NetEase
NTES
#325
Rank
A$104.38 B
Marketcap
A$163.59
Share price
2.84%
Change (1 day)
-2.11%
Change (1 year)

NetEase - 20-F annual report


Text size:
Table of Contents

UNITED STATES

SECURITIES AND EXCHANGE COMMISSION

WASHINGTON, D.C. 20549

 


 

FORM 20-F

 


 

(Mark One)

¨REGISTRATION STATEMENT PURSUANT TO SECTION 12(b) OR 12(g) OF THE SECURITIES EXCHANGE ACT OF 1934

 

OR

 

xANNUAL REPORT PURSUANT TO SECTION 13 OR 15(d) OF THE SECURITIES EXCHANGE ACT OF 1934

 

For the fiscal year ended December 31, 2003

 

OR

 

¨TRANSITION REPORT PURSUANT TO SECTION 13 OR 15(d) OF THE SECURITIES EXCHANGE ACT OF 1934

 

For the transition period from              to            .

 

Commission file number: 333-11724

 


 

NETEASE.COM, INC.

(Exact name of Registrant as specified in its charter)

 

N/A

(Translation of Registrant’s name into English)

 


 

Cayman Islands

(Jurisdiction of incorporation or organization)

 

2/F, Tower B

Keeven International Research & Development Centre

No. 43 West Road North Third Ring Road, Haidian District

Beijing 100086, People’s Republic of China

(Address of principal executive offices)

 


 

Securities registered or to be registered pursuant to Section 12(b) of the Act.

 

NONE

Securities registered or to be registered pursuant to Section 12(g) of the Act.

 

Name of each exchange and Title of each class on which registered :

American Depositary Shares, each representing 100 ordinary shares, par value US$0.0001

per share, Nasdaq National Market

(Title of Class)

 

Securities for which there is a reporting obligation pursuant to Section 15(d) of the Act.

 

NONE
(Title of Class)

 


 

Indicate the number of outstanding shares of each of the issuer’s classes of capital or common stock as of the close of the period covered by the annual report: 3,128,958,189 ordinary shares, par value US$0.0001 per share.

 

Indicate by check mark whether the registrant (1) has filed all reports required to be filed by Section 13 or 15(d) of the Securities Exchange Act of 1934 during the preceding 12 months (or for such shorter period that the registrant was required to file such reports), and (2) has been subject to such filing requirements for the past 90 days.     x  Yes    ¨  No

 

Indicate by check mark which financial statement item the registrant has elected to follow:    ¨  Item 17    x  Item 18

 



Table of Contents

TABLE OF CONTENTS

 

 

      Page

INTRODUCTION  1

PART I

    
  Item 1. Identity of Directors, Senior Management and Advisers 3
  Item 2. Offer Statistics and Expected Timetable 3
  Item 3. Key Information 3
  Item 4. Information on the Company 26
  Item 5. Operating and Financial Review and Prospects 50
  Item 6. Directors, Senior Management and Employees 76
  Item 7. Major Shareholder and Related Party Transactions 89
  Item 8. Financial Information 94
  Item 9. The Offer and Listing 94
  Item 10. Additional Information 95
  Item 11. Quantitative and Qualitative Disclosures About Market Risk 108
  Item 12. Description of Securities Other than Equity Securities 108

PART II

    
  Item 13. Defaults, Dividend Arrearages and Delinquencies 108
  Item 14. Material Modifications to the Rights of Security Holders and Use of Proceeds 108
  Item 15. Controls and Procedures 108
  Item 16. Reserved  
  Item 16A. Audit Committee Financial Expert 109
  Item 16B. Code of Ethics 109
  Item 16C. Principal Accountant Fees and Services 109
  Item 16D. Exemptions from the Listing Standards for Audit Committees 110
  Item 16E. Purchases of Equity Securities by the Issuer and Affiliated Purchasers 110

PART III

    
  Item 17. Financial Statements 110
  Item 18. Financial Statements 110
  Item 19. Exhibits 111


Table of Contents

INTRODUCTION

 

This annual report on Form 20-F includes our audited consolidated financial statements as of December 31, 2002 and 2003, and for the years ended December 31, 2001, 2002 and 2003.

 

Forward-Looking Information

 

This annual report on Form 20-F contains statements of a forward-looking nature. These statements are made under the “safe harbor” provisions of the U.S. Private Securities Litigation Reform Act of 1995. You can identify these forward-looking statements by terminology such as “will,” “expects,” “anticipates,” “future,” “intends,” “plans,” “believes,” “estimates” and similar statements. The accuracy of these statements may be impacted by a number of business risks and uncertainties that could cause actual results to differ materially from those projected or anticipated, including risks related to:

 

 the risk that we will not be able to continue to successfully monetize the user base of the NetEase Web sites and that revenues from our online games, as well as our wireless value-added and other fee-based premium services, will not continue to grow;

 

 the risk that the online game market will not continue to grow or that we will not be able to maintain our position in that market;

 

 the risk that the current popularity of short messaging services (SMS) in China will not continue for whatever reason, including SMS being superseded by other technologies for which we are unable to offer attractive products and services;

 

 our dependence on the mobile operators in China to provide our wireless value-added services to their customers, maintain accurate records and collect and remit to us our share of the revenues from these services;

 

 the risk that we may not be able to continuously develop new and creative online games and wireless value-added services;

 

 the risk that the online advertising market in China will not continue to grow and will remain subject to intense competition;

 

 the risk that we will not be able to control our expenses in future periods;

 

 possible charges which may be brought against our company by the U.S. Securities and Exchange Commission for potential violations of U.S. securities laws, including monetary penalties and legal fees;

 

 our ability to develop and implement additional operational and financial systems to manage our operations;

 

 the risk that current or future appointees to management are not effective in their respective positions;

 

 the difficulty in locating and recruiting suitable candidates for middle and senior management positions;

 

 governmental uncertainties, general competition and price pressures in the marketplace;

 

1


Table of Contents
 uncertainty as to future profitability and the risk that security, reliability and confidentiality concerns may impede broad use of the Internet and e-commerce and other services; and

 

 other risks outlined in our filings with the Securities and Exchange Commission, including our registration statement on Form F-1, as amended.

 

We do not undertake any obligation to update this forward-looking information, except as required under applicable law.

 

2


Table of Contents

PART I

 

Item 1. Identity of Directors, Senior Management and Advisers

 

Not Applicable.

 

Item 2. Offer Statistics and Expected Timetable

 

Not Applicable.

 

Item 3. Key Information

 

A. Selected Financial Data

 

The following table presents the selected consolidated financial information for our business. You should read the following information in conjunction with Item 5 “Operating and Financial Review and Prospects” below. The following data for the years ended December 31, 2001, 2002 and 2003 and as of December 31, 2002 and 2003 have been derived from our audited consolidated financial statements for those years, which were prepared in accordance with United States generally accepted accounting principles, or U.S. GAAP, and should be read in conjunction with those statements, which are included in this annual report beginning on page F-1. The following data for the years ended December 31, 1999 and 2000 and as of December 31, 1999 and 2000 have also been derived from our audited consolidated financial statements for those years, which were prepared in accordance with U.S. GAAP and are not included in this annual report.

 

   For the Year Ended December 31,

 
   1999

  2000

  2001

  2002

  2003

  2003

 
   RMB  RMB  RMB  RMB  RMB  US$ (Note 1) 
   (except per ordinary share and per ADS data) 

Statement of Operations Data:

                   

Revenues:

                   

Online game services

  —    —    —    37,053,414  203,246,114  24,556,419 

Wireless value-added and other fee-based premium services

  5,974,932  2,906,184  14,136,369  161,305,678  279,659,170  33,788,729 

Advertising services

  10,796,074  30,067,477  14,163,952  34,209,376  86,183,733  10,412,813 
   

 

 

 

 

 

Total revenues

  16,771,006  32,973,661  28,300,321  232,568,468  569,089,017  68,757,961 

Business tax

  (1,150,169) (2,476,444) (2,274,784) (11,627,216) (26,954,502) (3,256,673)
   

 

 

 

 

 

Net revenues

  15,620,837  30,497,217  26,025,537  220,941,252  542,134,515  65,501,288 
   

 

 

 

 

 

Cost of revenues:

                   

Online game services

  (Note 2) (Note 2) (Note 2) (15,530,501) (20,873,502) (2,521,959)

Wireless value-added and other fee-based premium services

  (Note 2) (Note 2) (Note 2) (29,524,647) (36,965,777) (4,466,246)

Advertising services

  (Note 2) (Note 2) (Note 2) (26,622,426) (27,623,438) (3,337,494)
   

 

 

 

 

 

Total cost of revenues

  (12,096,235) (39,909,419) (60,058,488) (71,677,574) (85,462,717) (10,325,699)
   

 

 

 

 

 

Gross profit (loss on revenues)

  3,524,602  (9,412,202) (34,032,951) 149,263,678  456,671,798  55,175,589 

Operating expenses:

                   

Selling, general and administrative expenses

  (51,055,489) (170,359,791) (181,765,047) (94,307,613) (110,770,403) (13,383,402)

Asset impairment loss

  —    —    (2,766,543) (746,857) —    —   

Research and development expenses

  (5,735,170) (14,756,682) (13,322,789) (14,184,724) (19,120,827) (2,310,199)

Class action settlement

  —    —    —    (36,005,385) —    —   
   

 

 

 

 

 

Total operating expenses

  (56,790,659) (185,116,473) (197,854,379) (145,244,579) (129,891,230) (15,693,601)
   

 

 

 

 

 

Operating profit (loss)

  (53,266,057) (194,528,675) (231,887,330) 4,019,099  326,780,568  39,481,988 

 

3


Table of Contents
   For the Year Ended December 31,

 
   1999

  2000

  2001

  2002

  2003

  2003

 
   RMB  RMB  RMB  RMB  RMB  US$ (Note 1) 
   (except per ordinary share and per ADS data) 

Other income (expenses):

                   

Sale of 163.net usage right

  1,500,000  —    —    —    —    —   

Investments impairment loss

  —    —    (8,924,381) —    —    —   

Investment income

  —    —    —    —    538,278  65,035 

Interest income

  357,160  27,858,710  17,571,187  7,562,322  11,273,685  1,362,099 

Interest expenses

  —    (2,589,735) (9,882,874) (1,401,041) —    —   

Other, net

  (494,018) (9,099) (40,516) 3,725,370  5,410,171  653,663 
   

 

 

 

 

 

Profit (loss) before tax

  (51,902,915) (169,268,799) (233,163,914) 13,905,750  344,002,702  41,562,785 

Income tax benefit (expense)

  (71,338) —    —    2,395,888  (21,129,978) (2,552,947)
   

 

 

 

 

 

Net profit (loss)

  (51,974,253) (169,268,799) (233,163,914) 16,301,638  322,872,724  39,009,838 

Net earnings (loss) per ordinary share, basic

  (0.03) (0.07) (0.08) 0.01  0.10  0.01 
   

 

 

 

 

 

Net earnings (loss) per ordinary share, diluted

  (0.03) (0.07) (0.08) 0.01  0.10  0.01 
   

 

 

 

 

 

Net earnings (loss) per ADS, basic

  (2.73) (6.78) (7.74) 0.53  10.34  1.25 
   

 

 

 

 

 

Net earnings (loss) per ADS, diluted

  (2.73) (6.78) (7.74) 0.52  9.78  1.18 
   

 

 

 

 

 

Weighted average number of shares Outstanding, basic

  1,900,430,600  2,497,467,200  3,013,419,400  3,051,395,100  3,122,257,952  3,122,257,952 
   

 

 

 

 

 

Weighted average number of ADSs Outstanding, basic

  19,004,306  24,974,672  30,134,194  30,513,951  31,222,580  31,222,580 
   

 

 

 

 

 

Weighted average number of shares Outstanding, diluted

  1,900,430,600  2,497,467,200  3,013,419,400  3,127,837,900  3,301,311,499  3,301,311,499 
   

 

 

 

 

 

Weighted average number of ADSs Outstanding, diluted

  19,004,306  24,974,672  30,134,194  31,278,379  33,013,115  33,013,115 
   

 

 

 

 

 

Share compensation cost included in:

                   

Cost of revenues

  (6,296,816) (1,171,084) —    (1,908,125) —    —   

Selling, general and administrative expenses

  (34,346,268) (7,437,230) (204,423) (1,522,369) (151,166) (18,264)

Research and development expenses

  (4,770,315) (5,231,246) (2,153,335) (376,364) (88,236) (10,661)
   

 

 

 

 

 

   (45,413,399) (13,839,560) (2,357,758) (3,806,858) (239,402) (28,925)
   

 

 

 

 

 

Other Financial Data:

                   

Capital expenditures

  (9,312,383) (33,970,794) (21,095,334) (12,567,218) (27,824,900) (3,361,835)

Net cash provided by (used in):

                   

Operating activities

  (15,687,474) (124,653,301) (185,689,512) (26,798,362) 373,722,606  45,153,575 

Investing activities

  (9,312,383) (53,037,513) (67,263,076) 42,676,950  (360,283,078) (43,529,798)

Financing activities

  142,600,415  904,853,021  (22,310,060) (78,125,861) 781,370,072  94,405,992 
   As of December 31,

 
   1999

  2000

  2001

  2002

  2003

  2003

 
   RMB  RMB  RMB  RMB  RMB  US$ 

Balance Sheet Data:

                   

Cash

  117,800,096  708,561,012  479,608,534  560,069,711  1,356,069,544  163,841,814 

Property, equipment and software, net

  9,508,437  35,362,091  36,356,088  26,379,182  40,410,264  4,882,413 

Total assets

  143,728,182  921,095,550  674,793,068  619,678,196  1,786,692,092  215,870,104 

Total current liabilities

  7,662,942  148,555,114  119,763,534  38,654,444  77,766,228  9,395,801 

Total long-term liabilities

  —    —    —    —    827,901,449  100,027,964 

Working capital (Note 3)

  126,556,803  717,438,219  507,101,314  551,182,770  1,654,998,363  199,958,722 

Total shareholders’ equity

  136,065,240  772,540,436  555,029,534  581,023,752  881,024,415  106,446,339 

Note 1:Translations of amounts from RMB into U.S. dollars for the convenience of the reader were calculated at the noon buying rate of US$1.00: RMB8.2767 on December 31, 2003 in The City of New York for cable transfers of RMB as certified for customs purposes by the Federal Reserve Bank of New York. No representation is made that the RMB amounts could have been, or could be, converted into United States dollars at that rate on December 31, 2003, or at any other rate.

 

4


Table of Contents
Note 2:As a result of the manner in which we recorded our cost of revenues in 1999, 2000 and 2001, we are not able to reasonably allocate those costs among online games, wireless value-added and other fee-based premium services and advertising services.
Note 3:Working capital represents total current assets less total current liabilities.

 

Exchange Rate Information

 

We have published our financial statements in Renminbi, or RMB. Our business is currently conducted in and from China in Renminbi. In this annual report, all references to Renminbi and RMB are to the legal currency of China and all references to U.S. dollars, dollars, $ and US$ are to the legal currency of the United States. The conversion of Renminbi into U.S. dollars in this annual report is based on the noon buying rate in The City of New York for cable transfers of Renminbi as certified for customs purposes by the Federal Reserve Bank of New York. For your convenience, this annual report contains translations of some Renminbi or U.S. dollar amounts for 2003 at US$1.00: RMB8.2767, which was the prevailing rate on December 31, 2003. The prevailing rate at June 10, 2004 was US$1.00: RMB8.2768. We make no representation that any Renminbi or U.S. dollar amounts could have been, or could be, converted into U.S. dollars or Renminbi, as the case may be, at any particular rate, the rates stated below, or at all. The Chinese government imposes control over its foreign currency reserves in part through direct regulation of the conversion of Renminbi into foreign exchange and through restrictions on foreign trade.

 

The following table sets forth the average buying rate for Renminbi expressed as per one U.S. dollar for the years 1999, 2000, 2001, 2002 and 2003.

 

Year


  Renminbi Average(1)

1999

  8.2785

2000

  8.2784

2001

  8.2772

2002

  8.2772

2003

  8.2771

(1)Determined by averaging the rates on the last business day of each month during the relevant period.

 

The following table sets forth the high and low exchange rates for Renminbi expressed as per one U.S. dollar during the past six months.

 

   Renminbi Average

Month Ended


  High

  Low

December 31, 2003

  8.2772  8.2765

January 31, 2004

  8.2772  8.2767

February 28, 2004

  8.2773  8.2769

March 31, 2004

  8.2774  8.2767

April 30, 2004

  8.2772  8.2768

May 31, 2004

  8.2773  8.2768

 

B. Capitalization and Indebtedness

 

Not Applicable.

 

5


Table of Contents

C. Reasons for the Offer and Use of Proceeds

 

Not Applicable.

 

D. Risk Factors

 

RISKS RELATED TO OUR COMPANY

 

Our business model continues to change and our prospects may be difficult to evaluate based on historical performance.

 

Commencing with the launch of the NetEase Web sites in 1999 until 2001, the majority of our revenues came from online advertising. In 2001, we began focusing on wireless value-added services and, to a lesser extent other fee-based premium services, which grew to account for 50.0%, 69.4% and 49.1% of total revenues in 2001, 2002 and 2003, respectively. More recently, we have devoted significant resources to our online games business, which, in turn, grew to account for nil, 15.9% and 35.7% of our total net revenues in 2001, 2002 and 2003, respectively. The evolution of our business focus over the past few years from solely operating the NetEase Web sites and selling online advertisements to providing wireless value-added and other fee-based premium services to developing and distributing online games could make it difficult for you to evaluate our future performance based on historical results. We cannot assure you that we will be able to increase or maintain our revenues from online advertising and wireless value-added and other fee-based premium services, or online games services.

 

We have only achieved net profits since 2002 and may incur additional losses in the future.

 

Although we had a net profit of RMB322.9 million (US$39.0 million) in 2003 and RMB16.3 million in 2002, we incurred significant net losses in 2001, 2000 and 1999 and had only minimal profit in 1998. Accordingly, as of December 31, 2003, we had an accumulated deficit of approximately RMB148.7 million (US$18.0 million). The markets in which we operate are highly competitive, and given the relatively short period of time during which we have achieved profitability, we cannot be certain that we will be able to maintain or increase our profits. Moreover, as our business expands, we may incur additional expenses which would also adversely affect our profitability.

 

The market for the delivery of wireless value-added services is rapidly evolving, and our ability to generate revenues from our wireless value-added services could suffer if this market does not continue to develop or we fail to address this market effectively.

 

We must continue to adapt our strategy for wireless value-added services, which contributed a substantial percentage of total revenue in each of 2001, 2002 and 2003, to compete in the rapidly evolving wireless value-added services market. The bulk of our revenue for wireless value-added services is derived from providing services for users of SMS, through which users can communicate with each other and receive information on their phone screens through simple text messages and images, and to a lesser extent, from providing services over wireless application protocol, or WAP, beginning commercially in 2002, multimedia messaging services, or MMS, beginning in 2003, and interactive voice response services, or IVRS, beginning in 2004.

 

Competitors have introduced or developed, or are in the process of introducing or developing, competing wireless value-added services accessible through a variety of handheld devices. We cannot assure you that there will be demand for the wireless value-added services provided by us. In addition,

 

6


Table of Contents

there are numerous other technologies in varying stages of development, such as third generation cellular phone technology, which could radically alter or eliminate the SMS, MMS, WAP and IVRS markets. Accordingly, it is extremely difficult to predict which services will be successful in this market or the future size and growth of this market. In addition, given the limited history and rapidly evolving nature of this market, we cannot predict the price that wireless subscribers will be willing to pay for these services. If acceptance of our wireless value-added services is less than anticipated, our results from operations could be impacted.

 

Currently, we depend on the contractual relationships of Guangzhou NetEase Computer System Co., Ltd., or Guangzhou NetEase, and, to a much lesser extent, Guangzhou Ling Yi Electronics Technology Limited, or Ling Yi, with the two principal mobile phone companies in China at the national, provincial and local level for our wireless value-added services revenues and the alteration or termination of these relationships could adversely impact our business.

 

Our wireless value-added services are conducted in conjunction with the two principal mobile phone companies in China, China Mobile and China Unicom, which together service nearly all of China’s mobile phone subscribers. We rely exclusively on the national, provincial and local affiliates of these two companies to deliver our wireless value-added services. If our various contracts with either company are terminated or scaled-back, it may be difficult, if not impossible, to find appropriate replacement partners with the requisite licenses and permits, infrastructure and customer base to offer these services, which could adversely affect our business. Further, we derived approximately 85.9% of our total wireless value-added and other fee-based premium services revenue in 2003 through our relationship with China Mobile, and are therefore particularly dependent on that mobile operator.

 

Our wireless value-added services are provided through a number of contracts with the provincial and local affiliates of China Mobile and with China Unicom, and each of these contracts is non-exclusive and of a limited term (generally six months to two years). These contracts may also be terminated in advance under certain circumstances. We cannot be certain that we will be able to renew these contracts as necessary or enter into new arrangements with these or other affiliates of China Mobile and China Unicom. We may also be compelled to amend or renew our arrangements with these mobile phone operators in ways which adversely affect our business. China Mobile and China Unicom have changed their policies as applied to third party service providers in the past, and may do so again in the future. For example, China Mobile banned all cooperative arrangements known as “SMS Web site unions” in July 2003, effectively precluding large service providers from aggregating unregistered Web sites and utilizing China Mobile’s billing platform to gather fees for these services. In August 2003, China Mobile further banned service providers from using its network to charge customers for services which were deemed by it to be not purely wireless services. China Mobile’s adoption of these policies described above was one of the main factors which contributed to the 20.7% decline in our revenues from wireless value-added and other fee-based premium services between the second quarter ended June 30, 2003 and the third quarter ended September 30, 2003. In addition, in recent quarters, China Mobile has been phasing-in a new billing system across various provinces that makes it somewhat more complicated for users to order and receive wireless value-added services from service providers such as our company, which we believe will also adversely affect the growth of our wireless value-added services business.

 

In the event Guangzhou NetEase’s (or to a much lesser extent, Ling Yi’s) relationships with either China Mobile or China Unicom are adversely altered or terminated, either through a change in the contractual terms of these relationships or a change in the policies of either company, our revenue would likely be adversely affected and we may be unable to find alternatives that would replace such networks and revenue.

 

7


Table of Contents

We experienced a decline in the rate of growth of our online games which appears to be a result of the outbreak of severe acute respiratory syndrome, or SARS, in 2003 and any recurrence of SARS or another widespread public health problem could further adversely affect our business and results of operations.

 

During April and May 2003, we experienced a decline in the rate of growth of our online game services which we believe resulted from the closure of Internet cafes in Beijing and elsewhere to prevent the spread of SARS. Many users of our online game services can only access those services at Internet cafes. A renewed outbreak of SARS or another widespread public health problem in China where virtually all of our revenue is derived and in Beijing, Shanghai and Guangzhou where most of our employees are located could have a negative effect on our operations. Our operations may be impacted by a number of health-related factors, including, among other things:

 

 quarantines or closures of some of our offices which would severely disrupt our operations,

 

 the sickness or death of our key officers and employees,

 

 closure of Internet cafes and other public areas where people access the Internet, and

 

 a general slowdown in the Chinese economy.

 

Any of the foregoing events or other unforeseen consequences of public health problems could adversely affect our business and results of operations.

 

Online games and wireless value-added and other fee-based premium services have become the major part of our revenue, constituting approximately 85% of our total revenue for 2003, but continued growth in the popularity of these services and customers’ willingness and ability to pay for them is uncertain.

 

Our revenue growth depends on the increasing acceptance and use of our online games and wireless value-added and other fee-based premium services. We have, however, only limited experience in offering these services and cannot be certain that they will generate sustainable revenue. Further, these services may never become widely accepted for various reasons, many of which are beyond our control, including:

 

 inexperience with these technologies, some of which are largely new to China, and customers’ willingness to pay for online services;

 

 rapid changes in technology and customer tastes which could adversely impact the popularity of our services; and

 

 concerns about security, reliability, cost, ease of deployment, administration and quality of service associated with conducting business over the Internet.

 

Further, online payment systems in China are not as widely available or acceptable to consumers in China as in the United States and elsewhere. Although major Chinese banks have instituted online payment systems, these systems are still at an early stage. In addition, a limited number of consumers in China have credit cards or debit cards. Concerns about secure online payment systems may limit the number of fee-based online transactions that we can service and may limit our growth in these areas. If online payment services do not develop, our ability to grow our online games and wireless value-added and other fee-based services businesses would be limited.

 

8


Table of Contents

In response to these factors and connection with the introduction of our first online game, “Westward Journey Online”, at the end of 2001, we introduced a prepaid point card which we believe has facilitated the usability and growth of all of our online game services, although its development and distribution has caused us to incur additional costs. To address the difficulty of making online payments in China, users can buy this card at local stores and other locations in China. The points contained in the card can then be used to pay for online services, such as playing time for online games. We cannot be certain, however, that Internet users in China will be willing to continue to adopt this payment method on a wide-spread and consistent basis or that it will be immune to the security and other concerns which have thus far contributed to the relatively low level of e-commerce activity in China. If the Internet does not become more widely accepted as a medium for our fee-based services, our ability to generate increased revenue will be negatively affected.

 

If we fail to develop and introduce new online games and wireless value-added and other fee-based premium services timely and successfully, we will not be able to compete effectively and our ability to generate revenues will suffer.

 

We operate in a highly competitive, quickly changing environment, and our future success depends not only on the popularity of our existing online games and wireless value-added and other fee-based premium services but also on our ability to develop and introduce new games and services that our customers and users choose to buy. If we are unsuccessful at developing and introducing new online games and wireless value-added and other fee-based premium services that are appealing to users with acceptable prices and terms, our business and operating results will be negatively impacted because we would not be able to compete effectively and our ability to generate revenues would suffer. The development of new games and services can be very difficult and requires high levels of innovation. The development process can also be lengthy and costly, in particular for developing new online games. If we fail to anticipate our users’ needs and technological trends accurately or are otherwise unable to complete the development of games and services in a timely fashion, we will be unable to introduce new games and services into the market to successfully compete.

 

The demand for new games and services is difficult to forecast, in part due to the relative immaturity of the market for our fee-based services in China and relatively short life cycles of Internet-based technologies. As we introduce and support additional services and as competition in the market for our games and services intensifies, we expect that it will become more difficult to forecast demand. In particular, competition in the online game market is growing as more and more online games are introduced by existing and new market participants.

 

Rapid technological change may limit our ability to recover game development costs and adversely affect our future revenues and profitability.

 

The online game industry is subject to rapid technological change, and we, like many of our competitors, offer a limited range (currently 2) of massively multi-player online role-playing games, or MMORPGs, from which we derive all of our online games revenue. We need to anticipate the emergence of new technologies and games, assess their market acceptance, and make substantial game development and related investments. New technologies in online game programming or operations could render our current online titles or other online games that we develop in the future obsolete or unattractive to our subscribers, thereby limiting our ability to recover development costs and potentially adversely affecting our future revenues and profitability.

 

9


Table of Contents

Our wireless value-added services revenue could be adversely affected if China Mobile or China Unicom or both expand their portfolio of wireless value-added services that compete with our services.

 

Our business may be adversely affected if China Mobile or China Unicom or both decide to expand their portfolio of wireless value-added services that compete with our services. In that case, we would not only face enhanced competition, but could be partially or fully denied access to their networks.

 

China Mobile and China Unicom may impose higher service or network fees on us which could reduce the gross margins for our wireless value-added services.

 

We have entered into contractual arrangements with China Mobile and China Unicom to provide wireless value-added services to mobile phone users in China. Fees for these services are charged to mobile phone users on a monthly subscription or per use basis. China Mobile and China Unicom bill and collect the service fees from the mobile phone users and then share the revenue with us according to the terms of the contracts.

 

China Mobile usually receives 15% of the revenues charged to the mobile phone users as service fees. To the extent that the number of messages sent by us over China Mobile’s network exceeds the number of messages our customers send to us, we must also pay per message network fees, which decrease as the volume of customer usage of our services increases. China Unicom also recently adopted a similar methodology for charging per message network fees. The number of messages sent by us will exceed those sent by our users, for example, if a user sends us a single message to order a service but we in turn must send that user several messages to confirm his or her order and deliver the service itself.

 

In addition, according to our contractual arrangements with China Unicom, China Unicom’s revenue sharing percentage varies month-to-month between 10% and 40%. Prior to March 2004, the percentage depended on whether we met certain revenue targets which were calculated on a monthly basis for all of our services offered on its network. From March 2004, the percentage has depended on the relative ranking of the revenue generated by our wireless value-added services over China Unicom’s network on a national basis as compared to all other service providers in the particular month.

 

We cannot be certain that we will be able to satisfy these criteria in the future or that the mobile operators will keep the criteria at their current levels. Any increase in China Mobile’s or China Unicom’s network fees and service charges could reduce the gross margins for our wireless value-added services.

 

China Mobile and China Unicom may not authorize our wireless value-added services to be offered on their networks if we fail to achieve minimum customer usage, revenue and other criteria.

 

Our business could be adversely affected if we fail to achieve minimum customer usage, revenue and other criteria imposed or revised by China Mobile and China Unicom at their discretion from time to time. China Mobile and China Unicom, through their provincial and local offices, have historically preferred to work only with a small group of the best performing wireless value-added service providers, based upon the uniqueness of the service offered by each provider, total number of users, usage and revenue generated in the applicable province or municipality, the rate of customer complaints, and marketing expenditures in the applicable province or municipality. In the future, we may fail to meet the then current performance criteria that the mobile operators set from time to time. In such case, our services could be excluded from their entire networks at a provincial, municipal or national level, or we could be precluded from introducing new services, which would adversely affect our revenues and growth prospects for our wireless value-added services.

 

10


Table of Contents

The revenue that we derive from Guangzhou NetEase’s and Ling Yi’s contractual relationships with each of China Mobile and China Unicom depends on records maintained by those companies regarding the fees paid by customers for wireless value-added services.

 

Each of China Mobile and China Unicom pays us a portion of the fees it receives from its respective customers for the wireless value-added services we provide, based on their internal records. Thus, a significant portion of our revenue is dependent on each company’s ability to maintain accurate records. We do not collect fees for our services which are deemed to be “billing and transmission failures,” which means that the services were undeliverable to the user because the user’s phone was turned off for an extended period of time, the user ceased to subscribe to the mobile network or his or her prepaid phone card ran out of value, or the mobile phone operator’s networks or our system experienced technical problems. The rate of these billing and transmission failures varies among each mobile phone operator and changes from month to month. Future billing and transmission failures may result in a significant reduction in our wireless value-added services revenue. In recent months, billing and transmission failure rates have ranged from 20% to 80%, although occasionally in provinces that do not generate significant revenue, billing and transmission failures have been as high as 90%. Billing and transmission failures include messages which could not be delivered after one or more attempts due to the reasons specified above, but for which our services were ultimately successfully delivered.

 

While we maintain our own records regarding the services we provide through their networks, we have no ability to independently monitor the accuracy of billing statements of either mobile phone operator. If there are significant discrepancies between our records and the records of one of the mobile phone operators, after taking into account historic levels of billing and transmission failures, we will typically ask to work with that mobile phone operator to reconcile the difference. Nonetheless, we have no ability to independently test or verify the mobile phone operators’ data.

 

Because we cannot independently verify the billing records maintained by China Mobile and China Unicom, we have no basis to determine if particular users of our wireless value-added services have paid for them or if the mobile operators are in turn sharing revenue with us with respect to users that have not paid.

 

As noted in the prior risk factor, we rely on the records maintained by China Mobile and China Unicom regarding the fees paid by users. Because we cannot independently verify the billing records maintained by the mobile operators, we have no basis to determine if particular users of our wireless value-added services have paid for them or if the mobile operators are in turn sharing revenue with us with respect to such users that have not paid. Thus, our revenue from wireless value-added services may be adversely affected if users refuse or are unable to pay for our services, but as a result of our reliance on China Mobile’s and China Unicom’s records, we cannot quantify the effect of non-payments on our revenue.

 

The revenue for our wireless value-added services is normally recognized based on monthly statements from China Mobile and China Unicom, but we occasionally recognize this revenue on an estimated basis if these statements are late.

 

We normally recognize revenue based on statements that we receive subsequent to a period end from the mobile phone operators, but in very limited circumstances when the mobile phone operators’ monthly billing statements are later than the date of our quarterly earnings release, we may recognize revenue on an estimated basis, using our own statistical records and after consultation with the mobile phone operators. For full year accounts, we wait until all statements are received before releasing our earnings figures. Consequently, no estimates are involved in determining annual revenue for our wireless value-added services, but from and including the first quarter of 2002 to and including the fourth quarter

 

11


Table of Contents

of 2003, we have estimated a portion of our wireless value-added services revenue in computing our revenue for particular quarters. In 2002 and 2003, the difference between the estimated revenue and the actual revenue as confirmed by the mobile phone operators, as a percentage of total wireless value-added services revenue recognized over the relevant quarter, ranged from nil to 5.2%. Recognizing revenue based on such estimates could potentially require us to later make adjustments in our financial records when the mobile phone operators’ statements and cash payments are received.

 

We expect that a portion of our future revenues will continue to come from our advertising services, which represented approximately 15% of our total revenue for 2003, but we may not be able to compete effectively in this market because it is relatively new and intensely competitive, in which case our ability to generate and maintain advertising revenue in the future could be adversely affected.

 

Although we anticipate that the revenues generated by our online games and wireless value-added and other fee-based premium services will continue to constitute the major portion of our future revenues, we believe that we will continue to rely on advertising revenues as one of our primary revenue sources for the foreseeable future. Online advertising in China is still relatively new and many of our current and potential advertisers have limited experience with the Internet as an advertising medium, have not traditionally devoted a significant portion of their advertising expenditures or other available funds to Web-based advertising, and may not find the Internet to be effective for promoting their products and services relative to traditional print and broadcast media. Our ability to generate and maintain significant advertising revenue will depend on a number of factors, many of which are beyond our control, including:

 

 the development of a large base of users possessing demographic characteristics attractive to advertisers;

 

 the development of software that blocks Internet advertisements before they appear on a user’s screen;

 

 downward pressure on online advertising prices; and

 

 the effectiveness of our advertising delivery and tracking system.

 

In addition, China’s entry into the WTO, and the resulting gradual opening of its telecommunications sector, may facilitate more foreign participation in the Chinese Internet market by such companies, for example, as Yahoo! and American Online. Many of these Internet companies have longer operating histories in the Internet market, greater name and brand recognition, larger customer bases and databases and significantly greater financial, technical and marketing resources than we have. The entry of additional, highly competitive Internet companies into the Chinese market would further heighten competition for advertising spending in China.

 

If the Internet does not become more widely accepted as a medium for advertising, our ability to generate increased revenue will be negatively affected.

 

Our business and our reputation were materially harmed because we had to restate our financial statements.

 

Our rapid growth has placed and continues to place a significant strain on our resources. In one particular instance in our history, we have not been able to manage our growth effectively. Specifically, in the second quarter of 2001, based on information provided by an employee, our board of directors

 

12


Table of Contents

through its audit committee initiated an investigation into whether the terms of a number of contracts between our Company and third party advertisers had been appropriately reflected in our financial statements. The audit committee subsequently determined by the end of the investigation that a portion of our revenue could not be recognized in fiscal year 2000 because:

 

 we could not identify reliable evidence to support the fair value of services provided under advertising contracts or, alternatively for which there had been no services provided in fiscal year 2000, and accordingly, US$1.1 million in revenue was improperly recorded for fiscal year 2000,

 

 revenue from barter transactions that did not meet the criteria for recognition under the applicable accounting standards, and accordingly, US$2.0 million in revenue was improperly recorded for fiscal year 2000, and

 

 contracts that were found to lack economic substance and accordingly, US$1.2 million in revenue was improperly recorded for fiscal year 2000.

 

Our restated total revenues for 2000 were RMB33.0 million, resulting in a net loss of RMB169.3 million or RMB6.78 per American Depositary Share. We had originally reported total revenues for 2000 of RMB68.9 million, with a net loss of RMB142.8 million or RMB5.72 per American Depositary Share. Our total operating expenses for 2000 were reduced by RMB7.2 million as a result of the restatement. The adjustments also decreased our previously reported total assets by RMB72.8 million.

 

We believe that our improved controls and procedures and structural changes have been effective to minimize the recurrence of this problem, but it is possible that the same or new problems will arise as our business continues to expand. Further, as noted below, we cannot be certain that we will be able to employ and retain suitable senior managers to oversee the implementation of our controls and procedures in the future. If we make any mistakes in operating our business, our operating results may fluctuate and cause the price of our Shares and ADSs to decline.

 

We could incur substantial penalties or fees in connection with the announcement by the staff of the U.S. Securities and Exchange Commission, or SEC, that it intends to recommend that the SEC take legal action against our company.

 

The staff of the SEC has been conducting an investigation related to our restatement of our financial statements for the year ended December 31, 2000. On March 13, 2004, the Company received a “Wells notice” from the staff of the SEC, stating its intention to recommend that the SEC institute a civil injunctive action against our company seeking as-yet unidentified penalties for alleged violations of Section 17(a) of the Securities Act of 1933 and Sections 10(b), 13(a), 13(b)(2)(A), 13(b)(2)(B) and 13(b)(5) of the Securities Exchange Act of 1934 and Rules 10b-5, 12b-20, 13a-16 and 13b2-1 under that act. Pursuant to SEC procedures, we have responded to the Wells notice before the staff makes a formal recommendation regarding any action to be taken against us by the SEC. We could incur substantial penalties if the SEC decides to proceed with an action, and we will also likely incur substantial legal fees whether or not an action is ultimately brought.

 

The success of our business is dependent on our ability to retain our existing key employees and to add and retain new senior officers to our management.

 

We depend on the services of our existing key employees. Our success will largely depend on our ability to retain these key employees and to attract and retain qualified senior and middle level managers to our management team. We also depend on our ability to attract and retain highly skilled

 

13


Table of Contents

technical, editorial, marketing and customer service personnel in the future. We cannot assure you that we will be able to attract or retain such personnel or that any personnel we hire in the future will successfully integrate into our organization or ultimately contribute positively to our business. The loss of any of our key employees would significantly harm our business. We do not maintain key person life insurance on any of our employees.

 

In the past, we have not been able to accurately or comprehensively track the delivery of advertisements through the NetEase Web sites, which problem, if it recurs, may make us less attractive to our present and potential advertisers.

 

We depend on third party proprietary and licensed advertisement serving technology, as well as software which we developed ourselves, to deliver and track all types of advertisements we offer to our advertising customers, such as banner ads, text links, logo displays and pop-up advertisements. Advertisement serving technology allows us to measure the demographics of our user base and the delivery of advertisements on the NetEase Web sites. This technology is still developing. It is important to advertisers that we accurately measure the demographics of the user base of the NetEase Web sites and the delivery of advertisements through the NetEase Web sites. To date, we believe that we have implemented this system successfully, but we cannot be certain that it will be effective as new forms of online advertising arise from time to time. Companies may choose not to advertise on the NetEase Web sites or may pay less for advertising if our advertisement serving system is not perceived to be reliable.

 

Our revenues fluctuate significantly and may adversely impact the trading price of our American Depositary Shares or any other securities which become publicly traded.

 

Our revenues and results of operations have varied significantly in the past and may continue to fluctuate in the future. Many of the factors that cause such fluctuation are outside our control. Steady revenues and results of operations will depend largely on our ability to:

 

 attract and retain users to the NetEase Web sites in the increasingly competitive Internet market in China;

 

 successfully implement our business strategies as planned; and

 

 update and develop our Internet applications, services, technologies and infrastructure.

 

Historically, advertising and e-commerce revenues have followed the same general seasonal trend throughout each year with the first quarter of the year being the weakest quarter due to the Chinese New Year holiday and the traditional close of advertisers’ annual budgets and the fourth quarter as the strongest. Usage of our wireless value-added services and online games has generally increased around the Chinese New Year holiday and other Chinese holidays, in particular winter and summer school holidays during which school-aged users have more time to use such services and games. Accordingly, you should not rely on quarter-to-quarter comparisons of our results of operations as an indication of our future performance. It is possible that future fluctuations may cause our results of operations to be below the expectations of market analysts and investors. This could cause the trading price of our American Depositary Shares or any other securities of ours which may become publicly traded to decline.

 

14


Table of Contents

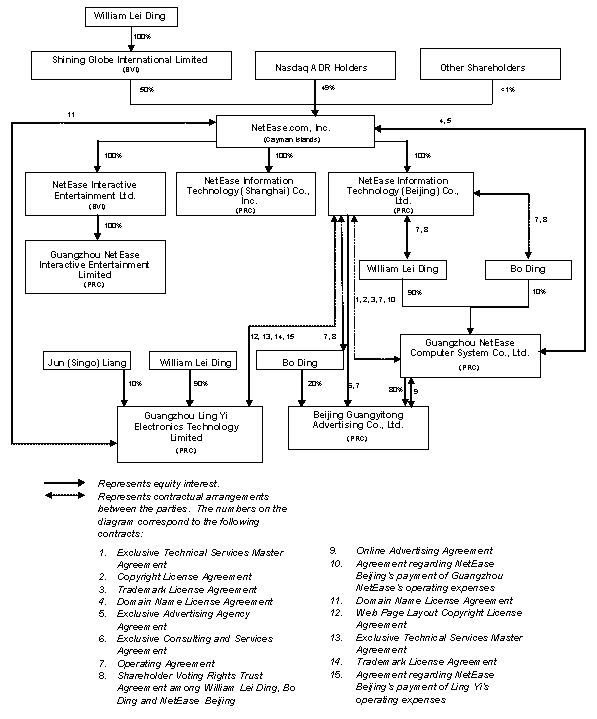
We do not own Guangzhou NetEase, Beijing Guangyitong Advertising Co., Ltd., or Guangyitong Advertising, or Ling Yi and, if they or their ultimate shareholders violate our contractual arrangements with them, our business could be disrupted, our reputation may be harmed and we may have to resort to litigation to enforce our rights which may be time consuming and expensive.

 

Guangzhou NetEase, Guangyitong Advertising and Ling Yi are owned by shareholders whose interests may differ from ours and those of our shareholders because they own a larger percentage of Guangzhou NetEase, Guangyitong Advertising and Ling Yi than of our company. Specifically, the business and operations of Guangzhou NetEase, as the operator of the NetEase Web sites and a provider of online games and wireless value-added and other fee-based premium services, Guangyitong Advertising, as an advertising firm, and Ling Yi, as a provider of wireless value-added services and operator of a portion of the NetEase Web sites, are subject to Chinese laws and regulations that differ from the laws and regulations that govern the business and operations of NetEase. For example, Chinese laws and regulations require us to verify the content of third party advertising content we place on the NetEase Web sites, and we are partly dependent upon the conduct of Guangyitong Advertising, which is not directly subject to those laws and regulations, in order to ensure that we remain compliant with those laws and regulations. Guangzhou NetEase, Guangyitong Advertising, Ling Yi or their ultimate shareholders could violate our arrangements with them by, among other things, failing to operate and maintain the NetEase Web sites or their various businesses in an acceptable manner, failing to remit revenue to us on a timely basis or at all or diverting customers or business opportunities from our company. A violation of these agreements could disrupt our business and adversely affect our reputation in the market. If Guangzhou NetEase, Guangyitong Advertising, Ling Yi or their ultimate shareholders violate our agreements with them, we may have to resort to litigation to enforce our rights. This litigation could result in the disruption of our business, diversion of our resource and the incurrence of substantial costs.

 

Because our contractual arrangements with Guangzhou NetEase, Guangyitong Advertising, Ling Yi and their ultimate shareholders do not detail the parties’ rights and obligations, our remedies for a breach of these arrangements are limited.

 

Our current relationship with Guangzhou NetEase, Guangyitong Advertising, Ling Yi and their ultimate shareholders is based on a number of contracts. The terms of these agreements are often statements of general intent and do not detail the rights and obligations of the parties. Some of these contracts provide that the parties will enter into further agreements on the details of the services to be provided. Others contain price and payment terms that are subject to monthly adjustment. These provisions may be subject to differing interpretations, particularly on the details of the services to be provided and on price and payment terms. It may be difficult for us to obtain remedies or damages from Guangzhou NetEase, Guangyitong Advertising, Ling Yi or their ultimate shareholders for breaching our agreements. Because we rely significantly on Guangzhou NetEase and Guangyitong Advertising for our business (and may in the future rely significantly on Ling Yi), the realization of any of these risks may disrupt our operations or cause degradation in the quality and service provided on, or a temporary or permanent shutdown of, the NetEase Web sites.

 

A majority of the share capital of Guangzhou NetEase, Guangyitong Advertising and Ling Yi is held by our controlling shareholder, who may cause these agreements to be amended in a manner that is adverse to us.

 

Our controlling shareholder, William Lei Ding, holds the majority interest in Guangzhou NetEase, Guangyitong Advertising and Ling Yi. As a result, Mr. Ding may be able to cause these agreements to be amended in a manner that will be adverse to our company, or may be able to cause these agreements not to be renewed, even if their renewal would be beneficial for us. Prior to our initial public offering of American Depositary Shares in 2000, a number of these agreements were amended. Although we have entered into an agreement that prevents the amendment of these agreements without the approval of the members of our Board other than Mr. Ding, we can provide no assurances that these agreements will not be amended in the future to contain terms that might differ from the terms that are currently in place. These differences may be adverse to our interests.

 

15


Table of Contents

We may not be able to conduct our operations without the services provided by Guangzhou NetEase, Guangyitong Advertising and Ling Yi.

 

Our operations are currently dependent upon our commercial relationships with Guangzhou NetEase, Guangyitong Advertising and Ling Yi, and we derive most of our revenues from these companies. A portion of our revenues under our contracts with these companies is based upon preliminary and tentative amounts that have been agreed upon in advance and is subject to being trued-up at our company’s discretion by the end of each quarter. If these companies are unwilling or unable to perform the agreements which we have entered into with them, we may not be able to conduct our operations in the manner in which we currently plan. In addition, Guangzhou NetEase, Guangyitong Advertising and Ling Yi may seek to renew these agreements on terms that are disadvantageous to us. Although we have entered into a series of agreements that provide us with substantial ability to control these companies, we may not succeed in enforcing our rights under them. If we are unable to renew these agreements on favorable terms, or to enter into similar agreements with other parties, our business may not expand, and our operating expenses may increase.

 

Our arrangements with Guangzhou NetEase, Guangyitong Advertising, Ling Yi and their respective shareholders may cause a transfer pricing adjustment and may be subject to scrutiny by the PRC tax authorities.

 

We could face material and adverse tax consequences if the PRC tax authorities determine that our contracts with Guangzhou NetEase, Guangyitong Advertising, Ling Yi and their respective shareholders were not entered into based on arm’s length negotiations. Although our contractual arrangements are similar to other companies conducting similar operations in China, if the PRC tax authorities determine that these contracts were not entered into on an arm’s length basis, they may adjust our income and expenses for PRC tax purposes in the form of a transfer pricing adjustment.

 

Unexpected network interruption caused by system failures may reduce visitor traffic and harm our reputation.

 

Both the continual accessibility of the NetEase Web sites and the performance and reliability of our technical infrastructure are critical to our reputation and the ability of the NetEase Web sites to attract and retain users and advertisers. Any system failure or performance inadequacy that causes interruptions in the availability of our services or increases the response time of our services could reduce user satisfaction and traffic, which would reduce the NetEase Web sites’ appeal to users and advertisers. As the number of NetEase Web pages and traffic increase, we cannot assure you that we will be able to scale our systems proportionately. In addition, any system failures and electrical outages could materially and adversely impact our business.

 

Computer viruses may cause delays or interruptions on our systems and may reduce visitor traffic and harm our reputation.

