Autohome
ATHM
#4712
Rank
$2.12 B
Marketcap
$18.42
Share price
-0.97%
Change (1 day)
-31.42%
Change (1 year)

Autohome - 20-F annual report 2013


Text size:
Table of Contents

 

 

UNITED STATES

SECURITIES AND EXCHANGE COMMISSION

Washington, D.C. 20549

 

 

FORM 20-F

 

 

(Mark One)

¨REGISTRATION STATEMENT PURSUANT TO SECTION 12(B) OR 12(G) OF THE SECURITIES EXCHANGE ACT OF 1934

OR

 

xANNUAL REPORT PURSUANT TO SECTION 13 OR 15(D) OF THE SECURITIES EXCHANGE ACT OF 1934

For the fiscal year ended December 31, 2013

OR

 

¨TRANSITION REPORT PURSUANT TO SECTION 13 OR 15(D) OF THE SECURITIES EXCHANGE ACT OF 1934

OR

 

¨SHELL COMPANY REPORT PURSUANT TO SECTION 13 OR 15(D) OF THE SECURITIES EXCHANGE ACT OF 1934

Date of event requiring this shell company report                    

For the transition period from                      to                    

Commission file number: 001-36222

 

 

Autohome Inc.

(Exact name of Registrant as specified in its charter)

 

 

N/A

(Translation of Registrant’s name into English)

Cayman Islands

(Jurisdiction of incorporation or organization)

10th Floor Tower B, CEC Plaza

3 Dan Ling Street

Haidian District, Beijing 100080

The People’s Republic of China

(Address of principal executive offices)

Nicholas Yik Kay Chong

Chief Financial Officer

Tel: +86 (10) 5985-7001

E-mail: ir@autohome.com.cn

Fax: +86 (10) 5985-7387

10th Floor Tower B, CEC Plaza

3 Dan Ling Street

Haidian District, Beijing 100080

The People’s Republic of China

(Name, Telephone, E-mail and/or Facsimile number and Address of Company Contact Persons)

Securities registered or to be registered pursuant to Section 12(b) of the Act:

 

Title of Each Class

 

Name of Exchange on Which Registered

Class A ordinary shares, par value US$0.01 per share The New York Stock Exchange*

 

*Not for trading, but only in connection with the listing on The New York Stock Exchange of the American depositary shares (“ADSs”). Currently, one ADS represents 1 Class A ordinary share.

 

 

Securities registered or to be registered pursuant to Section 12(g) of the Act:

None

(Title of Class)

Securities for which there is a reporting obligation pursuant to Section 15(d) of the Act:

None

(Title of Class)

 

 

Indicate the number of outstanding shares of each of the Issuer’s classes of capital or common stock as of the close of the period covered by the annual report. 36,347,496 Class A ordinary shares, par value US$0.01 per share, and 68,788,940 Class B ordinary shares, par value US$0.01 per share, were outstanding as of December 31, 2013.

Indicate by check mark if the registrant is a well-known seasoned issuer, as defined in Rule 405 of the Securities Act.    Yes  ¨    No  x

If this report is an annual or transition report, indicate by check mark if the registrant is not required to file reports pursuant to Section 13 or 15(d) of the Securities Exchange Act of 1934.    Yes  ¨    No  x

Indicate by check mark whether the registrant: (1) has filed all reports required to be filed by Section 13 or 15(d) of the Securities Exchange Act of 1934 during the preceding 12 months (or for such shorter period that the registrant was required to file such reports), and (2) has been subject to such filing requirements for the past 90 days.    Yes  x    No  ¨

Indicate by check mark whether the registrant has submitted electronically and posted on its corporate Web site, if any, every Interactive Data File required to be submitted and posted pursuant to Rule 405 of Regulation S-T (§232.405 of this chapter) during the preceding 12 months (or for such shorter period that the registrant was required to submit and post such files).    Yes  ¨    No  ¨

Indicate by check mark whether the registrant is a large accelerated filer, an accelerated filer, or a non-accelerated filer. See definition of “accelerated filer and large accelerated filer” in Rule 12b-2 of the Exchange Act. (Check one):

Large accelerated filer  ¨                 Accelerated filer  ¨                 Non-accelerated filer  x

Indicate by check mark which basis of accounting the registrant has used to prepare the financial statements included in this filing:

 

U.S. GAAP  x

    

International Financial Reporting Standards as issued

by the International Accounting Standards Board  ¨

  Other  ¨

If “Other” has been checked in response to the previous question, indicate by check mark which financial statement item the registrant has elected to follow. Item 17  ¨    Item 18  ¨

If this is an annual report, indicate by check mark whether the registrant is a shell company (as defined in Rule 12b-2 of the Exchange Act).    Yes  ¨    No  x

(APPLICABLE ONLY TO ISSUERS INVOLVED IN BANKRUPTCY PROCEEDINGS DURING THE PAST FIVE YEARS)

Indicate by check mark whether the registrant has filed all documents and reports required to be filed by Sections 12, 13 or 15(d) of the Securities Exchange Act of 1934 subsequent to the distribution of securities under a plan confirmed by a court.    Yes  ¨    No  ¨

 

 

 


Table of Contents

TABLE OF CONTENTS

 

INTRODUCTION

   1 

FORWARD-LOOKING STATEMENTS

   2 

PART I

   3 

ITEM 1.

