity instruments. Basic and diluted shares are calculated in accordance with GAAP and include common stock plus dilutive equity instruments, as appropriate. For the years ended December 31, 2010 and 2009, all potentially dilutive instruments, including stock options, OP units and LTIP units have been excluded from our computation of weighted average dilutive shares outstanding because they were not dilutive.

13. Stock-Based Compensation

2006 Omnibus Stock Incentive Plan
The Douglas Emmett, Inc. 2006 Omnibus Stock Incentive Plan, our stock incentive plan, permits us to make grants of incentive stock options, non-qualified stock options, stock appreciation rights, deferred stock awards, restricted stock awards, dividend equivalent rights and other stock-based awards. We had an aggregate of 22.7 million shares available for grant as of December 31, 2011, although “full value” awards (such as deferred stock awards, restricted stock awards and LTIP unit awards) are counted against our stock incentive plan overall limits as two shares (rather than one), while options and Stock Appreciation Rights are counted as one share (0.9 shares for options or Stock Appreciation Rights with terms of five years or less). The number of shares reserved under our stock incentive plan is also subject to adjustment in the event of a stock split, stock dividend or other change in our capitalization. Generally, shares that are forfeited or canceled from awards under our stock incentive plan also will be available for future awards.

Our stock incentive plan is administered by the compensation committee of our board of directors. The compensation committee may interpret our stock incentive plan and may make all determinations necessary or desirable for the administration of our plan. The committee has full power and authority to select the participants to whom awards will be granted, to make any combination of awards to participants, to accelerate the exercisability or vesting of any award and to determine the specific terms and conditions of each award, subject to the provisions of our stock incentive plan. All full-time and part-time officers, employees, directors and other key persons (including consultants and prospective employees) are eligible to participate in our stock incentive plan.

 
F-22

 
Douglas Emmett, Inc.
Notes to Consolidated Financial Statements (continued)
 
Other stock-based awards under our stock incentive plan include awards that are valued in whole or in part by reference to shares of our common stock, including convertible preferred stock, convertible debentures and other convertible or exchangeable securities, partnership interests in a subsidiary or our operating partnership, awards valued by reference to book value, fair value or performance of a subsidiary and any class of profits interest or limited liability company membership interest. We have made certain awards in the form of a separate series of units of limited partnership interests in our operating partnership called LTIP units, which can be granted either as free-standing awards or in tandem with other awards under our stock incentive plan. Our LTIP units were valued by reference to the value of our common stock at the time of grant, and are subject to such conditions and restrictions as the compensation committee may determine, including continued employment or service, computation of financial metrics and/or achievement of pre-established performance goals and objectives.

During each year, we accrue compensation expense as part of annual bonuses which we expect to payout in the form of immediately vested equity grants shortly after the end of that year. Compensation expense for LTIP units which are not vested at grant is recognized on a straight-line basis over the requisite service period for each separately vesting portion of the award. Compensation expense for options which are not vested at grant is recognized on a straight-line basis over the requisite service period for the entire award. Certain amounts of equity compensation expense are capitalized for employees who provide leasing and construction services.

During 2011, 2010 and 2009, we granted LTIP units to key employees. Our grants of LTIP units totaled approximately 623 thousand in 2011, 1.1 million in 2010 and 302 thousand in 2009. During 2010 and 2009, we also granted options to purchase shares of our common stock to key employees. No options were granted in 2011. Our grants of options totaled approximately 1.2 million in 2010 and 3.2 million in 2009. A portion of each award was fully vested at grant and the remainder vests in three equal tranches on the first, second and third December 31 following the grant.

We make long-term grants of LTIP units every three years to our non-employee directors, which totaled approximately 50 thousand LTIP units in 2010. In 2011, we made long-term grants of 7 thousand LTIP units to new directors. We also granted LTIP units totaling approximately 23 thousand in 2011, 20 thousand in 2010 and 30 thousand in 2009 in lieu of cash compensation for the non-employee directors’ services that vest ratably over the year of grant.

Total net equity compensation expense during 2011, 2010 and 2009 for equity grants was $8.0 million, $10.1 million and $5.1 million, respectively. These amounts do not include (i) capitalized equity compensation totaling $578 thousand, $667 thousand and $406 thousand during 2011, 2010 and 2009, respectively, and (ii) equity grants vested at grant issued during 2011, 2010 and 2009 totaling $2.8 million, $3.6 million and $1.4 million, respectively, to satisfy a portion of the annual bonuses that were accrued during the prior year.


 
F-23 

 
Douglas Emmett, Inc.
Notes to Consolidated Financial Statements (continued)


We calculated the fair value of the stock options granted in 2010 and 2009 using the Black-Scholes option-pricing model using the following assumptions:
   
Year ended December 31,
  
   
2010
  
2009
  
         
Dividend yield
  5.70%  7.70% 
Expected volatility
  38.00%  24.50% 
Expected life
 
60 months
  
60 months
  
Risk –free interest rate
  2.50%  1.50% 



We calculated the fair value of the LTIP units granted using the market value of our common stock on the date of grant and a discount estimated by a third-party consultant for post-vesting restrictions. The total grant date fair value of LTIP units which vested in 2011, 2010 and 2009 was $8.1 million, $10.3 million and $4.1 million, respectively. Total unrecognized compensation cost related to nonvested option and LTIP awards was $5.1 million at December 31, 2011. This expense will be recognized over a weighted-average term of 18 months. The following is a summary of certain information with respect to outstanding stock options and LTIP units granted under our stock incentive plan:

Stock Options:
 
Number of Stock Options (thousands)
  
Weighted Average Exercise Price
  
Weighted
Average
Remaining
Contract Life
(months)
  
Total
Intrinsic Value (thousands)
  
               
Outstanding at December 31, 2008
  8,057  $21.26   98  $-  
                   
Granted
  3,236   11.42          
                   
Outstanding at December 31, 2009
  11,293   18.44   93  $9,159  
                   
Granted
  1,247   15.05          
                   
Outstanding at December 31, 2010
  12,540   18.10   84  $18,698  
                   
Granted
  -              
                   
Outstanding at December 31, 2011
  12,540   18.10   72  $26,051  
                   
Exercisable at December 31, 2011
  12,327   18.16   71  $25,371  

Unvested LTIP Units:
 
Number
of Units (thousands)
  
Weighted
Average
Grant Date
Fair Value
  
         
Outstanding at December 31, 2008
  200  $21.49  
           
Granted
  331   10.64  
Vested
  (288)  14.27  
Outstanding at December 31, 2009
  243   15.26  
           
Granted
  1,189   11.83  
Vested
  (805)  12.75  
Outstanding at December 31, 2010
  627   11.99  
           
Granted
  653   12.62  
Vested
  (676)  12.01  
Forfeited
  (1)  14.92  
Outstanding at December 31, 2011
  603   12.64  

 
F-24

 
Douglas Emmett, Inc.
Notes to Consolidated Financial Statements (continued)
 
14. Fair Value of Financial Instruments

Our estimates of the fair value of financial instruments at December 31, 2011 and 2010 were determined using available market information and appropriate valuation methods. Considerable judgment is necessary to interpret market data and develop estimated fair value. The use of different market assumptions or estimation methods may have a material effect on the estimated fair value amounts.