 

Computer viruses may cause delays or other service interruptions on our systems. In addition, the inadvertent transmission of computer viruses could expose us to a material risk of loss or litigation and possible liability. We may be required to expend significant capital and other resources to protect the NetEase Web sites against the threat of such computer viruses and to alleviate any problems. Moreover, if a computer virus affecting our system is highly publicized, our reputation could be materially damaged and our visitor traffic may decrease.

 

16


Table of Contents

Computer hacking could damage our systems and reputation.

 

Any compromise of security, such as computer hacking, could cause Internet usage to decline. “Hacking” involves efforts to gain unauthorized access to information or systems or to cause intentional malfunctions or loss or corruption of data, software, hardware or other computer equipment. Hackers, if successful, could misappropriate proprietary information or cause disruptions in our service. We may have to spend significant capital and human resources to rectify any damage to our system. In addition, we cannot assure you that any measures we take against computer hacking will be effective. A well publicized computer security breach could significantly damage our reputation and materially adversely affect our business. Although we have not experienced any hacking activity that allowed unauthorized access to any information stored on our network, caused any loss or corruption of data, software or other computer equipment, we have been subject to denial of service attacks that have caused portions our network to be inaccessible for limited periods of time. In addition, we have had denial of service attacks and viruses or worms introduced into our network. Although we take a number of measures to ensure that our systems are secure and unaffected by security breaches, including ensuring that our servers are hosted at physically secure sites, limiting access to server ports, and using isolated intranets, passwords, and encryption technology, we cannot assure you that any measures we take against computer hacking will be effective.

 

In addition, there have been a number of incidents where users, through a variety of methods, were able to modify the rules of our online games, particularly the online game we license from a third party. Although these users did not gain unauthorized access to our systems, they were able to modify the rules of our online games during game play in a manner that allowed them to cheat and disadvantage our other online game users which often has the effect of causing players to stop using the game and shortening the game’s lifecycle. At one point, cheating by some of our online game users led to a decrease in the number of users of our licensed online game “PristonTale.” Although we have also taken a number of steps to deter our users from engaging in cheating when playing our online games, we cannot assure you that we or the third parties from whom we license some of our online games will be successful or timely in taking corrective steps necessary to prevent users from modifying the terms of our online games.

 

If our exclusive providers of bandwidth and server custody service fail to provide these services, our business could be materially curtailed.

 

We rely on affiliates of China Netcom and China Telecom to provide us with bandwidth and server custody service for Internet users to access the NetEase Web sites. If China Netcom, China Telecom or their affiliates fail to provide such services or raise prices for their services, we may not be able to find a reliable and cost-effective substitute provider on a timely basis or at all. If this happens, our business could be materially curtailed.

 

We may be held liable for information displayed on, retrieved from or linked to the NetEase Web sites.

 

We may face liability for defamation, negligence, copyright, patent or trademark infringement and other claims based on the nature and content of the materials that are published on the NetEase Web sites. We are involved in several intellectual property infringement claims or actions and are occasionally subject to defamation claims. We believe that the amounts claimed in these actions, in the aggregate, are not material to our business. However, these amounts may be increased for a variety of reasons as the claims progress, and we and our affiliates could be subject to additional defamation or infringement claims which, singly or in the aggregate, could have a material adverse effect on our business and results of operations, if successful. We also could be subject to claims based upon content that is accessible on the NetEase Web sites such as content and materials posted by users on message boards, online communities, voting systems, e-mail or chat rooms that are offered on the NetEase Web sites. By

 

17


Table of Contents

providing technology for hypertext links to third-party Web sites, we may be held liable for copyright or trademark violations by those third party sites. Third parties could assert claims against us for losses incurred in reliance on any erroneous information distributed by us. Moreover, users of the NetEase Web-based e-mail services could seek damages from us for:

 

 unsolicited e-mails;

 

 lost or misplaced messages;

 

 illegal or fraudulent use of e-mail; or

 

 interruptions or delays in e-mail service.

 

We may incur significant costs in investigating and defending these claims, even if they do not result in liability.

 

Information displayed on, retrieved from or linked to the NetEase Web sites may subject us to claims of violating Chinese laws.

 

Violations or perceived violations of Chinese laws arising from information displayed on, retrieved from or linked to the NetEase Web sites could result in significant penalties, including a temporary or complete cessation of our business. Chinese government agencies have announced restrictions on the transmission of “state secrets” through the Internet. The term “state secrets” has been broadly interpreted by Chinese governmental authorities in the past. We may be liable under these pronouncements for content and materials posted or transmitted by users on message boards, virtual communities, chat rooms or e-mails. The Ministry of National Security and the Ministry of Public Security have authority to cause any local Internet service provider to block any Web site. These ministries have, in the past, stopped the online distribution of information that they believed to be socially destabilizing or politically improper. If the Chinese government takes any action to limit or eliminate the distribution of information through the NetEase Web sites, or to limit or regulate any current or future community functions available to users or otherwise block the NetEase Web sites, our business would be significantly harmed.

 

Privacy concerns may prevent us from selling demographically targeted advertising in the future which could make the NetEase Web sites less attractive to advertisers.

 

We collect demographic data, such as geographic location, income level and occupation, from our registered users in order to better understand users and their needs. We provide this data to online advertisers, on an anonymous aggregate basis, without disclosing personal details such as name and home address, to enable them to target specific demographic groups. If privacy concerns or regulatory restrictions prevent us from collecting this information or from selling demographically targeted advertising, the NetEase Web sites may be less attractive to advertisers.

 

We may not be able to adequately protect our intellectual property, and we may be exposed to infringement claims by third parties.

 

We rely on a combination of copyright, trademark and trade secrecy laws and contractual restrictions on disclosure to protect our intellectual property rights. Our efforts to protect our proprietary rights may not be effective to prevent unauthorized parties from copying or otherwise obtaining and using our technology. Monitoring unauthorized use of our services is difficult and costly, and we cannot be certain that the steps we take will effectively prevent misappropriation of our technology.

 

18


Table of Contents

From time to time, we may have to resort to litigation to enforce our intellectual property rights, which could result in substantial costs and diversion of our resources. In addition, third parties have initiated litigation against us for alleged infringement of their proprietary rights, and additional claims may arise in the future. In the event of a successful claim of infringement and our failure or inability to develop non-infringing technology or content or license the infringed or similar technology or content on a timely basis, our business could suffer. Moreover, even if we are able to license the infringed or similar technology or content, license fees that we pay to licensors could be substantial or uneconomical. See “Business—Intellectual Property and Proprietary Rights.”

 

We believe we were a passive foreign investment company for the 2000, 2001 and 2002 taxable years, which will result in adverse U.S. tax consequences to U.S. investors who held our shares or American Depositary Shares during any of those taxable years, and we cannot be certain whether we will be treated as a passive foreign investment company for the 2004 taxable year.

 

Based upon the nature of our income and assets, we believe we were a passive foreign investment company for U.S. federal income tax purposes for the 2000, 2001 and 2002 taxable years (but not for the 2003 taxable year), and we cannot be certain whether we will be treated as a passive foreign investment company for the 2004 taxable year. The determination of whether or not we are a passive foreign investment company is made on an annual basis and depends on the composition of our income and assets, including goodwill, from time to time. The calculation of goodwill is based, in part, on the then market value of our American Depositary Shares, which is subject to change. In addition, we have made a number of assumptions regarding the calculation of goodwill and the allocation of goodwill among active and passive assets. While we believe our approach is reasonable, the relevant authorities in this area are unclear, so we cannot assure you that our belief that we were a passive foreign investment company for the 2000, 2001 and 2002 taxable years, but not for the 2003 taxable year, is accurate, and we cannot predict with certainty whether we will be treated as a passive foreign investment company for the 2004 taxable year. U.S. investors who owned our shares during any taxable year in which we were a passive foreign investment company generally will be subject to increased U.S. tax liabilities and reporting requirements for those taxable years and all succeeding years, regardless of whether we continue to be a passive foreign investment company for the 2003 and 2004 taxable years and any succeeding years, although a shareholder election to terminate such deemed passive foreign investment company status may be made in certain circumstances. The same adverse U.S. tax consequences will apply to our U.S. investors who acquire our shares during the 2004 taxable year or any subsequent taxable year if we are treated as a passive foreign investment company for that taxable year. Even if we were not a passive foreign investment company for the 2000, 2001, 2002 and 2003 taxable years and/or are not treated as a passive foreign investment company for the 2004 taxable year, we cannot assure you that we will not become a passive foreign investment company for any future taxable year.

 

If our subsidiaries are restricted from paying dividends to us, our primary internal source of funds would decrease.

 

NetEase.com is a holding company with no significant assets other than its equity interests in NetEase Information Technology (Beijing) Co., Ltd., or NetEase Beijing, NetEase Interactive Entertainment Ltd., or NetEase Interactive, and NetEase Information Technology (Shanghai) Co., Ltd., or NetEase Shanghai, which are the wholly owned subsidiaries of NetEase.com, and Guangzhou NetEase Interactive Entertainment Limited, or Guangzhou Interactive, a wholly owned subsidiary of NetEase Interactive. As a result, our primary internal source of funds is dividend payments from our subsidiaries. If these subsidiaries incur debt on their own behalf in the future, the instruments governing the debt may

 

19


Table of Contents

restrict their ability to pay dividends or make other distributions to us, which in turn would limit our ability to pay dividends on our American Depositary Shares or to make any required payments to holders of our convertible notes. Under current Chinese tax regulations, dividends paid to us are not subject to Chinese income tax, but PRC tax authorities may require us to amend our contractual arrangements with Guangzhou NetEase, Guangyitong Advertising, Ling Yi and their respective shareholders in a manner that would materially and adversely affect the ability of our subsidiaries to pay dividends and other distributions to us. In addition, Chinese legal restrictions permit payment of dividends only out of net income as determined in accordance with Chinese accounting standards and regulations. Under Chinese law, NetEase Beijing, Guangzhou Interactive and NetEase Shanghai are also required to set aside a portion of their net income each year to fund certain reserve funds. These reserves are not distributable as cash dividends.

 

RISKS RELATED TO DOING BUSINESS IN CHINA

 

A slow-down in the Chinese economy may slow down our growth and profitability.

 

The growth of the Chinese economy has been uneven across geographic regions and economic sectors. There can be no assurance that growth of the Chinese economy will be steady or that any slow down will not have a negative effect on our business. Several years ago, the Chinese economy experienced deflation, which may reoccur in the foreseeable future. More recently, the Chinese government announced its intention to use macroeconomic tools and regulations to slow the rate of growth of the Chinese economy, the results of which are difficult to predict. The Chinese economy overall affects our profitability as expenditures for advertisements and e-commerce and other services may decrease due to slowing domestic demand.

 

The uncertain legal environment in China could limit the legal protections available to you.

 

The Chinese legal system is a civil law system based on written statutes. Unlike common law systems, it is a system in which decided legal cases have little precedential value. In the late 1970s, the Chinese government began to promulgate a comprehensive system of laws and regulations governing economic matters. The overall effect of legislation enacted over the past 20 years has significantly enhanced the protections afforded to foreign invested enterprises in China. However, these laws, regulations and legal requirements are relatively recent and are evolving rapidly, and their interpretation and enforcement involve uncertainties. These uncertainties could limit the legal protections available to foreign investors.

 

Changes in China’s political and economic policies could harm our business.

 

The economy of China has historically been a planned economy subject to governmental plans and quotas and has, in certain aspects, been transitioning to a more market-oriented economy. Although we believe that the economic reform and the macroeconomic measures adopted by the Chinese government have had a positive effect on the economic development of China, we cannot predict the future direction of these economic reforms or the effects these measures may have on our business, financial position or results of operations. In addition, the Chinese economy differs from the economies of most countries belonging to the OECD. These differences include:

 

 economic structure;

 

 level of government involvement in the economy;

 

 level of development;

 

20


Table of Contents
 level of capital reinvestment;

 

 control of foreign exchange;

 

 inflation rates;

 

 methods of allocating resources; and

 

 balance of payments position.

 

As a result of these differences, our business may not develop in the same way or at the same rate as might be expected if the Chinese economy were similar to those of the OECD member countries.

 

Fluctuation in Renminbi exchange rates could adversely affect the value of our American Depositary Shares and any cash dividend declared on them.

 

The value of the Renminbi may fluctuate according to a number of factors. Since 1994, the conversion of Renminbi into foreign currencies, including US dollars, has been based on exchange rates set by the PBOC, which are set daily based on the previous day’s interbank foreign exchange market rates in China and current exchange rates on the world financial markets. Since 1994, the official exchange rate for the conversion of Renminbi to US dollars has generally been stable. However, we cannot assure you that such exchange rate will remain stable in the future. Our revenues are primarily denominated in Renminbi, and any fluctuation in the exchange rate of Renminbi may affect the value of, and dividends, if any, payable on, our American Depositary Shares in foreign currency terms.

 

Restrictions on currency exchange may limit our ability to receive and use our revenues effectively.

 

Because almost all of our future revenues may be in the form of Renminbi, any future restrictions on currency exchanges may limit our ability to use revenue generated in Renminbi to fund our business activities outside China or to make dividend payments in US dollars. Although the Chinese government introduced regulations in 1996 to allow greater convertibility of the Renminbi for current account transactions, significant restrictions still remain. We cannot be certain that the Chinese regulatory authorities will not impose more stringent restrictions on the convertibility of the Renminbi, especially with respect to foreign exchange transactions.

 

RISKS RELATED TO THE TELECOMMUNICATIONS AND INTERNET INDUSTRIES IN CHINA

 

Government regulation of the telecommunications and Internet industries may become more burdensome.

 

Government regulation of the telecommunications and Internet industries is burdensome and may become more burdensome. New regulations could increase our costs of doing business and prevent us from efficiently delivering our services. These regulations may stop or slow down the expansion of our customer and user base and limit the access to the NetEase Web sites.

 

21


Table of Contents

Increased government regulation of the telecommunications and Internet industries in China may result in the Chinese government requiring us to obtain additional licenses or other governmental approvals to conduct our business which, if unattainable, may restrict our operations.

 

The telecommunications industry, including Internet content provider, or ICP, services and online games, is highly regulated by the Chinese government, the main relevant government authority being the Ministry of Information Industry or MII. Prior to China’s entry into the WTO, the Chinese government generally prohibited foreign investors from taking any equity ownership in or operating any telecommunications business. ICP services are classified as telecommunications value-added services and therefore fell within the scope of this prohibition. This prohibition was partially lifted following China’s entry into the WTO. Pursuant to the Administrative Rules for Foreign Investments in Telecommunications Enterprises promulgated by the State Council dated December 5, 2001, foreign investors are allowed to hold in the aggregate up to 50% of the total equity in any value-added telecommunications business in China. In addition, foreign and foreign invested enterprises are currently not able to apply for the required licenses for operating online games in China.

 

To operate the NetEase Web sites in compliance with all the relevant ICP-related Chinese regulations, Guangzhou NetEase and Ling Yi have successfully obtained ICP licenses issued by the Guangdong Provincial Telecommunications Bureau in 2000 and 2003, respectively. In February 2001, Guangzhou NetEase also completed commercial Web site registration with the Beijing Municipal Administrative Bureau of Industry and Commerce, and was approved to display news services by the News Office of the Beijing Municipal People’s Government. In addition, Guangzhou NetEase has received approvals for online dissemination of health- and drug-related information from the Guangdong Pharmaceutical Administration Bureau and Guangdong Department of Health, an Internet publishing license from the State News and Publication Bureau as well as an Internet culture operation license for online game activities from the Ministry of Culture. Finally, Guangzhou NetEase is in the process of applying for an cross-provincial value-added telecommunications license with MII. However, we cannot be certain that we will be granted that license or any other license, permit or clearance we may need in the future. Moreover, we cannot be certain that any local or national ICP or telecommunications license requirements will not conflict with one another or that any given license will be deemed sufficient by the relevant governmental authorities for the provision of our services.

 

NetEase.com relies exclusively on contractual arrangements with Guangzhou NetEase, and to a much lesser extent, Ling Yi and their approvals to operate as Internet content providers. We believe that our present operations are structured to comply with Chinese law. However, many Chinese regulations are subject to extensive interpretive powers of governmental agencies and commissions. We cannot be certain that the Chinese government will not take action to prohibit or restrict our business activities. We are uncertain as to whether the Chinese government will reclassify our business as a media or retail company, due to our acceptance of fees for Internet advertising, online games and wireless value-added and other services as sources of revenues, or as a result of our current corporate structure. Such reclassification could subject us to penalties or fines or significant restrictions on our business. In addition, NetEase.com may have difficulties enforcing its rights under the agreements with Guangzhou NetEase, Guangyitong Advertising and Ling Yi if any of these parties breaches any of the agreements with them because NetEase.com does not have approval from appropriate Chinese authorities to provide Internet content services, Internet advertising services or wireless value-added services. Future changes in Chinese government policies affecting the provision of information services, including the provision of online services, Internet access, e-commerce services and online advertising, may impose additional regulatory requirements on us or our service providers or otherwise harm our business.

 

22


Table of Contents

The PRC government has announced its intention, and has begun, to intensify its regulation of Internet cafes, which are currently one of the primary venues for our users to access the NetEase Web sites and our services, especially online games. Intensified government regulation of Internet cafes could restrict our ability to maintain or increase our revenues and expand our customer base.

 

In April 2001, the PRC government began tightening its regulation and supervision of Internet cafes, at which many of our users access the NetEase Web sites and our services, especially online games. In particular, a large number of unlicensed Internet cafes have been closed. In addition, the PRC government has imposed higher capital and facility requirements for the establishment of Internet cafes. Furthermore, the PRC government’s policy, which encourages the development of a limited number of national and regional Internet cafe chains and discourages the establishment of independent Internet cafes, may slow down the growth of Internet cafes. Recently, the State Administration of Industry and Commerce, one of the government agencies in charge of Internet cafe licensing, issued a notice suspending the issuance of new Internet cafe licenses. It is unclear when this suspension will be lifted, if at all. So long as Internet cafes are one of the primary venues for our users to access the NetEase Web sites and our services, any reduction in the number, or any slowdown in the growth, of Internet cafes in China could limit our ability to maintain or increase our revenues and expand our customer base, thereby reducing our profitability and growth prospects.

 

Our business would be materially harmed if the Chinese government were to take any action against us for the content on the NetEase Web sites.

 

The Chinese government has enacted regulations governing Internet access and distribution of news and other information over the Internet. In the past, the Chinese government has stopped the distribution of information over the Internet that it believed to be inappropriate. We cannot predict the effect of further developments in the Chinese legal system, particularly with regard to the Internet, including the promulgation of new laws, changes to existing laws or the interpretation or enforcement of laws.

 

Although none of the content that we currently produce contains material that we believe would be considered inappropriate, some of our users may be involved in producing and/or transmitting material that may be considered inappropriate. Although we constantly monitor the content of material transmitted on the NetEase Web sites, we cannot assure you that we will in every instance uncover and block transmission of all material that may be considered inappropriate.

 

If we are found to be in violation of any existing or future Chinese laws or regulations, the relevant Chinese authorities would have broad discretion in dealing with such a violation, including, without limitation, the following:

 

 levying fines;

 

 revoking our business license;

 

 requiring us to restructure our corporate structure, operations or relationship with Guangzhou NetEase, Guangyitong Advertising or Ling Yi; and

 

 requiring us to discontinue any portion or all of our Internet business or our relationship with Guangzhou NetEase, Guangyitong Advertising or Ling Yi.

 

Any such action would have a material adverse effect on our business, financial condition and results of operations and on the holders of our American Depositary Shares.

 

23


Table of Contents

Underdeveloped telecommunications infrastructure may limit the growth of the Internet market in China.

 

The telecommunications infrastructure in China is not well developed. Although private sector Internet service providers exist in China, almost all access to the Internet is maintained through ChinaNet, which is owned in part by each of China Telecom and China Netcom, under the administrative control and regulatory supervision of China’s Ministry of Information Industry. In addition, the government’s interconnecting national networks connect to the Internet through a government-owned international gateway. This international gateway is the only channel through which a domestic Chinese user can connect to the international Internet network. We rely on this infrastructure and China Netcom to provide data communications capacity primarily through local telecommunications lines. Although the government has announced plans to develop aggressively the national information infrastructure, we cannot assure you that this infrastructure will be developed. In addition, we will have no access to alternative networks and services, on a timely basis if at all, in the event of any infrastructure disruption or failure. The Internet infrastructure in China may not support the demands associated with continued growth in Internet usage.

 

The limited use of personal computers in China limits our pool of potential customers and restricts the growth of our business.

 

The Internet penetration rate in China is, and is expected to continue to be, lower than that in the United States and other developed countries. Alternate methods of obtaining access to the Internet, such as through mobile phones, cable television modems or set-top boxes for televisions, are not widely available in China at present. There can be no assurance that the number or penetration rate of personal computers in China will increase rapidly or at all or that alternate means of accessing the Internet will develop and become widely available in China. If significant numbers of Chinese consumers are unable to access the Internet, our ability to grow our business would be impeded.

 

There has been a steady decrease in the rate of the growth of Internet users in China which could limit the overall size of our market and adversely affect our revenues.

 

While the number of Internet users in China has been growing since its introduction and continues to grow currently, we believe that the rate of this growth has slowed in recent years. We cannot predict whether this trend will continue at its current pace or at all, and the factors which will affect future growth in the Internet industry in China, as described elsewhere in these Risk Factors, are largely beyond our control. If this trend does continue, our potential market may not be as large as we had expected, and there will be even greater competition for Internet users in China. In that case, our ability to generate revenues from advertising, e-commerce and other services could be adversely affected.

 

The relatively high cost of accessing the Internet in China limits our potential customer base and restricts the growth of our business.

 

Our growth is limited by the relatively high cost to Chinese consumers of obtaining the hardware, software and communications links necessary to connect to the Internet in China. If the costs required to access the Internet do not significantly decrease, most of China’s population will not be able to afford to use our services. The failure of a significant number of additional Chinese consumers to obtain affordable access to the Internet would make it difficult to grow our business.

 

We may be unable to compete successfully against new entrants and established industry competitors.

 

The Chinese market for Internet content and services is intensely competitive and rapidly changing. Barriers to entry are minimal, and current and new competitors can launch new Web sites at a relatively low cost. Many companies offer competitive products or services including Chinese language-based

 

24


Table of Contents

Web search, retrieval and navigation services, wireless value-added services, online games and extensive Chinese language content, informational and community features and e-mail. In addition, as a consequence of China joining the World Trade Organization, the Chinese government has partially lifted restrictions on foreign-invested enterprises so that foreign investors may hold in the aggregate up to 50% (raised from 49% as of December 11, 2003) of the total equity ownership in any value-added telecommunications business, including an Internet business, in China.

 

Currently, our competition comes from Chinese language-based Internet portal companies as well as US-based portal companies. Some of our current and potential competitors are much larger and better capitalized than we are, and currently offer, and could further develop or acquire, content and services that compete with the NetEase Web sites. We also face competition from online game developers and operators, Internet service providers, wireless value-added service providers, Web site operators and providers of Web browser software that incorporate search and retrieval features. Any of our present or future competitors may offer products and services that provide significant performance, price, creativity or other advantages over those offered by us and, therefore, achieve greater market acceptance than ours.

 

Because many of our existing competitors as well as a number of potential competitors have longer operating histories in the Internet market, greater name and brand recognition, better connections with the Chinese government, larger customer bases and databases and significantly greater financial, technical and marketing resources than we have, we cannot assure you that we will be able to compete successfully against our current or future competitors. Any increased competition could reduce page views, make it difficult for us to attract and retain users, reduce or eliminate our market share, lower our profit margins and reduce our revenues.

 

25


Table of Contents

Item 4. Information on the Company

 

A. History and Development of the Company

 

Our business was founded in June 1997, and we began offering search services and free Web-based e-mail starting mid-1997 and early-1998, respectively. In mid-1998, we changed our business model from a software developer to an Internet technology company and commenced developing the NetEase Web sites. In July 1999, we began to offer e-commerce platforms and to provide online shopping mall and other e-commerce services in China through Guangzhou NetEase, a related party. In 2001, we also began focusing on fee-based premium services and online entertainment services, including wireless value-added services, online games, premium e-mail services and other subscription-type services. Our focus on these services continued throughout 2002 and 2003.

 

In connection with the restructuring of our operations which is discussed below in Item 7.B. “Major Shareholders and Related Party Transactions—Related Party Transactions,” NetEase.com, Inc. was incorporated in the Cayman Islands on July 6, 1999 and it operates under the Cayman Islands Companies Law (2003 Revision). Our principal place of business was 15th Floor, North Tower, Beijing Kerry Centre, No. 1 Guang Hua Road, Chao Yang District, Beijing, People’s Republic of China until January 13, 2003 when we moved to Suite 1901, Tower E3, The Towers, Oriental Plaza, Dong Cheng District, Beijing, People’s Republic of China. Subsequently, in December 2003, we changed our principal executive offices to our office located at 2/F, Tower B, Keeven International Research & Development Centre, No. 43 West Road North Third Ring Road, Haidian District, Beijing, People’s Republic of China 100086. Our telephone number is (86-10) 8211-0163. Our agent for service of process in the United States is CT Corporation System, 111 Eighth Avenue, New York, New York 10011.

 

In July 2000, we completed the initial public offering of our American Depositary Shares, representing our ordinary shares, and listed those securities on the Nasdaq National Market. In addition, we issued and sold US$75,000,000 aggregate principal amount of Zero Coupon Convertible Subordinated Notes due July 15, 2023 on July 14, 2003 and US$25,000,000 aggregate principal amount of the notes on July 31, 2003, in private offerings to Credit Suisse First Boston LLC. We were advised by Credit Suisse First Boston LLC that the notes were resold in transactions which were exempt from the registration requirements of the Securities Act of 1933, as amended (referred to as the Securities Act in this annual report) to persons reasonably believed by Credit Suisse First Boston LLC to be “qualified institutional buyers” (as defined in Rule 144A under the Securities Act).

 

Our principal capital expenditures for 2003 consisted of computer equipment as well as software for a total of approximately RMB27.8 million (US$3.4 million). Our principal capital expenditures for 2001 and 2002 also consisted of computer equipment as well as software for a total of RMB21.1 million (US$2.5 million) and RMB12.6 million (US$1.5 million), respectively.

 

We have spent approximately RMB12.1 million (US$1.5 million) from January 1, 2004 until March 31, 2004, principally for purchases of additional computer equipment in order to accommodate the expected increase in usage of our online games and, to a lesser extent, for increased traffic on the NetEase Web sites. Our capital expenditure plans for the period from April 1, 2004 to December 31, 2004 have not yet been fixed, but we expect to spend an additional approximately RMB45.6 million (US$5.5 million), primarily for the same purposes. Capital expenditures in 2004 have been, and are expected to continue to be, funded through operating cash flows and through our existing capital resources.

 

Recent Development

 

On April 14, 2004, we announced the temporary medical leave of absence by Ted Sun, acting Chief Executive Officer and a director. Michael Tong, our Executive Director, and Denny Lee, our Chief Financial Officer, have assumed the day-to-day responsibilities of Mr. Sun during his absence.

 

26


Table of Contents

B. Business Overview

 

OVERVIEW

 

Through our subsidiaries and contracts with our affiliates Guangzhou NetEase, Guangyitong Advertising, Ling Yi and their respective shareholders, we operate a leading interactive online and wireless community in China and are a major provider of Chinese language content and services through our online games, wireless value-added services and Internet portal businesses.

 

We generate revenues from fees we charge users of our online games and wireless value-added and other fee-based premium services, as well as from selling advertisements on the NetEase Web sites. Our basic service offerings on the NetEase Web sites are available without charge to our users.

 

Our principal areas of focus are described below:

 

Online Games

 

Our online games business focuses on offering massively multi-player online role-playing games to the Chinese market. MMORPGs are played over the Internet in “virtual worlds” that exist on game servers to which thousands of players simultaneously connect and interact. We both develop and license online games that are targeted at the Chinese market, and we strive to provide the highest quality game playing experience to our users.

 

To pay for game playing time, players use our prepaid point card system by purchasing physical point cards or virtual point cards online. Point card distribution channels include wholesalers, Internet cafes, software stores, supermarkets, and bookstores, as well as convenience stores mainly in Guangzhou Province and Shanghai.

 

Wireless Value-Added Services

 

Through arrangements with the two principal mobile phone operators in China, China Mobile and China Unicom, we offer a wide-range of services which allow users, for example, to receive news and other information such as stock quotes and e-mails, download ringtones and logos for their mobile phones and participate in matchmaking communities and interactive games. Combining content from our Internet portal (both user-generated and from our content partners) with the applications we have developed in-house, our wireless business department strives to offer services that are responsive to our users’ changing tastes and needs, as well as leverage the core services offered on the NetEase Web sites.

 

Currently, most of our wireless value-added services are provided to users in the form of short messaging services. We currently offer a wide variety of different SMS services and subscription packages, such as news and information, community and Internet-related services and media downloading. In addition to our SMS offerings, a small but increasing portion of our wireless value-added services revenue is from wireless technology standards, including MMS and WAP, which users access with mobile phones that utilize the new GPRS or CDMA 1x technology standards, as well as IVRS. We intend to continue to develop and introduce higher-end and more sophisticated wireless value-added services as the market evolves and as new technologies develop.

 

27


Table of Contents

Internet Portal

 

The NetEase Web sites provide Internet users with Chinese language online services centered around three core service categories—content, community and communication, and commerce.

 

Content

 

The NetEase content channels provide news, information and online entertainment to the Chinese public. The Web sites consolidate and distribute content from more than one hundred international and domestic content providers. Content is distributed through 21 channels, including channels focusing on news, entertainment, sports, finance, information technology, automobiles, astrology and cartoons, as well as regional sites aimed at users in Guangdong and Shanghai.

 

Community and Communication

 

The NetEase Web sites also provide a broad array of free and fee-based community and communication services, including e-mail, instant messaging, personal advertisements, matchmaking, alumni directories, personal homepages, clubs, e-cards, chat rooms, classified advertisements, job posting services and community forums.

 

Commerce

 

We also offer an online shopping mall, providing Internet users in China a single online location at which they can shop from the convenience of their homes and offices or in Internet cafes and thereby access products and information which might otherwise not be conveniently available. In turn, our technology platform allows e-commerce and traditional businesses to establish or expand their retail networks via the NetEase Web sites.

 

Other

 

In addition to the three core service categories described above, the NetEase Web sites provide useful resources to our users, including a Web directory, Web search service and classified advertisements. Our Web directory is based on an open architecture system with over 470 volunteer editors working to build a categorized directory of Chinese Web sites.

 

The NetEase Web sites also provide an established marketing platform for advertisers, whereby they can reach NetEase’s large registered user base to conduct integrated marketing campaigns by means of a full range of advertising formats and techniques. These include banner advertising, direct e-mail, interactive media-rich sites, sponsored special events, games and contests and other activities.

 

OUR ORGANIZATIONAL STRUCTURE

 

We conduct our business in China solely through our wholly owned subsidiaries, NetEase Beijing, NetEase Shanghai and NetEase Interactive (and NetEase Interactive’s wholly owned subsidiary Guangzhou Interactive).

 

Under current Chinese regulations, there are limitations on the percentage interest foreign companies may have in value-added telecommunications businesses in China, which include the operation of Internet content provision businesses and wireless value-added services such as SMS, MMS, WAP and IVRS. In addition, the operation by foreign or foreign-invested companies of advertising businesses in China is subject to government approval. Because of these restrictions, NetEase.com is not

 

28


Table of Contents

permitted directly to wholly own an Internet content provider, wireless value-added services provider or advertising business. NetEase.com has therefore entered into a series of agreements, directly and through its subsidiaries, with three PRC companies, Guangzhou NetEase, Guangyitong Advertising and Ling Yi. Under the contracts, we provide our Internet and wireless value-added applications, services and technologies and advertising services to Guangzhou NetEase, Guangyitong Advertising and Ling Yi, and they operate the NetEase Web sites and the online advertising business. For more information on these agreements, see Item 7 “Major Shareholders and Related Party Transactions—Related Party Transactions.”

 

Under our agreements with Guangzhou NetEase and Ling Yi, we have agreed to pay the operating costs of both these companies. Under our agreements with Guangyitong Advertising, we have agreed to provide performance guarantees and guarantee loans for working capital purposes to the extent required by Guangyitong Advertising for its operations. Guangzhou NetEase, Guangyitong Advertising and Ling Yi are each prohibited from incurring any debt without our prior approval. We entered into our agreements with Ling Yi in May 2004 with retroactive effect to the date Ling Yi received its business license in 2003.

 

Guangzhou NetEase is 90% beneficially owned by our founder, Chief Architect and controlling shareholder, William Lei Ding, and 10% owned by his brother, Bo Ding. Guangyitong Advertising is 80% owned by Guangzhou NetEase and 20% owned by Bo Ding. Ling Yi is 90% owned by William Lei Ding and 10% owned by one of our former employees, Jun (Singo) Liang. We do not have any direct ownership interest in Guangzhou NetEase, Guangyitong Advertising or Ling Yi.

 

As a result of our contractual arrangements with these three companies, we bear the risks of, and enjoy the rewards associated with, and therefore are the primary beneficiary of our investments in Guangzhou NetEase, Guangyitong Advertising and Ling Yi, and we have begun to consolidate their results of operations in our historical consolidated financial statements commencing in the fiscal year 2004. See also “Operating and Financial Review and Prospects.”

 

Any violations by Guangzhou NetEase, Guangyitong Advertising, or Ling Yi of our agreements with them could disrupt our operations, degrade our services or shut down our services. See Item 3.D “Risk Factors” in this annual report for a detailed discussion of the risks to NetEase.com regarding its dependency on Guangzhou NetEase, Guangyitong Advertising, or Ling Yi.

 

29


Table of Contents

The following diagram shows the current group structure of our subsidiaries and affiliated companies:

 

LOGO

 

NetEase.com and its subsidiaries have no equity interest in Guangzhou NetEase, Guangyitong Advertising or Ling Yi.

 

30


Table of Contents

OUR SERVICES

 

Online Games

 

Massively Multi-player Online Role-Playing Games

 

In 2001, we began developing MMORPGs. As part of this initiative, we acquired technology assets from Guangzhou Tianxia Technology Co. Ltd., a China-based game software developer. We launched our first MMORPG, “Westward Journey Online,” in December 2001 and began charging users for playing time beginning in January 2002. Subsequently, we launched “Westward Journey Online Version 2.0” and a MMORPG licensed from a Korean company, “PristonTale,” in August 2002. In December 2003 we began open-beta testing our second in-house developed MMORPG, “Fantasy Westward Journey.” Peak concurrent users reached almost 100,000 within one month of beta testing. The game was commercially launched in January 2004 and has been well received by online game players in China. For the month of March 2004, average concurrent users for this new game had already reached 54,000. We believe that the popularity of the game will continue to increase in 2004.

 

For the month of December 31, 2003, our online games in the aggregate had an average of 171,000 concurrent users and a total of 1.7 million unique paying users. The following chart sets forth the average number of concurrent users for each of our three MMORPG game titles as of the dates indicated:

 

   

For the month ended

December 31,


   2002

  2003

Westward Journey Online Version 2.0

  41,375  126,962

PristonTale

  9,605  2,510

Fantasy Westward Journey (1)

  —    41,956

(1)Fantasy Westward Journey began beta testing in December 2003 and was commercially launched in January 2004.

 

Our MMORPG titles can be accessed from any location with an Internet connection by registered users of the NetEase Web sites. Users may enter our network with a password and a user-ID, after downloading our installation software or purchasing such software on a CD-ROM. Players of these games select a specific character to begin play. Over the course of play, these characters build up experience and enhanced game capabilities, wealth, weapons and other possessions, all of which may be carried over into subsequent gaming sessions. Players develop their characters according to choices they make within the construct of the game. For example, our licensed title “PristonTale” contains a career system that allows players to tailor their characters’ development by choosing different careers. Players interact with computer operated characters as well as with other players that are playing on the same network server. Players are able to communicate with each other during the game through instant messaging or chat features, allowing them to coordinate their activities with other players to form groups and achieve collective objectives.

 

Customer Service

 

We believe providing strong, dependable customer support is a key component to succeeding in the online games business. Our customer service center provides 24 hour-a-day customer service and technical support and can be contacted via telephone or e-mail. In addition, our customer service specialists, known as game masters, also appear as game characters within the game world and provide

 

31


Table of Contents

assistance and guidance to players, as well as policing behavior of players in the game world to maintain an atmosphere of fun and fair play. As of December 31, 2003, our company employed approximately 200 personnel (including 156 part-time personnel) dedicated to online game customer service and technical support.

 

User Fees

 

Users of our online games pay fees according to the amount of time they play the games. Currently, we charge RMB0.40 (US$0.05) per hour for players of our internally developed game titles, “Westward Journey Online Version 2.0” and “Fantasy Westward Journey,” and RMB0.50 (US$0.06) for our licensed title “PristonTale.”

 

In connection with the introduction of our online games, we developed a prepaid point card to facilitate payment of fees for our online game services and, to a lesser extent, our other fee-based value-added services. These cards address the real and perceived difficulties associated with making online payments in China. See “Risk Factors—Risks Related to Our Company— Online games and wireless value-added and other fee-based premium services have become the major part of our revenue, but continued growth in the popularity of these services and customers’ willingness and ability to pay for them is uncertain.” Users can buy prepaid point cards at a variety of locations in China, including Internet cafes, convenience stores, software stores and bookstores. Electronic point cards can also be purchased through credit cards or online e-sales systems through which players can directly credit their account through Internet cafes or computer stores. Each prepaid card contains an account number and a password. The points represented by these cards can then be transferred into users individual accounts on the NetEase Web sites and used to pay for our online services, primarily playing time for online games. We estimate there were over 1.7 million unique users of our point cards in December 2003.

 

Revenues from our online games are an increasingly important component of our overall revenues. Revenues from our online games accounted for nil, 15.9% and 35.7% of total revenues for 2001, 2002 and 2003, respectively.

 

Wireless Value-added Services

 

SMS

 

In conjunction with China Mobile, in January 2001, we began offering value-added services through SMS which allows users to, among other things, send and receive text messages from the Internet. Subsequently, we entered into a similar arrangement with China Unicom. These services experienced strong growth from their launch through the second quarter of 2003, after which time our revenue from wireless value-added services began to decline as a result of increased competition and certain changes in the policies of China Mobile. See “Risk Factors—Currently, we depend on the contractual relationships of Guangzhou NetEase Computer System Co., Ltd., or Guangzhou NetEase, and, to a much lesser extent, Guangzhou Ling Yi Electronics Technology Limited, or Ling Yi, with the two principal mobile phone companies in China at the national, provincial and local level for our wireless value-added services revenues and the alteration or termination of these relationships could adversely impact our business.” At December 31, 2003, we had more than 33 million registered SMS accounts. We expect that SMS will continue to contribute the majority of our wireless value-added services revenue for 2004 but that over the next few years, there will be a transition to next generation technologies such as MMS and WAP services as they become more widely available. We also intend to continue promoting wireless services which have a strong tie-in with the NetEase Web sites, such as matchmaking community and e-mail.

 

32


Table of Contents

Currently, most of our wireless value-added services are provided to users in the form of SMS. NetEase offers a wide variety of services in the form of individual messages and subscription packages which allow users, for example, to receive news and information such as stock quotes and e-mails, download ringtones and logos for their mobile phones and participate in matchmaking communities and interactive games. We utilize content from our Internet portal (both user-generated and from our content partners) with our applications developed in-house to offer this wide variety of services. Our SMS services can be generally classified into four main categories, namely, news and information subscription, community services, Internet-related services and media downloading. The following are our more popular SMS services in our four major service categories:

 

News and Information
Subscription


 

Community


 

Internet-related


 

Media Downloading


Current news

 Matchmaking community E-mail-related services Ringtones

Financial news

 SMS girlfriend E-card notification Logos

Sports news

 SMS pet Instant messaging Screensavers

TV guide

      

Weather forecast

      

 

In December 2003, Internet-related services was our most popular category of SMS services in terms of revenue, in particular e-mail-related services through which we notify subscribers via an SMS message that they have received an e-mail message in our premium VIP e-mail service. For an additional payment, we will also send subscribers the text of the e-mail message to their mobile phone via SMS.

 

MMS, WAP and Other Emerging Mobile Phone Technologies

 

We are also focusing on developing services that can be utilized in emerging mobile phone technologies. For example, beginning in late 2002, Guangzhou NetEase derived wireless value-added services revenue under a separate cooperative arrangement with China Mobile by providing commercial WAP services, which provides a browser-based platform to access and use wireless value-added services, to mobile users with phones using the GPRS technology standard. In July 2003, we initiated commercial WAP services with China Unicom to mobile phone users over its CDMA 1x mobile phone platform. In April 2003, we also started to derive revenue from activities related to MMS services under a cooperative agreement with China Mobile. We expect that our revenue derived from services we develop utilizing these and other new mobile phone technologies will represent a larger portion of our wireless value-added services revenue in the future as these new technologies becomes more widely available and accepted by mobile phone users in China.

 

More recently, we launched interactive voice response services, or IVRS services, for the wireless platform. IVRS are a new category of value-added services that allow users to access prerecorded information from their mobile phones and to interact with other users through voice chat simply by dialing specially designated IVRS phone numbers and responding to menu options. For instance, users can listen to voice recordings and also choose to recommend such voice recordings to other users, as well as use voice-dating services. The voice-dating service allows users to talk to each other through voice chat after signing up for the service and receiving a user ID.

 

33


Table of Contents

Fees

 

Fees for our wireless value-added services range between RMB0.10 (US$0.01) to RMB2.00 (US$0.24) per SMS message or between RMB3.00 (US$0.36) to RMB30.00 (US$3.62) per subscription per month. Pursuant to our agreements with China Mobile and China Unicom, fees for our wireless value-added services are added onto the user’s China Mobile or China Unicom bill and subsequently collected from the user. Through Guangzhou NetEase and Ling Yi, we share the revenue collected with these mobile operators.

 

Under our revenue sharing arrangements, China Mobile usually receives a service fee equal to 15% of the gross revenues from our services, and we receive the remainder. In addition, according to our contractual arrangements with China Unicom, China Unicom’s revenue sharing percentage varies month-to-month between 10% and 40%. Prior to March 2004, the percentage depended on whether we met certain revenue targets which were calculated on a monthly basis for all of our services offered on its network. From March 2004, the percentage has depended on the relative ranking of the revenue generated by our wireless value-added services over China Unicom’s network on a national basis as compared to all other service providers in the particular month. For 2003, China Unicom received an average of 22% of the revenue it collected for our services as a service fee.

 

To the extent that the number of messages sent by us over China Mobile’s network exceeds the number of messages our customers send to us, we must also pay per message network fees, which decrease in several provinces as the volume of customer usage of our services increases. In 2004, China Unicom also adopted a similar methodology for charging per message network fees. The number of messages sent by us will exceed those sent by our users, for example, if a user sends us a single message to order a service but we in turn must send that user several messages to confirm his or her order and deliver the service itself. In 2003, the average charge to us was between RMB0.05 and RMB0.08 (US$0.006 to US$0.01) per message for China Mobile.

 

During 2003, we received between 73% and 78% of the amounts collected each month by China Mobile and China Unicom from mobile phone users for our wireless value-added services after deducting network and service fees.

 

Internet Portal

 

Our Internet portal business, which is conducted through the NetEase Web sites, offers Chinese Internet users a network of Chinese language-based online content channels, community and communication services, including e-mail, personal homepages, Web hosting and instant messaging, and commerce services and other Web-based applications and services, including a full text Chinese language search engine and a Web directory, to enhance their Internet experience. Our content, community and communication, and commerce services are all designed with user friendly interfaces and easy to understand instructions.

 

Members

 

The NetEase Web sites have registered and unregistered users. Any user may visit the NetEase Web sites without registering. Only registered users can use our personalized services such as our free e-mail system and instant messaging, and our fee-based premium services such as our premium e-mail and dating services. As of December 31, 2003, we had over 169 million accumulated registered accounts, including 73 million new accounts that registered in 2003. When registering an account, NetEase users are asked to provide us with demographic and preference information that better allow us to identify and target audiences with relevant online advertising.

 

34


Table of Contents

Content

 

The main homepage of the NetEase Web sites, www.163.com, provides a destination for Chinese Internet users to identify and access resources, services, content and information on the Internet. The NetEase Web sites aggregate, organize and deliver information to meet the needs of Internet users in China. Our media channels provide users with an efficient and easy way to explore and utilize a wealth of information and content organized around a variety of topics.

 

The NetEase Web sites currently include 21 media channels in the following categories:

 

 News  Jobs and careers  Information technology
 Sports  Culture  Education
 Games  Female  Study Abroad
 Finance  Entertainment  Travel
 Real estate  Automobiles  Mobile phone
 Health  Lifestyle  Guangdong Local
 Business  Product reviews  Shanghai Local

 

The NetEase Web sites also include several specialty content channels such as astrology, jokes, flash cartoons and mini-sites for movies and concerts which provide even more variety of content to our users.

 

Our content distribution platform enables the NetEase Web sites to offer in-depth local content as well as a variety of locally relevant regional and international content. We do not produce our own content for the NetEase Web sites, but rather obtain content from our content partners. Our content partners display their content on one or more of the NetEase Web sites and media channels free of charge or in exchange for a share of revenue, a licensing fee, online advertising, access to original content produced by the NetEase community or a combination of these arrangements. We distribute this content through our content distribution system to Guangzhou NetEase, which determines the appropriate content to publish on the NetEase Web sites and to distribute to users of our wireless value-added services. Our content alliances are generally non-exclusive.

 

We believe that the breadth and relevance of our content offering increases the number of visits our users make to the NetEase Web sites and the amount of time they spend on these sites. We adopt a significant amount of user-generated content from the community forums on the NetEase Web sites. We believe that this user-generated content is highly effective in maintaining user interest and ensuring repeat visits to the NetEase Web sites.

 

Community and Communication

 

The NetEase Web sites have established a large online community member base as a result of our leading online community technology. We launched what we believe to be one of the first online communities in China in December 1998. Users can register with us online to interact with other registered community members. We believe that as users become more involved with our online community, they will return to the NetEase Web sites frequently.

 

35


Table of Contents

NetEase users can interact through a variety of community services. They include:

 

 E-mail. We provide registered users with free and fee-based premium Web-based e-mail services which support both the Chinese and English languages. Registered users can access and send e-mail through their Web browsers or through the POP3 and SMTP standards, which allow users to handle e-mails on their own e-mail applications without opening their browsers. The free Web-based e-mail service also includes the convenience of an address book to maintain user contact lists online. In November 2001, we began offering value-added e-mail services for individuals, known as VIP, which provide fee-paying subscribers with the latest anti-virus and anti-spam filtering capabilities. The VIP e-mail service also includes enhanced security features as well as several convenient online and offline payment methods and 24-hour customer support. As of December 31, 2003, we had more than 475,000 paid VIP e-mail subscribers.

 

 Online Community Forums. We offer NetEase registered community members a variety of community forums where they can post messages and articles for viewing by other registered community members and other users. Due to regulatory issues, we no longer allow users to create their own forums in addition to the ones we offer. The NetEase online communities are hosted by volunteers, who are chosen by us based on their contributions to the communities. The NetEase community volunteers monitor our community forums and select appropriate articles for posting. In addition, these forums are also monitored by NetEase customer service personnel.

 

 Instant Messaging. We offer NetEase registered users a communications platform to notify their online friends and other users with similar interests when they are online and to send and receive text messages seen by both parties nearly instantaneously, allowing NetEase registered users to participate in real-time dialogues. Users can access this service by downloading free software from the NetEase Web sites.