 

IDENTITY OF DIRECTORS, SENIOR MANAGEMENT AND ADVISORS

   3 

ITEM 2.

 

OFFER STATISTICS AND EXPECTED TIMETABLE

   3 

ITEM 3.

 

KEY INFORMATION

   3 

ITEM 4.

 

INFORMATION ON THE COMPANY

   33 

ITEM 4A.

 

UNRESOLVED STAFF COMMENTS

   56 

ITEM 5.

 

OPERATING AND FINANCIAL REVIEW AND PROSPECTS

   56 

ITEM 6.

 

DIRECTORS, SENIOR MANAGEMENT AND EMPLOYEES

   79 

ITEM 7.

 

MAJOR SHAREHOLDERS AND RELATED PARTY TRANSACTIONS

   90 

ITEM 8.

 

FINANCIAL INFORMATION

   94 

ITEM 9.

 

THE OFFER AND LISTING

   94 

ITEM 10.

 

ADDITIONAL INFORMATION

   96 

ITEM 11.

 

QUANTITATIVE AND QUALITATIVE DISCLOSURES ABOUT MARKET RISK

   107 

ITEM 12.

 

DESCRIPTION OF SECURITIES OTHER THAN EQUITY SECURITIES

   108 

PART II

   111 

ITEM 13.

 

DEFAULTS, DIVIDEND ARREARAGES AND DELINQUENCIES

   111 

ITEM 14.

 

MATERIAL MODIFICATIONS TO THE RIGHTS OF SECURITY HOLDERS AND USE OF PROCEEDS

   111 

ITEM 15.

 

CONTROLS AND PROCEDURES

   111 

ITEM 16.

 

RESERVED

   112 

ITEM 16A.

 

AUDIT COMMITTEE FINANCIAL EXPERT

   112 

ITEM 16B.

 

CODE OF ETHICS

   112 

ITEM 16C.

 

PRINCIPAL ACCOUNTANT FEES AND SERVICES

   112 

ITEM 16D.

 

EXEMPTIONS FROM THE LISTING STANDARDS FOR AUDIT COMMITTEES

   113 

ITEM 16E.

 

PURCHASES OF EQUITY SECURITIES BY THE ISSUER AND AFFILIATED PURCHASERS

   113 

ITEM 16F.

 

CHANGE IN REGISTRANT’S CERTIFYING ACCOUNTANT

   114 

ITEM 16G.

 

CORPORATE GOVERNANCE

   114 

ITEM 16H.

 

MINE SAFETY DISCLOSURE

   114 

PART III

   115 

ITEM 17.

 

FINANCIAL STATEMENTS

   115 

ITEM 18.

 

FINANCIAL STATEMENTS

   115 

ITEM 19.

 

EXHIBITS

   115 


Table of Contents

INTRODUCTION

Unless otherwise indicated and except where the context otherwise requires, references in this annual report on Form 20-F to:

 

  

“ADSs” are to our American depositary shares, each of which represents one Class A ordinary share;

 

  

“China” or the “PRC” are to the People’s Republic of China, excluding, for the purpose of this annual report only, Hong Kong, Macau and Taiwan;

 

  

“ordinary shares” are our ordinary shares, par value US$0.01 per share, before our initial public offering, or IPO, and our Class A and Class B ordinary shares, par value US$0.01 per share, after our initial public offering;

 

  

“RMB” and “Renminbi” are to the legal currency of China;

 

  

“we,” “us,” “our company” and “our” are to Autohome Inc., its predecessors, subsidiaries and variable interest entities, or VIEs;

 

  

“average daily unique visitors” refers to the number of different IP addresses from which a website is visited during a given day in a month, averaged over that month;

 

  

“average daily time spent per user” refers to the aggregate time spent on a website by a user in a month divided by the number of days the user visited that website, and such calculation result is further averaged for all the users who visited that website in that month. A web page opened for less than three seconds is excluded; time spent on a web page after two hours is treated as inactive time and is excluded from the calculation;

 

  

“average daily page views” refers to the aggregate number of web pages on a website viewed by all users during a month, divided by the number of days in that month. A web page opened for less than three seconds is excluded from the number of page views;

 

  

“U.S. GAAP” refers to generally accepted accounting principles in the United States; and

 

  

“$,” “dollars,” “US$” or “U.S. dollars” refers to the legal currency of the United States.

 

1


Table of Contents

FORWARD-LOOKING STATEMENTS

This annual report contains forward-looking statements that reflect our current expectations and views of future events. The forward-looking statements are contained principally in the sections entitled “Item 3. Key Information—D. Risk Factors,” “Item 4. Information on the Company—B. Business Overview” and “Item 5. Operating and Financial Review and Prospects.” Known and unknown risks, uncertainties and other factors, including those listed under “Risk Factors,” may cause our actual results, performance or achievements to be materially different from those expressed or implied by the forward-looking statements.