The carrying amounts for cash and cash equivalents, restricted cash, rents and other receivables, due from affiliates, accounts payable and other liabilities approximate fair value because of the short-term nature of these instruments. We calculate the fair value of our secured notes payable based on a currently available market rate, assuming the loans are outstanding through maturity and considering the collateral. At December 31, 2011, the aggregate fair value of our secured notes payable was estimated to be approximately $3.67 billion, based on a credit-adjusted present value of the principal and interest payments that are at floating rates, compared to a carrying value of $3.62 billion at December 31, 2011. As of December 31, 2010, the estimated fair value of our secured loans was approximately $3.58 billion compared to a carrying value of $3.66 billion at December 31, 2010.

Currently, we use interest rate swaps and caps to manage interest rate risk resulting from variable interest payments on our floating rate debt. These financial instruments are carried on our balance sheet at fair value based on the assumptions that market participants would use in pricing the asset or liability. See Note 10.



 
F-25 

 
Douglas Emmett, Inc.
Notes to Consolidated Financial Statements (continued)


15. Commitments and Contingencies

We are subject to various legal proceedings and claims that arise in the ordinary course of business. Excluding ordinary, routine litigation incidental to our business, we are not currently a party to any legal proceedings that we believe would reasonably be expected to have a material adverse effect on our business, financial condition or results of operations.

Concentration of Credit Risk
Our properties are located in Los Angeles County, California and Honolulu, Hawaii. The ability of the tenants to honor the terms of their respective leases is dependent upon the economic, regulatory and social factors affecting the markets in which the tenants operate. We perform ongoing credit evaluations of our tenants for potential credit losses. In addition, we have financial instruments that subject us to credit risk, which consist primarily of accounts receivable, deferred rents receivable and interest rate contracts. We maintain our cash and cash equivalents at high quality financial institutions with investment grade ratings. Interest bearing accounts at each U.S. banking institution are insured by the Federal Deposit Insurance Corporation up to $250 thousand, while non interest bearing accounts (where we have almost all of our funds) do not currently have a limit on insurance. We have not experienced any losses to date on our deposited cash.

Asset Retirement Obligations
Conditional asset retirement obligations represent a legal obligation to perform an asset retirement activity in which the timing and/or method of settlement is conditional on a future event that may or may not be within our control. A liability for a conditional asset retirement obligation must be recorded if the fair value of the obligation can be reasonably estimated. Environmental site assessments and investigations have identified 20 properties in our consolidated portfolio containing asbestos, which would have to be removed in compliance with applicable environmental regulations if these properties undergo major renovations or are demolished. As of December 31, 2011, the obligations to remove the asbestos from these properties have indeterminable settlement dates, and we are unable to reasonably estimate the fair value of the associated conditional asset retirement obligation.

Investment in Unconsolidated Real Estate Fund
At December 31, 2011, we had commitments for future capital contributions related to our investments in our Funds totaling $38.0 million.

Guarantees
In 2008, we contributed 6 properties, a related $365.0 million term loan and the benefits and burdens of related interest rate swap agreements to one of our Funds. If that Fund fails to perform any obligations under the swap agreement, we remain liable to the swap counterparties. The maximum future payments under the swap agreement were approximately $9.7 million as of December 31, 2011. As of December 31, 2011, all obligations under the swap agreement have been performed by that Fund in accordance with the terms of that agreement.

Tenant Concentrations
In 2011, 2010 and 2009, no tenant exceeded 10% of our total rental revenue and tenant reimbursements.


 
  F-26

 
Douglas Emmett, Inc.
Notes to Consolidated Financial Statements (continued)


16. Segment Reporting

Segment information is prepared on the same basis that our management reviews information for operational decision-making purposes. We operate in two business segments: (i) the acquisition, redevelopment, ownership and management of office real estate and (ii) the acquisition, redevelopment, ownership and management of multifamily real estate. The products for our office segment primarily include rental of office space and other tenant services, including parking and storage space rental. The products for our multifamily segment include rental of apartments and other tenant services, including parking and storage space rental.

Asset information by segment is not reported because we do not use this measure to assess performance and make decisions to allocate resources. Therefore, depreciation and amortization expense is not allocated among segments. Interest and other income, management services, general and administrative expenses, interest expense, depreciation and amortization expense and net derivative gains and losses are not included in segment profit as our internal reporting addresses these items on a corporate level.

Segment profit is not a measure of operating income or cash flows from operating activities as measured by GAAP, and it is not indicative of cash available to fund cash needs and should not be considered an alternative to cash flows as a measure of liquidity. Not all companies may calculate segment profit in the same manner. We consider segment profit to be an appropriate supplemental measure to net income because it assists both investors and management in understanding the core operations of our properties.

The following table (in thousands) represents operating activity within our reportable segments:


   
Year Ended December 31,
  
Office Segment
 
2011
  
2010
  
2009
  
Rental revenue
 $505,077  $502,700  $502,767  
Rental expense
  (168,869)  (159,155)  (154,270) 
Segment profit
  336,208   343,545   348,497  
               
Multifamily Segment
             
Rental revenue
  70,260   68,144   68,293  
Rental expense
  (19,012)  (18,327)  (17,925) 
Segment profit
  51,248   49,817   50,368  
               
Total segments' profit
 $387,456  $393,362  $398,865  

The following table (in thousands) is a reconciliation of segment profit to net income (loss) attributable to common stockholders:


   
Year Ended December 31,
  
   
2011
  
2010
  
2009
  
Total segments' profit
 $387,456  $393,362  $398,865  
General and administrative expenses
  (29,286)  (28,305)  (23,887) 
Depreciation and amortization
  (205,696)  (225,030)  (226,620) 
Gain on disposition of interest in unconsolidated real estate fund
  -   -   5,573  
Other income (loss)
  1,106   1,191   (12) 
Loss, including depreciation, from unconsolidated real estate fund
  (2,867)  (6,971)  (3,279) 
Interest expense
  (148,455)  (166,907)  (184,797) 
Acquisition-related expenses
  -   (296)  -  
Net income (loss)
  2,258   (32,956)  (34,157) 
Less: Net (income) loss attributable to noncontrolling interests
  (807)  6,533   7,093  
Net income (loss) attributable to common stockholders
 $1,451  $(26,423) $(27,064) 

 
F-27

 
Douglas Emmett, Inc.
Notes to Consolidated Financial Statements (continued)
 
17. Quarterly Financial Information (unaudited)

The tables below reflect selected quarterly information for 2011 and 2010 (in thousands, except per share amounts):


 
Three Months Ended
  
   
December 31,
2011
  
September 30,
2011
  
June 30,
2011
  
March 31,
2011
  
Total revenue
 $143,279  $144,059  $145,408  $142,591  
Net income (loss) before noncontrolling interests
  4,408   4,404   (6,209)  (345) 
Net income (loss) attributable to common stockholders
  3,419   3,397   (5,016)  (349) 
                   
Net income (loss) per common share - basic
 $0.03  $0.03  $(0.04) $(0.00) 
Net income (loss) per common share - diluted
 $0.03  $0.03  $(0.04) $(0.00) 
Weighted average shares of common stock
                 
outstanding - basic
  128,407   127,462   124,610   124,210  
Weighted average shares of common stock
                 
outstanding - diluted
  161,924   161,186   124,610   124,210  
                   
                   
 
Three Months Ended
  
   
December 31,
2010
  
September 30,
2010
  
June 30,
2010
  
March 31,
2010
  
Total revenue
 $145,778  $148,070  $139,209  $137,787  
Net loss before noncontrolling interests
  (6,439)  (4,743)  (11,305)  (10,469) 
Net loss attributable to common stockholders
  (5,249)  (3,896)  (8,991)  (8,287) 
                   
Net loss per common share - basic and diluted
 $(0.04) $(0.03) $(0.07) $(0.07) 
Weighted average shares of common stock
                 
outstanding - basic and diluted
  123,778   123,077   122,332   121,644  



18. Investments in Unconsolidated Real Estate Funds

We manage and own an equity interest in two Funds through which institutional investors provide capital commitments for acquisition of properties. For information regarding Douglas Emmett Fund X, LLC, please see the audited financial statements beginning on page F-32. The table below reflects selected financial information for Douglas Emmett Partnership X, LP which was formed in February 2010 and began operations in October 2010. The amounts represent 100% (not our pro-rata share) of amounts related to this Fund, and are based upon historical acquired book value (in thousands).
   