 

 Personal Homepage Hosting. In March 2001, we introduced a fee-based premium personal homepage hosting service which allows subscribers to create and maintain personal homepages on the Web. This service was re-launched in March 2002 with enhanced features and, thereafter, renamed “Personal Space.” The NetEase personal homepages create a Web-based community for Internet users to express themselves, to share ideas, interests and expertise, and to publish personal content accessible by other users with common interests. While we believe most of the NetEase personal homepages are of interest to a small circle of friends and families, there is a core group of users who create homepages with content having broader appeal. Traffic comes from both inside our network of Web sites and from non-registered users visiting from outside. Non-registered users typically find registered users’ personal homepages through search engines. With this fee-based premium service, individual users are able to choose from service packages available at different rates to improve the overall quality of their personal homepages.

 

We also offer a free personal homepage. We actively encourage users of our free service to transition their homepages to our premium service by promoting the fact that users of this premium service benefit from greater storage space, a more secure and faster server, and 24-hour customer support. As of December 31, 2003, we had approximately 270,000 personal homepages which were established under our non-fee based service and more than 56,000 personal homepages which were established under our premium service.

 

36


Table of Contents
 Matchmaking and Others. We offer a large number of other community services include online matchmaking services, a dedicated dating center, online greeting cards, chat rooms, alumni directories and online polls. Several of these services have significant subscriber bases. For example, our online matchmaking service has more than nine million accumulated registered accounts and more than 123,000 paid subscribers as of December 31, 2003.

 

Our Commerce Services

 

We believe that e-commerce will become a rapidly growing sub-sector of China’s Internet market, despite the fact that there are a number of obstacles that need to be overcome. These obstacles include a low credit card penetration rate, perceived lack of secure online payment systems and the lack of reliable and efficient product distribution networks. However, we believe that these obstacles will be overcome in time and that e-commerce will generate significant revenues in China in the future.

 

Our e-commerce services focus on partnering with quality merchants to provide the convenience of online shopping to users. Currently, those merchants support their own e-commerce platforms which appear on the NetEase online shopping mall Web site that we maintain. Previously, we also helped those merchants with their e-commerce platforms. As of December 31, 2003, the mall hosted nine merchants.

 

Our co-branded auction and trading Web site with EachNet terminated in July 2002. Subsequently, we offered free auction services on the NetEase Web sites but discontinued those services in June 2003.

 

Web Directory, Web Search and Classified Ads

 

The NetEase Web sites also provide a Web directory, a Web search and classified advertising services. Our Web directory is based on an open architecture system with over 470 volunteer editors working to build a categorized directory of Chinese Web sites. Our Web search is now powered by Zhongsou.com (formerly known as “Huicong”), a local Chinese search technology provider. We currently sell classified advertisements and key words exclusively through various local agents throughout China.

 

Fees and Revenues

 

Revenue generated by our Internet portal business consists mainly of fees we receive from our fee-based premium services and revenue earned from the sale of advertising space on the NetEase Web sites.

 

Generally, we price the services associated with our Internet portal as follows:

 

Service


 

Pricing


Basic Services, including:

 Free of charge

•      content services (such as news, local information, finance and weather);

  

•      chat rooms;

  

•      basic e-mail services;

  

•      basic personal ads;

  

 

37


Table of Contents

•      basic matchmaking;

  

•      basic clubs;

  

•      basic photo album;

  

•      basic personal homepages;

  

•      electronic greeting cards;

  

•      instant messaging PC to PC;

  

•      job search;

  

•      browsing classified ads;

  

•      Web directories;

  

•      Web searching; and

  

•      online shopping mall.

  

Fee-Based Premium Services, including:

 Monthly subscription basis (ranges from RMB5.00 (US$0.60) to RMB45.00 (US$5.44) per month)

•      premium e-mail services;

  

•      premium personals;

  

•      premium matchmaking;

  

•      premium alumni clubs; and

  

•      premium personal homepages.

  

Advertising Services, including:

 Varies depending on service (see below).

•      banner advertising;

  

•      the advertisement appears on the Web page;

  

•      direct e-mail; and

  

•      special events.

  

 

Pricing for our advertising services has varied based on a number of factors including the duration for which advertisements appear on the NetEase Web sites, how often such Web pages are viewed by users and the number of users that perform a specific action, such as clicking on the advertisement.

 

SALES AND MARKETING

 

Sales

 

Online Games

 

We sell game playing time to users of our MMORPGs largely in the form of prepaid point cards. We sell prepaid point cards to end users through over 300 distributors as of December 31, 2003. These distributors arrange for our cards to be offered at various retail points in China including, notably, Internet cafes where many of the users of our online games access our system, and to a much lesser extent, directly over the Internet. We typically sell prepaid point cards to distributors at a 15% discount off of their face value.

 

38


Table of Contents

Advertising

 

We believe the growing number of Internet users in China represents an attractive demographic target for advertisers because it represents an affluent, educated and technically sophisticated market. To capitalize on this advertising opportunity, we established an advertising sales force in May 1999.

 

Guangyitong Advertising sells banner advertisements on the NetEase Web sites, including animated and interactive banner advertisements, button advertisements and text links, as well as advertising through targeted e-mail campaigns. In addition, we have been appointed by Guangzhou NetEase to solicit advertising customers outside of China for the NetEase Web sites. Together with Guangyitong Advertising, we had 49 advertising sales professionals located in Beijing, Shanghai and Guangzhou as of December 31, 2003. In addition, online advertising on the NetEase Web sites is also sold through online advertising sales networks and advertising agencies. We believe that our focus on widely-used services that are designed to appeal to a broad base of Internet users attracts a variety of blue chip advertisers, ranging from technology products to consumer brands (including increasingly Chinese companies). We intend to continue to attract online advertisers by promoting the NetEase brand name to potential advertisers. We also engage in providing cooperative promotional advertising solutions in which we act as the official sponsor or co-sponsor of special events or online content, such as Web sites that feature movies or television series, athletic events, music awards, charity concerts and industry exhibitions.

 

Furthermore, we perform analyses of our registered users’ habits and preferences on a frequent basis and have used that information to tailor our advertising services. For example, we can deliver advertisements via electronic greeting cards to users who fit within certain criteria based on their user profile. By developing user profiles and user behavior analyses, we intend to increase our ability to target specific user groups and thereby identify users who are attractive to online advertisers.

 

For a discussion of the seasonality of our revenue, see Item 5. “Operating and Financial Review and Prospects—Revenue—Seasonality of Revenue.”

 

Marketing

 

We employ a variety of traditional and online marketing programs and promotional activities to build our brand as part of our overall marketing strategy. We focus on building brand awareness through proactive public relations and traditional and online advertising, and during 2002 and 2003, we conducted an increasing number of traditional marketing events promoting specific services, such as online games, wireless value-added services and other fee-based premium services.

 

In connection with the marketing of our online games, we engaged Hong Kong actors Stephen Chow and Miriam Yeung as celebrity spokespersons for Westward Journey Online Version 2.0 and Fantasy Westward Journey, respectively. We have also entered into a number of revenue sharing agreements with third party promoters of our online game titles. Pursuant to these agreements, promoters spend time marketing our game titles to potential customers in specific locations, principally Internet cafes, in return for a share of revenues we receive from new users they recruit.

 

We plan to continue investing in various forms of marketing to further build awareness of our brand. Specifically, we intend to launch a new marketing campaign later in 2004 which will focus on increasing brand awareness of our company and specific product driven advertisements, through television advertisements and off-line media, such as newspapers, outdoor billboards and advertisements on buses and bus stops.

 

39


Table of Contents

RESEARCH AND DEVELOPMENT

 

We believe that the ability to develop and enhance our services is an integral part of our future success. Our product development efforts and strategies consist of incorporating new technologies from third parties as well as continuing to develop our own proprietary technology in order to produce user-friendly Internet and wireless applications, services and technologies for the Chinese market.

 

We have utilized and will continue to utilize the products and services of third parties to enhance our platform of technologies and services to provide competitive and diverse Internet and wireless services to our users. We also have utilized and will continue to utilize third-party advertisement serving technologies in conjunction with our own proprietary software. In addition, we plan to continue to expand our technologies, services and registered user base through diverse online services developed internally. We will seek to continually improve and enhance our existing services to respond to rapidly evolving competitive and technological conditions.

 

Two areas of particular focus are the development of our proprietary online games and our wireless value-added services. Though we have obtained MMORPG titles in the past both through licensing arrangements and internal development, we believe internal development offers a number of advantages, including flexibility to release new versions and upgrades according to our own timetable, the ability to tailor new games to the Chinese audience and the ability to proactively monitor and counter hacking activities so as to ensure the integrity of the gaming environment. We are currently developing a new MMORPG title, and will continue to focus on developing additional new games in the future. As of December 31, 2003, we had 70 programmers, network engineers and graphic designers dedicated to online game research and development.

 

In connection with our game development activities, we will occasionally purchase technology developed by third parties. For example, in 2003, we entered into a licensing agreement with a third party developer for the right to use their 3-D game engine in MMORPG titles we develop.

 

As of December 31, 2003, we had 20 employees dedicated to the development of new wireless value-added services. Though the majority of our wireless value-added services in 2003 was still attributable to SMS, we believe that this will change in the future, and our research and development activities for this business have focused recently on new services using more advanced technologies such as MMS and WAP, as well as IVRS.

 

INFRASTRUCTURE AND TECHNOLOGY

 

Our infrastructure and technology have been designed for reliability, scalability and flexibility and are administered by our technical staff. The NetEase Web sites are made available primarily through network servers co-located in the facilities of China Netcom’s Beijing affiliate (this was an affiliate of China Telecom until its reorganization) and China Telecom’s Changzhou affiliate. As of December 31, 2003, there were 1,550 of such co-located servers, operating with Web server software from Apache and Netscape. We lease dedicated lines with a total of 4.3 gigabits per second capacity from China Netcom’s Beijing affiliate and China Telecom’s Changzhou affiliate.

 

We license NetGravity’s advertisement serving technology to provide internal advertising inventory management, and we have developed our own advertisement tracking system.

 

Our Web directory is based on an open architecture system with over 470 volunteer editors. We use Oracle’s database systems to manage our registered user database. NetEase has established a comprehensive user profile system, and we analyze user information on a weekly basis. We also deploy a single sign-on system that allows users to easily access our services within the NetEase Web sites. We intend to continue to use a combination of internally developed software products as well as third party products to enhance our Internet media services in the future.

 

40


Table of Contents

COMPETITION

 

A number of companies offer competitive products or services in China, our main operating market. These include Sina, Sohu, Tom.com, 263.net, Linktone Ltd., Shanda Interactive Entertainment Limited, Tencent, Chinadotcom and 21cn.com.

 

Specifically, we face competition from other Web sites that offer online community services and from other e-commerce service providers servicing our market, including Sina, Sohu, Tom.com and Tencent.com. Moreover, operators of Internet portals, such as Sina and Sohu, and dedicated service providers, such as Linktone, MTone Wireless and Newpalm (a subsidiary of Chinadotcom), are major providers of wireless value-added services in the China market, and like our company, they also have partnership arrangements with both China Mobile and China Unicom, the two principal mobile phone operators in China. Overall, we have seen increasing competition in the wireless value-added services market in 2003, and expect competition to remain intense in 2004.

 

We are also encountering competition from companies offering MMORPGs that target the China market, such as Shanda Interactive Entertainment Limited, Softworld, Joypark, Actoz, Ncsoft, The9.com and Waei International (with whom we had a strategic partnership until March 2002). Additionally, the producers of traditional video game consoles, such as Sony’s Play Station 2 and Microsoft’s Xbox, also offer MMORPGs to their users. Some of our existing and potential competitors in these areas have significantly greater financial and marketing resources than we do.

 

We also face competition from US-based portals such as Yahoo! and Yahoo! Chinese which have translated some of their content from the English language to the Chinese language. We expect that China’s entry into the World Trade Organization, and the resulting gradual opening of its telecommunications sector, may facilitate more foreign participation in the Chinese Internet market. Many of these Internet companies have longer operating histories in the Internet market, greater name and brand recognition, larger customer bases and databases and significantly greater financial, technical and marketing resources than we have. The entry of additional, highly competitive Internet companies into the Chinese market would further heighten competition. Finally, we face competition from Web sites that operate outside our market and offer content in the English language, which may be attractive to a portion of Chinese Internet users.

 

In the future, we expect to face increased competition from online game and wireless value-added service providers, as well as new Internet media companies that choose to target general, special interest and/or demographic markets (such as vertical portals). We may encounter indirect competition from providers of Web-based software and other Internet related products. We also compete with traditional forms of media for advertising-related revenue. There can be no assurance that we will be able to compete successfully against our current or future competitors or that competition will not have a material adverse effect on our business, results of operations and financial condition.

 

We believe the principal competitive factors in the Internet and wireless value-added services market in China are:

 

 brand recognition;

 

 user-friendliness;

 

41


Table of Contents
 focus on Internet and wireless value-added services users in China;

 

 development of technology tailored for the Chinese market;

 

 comprehensiveness, quality and responsiveness of products and services;

 

 availability of targeted content; and

 

 personalized experience and online community applications, services and technologies.

 

GOVERNMENTAL REGULATIONS

 

The telecommunications industry, including computer information and Internet access services, is highly regulated by the Chinese government. Regulations issued or implemented by the State Council, the Ministry of Information Industry, or the MII, and other relevant government authorities cover virtually every aspect of telecommunications network operation, including entry into the telecommunications industry, the scope of permissible business activities, interconnection and transmission line arrangements, tariff policy and foreign investment.

 

The MII, under the leadership of the State Council, is responsible for, among other things:

 

 formulating and enforcing telecommunications industry policy, standards and regulations;

 

 granting licenses to provide telecommunications and Internet access services;

 

 formulating tariff and service charge policies for telecommunications and Internet access services;

 

 supervising operations of telecommunications and Internet access service providers;

 

 maintaining fair and orderly market competition among operators; and

 

 managing the day-to-day administration of the national telecommunications sector.

 

In September 2000, China’s State Council promulgated the Telecommunications Regulations, or the Telecom Regulations. The Telecom Regulations categorize all telecommunications businesses in China as either infrastructure telecommunications businesses or value-added telecommunications businesses, with Internet content provider (ICP) services and e-mail services classified as value-added telecommunications businesses. According to the Telecom Regulations, the commercial operator of such services must obtain an operating license. The Telecom Regulations also set forth extensive guidelines with respect to different aspects of telecommunications operations in China.

 

In December 2001, in order to comply with China’s commitments with respect to its entry into the WTO, the State Council promulgated the Administrative Rules for Foreign Investments in Telecommunications Enterprises, or the Telecom FIE Rules. The Telecom FIE Rules set forth detailed requirements with respect to capitalization, investor qualifications and application procedures in connection with the establishment of a foreign invested telecom enterprise. Pursuant to the Telecom FIE Rules, foreign investors may now hold an aggregate of no more than 50% of the total equity in any value-added telecommunications business in China, subject to certain geographic limitations.

 

42


Table of Contents

In addition to the regulations promulgated by the central Chinese government, some local governments have also promulgated local rules applicable to Internet companies operating within their respective jurisdictions. In Beijing, where our head office is located, the Beijing Municipal Administrative Bureau of Industry and Commerce, or the Beijing AIC, has promulgated a number of Internet-related rules. For example, in March 2001, the Beijing AIC promulgated the Online Advertising Tentative Administrative Measures requiring all ICPs within Beijing which provide online advertising services to obtain an advertising operating license. In December 2001, the Beijing Telecom Bureau promulgated the Beijing Moveable Network Value-added Telecom Business Administrative Measures requiring moveable network operators in Beijing to obtain an operating license. In addition, the Beijing AIC issued a circular requiring bulletin board services (BBS) providers to obtain approval from the Beijing AIC. Since these local rules or circulars do not explicitly require a non-Beijing registered Internet company or a non-ICP company to comply with these rules or circulars and it is not clear under the rules that the NetEase Web sites are “located within Beijing,” we believe that these local rules do not apply to Guangzhou NetEase, NetEase Beijing and Ling Yi.

 

The Beijing AIC has also adopted rules requiring owners of the domain names of commercial Web sites located within Beijing to conduct both a Web site name registration and a commercial Web site registration with the Beijing AIC. Although the applicability of these rules to our business is also unclear, we have registered four of our domain names with the Beijing AIC and are in the process of registering three additional names at this time.

 

We are aware of a number of other rules adopted by various provinces and municipalities in China which purport to regulate Internet and wireless value-added services. We are in the process of evaluating the applicability of these rules to our business and will seek such additional licenses, permits or clearances as we deem necessary or appropriate. However, as noted previously in “Risk Factors—Risks Related to the Telecommunications and Internet Industries in China— Increased government regulation of the telecommunications and Internet industries in China may result in the Chinese government requiring us to obtain additional licenses or other governmental approvals to conduct our business which, if unattainable, may restrict our operations,” many Chinese laws are subject to extensive interpretive powers of governmental agencies and commissions, and we could be subject to unforeseen penalties or restrictions on our operating activities if any governmental body disagrees with our interpretation of such laws.

 

Regulation of Internet Content Services; Publications

 

Subsequent to the State Council’s promulgation of the Telecom Regulations in September 2000, MII formulated and implemented a number of Internet-related regulations, including but not limited to the Internet Information Service Administrative Measures, or the ICP Measures, the Internet Electronic Bulletin Board Service Administrative Measures, or the BBS Measures, and the Tentative Administrative Measures Concerning Internet Portals Carrying on the News Displaying Business, or the Internet News Measures. The ICP Measures require that commercial ICP operators must obtain an ICP license from the appropriate telecommunications authorities in order to carry on any commercial ICP operations within China. In addition, the ICP Measures also provide that ICP operators which operate in sensitive and strategic sectors, including news, publishing, education, health care, medicine and medical devices, must obtain additional approvals from the relevant authorities in charge of those sectors as well. The BBS Measures provide that any ICP operator engaged in providing online bulletin board services is subject to a special approval and filing process with the relevant government telecommunications authorities. The Internet News Measures require that any ICP operator engaging in any news displaying services must obtain approval for those services from the appropriate government news department.

 

43


Table of Contents

The Ministry of Health and the State Drug Administration have also adopted regulations regarding the online dissemination of online health- or drug-related information. These regulations require that, among other things, medical, health and drug information must be scientific and accurate and the sources of the information must be identified. Web sites which have received approval to disseminate such information must also publish or reprint health policies, information on epidemics and major health-related incidents and other information in this area in accordance with law. Medical and drug-related advertisements published by such Web sites are also prohibited from exaggerating the efficacy or promoting the medical uses of the advertised products.

 

In addition, the State News and Publication Bureau, or SNPB, is the government agency responsible for regulating publishing activities in China. On June 27, 2002, MII and SNPB jointly promulgated the Internet Publishing Tentative Administrative Measures, or the Internet Publishing Measures, which took effect on August 1, 2002. The Internet Publishing Measures require Internet publishers to secure approval from SNPB. The term “Internet publishing” is defined as an act of online dissemination whereby Internet information service providers select, edit and process works created by themselves or others (including content from books, newspapers, periodicals, audio and video products, electronic publications, etc. that have already been formally published or works that have been made public in other media) and subsequently post the same on the Internet or transmit the same to users via the Internet for browsing, use or downloading by the public.

 

Currently, the NetEase Web sites are operated by our affiliated company, Guangzhou NetEase. Our affiliated company, Ling Yi, also provides a limited number of wireless value-added services which are considered ICP-related. To provide these services in compliance with all the relevant ICP-related Chinese regulations, Guangzhou NetEase has successfully obtained an ICP license issued by the Guangdong Provincial Telecommunications Bureau dated as of December 2000, which was most recently re-issued in March 2004, and Ling Yi received such a license in December 2003. Guangzhou NetEase’s current ICP license specifically authorizes it to provide bulletin board services. In February 2001, the News Office of the Beijing Municipal People’s Government approved Guangzhou NetEase’s application in respect of its news displaying services on the NetEase Web sites. Guangzhou NetEase has also received approvals for online dissemination of health- and drug-related information from the Guangdong Pharmaceutical Administration Bureau and Guangdong Department of Health, an Internet publishing license from the SNPB, as well as an Internet culture operation license for online game activities from the Ministry of Culture. Finally, Guangzhou NetEase is in the process of applying for a cross-provincial value-added telecommunications license with MII. Guangzhou NetEase also completed commercial Web site registration with the Beijing AIC in February 2001.

 

Under the relevant regulations, ICP operators and Internet publishers are prohibited from posting or displaying any content that:

 

 opposes the fundamental principles determined in China’s Constitution;

 

 compromises state security, divulges state secrets, subverts state power or damages national unity;

 

 harms the dignity or interests of the state;

 

 incites ethnic hatred or racial discrimination or damages inter-ethnic unity;

 

 sabotages China’s religious policy or propagates heretical teachings or feudal superstitions;

 

 disseminates rumors, disturbs social order or disrupts social stability;

 

44


Table of Contents
 propagates obscenity, pornography, gambling, violence, murder or fear or incites the commission of crimes;

 

 insults or slanders a third party or infringes upon the lawful rights and interests of a third party; or

 

 includes other content prohibited by laws or administrative regulations.

 

Failure to comply with this content censorship requirement may result in the revocation of ICP licenses and the closing down of the concerned Web sites. To ensure compliance with this regulatory requirement, Guangzhou NetEase has taken all reasonable steps to avoid displaying any of the prohibited content on the NetEase Web sites.

 

Regulation of Advertisements

 

The State Administration of Industry and Commerce, or the SAIC, is the government agency responsible for regulating advertising activities in China. While there are no nation-wide uniform laws or regulations in China specifically governing online advertising businesses, certain local government authorities, such as the Beijing AIC, have issued a number of regulations governing online advertising businesses. The SAIC has not expressly asserted or issued any regulatory documents stating that the Internet is considered an advertising medium under its rules, nor has the SAIC extended its jurisdiction to online advertisements. However, we cannot predict what stance the SAIC or any other Chinese governmental agencies may adopt in the future.

 

Guangyitong Advertising holds an advertising operating license and operates our online advertising business on an exclusive basis. If the SAIC were to treat our current technological service to Guangyitong Advertising as being an online “Advertisement Publisher”, we would need to apply to the local SAIC to amend our business license to authorize us to conduct an online advertising business in accordance with the Administrative Regulations on Advertising and the Detailed Implementing Rules thereof. We cannot assure you that such application would be approved by the SAIC. Failure to obtain such approval may result in penalties including:

 

 being banned from engaging in online advertising activities,

 

 confiscation of illegal earnings and

 

 fines.

 

On the other hand, if an application were approved by the SAIC and we were deemed to be an online “Advertisement Publisher,” we would be held responsible for examining relevant documents and verifying the content of advertisements we post online.

 

Regulation of E-Commerce

 

At present, there are no specific Chinese laws at the national level governing e-commerce or defining e-commerce activities, and no Chinese government authority has been designated to regulate e-commerce. There are existing regulations governing retail and auction businesses which require companies to obtain licenses in order to engage in these businesses. However, it is unclear whether these existing regulations will be applied to e-commerce. There is no assurance that the Chinese government will not, in the future, promulgate specific regulations governing e-commerce, designate a government agency to regulate e-commerce activities or apply existing retail and auction regulations to e-commerce activities, any of which events could restrict our business activities.

 

45


Table of Contents

In addition, at least one provincial government has adopted regulations in this area, and other provincial or local governmental agencies may do so in the future. Specifically, in December 2002, Guangdong Province promulgated the Electronic Transactions Regulations which require electronic transaction service providers to obtain governmental approval and regulate electronic signatures, records and contracts. It is not entirely clear whether these regulations apply to Guangzhou NetEase, and, accordingly, we have not sought any approvals under these regulations. We have, however, obtained an audio-visual product operating license from the Department of Culture of Guangdong Province which enables us to sell audio-visual products through the Internet.

 

Our ability to operate our business may be adversely affected if the Guangdong provincial authorities determine that their e-commerce regulations are applicable to Guangzhou NetEase. Further, the adoption of multiple e-commerce regulations by different provincial or local agencies could have a material adverse effect on our business, particularly if such regulations are inconsistent with each other.

 

Regulation of Wireless Value-Added Services

 

On April 15, 2004, MII issued a notice regarding regulating SMS (the “SMS Notice”), which requires all SMS providers to obtain a relevant operating license within 30 days after the issuance of the notice, otherwise, the mobile operators in China will immediately cease to provide connection services to such provider. Subsequently, the Telecom Administration Bureau (“TAB”) of MII issued a notice requiring cross-provincial SMS providers to provide a report as to their compliance with the SMS Notice by June 2004. The scope of authorized services set forth in the ICP licenses of both Guangzhou NetEase and Ling Yi already include SMS. In addition, Guangzhou NetEase is in the process of applying for a cross-provincial value-added telecommunications license with MII, and if it receives that license, it will also be required to register with the local MII offices of those provinces where we provide SMS services.

 

The SMS Notice also provides specific guidelines regarding the provision of SMS services, such as fee collection, suspension of service by users, handling of customer complaints and related matters.

 

Regulation of Online Games

 

The operation, publication and distribution of online games in China is regulated by various regulatory authorities in China, such as MII, the Ministry of Culture (“MOC”) and the SNPB.

 

Pursuant to the Software Product Administrative Measures promulgated by MII on October 27, 2000, online games are regarded as software products, and a software registration certificate issued by MII is required for the operation and sale of each online game. All of the online games we developed in-house have been registered with MII, and we are in the process of registering our licensed game, PristonTale, with MII.

 

Pursuant to the Internet Culture Administrative Tentative Measures promulgated by the MOC on May 10, 2003, online game operators are required to obtain an Internet culture operating license from the MOC, which our affiliate, Guangzhou NetEase, has received. The MOC also issued a notice in August 2003 requiring the importation of online games to be approved by it. Subsequently, the MOC issued another notice regarding online games on May 20, 2004 (the “2004 Notice”) which also requires the importation of online games to be approved by the MOC. For online games imported before the issuance of the 2004 Notice which are still operating, they must be submitted to the MOC for review by September 1, 2004. In addition, based on information provided orally by the MOC, importers of online games must

 

46


Table of Contents

have their own Internet culture operating licenses or at least one of the co-licensees must have such an operating license under the 2004 Notice. Accordingly, we are in the process of evaluating what changes need to be made with respect to our license of PristonTale which is currently granted to Beijing NetEase, as licensee. We are also in the process of filing the online games we developed in-house with the MOC for recordation. Finally, the State Council recently announced that the approval power of the MOC in relation to the operation of online games is not valid. As the interpretation of the State Council’s announcement is still uncertain and the implementation of the 2004 Notice is untested, we are still monitoring the development of this area of PRC law and evaluating its implications to our company.

 

In addition, for imported online games, the relevant license agreements for such games are regarded as technology import contracts and need to be registered with the MOC. We are in the process of registering the license agreement for PristonTale with the local agency of the MOC. The license agreements also need to be registered with the State Copyright Bureau, otherwise we can not remit licensing fees out of China to the foreign game licensor. We have already registered the license contract for PristonTale with the State Copyright Bureau.

 

The publication of online games also requires approval from the SNPB in accordance with the Internet Publication Administration Tentative Procedure promulgated by the SNPB on August 1, 2002. We received such approval in 2003, and it is valid for ten years. Moreover, the companies we engage to produce and publish the CD-ROMs which some users purchase to download software which enables them to play our games are required to apply for registration (for domestic games) or approval (for imported games) from the SNPB. We understand that the companies currently engaged by us for this purpose have obtained such registration and approvals.

 

It has been reported that SNPB will be adopting new regulations affecting the publication of online games. We cannot be certain when these regulations will become effective, what form they will take or how they will affect our business.

 

Foreign Exchange Controls

 

Our Chinese subsidiaries are subject to various foreign exchange controls which are discussed in Item 10 in this Form 20-F.

 

INTELLECTUAL PROPERTY AND PROPRIETARY RIGHTS

 

We rely primarily on a combination of copyright laws and contractual restrictions to establish and protect our intellectual property rights. We require our employees to enter into agreements requiring them to keep confidential all information relating to our customers, methods, business and trade secrets during and after their employment with us. Our employees are required to acknowledge and recognize that all inventions, trade secrets, works of authorship, developments and other processes, whether or not patentable or copyrightable, made by them during their employment are our property. They also sign all necessary documents to substantiate our sole and exclusive right to those works and to transfer any ownership that they may claim in those works to us.

 

While we actively take steps to protect our proprietary rights, such steps may not be adequate to prevent the infringement or misappropriation of our intellectual property. Infringement or misappropriation of our intellectual property could materially harm our business. We own the intellectual property (other than the content) relating to the NetEase Web sites and the technology that enables on-line community, personalization and e-commerce services on those sites. We license content from various freelance providers and other content providers.

 

47


Table of Contents

We have full legal rights over and have registered a number of domain names with Network Solutions, Inc., including:

 

 www.netease.com;

 

 www.163.com;

 

 www.yeah.net;

 

 www.126.com; and

 

 www.nease.net.

 

China’s trademark law adopts a “first-to-file” system for obtaining trademark rights. As a result, the first applicant to file an application for registration of a mark will preempt all other applicants. Prior use of an unregistered mark is generally irrelevant except for “well known” marks. Guangzhou NetEase and NetEase Beijing have successfully registered numerous trademarks with China’s Trademark Office, including marks incorporating the words “NetEase” and “Yeah” in English and for marks for “NetEase” as written in Chinese in traditional and simplified Chinese characters. In addition, they have registered trademarks involving Chinese characters and phrases that have meanings relating to our Web pages, products and services, including our travel Web page, dating and friends matching services, chat services, online gaming and our search engine. All of the marks which Guangzhou NetEase has registered have been transferred to us. Guangzhou NetEase, NetEase Beijing and Guangzhou Interactive also have applications pending for numerous other trademarks, and we will cause Guangzhou NetEase to transfer to us any of its newly registered trademarks. We may not be able to successfully defend or claim any legal rights in those trademarks that Guangzhou NetEase has registered but not yet transferred to us, and those trademarks for which applications have been made but for which the Trademark Office has not issued a registration certificate.

 

We have also registered a number of trademarks in Hong Kong incorporating the words “NetEase” in English and the marks for “NetEase” as written in Chinese in traditional and simplified Chinese characters. In addition, we have also filed similar trademark applications in the United States.

 

In addition, we have registered our Westward Journey Online Version 2.0 and Fantasy Westward Journey games with the State Copyright Bureau of China.

 

Many parties are actively developing and seeking patent protection for community, online game, e-commerce and related Web technologies. We expect these parties to continue to take steps to protect these technologies, including seeking patent protection. There may be patents issued or pending that are held by others and that cover significant parts of our technology, business methods or services. For example, we are aware that a number of patents have been issued in areas of e-commerce, Web-based information indexing and retrieval and online direct marketing. Disputes over rights to these technologies are likely to arise in the future. We cannot be certain that our products do not or will not infringe valid patents, copyrights or other intellectual property rights held by third parties. We may be subject to legal proceedings and claims from time to time relating to the intellectual property of others.

 

In January 2003, Guangzhou NetEase was named in a copyright infringement lawsuit in China, and the plaintiffs have claimed damages of US$1.0 million. We intend to vigorously defend our position and believe the ultimate resolution of the matter will not have a material financial impact on our company.

 

48


Table of Contents

C. Organizational Structure

 

The following table sets out the details of our subsidiaries:

 

Name


  

Country of

Incorporation


  

Ownership

Interest


NetEase Information Technology (Beijing) Co., Ltd.

  People’s
Republic of
China
  100%

NetEase Information Technology (Shanghai) Co., Ltd.

  People’s
Republic of
China
  100%

NetEase Interactive Entertainment Ltd.

  British Virgin
Islands
  100%

NetEase (U.S.) Inc.

  U.S.  100%
Guangzhou Boguan Telecommunication Technology Limited  People’s
Republic of
China
  100%

 

NetEase Interactive Entertainment Limited also has a wholly owned subsidiary, Guangzhou NetEase Interactive Entertainment Limited.

 

NetEase (U.S.) Inc. and Guangzhou Boguan Telecommunication Technology Limited were dormant in 2003, and we expect that they will remain so in the near-term.

 

D. Property, Plant and Equipment

 

Our principal executive offices are currently located at 2/F, Tower B, Keeven International Research & Development Centre, No. 43 West Road North Third Ring Road, Haidian District, Beijing, People’s Republic of China 100086. We lease our principal executive offices at an effective annual rent of approximately US$0.05 million (RMB0.5 million), including management fees, for 556 square meters under a lease that expires in May 2006. We also occupy 1,592 square meters under a lease in Beijing that expires in May 2006. In addition, we occupy 766 square meters under a lease in Shanghai that expires in December 2004. Guangzhou NetEase occupies a total of 4,831 square meters under leases that expire in May 2005, February 2006, December 2006 and June 2008, respectively. We believe that we will be able to obtain adequate facilities, principally through the leasing of appropriate properties, to accommodate our future expansion plans.

 

We lease dedicated lines with a total capacity of approximately 1,300 megabits per second from China Netcom’s Beijing affiliate under a contract expiring in September 2004. In addition, we lease dedicated lines from China Telecom’s Changzhou affiliate under contracts expiring in June 2004, August 2004 and January 2005. Our bandwidth fees were approximately US$1.8 million for the year ended December 31, 2003.

 

49


Table of Contents

Item 5. Operating and Financial Review and Prospects

 

The following discussion of our financial condition and results of operations is based upon and should be read in conjunction with our consolidated financial statements and their related notes included in this annual report on Form 20-F. This report contains forward-looking statements within the meaning of Section 27A of the Securities Act of 1933 and Section 21E of the Securities Exchange Act of 1934, including, without limitation, statements regarding our expectations, beliefs, intentions or future strategies that are signified by the words “expect”, “anticipate”, “intend”, “believe”, or similar language. All forward-looking statements included in this annual report are based on information available to us on the date hereof, and we assume no obligation to update any such forward-looking statements. Actual results could differ materially from those projected in the forward-looking statements. In evaluating our business, you should carefully consider the information provided under the caption “Risk Factors” in this annual report on Form 20-F. We caution you that our businesses and financial performance are subject to substantial risks and uncertainties.

 

A. Operating Results

 

Overview

 

NetEase is a leading Internet technology company in China. Our innovative online communities and personalized premium services, which allow registered users to interact with other community members, have established a large and stable user base for the NetEase Web sites which are operated by our affiliate. As of December 31, 2003, we had registered an accumulated total of approximately 167 million accounts, and our average daily page views exceeded 390 million for the month ended December 31, 2003.

 

During 2003, we continued to develop our online games, wireless value-added services and other fee-based premium services. We also believe that advertising will continue to be one of our significant revenue sources for the foreseeable future, but we anticipate that the revenue generated by these fee-based premium services and online entertainment services will continue to constitute the major portion of our future revenue.

 

We achieved a net profit of RMB322.9 million (US$39.0 million) for 2003 and generated positive operating cash flows of RMB373.7 million (US$45.2 million) during the year. Our accumulated deficit was reduced from RMB454.1 million as of December 31, 2001 to RMB437.8 million as of December 31, 2002 and to RMB148.7 million (US$18.0 million) as of December 31, 2003. These accumulated losses have been funded principally with proceeds from the issuance of our American Depositary Shares at our initial public offering, the proceeds of our issuance of Zero Coupon Convertible Subordinated Notes due July 15, 2023 and cash flow from our operations.

 

Our Corporate Structure

 

NetEase.com, Inc. was incorporated in the Cayman Islands on July 6, 1999 as an Internet technology company in China. As of December 31, 2003, we had four major directly wholly owned subsidiaries, NetEase Information Technology (Beijing) Co., Ltd., or NetEase Beijing, NetEase Information Technology (Shanghai) Co., Ltd., or NetEase Shanghai, and NetEase Interactive Entertainment Limited, or NetEase Interactive, which has a direct wholly owned subsidiary, Guangzhou NetEase Interactive Entertainment Limited, or Guangzhou Interactive. As of December 31, 2003, we also had two wholly owned subsidiaries, NetEase (U.S.) Inc., or NetEase US, and Guangzhou Boguan Telecommunication Technology Limited, or Boguan, which were inactive during 2003.

 

50


Table of Contents

NetEase Beijing, NetEase Shanghai and Boguan were established in China on August 30, 1999, May 14, 2000 and December 8, 2003, respectively. NetEase US was established in the U.S. on September 10, 1999. NetEase Interactive was established in the British Virgin Islands on April 12, 2002, and Guangzhou Interactive was established in China on October 15, 2002.

 

Under current Chinese regulations, there are limitations on the percentage interest foreign companies may have in value-added telecommunications businesses in China, which include the operation of Internet content provision businesses and the provision of online games and wireless value-added services such as SMS. In addition, the operation by foreign or foreign-invested companies of advertising businesses in China is subject to government approval. Because of these restrictions, NetEase.com is not permitted directly to wholly own an Internet content provider, wireless value-added services provider or advertising business. We conduct our business in China solely through our wholly owned subsidiaries, NetEase Beijing, NetEase Shanghai, NetEase Interactive and Guangzhou Interactive.

 

NetEase Beijing provides technical consulting and related services to Guangzhou NetEase, Guangyitong Advertising and Ling Yi; NetEase Shanghai provides technical consulting for advertising services offered by our affiliates; and Guangzhou Interactive mainly provides services for online games offered by Guangzhou NetEase.

 

Guangzhou NetEase is a limited liability company organized under the laws of China and is owned by our principal shareholder. Guangzhou NetEase has been approved by the Chinese authorities to operate as an Internet content provider and operates the NetEase Web sites. Guangzhou NetEase’s 80% owned subsidiary, Guangyitong Advertising, is licensed by the Chinese authorities to operate an advertising business and engages in Internet-related advertising design, production and dissemination. Ling Yi, which was formed in October 2003, is also a limited liability company organized under the laws of China and owned by our principal shareholder. Ling Yi has also been approved to operate as an Internet content provider, and during 2003, this company earned revenue relating to WAP services, which represented an insignificant portion of our wireless value-added services revenue.

 

We have entered into a series of contractual arrangements with Guangzhou NetEase, Guangyitong Advertising and Ling Yi with respect to the operation of the NetEase Web sites and the provision of advertising services. Our services to Guangyitong Advertising constitute the majority of our advertising-related operations.

 

See Item 4.B “Business Overview” of this annual report for a chart illustrating our corporate structure and relationships with Guangzhou NetEase, Guangyitong Advertising and Ling Yi.

 

The revenue earned by Guangzhou NetEase, Guangyitong Advertising and Ling Yi largely flows through to us pursuant to our contracts with them. We currently derive all our online games and wireless value-added and other fee-based premium services revenues from fees earned pursuant to our agreements with Guangzhou NetEase and Ling Yi, on the one hand, and NetEase.com and NetEase Beijing, on the other hand. We provide Internet portal and e-commerce technologies and technical services to each of Guangzhou NetEase and Ling Yi and pay certain operating costs they incur in operating their businesses in exchange for service fees. The service fee that we charge Guangzhou NetEase includes substantially all of the online games, wireless value-added and other fee-based premium services revenue recognized by Guangzhou NetEase, net of a 3.3% or 5.5% business tax and certain surcharges that apply to these revenues. The service fee that we charge Ling Yi includes substantially all of the wireless value-added services revenue recognized by Ling Yi, net of a 3.3% business tax and certain surcharges that apply to these revenue.

 

We currently derive all our advertising services revenue from fees we earn from Guangyitong Advertising. We have entered into an agreement with Guangyitong Advertising under which we are the

 

51


Table of Contents

exclusive provider of advertising-related technical consulting services to it and under which we receive a service fee. The service fee that we charge includes substantially all of the advertising revenue of Guangyitong Advertising less all of the accrued expenses incurred by Guangyitong Advertising, and net of a 5.5% business tax, a 3% cultural development fee and certain surcharges that apply to these revenues.

 

Basis of Presentation

 

On January 17, 2003, the Financial Accounting Standards Board issued FASB Interpretation No. 46: Consolidation of Variable Interest Entities, an interpretation of ARB 51 (“FIN 46”), which was subsequently amended by a revised interpretation (“FIN 46-R”). These interpretations address financial reporting for entities over which control is achieved through a means other than voting rights. See “—Recent Accounting Pronouncements.” According to the requirements of FIN 46 and FIN 46-R, we have evaluated our relationships with our previously unconsolidated related companies, Guangzhou NetEase, Guangyitong Advertising and Ling Yi. Although we do not have any direct ownership interest in those related companies, due to the degree of control we exercise over them pursuant to our contractual relationships with them, and to the underlying commercial realities, our management has determined that consolidating these companies’ results into our accounts better reflects our company’s actual economic condition. Accordingly, effective January 1, 2004, we adopted the provisions of FIN 46 and began consolidating Guangzhou NetEase, Guangyitong Advertising and Ling Yi on a prospective basis in our consolidated financial statements starting with the first quarter of 2004. Our financial statements for all prior periods do not consolidate those entities.

 

Revenue

 

Our revenues were RMB28.3 million, RMB232.6 million and RMB569.1 million (US$68.8 million) in 2001, 2002 and 2003, respectively. We generate our revenue from provision of online games, wireless value-added and other fee-based premium services, and advertising services. Through our predecessor company, in mid-1998, we changed our business model from a software developer to an Internet technology company. In July 1999, we began to offer e-commerce platforms and to provide online auction services in China through Guangzhou NetEase, a related party. Thereafter, we operated a co-branded auction Web site with EachNet which was ultimately terminated in July 2002, at which time we restarted our own online auction platform providing free auction services to our registered users until June 2003. In 2001, we also began focusing on fee-based premium services and online entertainment services, including online games, wireless value-added services, premium e-mail services and other subscription-type services. Other than revenue from our related parties, Guangzhou NetEase and Guangyitong Advertising, no customer individually accounted for greater than 10% of our total revenue for 2001, 2002 and 2003.

 

Online Games

 

Guangzhou NetEase receives all of its online games revenue from customers through the sale of prepaid point cards. Customers can purchase physical prepaid point cards in different locations in China, including Internet cafes, software stores, convenience stores and bookstores, or can purchase prepaid points from vendors who register the points in our system. A small portion of our customers also purchase “virtual” prepaid cards online via credit cards or bank transfers, and receive the prepaid point information over the Internet. Customers can use the points to play our online games and use our other fee-based services. We recognize revenue from the sale of prepaid points as the points are used by customers.

 

We develop our own proprietary online games, as well as license games from third party developers. We expect that we will face increasing competition as online game providers in China and abroad (mainly from South Korea and, to a lesser extent, from the United States) expand their presence in the Chinese market or enter it for the first time.

 

52


Table of Contents

Wireless Value-Added and Other Fee-based Premium Services

 

Guangzhou NetEase and, to a much lesser extent, Ling Yi receive wireless value-added services revenue which is currently predominantly derived from providing to our customers value-added services through SMS. These SMS services include delivery of news and other requested information such as stock quotes and e-mails, the ability to download ringtones and logos to customers’ mobile phones, participation in matchmaking and friend-finding communities and various other related services that the mobile phone customers of China Mobile and China Unicom can access. We experienced increasing competition in the SMS market in 2003 and the first half of 2004, which contributed in part to the overall decline in our wireless value-added services revenues starting in the third quarter of 2003. To combat this intensifying competition and grow our position in the wireless value-added services market, we intend to continue improving our existing services and developing new ones, but these efforts may not be successful.

 

We are also focusing on developing services which utilize emerging wireless technologies. For example, in April 2003, we started to offer MMS services under a cooperative agreement with China Mobile. We also provide WAP services to China Mobile’s and China Unicom’s users over their respective 2.5G networks. Furthermore, we have recently developed wireless IVRS services, which are a new category of wireless value-added services that allow users to access prerecorded information from their mobile phones and to interact with other users through voice chat simply by dialing specially designated IVRS phone numbers and responding to menu options. We expect that our revenue derived from new services we develop that are compatible with these and new wireless technologies will represent a larger portion of our wireless value-added services revenue in the future as these technologies becomes more widely available and adopted. However, we cannot be certain that these technologies or the services we develop for them will be successful, and we expect to see increasing competition in this area.

 

Other premium services include online fee-based premium services and post-contract customer support and corporate solution services Our online fee-based premium services, supplied to registered users of the NetEase Web sites, includes premium e-mail, premium matchmaking and dating services and premium personal homepage hosting. We also receive a small amount of revenue from provision of post-contract customer support, provision of corporate solutions to customers in connection with their purchase of servers and computer equipment, development of software and custody and maintenance of servers. This type of corporate solutions revenue constituted only 0.1%, 0.4% and 0.03% of our net revenues in 2001, 2002 and 2003, respectively, and we expect this category of revenue to remain immaterial to our business in the future.

 

Advertising Services

 

We derive virtually all our advertising services revenue from fees we earn from advertisements placed on the NetEase Web sites by Guangyitong Advertising. Revenues from advertising services constituted 50.0%, 14.7% and 15.1% of net revenues in 2001, 2002 and 2003, respectively.

 

We expect that the online advertising market in China will continue to grow as Internet usage in China increases and as more companies, in particular China-based companies in a variety of industries, accept the Internet as an effective advertising medium.

 

53


Table of Contents

Seasonality of revenues

 

Historically, advertising revenues have followed the same general seasonal trend throughout each year with the first quarter of the year being the weakest quarter due to the Chinese New Year holiday and the traditional close of advertisers’ annual budgets and the fourth quarter as the strongest. Usage of our wireless value-added services and online games has generally increased around the Chinese New Year holiday and other Chinese holidays, in particular winter and summer school holidays.

 

Cost of Revenues

 

Online Games

 

Cost of revenues for our online games consist primarily of staff costs (in particular remuneration to employees known as the “Game Masters” who are responsible for the daily co-ordination and regulation of the activities inside our games’ virtual worlds), monthly franchise fees paid to a Korean licensor for one of our online games (calculated based on the net amount of revenue we earned from operating the game according to a licensing agreement), advertising fees paid to celebrity spokespersons and revenue sharing expenses paid to third party promoters of our online game titles.

 

In addition, cost of revenues for our online games also includes that portion of bandwidth and server custody fees and depreciation and amortization of computers and software, attributable to our online games business. Our subsidiaries and affiliated companies have network servers co-located in facilities owned by China Telecom’s and China Netcom’s affiliates, for which we pay custody fees to China Telecom and China Netcom.

 

Wireless Value-Added and Other Fee-based Premium Services

 

Cost of revenues related to our wireless value-added and other fee-based premium services consists primarily of staff costs (principally compensation expenses for our e-commerce and editorial professionals) and content fees, as well as that portion of bandwidth and server custody fees, depreciation and amortization of computers and software attributable to the provision of wireless value-added and other fee-based premium services. We pay content fees to third party partners for the right to use proprietary content developed by them, such as ringtones and logos. We also pay content fees to newspaper and magazine publishers for the right to use their proprietary content, such as headline news and articles.

 

In 2003, cost of revenues for these services also included referral fees paid to third party Web sites. This referral program, under which we shared a portion of the revenue generated from new customers of our wireless value-added services with the third party Web sites that referred them to us, commenced to operate at the beginning of 2003 and ended at the end of the second quarter of 2003 pursuant to a new policy instituted by China Mobile. The amount paid to the third party Web sites in 2003 totaled approximately RMB7.4 million (US$0.9 million).

 

Advertising Services

 

Cost of revenues related to our advertising services consists primarily of staff costs and content fees paid to content providers for the NetEase Web sites as well as that portion of bandwidth and server custody fees, depreciation and amortization of computers and software attributable to the provision of advertising services.

 

54


Table of Contents

Operating Expenses

 

Operating expenses primarily include selling, general and administrative expenses and research and development expenses.

 

Selling, General and Administrative Expenses

 

Selling, general and administrative expenses consist primarily of marketing and advertising; salary and welfare expenses and compensation costs; office rental; legal, professional and consultancy fees; bad debt expenses; recruiting expenses; travel expenses and depreciation charges.

 

Research and Development Expenses

 

Research and development expenses consist principally of compensation for our research and development professionals. In 2003, such expenses also included licensing fees paid to a third party developer of a 3-D game engine to be used in our future online games.