You can identify some of these forward-looking statements by words or phrases such as “may,” “will,” “expect,” “anticipate,” “aim,” “estimate,” “intend,” “plan,” “believe,” “is/are likely to,” “potential,” “continue” or other similar expressions. We have based these forward-looking statements largely on our current expectations and projections about future events that we believe may affect our financial condition, results of operations, business strategy and financial needs. These forward-looking statements include statements relating to:

 

  

our ability to attract and retain users and advertisers;

 

  

our business strategies and initiatives as well as our business plans;

 

  

our future business development, financial conditions and results of operations;

 

  

our ability to further enhance our brand recognition;

 

  

our ability to attract, retain and motivate key personnel;

 

  

competition in our industry in China; and

 

  

relevant government policies and regulations relating to our industry.

These forward-looking statements involve various risks and uncertainties. Although we believe that our expectations expressed in these forward-looking statements are reasonable, our expectations may later be found to be incorrect. Our actual results could be materially different from our expectations. Important risks and factors that could cause our actual results to be materially different from our expectations are generally set forth in “Item 3. Key Information—D. Risk Factors,” “Item 4. Information on the Company—B. Business Overview” and “Item 5. Operating and Financial Review and Prospects” and other sections in this annual report. You should thoroughly read this annual report and the documents that we refer to with the understanding that our actual future results may be materially different from and worse than what we expect. We qualify all of our forward-looking statements by these cautionary statements.

This annual report contains certain data and information that we obtained from various government and private publications. Statistical data in these publications also include projections based on a number of assumptions. The online automotive advertising industry may not grow at the rate projected by market data, or at all. The failure of this market to grow at the projected rate may have a material adverse effect on our business and the market price of our ADSs. In addition, the rapidly changing nature of the online automotive advertising industry results in significant uncertainties for any projections or estimates relating to the growth prospects or future condition of our market. Furthermore, if any one or more of the assumptions underlying the market data are later found to be incorrect, actual results may differ from the projections based on these assumptions. You should not place undue reliance on these forward-looking statements.

The forward-looking statements made in this annual report relate only to events or information as of the date on which the statements are made in this annual report. Except as required by law, we undertake no obligation to update or revise publicly any forward-looking statements, whether as a result of new information, future events or otherwise, after the date on which the statements are made or to reflect the occurrence of unanticipated events. You should read this annual report and the documents that we refer to in this annual report and exhibits to this annual report completely and with the understanding that our actual future results may be materially different from what we expect.

 

2


Table of Contents

PART I

ITEM 1. IDENTITY OF DIRECTORS, SENIOR MANAGEMENT AND ADVISORS

Not applicable.

ITEM 2. OFFER STATISTICS AND EXPECTED TIMETABLE

Not applicable.

ITEM 3. KEY INFORMATION

 

A.Selected Financial Data

The following table presents the selected consolidated financial information for our company. Our selected consolidated statements of comprehensive income data presented below for the years ended December 31, 2011, 2012 and 2013 and our selected consolidated balance sheet data as of December 31, 2012 and 2013 have been derived from our consolidated financial statements, which are included in this annual report beginning on page F-1. Our selected consolidated balance sheet data as of December 31, 2009, 2010 and 2011 and the summary consolidated statement of comprehensive income data for 2009 and 2010 presented below have been derived from our consolidated financial statements not included in this annual report. Our historical results for any period are not necessarily indicative of results to be expected for any future period. You should read the following selected financial information in conjunction with the consolidated financial statements and related notes and the information under “Item 5. Operating and Financial Review and Prospects” included elsewhere in this annual report. Our audited consolidated financial statements are prepared and presented in accordance with U.S. GAAP.

 

   For the Year Ended December 31, 
   2009  2010  2011  2012  2013 
   RMB  RMB  RMB  RMB  RMB  US$ 
   (in thousands, except for number of shares and per share data) 

Selected Consolidated Statement of Comprehensive Income Data:

       

Net revenues

       

Advertising services

   138,988    235,415    379,666    592,622    894,937    147,833  

Dealer subscription services

   9,221    17,519    53,523    139,898    321,611    53,126  
  

 

 

  

 

 

  

 

 

  

 

 

  

 

 

  

 

 

 

Total net revenues

   148,209    252,934    433,189    732,520    1,216,548    200,959  

Cost of revenues(1)

   (61,084  (83,897  (130,565  (178,240  (252,236  (41,666
  

 

 

  

 

 

  

 

 

  

 

 

  

 

 

  

 

 

 

Gross profit

   87,125    169,037    302,624    554,280    964,312    159,293  
  

 

 

  

 

 

  

 

 

  

 

 

  

 

 

  

 

 

 

Operating expenses

       

Sales and marketing expenses(1)

   (31,204  (48,712  (67,500  (129,796  (245,228  (40,509

General and administrative expenses(1)

   (9,059  (17,951  (46,547  (83,153  (82,529  (13,633

Product development expenses(1)

   (3,678  (6,205  (16,459  (42,865  (81,651  (13,488
  

 

 

  

 

 

  

 

 

  

 

 

  

 

 

  

 

 

 

Operating profit

   43,184    96,169    172,118    298,466    554,904    91,663  

Interest income

   44    159    1,167    5,093    11,082    1,831  

Interest expense

   —     —     —     —     (414  (68

Other income (expense)

   10    (49  509    310    2,884    476  
  

 

 

  

 

 

  

 

 

  

 

 

  

 

 

  

 

 

 

Income from continuing operations before income taxes

   43,238    96,279    173,794    303,869    568,456    93,902  

Income tax expense

   (7,803  (15,853  (38,348  (90,988  (112,294  (18,550
  

 