Year Ended December 31, 2011
  
February 19, 2010 (inception) through December 31, 2010
  
Total revenues
 $12,151  $1,788  
Total operating expense
  10,470   2,422  
Net loss
  (1,673)  (1,489) 
           
   
December 31, 2011
  
December 31, 2010
  
Total assets
 $157,727  $118,671  
Total liabilities
  58,182   58,539  
Total equity
  99,545   60,132  



 
F-28

 
Douglas Emmett, Inc.
Notes to Consolidated Financial Statements (continued)
 
19. Subsequent Events

Subsequent to year end we sold 6.9 million shares of our common stock in open market transactions under our ATM program for gross proceeds of approximately $130.2 million, or net proceeds of approximately $128.2 million after commissions and other expenses, which completes the $250.0 million ATM program.

On January 3, 2012 we paid down $222.0 million of our $522.0 million loan with a maturity date of August 2012, and on February 1, 2012, we paid down the remaining $300.0 million.
 
On January 18, 2012, we obtained a secured, non-recourse $155.0 million term loan. The loan bears interest at a fixed interest rate of 4.00% through its maturity date of February 1, 2019. Monthly interest payments are interest-only until February 2015, with principal amortization thereafter based upon a 30-year amortization table.
 
Also, subsequent to year end we entered into an agreement to purchase an additional 16.3% interest in Douglas Emmett Fund X, LLC for approximately $33.4 million from an existing Fund investor that is rebalancing its portfolio. The acquisition included the assumption of approximately $3.15 million in undrawn commitments. The purchase is expected to close during the first quarter of 2012.
 


 

 
F-29 

 

Douglas Emmett, Inc.
Schedule III
Consolidated Real Estate and Accumulated Depreciation
(in thousands)
        