 

Share Compensation Cost

 

In December 1999, we adopted a stock incentive plan, called the 1999 Stock Option Plan, for our employees, senior management and advisory board. In 2000, we replaced the 1999 Stock Option Plan with a new stock option plan, called the 2000 Stock Option Plan. The 2000 Stock Option Plan was subsequently amended and restated in May 2001. During 2000, 2001, 2002 and 2003, we granted options to our employees, directors, consultants, a member of our advisory board and certain members of our senior management under the 2000 Stock Option Plan. The vesting periods for these options generally range from two years to four years. In addition, certain of the options granted were cancelled as a result of the resignation of these personnel.

 

For 2003, we recorded share compensation cost of approximately RMB0.2 million (US$0.03 million). This cost has been allocated to (i) selling, general and administrative expenses and (ii) research and development expenses, depending on the functions for which these personnel and employees are responsible. The significant reduction in the share compensation costs recorded for 2003 as compared to 2002 was due to the fact that substantially all of the deferred compensation costs arising from the share grants to certain members of senior management of our company and the share transfers from the principal shareholder to certain members of senior management and employees of our company during the years 1999 and 2000 were already amortized in accordance with the related vesting periods of the share grants and share transfers by the end of 2002.

 

As of December 31, 2003, deferred compensation cost relating to share option grants in 2003 or prior years amounted to RMB69,175 (US$8,358), which is to be amortized and charged to expense in subsequent periods. We may also incur additional share compensation cost in 2004 as a result of the possible recruitment of additional management personnel and the granting of new share options to these personnel and other members of our staff.

 

Income Taxes

 

Under the current laws of the Cayman Islands, we are not subject to tax on income or capital gain. However, our revenues are primarily derived from our Chinese subsidiaries. Chinese companies are generally subject to a 30% national enterprise income tax, or EIT, and a 3% local income tax. Our subsidiary, NetEase Beijing, received the relevant approval to be recognized as a “New and High Technology Enterprise.” According to the approval granted by the Haidian State Tax Bureau in November 2000, NetEase Beijing is entitled to a reduced EIT rate of 15% commencing from the year 2000. In addition, the approval also granted NetEase Beijing with a full exemption from EIT from 2000 to

 

55


Table of Contents

2002, a 50% reduction in EIT (i.e. an EIT rate of 7.5%) from 2003 to 2005, and a full exemption from the local tax from 2000 onwards. However, such preferential tax treatment may be subject to review by higher authorities. If such preferential tax treatment was not available to NetEase Beijing, it would be subject to the normal tax rate of 30% EIT and a 3% local tax.

 

NetEase Shanghai is subject to EIT at the rate of 30% plus a local tax of 3%.

 

Guangzhou Interactive received the relevant approval to be recognized as a “New and High Technology Enterprise.” According to the approval granted by the Guangzhou State Tax Bureau in December 2003, Guangzhou Interactive is fully exempted from EIT in 2003 and 2004. We intend to apply for continued preferential tax treatment which would allow Guangzhou Interactive to pay a reduced EIT rate of 15% for future periods, but we cannot be certain whether we will obtain such approval. If we do not receive any additional preferential tax treatment, Guangzhou Interactive would be subject to the normal tax rate of 30% EIT and a 3% local tax beginning in 2005.

 

Guangzhou NetEase and Guangyitong Advertising are Chinese domestic enterprises and are generally subject to EIT at the rate of 30% plus a local tax of 3%.

 

Ling Yi is a Chinese domestic enterprise and is generally subject to a 33% EIT. However, Ling Yi was categorized as a tax payer under the telecommunication business sector by the local tax bureau of Guangzhou. According to the relevant tax circulars issued by the local tax bureau of Guangzhou, Ling Yi is subject to a business tax on revenues derived from services, which is generally 3%. In addition, Ling Yi is subject to educational surcharges of 3% on the business tax so paid. In addition, Ling Yi is subject to a cultural development fee of 7% on the business tax so paid.

 

If the activities of NetEase.com, Inc. constitute a permanent establishment in China, the income it earns in China would also be subject to a 30% EIT and 3% local income tax. Income of our company that is not connected to a permanent establishment in China would be subject to a 10% withholding tax on gross receipt from profit, interest, rentals, royalties and other income earned in China. Dividends from NetEase Beijing to our company are exempt from Chinese withholding tax.

 

We are subject to a business tax on our revenues derived from services which is generally 5%. In addition, until June 30, 2003, we were subject to a value-added tax ranging from 6% to 17% for revenues we earned from the sale of computer hardware purchased on behalf of our customers. Guangzhou NetEase and Guangyitong Advertising are also subject to a business tax at 3.3% and 5.5% on their revenues, respectively. In addition, Guangyitong Advertising is subject to a cultural development fee at 3% on its Internet advertising fees. These taxes effectively reduce the revenues we derive from Guangzhou NetEase and Guangyitong Advertising.

 

Subject to the approval of the relevant tax authorities, NetEase Shanghai had total tax loss carryforwards of approximately RMB29.3 million (US$3.5 million) as of December 31, 2003 for EIT purposes. Approximately RMB17.2 million (US$2.1 million) and RMB12.1 million (US$1.5 million) of such losses will expire in 2006 and 2007, respectively.

 

The above tax loss carryforwards give rise to potential deferred tax assets totaling RMB9.7 million (US$1.2 million) as of December 31, 2003.

 

Critical Accounting Policies and Estimates

 

The preparation of financial statements often requires the selection of specific accounting methods and policies from several acceptable alternatives. Further, significant estimates and judgments may be

 

56


Table of Contents

required in selecting and applying those methods and policies in the recognition of the assets and liabilities in our consolidated balance sheet, the revenues and expenses in our consolidated statement of operations and the information that is contained in our significant accounting policies and notes to the consolidated financial statements. Management bases its estimates and judgments on historical experience and various other assumptions that are believed to be reasonable under the circumstances. Actual results may differ from these estimates and judgments under different assumptions or conditions.

 

We believe that the following are some of the more critical judgment areas in the application of our accounting policies that affect our financial condition and results of operation.

 

Critical Accounting Policies and Estimates Regarding Revenue Recognition

 

Online Games

 

We recognize revenue at the time when the points on our prepaid point cards are consumed and services are provided.

 

Wireless Value-Added Services

 

Wireless value-added services revenue, which represents Guangzhou NetEase’s and Ling Yi’s share of the revenues under their cooperative arrangements with China’s two mobile phone operators, is recognized by us primarily based on monthly statements received from those operators. The revenue is recognized net of the mobile phone operators’ share of revenue and uncollectible amounts because we consider those operators to be the primary obligors in the information transmission and delivery process which is a critical and integral part of our wireless value-added services. In addition, this revenue recognition approach is supported by the fact that the mobile phone operators must approve all services pricing and they have significant influence over other terms under our cooperative arrangements with them. Uncollectible amounts mainly represent the mobile phone operators’ billing and transmission failures which means that the services were undeliverable to the user because the user’s phone was turned off for an extended period of time, the user ceased to subscribe to the mobile network or his or her prepaid phone card ran out of value, or the mobile phone operators’ networks or our system experienced technical problems. We are unable to estimate or separately confirm the amount of uncollectibles which is reflected in any particular monthly statement and are totally reliant on the information provided by the mobile phone operators in their monthly statements for purposes of our record keeping.

 

Other Fee-Based Premium Services

 

We recognize revenue for these services ratably over the period when the services are provided, except in the case of our prior online auction services. Prior to October 2000, Guangzhou NetEase earned revenues from services to online auction sellers, whether businesses or consumers, which Guangzhou NetEase recognized ratably over the relevant period. In October 2000, we established a co-branded online trading and auction channel in partnership with EachNet. In June 2002, we entered into an agreement with EachNet to terminate our strategic cooperation agreement and the co-branded Web site. We earned both fixed upfront fees and referral fees from EachNet during the period of cooperation. In July 2002, we re-started our own online auction platform providing free services to our registered users after the termination of the co-branded Web site with EachNet, but we discontinued such services in June 2003.

 

Advertising Services Revenue

 

Since December 1999, we have recognized advertising services revenue that we earn through our arrangement with Guangyitong Advertising as services are rendered and the service revenues are earned under the advertising agreements, which is the same time Guangyitong Advertising recognizes such revenue.

 

57


Table of Contents

Guangyitong Advertising derives its advertising fees principally from short-term advertising contracts, though in 2002 and 2003 we have seen an increasing number of advertisers which are willing to enter into long-term contracts. Revenues from advertising contracts are generally recognized ratably over the period in which the advertisement is displayed and collection of the resulting receivables is probable. Guangyitong Advertising’s obligations to the advertisers have traditionally also included guarantees of a minimum number of impressions or times that an advertisement appears in pages viewed by users. These types of advertising contracts are known as CPM contracts. As a result, to the extent that minimum guaranteed impressions were not met within the contractual time period, Guangyitong Advertising deferred recognition of the corresponding revenues until the remaining guaranteed impression levels were achieved. In 2002, we began focusing on entering into advertising contracts which fees are based on the actual time period that the advertisements appear on the NetEase Web sites rather than based on guaranteed minimum impressions. Guangyitong Advertising currently has only a few CPM contracts in effect, but it is possible that Guangyitong Advertising may have to enter into more CPM contracts in the future due to changes in advertisers’ demands. Guangyitong Advertising has also entered into several “cost per action” advertising contracts (known as CPA contracts) whereby revenue is received by Guangyitong Advertising when an online user performs a specific action such as purchasing a product from or registering with the advertiser. Revenue for CPA contracts is recognized when the specific action is completed. In 2003, CPA contracts represented only a small portion of our advertising revenue, and we expect that this will continue in the near-term.

 

Online Mall Revenue

 

Guangzhou NetEase originally launched our online shopping mall platform in July 2000. As of December 31, 2003, this online shopping mall had 9 “online storefronts” with stores being operated by the merchant tenants themselves. From the fourth quarter of 2001, most merchants pay Guangzhou NetEase fixed service fees, which Guangzhou NetEase recognizes ratably over the period of the contracts. Additionally, a small portion of the merchants pay Guangzhou NetEase commissions based on that merchant’s revenues which are recognized on a monthly basis. Prior to 2002, we also received referral fees from online shopping mall partners of the NetEase Web sites which Guangzhou NetEase recognized when services were rendered. As of December 31, 2003, there were no active referral arrangements for which we were recognizing revenue, but we are currently seeking to enter into new referral arrangements.

 

Barter Transactions

 

Revenue from barter transactions primarily relate to advertising and decreased in 2001, 2002 and 2003 as a result of the development of our business. As our business grew and our cash resources improved, we were able to enter into more cash transactions and became less reliant on barter transactions in providing or receiving services. Prior to January 20, 2000, barter transactions were recorded at the estimated fair market value of the services received or estimated fair market value of the services provided, whichever was more readily determinable. Effective from January 20, 2000, we adopted the consensus reached in Emerging Issue Task Force, or EITF, Issue No. 99-17, to account for barter transactions. According to EITF Issue No. 99-17, revenue and expense should be recognized at fair value from an advertising barter transaction only if the fair value of the advertising surrendered in the transaction is determinable based on the entity’s own historical practice of receiving cash, marketable securities, or other consideration that is readily convertible to a known amount of cash for similar advertising from buyers unrelated to the counterparty in the barter transaction. In 2001, the recognized revenues and expenses derived from barter transactions were RMB0.7 million (US$0.1 million). There was no revenue and expense derived from barter transactions in 2002 and 2003. We also engaged in some

 

58


Table of Contents

advertising barter transactions in 2001, 2002 and 2003 for which the fair value is not determinable within the limits of EITF Issue No. 99-17, and therefore no revenues or expenses derived from these barter transactions were recognized. These transactions primarily involved exchanges of advertising services rendered by us for advertising, promotional benefits and information content provided by the counterparties.

 

Other Critical Accounting Policies and Estimates

 

Deferred Tax Valuation Allowance

 

Management judgment is required in determining our provision for income taxes, deferred tax assets and liabilities and the extent to which deferred tax assets can be recognized. We consider all relevant factors that are material to our business, including positive indicators (such as an improved profitability outlook, an indication of market acceptance of our services, and industry statistics signaling continued growth in the market for our services) and certain negative indicators (such as an increase in competition and industry risk such as our dependency on relationships with the mobile operators in China). A valuation allowance is provided to reduce the amount of deferred tax assets if it is considered more likely than not that some portion of, or all of, the deferred tax assets will not be realized. There can be no assurance that NetEase Shanghai will be able to utilize all the net operating loss carryforwards before their expiration.

 

Depreciation

 

We depreciate our computer equipment, software and other assets (other than leasehold improvement) on a straight-line basis over their estimated useful lives, which range from one to five years. We depreciate leasehold improvements, which are included in our operating expenses, on a straight-line basis over the lesser of the relevant lease term or their estimated useful lives.

 

Allowances for Doubtful Accounts

 

We maintain allowances for doubtful accounts receivable based on various information, including aging analysis of accounts receivable balances, historical bad debt rates, repayment patterns and credit worthiness of customers and industry trend analysis. We also make specific provisions for bad debts if there is strong evidence showing that the debts are likely to be irrecoverable. We have adopted a general provisioning policy for doubtful debts for our trade receivable balances. We provide for 80%, in the case of direct customers, and 50% in the case of advertising agents, of the outstanding trade receivable balances overdue for more than 6 months. We provide for 100% in the case of all parties for outstanding trade receivable balances overdue for more than a year. In addition to the general provisions for trade receivables, we also make specific bad debt provisions for problem account receivable balances.

 

Litigation Reserve

 

No material litigation reserve existed as of December 31, 2003 because management believed, and continues to believe, that the ultimate resolution of the claims described in Item 8.A.7 “Legal Proceedings” will not result in any material financial impact on our company.

 

Repurchase of Shares

 

On July 4, 2003, we entered into an agreement with affiliates of The News Corporation Limited (“Newscorp”) to repurchase 27,142,000 of our ordinary shares held by one of Newscorp’s affiliates. The transaction was completed in July 2003. Under the agreement, we paid Newscorp a net aggregated

 

59


Table of Contents

amount of approximately US$4.6 million, and the right of Newscorp and its affiliates to a certain amount of advertising on NetEase’s Web sites which had been granted under a strategic cooperation agreement between the parties was waived. In accordance with the agreement, we are entitled to use US$2 million worth of advertising on Asian television properties of Newscorp at no additional cost until March 28, 2004 or such other date as the parties shall agree. On July 28, 2003, the parties agreed to extend the date from March 28, 2004 to June 30, 2004. We did not recognize this amount of unused advertising as an asset.

 

60


Table of Contents

Consolidated Results of Operations

 

The following table sets forth a summary of our audited consolidated statements of operations for the periods indicated both in Renminbi and as a percentage of total revenue:

 

   For the Year Ended December 31,

 
   2001

  

%

  2002

  

%

  2003

  

%

 
   RMB   RMB   RMB  

Statement of Operations Data:

                   

Revenues:

                   

Online game services

  —       37,053,414  15.9  203,246,114  35.7 

Wireless value-added and other fee-based premium services

  14,136,369  50.0  161,305,678  69.4  279,659,170  49.1 

Advertising services

  14,163,952  50.0  34,209,376  14.7  86,183,733  15.2 
   

 

 

 

 

 

Total revenues

  28,300,321  100.0  232,568,468  100.0  569,089,017  100.0 

Business tax

  (2,274,784) (8.0) (11,627,216) (5.0) (26,954,502) (4.7)
   

 

 

 

 

 

Net revenues

  26,025,537  92.0  220,941,252  95.0  542,134,515  95.3 
   

 

 

 

 

 

Cost of revenues:

                   

Online game services

        (15,530,501) (6.7) (20,873,502) (3.7)

Wireless value-added and other fee-based premium services

        (29,524,647) (12.7) (36,965,777) (6.5)

Advertising services

        (26,622,426) (11.4) (27,623,438) (4.9)
   

 

 

 

 

 

Total cost of revenues

  (60,058,488) (212.2) (71,677,574) (30.8) (85,462,717) (15.1)
   

 

 

 

 

 

Gross profit (loss on revenues)

  (34,032,951) (120.2) 149,263,678  64.2  456,671,798  80.2 

Operating expenses:

                   

Selling, general and administrative expenses

  (181,765,047) (642.3) (94,307,613) (40.6) (110,770,403) (19.5)

Asset impairment loss

  (2,766,543) (9.8) (746,857) (0.3) —      

Research and development expenses

  (13,322,789) (47.1) (14,184,724) (6.1) (19,120,827) (3.4)

Class action settlement

  —       (36,005,385) (15.4) —      
   

 

 

 

 

 

Total operating expenses

  (197,854,379) (699.2) (145,244,579) (62.4) (129,891,230) (22.9)
   

 

 

 

 

 

Operating profit (loss)

  (231,887,330) (819.4) 4,019,099  1.8  326,780,568  57.3 

Other income (expenses):

                   

Sale of 163.net usage right

  —       —       —      

Investments impairment loss

  (8,924,381) (31.5) —       —      

Investment income

  —       —       538,278  0.1 

Interest income

  17,571,187  62.1  7,562,322  3.3  11,273,685  2.0 

Interest expenses

  (9,882,874) (35.0) (1,401,041) (0.6) —      

Other, net

  (40,516) (0.1) 3,725,370  1.6  5,410,171  1.0 
   

 

 

 

 

 

Income (loss) before tax

  (233,163,914) (823.9) 13,905,750  6.1  344,002,702  60.4 

Income tax benefit (expenses)

  —       2,395,888  1.0  (21,129,978) (3.7)
   

 

 

 

 

 

Net income (loss)

  (233,163,914) (823.9) 16,301,638  7.1  322,872,724  56.7 
   

 

 

 

 

 

Share compensation cost included in:

                   

Cost of revenues

  —       (1,908,125) (0.8) —      

Selling, general and administrative expenses

  (204,423) (0.7) (1,522,369) (0.6) (151,166) (0.0)

Research and development expenses

  (2,153,335) (7.6) (376,364) (0.2) (88,236) (0.0)
   

 

 

 

 

 

   (2,357,758) (8.3) (3,806,858) (1.6) (239,402) (0.0)

 

61


Table of Contents

Year Ended December 31, 2003 Compared to Year Ended December 31, 2002

 

Revenues

 

Total revenues increased by 144.7% to RMB569.1 million (US$68.8 million) in 2003 from RMB232.6 million in 2002. Revenue from online games, wireless value-added and other fee-based premium services, and advertising services constituted 35.7%, 49.1% and 15.2%, respectively, of our total revenue in 2003. This compares with 15.9%, 69.4% and 14.7%, respectively, of our total revenue in 2002.

 

Online Games

 

Revenue from online games increased by 448.5% to RMB203.2 million (US$24.6 million) in 2003 from RMB37.1 million in 2002. This increase was mainly due to the increase in popularity of “Westward Journey Online Version 2.0”, our in-house developed MMORPG. The number of average concurrent players for this game increased to approximately 127,000 in December 2003 from approximately 41,000 in December 2002. This increase was partially offset by a decrease in popularity of PristonTale, the MMORPG we license from a Korean developer and that we commercially launched in August 2002. Revenue generated from PristonTale accounted for only approximately 5.7% of our total revenue from online games in 2003.

 

Wireless Value-Added and Other Fee-based Premium Services

 

Revenue from wireless value-added and other fee-based premium services increased by 73.4% to RMB279.7 million (US$33.8 million) from RMB161.3 million in 2002. This increase was primarily due to the increase in paying customers for our SMS services in 2003. The number of monthly active users for SMS services increased to approximately 3.9 million in December 2003 from approximately 2.6 million in December 2002. This increase was consistent with the increase in overall popularity of SMS among the expanding population of mobile phone users in China This market is, however, increasingly shifting towards next generation technologies, with mobile operators upgrading their networks to general packet-switched radio service, or GPRS, and code division multiple access 1x RTT, or CDMA 1x RTT, systems and users upgrading to next generation handsets that can operate with technologies such as MMS and WAP.

 

Advertising services

 

Our advertising services revenues increased by 151.9% to RMB86.2 million (US$10.4 million) in 2003 from RMB34.2 million in 2002, primarily due to the increase in average spending by traditional advertisers (i.e., customers which do not advertise through our search and classified ad services). Average net revenue per traditional advertiser increased to approximately RMB239,000 (US$29,000) in 2003 from RMB122,000 in 2002. The number of traditional advertisers using the NetEase Web sites increased to 337 in 2003 from 280 in 2002, with revenues from our top ten advertisers comprising 27.4% of our total advertising services revenues in 2003 as compared to 23.2% in 2002.

 

Cost of Revenues

 

Our cost of revenues increased by 19.2% to RMB85.5 million (US$10.3 million) in 2003 from RMB71.7 million in 2002 due primarily to increased cost of revenues for online games and wireless value-added and other fee-based premium services. In 2003, costs relating to online games, wireless value-added and other fee-based premium services and advertising services represented 24.4%, 43.3% and 32.3% of total cost of revenue, respectively. This compares with 21.7%, 41.2% and 37.1%, respectively, in 2002.

 

62


Table of Contents

Online Games

 

Cost of revenues from our online games increased 34.4% to RMB20.9 million (US$2.5 million) in 2003 from RMB15.5 million in 2002. This increase in cost of revenues in 2003 was primarily due to a combination of the following factors:

 

 Payments to the celebrity acting as our spokesperson for our online game “Westward Journey Online” (Versions 1.0 and 2.0) increased RMB4.4 million. These payments are calculated on the basis of a percentage of revenues we earn from the game, and the increase in payments in 2003 was directly related to the increase in revenue from the game due to its increased popularity in 2003; and

 

 Production costs for printing prepaid point cards, which are sold to end-customers who use the point cards to pay for our online games and other fee-based premium services, increased RMB3.5 million to RMB4.8 million (US$0.6 million) in 2003 from RMB1.3 million in 2002 due to increased production of cards in 2003.

 

These increases were partially offset by a decrease in bandwidth and server custody fees of RMB2.1 million to RMB2.7 million (US$0.3 million) in 2003 from RMB4.8 million in 2002.

 

Wireless Value-added and Other Fee-based Premium Services

 

Cost of revenues from our wireless value-added and other fee-based premium services increased 25.2% to RMB37.0 million (US$4.5 million) in 2003 from RMB29.5 million in 2002. This increase in cost of revenues in 2003 consisted primarily of RMB7.4 million (US$0.9 million) in referral fees paid to third-party Web sites for introducing new wireless value-added services customers to us. The referral program pursuant to which these payments were made commenced at the beginning of 2003, and no such referral payments were made in 2002. The program ended in July 2003. This increase was also due, in part, to increased SMS network transmission fees of RMB3.4 million due to the temporary provision of free SMS messaging through our instant messaging service, POPO, in late 2003. These increases were partially offset by a decrease in depreciation and amortization of computers and software attributable to our wireless value-added and other fee-based premium services of RMB2.4 million (US$0.3 million) to RMB6.3 million (US$0.8 million) in 2003 from RMB8.7 million in 2002.

 

Advertising Services

 

Cost of revenues from our advertising services increased 3.8% to RMB27.6 million (US$3.3 million) in 2003 from RMB26.6 million in 2002 due primarily to an increase in staff and staff-related costs. Staff and staff-related costs increased RMB2.9 million to RMB9.9 million (US$1.2 million) in 2003 as compared to RMB7.0 million in 2002 as a result of the expansion of our sales staff from 41 as of December 31, 2002 to 89 as of December 31, 2003. This increase was partially offset by a decrease of RMB1.3 million in depreciation and amortization of computers and software attributable to our advertising services to RMB5.7 million (US$0.7 million) in 2003 from RMB7.0 million in 2002 as a result of the full depreciation of certain computer equipment in 2003.

 

63


Table of Contents

Gross Profit

 

As a result of the strong revenue growth in 2003, our gross profit increased by 205.9% to RMB456.7 million (US$55.2 million) in 2003 from RMB149.3 million in 2002. Our gross margins increased to 80.2% in 2003 from 64.2% in the 2002.

 

The significant improvement in gross margins was primarily driven by economies of scale as revenues continued to increase while cost of revenues increased at a slower rate.

 

Operating Expenses

 

Total operating expenses decreased by 10.6% to RMB129.9 million (US$15.7 million) in 2003 from RMB145.2 million in 2002. The decrease in 2003 was mainly due to a one-time provision for the class action settlement of RMB36.0 million in 2002. Excluding such one-time provision, total operating expenses were 18.9% higher in 2003 than in 2002. Operating expenses as a percentage of total revenue decreased from 62.4% in 2002 to 22.9% in 2003.

 

Selling, general and administrative expenses increase by 17.5% to RMB110.8 million (US$13.4 million) in 2003 from RMB94.3 million in 2002 primarily due to the following reasons:

 

 Increase in staff costs of approximately RMB8.9 million (US$1.1 million) as a result of increase in salaries and commissions paid to our advertising sales team. Such increase was consistent with the increase in advertising revenue in 2003 when compared to 2002; and

 

 Additional marketing and promotional events in 2003 when compared to 2002. This resulted in an increase in marketing spending of approximately RMB5.5 million (US$0.7 million). We anticipate that our marketing expenses will continue to increase in 2004 as a result of our new marketing campaign we intend to launch later in 2004 which will focus on increasing brand awareness of our company and specific product driven advertisements, through television advertisements and off-line media, such as newspapers, outdoor billboards and advertisements on buses and bus stops.

 

Research and development expenses increased 34.8% to RMB19.1 million (US$2.3 million) in 2003 from RMB14.2 million in 2002. This increase was due to the following reasons:

 

 Increase in research and development staff-related costs of RMB2.4 million (US$0.3 million) stemming largely from the recruitment of programmers and technicians to assist our online games business; and

 

 Approximately RMB2.2 million (US$0.3 million) in license fees in 2003 paid to a third-party vendor to license a 3-D game engine for the development of further online games. We did not incur such license fees in 2002.

 

Allowances for Doubtful Accounts

 

As of December 31, 2003, our receivable balances were due from Guangzhou NetEase and Guangyitong Advertising because they have historically not been consolidated into NetEase.com. NetEase.com makes corresponding bad debt provisions when those affiliated companies do so in their books of accounts. Since NetEase.com relies on Guangzhou NetEase and Guangyitong Advertising to collect monies from their customers to realize its revenue earned from providing consulting services, NetEase.com also assists these two affiliates, which were unconsolidated prior to 2004, to manage their receivable balances.

 

64


Table of Contents

As of December 31, 2003, the gross accounts receivable balance before any allowance for bad and doubtful accounts was RMB82.0 million. After providing for doubtful accounts in the amount of RMB10.2 million, the net balance of accounts receivable was RMB71.8 million as of December 31, 2003. Among the RMB10.2 million allowance for doubtful accounts, RMB4.7 million and RMB5.5 million represented general and specific provisions, respectively.

 

We periodically review our general provisioning policy for doubtful accounts. In assessing the adequacy and reasonableness of the policy, we consider the aging analysis of accounts receivable balances, historical bad debt rates, repayment patterns and credit worthiness of customers and industry trend analysis.

 

The amount of additional provision made for bad and doubtful debts amounted to RMB3.6 million for fiscal year 2003. The additional provision mainly comprised specific provisions on specific debtors and, to a lesser extent, the increase in the balance of general provisions.

 

As of December 31, 2003, Guangzhou NetEase and Guangyitong Advertising had two customers with receivable balances exceeding 10% of the total accounts receivable balance, namely China Mobile and China Unicom which owed Guangzhou NetEase approximately RMB28.5 million and RMB11.7 million, respectively, representing 34.7% and 14.3% of the total outstanding accounts receivable balance then outstanding. No provision for such accounts receivables balances was made because of the current nature of such balances.

 

Other Income (Expenses)

 

Other income and expenses in 2003 mainly consisted of interest income. Interest income increased to RMB11.3 million (US$1.4 million) in 2003 from RMB7.6 million in 2002, mainly due to the increase in short-term bank deposits in China and abroad. The cash for such deposits was generated largely from our operations as well as from the proceeds of our US$100 million convertible notes issue in July 2003. Interest expense decreased to zero in 2003 from RMB1.4 million in 2002, as all our bank loans were repaid during 2002.

 

We recognized other net income of RMB5.4 million (US$0.7 million) in 2003. This income primarily consisted of the write back of provisions for certain subscription receivable balances. The subscription receivable balances were related to certain loans to related parties under the family and friends program during our initial public offering in 1999. Full provision was made for such loans in 2001, but a portion of the loans were subsequently repaid in 2003. As a result, a portion of the provisions made in 2001 were reversed and recognized as other income in 2003.

 

Deferred Tax Valuation Allowance

 

For the year ended December 31, 2003, we considered all relevant factors that are material to our business, including positive indicators (such as improved profitability outlook, an indication of market acceptance of our services, and industry statistics signaling continued strong growth in the market for a portion of our services) and certain negative indicators (such as an increase in competition and industry risk such as our dependency on relationships with the mobile operators in China), and determined that it was more likely than not that we would be able to take advantage of all of our tax loss carryforwards from the prior fiscal years before their expiration. Accordingly, we decreased our deferred tax valuation allowance from RMB16.7 million to RMBnil as of December 31, 2003.

 

65


Table of Contents

Income Tax

 

Income tax increased to RMB21.1 million (US$2.6 million) in 2003 from a credit of RMB2.4 million in 2002. The increase in 2003 was mainly due to an increase in revenues and taxable income in 2003, partially offset by an increase in deferred tax assets recognized in 2003 as compared to 2002. Our effective tax rate in 2003 was 6.1%

 

Net Profit

 

As a result of the foregoing, net profit increased by 1,880.6% to RMB322.9 million (US$39.0 million) in 2003 from RMB16.3 million in 2002.

 

Year Ended December 31, 2002 Compared to Year Ended December 31, 2001

 

Revenues

 

Total revenues increased by 721.8% to RMB232.6 million in 2002 from RMB28.3 million in 2001. In 2002, revenue from online games, wireless value-added and other fee-based premium services and advertising services constituted 15.9%, 69.4% and 14.7%, respectively, of our total revenue. This compares with nil, 50.0% and 50.0%, respectively, of our total revenue in 2001. Our revenue from online games rose in 2002 as that business was commercially launched in the beginning of that year. Our revenue from wireless value-added and other fee-based premium services increased significantly during 2002 mainly as a result of the substantial increase in revenue generated from our wireless value-added services. Our advertising services revenue also increased during 2002 due to the expansion of our sales team and a general increase in demand for online advertising in China during 2002.

 

Online Games

 

Revenue from online games increased to RMB37.1 million in 2002 from nil in 2001 as we commercially launched our first online game in the beginning of 2002. At the beginning of 2001, we acquired all the assets of a China-based online game software development company and started the development of an MMORPG. We launched our first MMORPG, “Westward Journey Online”, for beta testing in December 2001, and started charging our users for their playing time in January 2002. Subsequently, we launched “Westward Journey Online Version 2.0” and “PristonTale”, an MMORPG licensed from a Korean company, in August 2002.

 

Wireless Value-Added and Other Fee-based Premium Services

 

Revenues from wireless value-added and other fee-based premium services increased by 1,041.1% to RMB161.3 million in 2002 from RMB14.1 million in 2001, mainly as a result of the substantial increase in revenue generated from our wireless value-added services and to a lesser extent from increased revenues from our other fee-based services, including dating and friends matching, e-mail services and other premium services.

 

The substantial increase in revenue generated from our wireless value-added services was primarily due to the increase in the overall popularity of SMS in China and in the range and popularity of our proprietary services among the expanding population of mobile phone users in China.

 

66


Table of Contents

The increase in revenue in 2002 from our other fee-based premium services, including premium e-mail, dating and friends matching and personal homepage hosting, was primarily due to the commercialization of our dating and friends matching services at the beginning of the year (these services were provided to our users free of charge in 2001 and prior periods), and to a lesser extent, due to the increase in the number of paying subscribers of our other fee-based services in 2002.

 

Advertising Services

 

Advertising services revenues increased by 141.5% to RMB34.2 million in 2002 from RMB14.2 million in 2001, primarily as a result of the expansion of our sales team from 27 employees to 41 employees and a general increase in demand for online advertising in China during 2002. In particular, we gained several new China-based advertising clients, including leading mobile phone and car manufacturers, and were able to increase the number of advertising contracts which are long-term (one year or more) in 2002. Average revenue per advertiser increased from approximately RMB36,000 in the first quarter to RMB69,000 in the fourth quarter of 2002. The number of traditional advertisers using the NetEase Web sites increased to 280 in 2002 from 174 in 2001, with revenues from our top ten advertisers comprising 23.2% of our total advertising services revenues in 2002 as compared to 40.3% in 2001.

 

Cost of Revenues

 

Our cost of revenues increased by 19.3% to RMB71.7 million in 2002 from RMB60.1 million in 2001, primarily due to the expansion of our online games business in 2002. A substantial portion of this increase was due to franchise and revenue share fees related to the “PristonTale” and “Westward Journey Online” games and, to a lesser extent, increased staff costs of our online games team. Please note that as a result of the manner in which we recorded our cost of revenues in 2001, we are not able to reasonably allocate those costs among online games, wireless value-added and other fee-based premium services and advertising services and thus cannot compare cost of revenues for the years 2001 and 2002 according to those categories.

 

As a result of the strong revenue growth in 2002, we achieved a gross profit of RMB149.3 million in 2002 as compared to a loss on revenues of RMB34.0 million in 2001. Our gross margins increased from 30.8% in the first quarter of 2002 to 72.7% in the fourth quarter of 2002. The gross margin for the year ended December 31, 2002 was 64.2%.

 

The significant improvement in gross margins was driven by economies of scales as revenue continued to increase with a relatively stable cost of revenues. In 2001, bandwidth costs increased due to an increase in our purchases of bandwidth in order to support higher Internet traffic during that year. Several factors contributed to the decrease in bandwidth costs in 2002 despite the fact that the volume of our communication traffic increased during the same period. The decrease was due to cheaper location facilities for our servers and a general decline in average annual bandwidth costs per unit from RMB19,500 per megabit per second in 2000 to RMB18,400 per megabit per second in 2001 to RMB7,500 per megabit per second in 2002, accompanied by an increase in the total average bandwidth capacity from 800 megabits per second in 2000 to 1000 megabits per second in 2001 to 1700 megabits per second in 2002.

 

Staff costs consisted primarily of compensation expenses for our online game and other e-commerce and editorial professionals and comprised 27.8% of our total cost of revenues in 2002, compared with 15.2% in 2001. The increase was mainly due to the increase in the number of employees during 2002, in particular for the online games business department, which increased from 62 employees to 95 employees.

 

67


Table of Contents

Depreciation and amortization of computers and software comprised 24.9% of our total cost of revenues in 2002, compared with 22.6% in 2001. The increase was mainly due to the increase in the number of servers from 486 servers to 663 servers and to a lesser extent the increase in personal computer equipment during 2002.

 

Operating Expenses

 

Total operating expenses decreased by 26.6% to RMB145.2 million in 2002 from RMB197.9 million in 2001. Operating expenses as a percentage of total revenues decreased from 699.1% in 2001 to 62.5% in 2002. The decrease in 2002 was mainly due to the fact that the substantial fees charged by third parties in 2001 as discussed in the next paragraph did not recur in 2002.

 

Selling, general and administrative expenses decreased by 48.1% to RMB94.3 million in 2002 from RMB181.8 million in 2001, primarily due to expenses of more than RMB50.0 million for legal and professional fees and consultancy fees in 2001 which substantially decreased in 2002, and to a lesser extent due to our cost control measures in 2002.

 

In 2002, we incurred a significantly lower amount of legal and professional fees of about RMB17.8 million because the matters listed in the following sentence were either resolved or required significantly less attention, resulting in a lower consumption of legal and professional services. In 2001, we incurred approximately RMB42.5 million in legal and professional fees in relation to an inquiry by the U.S. Securities and Exchange Commission, the class action litigation we were involved in, the appeal of a delisting action initiated by Nasdaq and the investigation in the second and third quarters of 2001 into the circumstances that led us to restate our 2000 financial statements.

 

In 2001, we also incurred approximately RMB21.7 million of consultation fees on matters relating to potential acquisitions of our business by interested parties, public relations, tax issues and business strategy and management matters. The total amount of consultation fees incurred decreased to RMB0.8 million in 2002 as we ceased to engage in those discussions in June 2001.

 

The decrease in other selling, general and administrative expenses in 2002 was a result of a combination of factors, including (a) a one-time bad debt charge in 2001 for two non-recurring items amounting to RMB8.4 million, (b) a one-time charge of compensation expenses in the form of severance paid to certain executive officers and a senior employee who were separated from us prior to the expiration of their employment contracts, amounting to RMB7.4 million and (c) the implementation of the following cost control measures:

 

 In 2001, we recorded bad debt expenses for a RMB6.4 million bad debt provision for subscription receivables and RMB2.0 million provision for amount due from a related party, Ding Bo.

 

 In 2001, we incurred a one-time charge of RMB7.4 million in compensation expenses in the form of severance paid to three executive officers and one senior manager who separated from us prior to the expiration of their employment contracts; and

 

 Implementation of certain cost control measures also contributed to lower selling, general and administrative expenses in 2002, including: (i) strict monitoring of expenditures generally, as a result of which marketing spending decreased from RMB26.0 million in 2001 to RMB6.8 million in 2002, and certain business expenses, such as expenses for overseas traveling and local transportation, recruitment and training, business conferences and entertainment, decreased by RMB4.4 million from RMB9.3 million in 2001 to RMB4.9 million in 2002; and (ii) commencing periodic review of loan aging analysis with respect to loans made to third parties and following up with targeted efforts to seek payment by our customers and debtors which resulted in the required provision for bad debt decreasing from RMB5.1 million in 2001 to RMB3.3 million in 2002.

 

68


Table of Contents

In 2002, we also paid RMB36.0 million into an escrow account for the settlement of all claims brought in connection with the class action lawsuit in the United States initiated against our company and certain other parties. This amount was released from escrow and paid to the plaintiffs at the time the court declared the settlement final.

 

The asset impairment loss in 2002 represented the unamortized portion of the costs incurred in the acquisition of an electronic payment gateway system which we ceased using.

 

Research and development expenses increased by 6.5% to RMB14.2 million in 2002 from RMB13.3 million in 2001, primarily due to an increase in the number of programmers and technicians recruited in 2002 to assist our online games business.

 

Other Income (Expenses)

 

Other income and expenses in 2002 mainly consisted of interest income and expenses. We repaid RMB84 million in short-term bank borrowings during 2002, and as a result, both our interest income and interest expenses dropped significantly in 2002 as compared to 2001. The decrease in the net interest income in 2002 as compared with 2001 was also due to the reduction of interest rates during 2002. Other net income of RMB3.7 million in 2002 represented the write-back of certain provisions for expenses and claims payable for certain arbitration.

 

Income Tax

 

Income tax decreased to a credit of RMB2.4 million in 2002 from zero. The decrease in 2002 was mainly due to the ability to recognize deferred tax assets relating to losses incurred in prior periods. Such deferred tax assets were not recognizable in 2001 due to the uncertainty of our making a profit at that time. Recognition of deferred tax assets was partially offset by an increase in revenues and taxable income in 2002 as compared with 2001.

 

Net Profit (Loss)

 

As a result of the foregoing, net profit increased by 107.0% to RMB16.3 million in 2002 from a net loss of RMB233.2 million in 2001.

 

Quarterly Results of Operations Data

 

The following table sets forth selected unaudited quarterly consolidated statements of operations data for each of the four fiscal quarters for the year ended December 31, 2003 in Renminbi. Our management believes this data has been prepared substantially on the same basis as the consolidated audited financial statements, including all necessary adjustments, consisting only of normal recurring adjustments, necessary for a fair presentation of such data. Operating results for any quarter are not necessarily indicative of results for any future quarter. You should read the quarterly data for the four quarters set forth below for the year ended December 31, 2003 in conjunction with our consolidated financial statements and the related notes included elsewhere in this annual report.

 

69


Table of Contents
   Quarter Ended

 
   March 31,
2003


  

June 30,

2003


  September 30,
2003


  December 31,
2003


 
   (Unaudited)
RMB
  (Unaudited)
RMB
  (Unaudited)
RMB
  (Unaudited)
RMB
 

Revenues:

             

Online game services

  36,081,633  36,233,479  56,484,513  74,446,489 

Wireless value-added and other fee-based premium services

  69,851,133  79,109,673  62,712,103  67,986,261 

Advertising services

  11,997,296  20,823,784  27,065,846  26,296,807 
   

 

 

 

   117,930,062  136,166,936  146,262,462  168,729,557 

Business tax

  (5,896,988) (6,807,862) (7,313,123) (6,936,529)
   

 

 

 

Net revenues

  112,033,074  129,359,074  138,949,339  161,793,028 
   

 

 

 

Cost of revenues:

             

Online game services

  (4,470,702) (4,012,240) (4,693,865) (7,696,695)

Wireless value-added and other fee-based premium services

  (10,329,604) (11,837,810) (5,797,489) (9,000,874)

Advertising services

  (5,416,645) (6,037,053) (7,286,807) (8,882,933)
   

 

 

 

Total cost of revenues

  (20,216,951) (21,887,103) (17,778,161) (25,580,502)
   

 

 

 

Gross profit

  91,816,123  107,471,971  121,171,178  136,212,526 
   

 

 

 

Operating expenses:

             

Selling, general and administrative expenses

  (24,006,515) (25,460,237) (30,012,933) (31,290,718)

Research and development expenses

  (4,248,003) (4,126,390) (4,095,277) (6,651,157)
   

 

 

 

Total operating expenses

  (28,254,518) (29,586,627) (34,108,210) (37,941,875)
   

 

 

 

Operating profit

  63,561,605  77,885,344  87,062,968  98,270,651 

Other income (expenses):

             

Investment income

  —    —    —    538,278 

Interest income

  1,738,018  1,908,473  3,640,487  3,986,707 

Interest expenses

  —    —    —    —   

Other, net

  5,518,548  154,828  (121,222) (141,983)
   

 

 

 

Profit before tax

  70,818,171  79,948,645  90,582,233  102,653,653 

Income tax expenses

  (1,902,670) (4,161,744) (6,492,105) (8,573,459)
   

 

 

 

Net profit

  68,915,501  75,786,901  84,090,128  94,080,194 
   

 

 

 

 

B. Liquidity and Capital Resources

 

Our capital requirements relate primarily to financing:

 

 our working capital requirements, such as bandwidth and server custody fees, staff costs, sales and marketing expenses and research and development, and

 

 costs associated with the expansion of our business, such as the purchase of servers.

 

Operating Activities

 

Cash provided by operating activities was RMB373.7 million (US$45.2 million) and RMB26.8 million for the years ended December 31, 2003 and 2002, respectively. Cash used in operating activities was RMB185.7 million for the year ended December 31, 2001. For the year ended December 31, 2003, cash provided by operating activities consisted primarily of our operating profit of RMB322.9 million (US$39.0 million) adjusted for depreciation and amortization charges of RMB20.9 million (US$2.5 million), and an increase in provisions for doubtful debts of RMB3.6 million (US$0.4 million), a decrease in the net amount due from related parties of RMB25.7 million (US$3.1 million), and an increase in

 

70


Table of Contents

accounts payable and other liabilities totaling RMB13.5 million (US$1.6 million), offset in part by an increase in prepayments and other current assets of RMB5.8 million (US$0.7 million) and an increase in deferred tax assets of RMB7.3 million (US$0.9 million). For the year ended December 31, 2002, cash used in operating activities consisted primarily of operating profit of RMB16.3 million adjusted for depreciation charges of RMB21.8 million, share compensation cost of RMB3.8 million and write down of software costs of RMB0.7 million, and an increase in provision for doubtful debts, taxes payable and other payables totaling RMB16.0 million, and a decrease in prepayments and other assets of RMB3.8 million, offset in part by a decrease in accounts payable and accrued liabilities totaling RMB9.8 million, and an increase in net amounts due from related parties and deferred tax assets totaling RMB25.8 million. For the year ended December 31, 2001, cashed used in operating activities consisted primarily of our operating loss of RMB233.2 million, adjusted for a decrease in accrued liabilities of RMB7.8 million and amount due to related parties of RMB1.3 million and an increase in due from related parties of RMB3.5 million, offset in part by an increase in accounts payable of RMB5.6 million, salary and welfare payable of RMB3.2 million and a decrease in prepayments and other current assets of RMB5.7 million.

 

Investing Activities

 

Cash used in investing activities was RMB360.3 million (US$43.5 million) for the year ended December 31, 2003, and cash provided by investing activities was RMB42.7 million for the year ended December 31, 2002. Cash used in investing activities was RMB67.3 million for the year ended December 31, 2001. For the year ended December 31, 2003, cash used in investing activities mainly consisted of the purchase of held-to-maturity investments of RMB332.1 million (US$40.1 million) and fixed assets of RMB27.8 million (US$3.4 million). For the year ended December 31, 2002, cash provided by investing activities mainly consisted of the decrease in temporary cash investments of RMB45.5 million and the disposal of convertible preference shares of RMB9.7 million, which was offset in part by the cash used in the purchase of fixed assets of RMB12.6 million. For the year ended December 31, 2001, cash used in investing activities mainly consisted of the placing of term deposits of RMB45.5 million and the purchase of fixed assets of RMB21.1 million.

 

Financing Activities

 

Cash provided by financing activities was RMB781.4 million (US$94.4 million) for the year ended December 31, 2003, and cash used in financing activities for the years ended December 31, 2002 and 2001 was RMB78.1 million and RMB22.3 million, respectively. For the year ended December 31, 2003, the cash provided by financing activities mainly consisted of the proceeds from the issuance of convertible notes of RMB827.7 million (US$100.0 million) and the proceeds from the issuance of ordinary shares upon the exercise of share options of RMB15.1 million (US$1.8 million), which was offset in part by the use of cash for the repurchase of Series B preference shares issued in 2000 of RMB38.2 million (US$4.6 million). For the year ended December 31, 2002, the cash used in financing activities mainly consisted of the repayment of bank loans of RMB84.0 million, which was offset in part by the partial collection of a subscription receivable for the Series B preference shares issued in 2000 of RMB2.0 million and the proceeds from the issuance of ordinary shares upon the exercise of share options of RMB3.9 million. For the year ended December 31, 2001, the cash used in financing activities mainly consisted of the repayment of bank loans of RMB152.4 million which was offset in part by proceeds from other bank loans totaling RMB123.8 million and the receipt in 2001 of additional net proceeds from our issuance of Series B preference shares in 2000 of RMB6.3 million.

 

Our net losses have been funded by our cash resources and positive operating cash flows. Although we have been profitable in the last two fiscal years, we cannot be certain that we can sustain or grow this level of profitability in future periods. In particular, our selling, general and administrative expenses have remained relatively high due primarily to staff costs, while our revenue from advertising services has been

 

71


Table of Contents

uneven in the last several years. Further, although our revenue from online games and wireless value-added services has grown significantly in the last two fiscal years, we have only a limited track record offering these services and cannot be certain that we will be able to maintain or grow such revenue. Nonetheless, given our positive cash flows in recent quarters and our issuance of US$100 million aggregate principal amount of Zero Coupon Convertible Subordinated Notes in July 2003, we believe that such cash and revenue will be sufficient for us to meet our obligations for the foreseeable future.

 

Indebtedness

 

As of December 31, 2003, we had $100 million aggregate principal amount of Zero Coupon Convertible Subordinated Notes due July 15, 2023 outstanding. Because we have not registered the notes and the ordinary shares issuable upon conversion of the notes with the SEC in accordance with the Registration Rights Agreement dated July 8, 2003 between our company and the initial purchaser of the notes, for the benefit of the holders of the notes and the ordinary shares issuable upon conversion of the notes, interest became payable on the notes from January 10, 2004 at a rate of 0.50% per annum. Interest will continue to accrue on the notes until such registration becomes effective with the SEC, which we expect will occur shortly after this annual report is filed with the SEC.

 

C. Research and Development

 

We believe that an integral part of our future success will depend on our ability to develop and enhance our products and services. Our product development efforts and strategies consist of incorporating new technologies from third parties as well as continuing to develop our own proprietary technology.