 

  

 

 

  

 

 

  

 

 

  

 

 

  

 

 

 

 

3


Table of Contents
   For the Year Ended December 31, 
   2009  2010   2011  2012   2013 
   RMB  RMB   RMB  RMB   RMB   US$ 
   (in thousands, except for number of shares and per share data) 

Income from continuing operations

   35,435    80,426     135,446    212,881     456,162     75,352  

Income/(loss) from discontinued operations

   (2,204  7,612     (4,182  —      —      —   
  

 

 

  

 

 

   

 

 

  

 

 

   

 

 

   

 

 

 

Net income

   33,231    88,038     131,264    212,881     456,162     75,352  
  

 

 

  

 

 

   

 

 

  

 

 

   

 

 

   

 

 

 

Other comprehensive income, net of tax of nil

          

Foreign currency translation adjustments

   —     —      —     583     1,403     232  

Comprehensive income

   33,231    88,038     131,264    213,464     457,565     75,584  
  

 

 

  

 

 

   

 

 

  

 

 

   

 

 

   

 

 

 

Earnings per share for ordinary shares

          

Earnings per share for ordinary shares - Basic

          

Net income from continuing operations

   0.35    0.80     1.35    2.13     4.57     0.75  

Income/(loss) from discontinued operations

   (0.02  0.08     (0.04  —      —       —    
  

 

 

  

 

 

   

 

 

  

 

 

   

 

 

   

 

 

 

Net income

   0.33    0.88     1.31    2.13     4.57     0.75  
  

 

 

  

 

 

   

 

 

  

 

 

   

 

 

   

 

 

 

Earnings per share for ordinary shares - Diluted

          

Net income from continuing operations

   —     —      1.35    2.12     4.37     0.72  

Loss from discontinued operations

   —     —      (0.04  —      —      —   
  

 

 

  

 

 

   

 

 

  

 

 

   

 

 

   

 

 

 

Net income

   —     —      1.31    2.12     4.37     0.72  
  

 

 

  

 

 

   

 

 

  

 

 

   

 

 

   

 

 

 

Shares used in earnings per share computation(2)

          

Ordinary shares:

          

Basic

   100,000,000    100,000,000     100,000,000    100,000,000     —      —   

Diluted

   —      —       100,189,928    100,650,652     —      —   

Class A Ordinary shares:

          

Basic

   —      —       —     —      31,109,214     31,109,214  

Diluted

   —      —       —     —      104,329,226     104,329,226  

Class B Ordinary shares:

          

Basic

   —      —       —     —      68,788,940     68,788,940  

Diluted

   —      —       —     —      68,788,940     68,788,940  

Dividend per share(3)

   —      —       —     —      —      —   

 

4


Table of Contents

 

(1)

Including share-based compensation expenses as follows:

 

   For the Year Ended December 31, 
   2009   2010   2011   2012   2013 
   RMB   RMB   RMB   RMB   RMB   US$ 
   (in thousands) 

Allocation of Share-based Compensation Expenses

            

Cost of revenues

   —      —      3,247     6,553     6,534     1,079  

Sales and marketing expenses

   —      —      1,138     4,177     4,375     723  

General and administrative expenses

   —      —      8,049     15,734     11,738     1,939  

Product development expenses

   —      —      541     2,678     2,961     489  
  

 

 

   

 

 

   

 

 

   

 

 

   

 

 

   

 

 

 

Total share-based compensation expenses

   —      —      12,975     29,142     25,608     4,230  
  

 

 

   

 

 

   

 

 

   

 

 

   

 

 

   

 

 

 

 

(2)

Earnings per share for Class A and Class B ordinary shares (Diluted) for each year from 2009 to 2013 were computed after taking into account the dilutive effect of the shares underlying our employees’ share-based awards.

(3) 

Dividends distributed to our shareholders in the fiscal years ended 2012 and 2013 were one-time distributions due to special circumstances. See “Item 8. Financial Information—Dividend Policy.”

 

   As of December 31, 
   2009   2010   2011   2012   2013 
   RMB   RMB   RMB   RMB   RMB   US$ 
   (in thousands) 

Selected Consolidated Balance Sheet Data:

            

Cash and cash equivalents

   84,434     174,342     213,705     420,576     1,138,613     188,085  

Restricted cash

   —       —       —       —       245,000     40,471  

Accounts receivable, net

   147,936     212,349     203,102     326,071     465,712     76,930  

Total current assets

   272,188     487,405     451,823     786,192     1,899,265     313,736  

Total assets

   2,184,531     2,357,368     2,043,005     2,379,673     3,512,950     580,298  

Deferred revenue

   19,215     31,650     41,461     94,392     215,580     35,611  

Total current liabilities

   145,962     238,710     203,805     336,292     789,818     130,469  

Total liabilities

   731,764     816,563     682,726     821,698     1,300,586     214,842  

Total shareholders’ equity

   1,452,767     1,540,805     1,360,279     1,557,975     2,212,364     365,456  

Exchange Rate Information

Substantially all of our operations are conducted in China and substantially all of our revenues are denominated in RMB. This annual report contains translations of RMB amounts into U.S. dollars at specific rates solely for the convenience of the reader. Unless otherwise noted, all translations from RMB to U.S. dollars and from U.S. dollars to RMB in this annual report were made at a rate of RMB6.0537 to US$1.00, the noon buying rate in The City of New York for cable transfers of RMB as certified for customs purposes by the Federal Reserve Bank of New York on December 31, 2013. We make no representation that any RMB or U.S. dollar amounts could have been, or could be, converted into U.S. dollars or RMB, as the case may be, at any particular rate, at the rates stated below, or at all. The PRC government imposes control over its foreign currency reserves in part through direct regulation of the conversion of RMB into foreign exchange and through restrictions on foreign trade. On March 21, 2014, the noon buying rate was RMB6.2248 to US$1.00.