Initial Cost
  
Cost Capitalized Subsequent to Acquisition
  
Gross Carrying Amount
at December 31, 2011
            
Property Name
  
Encumbrances at December 31, 2011
  
Land
  
Building & Improvements
  
Improvements
     
Land
   
Building & Improvements
  
Total
  
Accumulated Depreciation at December 31, 2011
 
Year Built / Renovated
 
Year Aquired
  
Office Properties
                                            
100 Wilshire
 
 139,199
 
 12,769
  $ 
78,447
  $ 
139,751
    $
27,108
    $
203,859
  $
 230,967
 
 38,078
 
1968/2002
 
1999
  
11777 San Vicente
  
 26,000
  
 5,032
  
 15,768
  
 28,423
     
 6,714
   
 42,509
  
 49,223
  
 8,143
 
1974/1998
 
1999
  
12400 Wilshire
  
 61,600
  
 5,013
  
 34,283
  
 74,819
     
 8,828
   
 105,287
  
 114,115
  
 20,205
 
1985
 
1996
  
1901 Avenue of the Stars
  
 148,442
  
 18,514
  
 131,752
  
 108,799
     
 26,163
   
 232,902
  
 259,065
  
 43,744
 
1968/2001
 
2001
  
401 Wilshire
  
 80,000
  
 9,989
  
 29,187
  
 115,096
     
 21,787
   
 132,485
  
 154,272
  
 23,965
 
1981/2000
 
1996
  
9601 Wilshire
  
 112,144
  
 16,597
  
 54,774
  
 104,198
     
 17,658
   
 157,911
  
 175,569
  
 29,901
 
1962/2004
 
2001
  
Beverly Hills Medical Center
  
 31,469
  
 4,955
  
 27,766
  
 27,997
     
 6,435
   
 54,283
  
 60,718
  
 10,302
 
1964/2004
 
2004
  
Bishop Place
  
 73,813
  
 8,317
  
 105,651
  
 59,635
     
 8,833
   
 164,770
  
 173,603
  
 34,293
 
1992
 
2004
  
Bishop Square
  
 139,131
  
 16,273
  
 213,793
  
 5,996
     
 16,273
   
 219,789
  
 236,062
  
 13,906
 
1972/1983
 
2010
  
Brentwood Court
  
 6,318
  
 2,564
  
 8,872
  
 635
     
 2,563
   
 9,508
  
 12,071
  
 2,136
 
1984
 
2006
  
Brentwood Executive Plaza
  
 25,461
  
 3,255
  
 9,654
  
 34,489
     
 5,921
   
 41,477
  
 47,398
  
 9,073
 
1983/1996
 
1995
  
Brentwood Medical Plaza
  
 25,805
  
 5,934
  
 27,836
  
 1,930
     
 5,933
   
 29,767
  
 35,700
  
 6,534
 
1975
 
2006
  
Brentwood San Vicente Medical
  
 13,297
  
 5,557
  
 16,457
  
 769
     
 5,557
   
 17,226
  
 22,783
  
 3,385
 
1957/1985
 
2006
  
Brentwood/Saltair
  
 13,100
  
 4,468
  
 11,615
  
 11,353
     
 4,775
   
 22,661
  
 27,436
  
 5,268
 
1986
 
2000
  
Bundy/Olympic
  
 24,056
  
 4,201
  
 11,860
  
 29,473
     
 6,030
   
 39,504
  
 45,534
  
 8,470
 
1991/1998
 
1994
  
Camden Medical Arts
  
 28,606
  
 3,102
  
 12,221
  
 27,925
     
 5,298
   
 37,950
  
 43,248
  
 7,095
 
1972/1992
 
1995
  
Century Park Plaza
  
 85,010
  
 10,275
  
 70,761
  
 105,364
     
 16,153
   
 170,247
  
 186,400
  
 33,149
 
1972/1987
 
1999
  
Century Park West
  
 22,600
  
 3,717
  
 29,099
  
 436
     
 3,667
   
 29,585
  
 33,252
  
 4,670
 
1971
 
2007
  
Columbus Center
  
 10,559
  
 2,096
  
 10,396
  
 9,415
     
 2,333
   
 19,574
  
 21,907
  
 4,330
 
1987
 
2001
  
Coral Plaza
  
 23,327
  
 4,028
  
 15,019
  
 18,721
     
 5,366
   
 32,402
  
 37,768
  
 6,679
 
1981
 
1998
  
Cornerstone Plaza
  
 55,800
  
 8,245
  
 80,633
  
 5,884
     
 8,263
   
 86,499
  
 94,762
  
 13,152
 
1986
 
2007
  
Encino Gateway
  
 51,463
  
 8,475
  
 48,525
  
 53,444
     
 15,653
   
 94,791
  
 110,444
  
 19,774
 
1974/1998
 
2000
  
Encino Plaza
  
 30,011
  
 5,293
  
 23,125
  
 46,214
     
 6,165
   
 68,467
  
 74,632
  
 14,167
 
1971/1992
 
2000
  
Encino Terrace
  
 67,307
  
 12,535
  
 59,554
  
 94,619
     
 15,533
   
 151,175
  
 166,708
  
 31,103
 
1986
 
1999
  
Executive Tower
  
 77,100
  
 6,660
  
 32,045
  
 62,075
     
 9,471
   
 91,309
  
 100,780
  
 21,205
 
1989
 
1995
  
Gateway Los Angeles
  
 28,429
  
 2,376
  
 15,302
  
 47,078
     
 5,119
   
 59,637
  
 64,756
  
 11,557
 
1987
 
1994
  
Harbor Court
  
 -
  
 51
  
 41,001
  
 22,913
     
 -
   
 63,965
  
 63,965
  
 15,534
 
1994
 
2004
  
Honolulu Club
  
 16,140
  
 1,863
  
 16,766
  
 4,181
     
 1,863
   
 20,947
  
 22,810
  
 2,799
 
1980
 
2008
  
Landmark II
  
 119,000
  
 19,156
  
 109,259
  
 76,448
     
 26,139
   
 178,724
  
 204,863
  
 34,483
 
1989
 
1997
  
Lincoln/Wilshire
  
 24,895
  
 3,833
  
 12,484
  
 22,427
     
 7,475
   
 31,269
  
 38,744
  
 5,360
 
1996
 
2000
  
MB Plaza
  
 28,091
  
 4,533
  
 22,024
  
 31,500
     
 7,503
   
 50,554
  
 58,057
  
 11,186
 
1971/1996
 
1998
  
Olympic Center
  
 27,968
  
 5,473
  
 22,850
  
 32,215
     
 8,247
   
 52,291
  
 60,538
  
 10,710
 
1985/1996
 
1997
  
One Westwood
  
 45,577
  
 10,350
  
 29,784
  
 59,812
     
 9,194
   
 90,752
  
 99,946
  
 16,969
 
1987/2004
 
1999
  
Palisades Promenade
  
 36,000
  
 5,253
  
 15,547
  
 51,053
     
 9,664
   
 62,189
  
 71,853
  
 11,027
 
1990
 
1995
  
Saltair/San Vicente
  
 15,472
  
 5,075
  
 6,946
  
 16,662
     
 7,557
   
 21,126
  
 28,683
  
 4,552
 
1964/1992
 
1997
  
San Vicente Plaza
  
 9,430
  
 7,055
  
 12,035
  
 352
     
 7,055
   
 12,387
  
 19,442
  
 3,005
 
1985
 
2006
  
Santa Monica Square
  
 25,487
  
 5,366
  
 18,025
  
 20,095
     
 6,863
   
 36,623
  
 43,486
  
 6,952
 
1983/2004
 
2001
  
Second Street Plaza
  
 35,802
  
 4,377
  
 15,277
  
 35,092
     
 7,421
   
 47,325
  
 54,746
  
 10,650
 
1991
 
1997
  
Sherman Oaks Galleria
  
 264,297
  
 33,213
  
 17,820
  
 407,851
     
 48,328
   
 410,556
  
 458,884
  
 84,130
 
1981/2002
 
1997
  
Studio Plaza
  
 115,591
  
 9,347
  
 73,358
  
 128,949
     
 15,015
   
 196,639
  
 211,654
  
 38,580
 
1988/2004
 
1995
  
The Trillium
  
 184,500
  
 20,688
  
 143,263
  
 84,188
     
 21,989
   
 226,150
  
 248,139
  
 46,688
 
1988
 
2005
  
Tower at Sherman Oaks
  
 -
  
 4,712
  
 15,747
  
 37,682
     
 8,685
   
 49,456
  
 58,141
  
 10,807
 
1967/1991
 
1997
  
Valley Executive Tower
  
 86,055
  
 8,446
  
 67,672
  
 99,699
     
 11,737
   
 164,080
  
 175,817
  
 31,919
 
1984
 
1998
  
Valley Office Plaza
  
 35,037
  
 5,731
  
 24,329
  
 46,691
     
 8,957
   
 67,794
  
 76,751
  
 13,943
 
1966/2002
 
1998
  
Verona
  
 14,300
  
 2,574
  
 7,111
  
 14,123
     
 5,111
   
 18,697
  
 23,808
  
 4,111
 
1991
 
1997
  
Village on Canon
  
 33,583
  
 5,933
  
 11,389
  
 49,356
     
 13,303
   
 53,375
  
 66,678
  
 9,849
 
1989/1995
 
1994
  
Warner Center Towers
  
 373,514
  
 43,110
  
 292,147
  
 391,387
     
 59,418
   
 667,226
  
 726,644
  
 134,932
 
1982-1993/2004
 
2002
  
Westside Towers
  
 80,216
  
 8,506
  
 79,532
  
 77,591
     
 14,568
   
 151,061
  
 165,629
  
 30,242
 
1985
 
1998
  
Westwood Place
  
 52,094
  
 8,542
  
 44,419
  
 51,905
     
 11,448
   
 93,418
  
 104,866
  
 18,202
 
1987
 
1999
  
                                              
Multifamily Properties
                                            
555 Barrington
  
 43,440
  
 6,461
  
 27,639
  
 40,736
     
 14,903
   
 59,933
  
 74,836
  
 10,599
 
1989
 
1999
  
Barrington Plaza
  
 153,630
  
 28,568
  
 81,485
  
 144,731
     
 58,208
   
 196,576
  
 254,784
  
 35,522
 
1963/1998
 
1998
  
Barrington/Kiowa
  
 7,750
  
 5,720
  
 10,052
  
 644
     
 5,720
   
 10,696
  
 16,416
  
 1,911
 
1974
 
2006
  
Barry
  
 7,150
  
 6,426
  
 8,179
  
 534
     
 6,426
   
 8,713
  
 15,139
  
 1,740
 
1973
 
2006
  
Kiowa
  
 3,100
  
 2,605
  
 3,263
  
 327
     
 2,605
   
 3,590
  
 6,195
  
 705
 
1972
 
2006
  
Moanalua Hillside Apartments
  
 111,920
  
 24,720
  
 85,895
  
 38,671
     
 35,294
   
 113,992
  
 149,286
  
 19,417
 
1968/2004
 
2005
  
Pacific Plaza
  
 46,400
  
 10,091
  
 16,159
  
 73,623
     
 27,816
   
 72,057
  
 99,873
  
 11,948
 
1963/1998
 
1999
  
The Shores
  
 144,610
  
 20,809
  
 74,191
  
 197,871
     
 60,555
   
 232,316
  
 292,871
  
 37,905
 
1965-67/2002
 
1999
  
Villas at Royal Kunia
  
 82,000
  
 42,887
  
 71,376
  
 15,190
     
 35,165
   
 94,288
  
 129,453
  
 18,958
 
1990/1995
 
2006
  
                                              
Ground Lease
                                            
Owensmouth/Warner
  
 -
  
 23,848
  
 -
  
 -
     
 23,848
   
 -
  
 $23,848
  
 -
 
N/A
 
2006
  
                                              
TOTAL
  $ 
3,623,096
 
 585,562
 
 2,651,419
 
 3,489,037
    $
851,679
 
 5,874,339
 
 6,726,018
 
1,119,619
        

The aggregate cost of total real estate for federal income tax purposes was approximately $3.8 billion at December 31, 2011.
 