 

We have utilized and will continue to utilize the products and services of third parties to enhance our platform of technologies and services to provide competitive and diverse Internet services to our users. We also have utilized and will continue to utilize third-party advertisement serving technologies. In addition, we plan to continue to expand our technologies, products and services and registered user base through diverse online community products and services developed internally. We will seek to continually improve and enhance our existing products and services to respond to rapidly evolving competitive and technological conditions. For the years 2001, 2002 and 2003, we spent RMB13.3 million, RMB14.2 million and RMB19.1 million (US$2.3 million), respectively, on research and development activities.

 

D. Trend Information

 

Based on our observations, we believe that the following trends are likely to have a material effect on our business in the near term:

 

 We believe that there has been increasing demand by online game users for new and unique online games and increasing competition in this area. We believe that these trends will force us to devote additional resources to developing and launching additional games, updating existing games at a faster rate than we have in the past and licensing games from third parties.

 

 The rapid expansion of the wireless value-added services market in China in recent years is expected by MII and industry commentators to continue for the next several years. We expect that this expansion, if it occurs, will have two fundamental effects on our business. First, it will present an ongoing opportunity to increase our revenue from wireless value-added services.

 

72


Table of Contents

Second, we believe, on the other hand, that it will encourage additional competitors to enter the market which may adversely affect revenue growth in this area and could have a material adverse effect on our business and financial condition.

 

 We expect that the wireless value-added services industry and customers tastes for these services will continue to evolve rapidly, particularly as a result of the transition from SMS-based services to new services which are compatible with, and take full advantage of the capabilities of, next generation mobile technologies such as 2.5G, which has recently begun in China. We believe that the rapid evolution of this industry will require us to continue to devote significant resources to developing and deploying new wireless valued-added services.

 

 If wireless value-added services which are compatible with next generation mobile technologies become popular in China, we believe that users will demand increasingly engaging and content-rich services. We anticipate that this transition, if it occurs, may increase competition among wireless value-added service providers in China for content and strategic partnerships, and may increase the prices we may have to pay for content.

 

 The pace of development of widely accepted online payment systems in China has remained slow thus far. In response, we have developed and deployed a prepaid point card as an alternative online payment system for our services.

 

 The decrease in the rate of growth of Internet users in China in recent years may continue. In that case, we may have to increase our service offerings or increase our marketing and advertising efforts in order for us to continue to grow our business.

 

 A general increase in competition for online services has elevated the importance of brand building and brand awareness. We believe that this trend may require us to increase our marketing and advertising efforts and budgets in order to keep our brand names and the NetEase Web sites visible and prominent. Specifically, we intend to launch a new marketing campaign later in 2004 which will focus on increasing brand awareness of our company and specific product driven advertisements, through television advertisements and off-line media, such as newspapers, outdoor billboards and advertisements on buses and bus stops.

 

E. Off-Balance Sheet Arrangements

 

We do not have any outstanding derivative financial instruments, off-balance sheet guarantees, interest rate swap transactions or foreign currency forward contracts. We do not engage in trading activities involving non-exchange traded contracts.

 

F. Tabular Disclosure of Contractual Obligations

 

We have entered into leasing arrangements relating to our office premises. We also have commitments in respect of long-term payables related to installment payments for the purchase of servers, server custody fees and capital expenditures related to the purchase of servers. The following sets forth our commitments for long-term payables, operating leases, server custody fees and capital expenditures as of December 31, 2003 (in U.S. dollars):

 

   Long-term
payable


  Operating lease
commitments


  

Server custody

fee commitments


  Capital
commitments


  Total

Less than one year

  —    863,183  1,432,286  288,258  2,583,727

1 - 3 years

  27,964  969,620  11,176  —    1,008,760

3 - 5 years

  —    —    —    —    —  

More than 5 years

  —    —    —    —    —  
   
  
  
  
  

Total

  27,964  1,832,803  1,443,462  288,258  3,592,487
   
  
  
  
  

 

Other than the obligations set forth above, we do not have any long-term commitments.

 

73


Table of Contents

Quantitative and Qualitative Disclosures About Market Risk

 

Interest Rate Risk

 

Our exposure to market rate risk for changes in interest rates relates primarily to the interest income generated by excess cash invested in short term money market accounts and certificates of deposit. We have not used derivative financial instruments in our investment portfolio. Interest earning instruments carry a degree of interest rate risk. We have not been exposed nor do we anticipate being exposed to material risks due to changes in interest rates. However, our future interest income may fall short of expectations due to changes in interest rates.

 

Foreign Currency Risk

 

Substantially all our revenues and expenses are denominated in Renminbi, but as noted above, a substantial portion of our cash is kept in U.S. dollars. Although we believe that, in general, our exposure to foreign exchange risks should be limited, the value of our American Depositary Shares, or ADSs, will be affected by the foreign exchange rate between U.S. dollars and Renminbi. For example, to the extent that we need to convert U.S. dollars into Renminbi for our operational needs and the Renminbi appreciates against the U.S. dollar at that time, our financial position and the price of our ADSs may be adversely affected. Conversely, if we decide to convert our Renminbi (which amount has grown as a result of our improved cash flows in 2002 and 2003) into U.S. dollars for the purpose of declaring dividends on our ADSs or otherwise and the U.S. dollar appreciates against the Renminbi, the U.S. dollar equivalent of our earnings from our subsidiaries and controlled entities in China would be reduced.

 

We have not had any material foreign exchange gains or losses to date. However, we have not engaged in any hedging activities, and we may experience economic loss as a result of any foreign currency exchange rate fluctuations.

 

Recent Accounting Pronouncements

 

In November 2002, EITF reached a consensus on Issue No. 00-21, “Revenue Arrangements with Multiple Deliverables.” EITF Issue No. 00-21 provides guidance on how to account for arrangements that involve the delivery or performance of multiple products, services and/or rights to use assets. The provisions of EITF Issue No. 00-21 will apply to revenue arrangements entered into in fiscal periods beginning after June 15, 2003. We believe that the adoption of this standard will have no material impact on our financial statements.

 

In April 2003, the FASB issued Statement of Financial Accounting (SFAS) No.149, Amendment of Statement 133 on Derivative Instruments and Hedging Activities. This statement amends and clarifies

 

74


Table of Contents

financial accounting and reporting for derivative instruments and hedging activities under FASB Statement No.133, Accounting for Derivative Instruments and Hedging Activities, by requiring contracts with similar characteristics to be accounted for comparably. This statement is effective for contracts entered into or modified after June 30, 2003. We believe that the adoption of SFAS No.149 will not have a material impact on our financial statements.

 

75


Table of Contents

Item 6. Directors, Senior Management and Employees

 

A. Directors and Senior Management

 

The names of our current directors and executive officers, their ages as of May 31, 2003 and the principal positions with NetEase held by them are as follows:

 

Name


  Age

  

Position


William Ding

  32  Director and Chief Architect

Ted Sun (1)

  36  Director and Acting Chief Executive Officer

Denny Lee

  36  Director and Chief Financial Officer

Michael Tong

  33  Executive Director

Donghua Ding (2)

  66  Director

Ronald Lee

  40  Director

Michael Leung (2)

  50  Director

Joseph Tong (2)

  41  Director

(1)On April 14, 2004, we announced the temporary medical leave of absence by Mr. Sun. Michael Tong and Denny Lee have assumed the day-to-day responsibilities of Mr. Sun during his absence.
(2)Member of the audit committee. Michael Tong was a member of our audit committee until June 25, 2003 at which time he became an executive director of our company and stepped down from the audit committee. On that same day, Donghua Ding was appointed to our board and the audit committee.

 

The foregoing directors will hold office until the next annual general meeting of shareholders and until such director’s successor is elected and duly qualified, or until such director’s earlier death, bankruptcy, insanity, resignation or removal. There are no family relationships among any of the directors or executive officers of our company.

 

The News Corporation Limited had the right to nominate one director to our board, and, upon nomination, certain of our shareholders holding a majority of our outstanding shares were obligated to vote their shares in favor of such nominated director. Two of our prior directors, Lawrence J. Smith and John Lau, were nominated and elected to our board in this manner. However, this right terminated in March 2003 when The News Corporation Limited sold a portion of its shares in our company. See Item 7.B. “Related Party Transactions” in this annual report.

 

Biographical Information

 

William Ding, our founder, has served as a director since July 1999 and as our Chief Architect since March 2001. From June 2001 until September 2001, Mr. Ding served as our acting Chief Executive Officer and acting Chief Operating Officer. Mr. Ding also stepped down as Chairman of the Board of Directors in September 2001 (the company currently has no permanently appointed Chairman). From July 1999 until March 2001, Mr. Ding served as Co-Chief Technology Officer, and from July 1999 until April 2000, he also served as our interim Chief Executive Officer. Mr. Ding established Guangzhou NetEase, our affiliate, in May 1997. Prior to establishing Guangzhou NetEase, Mr. Ding spent one year at Guangzhou Feijie Co. as a systems analyst, from June 1996 to April 1997, one year at Sybase (China) as a project manager, from May 1995 to May 1996, and two years at China Telecom Ningbo Branch as a technical engineer, from June 1993 to May 1995. Mr. Ding holds a Bachelor of Science degree in Communication Technology from the University of Electronic Science and Technology of China.

 

76


Table of Contents

Ted Sun has served as a director since December 1999 and as our acting Chief Executive Officer from September 2001 following William Ding’s resignation from that position. Mr. Sun also worked as our consultant from July 2001 until September 2001. From July 2000 until September 2001, he served as Chief Financial Officer of Infoserve Technology. Prior to that, Mr. Sun held various positions with Bear Stearns Asia Limited from November 1996 to May 2000, culminating in the position of Managing Director. Prior to November 1996, Mr. Sun was an assistant director with Peregrine Capital Limited. Mr. Sun received a Bachelor of Science degree in Economics from the Wharton School of Business, University of Pennsylvania in 1988.

 

Denny Lee has served as a director and as our Chief Financial Officer since April 2002. Previously, he was our Financial Controller from November 2001 until that time. Prior to joining our company, Mr. Lee worked in the Hong Kong office of KPMG for more than ten years, culminating in the position of Senior Manager in one of the audit departments where he specialized in auditing international clients. During his employment with KPMG, he also worked with a number of Chinese companies with respect to accounting and other aspects of their initial public offerings on the Hong Kong Stock Exchange, due diligence work in relation to potential investments in Chinese companies and financial and operational reviews of Chinese companies in connection with proposed investments in such companies by foreign investors. Mr. Lee graduated from the Hong Kong Polytechnic University majoring in accounting and is a member of The Hong Kong Society of Accountants and The Chartered Association of Certified Accountants.

 

Michael Tong became an executive director of our company on June 25, 2003 where he is involved with the overall management of our company with a particular focus on our online games business. He has also served as one of our directors since December 1999. Previously, he was an Executive Director with techpacific.com Venture Capital Limited. In that capacity, he was primarily responsible for portfolio management of the funds managed by techpacific.com and its subsidiaries. Prior to joining techpacific.com in December 2000, Mr. Tong worked at Softbank China Venture Investments Limited in Hong Kong, where he was responsible for the evaluation, financial modeling, due diligence review and structuring of Softbank’s investments. He also worked at Nomura China Venture Investments Limited, Jardine Fleming Securities Limited and Ernst & Young, all in Hong Kong. Mr. Tong graduated with a Bachelor of Business Administration from the University of Wisconsin, Madison with a major in Accounting and an extra concentration in Computer Science in 1993. He is a member of the American Institute of Certified Public Accountants and is a Chartered Financial Analyst.

 

Donghua Ding joined our board on June 25, 2003. In 2002 and 2003, he served as an advisor to China Mobile (Shenzhen) Limited, a subsidiary of China Mobile (Hong Kong) Limited, the leading mobile operator in China and a listed company on the Stock Exchange of Hong Kong and the New York Stock Exchange. From 1997 until 2002, he served as a director and chief financial officer of China Mobile (Hong Kong) Limited where he was in charge of that company’s financial management. Mr. Ding was also a director of China Mobile Hong Kong (BVI) Limited. Prior to joining China Mobile (Hong Kong) Limited, Mr. Ding was the Chief Economist, Chief Accountant, Deputy Chief Economist and Department Director of the Guangdong Posts and Telecommunications Administration. He graduated from the Beijing University of Posts and Telecommunications in 1961 and has 40 years of management experience in the telecommunications industry, as well as in economics and finance.

 

Ronald Lee was appointed to our board on June 5, 2002. He is the managing director and co-founder of BEENET, an Internet consulting and solutions services provider established in November 1999. Prior to that, he was a corporate finance senior manager at Cable & Wireless HKT, where he worked from 1995 to 1999. Mr. Lee also worked for Royal Trust in Toronto and Hong Kong and Peregrine Capital Limited and Peregrine Direct Investment Limited in Hong Kong. Mr. Lee is also a director of Kailey Enterprises Limited and Fong Fun Co., Ltd. Mr. Lee received his Master of Business

 

77


Table of Contents

Administration degree with specialization in accounting and finance from the University of Western Ontario in 1992 and his Bachelor of Science degree in Accounting and Finance from Georgetown University in 1987.

 

Michael Leung has been one of our directors since July 11, 2002. Since October 2003, he has been a director of Matrix Asset Ltd., an investment firm co-founded by Mr. Leung. Since April 2002, he has also provided periodic consultancy services to Koffman Securities, a brokerage firm in Hong Kong. From February 1999 to September 2001, he was a director at Emerging Markets Partnership (Hong Kong) Limited, which is the principal adviser to the AIG Asian Infrastructure Fund L.P. Prior to that, from November 1997 to October 1998, he was a Director of Warburg Dillon Read where he was involved in corporate finance activities in China. From January 1994 to August 1997, he was a Director of Crosby Securities heading the Corporate Finance Division covering the Hong Kong and China markets. He was also a Director of Peregrine Capital Limited from January 1992 to December 1993 where he was responsible for marketing Peregrine’s corporate finance services in Hong Kong and China. Mr. Leung received a Bachelor’s Degree in Social Sciences from the University of Hong Kong with a major in accounting, management and statistics.

 

Joseph Tong is a director and co-founder of TLM Apparel Co., Ltd., a garment trading company operating in Hong Kong and China which was established in December 2002. At TLM Apparel, Mr. Tong is engaged in establishing offices and operations in Hong Kong and China, setting up accounting and internal control policies and overseeing the company’s overall operations. Prior to that, from September 2000 to September 2002, he was the e-Commerce Director of the Asia Region for Universal Music Limited where he was responsible for forming e-business development strategies and overseeing new promotional opportunities. He was also an Associate Director of Softbank China Venture Investments Limited from August 1999 to September 2000 and of Nomura China Investments Limited from October 1996 to July 1999. In those positions, he was primarily involved in identifying and evaluating potential venture capital investments, negotiating investment terms and structure and overseeing the businesses of portfolio companies. Mr. Tong has also worked at Prosberg Limited, a management consulting company, Wharf Cable Limited and Ernst & Young. Mr. Tong has a Bachelor of Science degree and Second Honour Degree in Accounting and Statistics from the University of Southampton, England. He is a member of the American Institute of Certified Public Accountants and has served as a director since March 25, 2003.

 

B. Compensation

 

Compensation to our Directors

 

In 2003, we paid each of Michael Leung, Ronald Lee and, until his appointment as an executive director, Michael Tong the amount of US$1,000 per month for their services as non-executive directors for a total of US$12,000, US$12,000 and US$4,318, respectively. Joseph Tong was appointed as an independent director in March 2003, and since then, we have paid him US$1,000 per month for his services as a director for a total of US$9,000 in 2003. In addition, in 2003 we paid Mr. Donghua Ding US$3,000 per month for his services as a non-executive director and also paid US$3,824 for Chinese individual income taxes on his behalf. Other than the foregoing payments, we did not pay any other compensation in any form to our non-executive directors in 2003. In 2003, we also granted stock options under our 2000 Stock Incentive Plan to our three executive directors, Ted Sun, Denny Lee and Michael Tong, as set forth in the table entitled “Option Grants in Last Fiscal Year” below.

 

All of our current directors have entered into indemnification agreements in which we agree to indemnify, to the fullest extent allowed by Cayman law, our charter documents or other applicable law, those directors from any liability or expenses, unless the liability or expense arises from the director’s own willful negligence or willful default. The indemnification agreements also specify the procedures to be followed with respect to indemnification.

 

78


Table of Contents

Directors’ and Officers’ Liability Insurance

 

We maintained directors’ and officers’ liability insurance on behalf of our directors and officers until June 15, 2003 when that policy expired. We do not plan to purchase a new policy at this time.

 

Executive Officer Compensation

 

The following table sets forth certain information concerning compensation paid during 2001, 2002 and 2003 to our executive officers:

 

      Annual
Compensation


  

Long-Term

Compensation


    

Name and Principal Position


  

Fiscal

Year


  

Salary

(US$)


  

Bonus

(US$)(1)


  Restricted
Stock
Awards
(US$)


  

Securities

Underlying
Options (#)


  All Other
Compensation
(US$)


 

Ted Sun (2)
Acting Chief Executive Officer and a Director

  2003
2002
2001
  216,000
226,000
73,000
  220,000
200,000
165,000
 
 
(6)
 267,000
346,625
73,035
(3)
(3)
(3)
 10,000,000
15,000,000
—  
  84,093
333,072
12,400
(4)
(5)
(7)

Denny Lee (8)
Chief Financial Officer and a Director

  2003
2002
2001
  158,000
158,000
12,273
  160,000
80,000
3,800
 
 
 
 —  
—  
—  
 
 
 
 8,000,000
10,000,000
—  
  63,418
137,507
3,138
(9)
(10)
(11)

Michael Tong (12)
Executive Director

  2003
2002
2001
  104,364
—  
—  
  75,000
—  
—  
 
 
 
 —  
—  
—  
 
 
 
 10,000,000
—  
—  
  6,159
—  
—  
(13)
 
 

(1)Includes bonus amounts in the year earned, rather than in the year in which such bonus amount was paid or is to be paid.
(2)Mr. Sun became our acting Chief Executive Officer in September 2001.
(3)Pursuant to the terms of his employment agreement, Mr. Sun received cash payments sufficient for him to purchase an aggregate of 25,000,000 of our ordinary shares from us at a price of US$0.006492 per share (equivalent to US$0.6492 per American Depositary Share) over an 18-month period. Our board of directors set the per share purchase price at the fair market value of the shares, which was deemed to be the last closing price on Nasdaq prior to the grant of these subscription rights. In 2001, 2002 and 2003, we paid Mr. Sun US$73,035, US$73,035 and US$16,230 to purchase 11,250,000, 11,250,000 and 2,500,000, respectively, of such shares in accordance with his subscription schedule. The dollar amounts listed in this column were calculated by multiplying the amount of shares purchased in each year by the closing price of our American Depositary Shares (divided by 100 to determine the per ordinary share price) on the date of each such purchase or the last closing price in the case of shares purchased while trading in our American Depositary Shares was suspended on Nasdaq in 2001.
(4)Represents a housing allowance of US$18,767 paid by our company on behalf of Mr. Sun and US$65,326 for Chinese individual income taxes, which are borne by our company on behalf of Mr. Sun.
(5)Represents a housing allowance of US$35,100 paid by our company on behalf of Mr. Sun and US$297,972 for Chinese individual income taxes which accrued in the year 2002 with respect to Mr. Sun’s compensation in that year and which our company paid in 2003 on his behalf.

 

79


Table of Contents
(6)This amount constituted a sign-on bonus which was paid in two installments: one of US$75,000 upon Mr. Sun’s commencement of employment and the second of US$60,000 on January 2, 2002. It also included a year-end performance bonus of US$30,000.
(7)Represents a housing allowance paid by our company on behalf of Mr. Sun.
(8)Mr. Lee joined our company as Financial Controller in November 2001 and became our Chief Financial Officer in April 2002.
(9)Represents a housing allowance of US$28,950 paid by our company on behalf of Mr. Lee and a cash living allowance of US$19,800 paid to Mr. Lee. This amount also includes US$14,668 for Chinese individual income taxes, which were born by our company on behalf of Mr. Lee.
(10)Represents a housing allowance of US$23,349 paid by our company on behalf of Mr. Lee and a cash living allowance of US$19,800 paid to Mr. Lee. This amount also includes US$94,358 for Chinese individual income taxes which accrued in the year 2002 with respect to Mr. Lee’s compensation in that year and which our company paid in 2003 on his behalf.
(11)Represents a housing allowance of US$1,166 paid by our company on behalf of Mr. Lee and a cash living allowance of US$1,972 paid to Mr. Lee.
(12)Mr. Tong joined our company as an executive officer in June 2003.
(13)Represents a housing allowance paid by our company on behalf of Mr. Tong.

 

Employment Agreements

 

We have entered into employment and related agreements with Ted Sun, Denny Lee and Michael Tong, as described below.

 

Ted Sun. In September 2001, we entered into an employment agreement with Ted Sun which originally provided for an annual salary of US$240,000. His annual salary was subsequently lowered to US$216,000 in June 2002. In addition, Mr. Sun received a sign-on bonus of US$135,000 which was paid in two installments in September 2001 and January 2002 and year-end performance bonuses of US$30,000, US$200,000 and US$220,000 in 2001, 2002 and 2003, respectively. Further, pursuant to his employment agreement, he received cash payments sufficient for him to purchase from us an aggregate of 25,000,000 of our ordinary shares at a price of US$0.006492 per share over an 18-month period ending in March 2003. Mr. Sun is also entitled to receive a housing allowance.

 

In addition, we also entered into a non-competition agreement with Mr. Sun which obligates Mr. Sun to keep all proprietary information regarding our company confidential, except in limited circumstances. This agreement also prohibits Mr. Sun from obtaining an ownership interest in (unless the total investment represents less than 5% of the total equity of the competitor and the competitor is a listed company), or employment with, any of our competitors during his employment with us and for one year thereafter. During that same period, he may not solicit or encourage any of our officers or employees to terminate their employment with us, except when done in the course of his job with NetEase.

 

Denny Lee. In April 2002, we entered into a new employment agreement with Denny Lee in connection with his promotion to the position of Chief Financial Officer. This agreement provides for an annual salary of US$158,000, plus a discretionary bonus to be determined by our company. Mr. Lee’s discretionary bonuses in 2002 and 2003 were US$80,000 and US$160,000 respectively. He is also entitled to receive a housing allowance and tax equalization benefits. If Mr. Lee’s employment is terminated for any reason other than his death, disability or pursuant to one of the statutory bases for terminating employees without notice under Hong Kong law, he shall be entitled to severance pay in the amount of six months of his then current base salary.

 

This agreement also prohibits Mr. Lee, for the six month period following his termination of employment with us, from obtaining an ownership interest in (unless the total investment represents less than 5% of any single class of shares of the competitor and the competitor is a listed company), or

 

80


Table of Contents

employment with, any company which carries on a business in Hong Kong or China which competes with our company and in which Mr. Lee was involved at any time during the last two years of his employment or in relation to which he acquired any confidential information during the course of his employment. During that same period, he may not solicit, entice or hire any of our employees or customers. Mr. Lee has also entered into a proprietary information agreement which obligates him to keep all proprietary information regarding our company confidential, except in limited circumstances.

 

Michael Tong. Mr. Tong’s employment agreement provides for an annual salary of US$168,000, plus a discretionary bonus to be determined by our company. Mr. Tong’s discretionary bonus in 2003 was US$75,000. He is also entitled to receive a housing allowance and tax equalization benefits. If Mr. Tong’s employment is terminated for any reason other than his death, disability or pursuant to one of the statutory bases for terminating employees without notice under Hong Kong law, he shall be entitled to severance pay in the amount of three months of his then current base salary.

 

This agreement also prohibits Mr. Tong, for the six month period following his termination of employment with us, from obtaining an ownership interest in (unless the total investment represents less than 5% of any single class of shares of the competitor and the competitor is a listed company), or employment with, any company which carries on a business in Hong Kong or China which competes with our company and in which Mr. Tong was involved at any time during the last two years of his employment or in relation to which he acquired any confidential information during the course of his employment. During that same period, he may not solicit, entice or hire any of our employees or customers. Mr. Tong has also entered into a proprietary information agreement which obligates him to keep all proprietary information regarding our company confidential, except in limited circumstances.

 

81


Table of Contents

Option Grants in Last Fiscal Year

 

The following table sets forth information regarding stock options granted to our Acting Chief Executive Officer, Chief Financial Officer and Executive Director during 2003:

 

   Individual Grants

   

Name


  Number of
Securities
Underlying
Options
Granted


  % of Total
Options
Granted to
Employees
in Fiscal
Year (1)


  Exercise
Price per
Share (2)


  

Expiration

Date


  

Potential Realizable

Value at Assumed Annual Rate
of Stock Price Appreciation for
Option Term (3)


         5%

  10%

Ted Sun

  10,000,000  9.11% US$0.11  March 4, 2008  US$303,910  US$671,561

Denny Lee

  8,000,000  7.29% US$0.11  March 4, 2008  US$243,128  US$537,249

Michael Tong

  10,000,000  9.11% US$0.254  May 12, 2008  US$303,910  US$671,561

(1)Based on a total of 109,745,000 options granted to employees of NetEase in 2003, including options granted to the foregoing executive officers but excluding all options which were granted and terminated in that same year.
(2)The exercise price per share of options granted represented the fair market value of the underlying shares of ordinary shares on the date the options were granted.
(3)The potential realizable value is calculated based upon the term of the option at its time of grant. It is calculated assuming that the stock price on the date of grant appreciates at the indicated annual rate, compounded annually for the entire term of the option, and that the option is exercised and sold on the last day of its term for the appreciated stock price. The appreciated stock prices used in these calculations do not represent our projections or estimates of the price of our ordinary shares or ADSs. Tax consequences relating to stock option transactions have not been taken into account.

 

Aggregated Option Exercises in Last Fiscal Year and Fiscal Year-End Option Values

 

The following table sets forth certain information with respect to stock options exercised by our Acting Chief Executive Officer, Chief Financial Officer and Executive Director during 2003. In addition, the table sets forth the number of shares covered by stock options as of December 31, 2003, and the value of “in-the-money” stock options, which represents the difference between the exercise price of a stock option and the market price of the shares subject to such option on December 31, 2003.

 

Name


  

Shares

Acquired on
Exercise


  Value
Realized
(US$)(1)


  

Number of Securities
Underlying Unexercised

Options at

December 31, 2003 (#)


  

Value of Unexercised

In-the-Money Options at
December 31, 2003 (US$)


      Exercisable

  Unexercisable

  Exercisable

  Unexercisable

Ted Sun

  9,600,000  1,691,800  6,600,000  10,000,000  2,334,720  2,592,000

Denny Lee

  3,000,000  504,000  —    15,000,000  —    4,609,000

Michael Tong

  —    —    —    10,000,000  —    1,152,000

(1)The value realized upon the exercise of stock options represents the positive spread between the exercise price of stock options and the fair market of the shares subject to such options on the exercise date.

 

82


Table of Contents

Amended and Restated 2000 Stock Incentive Plan

 

General

 

Our shareholders approved the NetEase.com, Inc. Amended and Restated 2000 Stock Incentive Plan, or the Amended Plan, at our annual general meeting held on May 25, 2001. The Amended Plan replaced the 2000 Stock Incentive Plan, or the Prior Plan, in its entirety. Under the Prior Plan, a total of 223,715,000 of our ordinary shares were reserved for issuance. The Amended Plan increased the number of ordinary shares reserved for issuance to 323,715,000, which amount was automatically further increased to 504,756,924 ordinary shares in accordance with the provisions of that plan. On March 25, 2002, our board suspended any further automatic increases in the number of authorized shares reserved for issuance under the Amended Plan.

 

The purpose of the Amended Plan is to attract and retain the best available personnel, to provide additional incentive to employees, directors and consultants and to promote the success of our business. Our board of directors believes that our company’s long term success is dependent upon our ability to attract and retain superior individuals who, by virtue of their ability and qualifications, make important contributions to our business. The Amended Plan provides for the granting of incentive awards of our ordinary shares, options to purchase our ordinary shares and any other securities the value of which is derived from the value of our ordinary shares.

 

Grantees under the Amended Plan will not receive any account status reports. The Amended Plan is not subject to the U.S. Employee Retirement Income Security Act of 1974, as amended, nor is the Amended Plan a “qualified plan” within the meaning of Section 401(a) of the Code.

 

The Amended Plan continues to be administered by our board, and it has delegated the power to award options under those plans for non-executive officers to NetEase’s acting chief executive officer.

 

The Amended Plan provides that in the event of certain corporate transactions, including specified types of reorganizations and acquisition transactions, each outstanding award granted under the Amended Plan shall automatically become fully vested and exercisable and be released from any restrictions in transfer (other than transfer restrictions applicable to the award) and repurchase or forfeiture rights, immediately prior to the specified effective date of such corporate transaction, unless the award is assumed by the successor company or its parent company in connection with the corporate transaction. Upon consummation of such corporate transactions, each outstanding award shall be terminated unless the award is assumed by the successor company or its parent company in connection with the applicable corporate transaction. Our board of directors will determine whether an award was assumed in the manner contemplated by the Amended Plan.

 

Under the Amended Plan, awards can be issued to employees, directors or consultants of the company or our subsidiaries, although incentive stock options, referred to as ISOs, may only be issued to our employees or the employees of our subsidiaries.

 

Awards under the Amended Plan are evidenced by an award agreement which contains, among other things, provisions concerning exercisability and forfeiture upon termination of employment or consulting arrangement (by reason of death, disability, retirement or otherwise) as have been determined

 

83


Table of Contents

by our board. In addition, the award agreement also specifies whether the option constitutes an ISO or a non-incentive stock option, referred to as NQSOs, and may, but need not, include a provision whereby a grantee may at any time during his or her employment with us exercise any part or all of the award prior to full vesting of the award.

 

An option may be exercised by delivering written notice of such exercise to us. The option price to exercise the option for our ordinary shares must be paid at the time of exercise in full in cash or in check, by promissory note with such terms as the board deems appropriate or in whole ordinary shares with a fair market value at least equal to the option price (or in another appropriate manner approved by us, such as in a combination of cash and whole ordinary shares or by cashless exercise of options through a broker-dealer).

 

Under the Amended Plan, the exercise price for the options is specified in the award agreement for those options. In any event, the exercise price of ISOs cannot be less than the fair market value of our ordinary shares on the date of grant. However, in the case of an ISO granted to a grantee, who, at the time the ISO was granted, owned stock possessing more than 10% of the combined voting power of all classes of our share capital, the option price may not be less than 110% of the fair market value of our ordinary shares on the date of grant of such ISO. To the extent that the aggregate fair market value of shares subject to options granted as ISOs under the Amended Plan which become exercisable for the first time by a recipient during any calendar year exceeds US$100,000, then options represented by ordinary shares in excess of the US$100,000 limitation shall be treated as NQSOs.

 

NQSOs granted pursuant to the Amended Plan can have an exercise price of no less than 85% of the fair market value of our ordinary shares on the date of grant.

 

In the event of any extraordinary dividend, share dividend, recapitalization, share split, rights issuance, or combination or exchange of such shares, or other similar transactions, our board may equitably adjust the option price of our outstanding options so as to reflect such event.

 

The term of all ISOs and NQSOs will be stated in the applicable award agreement. The term of an ISO granted to a person, who, at the time the ISO was granted, owned stock possessing more than 10% of the combined voting power of all classes of our share capital, may not be more than five (5) years from the date of the grant of the award.

 

Under the Amended Plan, if the employment, director or consultant relationship of a grantee with us terminates for cause, the grantee’s right to exercise the option will expire upon the termination of such relationship. If the employment, director or consultant relationship of a grantee with us terminates without cause, all options then exercisable may be exercised within six months of the date of such termination or such shorter period as may be specified in the award agreement. Any ISO granted under the Amended Plan, if not exercised within the time period provided by law for the exercise of ISOs following the termination of a grantee’s employment with us, shall automatically convert to a NQSO thereafter. If the termination of a grantee’s employment, director or consultant relationship with us is (i) by reason of death or (ii) by reason of disability, all options then exercisable may be exercised by such grantee, such grantee’s estate or by a person who acquired the right of exercise of such options by bequest or inheritance or otherwise by reason of death or disability of such grantee, at any time within a period not less than 12 months (but in no event later than the expiration date of the options) after the date of such termination.

 

Under the Amended Plan, our board may at any time terminate, suspend, or amend the Amended Plan in any respect, except that no termination, suspension or amendment will be effective without shareholder approval if such approval is required to comply with any law, regulation or stock exchange rule and no such change may adversely affect any award previously granted without the written consent of the recipient. The Amended Plan will expire in February 2010.

 

84


Table of Contents

C. Board Practices

 

For information regarding the terms of our current directors and the period during which our officers and directors have served in their respective positions, please refer to Item 6A. “Directors and Senior Management” above.

 

During the year 2003, our board met in person or passed resolutions by unanimous written consent 15 times. No director attended fewer than 75% of all the meetings of our board and its committees on which he or she served after becoming a member of our board. We have no specific policy with respect to director attendance at our annual general meetings of shareholders, and three of our directors attended the annual general meeting of shareholders held on June 6, 2002.

 

Our board has one active committee, the audit committee. Messrs. Donghua Ding, Michael Leung and Joseph Tong are currently the members of the audit committee. Our board has also maintained a compensation committee, but as discussed below, that committee currently does not have the requisite number of members as required by its charter and has, therefore, been inactive. Our board does not have a nominating committee or a committee performing the functions of a nominating committee.

 

In 2003, our audit committee met in person or passed resolutions by unanimous written consent ten times. Each member of our audit committee satisfies the “independence” and financial literacy requirements of the National Association of Securities Dealers’ listing standards. Our board has also concluded that Mr. Joseph Tong meets the criteria for an “audit committee financial expert” as established by the U.S. Securities and Exchange Commission. Our board of directors has adopted a written audit committee charter pursuant to which the audit committee is responsible for overseeing the accounting and financial reporting processes of our company, including the appointment, compensation and oversight of the work of our independent auditors, monitoring compliance with our accounting and financial policies and evaluating management’s procedures and policies relative to the adequacy of our internal accounting controls.

 

We have not entered into any service contracts or other arrangements providing for benefits upon termination with our non-executive directors.

 

Compensation Committee Interlocks and Insider Participation

 

Our compensation committee has been inactive and held no meetings in 2003. Prior to it becoming inactive, the compensation committee’s functions were to review and make recommendations to our board regarding our compensation policies and all forms of compensation to be provided to our executive officers and directors. In addition, the compensation committee reviewed bonus and stock compensation arrangements for all of our other employees. These duties have been performed by our full board of directors since the compensation committee became inactive (with executive directors abstaining from any decision that would affect them personally).

 

No interlocking relationships have existed between our board of directors or compensation committee and the board of directors or compensation committee of any other company.

 

D. Employees

 

At December 31, 2001, 2002 and 2003, we had 327, 398 and 620 full-time employees, respectively.

 

85


Table of Contents

The following table sets forth information regarding our staff as of December 31, 2003:

 

Content

  130

Technology

  41

Advertising sales department

  61

Marketing

  8

Business development

  2

E-commerce

  3

Customer service

  36

Accounting department

  21

Investor relations

  2

Administration

  12

Human resources

  3

Product development

  43

Wireless department

  144

Online game department

  107

Other

  7
   

Total

  620
   

 

In addition, at December 31, 2003, we had 224 part-time employees.

 

None of our employees are represented by a labor union.

 

All employees of our company and of our affiliated companies are employed under employment contracts which specify, among other things, the employee’s responsibilities, remuneration and grounds for termination of employment. Each employee signs a confidentiality agreement in respect of our intellectual property rights.

 

E. Share Ownership

 

The following table sets forth certain information known to us with respect to the beneficial ownership as of May 31, 2004 by:

 

 all persons who are beneficial owners of five percent or more of our ordinary shares,

 

 each of our directors,

 

 our current Acting Chief Executive Officer, Chief Financial Officer and Executive Director (referred to below as the Named Executive Officers), and

 

 all current directors and executive officers as a group.

 

As of May 31, 2004, 3,154,856,289 shares of our ordinary shares were outstanding. The amounts and percentages of ordinary shares beneficially owned are reported on the basis of regulations of the Securities and Exchange Commission (SEC) governing the determination of beneficial ownership of securities. Under the rules of the SEC, a person is deemed to be a “beneficial owner” of a security if that

 

86


Table of Contents

person has or shares “voting power,” which includes the power to vote or to direct the voting of such security, or “investment power,” which includes the power to dispose of or to direct the disposition of such security. A person is also deemed to be a beneficial owner of any securities of which that person has a right to acquire beneficial ownership within 60 days. Under these rules, more than one person may be deemed a beneficial owner of securities as to which such person has no economic interest. The shareholders listed below do not have different voting rights.

 

   

Number of Shares

Beneficially Owned


 

Name


  Number

  Percentage

 

5% Shareholder

       

Shining Globe International Limited/William Ding (1)
c/o NetEase.com, Inc., 2/F, Tower B, Keeven International Research & Development Centre, No. 43 West Road North Third Ring Road, Haidian District, Beijing, People’s Republic of China 100086

  1,583,050,000  50.2%

Named Executive Officers and Directors (2)

       

Ted Sun (3)

  28,700,000  * 

Denny Lee

  1,056,800  * 

Michael Tong (4)

  2,500,000  * 

Donghua Ding

  —    —   

Ronald Lee

  —    —   

Michael Leung

  —    —   

Joseph Tong

  —    —   

All current directors and executive officers as a group (8 persons) (5)

  1,615,306,800  51.2%

*Less than 1%
(1)Shining Globe International Limited is 100% owned by William Ding, our founder, Chief Architect and a director.
(2)The address of our current Named Executive Officers and directors is c/o NetEase.com, Inc., 2/F, Tower B, Keeven International Research & Development Centre, No. 43 West Road North Third Ring Road, Haidian District, Beijing, People’s Republic of China 100086.
(3)Includes 8,500,000 shares subject to stock options exercisable within 60 days of May 31, 2004. These options have the following features: (i) 6,000,000 of the options have an exercise price of US$0.007 per ordinary share and an expiration date of July 6, 2005 and (ii) 2,500,000 of the options have an exercise price of US$0.11 per ordinary share and an expiration date of March 4, 2008.
(4)Represents shares subject to stock options exercisable within 60 days of May 31, 2004, which have an exercise price of US$0.254 per ordinary share and an expiration date of May 12, 2008.
(5)Shares owned by all of our current directors and executive officers as a group includes shares beneficially owned by William Ding. This amount also includes 11,000,000 shares subject to stock options currently exercisable or exercisable within 60 days of May 31, 2004.

 

As of May 31, 2004, based on public filings with the SEC, there are no major shareholders holding 5% or more of our ordinary shares or ADSs representing ordinary shares, except as described above.

 

87


Table of Contents

As of May 31, 2004, none of our ordinary shares were held by U.S. holders of record. On that date, a total of 16,286,562 ADSs were outstanding, of which approximately 11,300 ADSs were held by 11 U.S. holders of record.

 

To our knowledge, except as disclosed above, we are not owned or controlled, directly or indirectly, by another corporation, by any foreign government or by any other natural or legal person or persons, severally or jointly.

 

To our knowledge, there are no arrangements the operation of which may at a subsequent date result in us undergoing a change in control.

 

88


Table of Contents

Item 7. Major Shareholders and Related Party Transactions

 

A. Major Shareholders

 

Please refer to Item 6. “Directors, Senior Management and Employees—Share Ownership.”

 

B. Related Party Transactions

 

Our business was founded in June 1997. In July 1999, we established a new holding company, NetEase.com, Inc., in the Cayman Islands. In September 1999, we restructured our operations in order to comply with increasing regulation of the Internet industry in China. As part of this restructuring, substantially all of Guangzhou NetEase’s fixed and intangible assets and existing Internet applications, services and technologies were acquired by NetEase Beijing, a wholly owned subsidiary of NetEase formed in August 1999. Guangzhou NetEase, which is 90% owned by our founder, Chief Architect, majority shareholder and a director, William Ding, has received approval from the Guangzhou telecommunications administrative authorities to provide Internet content services, and its 80% owned subsidiary, Guangyitong Advertising, holds a license to operate an advertising business.

 

NetEase and NetEase Beijing entered into a series of agreements with Guangzhou NetEase, Guangyitong Advertising and the shareholders of Guangzhou NetEase and Guangyitong Advertising under which we provide our Internet and e-commerce applications, services and technologies and advertising services to Guangzhou NetEase and Guangyitong Advertising, and Guangzhou NetEase and Guangyitong Advertising operate the NetEase Web sites and our online advertising business. We believe that the terms of each agreement are no less favorable than the terms that we could obtain from disinterested third parties. Through our agreements, we have the exclusive right to benefit from this approval. In addition, we have secured significant rights over Guangyitong Advertising and the ultimate shareholders of Guangyitong Advertising and have obtained the commitment of the ultimate shareholders of Guangyitong Advertising to allow it to direct the policies and management of the ongoing activities of Guangyitong Advertising. We believe that the shareholders of Guangzhou NetEase and Guangyitong Advertising will not receive material benefits from these agreements except as shareholders of NetEase. Because of the uncertain and changing legal and regulatory environment in China, most of these agreements have terms of one year, which are renewable for additional successive one-year terms, except for the Domain Names License Agreement between NetEase and Guangzhou NetEase which has a term of five years, the Operating Agreement among NetEase Beijing, Guangyitong Advertising and the ultimate shareholders of Guangyitong Advertising which has a term of twenty years, and the Exclusive Consulting and Services Agreement between NetEase Beijing and Guangyitong Advertising and the Online Advertising Agreement between Guangzhou NetEase and Guangyitong Advertising, each of which has a term of ten years. In addition, the Voting Rights Trust Agreement among NetEase Beijing and William Ding and Bo Ding (William Ding’s brother), as ultimate shareholders of Guangyitong Advertising has a term of ten years. These agreements are described below.

 

 Domain Name License Agreement between NetEase and Guangzhou NetEase. NetEase granted Guangzhou NetEase the right to use the domain names “netease.com,” “163.com,” “126.com,” “yeah.net” and “nease.net” on the NetEase Web sites in China for license fees of RMB10,000 per year. NetEase may waive this fee in the future. By a Supplemental Agreement entered into between the parties in May 2000, the term of this agreement has been extended from one year to five years.

 

 Copyright License Agreement between NetEase Beijing and Guangzhou NetEase. NetEase Beijing granted Guangzhou NetEase the right to use NetEase Beijing’s Web page layout in China for a royalty of RMB10,000 per year. NetEase Beijing may waive this fee in the future.

 

89


Table of Contents
 Trademark License Agreement between NetEase Beijing and Guangzhou NetEase. NetEase Beijing granted Guangzhou NetEase a license to use NetEase Beijing’s registered trademarks on the NetEase Web sites in China for license fees of RMB10,000 per year. NetEase Beijing may waive this fee in the future.

 

 Exclusive Technical Services Master Agreement between NetEase Beijing and Guangzhou NetEase. NetEase Beijing provides Guangzhou NetEase with technical services for the operation of the NetEase Web sites, including:

 

 server maintenance;

 

 server application software development;

 

 Internet application software development;

 

 training; and

 

 e-commerce related services.

 

Guangzhou NetEase pays monthly service fees to NetEase Beijing based on the actual operating circumstances of the parties. NetEase Beijing may unilaterally adjust such fees. NetEase Beijing is Guangzhou NetEase’s exclusive provider of these services.

 

NetEase Beijing has the right to transfer and sell its interests in this Exclusive Technical Services Master Agreement or any other agreements between it and Guangzhou NetEase.

 

 Exclusive Consulting and Services Agreement between NetEase Beijing and Guangyitong Advertising. NetEase Beijing provides Guangyitong Advertising with technical consulting and related services for all advertisements published on the NetEase Web sites. Guangyitong Advertising submits designs of advertisements to be published on the NetEase Web sites, and NetEase Beijing completes the related technical work and delivers the completed advertisements to Guangyitong Advertising. Guangyitong Advertising pays fees to NetEase Beijing based on the actual operating circumstances of the parties, which consist of substantially all of Guangyitong Advertising’s advertising revenue, net of the related business tax and cultural development fee. NetEase Beijing may unilaterally adjust such fees. NetEase Beijing will be Guangyitong Advertising’s exclusive provider of these services. The initial term of this agreement is 10 years from February 3, 2000.

 

 Exclusive Advertising Agency Agreement between NetEase and Guangzhou NetEase. Guangzhou NetEase appointed NetEase as its advertising agent to solicit advertising customers on behalf of Guangzhou NetEase in markets outside of China. NetEase pays Guangzhou NetEase 10% of the total advertising revenue under this agreement per month.

 

 Online Advertising Agreement between Guangzhou NetEase and Guangyitong Advertising, as amended by a Supplemental Agreement entered into in May 2000. Guangzhou NetEase sells all of the banner space on the NetEase Web sites to Guangyitong Advertising and publishes the advertisements provided by Guangyitong Advertising on the banner space purchased by Guangyitong Advertising. Guangyitong Advertising pays Guangzhou NetEase RMB10,000 per year. Guangzhou NetEase may waive this fee in the future. The initial term of this agreement is 10 years from February 3, 2000.

 

90


Table of Contents
 Trademark Transfer Agreement between Guangzhou NetEase and NetEase Beijing. Guangzhou NetEase has agreed to transfer its registered trademarks to NetEase Beijing.

 

 Supplemental Agreement between NetEase Beijing and Guangzhou NetEase. NetEase Beijing may not grant the license to use its domain name, copyright and trademark to any third party without Guangzhou NetEase’s consent and may not provide technical service to any third party.

 

 Operating Agreement among NetEase Beijing, Guangyitong and the ultimate shareholders of Guangyitong Advertising. To ensure the successful performance of the various agreements between the parties, Guangyitong Advertising and its ultimate shareholders have agreed that they will not enter into any transaction, or fail to take any action, that would substantially affect the assets, liabilities, equity or operations of Guangyitong Advertising without the prior written consent of NetEase Beijing.

 

The parties have agreed that upon NetEase Beijing’s determination and at any time when NetEase Beijing is able to obtain approval to invest in and operate all or any part of Guangyitong Advertising, NetEase Beijing may acquire all or any part of the assets or equity interests of Guangyitong Advertising, to the extent permitted by Chinese law. The consideration for such acquisitions will be based on the book value of Guangyitong Advertising at the time of acquisition.

 

NetEase Beijing has agreed that it will provide performance guarantees and guarantee loans for working capital purposes to the extent required by Guangyitong Advertising for its operations.

 

The ultimate shareholders of Guangyitong Advertising have agreed that upon instruction from NetEase Beijing, they will appoint or terminate Guangyitong Advertising’s board members, General Manager, Chief Financial Officer and other senior officers.

 

NetEase Beijing has the right to transfer and sell its interests in the Operating Agreement or any other agreements between it and Guangyitong Advertising. The term of this agreement is 20 years from February 3, 2000.

 

 Shareholder Voting Rights Trust Agreement among William Ding, Bo Ding and NetEase Beijing. Bo Ding irrevocably appoints NetEase Beijing to represent him to exercise all the voting rights to which he is entitled as a shareholder of Guangyitong Advertising and William Ding and Bo Ding agree to cause Guangzhou NetEase to irrevocably appoint NetEase Beijing to represent Guangzhou NetEase to exercise all the voting rights to which Guangzhou NetEase is entitled as a shareholder of Guangyitong Advertising. The term of this agreement is ten years from May 12, 2000.

 

 Termination Agreements between NetEase Beijing and Guangzhou NetEase. NetEase Beijing and Guangzhou NetEase terminated previously existing contracts related to NetEase Beijing’s rights with respect to the operation of Guangzhou NetEase, the lease of equipment from NetEase Beijing to Guangzhou NetEase and the sublease of leased lines from NetEase Beijing to Guangzhou NetEase. Under the Termination Agreements, NetEase Beijing agrees to provide without charge to Guangzhou NetEase equipment related to the operation of Internet information services.