 

5


Table of Contents

The following table sets forth information concerning exchange rates between the RMB and the U.S. dollar for the periods indicated.

 

Period

  Noon Buying Rate 
   Period End   Average (1)   Low   High 
   (RMB per US$1.00) 

2009

   6.8259     6.8295     6.8470     6.8176  

2010

   6.6000     6.7603     6.8330     6.6000  

2011

   6.2939     6.4475     6.6364     6.2939  

2012

   6.2301     6.3088     6.3879     6.2221  

2013

   6.0537     6.1478     6.2438     6.0537  

September

   6.1200     6.1198     6.1213     6.1178  

October

   6.0943     6.1032     6.1209     6.0815  

November

   6.0922     6.0929     6.0993     6.0903  

December

   6.0537     6.0738     6.0927     6.0537  

2014

        

January

   6.0590     6.0509     6.0600     6.0402  

February

   6.1448     6.0816     6.1448     6.0591  

March (through March 21)

   6.2248     6.1590     6.2273     6.1183  

 

Source: Federal Reserve Statistical Release

 

(1) 

Annual averages are calculated from month-end rates. Monthly averages are calculated using the average of the daily rates during the relevant period.

 

B.Capitalization and Indebtedness

Not applicable.

 

C.Reasons for the Offer and Use of Proceeds

Not applicable.

 

D.Risk Factors

An investment in our capital stock involves a high degree of risk. You should carefully consider the risks described below, together with all of the other information included in this annual report, before making an investment decision. If any of the following risks actually occurs, our business, financial condition or results of operations could suffer. In that case, the trading price of our capital stock could decline, and you may lose all or part of your investment.

Risks Related to Our Business and Industry

We rely on China’s automotive industry for substantially all of our revenues and future growth, the prospects of which are subject to many uncertainties, including government regulations and policies.

We rely on China’s automotive industry for substantially all of our revenues and future growth. We have greatly benefited from the rapid growth of China’s automotive industry during the past few years. However, the prospects of China’s automotive industry are subject to many uncertainties, including those relating to general economic conditions in China, the urbanization rate of China’s population and the cost of new automobiles. In addition, governmental policies may have a considerable impact on the growth of the automotive industry in China. For example, in an effort to alleviate traffic congestion and improve air quality, the Beijing municipal government issued a regulation in December 2010 to limit the number of new passenger car plates issued in Beijing each year from 2011 onwards to 240,000. There are similar policies that restrict the issuance of new passenger car plates in Shanghai, Guangzhou and other cities. In September 2013, the PRC government released a plan for the prevention and remediation of air pollution, which requires large cities such as Beijing, Shanghai and Guangzhou to further restrict the ownership of motor vehicles. In October 2013, the Beijing municipal government issued an additional regulation to limit the total number of vehicles in Beijing to no more than six million by the end of 2017, compared to approximately 5.2 million vehicles in operation in early 2013. Such regulatory developments, as well as other uncertainties, may adversely affect the growth prospects of China’s automotive industry, and in turn reduce demand for automobiles. If automakers and dealers were to reduce their marketing expenditures as a result, our business, financial condition and results of operations could be materially and adversely affected.

 

6


Table of Contents

We face significant competition, and if we fail to compete effectively, we may lose market share and our business, prospects and results of operations may be materially and adversely affected.

The markets for our services are highly competitive. We face competition from China’s automotive websites, such as pcauto.com.cn and bitauto.com, and from the automotive channels of major internet portals, such as Sina and Sohu. In addition, we also face competition from other used-automobile websites, such as 51auto.com and taoche.com. Competition with these and other websites is primarily centered on increasing user reach, user engagement and brand recognition, and attracting and retaining advertisers, among other factors.

Some of our competitors or potential competitors have longer operating histories and may have greater financial, management, technological, development, sales, marketing and other resources than we do. They may use their experience and resources to compete with us in a variety of ways, including by competing more heavily for users, advertisers and dealers, investing more heavily in research and development and making acquisitions. Some of our competitors have entered or may enter into business cooperation agreements with search engines, which may impact our ability to obtain additional user traffic from the same sources. If we are unable to compete effectively and at a reasonable cost against our existing and future competitors, our business, prospects and results of operations could be materially and adversely affected.

We also face competition from traditional advertising media, such as newspapers, magazines, yellow pages, television, radio and outdoor media. Advertisers in China generally allocate a significant portion of their marketing budgets to traditional advertising media. If we cannot effectively compete with traditional media for the marketing budgets of our existing and potential customers, our results of operations and growth prospects could be adversely affected.

If we fail to attract and retain users, our business and results of operations may be materially and adversely affected.