F-30 

 


Schedule III (continued)
Consolidated Real Estate and Accumulated Depreciation
(in thousands)


 
     
Year ended December 31,
  
     
2011
  
2010
  
2009
  
Real Estate Assets
            
Balance, beginning of period
 $6,670,683  $6,387,060  $6,981,316  
Additions
- property acquisitions
  -   230,066   -  
 
- improvements
  55,335   53,557   44,952  
Deductions
- deconsolidation
  -   -   (639,208) 
Balance, end of period
 $6,726,018  $6,670,683  $6,387,060  
                 
Accumulated Depreciation
             
Balance, beginning of period
 $(913,923) $(688,893) $(490,125) 
Additions
- depreciation
  (205,696)  (225,030)  (226,620) 
Deductions
- deconsolidation
  -   -   27,852  
Balance, end of period
 $(1,119,619) $(913,923) $(688,893) 

 
F-31 

 


Report of Independent Registered Public Accounting Firm

The Members of
Douglas Emmett Fund X, LLC

We have audited the accompanying consolidated balance sheets of Douglas Emmett Fund X, LLC (the “Fund”) as of December 31, 2011 and 2010, and the related consolidated statements of comprehensive income, equity, and cash flows for the years then ended. These financial statements are the responsibility of the Fund’s management. Our responsibility is to express an opinion on these financial statements based on our audits.

We conducted our audits in accordance with the standards of the Public Company Accounting Oversight Board (United States). Those standards require that we plan and perform the audit to obtain reasonable assurance about whether the financial statements are free of material misstatement. We were not engaged to perform an audit of the Fund’s internal control over financial reporting. Our audits included consideration of internal control over financial reporting as a basis for designing audit procedures that are appropriate in the circumstances, but not for the purpose of expressing an opinion on the effectiveness of the Fund’s internal control over financial reporting. An audit includes examining, on a test basis, evidence supporting the amounts and disclosures in the financial statements. An audit also includes assessing the accounting principles used and significant estimates made by management, as well as evaluating the overall financial statement presentation. We believe that our audits provide a reasonable basis for our opinion.

In our opinion, the financial statements referred to above present fairly, in all material respects, the consolidated financial position of Douglas Emmett Fund X, LLC at December 31, 2011 and 2010, and the consolidated results of its operations and its cash flows for the years then ended, in conformity with U.S. generally accepted accounting principles.



 
/s/ Ernst & Young LLP
 
 
Los Angeles, California
February 24, 2012
 


 
F-32 

 

Douglas Emmett Fund X, LLC
Consolidated Balance Sheets
(in thousands)


         
   
December 31, 2011
  
December 31, 2010
  
Assets
       
Investment in real estate:
       
Land
 $64,847  $64,847  
Buildings and improvements
  530,097   529,301  
Tenant improvements and lease intangibles
  71,242   64,164  
Investment in real estate, gross
  666,186   658,312  
Less: accumulated depreciation
  (85,284)  (62,169) 
Investment in real estate, net
  580,902   596,143  
           
Cash and cash equivalents
  3,919   7,028  
Tenant receivables, net
  67   132  
Deferred rent receivables, net
  5,056   3,812  
Acquired lease intangible assets, net of accumulated amortization
         
of $1,102 and $866 as of 2011 and 2010, respectively
  354   590  
Investment in unconsolidated real estate fund
  9,126   5,513  
Other assets
  237   301  
Total assets
 $599,661  $613,519  
           
Liabilities
         
Secured note payable
 $365,000  $365,000  
Accounts payable and accrued expenses
  4,222   2,862  
Interest payable
  1,736   1,736  
Security deposits
  3,696   3,220  
Acquired lease intangible liabilities, net of accumulated amortization
         
of $22,377 and $19,344 as of 2011 and 2010, respectively
  4,536   7,569  
Interest rate contracts
  8,561   19,948  
Total liabilities
  387,751   400,335  
           
Equity
         
Sub-REIT investors
  121   121  
Members' equity, including $8,561 and $19,948 accumulated other
         
comprehensive loss as of 2011 and 2010, respectively
  211,789   213,063  
Total equity
  211,910   213,184  
Total liabilities and equity
 $599,661  $613,519  



 
See notes to consolidated financial statements.

 
F-33 

 

Douglas Emmett Fund X, LLC
Consolidated Statements of Comprehensive Loss
(in thousands)


            
            
   
Year Ended December 31,
  
   
2011
  
2010
  
2009
  
         
(unaudited)
  
Revenues
          
Rental revenues
 $39,457  $38,485  $43,765  
Tenant recoveries
  728   1,731   3,405  
Parking and other income
  6,576   5,943   6,643  
Total revenues
  46,761   46,159   53,813  
               
Operating Expenses
             
Office expense
  15,767   19,593   20,316  
General and administrative
  220   209   248  
Depreciation and amortization
  23,115   27,319   29,285  
Total operating expenses
  39,102   47,121   49,849  
               
Operating income (loss)
  7,659   (962)  3,964  
               
Other income (loss)
  5   334   (343) 
Loss, including depreciation, from unconsolidated
             
real estate fund
  (319)  (199)  -  
Interest expense
  (20,445)  (20,445)  (20,526) 
Net loss
  (13,100)  (21,272)  (16,905) 
Less: net income attributable to Sub-REIT investors
  (15)  (15)  (15) 
Net loss attributable to Members
 $(13,115) $(21,287) $(16,920) 
               
Other comprehensive income
  11,387   359   7,703  
Comprehensive loss attributable to Members
 $(1,728) $(20,928) $(9,217) 



See notes to consolidated financial statements

 
F-34 

 

Douglas Emmett Fund X, LLC
Consolidated Statements of Equity
(in thousands)
 

 

 
   
Sub-REIT
Investors
  
DEIX, LLC
  
Other Members
  
Total
  
Balance - December 31, 2008 (unaudited)
 $119  $170,763  $45,008  $215,890  
Contributions
  2   63,502   69,593   133,097  
Distributions
  (15)  -   -   (15) 
Preferred equity redemption
  -   (125,000)  -   (125,000) 
Preferred equity yield
  -   (701)  (736)  (1,437) 
Offering costs
  -   (27)  (82)  (109) 
Net income attributable to Sub-REIT investors
  15   -   -   15  
Net loss attributable to Members
  -   (8,261)  (8,659)  (16,920) 
Other comprehensive income
  -   3,761   3,942   7,703  
Balance - December 31, 2009 (unaudited)
  121   104,037   109,066   213,224  
Contributions
  -   12,664   13,277   25,941  
Distributions
  (15)  -   -   (15) 
Priority distributions
  -   (5,053)  -   (5,053) 
Priority distribution allocation
  -   2,586   (2,586)  -  
Net income attributable to Sub-REIT investors
  15   -   -   15  
Net loss attributable to Members
  -   (10,392)  (10,895)  (21,287) 
Other comprehensive income
  -   175   184   359  
Balance - December 31, 2010
  121   104,017   109,046   213,184  
Contributions
  -   1,920   2,012   3,932  
Distributions
  (15)  -   -   (15) 
Priority distributions
  -   (3,478)  -   (3,478) 
Priority distribution allocation
  -   1,781   (1,781)  -  
Net income attributable to Sub-REIT investors
  15   -   -   15  
Net loss attributable to Members
  -   (6,403)  (6,712)  (13,115) 
Other comprehensive income
  -   5,559   5,828   11,387  
Balance - December 31, 2011
 $121  $103,396  $108,393  $211,910  

 


See notes to consolidated financial statements.