 

91


Table of Contents
 Agreement between NetEase Beijing and Guangzhou NetEase. NetEase Beijing agrees to pay the operating costs of Guangzhou NetEase.

 

 Letter of Agreement. Each of William Ding and Bo Ding have agreed that any amendments to be made to the Exclusive Consulting and Services Agreement, the Shareholder Voting Rights Trust Agreement, and the Operating Agreement described above, as well as all other agreements to which Guangzhou NetEase, Guangyitong Advertising and/or William Ding and Bo Ding are parties, shall be subject to the approval by the vote of a majority of our board, excluding the vote of William Ding. Messrs. Ding have also agreed that, if any amendments to the above mentioned agreements require a vote of the shareholders of NetEase, Guangzhou NetEase or Guangyitong Advertising, as applicable, both of them will vote in their capacity as direct or indirect shareholders of these companies to act based upon the instructions of our board. This letter of agreement was supplemented on May 17, 2004 to extend to the Ling Yi agreements described below.

 

In October 2003, we also established a new affiliated entity in China, Ling Yi, and we entered into a series of agreements with that entity on May 17, 2004, which are described below. Ling Yi has a license to provide Internet content, and it currently provides a small portion of our wireless value-added services, which constitutes an insignificant amount of our total revenue from wireless value-added services. We believe that the terms of each agreement with Ling Yi are no less favorable than the terms that we could obtain from disinterested third parties.

 

 Domain Name License Agreement between NetEase and Ling Yi. Pursuant to this agreement, NetEase agreed to grant a non-exclusive license to Ling Yi to use the domain names “netease.com,” “163.com,” “126.com,” “yeah.net” and “nease.net” on the NetEase Web sites in China for a license fee of RMB10,000 per year, without the right to sub-license unless with the written consent of NetEase. This agreement has a term of five years, and will be automatically renewed for additional one year terms unless NetEase notifies Ling Yi that there will be no extension.

 

 Web Page Layout Copyright License Agreement between NetEase Beijing and Ling Yi. Pursuant to this agreement, NetEase Beijing agreed to grant a non-exclusive license to Ling Yi to use certain copyrights relating to the Web pages of the NetEase Web sites in China for a license fee of RMB10,000 per year, without the right to sub-license unless with the written consent of NetEase Beijing. This agreement has a term of one year, and will be automatically renewed for additional one year terms unless NetEase Beijing notifies Ling Yi that there will be no extension.

 

 Exclusive Technical Services Master Agreement between NetEase Beijing and Ling Yi. Pursuant to this agreement, NetEase Beijing agreed to provide Ling Yi with technical services for the operation of the NetEase Web sites, including:

 

 server maintenance;

 

 server application software development;

 

 Internet application software development;

 

92


Table of Contents
 training; and

 

 e-commerce related services.

 

Ling Yi has agreed to pay a monthly service fee to NetEase Beijing in accordance with a formula based on minimum average daily page views. NetEase Beijing may unilaterally adjust such fees following a review of Ling Yi’s operations. NetEase Beijing is Ling Yi’s exclusive provider of these services. This agreement has a term of ten years, and will be automatically renewed for additional one year terms unless NetEase Beijing notifies Ling Yi that there will be no extension.

 

 Trademark License Agreement between NetEase Beijing and Ling Yi. NetEase Beijing granted Ling Yi a non-exclusive license to use NetEase Beijing’s registered trademarks on the NetEase Web sites in China for license fees of RMB10,000 per year. NetEase Beijing may waive this fee in the future. This agreement has a term of one year, and will be automatically renewed for additional one year terms unless NetEase Beijing notifies Ling Yi that there will be no extension.

 

 Agreement between NetEase Beijing and Ling Yi. NetEase Beijing agrees to pay the operating costs of Ling Yi.

 

Share Transfers to Certain Senior Management Personnel and Key Employees. In 1999, Shining Globe International Limited, which is 100% owned by William Ding, our founder, Chief Architect, majority shareholder and a director, agreed to transfer an aggregate of 109,694,200 ordinary shares to certain senior management personnel and key employees. These share transfers were effected in January 2000. The share transfer commitments were made to provide incentives to senior management personnel and key employees to join our company. The fair market value of these shares as of the date of such agreement (RMB45.4 million or US$5.5 million) was charged to our earnings in 1999 as share compensation costs in accordance with U.S. GAAP, with a corresponding increase in additional paid-in capital. Furthermore, in March 2000, January 2001, January 2002 and January 2003, William Ding transferred 1,945,200, 8,757,100, 4,609,000 and 4,609,000 shares, respectively, to certain employees. The total estimated fair value of these shares, valued at US$0.05 per share at the date of grant, is recognized as deferred compensation, which are amortized over the related vesting periods.

 

Our major shareholders do not have different voting rights than any of our other shareholders.

 

Loans and Advances. We have entered into loan agreements with four related parties, the proceeds of which were used to purchase our ADSs, in the aggregate principal amount of approximately US$777,000. The loans bear an interest rate of five percent and became due one year from the date of disbursement of the loan proceeds. As of December 31, 2003, approximately US$691,000 of the outstanding principal amount had been repaid. Although we have attempted to recover the remaining unpaid balance of these loans, we can provide no assurance that we will be able to recover such amount.

 

Transactions with BEENET. Mr. Ronald Lee, who was appointed to our board of directors on June 5, 2002, is the managing director and co-founder of BEENET, an Internet consulting and solutions services provider. In 2000, 2001 and 2002, BEENET entered into a series of transactions with our company whereby BEENET provided Internet consulting services for our main Web site and our corporate Web site and assisted in the design and production of a television commercial for us, in exchange for an aggregate amount of approximately US$550,000. BEENET also placed advertisements on the NetEase Web sites in 2001.

 

93


Table of Contents

C. Interests of Experts and Counsel

 

Not applicable.

 

Item 8. Financial Information

 

A. Consolidated Statements and Other Financial Information

 

See Item 18. “Financial Statements” for our audited consolidated financial statements filed as part of this annual report.

 

A.7 Legal Proceedings

 

In January 2003, Guangzhou NetEase was named in a copyright infringement lawsuit in China, and the plaintiffs have claimed damages of US$1.0 million.We intend to vigorously defend our position and believe the ultimate resolution of the matter will not have a material financial impact on our company.

 

In addition, as previously disclosed by us, the staff of the SEC has been conducting an investigation related to our restatement of our financial statements for the year ended December 31, 2000. We subsequently announced that we received a “Wells notice” from the SEC staff on March 15, 2004, which states that the staff intends to recommend that the SEC bring a civil injunctive action against our company for alleged violations of the federal securities laws, which action we believe will be in connection with the circumstances relating to the restatement. We cannot predict at this time whether the SEC will bring charges against our company or, if it does, the scope of such charges, the likelihood of our successfully defending any such action or the penalties which may be imposed on us.

 

A.8 Dividend Policy

 

We have never declared or paid any cash dividends on our ordinary shares, but it is possible that we may declare dividends in the future. We have historically retained earnings to finance operations and the expansion of our business. Any future determination to pay cash dividends will be at the discretion of the board of directors and will be dependent upon our financial condition, operating results, capital requirements and such other factors as the board of directors deems relevant.

 

B. Significant Changes

 

We have not experienced any significant changes since the date of our audited consolidated financial statements included in this annual report.

 

Item 9. The Offer and Listing

 

Not applicable except for Item 9.A.4. and Item 9.C.

 

American Depositary Shares, or ADSs, each representing 100 of our ordinary shares, have been listed on the Nasdaq National Market since June 30, 2000. Our ADSs trade under the symbol “NTES.” Trading in our ADSs was suspended by the Nasdaq National Market from September 4, 2001 until January 2, 2002 during Nasdaq’s investigation into the circumstances which necessitated the restatement of our 2000 financial statements.

 

94


Table of Contents

The following table provides the high and low prices for our ADSs on the Nasdaq National Market for (1) each year since our initial public offering, (2) each quarter in the two most recent financial years and the most recent quarter and (3) each of the most recent six months.

 

   Sales Price

   High

  Low

Annual highs and lows

        

2000 (June 30, 2000 through December 31, 2000)

  $17.25  $2.75

2001 (January 1, 2001 through September 4, 2001)

  $3.28  $0.52

2002

  $13.74  $0.65

2003

  $72.00  $10.10

Quarterly highs and lows

        

First Quarter 2002

  $1.47  $0.65

Second Quarter 2002

  $1.57  $0.67

Third Quarter 2002

  $3.65  $1.40

Fourth Quarter 2002

  $13.74  $1.80

First Quarter 2003

  $17.90  $10.10

Second Quarter 2003

  $37.35  $14.34

Third Quarter 2003

  $69.20  $33.90

Fourth Quarter 2003

  $72.00  $35.26

First Quarter 2004

  $58.49  $37.13

Monthly highs and lows

        

December 2003

  $47.88  $35.26

January 2004

  $49.74  $37.13

February 2004

  $53.72  $39.89

March 2004

  $58.49  $44.27

April 2004

  $57.17  $40.50

May 2004

  $45.22  $35.72

 

Item 10. Additional Information

 

A. Share Capital

 

Not applicable.

 

B. Memorandum and Articles of Association

 

The following presents a description of the terms and provisions of our restated memorandum and articles of association. Our articles of association were amended pursuant to a special resolution passed by more than two-thirds of our shareholders on June 5, 2003 to remove the provisions related to the composition, duties and operations of the audit committee of our board of directors (articles numbered 114 to 117 (inclusive)). Our audit committee is now governed by a board-approved charter which is not part of our articles of association. Our restated memorandum and articles of association and the above-referenced amendment are incorporated by reference as noted in Item 19.

 

95


Table of Contents

General

 

We were incorporated in the Cayman Islands on July 6, 1999 and operate under the Cayman Islands Companies Law (2003 Revision), or the Companies Law. Our corporate objectives and purpose are unrestricted.

 

Directors

 

A director may vote in respect of any contract or transaction in which he is interested provided however that the nature of the interest of any director in any such contract or transaction shall be disclosed by him at or prior to its consideration and any vote on that matter. A general notice or disclosure to the directors or otherwise contained in the minutes of a meeting or a written resolution of the directors or any committee thereof that a director is a shareholder of any specified firm or company and is to be regarded as interested in any transaction with such firm or company shall be sufficient disclosure and after such general notice it shall not be necessary to give special notice relating to any particular transaction.

 

The directors may determine remuneration to be paid to the directors. The directors may exercise all the powers of our company to borrow money and to mortgage or charge its undertaking, property and uncalled capital or any part thereof, to issue debentures, debenture stock and other securities whenever money is borrowed or as security for any of our debts, liabilities, or obligations or those of any third party.

 

There are no membership qualifications for directors. Further, there are no age limitations or retirement requirements and no share ownership qualifications for directors unless so fixed by shareholders in a general meeting.

 

Rights, Preferences and Restrictions of Ordinary Shares

 

General. All of our outstanding ordinary shares are fully paid and nonassessable. Certificates representing the ordinary shares are issued in registered form. Our shareholders who are nonresidents of the Cayman Islands may freely hold and vote their shares.

 

Dividends. The holders of ordinary shares are entitled to such dividends as may be declared by our board of directors.

 

Voting Rights. Each ordinary share is entitled to one vote on all matters upon which the ordinary shares are entitled to vote, including the election of directors. Voting at any meeting of shareholders is by show of hands unless a poll is demanded. A poll may be demanded by the Chairman or any other shareholder present in person or by proxy. A quorum required for a meeting of shareholders consists of at least two shareholders present or by proxy.

 

Any ordinary resolution to be made by the shareholders requires the affirmative vote of a simple majority of the votes attaching to the ordinary shares cast in a general meeting, while a special resolution requires the affirmative vote of no less than two-thirds of the votes cast attaching to the ordinary shares. A special resolution is required for matters such as a change of name. Holders of the ordinary shares may by ordinary resolution, among other things, elect directors, appoint auditors, and make changes in the amount of our authorized share capital.

 

Liquidation. On a return of capital on winding up or otherwise (other than on conversion, redemption or purchase of shares) assets available for distribution among the holders of ordinary shares shall be distributed among the holders of the ordinary shares pro rata. If the assets available for distribution are insufficient to repay all of the paid-up capital, the assets will be distributed so that the losses are borne by our shareholders proportionately.

 

96


Table of Contents

Calls on Shares and Forfeiture of Shares. Our board of directors may from time to time make calls upon shareholders for any amounts unpaid on their shares in a notice served to such shareholders at least 14 days prior to the specified time and place of payment. The shares that have been called upon and remain unpaid are subject to forfeiture.

 

Redemption of Shares. We may issue shares on the terms that they are, or at our option or at the option of the holders are, subject to redemption on such terms and in such manner as we may determine by special resolution.

 

Variations of Rights of Shares

 

All or any of the special rights attached to any class of shares may, subject to the provisions of the Companies Law, be varied either with the consent in writing of the holders of three-fourths of the issued shares of that class or with the sanction of a special resolution passed at a general meeting of the holders of the shares of that class.

 

General Meetings of Shareholders

 

The directors may whenever they think fit, and they shall on the requisition of our shareholders holding at the date of the deposit of the requisition not less than one-tenth of our paid-up capital as at the date of the deposit carries the right of voting at general meetings of the Company, proceed to convene a general meeting of the Company. If the directors do not within 21 days from the date of the deposit of the requisition duly proceed to convene a general meeting, the requisitionists, or any of them representing more than one-half of the total voting rights of all of them, may themselves convene a general meeting, but any meeting so convened shall not be held after the expiration of three months after the expiration of such 21 days. Advanced notice of at least five days is required for the convening of the annual general meeting and other shareholders meetings.

 

Limitations on the Right to Own Shares

 

There are no limitations on the right to own our shares.

 

Limitations on Transfer of Shares

 

There are no provisions in our restated memorandum or articles of association that would have an effect of delaying, deferring or preventing a change in control and that would operate only with respect to a merger, acquisition or corporate restructuring.

 

Disclosure of Shareholder Ownership

 

There are no provisions in our restated memorandum or articles of association governing the ownership threshold above which shareholder ownership must be disclosed.

 

Changes in Capital

 

We may from time to time by ordinary resolution increase the share capital by such sum, to be divided into shares of such amount, as the resolution shall prescribe. The new shares shall be subject to

 

97


Table of Contents

the same provisions with reference to the payment of calls, lien, transfer, transmission, forfeiture and otherwise as the shares in the original share capital. We may by ordinary resolution:

 

 (a)consolidate and divide all or any of our share capital into shares of larger amount than our existing shares;

 

 (b)sub-divide our existing shares, or any of them into shares of smaller amount than is fixed by our restated memorandum of association, subject nevertheless to the provisions of Section 12 of the Companies Law;

 

 (c)cancel any shares which, at the date of the passing of the resolution, have not been taken or agreed to be taken by any person.

 

We may by special resolution reduce our share capital and any capital redemption reserve fund in any manner authorized by law.

 

Differences in Corporate Law

 

The Companies Law is modeled after that of the United Kingdom but does not follow recent United Kingdom statutory enactments and differs from laws applicable to United States corporations and their shareholders. Set forth below is a summary of the significant differences between the provisions of the Companies Law applicable to NetEase.com and the laws applicable to companies incorporated in the United States and their shareholders.

 

Mergers and Similar Arrangements. Cayman Islands law does not provide for mergers as that expression is understood under United States corporate law. However, there are statutory provisions that facilitate the reconstruction and amalgamation of companies, provided that the arrangement in question is approved by a majority in number of each class of shareholders and creditors with whom the arrangement is to be made, and who must in addition represent three-fourths in value of each such class of shareholders or creditors, as the case may be, that are present and voting either in person or by proxy at a meeting, or meetings convened for that purpose. The convening of the meetings and subsequently the arrangement must be sanctioned by the Grand Court of the Cayman Islands. While a dissenting shareholder would have the right to express to the court the view that the transaction ought not to be approved, the court can be expected to approve the arrangement if it satisfies itself that:

 

 the statutory provisions as to majority vote have been complied with;

 

 the shareholders have been fairly represented at the meeting in question;

 

 the arrangement is such as a businessman would reasonably approve; and

 

 the arrangement is not one that would more properly be sanctioned under some other provision of the Companies Law.

 

When a take-over offer is made and accepted by holders of 90% of the shares within four months, the offeror may, within a two month period, require the holders of the remaining shares to transfer such shares on the terms of the offer. An objection can be made to the Grand Court of the Cayman Islands but this is unlikely to succeed unless there is evidence of fraud, bad faith or collusion.

 

98


Table of Contents

If the arrangement and reconstruction is thus approved, the dissenting shareholder would have no rights comparable to appraisal rights, which would otherwise ordinarily be available to dissenting shareholders of United States corporations, providing rights to receive payment in cash for the judicially determined value of the shares.

 

Shareholders’ Suits. Our Cayman Islands counsel is not aware of any reported class action or derivative action having been brought in a Cayman Islands court. In principle, we will normally be the proper plaintiff and a derivative action may not be brought by a minority shareholder. However, based on English authorities, which would in all likelihood be of persuasive authority in the Cayman Islands, exceptions to the foregoing principle apply in circumstances in which:

 

 a company is acting or proposing to act illegally or ultra vires;

 

 the act complained of, although not ultra vires, could be effected only if authorized by more than a simple majority vote;

 

 the individual rights of the plaintiff shareholder have been infringed or are about to be infringed; or

 

 those who control the company are perpetrating a “fraud on the minority.”

 

Indemnification. Cayman Islands law does not (other than as set forth hereafter) limit the extent to which a company’s organizational documents may provide for indemnification of officers and directors, except to the extent any such provision may be held by the Cayman Islands courts to be contrary to public policy, such as to provide indemnification against civil fraud or the consequences of committing a crime. Our Articles of Association provide for indemnification of officers and directors for losses, damages, costs and expenses incurred in their capacities as such, except through their own willful neglect or default.

 

Insofar as indemnification or liability arising under the Securities Act of 1933 may be permitted to directors, officers or persons controlling the registrant pursuant to the foregoing provisions, we have been informed that in the opinion of the Securities and Exchange Commission such indemnification is against public policy as expressed in the Securities Act of 1933 and is therefore unenforceable.

 

C. Material Contracts

 

We have not entered into any material contracts other than in the ordinary course of business and other than those described in Item 4. “Information on the Company” or elsewhere in this Form 20-F.

 

D. Exchange Controls

 

China’s government imposes control over the convertibility of Renminbi into foreign currencies. Under the current unified floating exchange rate system, the People’s Bank of China publishes a daily exchange rate for Renminbi, or the PBOC Exchange Rate, based on the previous day’s dealings in the inter-bank foreign exchange market. Financial institutions authorized to deal in foreign currency may enter into foreign exchange transactions at exchange rates within an authorized range above or below the PBOC Exchange Rate according to market conditions.

 

Pursuant to the Foreign Exchange Control Regulations issued by the State Council on January 29, 1996 and effective as of April 1, 1996 (and amended on January 14, 1997) and the Administration of Settlement, Sale and Payment of Foreign Exchange Regulations which came into effect on July 1, 1996

 

99


Table of Contents

regarding foreign exchange control, or the Regulations, conversion of Renminbi into foreign exchange by foreign investment enterprises for current account items, including the distribution of dividends and profits to foreign investors of joint ventures, is permissible. Foreign investment enterprises are permitted to remit foreign exchange from their foreign exchange bank account in China on the basis of, inter alia, the terms of the relevant joint venture contracts and the board resolutions declaring the distribution of the dividend and payment of profits. Conversion of Renminbi into foreign currencies and remittance of foreign currencies for capital account items, including direct investment, loans, security investment, is still subject to the approval of the State Administration of Foreign Exchange, or SAFE, in each such transaction. On January 14, 1997, the State Council amended the Foreign Exchange Control Regulations to provide, among other things, that the State shall not impose restrictions on recurring international payments and transfers.

 

Under the Regulations, foreign investment enterprises are required to open and maintain separate foreign exchange accounts for capital account items (but not for other items). In addition, foreign investment enterprises may only buy, sell and/or remit foreign currencies at those banks authorized to conduct foreign exchange business upon the production of valid commercial documents and, in the case of capital account item transactions, document approval from SAFE.

 

Currently, foreign investment enterprises are required to apply to SAFE for “foreign exchange registration certificates for foreign investment enterprises.” With such foreign exchange registration certificates (which are granted to foreign investment enterprises upon fulfilling specified conditions and which are subject to review and renewal by SAFE on an annual basis) or with the foreign exchange sales notices from the SAFE (which are obtained on a transaction-by-transaction basis), foreign-invested enterprises may enter into foreign exchange transactions at banks authorized to conduct foreign exchange business to obtain foreign exchange for their needs.

 

E. Taxation

 

The following summary of the material Cayman Islands and United States federal income tax consequences relevant to the purchase, ownership or sale of our ADSs is based upon laws and relevant interpretations thereof in effect as of the date of this annual report, all of which are subject to change. To the extent that the discussion relates to matters of Cayman Islands tax law, it represents the opinion of Maples and Calder Asia, special Cayman Islands counsel to us. To the extent the discussion relates to matters of United States law or legal conclusions and subject to the qualifications herein, it represents the opinion of Morrison & Foerster LLP, our special U.S. counsel.

 

Cayman Islands Taxation

 

The Cayman Islands currently levies no taxes on individuals or corporations based upon profits, income, gains or appreciation and there is no taxation in the nature of inheritance tax or estate duty. There are no other taxes likely to be material to us levied by the Government of the Cayman Islands except for stamp duties which may be applicable on instruments executed in, or after execution brought within the jurisdiction of the Cayman Islands. The Cayman Islands is not party to any double tax treaties. There are no exchange control regulations or currency restrictions in the Cayman Islands.

 

United States Federal Income Taxation

 

The following discussion is a summary of the material United States federal income tax considerations that may be relevant to the purchase, ownership or sale of our shares or ADSs (collectively referred to in this section as the “shares”). This discussion is based on the Internal Revenue Code of 1986, as amended, or the Code, U.S. Treasury regulations (including proposed regulations and temporary

 

100


Table of Contents

regulations) promulgated under the Code and published administrative rulings and pronouncements and judicial decisions, all as of the date hereof. This discussion does not provide a complete analysis of all potential tax consequences. We cannot assure you that future legislation, administrative rulings or court decisions will not modify the conclusions set forth in this summary, possibly with retroactive effect. In addition, the U.S. Internal Revenue Service might interpret the existing authorities differently.

 

This description is general in nature and does not discuss all aspects of U.S. federal income taxation that may be relevant to a particular investor in light of the investor’s particular circumstances, or to certain types of investors subject to special treatment under U.S. federal income tax laws (such as banks or financial institutions, life insurance companies, tax-exempt organizations, dealers in securities or foreign currencies, traders in securities that elect to apply a mark-to-market method of accounting, persons holding shares as part of a position in a “straddle” or as part of a “hedging,” “conversion” or “integrated” transaction for U.S. federal income tax purposes, persons subject to the alternative minimum tax provisions of the Code, and persons that have a “functional currency” other than the U.S. dollar). This description applies to purchasers who hold our shares as capital assets. This description does not consider the effect of any foreign, state, local or other tax laws that may be applicable to particular investors.

 

Beneficial owners of shares should consult their own tax advisors regarding the application of the U.S. federal income tax laws to their particular situations and the consequences of U.S. federal estate or gift tax laws, foreign, state, or local laws, and tax treaties.

 

U.S. Holders

 

As used in this annual report, the term “U.S. Holder” means a beneficial owner of shares that is (i) a citizen or resident of the U.S. or someone treated as a U.S. citizen or resident for U.S. federal income tax purposes; (ii) a corporation or other entity taxable as a corporation for U.S. federal income tax purposes organized in or under the laws of the U.S. or any political subdivision thereof; (iii) an estate the income of which is subject to U.S. federal income taxation regardless of its source; or (iv) a trust, if such trust validly elects to be treated as a U.S. person for U.S. federal income tax purposes, or if (a) a court within the U.S. can exercise primary supervision over its administration and (b) one or more U.S. persons have the authority to control all of the substantial decisions of such trust.

 

If a partnership (including for this purpose any entity treated as a partnership for U.S. tax purposes) is a beneficial owner of shares, the U.S. tax treatment of a partner in the partnership will generally depend on the status of the partner and the activities of the partnership. A holder of the shares that is a partnership and partners in such partnership should consult their individual tax advisors about the U.S. federal income tax consequences of holding and disposing of our shares.

 

If you are not a U.S. Holder, this subsection does not apply to you and you should refer to “Non-U.S. Holders” below.

 

The Cayman Islands, where we are incorporated, is not a party to any double tax treaty with the United States.

 

Taxation of Dividends and Other Distributions on the Shares

 

Subject to the passive foreign investment company rules discussed below, all distributions to a U.S. Holder with respect to the shares, other than certain pro rata distributions of our shares, will be includible in a U.S. Holder’s gross income as ordinary dividend income when received, but only to the extent that the distribution is paid out of our current or accumulated earnings and profits. For this purpose, earnings and profits will be computed under U.S. federal income tax principles. The dividends will not be

 

101


Table of Contents

eligible for the dividends-received deduction allowed to corporations. To the extent that the amount of the distribution exceeds our current and accumulated earnings and profits, it will be treated first as a tax-free return of your tax basis in the shares, and to the extent the amount of the distribution exceeds the U.S. Holder’s tax basis, the excess will be taxed as capital gain.

 

Dividends paid in Renminbi will be included in your income as a U.S. dollar amount based on the exchange rate in effect on the date that the U.S. Holder receives the dividend, regardless of whether the payment is in fact converted into U.S. dollars. If the U.S. Holder does not receive U.S. dollars on the date the dividend is distributed, the U.S. Holder will be required to include either gain or loss in income when the U.S. Holder later exchanges the Renminbi for U.S. dollars. The gain or loss will be equal to the difference between the U.S. dollar value of the amount that the U.S. Holder includes in income when the dividend is received and the amount that the U.S. Holder receives on the exchange of the Renminbi for U.S. dollars. The gain or loss generally will be ordinary income or loss from United States sources. If we distribute as a dividend non-cash property, the U.S. Holder will include in income an amount equal to the U.S. dollar equivalent of the fair market value of the property on the date that it is distributed.

 

Dividends will constitute foreign source income for foreign tax credit limitation purposes. The limitation on foreign taxes eligible for credit is calculated separately with respect to specific classes of income. For this purpose, dividends distributed by us with respect to the shares will be “passive income” or, in the case of certain U.S. Holders, “financial services income.” In particular circumstances, a U.S. Holder that (i) has held the shares for less than a specified minimum period during which it is not protected from risk of loss, (ii) is obligated to make payments related to the dividends, or (iii) holds the shares in arrangements in which the U.S. Holder’s expected economic profit, after non-U.S. taxes, is insubstantial will not be allowed a foreign tax credit for foreign taxes imposed on dividends paid on the shares.

 

Distributions to a U.S. Holder of shares or rights to subscribe for shares that are received as part of a pro rata distribution to all our shareholders should not be subject to U.S. federal income tax. The basis of the new shares or rights so received will be determined by allocating the U.S. Holder’s tax basis in the shares between the shares and the new shares or rights received, based on their relative fair market values on the date of distribution. However, the basis of the new shares or rights will be zero if (i) the fair market value of the new shares or rights is less than 15% of the fair market value of the old shares at the time of distribution and (ii) the U.S. Holder does not make an election to determine the basis of the new shares by allocation as described above. The U.S. Holder’s holding period in the new shares or rights will include the holding period of the old shares on which the distribution was made.

 

Taxation of Disposition of Shares

 

Subject to the passive foreign investment company rules discussed below, a U.S. Holder will recognize taxable gain or loss on any sale or exchange of our shares equal to the difference between the amount realized (in U.S. dollars) for the shares and the U.S. Holder’s tax basis (in U.S. dollars) in the shares. The gain or loss will be capital gain or loss. Any gain or loss that you recognize will generally be treated as United States source income or loss, except that losses will be treated as foreign source losses to the extent you received dividends that were includible in the financial services income basket during the 24-month period prior to the sale.

 

Passive Foreign Investment Company

 

We believe we were a passive foreign investment company for U.S. federal income tax purposes for the taxable years ended on December 31, 2000, 2001 and 2002, and we cannot be certain whether we will be treated as a passive foreign investment company for the taxable year ending on December 31, 2003.

 

102


Table of Contents

If we are a passive foreign investment company in 2003, or in any subsequent year in which a U.S. Holder holds the shares, the U.S. Holder will be subject to increased U.S. tax liabilities and reporting requirements on receipt of certain dividends or on a disposition at a gain of shares, although a shareholder election to terminate such deemed passive foreign investment company status may be made in certain circumstances. U.S. Holders should consult their own tax advisors regarding our status as a passive foreign investment company, the consequences of an investment in a passive foreign investment company, and the consequences of making a shareholder election to terminate deemed passive foreign investment company status if we no longer meet the income or asset test for passive foreign investment company status in a subsequent taxable year.

 

A company is considered a passive foreign investment company for any taxable year if either

 

 at least 75% of its gross income is passive income, or

 

 at least 50% of the value of its assets (based on an average of the quarterly values of the assets during a taxable year) is attributable to assets that produce or are held for the production of passive income.

 

We will be treated as owning our proportionate share of the assets and earning our proportionate share of the income of any other corporation in which we own, directly or indirectly, more than 25% (by value) of the stock of such corporation.

 

The determination that we were a passive foreign investment company for the 2000, 2001 and 2002 taxable years was based on our valuations of our assets, including goodwill. In calculating goodwill, we have valued our total assets based on our total market value determined using the average of the quarterly selling prices of the shares for the relevant year and have made a number of assumptions regarding the amount of this value allocable to goodwill. We believe our valuation approach is reasonable. However, it is possible that the Internal Revenue Service, or IRS, will challenge the valuation of our goodwill, which may result in it becoming even more likely that we would be classified as a passive foreign investment company for the 2003 taxable year as well as for subsequent years. In addition, if our actual acquisitions and capital expenditures do not match our projections, the likelihood that we are or will be classified as a passive foreign investment company may also increase. Valuation of our assets at fair market value is permitted by the Code so long as we are not a “controlled foreign corporation” under the Code. As approximately 50% of our ordinary shares is owned, indirectly, by William Ding, our ability to value our assets at fair market value could be adversely affected if William Ding were a U.S. citizen or resident. William Ding has advised us that he is not a U.S. citizen or resident and that he has no present intention of becoming a U.S. citizen or resident.

 

A separate determination must be made each year as to whether we are a passive foreign investment company. As a result, our passive foreign investment company status may change.

 

If we are a passive foreign investment company for any taxable year during which a U.S. Holder holds shares, the U.S. Holder will be subject to special tax rules with respect to (i) any “excess distribution” that the U.S. Holder receives on shares and (ii) any gain the U.S. Holder realizes from a sale or other disposition (including a pledge) of the shares, unless the U.S. Holder makes a “mark-to-market” election as discussed below. Distributions the U.S. Holder receives in a taxable year that are greater than 125% of the average annual distributions the U.S. Holder received during the shorter of the three preceding taxable years or the U.S. Holder’s holding period for the shares will be treated as an excess distribution. Under these special tax rules:

 

 the excess distribution or gain will be allocated ratably over your holding period for the shares,

 

103


Table of Contents
 the amount allocated to the current taxable year, and any taxable year prior to the first taxable year in which we were a passive foreign investment company, will be treated as ordinary income, and

 

 the amount allocated to each other year will be subject to tax at the highest tax rate in effect for that year and the interest charge generally applicable to underpayments of tax will be imposed on the resulting tax attributable to each such year.

 

The tax liability for amounts allocated to years prior to the year of disposition or “excess distribution” cannot be offset by any net operating losses, and gains (but not losses) realized on the sale of the shares cannot be treated as capital, even if the U.S. Holder holds the shares as capital assets.

 

A U.S. shareholder of a passive foreign investment company may avoid taxation under the excess distribution rules discussed above by making a “qualified electing fund” election to include the U.S. Holder’s share of our income on a current basis. However, a U.S. Holder may make a qualified electing fund election only if the passive foreign investment company agrees to furnish the shareholder annually with certain tax information, and we do not presently intend to prepare or provide such information.

 

Alternatively, a U.S. Holder of “marketable stock” in a passive foreign investment company may make a mark-to-market election for stock of a passive foreign investment company to elect out of the excess distribution rules discussed above. If a U.S. Holder makes a mark-to-market election for the shares, the U.S. Holder will include in income each year an amount equal to the excess, if any, of the fair market value of the shares as of the close of its taxable year over the U.S. Holder’s adjusted basis in such shares. A U.S. Holder is allowed a deduction for the excess, if any, of the adjusted basis of the shares over their fair market value as of the close of the taxable year only to the extent of any net mark-to-market gains on the shares included in the U.S. Holder’s income for prior taxable years. Amounts included in a U.S. Holder’s income under a mark-to-market election, as well as gain on the actual sale or other disposition of the shares, are treated as ordinary income. Ordinary loss treatment also applies to the deductible portion of any mark-to-market loss on the shares, as well as to any loss realized on the actual sale or disposition of the shares, to the extent that the amount of such loss does not exceed the net mark-to-market gains previously included for such shares. A U.S. Holder’s basis in the shares will be adjusted to reflect any such income or loss amounts. The tax rules that apply to distributions by corporations which are not passive foreign investment companies would apply to distributions by us.

 

The mark-to-market election is available only for stock which is regularly traded on a national securities exchange that is registered with the Securities and Exchange Commission or on Nasdaq, or an exchange or market that the U.S. Secretary of the Treasury determines has rules sufficient to ensure that the market price represents a legitimate and sound fair market value. The mark-to-market election would be available to a U.S. Holder unless our shares are delisted from The Nasdaq National Market and do not subsequently become regularly traded on The Nasdaq SmallCap Market or other qualified exchange or market.

 

A U.S. Holder who holds shares in any year in which we are a passive foreign investment company would be required to file IRS Form 8621 regarding distributions received on the shares and any gain realized on the disposition of the shares.

 

104


Table of Contents

Non-U.S. Holders

 

A Non-U.S. Holder will not be subject to U.S. federal income tax on dividends paid by us unless the income is effectively connected with the Non-U.S. Holder’s conduct of a trade or business in the United States.

 

A Non-U.S. Holder will not be subject to U.S. federal income tax on any gain attributable to a sale or other disposition of the shares unless such gain is effectively connected with the Non-U.S. Holder’s conduct of a trade or business within the United States or the Non-U.S. Holder is a natural person who is present in the United States for 183 days or more and certain other conditions exist. Dividends and gains that are effectively connected with a Non-U.S. Holder’s conduct of a trade or business in the United States will be subject to tax in the same manner as they would be if the Non-U.S. Holder were a U.S. Holder, except that the passive foreign investment company rules will not apply. Effectively connected dividends and gains received by a corporate Non-U.S. Holder may also be subject to an additional branch profits tax at a 30% rate or a lower tax treaty rate.

 

Information Reporting and Backup Withholding

 

In general, information reporting requirements will apply to dividends in respect of the shares or the proceeds received on the sale, exchange or redemption of shares paid within the United States (and, in certain cases, outside the United States) to U.S. Holders other than certain exempt recipients, such as corporations, and backup withholding tax may apply to such amounts if the U.S. Holder fails to provide an accurate taxpayer identification number or to report interest and dividends required to be shown on its U.S. federal income tax returns. The amount of any backup withholding from a payment to a U.S. Holder will be allowed as credit against the U.S. Holder’s U.S. federal income tax liability provided that the appropriate returns are filed.

 

A Non-U.S. Holder generally may eliminate the requirement for information reporting and backup withholding by providing certification of its foreign status to the payor, under penalties of perjury, on IRS Form W-8BEN.

 

105


Table of Contents

Enforcement of Civil Liabilities

 

We are incorporated in the Cayman Islands because of the following benefits found there:

 

 political and economic stability;

 

 an effective judicial system;

 

 a favorable tax system;

 

 the absence of exchange control or currency restrictions; and

 

 the availability of professional and support services.

 

However, certain disadvantages accompany incorporation in the Cayman Islands. These disadvantages include:

 

(1) the Cayman Islands has a less developed body of securities laws as compared to the United States and provides significantly less protection to investors; and

 

(2) Cayman Islands companies may not have standing to sue before the federal courts of the United States.

 

Our constituent documents do not contain provisions requiring that disputes, including those arising under the securities laws of the United States, between us, our officers, directors and shareholders be arbitrated.

 

A substantial portion of our current operations is conducted in China through our wholly-owned subsidiaries which are incorporated in China or the British Virgin Islands. All or most of our assets are located in China. We have appointed CT Corporation System, 111 Eighth Avenue, New York, NY 10011, as our agent upon whom process may be served in any action brought against us under the securities laws of the United States. A majority of our directors and officers are nationals or residents of jurisdictions other than the United States and a substantial portion of their assets are located outside the United States. As a result, it may be difficult for a shareholder to effect service of process within the United States upon these persons, or to enforce against us or them judgments obtained in United States courts, including judgments predicated upon the civil liability provisions of the securities laws of the United States or any state in the United States.

 

Maples and Calder Asia, our counsel as to Cayman Islands law, and Commerce & Finance Law Office, our counsel as to Chinese law, have advised us that there is uncertainty as to whether the courts of the Cayman Islands or China would:

 

(1) recognize or enforce judgments of United States courts obtained against us or our directors or officers predicated upon the civil liability provisions of the securities laws of the United States or any state in the United States; or

 

(2) entertain original actions brought in the Cayman Islands or China against us or our directors or officers predicated upon the securities laws of the United States or any state in the United States.

 

Maples and Calder Asia has further advised us that a final and conclusive judgment in the federal or state courts of the United States under which a sum of money is payable, other than a sum payable in respect of taxes, fines, penalties or similar charges, may be subject to enforcement proceedings as a debt in the courts of the Cayman Islands under the common law doctrine of obligation.

 

106


Table of Contents

Commerce & Finance Law Office has advised us further that the recognition and enforcement of foreign judgments are provided for under Chinese Civil Procedures Law. Chinese courts may recognize and enforce foreign judgments in accordance with the requirements of Chinese Civil Procedures Law based either on treaties between China and the country where the judgment is made or on reciprocity between jurisdictions.

 

F. Dividends and Paying Agents

 

Not applicable.

 

G. Statement by Experts

 

Not applicable.

 

H. Documents on Display

 

We have previously filed with the Commission our registration statement on Form F-1 and prospectus under the Securities Act of 1933, as amended, with respect to our ADSs.

 

We are subject to the periodic reporting and other informational requirements of the Securities Exchange Act of 1934, as amended, or the Exchange Act. Under the Exchange Act, we are required to file reports and other information with the Securities and Exchange Commission. Specifically, we are required to file annually a Form 20-F no later than six months after the close of each fiscal year, which is December 31. Copies of reports and other information, when so filed, may be inspected without charge and may be obtained at prescribed rates at the public reference facilities maintained by the Securities and Exchange Commission at Room 1024, Judiciary Plaza, 450 Fifth Street, N.W., Washington, D.C. 20549. You can request copies of these documents upon payment of a duplicating fee, by writing to the SEC. Please call the SEC at 1-800-SEC-0330 for further information on the operation of the public reference rooms. The SEC also maintains a Web site at www.sec.gov that contains reports, proxy and information statements, and other information regarding registrants that make electronic filings with the SEC using its EDGAR system. As a foreign private issuer, we are exempt from the rules under the Exchange Act prescribing the furnishing and content of quarterly reports and proxy statements, and officers, directors and principal shareholders are exempt from the reporting and short-swing profit recovery provisions contained in Section 16 of the Exchange Act.

 

Our financial statements have been prepared in accordance with U.S. GAAP.

 

We will furnish our shareholders with annual reports, which will include a review of operations and annual audited consolidated financial statements prepared in conformity with U.S. GAAP.

 

I. Subsidiary Information

 

Not applicable.

 

107


Table of Contents

Item 11. Quantitative and Qualitative Disclosures About Market Risk

 

Please refer to Item 5. “Operating and Financial Review and Prospects—Quantitative and Qualitative Disclosures About Market Risk.”

 

Item 12. Description of Securities Other than Equity Securities

 

Not Applicable.

 

PART II

 

Item 13. Defaults, Dividend Arrearages and Delinquencies

 

Not Applicable.

 

Item 14. Material Modifications to the Rights of Security Holders and Use of Proceeds

 

Use of Proceeds

 

The following “Use of Proceeds” information relates to the registration statement on Form F-1 (File No. 333-11724) (the “Registration Statement”) for our initial public offering of 4,500,000 American Depositary Shares, each representing 100 of our ordinary shares, for an aggregate offering price of US$69.75 million. Our Registration Statement was declared effective by the SEC on June 29, 2000.

 

We received net proceeds of approximately US$64.9 million from our initial public offering (taking into account underwriting discounts of US$4.88 million, but not taking into account transaction expenses of approximately US$2.7 million). None of the transaction expenses included payments to directors or officers of our company or their associates, persons owning 10% or more of our equity securities or our affiliates.

 

From the effective date of the Registration Statement to July 6, 2000, we did not use any of the proceeds from our initial public offering. Net proceeds from the offering have been invested in highly liquid money market instruments, short-term time deposits and similar instruments. Since July 6, 2000, we have used the net proceeds from our initial public offering to satisfy past indebtedness and reduce our accounts payable and to fund expenses primarily for marketing, employee compensation, and capital expenditures. None of the net proceeds from the initial public offering were paid, directly or indirectly, to any of our directors or officers of our company or their associates, persons owning 10% or more of our equity securities or our affiliates.

 

Merrill Lynch Far East Limited, Merrill Lynch, Pierce, Fenner & Smith Incorporated, Deutsche Bank Securities Inc., Chase Securities Inc., Salomon Smith Barney Inc., and UBS Warburg LLC were the underwriters for our initial public offering.

 

Item 15. Controls and Procedures

 

Evaluation of Disclosure Controls and Procedures

 

Michael Tong, our Executive Director, and Denny Lee, our Chief Financial Officer, have

 

108


Table of Contents

performed an evaluation of our disclosure controls and procedures, as that term is defined in Rules 13a-14(c) and 15d-14(c) of the Securities Exchange Act of 1934, as amended (the “Exchange Act”), within 90 days of the date of this report and each has concluded that such disclosure controls and procedures are effective to ensure that information required to be disclosed in our periodic reports filed under the Exchange Act is recorded, processed, summarized and reported, within the time period specified by the Securities and Exchange Commission’s rules and regulations. Our Acting Chief Executive Officer, Ted Sun, is currently on temporary medical leave of absence.

 

Changes in Internal Controls

 

No significant changes in our internal controls or in other factors that could significantly affect these controls subsequent to the date of the evaluation, including any corrective actions with regard to significant deficiencies and material weaknesses, were made as a result of the evaluation.

 

Item 16A. Audit Committee Financial Expert

 

Our board of directors has determined that Mr. Joseph Tong qualifies as an Audit Committee Financial Expert as defined by the applicable rules of the SEC.

 

Item 16B. Code of Ethics

 

We have adopted a Code of Business Conduct which applies to our employees, officers and non-employee directors, including our principal executive officer, principal financial officer, principal accounting officer or controller, and persons performing similar functions. This code is intended to qualify as a “code of ethics” within the meaning of the applicable rules of the SEC, and is attached to this annual report as an exhibit.

 

Item 16C. Principal Accountant Fees and Services

 

Disclosure of Fees Charged by Independent Accountants

 

The following table summarizes the fees charged by Arthur Andersen · Hua Qiang (our independent accountants until June 2002) and PricewaterhouseCoopers Zhong Tian Limited Company (our independent accountants from June 2002 until the present time) for certain services rendered to our company during 2002 and 2003.

 

   

For the year ended

December 31,


   (in thousands of U.S. dollars)

   2002(1)

  2003(1)

Audit fees (2)

  $368  $280

Audit-related fees (3)

   —     290

Tax fees (4)

   37   66
   

  

Total

  $405  $636
   

  


(1)The fees disclosed are exclusive of out-of-pocket expenses and taxes on the amounts paid, which totaled US$24,000 in 2002 and US$42,000 in 2003.

 

109


Table of Contents
(2)“Audit fees” means the aggregate fees billed in each of the fiscal years listed for professional services rendered by our principal auditors for the audit of our annual financial statements.
(3)“Audit-related fees” means the aggregate fees billed in each of the fiscal years listed for assurance and related services rendered by our principal auditors for the verification of our financial information in relation to one of our fee-based services and the issuance of Zero Coupon Convertible Subordinated Notes, due July 15, 2023, in 2003.
(4)“Tax fees” means the aggregate fees billed in each of the fiscal years listed for professional services rendered by our principal auditors for tax compliance and tax advice.

 

Audit Committee Pre-approval Policies and Procedures

 

Our audit committee has adopted procedures which set forth the manner in which the committee will review and approve all audit and non-audit services to be provided by PricewaterhouseCoopers Zhong Tian Limited Company before that firm is retained for such services. The pre-approval procedures are as follows:

 

 Any audit or non-audit service to be provided to us by the independent accountant must be submitted to the audit committee for review and approval, with a description of the services to be performed and the fees to be charged.

 

 The audit committee in its sole discretion then approves or disapproves the proposed services and documents such approval, if given, through the execution of an engagement letter for the services by a member of the committee.

 

Item 16D. Exemptions from the Listing Standards for Audit Committees

 

We have not been granted an exemption from the applicable listing standards for the audit committee of our board of directors.

 

Item 16E. Purchases of Equity Securities by the Issuer and Affiliated Purchasers

 

None.

 

PART III

 

Item 17. Financial Statements

 

The Company has elected to provide financial statements pursuant to Item 18.

 

Item 18. Financial Statements

 

The consolidated financial statements for NetEase.com, Inc. and its subsidiaries are included at the end of this annual report.