In order to maintain and strengthen our leading market position, we must continue to attract and retain users to our websites, which requires us to continue to provide quality content throughout the automobile-ownership cycle. We must also innovate and introduce services and applications that enhance user experience. In addition, we must maintain and enhance our brand recognition among consumers. If we fail to provide high-quality content, offer a superior user experience or maintain and enhance our brand, we may not be able to attract and retain users. If our user base decreases, our websites may be rendered less attractive to advertisers and our advertising services and dealer subscription services revenues may decline, which may have a material and adverse impact on our business, financial condition and results of operations.

We may not be able to successfully expand and monetize our mobile internet services.

We plan to continue to expand our mobile internet services and explore monetization strategies for our mobile internet services. We have made significant efforts in recent years to optimize the mobile version of our websites to display our content and develop new mobile applications to capture a greater number of users that access our services through mobile devices. For example, the number of our average daily unique users who access our websites via mobile devices and the number of our average daily unique users of our mobile applications amounted to approximately 1.8 million and 1.4 million, respectively, in December 2013. However, if we are unable to attract and retain a substantial number of mobile device users, or if we do not keep up with our competitors in developing attractive services that are adapted for such mobile devices, we may fail to capture a significant share of an increasingly important portion of the market for our services or lose existing users.

Furthermore, we are still in the midst of experimenting with early monetization strategies for our mobile internet services. Advertisers currently spend significantly less on advertising on mobile devices as compared to advertising on PCs, and may not increase their advertising spending on mobile devices in the future. If our users continue to allocate more time on our mobile services instead of our traditional PC services, mobile monetization may become increasingly important to our results of operations. Accordingly, if we are unable to successfully implement monetization strategies for our mobile internet users, our results of operations may be negatively affected.

 

7


Table of Contents

A limited number of automaker advertisers have accounted for, and are expected to continue to account for, a significant portion of our revenues. The failure to maintain or to increase revenues from these advertisers could harm our prospects.

A limited number of automaker advertisers have accounted for, and are expected to continue to account for, a significant portion of our revenues. Our top five advertisers, all of whom were automakers, contributed 19.5%, 20.0% and 15.0% of our net revenues in 2011, 2012 and 2013, respectively. In each of 2011, 2012 and 2013, approximately 80% of over 80 automakers operating in China used our advertising services. These automakers include independent Chinese automobile manufacturers, joint ventures between Chinese and international automobile manufacturers and international automobile manufacturers that sell cars made outside of China. We believe that our future revenue growth will be focused on deepening our existing commercial relationships with automakers to increase our share of each automaker’s advertising budget. If we fail to do so, our growth prospects could be harmed.

Due to the limited number of automakers operating in China and our revenue concentration attributable to a small number of these companies, any of the following events, among others, may cause a material decline in our revenue and materially and adversely affect our results of operations and prospects:

 

  

contract reduction, delay or cancellation by one or more significant advertisers and our failure to identify and acquire additional or replacement advertisers;

 

  

a substantial reduction by one or more of our significant advertisers in the price they are willing to pay for our services; and

 

  

financial difficulty of one or more of our significant advertisers who become unable to make timely payment for the advertisements placed on our websites.

We may not be able to successfully expand and monetize our dealer network.

We had local sales and service representatives covering 117 cities across China as of December 31, 2013. We intend to increase our penetration in existing dealer advertising and subscription services markets and expand into new geographic markets. China is a large and diverse country and business practices and demands may vary significantly by region. Our experience in the markets in which we currently operate may not be applicable in other parts of China. We may not be able to leverage our experience to expand into new geographic markets in China. As a result, our expansion and monetization strategies, including sales and marketing efforts designed to attract dealer advertisers and maximize the conversion of registered dealers using our free basic listing service into dealer subscribers, may be unsuccessful. Furthermore, expanding into new geographical markets will require us to hire additional employees to cover these markets. We will incur additional compensation and benefit costs, office rental expenses and other costs, as well as additional strain on our managerial resources. In addition, we intend to further monetize our existing dealer network by converting dealers that currently use our free listing service into dealer subscribers. If we are unable to successfully expand and monetize our dealer network and to generate sufficient revenues to cover our increased costs and expenses, our business and results of operations may be materially and adversely affected.

Our business depends on strong brand recognition, and failing to maintain or enhance our brands could adversely affect our business and prospects.

Maintaining and enhancing our “Autohome” and “Che168” brands is critical to our business and prospects. We believe that brand recognition will become increasingly important as the number of internet users in China grows and competition in our industry intensifies. A number of factors could prevent us from successfully promoting our brands, including user dissatisfaction with the content offered on our websites, negative publicity involving our business and the failure of our sales and marketing activities. If we fail to maintain and enhance our brands, or if we incur excessive expenses in this effort, our business, operating results and financial condition will be materially and adversely affected.

 

8


Table of Contents

Inaccuracy in pricing and listing information provided by our dealer customers may adversely affect our business and financial performance.

Our automobile listings and promotional information are provided and continuously updated by our dealer customers. Users interested in particular automobile models can conveniently search for up-to-date information on such models without having to visit the local showrooms of relevant dealers. If such listings and promotional information provided by our dealer customers is frequently inaccurate or not reliable, our users may lose faith in our websites, resulting in reduced user traffic to our websites and diminished value to advertisers, which could adversely affect our business and financial performance.