 
F-35 

 

Douglas Emmett Fund X, LLC
Consolidated Statements of Cash Flows
(in thousands)
 

 
            
            
   
Year Ended December 31,
  
   
2011
  
2010
  
2009
  
         
(unaudited)
  
Operating Activities:
          
Net loss
 $(13,100) $(21,272) $(16,905) 
               
Adjustments to reconcile net loss to net cash
             
provided by (used in) operating activities:
             
               
Depreciation and amortization
  23,115   27,319   29,285  
Loss, including depreciation, from unconsolidated
             
   real estate fund
  319   199   -  
Net accretion of acquired lease intangibles
  (2,797)  (3,961)  (7,026) 
Change in working capital components:
             
Tenant receivables
  65   121   361  
Deferred rent receivable
  (1,244)  (1,407)  (1,112) 
Accounts payable and accrued expenses
  1,360   (3,665)  1,328  
Security deposits
  476   (95)  (92) 
Other assets
  64   25   934  
Net cash provided by (used in) operating activities
  8,258   (2,736)  6,773  
               
Investing Activities:
             
Capital expenditures and property acquisitions
  (7,874)  (7,283)  (13,308) 
Contributions to unconsolidated real estate fund
  (3,932)  (5,712)  -  
Net cash used in investing activities
  (11,806)  (12,995)  (13,308) 
               
Financing Activities:
             
Member contributions
  3,932   25,941   133,095  
Distribution to Manager
  -   -   (126,437) 
Distributions to Sub-REIT investors, net
  (15)  (15)  (13) 
Priority distributions
  (3,478)  (5,053)  -  
Offering costs
  -   -   (109) 
Net cash provided by financing activities
  439   20,873   6,536  
               
(Decrease) increase in Cash and Cash Equivalents
  (3,109)  5,142   1  
Cash and Cash Equivalents Beginning of Year
  7,028   1,886   1,885  
Cash and Cash Equivalents at End of Year
 $3,919  $7,028  $1,886  
               
               
Supplemental disclosure of cash flow information
             
Cash paid during the year for interest
 $20,445  $20,445  $20,445  

 
See notes to consolidated financial statements
 

 
F-36 

 
Douglas Emmett Fund X, LLC
Notes to Consolidated Financial Statements


 
 
1. Organization and Description of Business

Douglas Emmett Fund X, LLC (the “Fund”) was organized on October 7, 2008 as a Delaware limited liability company. The Fund was formed for the purpose of investing in real estate, and at December 31, 2011 had a 100% interest in 6 office properties (the “Fund Properties”) and a 9.4% interest in two unconsolidated office properties which is accounted for under the equity method.

Douglas Emmett Fund X REIT, Inc (the “Company”), a Maryland corporation, is the Fund’s wholly owned subsidiary.  The Company issued 121 shares of Non-Voting Preferred Stock (the “Sub-REIT Investors”) to qualify as a real estate investment trust for federal income tax purposes.

DEIX, LLC, a Delaware limited liability company, is the manager of the Fund (the “Manager”) and is also a member of the Fund. As of December 31, 2011, the Fund had total capital commitments of $307.25 million from DEIX, LLC and the other members (collectively, the “Members”) of which $19.4 million was unfunded at December 31, 2011.

The Operating Agreement of the Fund (the “Operating Agreement”) provides that the Fund may continue in existence until ten years after the completion of the Investment Period, as defined in the Operating Agreement, which may be extended under certain conditions.

Equity distributions by the Fund are allocated between the Members in accordance with the Operating Agreement. Increases or decreases in net income or net loss, respectively, are allocated between the capital accounts of the Members in accordance with the Operating Agreement in a manner consistent with cash distributions. Losses are generally allocated to the Members based on their respective ownership percentage interests.

2. Summary of Significant Accounting Policies

Basis of Presentation
The consolidated financial statements include the accounts of the Fund and its subsidiaries. All significant intercompany transactions and balances have been eliminated in consolidation. The consolidated financial statements have been prepared in accordance with accounting principles generally accepted in the United States of America.  The Fund operates in one segment comprised of real estate office properties.

Use of Estimates
The preparation of financial statements in conformity with U.S. generally accepted accounting principles requires management to make certain estimates and assumptions that affect the reported amounts in the consolidated financial statements and accompanying notes. Actual results could differ from those estimates.

Investment in Real Estate
Acquisitions of properties are accounted for utilizing the purchase method and accordingly, the results of operations of acquired properties are included in the Fund’s results of operations from the respective dates of acquisition.  Transaction costs related to acquisitions are expensed, rather than included with the consideration paid. Estimates of future cash flows and other valuation techniques are used to allocate the purchase price of acquired property between land, buildings and improvements, equipment and identifiable intangible assets and liabilities such as amounts related to in-place at-market leases, acquired above- and below-market ground leases, and acquired above- and below-market tenant leases. Initial valuations are subject to change until such information is finalized, but no later than 12 months from the acquisition date.

The fair values of tangible assets are determined on an ‘‘as-if-vacant’’ basis.  The ‘‘as-if-vacant’’ fair value is allocated to land, where applicable, buildings, tenant improvements and equipment based on comparable sales and other relevant information obtained in connection with the acquisition of the property.

The estimated fair value of acquired in-place at-market tenant leases are the costs the Fund would have incurred to lease the property to the occupancy level of the property at the date of acquisition.  Such estimates include the fair value of leasing commissions and legal costs that would be incurred to lease the property to this occupancy level.  Additionally, the Fund evaluates the time period over which such occupancy level would be achieved and include an estimate of the net operating costs (primarily real estate taxes, insurance and utilities) incurred during the lease-up period, which is generally 6 months.


 
F-37

Douglas Emmett Fund X, LLC
Notes to Consolidated Financial Statements (continued)

Above-market and below-market in-place lease intangibles are recorded as an asset or liability based on the present value (using a discount rate which reflects the risks associated with the leases acquired) of the difference between the contractual amounts to be received or paid pursuant to the in-place tenant or ground leases, respectively, and the Fund’s estimate of fair market lease rates for the corresponding in-place leases, measured over a period equal to the remaining noncancelable term of the lease.

Expenditures for repairs and maintenance are charged to operations as incurred.  Significant improvements and costs incurred in the execution of leases are capitalized. When assets are sold or retired, their costs and related accumulated depreciation are removed from the accounts with the resulting gains or losses reflected in operations for the period.

The values allocated to land, buildings, site improvements, in-place leases, tenant improvements and leasing costs are depreciated on a straight-line basis using an estimated life of 40 years for buildings; 15 years for site improvements; an average term of existing leases in the building involved for in-place lease values; and the respective lease term for tenant improvements and leasing costs. The values of above- and below-market tenant leases are amortized over the life of the related lease and recorded as either an increase (for below-market leases) or a decrease (for above-market leases) to rental income. The values of acquired above- and below-market ground leases are amortized over the life of the lease and recorded either as an increase (for below-market leases) or a decrease (for above-market leases) to office rental operating expense. The amortization of acquired in-place leases is recorded as an adjustment to depreciation and amortization in the consolidated statements of comprehensive income. Any unamortized amounts relating to a lease that is terminated prior to its stated expiration are written off in the period of termination.

The table below presents the expected net accretion related to the acquired above and below-market leases at December 31, 2011 (in thousands):

Year
    
2012
 $1,489  
2013
  959  
2014
  880  
2015
  655  
2016
  129  
Thereafter
  70  
Total
 $4,182  

Impairment of Long-Lived Assets
The Fund assesses whether there has been impairment in the value of its long-lived assets whenever events or changes in circumstances indicate the carrying amount of an asset may not be recoverable.  Recoverability of assets to be held and used is measured by a comparison of the carrying amount to the undiscounted future cash flows expected to be generated by the asset.  If the current carrying value exceeds the estimated undiscounted cash flows, an impairment loss is recorded equal to the difference between the asset’s current carrying value and its value based on the discounted estimated future cash flows.  Assets to be disposed of are reported at the lower of the carrying amount or fair value, less costs to sell.  Based upon such periodic assessments, no impairment occurred during 2011.