 

110


Table of Contents

Item 19. Exhibits

 

Exhibit

Number


 

Document


1.1 Amended and Restated Memorandum of Association of NetEase.com, Inc. (incorporated by reference to Exhibit 3.1 from Amendment No. 1 to the company’s Registration Statement on Form F-1 (file no. 333-11724) filed with the Securities and Exchange Commission on May 15, 2000)
1.2 Amended and Restated Articles of Association of NetEase.com, Inc. (incorporated by reference to Exhibit 3.2 from Amendment No. 1 to the company’s Registration Statement on Form F-1 (file no. 333-11724) filed with the Securities and Exchange Commission on May 15, 2000)
1.3 Amendment to Amended and Restated Articles of Association of NetEase.com, Inc. dated as of June 5, 2003 (incorporated by reference to Exhibit 3.2 from the company’s annual report on Form 20-F for the year ended December 31, 2002 filed with the Securities and Exchange Commission on June 27, 2003)
2.1 Specimen American Depositary Receipt of NetEase.com, Inc. (incorporated by reference to Exhibit 4.1 from Amendment No. 1 to the company’s Registration Statement on Form F-1 (file no. 333-11724) filed with the Securities and Exchange Commission on May 15, 2000)
2.2 Specimen Stock Certificate of NetEase.com, Inc. (incorporated by reference to Exhibit 4.2 from Amendment No. 1 to the company’s Registration Statement on Form F-1 (file no. 333-11724) filed with the Securities and Exchange Commission on May 15, 2000)
3.1 Shareholder Voting Rights Trust Agreement dated May 12, 2000 among William Lei Ding, Bo Ding and NetEase Information Technology (Beijing) Co., Ltd. (incorporated by reference to Exhibit 10.40 from Amendment No. 1 to the company’s Registration Statement on Form F-1 (file no. 333-11724) filed with the Securities and Exchange Commission on May 15, 2000)
4.1 1999 Stock Incentive Plan and Form of Stock Option Agreement (incorporated by reference to Exhibit 10.1 from the company’s Registration Statement on Form F-1 (file no. 333-11724) filed with the Securities and Exchange Commission on March 27, 2000)
4.2 Amended and Restated 2000 Stock Incentive Plan and Form of Stock Option Agreement (including standard and non-standard form) (incorporated by reference to Exhibit 4.2 from the company’s Annual Report on Form 20-F for the year ended December 31, 2000 filed with the Securities and Exchange Commission on August 31, 2001)
4.3 Employment Agreement dated August 13, 1999 between NetEase.com, Inc. and William Lei Ding (incorporated by reference to Exhibit 10.2 from the company’s Registration Statement on Form F-1 (file no. 333-11724) filed with the Securities and Exchange Commission on March 27, 2000)
4.4 Addendum to Employment Agreement between NetEase.com, Inc. and William Ding dated May 1, 2003 (incorporated by reference to Exhibit 4.4 from the company’s annual report on Form 20-F for the year ended December 31, 2002 filed with the Securities and Exchange Commission on June 27, 2003)
4.5 Employment Agreement dated April 1, 2002 between NetEase.com, Inc. and Denny Lee (incorporated by reference to Exhibit 4.5 from the company’s annual report on Form 20-F for the year ended December 31, 2002 filed with the Securities and Exchange Commission on June 27, 2003)

 

111


Table of Contents
4.6 Employment Agreement dated September 11, 2001 between NetEase.com, Inc. and Ted Sun (incorporated by reference to Exhibit 4.6 from the company’s Annual Report on Form 20-F for the year ended December 31, 2001 filed with the Securities and Exchange Commission on June 21, 2002)
4.7 Employment Agreement dated June 25, 2003 between NetEase.com, Inc. and Michael Tong (incorporated by reference to Exhibit 4.7 from the company’s annual report on Form 20-F for the year ended December 31, 2002 filed with the Securities and Exchange Commission on June 27, 2003)
4.8 Asset Purchase Agreement dated September 1, 1999 between Guangzhou NetEase Computer System Co., Ltd. and NetEase Information Technology (Beijing) Co., Ltd. (incorporated by reference to Exhibit 10.4 from the company’s Registration Statement on Form F-1 (file no. 333-11724) filed with the Securities and Exchange Commission on March 27, 2000)
4.9 Supplemental Agreement to Asset Purchase Agreement dated as of September 24, 1999 between Guangzhou NetEase Computer System Co., Ltd. and NetEase Information Technology (Beijing) Co., Ltd. (incorporated by reference to Exhibit 10.5 from the company’s Registration Statement on Form F-1 (file no. 333-11724) filed with the Securities and Exchange Commission on March 27, 2000)
4.10 Domain Name License Agreement dated February 3, 2000 between NetEase.com, Inc. and Guangzhou NetEase Computer System Co., Ltd. (incorporated by reference to Exhibit 10.7 from the company’s Registration Statement on Form F-1 (file no. 333-11724) filed with the Securities and Exchange Commission on March 27, 2000)
4.11 Copyright License Agreement dated February 3, 2000 between NetEase Information Technology (Beijing) Co., Ltd. and Guangzhou NetEase Computer System Co., Ltd. (incorporated by reference to Exhibit 10.8 from the company’s Registration Statement on Form F-1 (file no. 333-11724) filed with the Securities and Exchange Commission on March 27, 2000)
4.12 Trademark License Agreement dated February 3, 2000 between NetEase Information Technology (Beijing) Co., Ltd. and Guangzhou NetEase Computer System Co., Ltd. (incorporated by reference to Exhibit 10.9 from the company’s Registration Statement on Form F-1 (file no. 333-11724) filed with the Securities and Exchange Commission on March 27, 2000)
4.13 Supplemental Agreement (to Copyright License Agreement, Domain Name License Agreement and Exclusive Technical Services Master Agreement) dated April 27, 2000 between NetEase Information Technology (Beijing) Co., Ltd. and Guangzhou NetEase Computer System Co., Ltd. (incorporated by reference to Exhibit 10.10 from Amendment No. 1 to the company’s Registration Statement on Form F-1 (file no. 333-11724) filed with the Securities and Exchange Commission on May 15, 2000)
4.14 Exclusive Technical Services Master Agreement dated February 3, 2000 between NetEase Information Technology (Beijing) Co., Ltd. and Guangzhou NetEase Computer System Co., Ltd. (incorporated by reference to Exhibit 10.11 from the company’s Registration Statement on Form F-1 (file no. 333-11724) filed with the Securities and Exchange Commission on March 27, 2000)
4.15 Notice of Renewal dated April 2, 2001 relating to the Copyright License Agreement, the Trademark License Agreement and the Exclusive Technical Services Master Agreement, each dated February 3, 2000 and made between NetEase Information Technology (Beijing)

 

112


Table of Contents
  Co., Ltd. and Guangzhou NetEase Computer System Co., Ltd. (incorporated by reference to Exhibit 4.14 from the company’s Annual Report on Form 20-F for the year ended December 31, 2000 filed with the Securities and Exchange Commission on August 31, 2001)
4.16 Exclusive Consulting and Services Agreement dated February 3, 2000 between NetEase Information Technology (Beijing) Co., Ltd. and Beijing Guangyitong Advertising Co., Ltd. (incorporated by reference to Exhibit 10.12 from the company’s Registration Statement on Form F-1 (file no. 333-11724) filed with the Securities and Exchange Commission on March 27, 2000)
4.17 Notice of Renewal dated April 2, 2001 relating to the Exclusive Consulting and Services Agreement dated February 3, 2000 and made between NetEase Information Technology (Beijing) Co., Ltd. and Beijing Guangyitong Advertising Co., Ltd. (incorporated by reference to Exhibit 4.16 from the company’s Annual Report on Form 20-F for the year ended December 31, 2000 filed with the Securities and Exchange Commission on August 31, 2001)
4.18 Exclusive Advertising Agency Agreement dated February 3, 2000 between Guangzhou NetEase Computer System Co., Ltd. and NetEase.com, Inc. (incorporated by reference to Exhibit 10.13 from the company’s Registration Statement on Form F-1 (file no. 333-11724) filed with the Securities and Exchange Commission on March 27, 2000)
4.19 Notice of Renewal dated April 2, 2001 relating to the Exclusive Advertising Agency Agreement dated February 3, 2000 between Guangzhou NetEase Computer System Co., Ltd. and NetEase.com, Inc. (incorporated by reference to Exhibit 4.18 from the company’s Annual Report on Form 20-F for the year ended December 31, 2000 filed with the Securities and Exchange Commission on August 31, 2001)
4.20 Trademark Transfer Agreement dated March 29, 2000 between Guangzhou NetEase Computer System Co., Ltd. and NetEase Information Technology (Beijing) Co., Ltd. (incorporated by reference to Exhibit 10.14 from Amendment No. 1 to the company’s Registration Statement on Form F-1 (file no. 333-11724) filed with the Securities and Exchange Commission on May 15, 2000)
4.21 Online Advertising Agreement dated February 15, 2000 between Guangzhou NetEase Computer System Co., Ltd. and Beijing Guangyitong Advertising Co., Ltd. (incorporated by reference to Exhibit 10.15 from the company’s Registration Statement on Form F-1 (file no. 333-11724) filed with the Securities and Exchange Commission on March 27, 2000)
4.22 Notice of Renewal dated April 2, 2001 relating to the Online Advertising Agreement dated February 15, 2000 and made between Guangzhou NetEase Computer System Co., Ltd. and Beijing Guangyitong Advertising Co., Ltd. (incorporated by reference to Exhibit 4.21 from the company’s Annual Report on Form 20-F for the year ended December 31, 2000 filed with the Securities and Exchange Commission on August 31, 2001)
4.23 Tenancy Agreement dated October 31, 2002 between NetEase Information Technology (Beijing) Co., Ltd. and Beijing Oriental Plaza Co., Ltd. (incorporated by reference to Exhibit 4.24 from the company’s Annual Report on Form 20-F for the year ended December 31, 2002 filed with the Securities and Exchange Commission on June 27, 2003)
4.24 Supplemental Agreement dated May 10, 2000 (amending the Domain Name License Agreement) between NetEase.com, Inc. and Guangzhou NetEase Computer System Co., Ltd. (incorporated by reference to Exhibit 10.37 from Amendment No. 1 to the company’s Registration Statement on Form F-1 (file no. 333-11724) filed with the Securities and Exchange Commission on May 15, 2000)

 

113


Table of Contents
4.25 Agreement dated May 11, 2000 between NetEase Information Technology (Beijing) Co., Ltd. and Guangzhou NetEase Computer System Co., Ltd. (incorporated by reference to Exhibit 10.41 from Amendment No. 1 to the company’s Registration Statement on Form F-1 (file no. 333-11724) filed with the Securities and Exchange Commission on May 15, 2000)
4.26 Operating Agreement dated May 10, 2000 among NetEase Information Technology (Beijing) Co., Ltd., Beijing Guangyitong Advertising Co., Ltd., Bo Ding and William Lei Ding (incorporated by reference to Exhibit 10.42 from Amendment No. 1 to the company’s Registration Statement on Form F-1 (file no. 333-11724) filed with the Securities and Exchange Commission on May 15, 2000)
4.27 Supplemental Agreement dated May 12, 2000 (supplementing the Online Advertising Agreement dated February 15, 2000) between Guangzhou NetEase Computer System Co., Ltd. and Beijing Guangyitong Advertising Co., Ltd. (incorporated by reference to Exhibit 10.47 from Amendment No. 1 to the company’s Registration Statement on Form F-1 (file no. 333-11724) filed with the Securities and Exchange Commission on May 15, 2000)
4.28 Supplemental Agreement dated May 15, 2000 (supplementing the Domain Name License Agreement dated February 3, 2000) between NetEase.com, Inc. and Guangzhou NetEase Computer System Co., Ltd. (incorporated by reference to Exhibit 10.48 from Amendment No. 1 to the company’s Registration Statement on Form F-1 (file no. 333-11724) filed with the Securities and Exchange Commission on May 15, 2000)
4.29 Letter of Agreement, dated June 6, 2000, among William Lei Ding, Bo Ding and NetEase.com, Inc. (incorporated by reference to Exhibit 10.49 from Amendment No. 2 to the company’s Registration Statement on Form F-1 (file no. 333-11724) filed with the Securities and Exchange Commission on June 15, 2000)
4.30 Supplemental Agreement dated June 15, 2000 (supplementing the Online Advertising Agreement dated February 15, 2000), between Beijing Guangyitong Advertising Co., Ltd. and Guangzhou NetEase Computer System Co., Ltd. (incorporated by reference to Exhibit 10.50 from Amendment No. 2 to the company’s Registration Statement on Form F-1 (file no. 333-11724) filed with the Securities and Exchange Commission on June 15, 2000)
4.31 Supplemental Agreement dated June 15, 2000 (supplementing the Exclusive Consulting and Services Agreement dated February 3, 2000), between NetEase Information Technology (Beijing) Co., Ltd. and Beijing Guangyitong Advertising Co., Ltd. (incorporated by reference to Exhibit 10.51 from Amendment No. 2 to the company’s Registration Statement on Form F-1 (file no. 333-11724) filed with the Securities and Exchange Commission on June 15, 2000)
4.32 Trademark Assignment Agreement dated August 17, 2001 between Guangzhou NetEase Computer System Co., Ltd. and NetEase Information Technology (Beijing) Co., Ltd and its Supplemental Agreement dated August 27, 2001 (incorporated by reference to Exhibit 4.53 from the company’s Annual Report on Form 20-F for the year ended December 31, 2000 filed with the Securities and Exchange Commission on August 31, 2001)
4.33 Registration Rights Agreement, dated as of July 8, 2003, between NetEase.com, Inc. and Credit Suisse First Boston LLC (incorporated by reference to Exhibit 4.3 from the company’s Registration Statement on Form F-3 (file no. 333-109628) filed with the Securities and Exchange Commission on October 10, 2003)

 

114


Table of Contents
4.34 Indenture, dated as of July 14, 2003, by and between NetEase.com, Inc. and The Bank of New York (incorporated by reference to Exhibit 4.4 from the company’s Registration Statement on Form F-3 (file no. 333-109628) filed with the Securities and Exchange Commission on October 10, 2003)
4.35 Lease Contract dated November 25, 2003 between Beijing Qingyun International Research and Development Center (with supplemental agreement dated November 25, 2003)
8.1 Subsidiaries of NetEase.com, Inc.
10.1 Translation of Monternet SMS Cooperation Agreement effective as of May 1, 2003 between Beijing China Mobile Communications Company Limited and Guangzhou NetEase Computer System Co., Ltd.
10.2 Translation of Cooperation Agreement dated April 22, 2003 between China Unicom Co., Ltd. and Guangzhou NetEase Computer System Co., Ltd.
10.3 Translation of Supplemental Agreement on Mobile Data Service dated as of July 29, 2003 between China Unicom Co., Ltd. and Guangzhou NetEase Computer System Co., Ltd.
10.4 Purchase Agreement, dated as of July 8, 2003, between NetEase.com, Inc. and Credit Suisse First Boston LLC (incorporated by reference to Exhibit 10.1 from the company’s Registration Statement on Form F-3 (file no. 333-109628) filed with the Securities and Exchange Commission on October 10, 2003)
11.1 Code of Business Conduct
12.1 Certification of Chief Executive Officer Required by Rule 13a-14(a)
12.2 Certification of Chief Financial Officer Required by Rule 13a-14(a)
13.1 Certification of Chief Executive Officer Required by Rule 13a-14(b) and Section 1350 of Chapter 63 of Title 18 of the United States Code
13.2 Certification of Chief Financial Officer Required by Rule 13a-14(b) and Section 1350 of Chapter 63 of Title 18 of the United States Code
15.1 Charter of Audit Committee of the Board of Directors of the Registrant
23.1 Consent of PricewaterhouseCoopers Zhong Tian Limited Company, Independent Public Accountants
23.2 Consent of Maples and Calder Asia
23.3 Consent of Commerce & Finance Law Office

 

115


Table of Contents

SIGNATURES

 

The registrant hereby certifies that it meets all of the requirements for filing on Form 20-F and that it has duly caused and authorized the undersigned to sign this annual report on its behalf.

 

NETEASE.COM, INC.

By:

 

/s/ Denny Lee


  

Denny Lee

  

Chief Financial Officer

 

Dated: June 28, 2004

 

116


Table of Contents

NETEASE.COM, INC.

 

INDEX TO CONSOLIDATED FINANCIAL STATEMENTS

 

Reports of independent public accountants

  F2 - F3

Consolidated balance sheets at December 31, 2002 and 2003

  F4

Consolidated statements of operations and comprehensive income (loss) for the years ended December 31, 2001, 2002 and 2003

  F5

Consolidated statements of shareholders’ equity for the years ended December 31, 2001, 2002 and 2003

  F6 - F7

Consolidated statements of cash flows for the years ended December 31, 2001, 2002 and 2003

  F8 - F9

Notes to the consolidated financial statements

  F10 - F36

 

F-1


Table of Contents

Reports of Independent Public Accountants

 

To the Board of Directors and Shareholders of NetEase.com, Inc.:

 

In our opinion, the accompanying consolidated balance sheets and the related consolidated statements of operations and comprehensive income, of shareholders’ equity and of cash flows expressed in Chinese Renminbi (“RMB”) present fairly, in all material respects, the financial position of NetEase.com, Inc. as of December 31, 2002 and 2003, and the results of its operations and its cash flows for each of the two years ended December 31, 2002 and 2003, in conformity with generally accepted accounting principles in the United States of America. These financial statements are the responsibility of NetEase.com, Inc.’s management; our responsibility is to express an opinion on these financial statements based on our audits. We conducted our audits of these statements in accordance with the standards of the Public Company Accounting Oversight Board (United States), which require that we plan and perform the audits to obtain reasonable assurance about whether the financial statements are free of material misstatement. An audit includes examining, on a test basis, evidence supporting the amounts and disclosures in the financial statements, assessing the accounting principles used and significant estimates made by management, and evaluating the overall financial statement presentation. We believe that our audits provide a reasonable basis for our opinion. The financial statements of NetEase.com, Inc. for the year ended December 31, 2001 were audited by other independent accountants who have ceased operations. Those independent accountants expressed an unqualified opinion on those financial statements in their report dated April 2, 2002.

 

PricewaterhouseCoopers Zhong Tian Limited Company

 

Beijing, People’s Republic of China

June 2, 2004

 

F-2


Table of Contents

The following report is a copy of a report previously issued by Arthur Andersen • Hua Qiang and has not been reissued by Arthur Andersen • Hua Qiang

 

To the Board of Directors and Shareholders of NetEase.com, Inc.:

 

We have audited the accompanying consolidated balance sheets of NetEase.com, Inc. (a Cayman Islands corporation) as of December 31, 2000 and 2001* and the related consolidated statements of operations and comprehensive loss, shareholders’ equity and cash flows for the years ended December 31, 1999, 2000* and 2001 expressed in Chinese Renminbi (“RMB”). These financial statements are the responsibility of NetEase.com, Inc.’s management. Our responsibility is to express an opinion on these financial statements based on our audits.

 

We conducted our audits in accordance with generally accepted auditing standards in the United States of America. Those standards require that we plan and perform the audits to obtain reasonable assurance about whether the financial statements are free of material misstatement. An audit includes examining, on a test basis, evidence supporting the amounts and disclosures in the financial statements. An audit also includes assessing the accounting principles used and significant estimates made by management, as well as evaluating the overall financial statement presentation. We believe that our audits provide a reasonable basis for our opinion.

 

In our opinion, the consolidated financial statements referred to above present fairly, in all material respects, the financial position of NetEase.com, Inc. as of December 31, 2000 and 2001* and the results of its operations and its cash flows for the years ended December 31, 1999, 2000* and 2001 in conformity with generally accepted accounting principles in the United States of America.

 

Without qualifying our opinion, we draw attention to Note 17 to the consolidated financial statements which indicates that the Company and certain of its current and former officers and directors are defendants of four substantially identical purported class action complaints alleging violations of the federal securities laws and committing securities fraud in the United States District Court for the Southern District of New York. At the present time, the Company cannot estimate what damages, if any, may be payable in connection with this litigation. The ultimate resolution of this matter may have a material adverse impact on the results of operations in the period in which it is resolved.

 

ARTHUR ANDERSEN • HUA QIANG

Beijing, People’s Republic of China

April 2, 2002

 


*The Company’s consolidated balance sheets as of December 31, 2000 and 2001, consolidated statements of operations and comprehensive loss, shareholders’ equity and cash flows for the years ended December 31, 1999 and 2000 are not included in this report as they are not required.

 

F-3


Table of Contents

Consolidated Balance Sheets

 

   Note

  December 31,
2002


  December 31,
2003


  December 31,
2003


 
      RMB  RMB  US$ 

Assets

             

Current assets:

             

Cash

     560,069,711  1,356,069,544  163,841,814 

Restricted cash

  4  1,208,305  —    —   

Held-to-maturity investments

  5  —    332,093,546  40,123,908 

Prepayments and other current assets

  6  6,110,689  19,749,369  2,386,140 

Due from related parties, net of allowance for doubtful accounts of RMB8,703,307 and RMB10,157,789 (US$1,227,275) at December 31, 2002 and 2003, respectively

  7, 8  22,448,509  15,182,589  1,834,377 

Deferred tax assets

  11  —    9,669,543  1,168,284 
      

 

 

Total current assets

     589,837,214  1,732,764,591  209,354,523 
      

 

 

Non-current assets:

             

Rental deposit

     1,065,912  1,430,544  172,840 

Property, equipment and software, net

  9  26,379,182  40,410,264  4,882,413 

Deferred tax assets

  11  2,395,888  —    —   

Deferred assets

  2(o)  —    12,086,693  1,460,328 
      

 

 

Total non-current assets

     29,840,982  53,927,501  6,515,581 
      

 

 

Total assets

     619,678,196  1,786,692,092  215,870,104 
      

 

 

Liabilities & Shareholders’ Equity

             

Current liabilities:

             

Accounts payable

     3,814,614  10,738,090  1,297,388 

Salary and welfare payable

  10  16,023,380  17,405,624  2,102,967 

Taxes payable

  12  8,252,950  15,976,342  1,930,279 

Deferred revenue

     165,115  —    —   

Accrued liabilities

  13  10,398,385  11,698,761  1,413,457 

Due to a related party, net

  7  —    21,947,411  2,651,710 
      

 

 

Total current liabilities

     38,654,444  77,766,228  9,395,801 
      

 

 

Long-term payable:

             

Zero Coupon Convertible Subordinated Notes due July 15, 2023

  14  —    827,670,000  100,000,000 

Other long-term payable

     —    231,449  27,964 
      

 

 

Total long-term payable

     —    827,901,449  100,027,964 
      

 

 

Total liabilities

     38,654,444  905,667,677  109,423,765 
      

 

 

Commitments and contingencies

  19          

Shareholders’ equity:

             

Ordinary shares, US$0.0001 par value: 1,000,300,000,000 shares authorized, 3,100,162,537 shares issued and outstanding as of December 31, 2002, and 3,128,958,189 shares issued and outstanding as of December 31, 2003

  16  2,566,543  2,589,756  312,897 

Additional paid-in capital

  16  1,049,651,354  993,254,740  120,006,130 

Less: Subscriptions receivable

  15  (33,113,848) —    —   

Statutory reserves

  2(n)  —    33,699,834  4,071,651 

Deferred compensation

  17  (474,739) (69,175) (8,358)

Translation adjustments

     228,910  210,838  25,474 

Accumulated deficit

     (437,834,468) (148,661,578) (17,961,455)
      

 

 

Total shareholders’ equity

     581,023,752  881,024,415  106,446,339 
      

 

 

Total liabilities and shareholders’ equity

     619,678,196  1,786,692,092  215,870,104 
      

 

 

 

The accompanying notes are an integral part of these consolidated financial statements.

 

F-4


Table of Contents

Consolidated Statements of Operations and Comprehensive Income (Loss)

 

   

Note


 For the year ended December 31,

 
    2001

  2002

  2003

  2003

 
     RMB  RMB  RMB  US$ 

Revenues:

               

Online game services

    —    37,053,414  203,246,114  24,556,419 

Wireless value-added and other fee-based premium services

  20 14,136,369  161,305,678  279,659,170  33,788,729 

Advertising services

    14,163,952  34,209,376  86,183,733  10,412,813 
     

 

 

 

     28,300,321  232,568,468  569,089,017  68,757,961 

Business tax

  11(b) (2,274,784) (11,627,216) (26,954,502) (3,256,673)
     

 

 

 

Net revenues

  20 26,025,537  220,941,252  542,134,515  65,501,288 
     

 

 

 

Cost of revenues

  20 (60,058,488) (71,677,574) (85,462,717) (10,325,699)
     

 

 

 

Gross profit (Loss on revenues)

    (34,032,951) 149,263,678  456,671,798  55,175,589 

Operating expenses:

               

Selling, general and administrative expenses

    (181,765,047) (94,307,613) (110,770,403) (13,383,402)

Research and development expenses

    (13,322,789) (14,184,724) (19,120,827) (2,310,199)

Asset impairment loss

    (2,766,543) (746,857) —    —   

Class action settlement

  19(c) —    (36,005,385) —    —   
     

 

 

 

Total operating expenses

    (197,854,379) (145,244,579) (129,891,230) (15,693,601)
     

 

 

 

Operating profit (loss)

    (231,887,330) 4,019,099  326,780,568  39,481,988 

Other income (expenses):

               

Investments impairment loss

  2(h) (8,924,381) —    —    —   

Investment income

    —    —    538,278  65,035 

Interest income

    17,571,187  7,562,322  11,273,685  1,362,099 

Interest expenses

    (9,882,874) (1,401,041) —    —   

Other, net

    (40,516) 3,725,370  5,410,171  653,663 
     

 

 

 

Profit (Loss) before tax

    (233,163,914) 13,905,750  344,002,702  41,562,785 

Income tax benefit (expense)

  11 —    2,395,888  (21,129,978) (2,552,947)
     

 

 

 

Net profit (loss)

    (233,163,914) 16,301,638  322,872,724  39,009,838 
     

 

 

 

Other comprehensive income (loss)

               

Currency translation adjustments

    565,913  11,583  (18,072) (2,183)
     

 

 

 

Comprehensive income (loss)

    (232,598,001) 16,313,221  322,854,652  39,007,655 
     

 

 

 

Net earnings (loss) per share, basic

  18 (0.08) 0.01  0.10  0.01 
     

 

 

 

Net earnings (loss) per ADS, basic

    (7.74) 0.53  10.34  1.25 
     

 

 

 

Net earnings (loss) per share, diluted

  18 (0.08) 0.01  0.10  0.01 
     

 

 

 

Net earnings (loss) per ADS, diluted

    (7.74) 0.52  9.78  1.18 
     

 

 

 

Weighted average number of ordinary shares outstanding, basic

  18 3,013,419,400  3,051,395,100  3,122,257,952  3,122,257,952 
     

 

 

 

Weighted average number of ADS outstanding, basic

    30,134,194  30,513,951  31,222,580  31,222,580 
     

 

 

 

Weighted average number of ordinary shares outstanding, diluted

  18 3,013,419,400  3,127,837,900  3,301,311,499  3,301,311,499 
     

 

 

 

Weighted average number of ADS outstanding, diluted

    30,134,194  31,278,379  33,013,115  33,013,115 
     

 

 

 

Share compensation cost included in:

               

Cost of revenues

  16,17 —    (1,908,125) —    —   

Selling, general and administrative expenses

    (204,423) (1,522,369) (151,166) (18,264)

Research and development expenses

    (2,153,335) (376,364) (88,236) (10,661)
     

 

 

 

     (2,357,758) (3,806,858) (239,402) (28,925)
     

 

 

 

 

The accompanying notes are an integral part of these consolidated financial statements.

 

F-5


Table of Contents

Consolidated Statements of Shareholders’ Equity

 

  Ordinary shares

 

Additional

paid-in capital


  Subscriptions
receivable


  Deferred
compensation


  Statutory
reserves


 Accumulated
deficit


  Translation
adjustments


  Total
shareholders’
equity


 
  Share

 Amount

       
    RMB RMB     RMB  RMB RMB  RMB  RMB 

Balance as of December 31, 2000

 3,010,555,600 2,492,350 1,076,505,358  (47,829,909) (37,306,585) —   (220,972,192) (348,586) 772,540,436 

Collection of subscriptions receivable for Series B preference shares issued in 2000

 —   —   —    6,289,940  —    —   —    —    6,289,940 

Ordinary shares issued to a senior officer of the Company as compensation (see Note 16)

 11,250,000 9,315 1,334,529  —    (739,265) —   —    —    604,579 

Ordinary shares issued for services to be provided by certain employees (see Note 16)

 2,369,592 1,961 799,160  —    (555,914) —   —    —    245,207 

Share compensation cost

 —   —   (33,749,218) —    35,257,190  —   —    —    1,507,972 

Provision for uncollectible subscriptions receivable

 —   —   —    6,439,401  —    —   —    —    6,439,401 

Net loss

 —   —   —    —    —    —   (233,163,914) —    (233,163,914)

Translation adjustments

 —   —   —    —    —    —   —    565,913  565,913 
  
 
 

 

 

 
 

 

 

Balance as of December 31, 2001

 3,024,175,192 2,503,626 1,044,889,829  (35,100,568) (3,344,574) —   (454,136,106) 217,327  555,029,534 

Collection of subscriptions receivable for Series B preference shares issued in 2000

 —   —   —    1,986,720  —    —   —    —    1,986,720 

Ordinary shares issued to a senior officer of the Company as compensation (see Note 16)

 11,250,000 9,315 (9,315) —    604,729  —   —    —    604,729 

Ordinary shares issued for services to be provided by certain employees (see Note 16)

 15,959,245 13,214 625,056  —    467,631  —   —    —    1,105,901 

Ordinary shares issued upon exercise of employee stock options

 48,778,100 40,388 3,847,031  —    —    —   —    —    3,887,419 

Share compensation cost

 —   —   298,753  —    1,797,475  —   —    —    2,096,228 

Net profit

 —   —   —    —    —    —   16,301,638  —    16,301,638 

Translation adjustments

 —   —   —    —    —    —   —    11,583  11,583 
  
 
 

 

 

 
 

 

 

Balance as of December 31, 2002

 3,100,162,537 2,566,543 1,049,651,354  (33,113,848) (474,739) —   (437,834,468) 228,910  581,023,752 

 

The accompanying notes are an integral part of these consolidated financial statements.

 

F-6


Table of Contents

Consolidated Statements of Shareholders’ Equity (Cont’d.)

 

  Ordinary shares

  

Additional

paid-in
capital


  Subscriptions
receivable


 Deferred
compensation


  Statutory
reserves


 Accumulated
deficit


  Translation
adjustments


  Total
shareholders’
equity


 
  Share

  Amount

        
     RMB  RMB    RMB  RMB RMB  RMB  RMB 

Repurchase of 27,142,000 ordinary shares and collection of outstanding subscriptions receivable (Note 16)

 (27,142,000) (22,891) (71,248,494) 33,113,848 —    —   —    —    (38,157,537)

Ordinary shares issued to a senior officer of the Company as compensation (see Note 16)

 2,500,000  2,070  (2,070) —   134,060  —   —    —    134,060 

Ordinary shares issued for services to be provided by certain employees (see Note 16)

 853,952  707  (707) —   88,236  —   —    —    88,236 

Share compensation cost

 —    —    —    —   111,856  —   —    —    111,856 

Reversal of deferred compensation arising from options due to employee resignation

 —    —    (166,162) —   71,412  —   —    —    (94,750)

Appropriation to statutory reserves

 —    —    —    —   —    33,699,834 (33,699,834) —    —   

Ordinary shares issued upon exercise of employee stock options

 52,583,700  43,327  15,020,819  —   —    —   —    —    15,064,146 

Net profit

 —    —    —    —   —    —   322,872,724  —    322,872,724 

Translation adjustments

 —    —    —    —   —    —   —    (18,072) (18,072)
  

 

 

 
 

 
 

 

 

Balance as of December 31, 2003

 3,128,958,189  2,589,756  993,254,740  —   (69,175) 33,699,834 (148,661,578) 210,838  881,024,415 
  

 

 

 
 

 
 

 

 

 

The accompanying notes are an integral part of these consolidated financial statements.

 

F-7


Table of Contents

Consolidated Statements of Cash Flows

 

   For the year ended December 31,

 
   2001

  2002

  2003

  2003

 
   RMB  RMB  RMB  US$ 

Cash flows from operating activities:

             

Net profit (loss)

  (233,163,914) 16,301,638  322,872,724  39,009,838 

Adjustments for:

             

Depreciation

  17,334,794  21,797,267  17,429,212  2,105,817 

Share compensation cost

  2,357,758  3,806,858  239,402  28,925 

Provision for doubtful debts

  7,105,038  3,254,783  3,551,682  429,118 

Amortization of issuance cost of convertible bonds

  —    —    3,511,275  424,234 

Write down of investment in convertible note

  2,069,475  —    —    —   

Write down of investment in convertible preference shares

  6,854,906  —    —    —   

Write down of property, equipment and software

  2,766,543  746,857  —    —   

Provision for uncollectible subscriptions receivable

  6,439,401  —    —    —   

Decrease in accounts receivable

  684,888  —    —    —   

(Increase) decrease in prepayments and other current assets

  5,689,171  3,025,673  (5,798,662) (700,601)

(Increase) decrease in due from/to related parties

  (4,839,276) (23,413,088) 25,661,649  3,100,469 

(Increase) decrease in deferred assets

  (109,945) 783,352  —    —   

Increase in deferred tax assets

  —    (2,395,888) (7,273,655) (878,811)

Increase (decrease) in accounts payable

  5,553,994  (9,301,828) 3,288,082  397,269 

Increase in salary and welfare payable

  3,204,174  6,087,169  1,382,244  167,004 

Increase in taxes payable

  765,827  6,480,019  7,723,392  933,149 

Increase (decrease) in deferred revenue

  (558,739) 165,115  (165,115) (19,949)

Increase (decrease) in accrued liabilities

  (7,843,607) (539,565) 1,300,376  157,113 
   

 

 

 

Net cash provided by (used in) operating activities

  (185,689,512) 26,798,362  373,722,606  45,153,575 
   

 

 

 

Cash flows from investing activities:

             

Increase in held-to-maturity investments

  —    —    (332,093,546) (40,123,908)

(Increase) decrease in temporary cash investments

  (45,521,300) 45,521,300  —    —   

Purchase of property, equipment and software

  (21,095,334) (12,567,218) (27,824,900) (3,361,835)

Increase in investment in convertible note

  (1,241,665) —    —    —   

Proceeds from disposal of convertible preference shares

  —    9,701,293  —    —   

(Increase) decrease in non-current rental deposit

  595,223  21,575  (364,632) (44,055)
   

 

 

 

Net cash (used in) provided by investing activities

  (67,263,076) 42,676,950  (360,283,078) (43,529,798)
   

 

 

 

 

The accompanying notes are an integral part of these consolidated financial statements.

 

F-8


Table of Contents

Consolidated Statements of Cash Flows (Cont’d.)

 

   For the year ended December 31,

 
   2001

  2002

  2003

  2003

 
   RMB  RMB  RMB  US$ 

Cash flows from financing activities:

             

Proceeds from short-term bank loans

  123,800,000  —    —    —   

Repayment of short-term bank loans

  (152,400,000) (84,000,000) —    —   

Proceeds from issuance of ordinary shares upon exercise of employee stock options

  —    3,887,419  15,064,146  1,820,067 

Collection of subscriptions receivable for Series B preference shares issued in 2000 and collection of outstanding subscriptions receivable

  6,289,940  1,986,720  —    —   

Re-purchase of ordinary shares

  —    —    (38,157,537) (4,610,236)

Proceeds from issuance of Zero Coupon Convertible Subordinated Notes

  —    —    827,670,000  100,000,000 

Increase in other long-term payable

  —    —    231,449  27,964 

Payment for issuance cost of convertible notes

  —    —    (23,437,986) (2,831,803)
   

 

 

 

Net cash provided by (used in) financing activities

  (22,310,060) (78,125,861) 781,370,072  94,405,992 
   

 

 

 

Effect of exchange rate changes on cash

  565,913  11,583  (18,072) (2,183)
   

 

 

 

Net increase (decrease) in cash

  (274,696,735) (8,638,966) 794,791,528  96,027,586 

Decrease in restricted cash

  45,744,257  89,100,143  1,208,305  145,989 

Cash, beginning of year

  708,561,012  479,608,534  560,069,711  67,668,239 
   

 

 

 

Cash, end of year

  479,608,534  560,069,711  1,356,069,544  163,841,814 
   

 

 

 

Supplemental disclosures of cash flow information:

             

Cash paid during the year for income taxes

  —    —    20,793,510  2,512,295 
   

 

 

 

Cash paid during the year for interest

  8,726,640  1,057,225  —    —   
   

 

 

 

Supplemental schedule of non-cash investing and financing activities:

             

Compensation costs, arising from transfer of ordinary shares and issuance of stock options in the Company to employees and certain consultants of the Company (see Notes 16 and 17)

  2,357,758  3,806,858  239,402  28,925 
   

 

 

 

 

The accompanying notes are an integral part of these consolidated financial statements.

 

F-9


Table of Contents

Notes to the Consolidated Financial Statements

 

(Amounts expressed in renminbi (“RMB”), unless otherwise stated)

 

1. Organization and Nature of Operations

 

(a) The Group

 

NetEase.com, Inc. (the “Company”) was incorporated in the Cayman Islands on July 6, 1999. As of December 31, 2003, the Company had six wholly owned subsidiaries, NetEase Information Technology (Beijing) Co., Ltd., NetEase Information Technology (Shanghai) Co., Ltd., NetEase (U.S.) Inc., NetEase Interactive Entertainment Ltd., Guangzhou NetEase Interactive Entertainment Ltd. and Guangzhou Boguan Telecommunication Technology Ltd. The Company and these controlled entities are hereinafter collectively referred to as the “Group”.

 

Details of the controlled entities are described below:

 

Name


  

Place and date of incorporation


NetEase Information Technology (Beijing) Co., Ltd. (“NetEase Beijing”)

  

Beijing, China

August 30, 1999,

NetEase Information Technology (Shanghai) Co., Ltd. (“NetEase Shanghai”)

  

Shanghai, China

May 14, 2000

NetEase (U.S.) Inc. (“NetEase US”)

  

Delaware, United States of America

September 10, 1999

NetEase Interactive Entertainment Ltd. (“NetEase Interactive”)

  

British Virgin Islands

April 12, 2002

Guangzhou NetEase Interactive Entertainment Ltd. (“Guangzhou Interactive”)

  

Guangzhou, China

October 15, 2002

Guangzhou Boguan Telecommunication Technology Ltd.

  

Guangzhou, China

December 8, 2003

 

The accompanying consolidated financial statements include the financial statements of the Company and its controlled entities. The Company has been listed on the Nasdaq National Market in the United States since July 2000.

 

The Group is principally engaged in developing and providing a range of Internet-related services including online games, wireless value-added and other fee-based premium services and advertising services in China. The Group’s businesses were previously conducted by Guangzhou NetEase Computer System Co., Ltd. (“Guangzhou NetEase”), a limited liability company established in China and legally owned by the principal shareholder of the Company. Pursuant to a reorganization under common control transaction which took place in September 1999 and related agreements, NetEase Beijing took over the business previously owned by Guangzhou NetEase. The details of the business is described in note 1(b) and (c) below.

 

F-10


Table of Contents

(b) Nature of operations

 

The industry in which the Group operates is subject to a number of industry-specific risk factors, including, but not limited to, rapidly changing technologies; stringent rules imposed by the mobile operators; significant numbers of new entrants; dependence on key individuals; competition from similar services from larger companies; customer preferences; and the need for the continued successful development, marketing, and selling of its services.

 

The Group is currently targeting the Chinese market. The Chinese government regulates Internet access, telecommunications services, the distribution of news and other information and the provision of commerce through strict business licensing requirements and other governmental regulations, which include, among others, those restricting foreign ownership in Chinese companies providing Internet advertising and other Internet or telecommunications value-added services. To comply with the existing Chinese laws and regulations, the Group conducts substantially all of its operations through Guangzhou NetEase, Guangyitong Advertising Co., Ltd. (“Guangyitong Advertising”) and Guangzhou Ling Yi Electronics Technology Limited (“Ling Yi”). Guangzhou NetEase and Guangyitong Advertising are legally owned by two citizens of China, one of whom is the principal shareholder of the Company and the other is his brother, whereas Ling Yi is legally owned by two citizens of China, one of whom is the principal shareholder of the Company and the other is a former employee of the Group. Management is of the opinion that the Group’s businesses comply with existing Chinese laws and regulations. However, the interpretation and application of current or proposed requirements and regulations may have an adverse effect on the Group’s businesses, financial condition and results of operations.

 

The Group has a limited operating history and as a result, the Group is subject to risks associated with early stage companies in new and rapidly evolving markets. As of December 31, 2003, the Group had an accumulated deficit of approximately RMB148.7 million.

 

(c) Arrangements with Guangzhou NetEase, Guangyitong Advertising and Ling Yi

 

The Company and NetEase Beijing entered into a series of agreements with Guangzhou NetEase and Guangyitong Advertising with effect from year 2000. The Group also entered into a series of agreements with Ling Yi in May 2004 (see Note 21 for details). The major clauses of the significant agreements with Guangzhou NetEase and Guangyitong Advertising are described below.

 

Agreements with Guangzhou NetEase

 

The Group entered into a series of agreements with Guangzhou NetEase effective from year 2000. Under these agreements, the Group provides its Internet portal, wireless value-added and e-commerce technologies and advertising services to Guangzhou NetEase, and Guangzhou NetEase operates the NetEase Web Sites. These services include:

 

 Use of domain names;

 

 Use of copyrighted Web page layout;

 

 Use of registered trademarks; and

 

 Provision of technical and consulting services.

 

Under these agreements, substantially all of the income received by Guangzhou NetEase is paid to NetEase Beijing. In addition, NetEase Beijing has agreed to bear the operating costs of Guangzhou NetEase. The Group’s businesses are dependent upon Guangzhou NetEase which operates portion of the NetEase Web sites. Under the agreements with Guangzhou NetEase, the Group receives payments from Guangzhou NetEase for the technologies and services it provides. The effect of the accounting is that revenues that the Group records

 

F-11


Table of Contents

related to transactions with Guangzhou NetEase will not exceed the revenues that Guangzhou NetEase derives from unrelated parties. Transactions with Guangzhou NetEase are disclosed as related party transactions.

 

Agreements with Guangyitong Advertising

 

NetEase Beijing also entered into a series of agreements with Guangyitong Advertising and the ultimate legal owners of Guangyitong Advertising effective from year 2000. These agreements include:

 

 A ten-year irrevocable proxy given by the ultimate legal owners of Guangyitong Advertising which allows NetEase Beijing to exercise all of the shareholder voting rights of Guangyitong Advertising;

 

 An operating agreement providing for the following:

 

 Guangyitong Advertising will appoint only those individuals nominated by NetEase Beijing as its senior management personnel;

 

 The major decisions of Guangyitong Advertising have to be approved by NetEase Beijing, including those relating to financing, transfer of ownership interests, significant acquisitions, disposals or pledges of assets, and amendment and assignment of contracts;

 

 NetEase Beijing has a right to purchase the assets and business of Guangyitong Advertising at its net book value once it obtains the approval from the Chinese government to do so under Chinese laws; and

 

 NetEase Beijing will issue guarantees for the benefit of Guangyitong Advertising when considered necessary for Guangyitong Advertising’s operations;

 

 A ten-year exclusive consulting and services agreement providing for the following:

 

 NetEase Beijing is the exclusive provider of technical consulting and related services to Guangyitong Advertising for all the advertisements which Guangyitong Advertising will receive and publish on the NetEase Web sites; and

 

 NetEase Beijing is entitled to charge Guangyitong Advertising a monthly fee for the above services. The service fee may be unilaterally adjusted by NetEase Beijing such that NetEase Beijing may receive all of the profits and cash flows of Guangyitong Advertising;

 

 An undertaking by the principal shareholder of the Company and the ultimate legal owners of Guangyitong Advertising that they will not vote in any shareholders’ or directors’ meetings of the Company on any amendments or supplements to the agreements with Guangyitong Advertising except as directed by the Company’s board of directors.

 

Under these agreements, Guangyitong Advertising is fully dependent on the technical consulting and other services provided by NetEase Beijing to operate its online advertising business. Substantially all of the net profit earned by Guangyitong Advertising is paid to NetEase Beijing. Guangyitong Advertising is a related party because it is also 80% owned by the principal shareholder of the Company. The financial statements of Guangyitong Advertising are not consolidated with those of the Group because of the majority equity interest that the principal shareholder of the Company has in both the Company and Guangyitong Advertising. Transactions with Guangyitong Advertising are disclosed as related party transactions.

 

F-12


Table of Contents

2. Principal Accounting Policies

 

(a) Basis of consolidation

 

The consolidated financial statements include the financial statements of the Company and its controlled entities. All significant transactions and balances among the Company and its controlled entities have been eliminated upon consolidation.

 

(b) Basis of presentation

 

The accompanying consolidated financial statements have been prepared in accordance with generally accepted accounting principles in the United States of America (“US GAAP”). The consolidated financial statements are prepared based on the historical cost convention. This basis of accounting differs from that used in the statutory accounts of those entities within the Group established in China (“PRC Statutory Accounts”), which are prepared in accordance with accounting principles and the relevant financial regulations applicable to enterprises established in China (“PRC GAAP”).

 

The preparation of financial statements in conformity with US GAAP requires management to make estimates and assumptions that affect the reported amounts of assets and liabilities and disclosures of contingent assets and liabilities at the balance sheet dates and the reported amounts of revenues and expenses during the reporting periods. Actual results might differ from those estimates.

 

The principal differences between US GAAP and PRC GAAP applicable to the Group include the following:

 

Recognition of compensation costs arising from transfer of ordinary shares in the Company by the principal shareholder to certain members of senior management;

 

Recognition of compensation costs arising from grants of stock options and shares to the Company’s employees, directors, consultants and advisory board members;

 

Basis for revenue recognition; and

 

Tax effects related to the above adjustments and recognition of deferred tax assets.

 

(c) Revenue recognition

 

The Group has adopted the provisions of the Staff Accounting Bulletin 101, “Revenue Recognition”, in its accounting policy on revenue recognition.

 

Revenues presented in consolidated statements of operations and comprehensive income (loss) represent online game services, wireless value-added and other fee-based premium services and advertising services revenue recognized by Guangzhou NetEase and Guangyitong Advertising net of sales discount.

 

Online game services and wireless value-added and other fee-based premium services

 

The Group currently provides its online game services and wireless value-added and other fee-based premium services through Guangzhou NetEase, a related company (see Note 7). The Company derives online game services and wireless value-added and other fee-based premium services revenues from technical services provided to Guangzhou NetEase which operates the NetEase Web sites for transactions conducted through the Internet. The agreements entered into between NetEase Beijing and Guangzhou NetEase (see Note 1 (c)) allow NetEase Beijing to unilaterally adjust the amount of fees NetEase Beijing is entitled to from the technical services provided to Guangzhou NetEase such that all of online game services and wireless value-added and other fee-based premium services revenues recognized by Guangzhou NetEase based on the recognition policy described below will fully accrue to NetEase Beijing.

 

F-13


Table of Contents

(i) Online game services

 

The Group sells prepaid point cards through Guangzhou NetEase to the end customers who may use the points on such cards for online game services provided by the Group. The Group recognizes the related revenue when the registered points are consumed for the Group’s online game services. The Group effectively charges players according to their playtime of the Group’s online game services.

 

(ii) Wireless value-added and other fee-based premium services

 

A substantial portion of the transactions conducted by Guangzhou NetEase for which the Group provides technical services to Guangzhou NetEase represents wireless value-added services which are currently predominantly derived from activities related to short messaging services (“SMS”). Guangzhou NetEase derives SMS revenues principally from providing value-added services such as friends matching, news and information services, ring-tone and logo downloads and various other related products to mobile phone users under co-operative arrangements with mobile phone operators. SMS revenues recognized by Guangzhou Netease represent its share of the revenues under these co-operative arrangements net of the amounts retained by the mobile phone operators for their services performed. The Group recognizes revenue under these co-operative arrangements in the month in which the services are performed based on the monthly confirmation from the mobile phone operators for the service period when the message/content is delivered. Where a confirmation has not been received from a mobile phone operator, the Group estimates the revenue, as well as the amounts of billing and transmission failures, applicable to the services provided through that operator and recognizes the estimated revenue net of estimated billing and transmission failures.

 

Other fee-based premium services revenues are derived principally from providing premium e-mail, friends matching and dating services, personal homepage hosting, online shopping mall and premium electronic greeting card services, which are all operated on a monthly subscription basis. These services are provided by Guangzhou NetEase, to which the Group provides technical services. Prepaid subscription fees are deferred and revenues from such services are recognized by Guangzhou NetEase on a straight-line basis over the period in which the services are provided. The corresponding technical service revenues are also recognized by the Group on a straight-line basis over the period in which the services are provided.

 

Advertising services

 

The Group derives its advertising services revenues principally from the fees earned from services provided to Guangyitong Advertising, a related party (see Note 7).

 

The agreements entered into between NetEase Beijing and Guangyitong Advertising (see Note 1 (c)) allow NetEase Beijing to unilaterally adjust the amount of fees NetEase Beijing is entitled to from the technical consulting and related services provided to Guangyitong Advertising such that all of the advertising revenues recognized by Guangyitong Advertising based on the recognition policy described below, less all of the accrued expenses incurred by Guangyitong Advertising, will fully accrue to NetEase Beijing. Therefore, the Group recognizes advertising services revenues from Guangyitong Advertising as the service revenues are earned based on the related service agreement (see Note 1 (c)) at the same time as Guangyitong Advertising recognizes its advertising revenues.