We may not be able to manage our expansion effectively.

We have experienced rapid growth in our business in recent years. The number of our employees grew rapidly from 547 as of December 31, 2011 to 912 as of December 31, 2012 and 1,191 as of December 31, 2013. Our net revenues increased from RMB433.2 million in 2011 to RMB732.5 million in 2012 to RMB1,216.5 million (US$201.0 million) in 2013, representing a CAGR of 67.6%. We expect to continue to grow our user base and our business operations. Our rapid expansion may expose us to new challenges and risks. To manage the further expansion of our business, we need to continuously expand and enhance our infrastructure and technology, and improve our operational and financial systems, procedures and internal controls. We also need to train, manage and motivate our growing employee base. In addition, we need to maintain and expand our relationships with automaker and dealer advertisers, advertising agencies and other third parties. We cannot assure you that our current and planned personnel, infrastructure, systems, procedures and controls will be adequate to support our expanding operations. If we fail to manage our expansion effectively, our business and results of operations may be materially and adversely affected.

We have a limited operating history, which makes it difficult to evaluate our business.

We have a limited operating history. Autohome.com.cn and che168.com were launched in 2005 and 2004, respectively. Our company was incorporated in June 2008 and acquired the entities that operated these two websites soon thereafter. Although we have achieved profitability in recent periods, our limited operating history makes the prediction of future results of operations difficult. Past results of operations achieved by us should not be taken as indicative of the rate of growth, if any, that can be expected in the future. You should consider our future prospects in light of the risks and uncertainties fast-growing companies with limited operating histories may encounter.

If we are unable to maintain our relationships with advertising agencies or if we are unable to collect accounts receivable from advertising agencies in a timely manner, our results of operations and prospects may be materially and adversely affected.

Although we consider automakers and dealers to be our end-customers, we sell our advertising services and solutions primarily to third-party advertising agencies that represent the automakers and dealers, as is customary in China. Our top ten advertising agencies accounted for 55.4%, 51.7% and 44.0% of our total net revenues in 2011, 2012 and 2013, respectively. In 2011, 2012 and 2013, our largest agency accounted for 10.0%, 9.0% and 6.7% of our total net revenues, respectively. We do not have long-term cooperation agreements or exclusive arrangements with these agencies and they may elect to direct business to other advertising service providers, including our competitors. If we fail to retain and enhance our business relationships with third-party advertising agencies, we may suffer from a loss of advertisers and our business, financial condition, results of operations and prospects may be materially and adversely affected. In our agreements with certain major advertising agencies, we undertake to provide them with most favored price terms. Such most favored price terms may hinder our ability to acquire new customers using special price terms.

In addition, we rely on third-party advertising agencies for the collection of payment from our advertisers. As a result, the financial soundness of our advertising agencies may affect our collection of accounts receivables. We make a credit assessment of the advertising agency to evaluate the collectibility of the advertising service fees before entering into an advertising contract. However, we cannot assure you that we will be able to accurately assess the creditworthiness of each advertising agency, and any failure of advertising agencies to pay us in a timely manner may adversely affect our liquidity and cash flows.

 

9


Table of Contents

If online advertising does not continue to grow in China, our ability to increase revenue and profitability could be materially and adversely affected.

The use of the internet as a marketing medium is still developing in China. As of December 2013, the internet penetration rate in China was only 45.8% according to the CNNIC, compared to 81.0% in the United States as of December 2012, according to ITU, a third-party market research firm. The expansion of China’s internet population may be limited by a number of factors, including limitations on network infrastructure and social and political uncertainties, among others.

Many of our current and potential advertisers and dealer subscribers have limited experience with the internet as a marketing medium, and historically have not devoted a significant portion of their marketing budgets to online marketing and promotion. As a result, they may not consider the internet an effective medium to promote or sell automobiles as compared to traditional print and broadcast media. Our ability to increase revenue and profitability from online marketing may be adversely impacted by a number of factors, many of which are beyond our control, including:

 

  

difficulties associated with developing a larger user base with demographic characteristics attractive to advertisers;

 

  

increased competition and potential downward pressure on online advertising prices;

 

  

difficulties in acquiring and retaining advertisers or dealer subscribers;

 

  

failure to develop an independent and reliable means of verifying online traffic; and

 

  

decreased use of the internet or online marketing in China.

If the internet does not become more widely accepted as a media platform for advertising and marketing, our business, financial position and results of operations could be materially and adversely affected.

If we are unable to grow our used automobile-related business through our repositioned che168.com website, we may not be able to achieve our expected business growth and our results of operations may be adversely affected.

Historically, we have delivered content related to new and used automobiles through both autohome.com.cn and che168.com websites whose user bases overlap to some extent. We redesigned our che168.com website in October 2011 to focus on used automobile information and content. Through this website, we offer used automobile listing services to dealers and individual car owners through a user interface that allows potential used car buyers to identify listings that meet their specific requirements and contact the dealer or individual selling the selected car. Revenue from che168.com currently contributes an immaterial portion of our total revenues.