The Fund assesses whether there has been impairment in the value of its investment in unconsolidated real estate fund periodically.  An impairment charge is recorded when events or change in circumstances indicate that a decline in the fair value below the carrying value has occurred and such decline is other-than-temporary. The ultimate realization of the investment in unconsolidated real estate fund is dependent on a number of factors, including the performance of the investment and market conditions. The Fund will record an impairment charge if it determines that a decline in the value of an investment in an unconsolidated real estate fund is other-than-temporary.  Based upon such periodic assessments, no impairment occurred during 2011.

An asset is classified as an asset held for disposition when it meets certain requirements, including the approval of the sale of the asset, the marketing of the asset for sale and the Fund’s expectation that the sale will likely occur within the next 12 months.  Upon classification of an asset as held for disposition, the net book value of the asset, excluding long-term debt, is included on the balance sheet as properties held for disposition, depreciation of the asset is ceased and the operating results of the asset are included in discontinued operations for all periods presented.


 Cash and Cash Equivalents
For purposes of the consolidated statements of cash flows, we consider short-term investments with maturities of three months or less when purchased to be cash equivalents.
 
 
F-38

 
Douglas Emmett Fund X, LLC
Notes to Consolidated Financial Statements (continued)
 
Revenue and Gain Recognition
Four basic criteria must be met before revenue can be recognized: persuasive evidence of an arrangement exists; services are rendered; the fee is fixed and determinable; and collectability is reasonably assured.  All leases are classified as operating leases.  For all lease terms exceeding one year, rental income is recognized on a straight-line basis over the terms of the leases.  Deferred rent receivables represent rental revenue recognized on a straight-line basis in excess of billed rents.  Lease termination fees, which are included in rental revenues in the accompanying consolidated statements of comprehensive income, are recognized when the related leases are canceled and the Fund has no continuing obligation to provide services to such former tenants.

Estimated recoveries from tenants for real estate taxes, common area maintenance and other recoverable operating expenses are recognized as revenues in the period that the expenses are incurred.  Subsequent to year-end, the Fund performs final reconciliations on a lease-by-lease basis and bills or credits each tenant for any cumulative annual adjustments.  In addition, the Fund records a capital asset for leasehold improvements constructed by it that are reimbursed by tenants, with the offsetting side of this accounting entry recorded to deferred revenue which is included in accounts payable and accrued expenses.  The deferred revenue is amortized as additional rental revenue over the life of the related lease.  Rental revenue from month-to-month leases or leases with no scheduled rent increases or other adjustments is recognized on a monthly basis when earned.

The recognition of gains on sales of real estate requires that the Fund measure the timing of a sale against various criteria related to the terms of the transaction, as well as any continuing involvement in the form of management or financial assistance associated with the property.  If the sales criteria are not met, the Fund defers gain recognition and accounts for the continued operations of the property by applying the finance, profit-sharing or leasing method.  If the sales criteria have been met, the Fund further analyzes whether profit recognition is appropriate using the full accrual method.  If the criteria to recognize profit using the full accrual method have not been met, the Fund defers the gain and recognize it when the criteria are met or use the installment or cost recovery method as appropriate under the circumstances.

Monitoring of Rents and Other Receivables
The Fund maintains an allowance for estimated losses that may result from the inability of tenants to make required payments. If a tenant fails to make contractual payments beyond any allowance, the Fund may recognize bad debt expense in future periods equal to the amount of unpaid rent and deferred rent. The Fund takes into consideration many factors to evaluate the level of reserves necessary, including historical termination/default activity and current economic conditions.  As of December 31, 2011 and 2010, the Fund had an allowance for doubtful accounts and deferred rent of $981 thousand and $1.1 million respectively.

Interest Rate Agreements
The Fund manages its interest rate risk associated with borrowings by obtaining interest rate swap contracts.  The interest rate swap agreements the Fund utilizes effectively modify its exposure to interest rate risk by converting its floating-rate debt to a fixed-rate basis, thus reducing the impact of interest-rate changes on future interest expense.  These agreements involve the receipt of floating-rate amounts in exchange for fixed-rate interest payments over the life of the agreements without an exchange of the underlying principal amount. The Fund does not use any other derivative instruments.

At December 31, 2011, all of the Fund’s derivatives were considered cash flow hedges. The effective portion of changes in the fair value of the derivatives is initially reported in other comprehensive income (outside of earnings) and subsequently reclassified to earnings when the hedged transaction affects earnings. The ineffective portion of changes in fair value of the derivative is recognized directly in earnings. The Fund assesses the effectiveness of each hedging relationship by comparing the changes in fair value or cash flows of the derivative hedging instrument with the changes in fair value or cash flows of the designated hedged item or transaction.  During 2011, 2010 and 2009, the other comprehensive income attributable to the derivatives was $11.4 million, $359 thousand and $7.7 million (unaudited), respectively.

The Fund records all derivatives on the balance sheet at fair value.  The fair value of these hedges is obtained through independent third-party valuation sources that use conventional valuation algorithms.

The Financial Accounting Standards Board (“FASB”) has established a framework for measuring fair value which uses a market based measurement, not an entity-specific measurement. The FASB established a fair value hierarchy that distinguishes between assumptions  based on market data obtained from sources independent of the reporting entity and the reporting entity’s own assumptions about market-based inputs. Level 1 inputs utilize unadjusted quoted prices in active markets for identical assets or liabilities. Level 2 inputs are inputs that are observable either directly or indirectly for similar assets and liabilities in active markets. Level 3 inputs are observable assumptions generated by the reporting entity.

The Fund incorporates credit valuation adjustments to appropriately reflect both own nonperformance risk and the respective counterparty’s nonperformance risk in the fair value measurements. In adjusting the fair value or the Fund’s derivative contracts for the effect on nonperformance risk, the Fund considered the impact of netting and any applicable credit enhancements, such as collateral postings, thresholds, mutual puts and guarantees. The Fund has determined that its derivative valuations in their entirety are classified in Level 2 of the fair value hierarchy. The Fund did not have any fair value measurements using significant unobservable inputs (Level 3) as of December 31, 2011.

 
F-39

 
Douglas Emmett Fund X, LLC
Notes to Consolidated Financial Statements (continued)
 
Income Taxes
No provision is made to the accompanying consolidated financial statements for federal, state and local income taxes. Each member is responsible for reporting its share of the Fund’s taxable income or loss.

Recently Issued Accounting Literature

In June 2011, the FASB issued ASU No. 2011-05, Comprehensive Income (Topic 220): Presentation of Comprehensive Income.  This ASU requires an entity to present the total of comprehensive income, the components of net income, and the components of other comprehensive income either in a single continuous statement of comprehensive income, or in two separate but consecutive statements. This ASU eliminates the option to present the components of other comprehensive income as part of the statement of changes in stockholders’ equity. This ASU is effective for fiscal years, and interim periods within those years, beginning after December 15, 2011, which for us means the first quarter of 2012. In December 2011, the FASB issued ASU No. 2011-12 which effectively deferred those changes in Update 2011-05 that relate to the presentation of reclassification adjustments out of accumulated other comprehensive income. The amendments will be temporary to allow the FASB time to redeliberate the presentation requirements for reclassifications out of accumulated other comprehensive income for annual and interim financial statements for public, private, and non-profit entities. We adopted ASU 2011-05 during the fourth quarter of 2011, and it did not have a material effect on our financial position or results of operations, as it only affects presentation.