 

Guangyitong Advertising derives its advertising fees principally from short-term advertising contracts. Revenues from advertising contracts are generally recognized ratably over the

 

F-14


Table of Contents

period in which the advertisement is displayed and only if collection of the resulting receivables is probable. Guangyitong Advertising’s obligations may also include guarantees of a minimum number of impressions or times that an advertisement appears in pages viewed by users. To the extent that minimum guaranteed impressions are not met within the contractual time period, Guangyitong Advertising defers recognition of the corresponding revenues until the remaining guaranteed impression levels are achieved.

 

Revenues from barter transactions primarily relate to advertising services provided in the year ended December 31, 2001. Effective from January 20, 2000, Guangyitong Advertising has adopted the consensus reached in Emerging Issue Task Force (“EITF”) 99-17 to account for barter transactions. According to EITF 99-17, revenue and expense should be recognized at fair value from a barter transaction involving advertising services provided by Guangyitong Advertising only if the fair value of the advertising services surrendered in the transaction is determinable based on the entity’s own historical practice of receiving cash, marketable securities, or other consideration that is readily convertible to a known amount of cash for similar advertising from buyers unrelated to the counterparty in the barter transaction. During the years ended December 31, 2001, 2002 and 2003, the recognized revenues and expenses derived from barter transactions were approximately RMB0.7 million, RMBnil and RMBnil, respectively. During the years ended December 31, 2001, 2002 and 2003, Guangyitong Advertising also engaged in certain advertising barter transactions for which the fair value is not determinable within the limits of EITF 99-17 and therefore no revenues or expenses derived from these barter transactions were recognized. These transactions primarily involved exchanges of advertising services rendered by Guangyitong Advertising for advertising, promotional benefits, information content, consulting services, and software provided by the counterparties.

 

(d) Cost of revenues

 

Costs of online game services, wireless value-added and other fee-based premium services and advertising services consist primarily of staff costs of those departments directly involved in providing online game services, wireless value-added and other fee-based premium services and advertising services, depreciation and amortization of computers and software, server custody fees, bandwidth and other direct costs of providing these services. These costs are charged to the statement of operations as incurred.

 

Material direct costs incurred in the development of platforms for providing these services consist primarily of computer software developed or acquired. They are capitalized and amortized in accordance with AICPA SOP 98-1 and costs incurred prior to the application development stage are expensed as incurred.

 

(e) Cash

 

Cash represents cash on hand and demand deposits placed with banks or other financial institutions. Included in the cash balance as of December 31, 2002 and 2003 are amounts denominated in United States dollars totaling US$50.7 million and US$103.3 million, respectively (equivalent to approximately RMB419.9 million and RMB854.7 million, respectively).

 

(f) Financial instruments

 

Financial instruments of the Group primarily consist of temporary cash investments, held-to-maturity investments, balances with related parties, investment in convertible preference shares, accounts payable and convertible notes payable. As of the balance sheet dates, their estimated fair value approximated their carrying values.

 

F-15


Table of Contents

(g) Property, equipment and software

 

Property, equipment and software are stated at cost less accumulated depreciation. Depreciation is calculated on the straight-line basis over the following estimated useful lives, taking into account any estimated residual value:

 

Computers

  

3 years

Furniture and office equipment

  

5 years

Software

  

2-3 years

Vehicles

  

5 years

Leasehold improvements

  

lesser of the term of the lease or the estimated useful lives of the assets

 

Costs of computer software developed or obtained for internal use are accounted for in accordance with AICPA SOP 98-1, under which direct costs incurred to develop the software during the application development stage and to obtain computer software from third parties that can provide future benefits are capitalized.

 

(h) Impairment of long-lived assets

 

Prior to January 1, 2002, the Group evaluated the recoverability of long-lived assets in accordance with Statement of Financial Accounting Standards (“SFAS”) No.121, “Accounting for the Impairment of Long-Lived Assets and for Long-Lived Assets to be Disposed of”. As of January 1, 2002, the Group has adopted SFAS No. 144, “Accounting for the Impairment or Disposal of Long-Lived Assets” which addresses the financial accounting and reporting for the recognition and measurement of impairment losses for long-lived assets. In accordance with these standards, the Group recognizes impairment of long-lived assets in the event the net book value of such assets exceeds the future undiscounted cash flows attributable to such assets.

 

Investment in convertible note totalling RMB2.1 million, representing an advance made to a private company operating as a provider of women focused content on the Internet, was fully written off to the statement of operations during the year ended December 31, 2001 as a result of the closure of the private company in 2001.

 

In addition, investment in convertible preference shares as of December 31, 2001 represented an investment in 705,816 preference shares in a private Internet-based auction company at US$2.8336 per share for an aggregate purchase price of approximately RMB16.6 million. The private auction company repurchased from the Company all of the 705,816 convertible preference shares the Company acquired at a consideration of approximately US$1.2 million which is equivalent to approximately RMB9.7 million. Thus, the carrying value of the investment was written down by RMB6.9 million to its net realizable value as of December 31, 2001.

 

(i) Advertising expenses

 

The Group recognizes advertising expenses in accordance with AICPA SOP 93-7 “Reporting on Advertising Costs”. As such, the Group expenses the costs of producing advertisements at the time production occurs, and expenses the cost of communicating advertising in the period in which the advertising space or airtime is used. Advertising expenses totaled approximately RMB14.7 million, RMB2.4 million and RMB3.8 million during the years ended December 31, 2001, 2002 and 2003, respectively.

 

F-16


Table of Contents

(j) Foreign currency translation

 

The functional currency of the Group is RMB. Transactions denominated in currencies other than RMB are translated into RMB at the exchange rates quoted by the People’s Bank of China (the “PBOC”) prevailing at the dates of the transactions. Monetary assets and liabilities denominated in foreign currencies are translated into RMB using the applicable exchange rates quoted by the PBOC at the balance sheet dates. The resulting exchange differences are included in the determination of income.

 

The financial records of certain of the Company’s subsidiaries are maintained in US dollars, which is their functional currency. For consolidation purposes, the assets and liabilities of such subsidiaries are translated at the exchange rates at the balance sheet dates, equity accounts are translated at historical exchange rates and revenues, expenses, gains and losses are translated using the average exchange rate for the year. Translation adjustments are reported as cumulative translation adjustments and are shown as a separate component in the consolidated statement of shareholders’ equity.

 

Translations of amounts from RMB into United States dollars for the convenience of the reader were calculated at the noon buying rate of US$1.00 = RMB8.2767 on December 31, 2003 in The City of New York for cable transfers of RMB as certified for customs purposes by the Federal Reserve Bank of New York. No representation is made that the RMB amounts could have been, or could be, converted into United States dollars at such rate.

 

(k) Stock-based compensation

 

In accordance with the provisions of SFAS No. 148, “Accounting for Stock-Based Compensation – Transition and Disclosure”, the Group has selected the disclosure only provisions related to employee stock options and share purchases and follows the provisions of Accounting Principles Board Opinion No. 25 (“APB 25”) in accounting for stock options and shares issued to employees. Under APB 25, compensation expense, if any, is recognized as the difference between the exercise price and the estimated fair value of the ordinary shares on the measurement date, which is typically the date of grant, and is expensed ratably over the service period, which is typically the vesting period.

 

Stock-based employee compensation cost of RMB2.4 million, RMB3.8 million and RMB0.2 million in 2001, 2002 and 2003, respectively, has been expensed. The following table illustrates the effect on net income and earnings per share if the Group had applied the fair value recognition provisions of SFAS No. 123, “Accounting for Stock-Based Compensation”, to stock-based employee compensation.

 

   For the year ended December 31,

 
   2001

  2002

  2003

 
   RMB  RMB  RMB 

Net profit (loss):

          

As reported

  (233,163,914) 16,301,638  322,872,724 

Less: Additional stock-based employee compensation expense determined under fair value based method for all awards.

  (8,057,740) (223,046) (20,281,210)
   

 

 

Pro forma

  (241,221,654) 16,078,592  302,591,514 
   

 

 

Basic net earnings (loss) per ordinary share:

          

As reported

  (0.08) 0.01  0.10 

Pro forma

  (0.08) 0.01  0.10 

Diluted net earnings (loss) per ordinary share:

          

As reported

  (0.08) 0.01  0.10 

Pro forma

  (0.08) 0.01  0.09 

 

F-17


Table of Contents

(l) Income taxes

 

Deferred income taxes are provided using the balance sheet liability method. Under this method, deferred income taxes are recognized for the tax consequences of significant temporary differences by applying enacted statutory rates applicable to future years to differences between the financial statement carrying amounts and the tax bases of existing assets and liabilities. The tax base of an asset or liability is the amount attributed to that asset or liability for tax purposes. The effect on deferred taxes of a change in tax rates is recognized in income in the period that includes the enactment date. A valuation allowance is provided to reduce the amount of deferred tax assets if it is considered more likely than not that some portion of, or all of, the deferred tax assets will not be realized.

 

(m) Net earnings (loss) per share (“EPS”) and per American Depositary Share (“ADS”)

 

In accordance with SFAS No. 128, “Computation of Earnings Per Share,” basic EPS is computed by dividing net profit (loss) attributable to ordinary shareholders by the weighted average number of ordinary shares outstanding during the year. Diluted EPS is calculated by dividing net profit (loss) by the weighted average number of ordinary and dilutive ordinary equivalent shares outstanding during the year. Ordinary equivalent shares consist of the ordinary shares issuable upon conversion of the Zero Coupon Convertible Subordinated Notes (using the if-converted method) and ordinary shares issuable upon the exercise of outstanding stock options (using the treasury stock method). Stock options for a total of 66,845,749, 24,972,000 and 1,400,000 ordinary shares in 2001, 2002 and 2003, respectively, and a total of 51,921,080 ordinary shares, being the weighted average number of ordinary shares issuable upon conversion of the Zero Coupon Convertible Subordinated Notes in 2003, were excluded from the computation of diluted earnings (loss) per share because (i) the exercise prices of the options were greater than the average market price of the ordinary shares, or (ii) the inclusion of the options would have been anti-dilutive because the Company experienced a net loss during the year, or (iii) the conversion price of the notes was greater than the average market price of the ordinary shares in certain periods of 2003.

 

Net earnings (loss) per ADS has been computed by multiplying the net earnings (loss) per share by 100, which is the number of shares represented by each ADS.

 

(n) Statutory reserves

 

In accordance with the Regulations on Enterprises with Foreign Investment of China and their articles of association, NetEase Beijing, NetEase Shanghai and Guangzhou Interactive, being foreign invested enterprises established in China, are required to provide for certain statutory reserves, namely general reserve, enterprise expansion fund and staff welfare and bonus fund which are appropriated from net profit as reported in their PRC Statutory Accounts. NetEase Beijing, NetEase Shanghai and Guangzhou Interactive, being wholly foreign owned enterprises, are required to allocate at least 10% of their after-tax profit to the general reserve

 

F-18


Table of Contents

until such reserve has reached 50% of their respective registered capital. Appropriations to the enterprise expansion fund and staff welfare and bonus fund are at the discretion of the board of directors of NetEase Beijing, NetEase Shanghai and Guangzhou Interactive, respectively. These reserves can only be used for specific purposes and are not distributable as cash dividends. Appropriations to the staff welfare and bonus fund are charged to selling, general and administrative expenses.

 

NetEase Shanghai and Guangzhou Interactive have been in an accumulated loss position according to their PRC Statutory Accounts and no appropriations to statutory reserves have been made.

 

The year ended December 31, 2003 was the first year in which NetEase Beijing had cumulative retained earnings according to its PRC Statutory Accounts. Accordingly, an amount of approximately RMB33.7 million, representing 10% of the net profit, after recouping all losses carried forward, according to its PRC Statutory Accounts for the year ended December 31, 2003 was appropriated to the general reserve.

 

(o) Deferred assets

 

Deferred assets mainly include the offering costs of the Company’s Zero Coupon Convertible Subordinated Notes. The Company amortizes the offering costs over a period of 35 to 36 months from the date of issuance of the notes by the Company to the first date when the Company may be required to repurchase all or any portion of the principal amount of the notes.

 

(p) Related parties

 

Parties are considered to be related if one party has the ability, directly or indirectly, to control the other party or exercise significant influence over the other party in making financial and operating decisions. Parties are also considered to be related if they are subject to common control or common significant influence.

 

(q) Comprehensive (loss)/income

 

Comprehensive (loss)/income is defined as the change in equity of the Group during a period from transactions and other events and circumstances excluding transactions resulting from investments by shareholders and distributions to shareholders.

 

(r) Segment reporting

 

SFAS No. 131 “Disclosures about Segments of an Enterprise and Related Information” establishes standards for reporting information about operating segments on a basis consistent with the Group’s internal organization structure as well as information about geographical areas, business segments and major customers in financial statements (see Note 20 for details on the Group’s business segments).

 

(s) Recent accounting pronouncements

 

In November 2002, EITF reached a consensus on Issue No. 00-21, “Revenue Arrangements with Multiple Deliverables.” EITF Issue No. 00-21 provides guidance on how to account for arrangements that involve the delivery or performance of multiple products, services and/or rights to use assets. The provisions of EITF Issue No. 00-21 will apply to revenue arrangements entered into in fiscal periods beginning after June 15, 2003. The Group believes that the adoption of this standard will have no material impact on its financial statements.

 

F-19


Table of Contents

In April 2003, the FASB issued Statement of Financial Accounting (SFAS) No.149, Amendment of Statement 133 on Derivative Instruments and Hedging Activities. This statement amends and clarifies financial accounting and reporting for derivative instruments and hedging activities under FASB Statement No.133, Accounting for Derivative Instruments and Hedging Activities, by requiring contracts with similar characteristics to be accounted for comparably. This statement is effective for contracts entered into or modified after June 30, 2003. The Group believes that the adoption of SFAS No.149 will not have a material impact on its financial statements.

 

3. Concentrations

 

(a) Dependence on mobile phone operators

 

Wireless value-added services revenues, which represent a significant portion of the Group’s total revenue, are derived from co-operative arrangements with the two mobile phone operators in China. If the various contracts with either mobile phone operator are terminated or scaled-back, or if the mobile phone operators alter the fee sharing percentages, it will be difficult, if not impossible, to find appropriate replacement partners with the requisite licenses and permits, infrastructure and customer base to offer these services, which would adversely affect the Group’s businesses.

 

(b) Bandwidth and server custody service provider

 

The Group relies on two telecommunications service providers and their affiliates for bandwidth and server custody service.

 

(c) Dependence on Guangzhou NetEase

 

The Group relies exclusively on Guangzhou NetEase, which has the approval to operate as an Internet content provider, for the operation of the NetEase Web sites.

 

(d) Dependence on Guangyitong Advertising

 

All of the Group’s advertising services revenues are derived from Guangyitong Advertising which has the approval to operate online advertising.

 

(e) Credit risk

 

The Group is principally developing and providing a range of Internet-related services including online game services, wireless value-added and other related services and advertising services in China. The Group generally does not require collateral for its accounts receivable.

 

4. Restricted Cash

 

As of December 31, 2003, there was no restricted cash balance. The restricted cash balance as of December 31, 2002 represents USD denominated deposits in the amounts of US$0.1 million pledged as security money for renting office space.

 

F-20


Table of Contents

5. Held-to-Maturity Investments

 

Held-to-maturity investments represent investments in US government agency debt securities and Federal Home Loan debt securities with maturity dates in 2004.

 

6. Prepayments and Other Current Assets

 

   December 31,
2002


  December 31,
2003


   RMB  RMB

Deferred issuance costs of convertible notes

  —    7,840,018

Prepayments

  2,608,169  5,215,394

Interest receivable

  352,826  1,931,777

Employee advances

  375,069  1,291,741

Low-value consumables

  884,400  1,463,523

Rental deposits

  1,657,212  435,789

Other

  233,013  1,571,127
   
  
   6,110,689  19,749,369
   
  

 

7. Related Party Transactions and Variable Interest Entities

 

(a) Related Party Transactions

 

During the years ended December 31, 2001, 2002 and 2003, the Group derived approximately RMB0.3 million, RMB nil and RMB nil, respectively, of advertising fees from shareholders of the Company.

 

During the years ended December 31, 2001, 2002 and 2003, the Group derived approximately RMB14.2 million, RMB34.2 million and RMB86.2 million, respectively, of advertising services revenues from Guangyitong Advertising, a related company which is controlled by the principal shareholder of the Company, for advertising-related technical consulting services performed.

 

During the years ended December 31, 2001, 2002 and 2003, the Group derived approximately RMB14.1 million, RMB197.4 million and RMB482.7 million, respectively, of online game and wireless valued-added and other fee-based premium services revenues from Guangzhou NetEase, a related company which is controlled by the principal shareholder of the Company.

 

During the years ended December 31, 2001, 2002 and 2003, the Group reimbursed Guangzhou NetEase a total of approximately RMB2.7 million, RMB29.6 million and RMB54.6 million, respectively, for the costs of revenue and operating expenses associated with the NetEase Web sites.

 

Due from related parties mainly represents amounts receivable from Guangyitong Advertising and/or Guangzhou NetEase for services performed and temporary advances to officers of the Group in the normal course of business. Due to a related party mainly represents amount received in advance from Guangzhou NetEase for services to be performed, primarily in relation to online game services. The balances with these two entities were unsecured, interest-free and repayable on demand.

 

In addition, in January 2001, the Group advanced RMB1.9 million to Mr. William Ding, the principal shareholder of the Company. The advance bore an annual interest rate of 6% compounded annually and was repayable by monthly instalments with the entire amount repayable by November 2006. The advance was repaid in full in 2003.

 

F-21


Table of Contents

Moreover, in June 2000, the Group advanced RMB2.0 million to an employee who is a relative of the principal shareholder. The advance bore an annual interest rate of 5% and was repayable one year from the date of advance. The advance was in default in June 2001, thus a full provision was made during the year ended December 31, 2001. However, the amount was subsequently repaid in 2003. As such, the provision has been reversed during the year ended December 31, 2002

 

As of December 31, 2002 and 2003, the amounts due from related parties included amounts denominated in US dollars of US$0.2 million (equivalent to approximately RMB1.3 million) and US$ nil, respectively. All other related party balances are denominated in RMB.

 

(b) Variable Interest Entities

 

In January 2003, the FASB issued FASB Interpretation No. 46, “Consolidation of Variable Interest Entities, an Interpretation of ARB No. 51” (“FIN 46”) which was further revised in December 2003. FIN 46 provides guidance on the identification of and financial reporting for entities over which control is achieved through means other than voting rights. This Interpretation requires existing unconsolidated variable interest entities to be consolidated by their primary beneficiaries if the entities do not effectively disperse risks among the parties involved. The Interpretation applies immediately to variable interest entities created after January 31, 2003, and to variable interest entities in which an enterprise obtains an interest after that date. It applies in the first fiscal year or interim period ending after March 15, 2004 to variable interest entities in which an enterprise holds a variable interest that it acquired before February 1, 2003.

 

According to the requirements of FIN 46 and the revised version of FIN 46 (“FIN 46-R”), the Group has evaluated its relationship with two unconsolidated related companies, namely Guangzhou NetEase and Guangyitong Advertising. Guangzhou NetEase and Guangyitong Advertising are concluded as variable interest entities (“VIE”) of the Company. The Company has concluded it is the primary beneficiary of these two VIEs. Effective January 1, 2004, the Company has prospectively consolidated these two VIEs in accordance with the transitional provisions of FIN 46 and FIN 46-R in the Company’s consolidated financial statements. Since substantially all of the income received by the VIEs are paid to NetEase Beijing, management has concluded that the adoption of FIN 46 and FIN 46-R will not significantly affect the net assets or net income of the Group.

 

The following table provides information about the VIEs (in thousands):

 

Name of VIE


  Total assets at
December 31, 2003


  Total revenue for
the year ended
December 31, 2003


  Net income/(loss)
for the year ended
December 31, 2003


   RMB  RMB  RMB

Guangzhou NetEase

  79,630  504,770  —  

Guangyitong Advertising

  12,500  94,200  —  

 

8. Allowance for Doubtful Accounts

 

Movements of the allowance for doubtful accounts for the years ended December 31, 2002 and 2003 were as follows:

 

   

Balance at

January 1


  Charged to cost and
expenses


  Write-off of
receivable balances
and corresponding
provisions


  

Balance at

December 31


   RMB  RMB  RMB  RMB

2002

  7,447,775  3,254,783  1,999,251  8,703,307

2003

  8,703,307  3,551,682  2,097,200  10,157,789

 

F-22


Table of Contents

9. Property, Equipment and Software

 

   December 31,
2002


  December 31,
2003


 

Computers

  50,163,071  73,926,310 

Furniture and office equipment

  2,167,062  2,892,207 

Software

  16,200,568  20,398,009 

Vehicles

  358,705  358,705 

Leasehold improvements

  5,813,941  8,588,410 
   

 

   74,703,347  106,163,641 

Less: Accumulated depreciation

  (48,324,165) (65,753,377)
   

 

Net book value

  26,379,182  40,410,264 
   

 

 

10. Employee Benefits

 

The full-time employees of those entities within the Group which are established in China are entitled to staff welfare benefits including medical care, welfare subsidies and unemployment insurance, etc. These entities are required to accrue for these benefits based on certain percentages of the employees’ salaries in accordance with the relevant regulations. The total provision for such employee benefits amounted to RMB7.9 million, RMB6.4 million and RMB2.9 million for the years ended December 31, 2001, 2002 and 2003, respectively. These entities are also required to make contributions to the state-sponsored pension and medical plans out of the amounts accrued for medical and pension benefits. These contributions for the years ended December 31, 2001, 2002 and 2003 amounted to approximately RMB1.7 million, RMB3.4 million and RMB5.0 million, respectively. The Chinese government is responsible for the medical benefits and ultimate pension liability to these employees.

 

11. Taxation

 

(a) Income taxes

 

Cayman Islands

 

Under the current laws of the Cayman Islands, the Company is not subject to tax on income or capital gain. Additionally, upon payments of dividends by the Company to its shareholders, no Cayman Islands withholding tax will be imposed.

 

British Virgin Islands (“BVI”)

 

NetEase Interactive is exempted from income tax on its foreign-derived income in the BVI. There are no withholding taxes in the BVI.

 

F-23


Table of Contents

China

 

In accordance with “Income Tax Law of China for Enterprises with Foreign Investment and Foreign Enterprises”, foreign invested enterprises are generally subject to enterprise income tax (“EIT”) at the rate of 30% plus a local income tax of 3%. NetEase Beijing, being a foreign invested enterprise and located in the New Technology Industrial Development Experimental Zone in Beijing, has been recognized as a “New and High Technology Enterprise”. According to an approval granted by the Haidian State Tax Bureau in November 2000, NetEase Beijing is entitled to a reduced EIT rate of 15% commencing from the year 2000. In addition, the approval also granted NetEase Beijing with a full exemption from EIT from 2001 to 2002, a 50% reduction in EIT from 2003 to 2005, and a full exemption from the local income tax from 2000 onwards. Consequently, NetEase Beijing is exempted from EIT and local income tax for each of the years ended December 31, 2001 and 2002, and enjoyed a 50% reduction in EIT for the year ended December 31, 2003.

 

The combined effects of EIT exemption and reduction available to NetEase Beijing during the years ended December 31, 2001, 2002 and 2003 are as follows:

 

   For the year ended December 31,

   2001

  2002

  2003

   RMB  RMB  RMB

Aggregate amount

  —    —    96,572,356
   
  
  

Earnings per share effect, basic

  —    —    0.03
   
  
  

 

The preferential EIT treatments that NetEase Beijing obtained may be subject to review by higher authorities. If these preferential tax treatments were not available to NetEase Beijing, NetEase Beijing would be subject to EIT at 30% plus a local tax of 3% and the exemption and reduction described above would not apply.

 

Guangzhou Interactive has also been recognized as a “New and High Technology Enterprise”. According to an approval granted by the Guangzhou State Tax Bureau, Guangzhou Interactive is entitled to a full exemption from EIT from 2003 to 2004. After that, Guangzhou Interactive is subject to EIT at the rate of 30% plus a local tax of 3%.

 

NetEase Shanghai, Guangzhou NetEase and Guangyitong Advertising are all subject to EIT at the rate of 30% plus a local tax of 3%.

 

F-24


Table of Contents

A reconciliation of the differences between the statutory tax rate and the effective tax rate for EIT is as follows:

 

   For the year ended December 31,

   2001

  2002

  2003

EIT statutory rate

  (33.0)%  33.0%  33.0%

Permanent differences (primarily the expenses incurred by the Company which are not deductible for EIT)

         

–     Professional fees

  8.5%  42.0%  1.0%

–     Salaries of the Company’s senior officers

  3.1%  40.8%  1.3%

–     Class action settlement

  —      87.7%  —    

–     Depreciation

  —      32.7%  0.9%

–     Revenue sharing expenses

  —      —      0.5%

–     Issuance cost of convertible notes

  —      —      0.3%

–     Advertising

  —      9.8%  —    

–     Technical services

  —      13.0%  —    

–     Travelling expenses

  —      —      0.1%

–     Share compensation costs

  0.3%  9.0%  —    

–     Other

  6.7%  14.7%  2.0%

Effect of lower tax rate applicable to hi-tech enterprises

  6.2%  (168.9)%  (19.8)%

Effect of tax holidays applicable to hi-tech enterprises

  —      (140.8)%  (8.3)%

Additional (reversal of) valuation allowance on tax loss carryforwards

  8.2%  9.8%  (4.9)%
   
  
  

Effective EIT rate

  —      (17.2)%  6.1%
   
  
  

 

As of December 31, 2001, 2002 and 2003, the tax impact of significant temporary differences between the tax and financial statement bases of assets and liabilities that gave rise to deferred tax assets were principally related to the following:

 

   December 31,
2002


  December 31,
2003


   RMB  RMB

Loss carryforwards

  19,132,653  9,669,543

Valuation allowance

  (16,736,765) —  
   

 

Net deferred tax assets

      

–     current

  —    9,669,543

–     non-current

  2,395,888  —  
   

 

 

Subject to the approval of the relevant tax authorities, the Group had loss carryforwards of approximately RMB29.3 million as of December 31, 2003 for EIT purposes. Approximately RMB17.2 million and RMB12.1 million of these loss carryforwards will expire in 2006 and 2007, respectively. No valuation allowance has been provided on the loss carryforwards as the Group expects it will be able to utilize the loss carryforwards before their expiration.

 

Income tax benefit shown in the consolidated statements of operations for the year ended December 31, 2002 resulted from the recognition of deferred tax assets arising from tax loss carryforwards for which less than full valuation allowance was made as of December 31, 2002 because of the expected utilization of certain of these tax carryfowards in the foreseeable future from that date.

 

(b) Business tax (“BT”) and cultural development fee

 

The Group is subject to BT on the provision of taxable services in China, transfer of intangible assets and the sale of immovable properties in China. The tax rates range from 3% to 20% of the gross receipts, depending on the nature of the revenues. The applicable BT rate for the Group’s revenues is generally 5%. In addition, Guangzhou NetEase and Guangyitong Advertising are also subject to BT at 3.3% or 5.5% on their revenues and Guangyitong Advertising is also subject to a cultural development fee of 3% on its Internet advertising fees, which effectively reduce the revenues the Group derives from Guangzhou NetEase and Guangyitong Advertising. The business tax presented in the consolidated statements of operations and comprehensive income (loss) represents the BT charged on the Group’s revenue generated from services provided to Guangzhou NetEase and Guangyitong Advertising.

 

F-25


Table of Contents

12. Taxes Payable

 

   

December 31,

2002


  December 31,
2003


   RMB  RMB

BT

  4,337,428  4,440,053

Individual income taxes for employees

  3,848,253  2,490,511

Enterprise income taxes

  —    7,610,123

Other

  67,269  1,435,655
   
  
   8,252,950  15,976,342
   
  

 

13. Accrued Liabilities

 

   December 31,
2002


  December 31,
2003


   RMB  RMB

Advertising expenses

  808,420  669,935

Content fees

  1,276,551  610,889

Professional fees

  3,428,678  5,748,950

Server custody fees

  737,131  715,131

Other

  4,147,605  3,953,856
   
  
   10,398,385  11,698,761
   
  

 

14. Zero Coupon Convertible Subordinated Notes

 

The Company issued and sold US$75 million and US$25 million aggregate principal amounts of Zero Coupon Convertible Subordinated Notes due July 15, 2023 on July 14, 2003 and on July 31, 2003, respectively, in private offerings. The notes are general unsecured obligations of the Company and are subordinated to any existing or future senior indebtedness of the Company. The notes do not pay any interest except in limited circumstances, have a zero yield to maturity and are convertible into the Company’s ordinary shares at a conversion price of US$0.4815 per ordinary share, subject to adjustments and upon the occurrence of certain other events. Holders of notes may require the Company to repurchase all or a portion of their notes for cash on July 15, 2006, July 15, 2007, July 15, 2008, July 15, 2013 and July 15, 2018, at a price equal to 100% of the principal amount of the notes, together with accrued and unpaid interest, if any, subject to certain conditions. On or after July 15, 2008, the Company may redeem for cash all or part of the notes at a price equal to 100% of the principal amount, to together with accrued and unpaid interest, if any, subject to certain conditions.

 

15. Subscriptions Receivable

 

During the year ended December 31, 2001, the Company made an allowance for doubtful subscriptions receivable amounting to approximately RMB6.4 million. Such subscriptions receivable arose from advances to certain shareholders for subscription for the Company’s shares in 2000. The amount was fully settled in 2003.

 

F-26


Table of Contents

Subscriptions receivable as of December 31, 2002 represents the amount receivable from a shareholder for subscription for the Company’s series B preference shares (see Note 16).

 

16. Capital Structure

 

(a) Ordinary shares

 

The holders of ordinary shares in the Company are entitled to one vote per share and to receive ratably such dividends, if any, as may be declared by the board of directors of the Company. In the event of liquidation, the holders of ordinary shares are entitled to share ratably in all assets remaining after payment of liabilities. The ordinary shares have no preemptive, conversion, or other subscription rights.

 

On March 23, 2001, the Company entered into an agreement whereby the Company acquired certain software for online games, computers and the related intellectual property rights for cash consideration of US$0.2 million from a private technology company. In addition, the Company agreed to issue 7,742,168 ordinary shares in the Company to the founders of the private technology company by installments on a quarterly basis starting from June 23, 2001 through March 23, 2003 for the service to be provided by such individuals as employees of the Company over such period. The total estimated fair value of these shares of approximately RMB0.8 million, valued at US$0.0125 per share at the date of agreement, was recognized as deferred compensation, which was to be amortized over the related vesting period. During the years ended December 31, 2002 and 2003, the Company issued 3,636,377 shares and 853,952 shares, respectively, to the founders of the private technology company for their service as employees as described above.

 

According to an agreement dated September 11, 2001 between the Company and a senior officer of the Company, the Company provided the officer with 25,000,000 ordinary shares by quarterly installments over a period of 18 months. As a result, deferred compensation cost of approximately RMB1.3 million was recorded in 2001 and the amount was amortized over the related vesting period of 18 months.

 

According to a board resolution dated January 23, 2002, the Company agreed to provide two newly hired members of senior management of the Company with 12,322,868 ordinary shares in the Company over a period of 7 months. The total estimated fair value of those shares of RMB0.7 million (valued at US$0.006492 per share) at the date of the agreement was recognized as deferred compensation and was amortized over the related vesting periods.

 

(b) Convertible preference shares

 

Series B preference shares

 

On March 23, 2000, the Company entered into a Series B Preference Shares Purchase Agreement pursuant to which the Company issued 2,560,556 Series B preference shares of US$0.01 each at an issuance price of US$15.60 per share for a total consideration of approximately US$40.0 million, of which US$35.0 million was paid up in cash and US$5.0 million was paid up by advertising to be provided by the shareholder of the Series B preference shares and its affiliated companies on their television channels over a period of three years.

 

The Series B preference shares were convertible on a basis of 100 ordinary shares for one preference share. These preference shares had an aggregate liquidation preference equal to the total consideration for which they were issued. They carried certain preferences on

 

F-27


Table of Contents

dividend payment and return of capital in case of a winding up of the Company. These preference shares were automatically converted upon closing of the initial public offering of the ordinary shares in the Company in 2000.

 

In March 2000, the Company also entered into a strategic co-operation agreement with the shareholder of its Series B preference shares which provided for, among other things, advertising spending of US$5.0 million on NetEase Web sites from the shareholder over the next three years, cross licensing of Internet tools and technologies, licensing of content information, and other co-operative marketing and promotional events on commercial terms to be agreed between the two parties. Subsequently, in March 2003, the Company entered into a supplemental agreement with the shareholder such that the shareholder was obligated to spend the then remaining advertising spending of US$4.0 million on NetEase Web sites by March 28, 2004. All other aspects of the strategic co-operation agreement were terminated in March 2003.

 

The effect of the issuance of Series B preference shares together with the strategic co-operation agreement with the same shareholder is similar to an issuance of shares to the shareholder for cash consideration of US$40.0 million (with US$35.0 million receivable immediately and US$5.0 million receivable over a period of three years from March 2000) and having a barter transaction for advertising between the Company and the shareholder. The accounting for these two transactions in the consolidated financial statements reflects this effect.

 

On July 4, 2003, the Company entered into an agreement with the shareholder to repurchase 27,142,000 ordinary shares in the Company held by the shareholder. Under the agreement the Group paid the shareholder a net aggregate amount of approximately US$4.6 million and the obligation of the shareholder to make advertising spending on the NetEase Web sites described above was waived. As a result of such transaction, the subscriptions receivable from the shareholder were effectively collected and the respective additional paid-in capital was reduced. Moreover, in accordance with the agreement, the Group is entitled to use approximately US$2.0 million worth of advertising on certain media properties of the shareholder at no additional cost until March 28, 2004 or such other date as the parties shall agree. On July 28, 2003, the parties agreed to extend the date from March 28, 2004 to June 30, 2004. The Company did not recognize the amount as an asset.

 

17. Stock Options

 

(a)Stock option plans

 

In December 1999, the Company adopted an incentive and non-statutory stock option plan for the Company’s directors, senior management, employees and consultants (the “1999 Stock Option Plan”). The Company had reserved 345,675,000 ordinary shares for issuance under the plan.

 

According to a resolution of the board of directors of the Company in 2000, the 1999 Stock Option Plan was replaced by the 2000 Stock Option Plan.

 

According to a resolution of the board of directors and the shareholders of the Company in 2001, the 2000 stock option plan was amended and restated. Under the amended plan, the number of ordinary shares available for issuance was increased from 223,715,000 under the prior plan to 323,715,000. The amended plan also included a mechanism for the automatic increase in the number of ordinary shares available for future issuance. This mechanism, which is known as “Evergreen Provision”, provided for a periodic increase so that the number of ordinary shares available under the plan would automatically increase by 3% each year up to a maximum at any given time of 17.5% of the Company’s total outstanding ordinary shares,

 

F-28


Table of Contents

on a fully-diluted basis. These increases would occur on June 1 of 2001 and January 1 of each year thereafter. The “Evergreen Provision” has been suspended pursuant to a resolution of the board of directors dated March 25, 2002.

 

(b) Deferred compensation costs

 

In 2003, approximately RMB0.2 million (2001: RMB1.5 million; 2002: RMB2.1 million) of the deferred compensation costs were amortized and charged to expense and approximately RMB0.1 million (2001: RMB33.6 million; 2002: RMB0.1 million) of the deferred compensation costs were reversed against the additional paid in capital as a result of the resignation of employees, senior management, consultants and advisory board members.

 

The following table presents a summary of the Company’s stock options outstanding at and stock option activities during the years ended December 31, 2001, 2002 and 2003.

 

F-29


Table of Contents
   Employees

  Senior
Management


  Director and
consultants


  Advisory
Board


  Total

  Weighted
average exercise
price


                  US$

Number of ordinary shares issuable upon exercise of stock options

                  

Outstanding at January 1, 2001

  45,960,000  198,191,100  1,900,000  2,850,000  248,901,100  0.091

Granted during the year

  24,059,000  92,225,000  —    —    116,284,000  0.017

Exercised during the year

  —    —    —    —    —    —  

Cancelled during the year

  (28,276,000) (198,629,100) —    (1,850,000) (228,755,100) 0.064
   

 

 

 

 

 

Outstanding at December 31, 2001

  41,743,000  91,787,000  1,900,000  1,000,000  136,430,000  0.074
   

 

 

 

 

 

Outstanding at January 1, 2002

  41,743,000  91,787,000  1,900,000  1,000,000  136,430,000  0.074

Granted during the year

  51,510,000  59,000,000  —    —    110,510,000  0.008

Exercised during the year

  (6,241,200) (42,536,900) —    —    (48,778,100) 0.010

Cancelled during the year

  (11,635,000) (59,250,100) —    (1,000,000) (71,885,100) 0.096
   

 

 

 

 

 

Outstanding at December 31, 2002

  75,376,800  49,000,000  1,900,000  —    126,276,800  0.028
   

 

 

 

 

 

Outstanding at January 1, 2003

  75,376,800  49,000,000  1,900,000  —    126,276,800  0.028

Granted during the year

  62,750,000  47,200,000  1,450,000  —    111,400,000  0.128

Exercised during the year

  (32,783,700) (19,200,000) (600,000) —    (52,583,700) 0.035

Cancelled during the year

  (7,924,800) (7,000,000) —    —    (14,924,800) 0.026
   

 

 

 

 

 

Outstanding at December 31, 2003

  97,418,300  70,000,000  2,750,000  —    170,168,300  0.092
   

 

 

 

 

 

 

F-30


Table of Contents

As of December 31, 2003, options to purchase 17,732,000 ordinary shares were exercisable. Under the stock option plans, options to purchase 234,471,824 ordinary shares were available for future grant. The fair value of ordinary shares on the dates of stock option grants was determined by management based on the recent issuance of preference shares, the market price of the Company’s shares on the Nasdaq National Market, consideration of significant milestones achieved by the Group and other market considerations. Options outstanding and exercisable by price range as of December 31, 2003 were as follows:

 

   

Options Outstanding at

December 31, 2003


  Options Exercisable at
December 31, 2003


Exercise Price


  

Number

Outstanding


  

Weighted
Average

Remaining

Contractual
Life


  

Weighted
Average

Exercise
Price


  

Number

Exercisable


  

Weighted

Average
Exercise

Price


      Years  US$     US$

US$0.007 – US$0.009

  38,296,500  2.64  0.007  11,036,000  0.007

US$0.012 – US$0.015

  2,856,000  3.50  0.015  —    —  

US$0.021

  1,750,000  3.39  0.021  —    —  

US$0.022

  7,174,800  3.08  0.022  666,000  0.022

US$0.070 – US$0.075

  2,105,000  2.57  0.075  1,605,000  0.075

US$0.100

  6,951,000  2.16  0.100  4,077,000  0.100

US$0.102

  10,000  4.17  0.102  —    —  

US$0.110

  97,835,000  4.17  0.110  —    —  

US$0.122

  10,000  4.21  0.122  —    —  

US$0.135

  490,000  4.21  0.135  —    —  

US$0.155 – US$0.156

  1,290,000  2.34  0.156  348,000  0.156

US$0.254

  10,000,000  4.38  0.254  —    —  

US$0.406

  1,000,000  4.88  0.406  —    —  

US$0.679

  400,000  4.75  0.679  —    —  
   
  
  
  
  
   170,168,300  3.66  0.092  17,732,000  0.038
   
  
  
  
  

 

F-31


Table of Contents

For the purposes of SFAS No.123 pro forma disclosures, the estimated fair value of each senior management or employee option grant is estimated on the date of grant using the Black-Scholes option pricing method with the following assumptions:

 

   For the year ended December 31,

   2001

  2002

  2003

Risk free interest rate

  2.97% -3.30%  2.91%  2.79%

Expected life (in years)

  5 -10  5  5

Expected dividend yield

  0%  0%  0%

Volatility

  122% -155%  104% -108%  103% -111%

Weighted average estimated fair value of the underlying shares on the date of option grants (US$)

  0.085  0.008  0.128

 

18. Net Earnings (Loss) Per Share

 

The following table sets forth the computation of basic and diluted net earnings (loss) per share for the years ended December 31, 2001, 2002 and 2003:

 

   For the year ended December 31,

   2001

  2002

  2003

Numerator:

            

Net profit (loss) attributable to ordinary shareholders

   (233,163,914)  16,301,638   322,872,724
   


 

  

Denominator:

            

Weighted average number of ordinary shares outstanding, basic

   3,013,419,400   3,051,395,100   3,122,257,952

Dilutive effect of employee stock options and convertible notes

   —     76,442,800   179,053,547
   


 

  

Weighted average number of ordinary shares outstanding, diluted

   3,013,419,400   3,127,837,900   3,301,311,499
   


 

  

Anti-dilutive effect of stock options

   66,845,749   24,972,000   1,400,000
   


 

  

Anti-dilutive effect of convertible notes

   —     —     51,921,080
   


 

  

Net earnings (loss) per share, basic

  RMB (0.08) RMB 0.01  RMB 0.10
   


 

  

Net earnings (loss) per share, diluted

  RMB (0.08) RMB 0.01  RMB 0.10
   


 

  

 

F-32


Table of Contents

19. Commitments and Contingencies

 

(a) Commitments

 

As of December 31, 2003, future minimum lease and capital commitments were as follows:

 

   

Office rental

commitments


  

Server custody

fee commitments


  

Capital

commitments


  Total

2004

  7,144,306  11,854,600  2,385,827  21,384,733

2005

  5,182,717  92,500  —    5,275,217

2006

  2,266,879  —    —    2,266,879

Beyond 2006

  575,658  —    —    575,658
   
  
  
  
   15,169,560  11,947,100  2,385,827  29,502,487
   
  
  
  

 

In the years ended December 31, 2001, 2002 and 2003, the Company incurred rental expenses in the amounts of approximately RMB8.8 million, RMB7.4 million and RMB6.7 million, respectively. Capital commitments as at December 31, 2003 represented capital commitments contracted but not provided for in the financial statements.

 

(b) Insurance coverage

 

As of December 31, 2003, the Group had insurance coverage of approximately RMB44.5 million on its property, equipment and software.

 

(c) Litigation

 

Class Actions

 

Beginning in October 2001, four substantially identical purported class action complaints alleging violations of the federal securities laws were filed in the United States District Court for the Southern District of New York naming the Company, certain of its current and former officers and directors, and the underwriters of the Company’s initial public offering as defendants. These complaints were subsequently consolidated into a single action. In general, the complaints alleged, among other things, that (i) the Company’s initial public offering violated the securities laws because the financial statements accompanying the offering’s registration statement misstated the Company’s revenue; and (ii) the Company committed securities fraud by materially misstating the Company’s revenue in its 2000 financial statements.

 

The court preliminarily approved the settlement of this class action litigation on February 25, 2003, and all persons who purchased the Company’s ADSs during the period from July 3, 2000 to August 31, 2001 were certified as a single class. The aggregate settlement amount for all claims in this litigation was US$4.35 million, which amount was paid by the Company in 2002 into an escrow account pending final court approval and charged to the consolidated statement of operations for the year ended December 31, 2002.

 

On May 16, 2003, the plaintiffs in the class action entered into a stipulation and agreement of settlement with the defendants. The definitive settlement of the class action litigation has been approved and declared final by the District Court.

 

F-33


Table of Contents

Copyright Infringement Lawsuit

 

In January 2003, Guangzhou NetEase was named in a copyright infringement lawsuit in China and the plaintiffs claimed damages of US$1.0 million. The Group intends to vigorously defend its position. Based on the legal advice it has obtained, the Group believes the ultimate resolution of this matter will not have a material financial impact on the Group.

 

Wells Notice

 

As previously disclosed by the Company, the staff of the U.S. Securities and Exchange Commission (SEC) has been conducting an investigation related to the Company’s restatement of its financial statements for the year ended December 31, 2000. The Company subsequently announced that it received a “Wells notice” from the SEC staff on March 15, 2004, which states that the staff intends to recommend that the SEC bring a civil injunctive action against the Company for alleged violations of the federal securities laws, which action the Company believes will be in connection with the circumstances relating to the restatement. The Company cannot predict at this time whether the SEC will bring charges against it or, if it does, the scope of such charges, the likelihood of its successfully defending any such action or the penalties which may be imposed on the Company.

 

20. Segment Information

 

In the third quarter of 2003, the Group changed the manner of reporting internal departmental information. As such, the Group has restated its 2002 segment disclosures to conform with the change in segments that occurred in the third quarter of 2003. The following are the breakdowns of revenue for the years ended December 31, 2001, 2002 and 2003 and cost of revenue for the years ended December 31, 2002 and 2003. No comparative information of the breakdown of cost of revenue was presented for the year ended December 31, 2001 as the information is not readily available and it is impracticable to obtain. The Group does not allocate any operating costs or assets to its business segments as management does not use this information to measure the performance of the operating segments.

 

F-34


Table of Contents
   For the year ended December 31,

 
   2001

  2002

  2003

 
   RMB  RMB  RMB 

Total revenues:

          

Online game services

  —    37,053,414  203,246,114 

Wireless value-added and other fee-based premium services

  14,136,369  161,305,678  279,659,170 

Advertising services

  14,163,952  34,209,376  86,183,733 
   

 

 

Total revenues

  28,300,321  232,568,468  569,089,017 
   

 

 

Business tax:

          

Online game services

  —    (1,852,671) (10,162,395)

Wireless value-added and other fee-based premium services

  (767,351) (8,064,076) (13,982,869)

Advertising services

  (1,507,433) (1,710,469) (2,809,238)
   

 

 

Total Sales taxes

  (2,274,784) (11,627,216) (26,954,502)
   

 

 

Net revenues:

          

Online game services

  —    35,200,743  193,083,719 

Wireless value-added and other fee-based premium services

  13,369,018  153,241,602  265,676,301 

Advertising services

  12,656,519  32,498,907  83,374,495 
   

 

 

Total net revenues

  26,025,537  220,941,252  542,134,515 
   

 

 

Cost of revenues:

          

Online game services

     (15,530,501) (20,873,502)

Wireless value-added and other fee-based premium services

     (29,524,647) (36,965,777)

Advertising services

     (26,622,426) (27,623,438)
      

 

Total cost of revenues

  (60,058,488) (71,677,574) (85,462,717)
   

 

 

Gross profit (loss on revenues):

          

Online game services

     19,670,242  172,210,217 

Wireless value-added and other fee-based premium services

     123,716,955  228,710,524 

Advertising services

     5,876,481  55,751,057 
      

 

Total gross profit (loss on revenues)

  (34,032,951) 149,263,678  456,671,798 
   

 

 

Share compensation cost included in cost of revenue by segments:

          

Online game services

  —    —    —   

Wireless value-added and other fee-based premium services

  —    1,908,125  —   

Advertising services

  —    —    —   
   

 

 

   —    1,908,125  —   
   

 

 

 

F-35


Table of Contents

21. Subsequent event

 

The Group entered into a series of agreements with Ling Yi in May 2004. Under these agreements, the Group provides technology services to Ling Yi for the operation of portion of the NetEase Web sites. These services include:

 

 Use of domain names;

 

 Use of copyrighted Web page layout;

 

 Use of registered trademarks; and

 

 Provision of technical and consulting services.

 

Under these agreements, substantially all of the income received by Ling Yi is paid to NetEase Beijing. In addition, NetEase Beijing has agreed to bear the operating costs of Ling Yi. Under the agreements with Ling Yi, the Group receives payments from Ling Yi for the technologies and services it provides. The effect of the accounting is that revenues that the Group records related to transactions with Ling Yi will not exceed the revenues that Ling Yi derives from unrelated parties. Based on these contractual arrangements, the Company has the right to enjoy all residual benefits and effectively bear the risk of operating losses of Ling Yi. As a result, the Company has determined that it is the primary beneficiary, as defined in FIN46, of Ling Yi and, accordingly, will consolidate the financial statements of Ling Yi from the date of the agreements.

 

F-36