In December 2011, the FASB issued ASU No. 2011-10, Derecognition of in Substance Real Estate - a Scope Clarification (Topic 360). This ASU modifies ASC Subtopic 360-20, which specifies circumstances under which the parent (reporting entity) of an “in substance real estate” entity derecognizes that in substance real estate. Generally, if the parent ceases to have a controlling financial interest (as described under ASC Subtopic 810-10) in the subsidiary as a result of a default on the subsidiary’s nonrecourse debt, then the subsidiary’s in substance real estate and related debt, as well as the corresponding results of operations, will continue to be included in the consolidated financial statements and not be removed from the consolidated results until legal title to the real estate is transferred. ASU 2011-10 will be effective for fiscal years, and interim periods within those years, beginning on or after June 15, 2012, which for us means the third quarter of 2012. We do not expect ASU 2011-10 to have a material effect on our financial position or results of operations.

In December 2011, the FASB issued ASU No. 2011-11, Disclosures about Offsetting Assets and Liabilities (Topic 210). The amendments in this ASU affect all entities that have financial instruments and derivative instruments that are either (1) offset in accordance with either Section 210-20-45 or Section 815-10-45 or (2) subject to an enforceable master netting arrangement or similar agreement. The amendments in this ASU require disclosure of information about the effects of offsetting and related arrangements under Section 210-20-50. ASU 2011-11 will be effective for annual reporting periods beginning on or after January 1, 2013, and interim periods within those annual periods, which for us means the first quarter of 2013. The ASU will require retrospective disclosures for all comparative periods presented. We do not expect ASU 2011-11 to have a material effect on our financial position or results of operations.

We do not expect any other recently issued ASUs to have any material impact on our consolidated financial position or results of operations, either because the ASU is not applicable or because we expect its impact to be immaterial.


3. Future Minimum Lease Receipts

The Fund leases space to tenants primarily under noncancelable operating leases that generally contain provisions for a base rent plus reimbursement for certain operating expenses. Operating expense reimbursements are reflected in the Fund’s consolidated statements of comprehensive income as tenant recoveries.

 
F-40

 
Douglas Emmett Fund X, LLC
Notes to Consolidated Financial Statements (continued)
 
Future minimum base rentals on the Fund’s non-cancelable office leases at December 31, 2011 were as follows (in thousands):
      
Twelve months ending December 31:
    
2012
 $34,814  
2013
   29,284  
2014
   25,405  
2015
   20,484  
2016
   14,973  
Thereafter
   28,048  
Total future minimum base rentals
 $153,008  

The future minimum lease payments in the table above (i) exclude tenant reimbursements, amortization of deferred rent receivables and above/below-market lease intangibles and (ii) assume that the termination options in some leases, which generally require payment of a termination fee, are not exercised.

4. Secured Note Payable

As of December 31, 2011, secured note payable consisted of a term loan in the amount of $365.0 million secured by the Fund Properties in a cross-collateral pool. The loan matures on August 17, 2013 and bears interest at LIBOR plus 1.65%, which has been effectively fixed at 5.515% per annum based on an actual/360-day basis under interest rate swaps which mature on September 4, 2012.  The interest rate swaps notional amount was $365.0 million as of December 31, 2011.

5. Fair Value of Financial Instruments

The Fund’s estimates of the fair value of financial instruments at December 31, 2011 were determined using available market information and appropriate valuation methods. Considerable judgment is necessary to interpret market data and develop estimated fair value. The use of different market assumptions or estimation methods may have a material effect on the estimated fair value amounts.

The carrying amounts for cash and cash equivalents, rents and other receivables, accounts payable and other liabilities approximate fair value because of the short-term nature of these instruments.  The Fund calculates the fair value of its secured note payable based on a currently available market rate assuming the loan is outstanding through maturity and considering the collateral.  At December 31, 2011, the fair value of the Fund’s secured note payable was estimated to be approximately $356.4 million, based on a credit-adjusted present value of the principal and interest payments that are at floating rates, in comparison to its carrying value of $365.0 million at December 31, 2011.

The Fund has used interest rate swaps to manage interest rate risk resulting from variable interest payments on its floating rate debt.  These financial instruments are carried on the Fund’s balance sheet at fair value based on the assumptions that market participants would be expected  use in pricing the asset or liability. See note 2.

6. Related Party Transactions

The Manager receives a priority distribution from the Fund equal to (i) 1.25% per annum of the aggregate capital drawn less (ii) any Excess Organizational Costs (as defined in the Operating Agreement). During 2011 and 2010, respectively, the Manager received priority distributions of $3.5 million and $5.1 million, respectively.

The Fund and the Fund Properties have been involved in certain related party transactions with the affiliates of the Manager as follows:

An affiliate of the Manager provides property management services to the Fund Properties in exchange for fees calculated in accordance with the Operating Agreement.  During 2011, 2010 and 2009, these property management fees aggregated $1.1 million, $1.0 million and $1.1 million (unaudited), respectively, of which $91 thousand and $88 thousand were payable as of December 31, 2011 and 2010, respectively.

 
F-41

 
Douglas Emmett Fund X, LLC
Notes to Consolidated Financial Statements (continued)
 
An affiliate of the Manager provides leasing services to the Fund Properties in exchange for commissions calculated in accordance with the Operating Agreement.  During 2011, 2010 and 2009, these commissions aggregated $693 thousand, $847 thousand and $675 thousand (unaudited), respectively.

An affiliate of the Manager provides certain construction work in connection with improvements to tenant suites and common areas related to certain tenants of the Fund Properties in exchange for payments calculated in accordance with the Operating Agreement. During 2011, 2010 and 2009, these payments aggregated $2.4 million, $3.6 million and $2.5 million (unaudited), respectively.
 
 
An affiliate of the Manager provides certain construction work in connection with improvements to building and common areas in exchange for payments calculated in accordance with the Operating Agreement.  During 2011, 2010 and 2009, these payments aggregated $156 thousand, $430 thousand and $6.0 million (unaudited), respectively.
 
 
During 2011, 2010 and 2009, the Fund incurred certain costs in connection with certain pass-through items aggregating $2.3 million, $2.5 million and $2.5 million (unaudited), respectively, comprised of (i) on-site property level employee costs; (ii) leasing lawyer costs; (iii) property insurance; and (iv) concierge services. As of December 31, 2011 and 2010, $191 thousand and $197 thousand, respectively, were payable to affiliates of the Manager for such items.

In November 2010, the Fund received $547 thousand from Douglas Emmett Partnership X, L.P. as reimbursement of organizational costs and is included in other income in the consolidated statements of comprehensive income.

7. Investment in Unconsolidated Real Estate Fund

The Fund owns a 9.4% equity interest in Douglas Emmett Partnership X, L.P. (the “Partnership”), through which institutional investors provide capital commitments for acquisition of properties. As of December 31, 2011, the Fund’s investment balance was $9.1 million and it had a commitment for future capital contributions totaling $15.4 million.  The Fund accounts for its investment in the Partnership under the equity method.

8. Commitments and Contingencies

The Fund is subject to various legal proceedings and claims that arise in the ordinary course of its business.  Excluding ordinary, routine litigation incidental to its business, the Fund is not currently a party to any legal proceedings that it believes would reasonably be expected to have a material adverse effect on its business, financial condition or results of operations.

Concentration of Credit Risk
We maintain our cash and cash equivalents at high quality financial institutions with investment grade ratings. Interest bearing accounts at each U.S. banking institution are insured by the Federal Deposit Insurance Corporation up to $250 thousand, while non interest bearing accounts do not currently have a limit on insurance. We have not experienced any losses to date on our deposited cash.

Tenant Concentrations
For 2011 and 2010, no tenant exceeded 10% of the Fund’s total rental revenue and tenant reimbursements.


 
F-42