We may not be able to successfully grow our used automobile-related business through our repositioned che168.com website. Although the used automobile market in China is growing due to the increased number of consumer-owned automobiles, there is still significant uncertainty regarding to the extent our che168.com business may benefit from such growth. We may not be able to attract a broad user base to the che168.com website. Even if we are able to grow our user base, we may not be able to establish a business model that allows us to successfully monetize the user traffic. In such a case, we may not be able to achieve our expected business growth and our results of operations may be adversely affected.

Our business is subject to fluctuations, which makes our results of operations difficult to predict and may cause our quarterly results of operations to fall short of expectations.

Our quarterly revenues and other operating results have fluctuated in the past and may continue to fluctuate depending upon a number of factors, many of which are beyond our control. For these reasons, comparing our operating results on a period-to-period basis may not be meaningful, and you should not rely on our past results as an indication of our future performance. For instance, our advertising services revenues typically increase in the second quarter as automakers increase marketing activities in connection with China’s major auto shows, and in the fourth quarter as advertisers seek to complete year-end marketing campaigns. Demand for our advertising services is generally lowest in the first quarter of each year, primarily due to a general slowdown in business activities and a reduced number of working days during the Chinese New Year holiday period.

 

10


Table of Contents

In addition, because a significant portion of our advertising services revenues is attributable to new model promotion campaigns, the timing of new car releases of our major automaker advertisers can have a significant impact on our results of operations. The timing of such releases, however, is subject to uncertainty due to various factors such as automakers’ design or manufacturing issues, marketing conditions and government incentives or restrictions. These factors may make our results of operations difficult to predict and cause our quarterly results of operations to fall short of expectations.

Problems with our network infrastructure or information technology systems could impair our ability to provide services.

Our ability to provide our users with a high quality online experience depends on the continuing operation and scalability of our network infrastructure and information technology systems. Our systems are potentially vulnerable to damage or interruption as a result of earthquakes, floods, fires, extreme temperatures, power loss, telecommunications failures, technical error, computer viruses, hacking and similar events. We may encounter problems when upgrading our systems or services and undetected programming errors could adversely affect the performance of the software we use to provide our services. The development and implementation of software upgrades and other improvements to our internet services is a complex process, and issues not identified during pre-launch testing of new services may only become evident when such services are made available to our entire user base.

In addition, we rely on content delivery networks, data centers and other network facilities provided by third parties. Any disruption to these network facilities may result in service interruptions, decreases in connection speed, degradation of our services or the permanent loss of user data and uploaded content. If we experience frequent or persistent service disruptions, whether caused by failures of our own systems or those of third-party service providers, our reputation or relationships with our users or advertisers may be damaged and our users and advertisers may switch to our competitors, which may have a material adverse effect on our business, financial condition and results of operations.

Computer viruses and “hacking” may cause delays or interruptions on our systems and may reduce use of our services and damage our reputation and brand names.

Computer viruses and “hacking” may cause delays or other service interruptions on our systems. “Hacking” involves efforts to gain unauthorized access to information or systems or to cause intentional malfunctions, loss or corruption of data including user identity data, software, hardware or other computer equipment. In addition, the inadvertent transmission of computer viruses could result in significant damage to our hardware and software systems and databases, disruptions to our business activities, including our e-mail and other communications systems, breaches of security and inadvertent disclosure of confidential or sensitive information, interruptions in access to our website through the use of “denial of service” or similar attacks and other material adverse effects on our operations. We have experienced hacking attacks in the past, and although such attacks in the past have not had a material adverse effect on our operations, there is no assurance that there will be no serious computer viruses or hacking attacks in the future. We may incur significant costs to protect our systems and equipment against the threat of, and to repair any damage caused by, computer viruses and hacking. Moreover, if a computer virus or hacking affects our systems and is highly publicized, our reputation and brand names could be materially damaged and use of our services may decrease.

The continuing and collaborative efforts of our senior management, key employees and highly skilled personnel are crucial to our success, and our business may be harmed if we were to lose their services.

Our success depends on the continuous effort and services of our senior management team and other key personnel. In particular, we rely on the expertise and experience of our executive officers named in this annual report. If one or more of our executive officers or other key personnel are unable or unwilling to continue to provide us with their services, we may not be able to replace them within a short period of time or at all. Our business may be severely disrupted, our financial condition and results of operations may be materially and adversely affected, and we may incur additional expenses to recruit, train and retain personnel. If any of our executive officers joins a competitor or forms a competing company, we may lose advertisers, know-how and key professionals and staff members. Each of our executive officers has entered into an employment agreement with Autohome WFOE, which contains non-competition provisions. However, if any dispute arises between us and our executive officers, we may have to incur substantial costs and expenses in order to enforce these agreements in China.

 

11


Table of Contents

Our performance and future success also depend on our ability to identify, hire, develop, motivate and retain skilled personnel for all areas of our organization. Competition in the automotive and internet advertising industries for qualified employees is intense, and if competition in these industries further intensifies, it may be more difficult for us to hire, motivate and retain highly skilled personnel. If we do not succeed in attracting additional highly skilled personnel or retaining or motivating our existing personnel, we may be unable to grow effectively or at all.

If we fail to protect our intellectual property rights, our brand and business may suffer.

We rely on a combination of trademark, patent, copyright and trade secret protection laws in the PRC and other jurisdictions, as well as through confidentiality agreements and other measures, to protect our intellectual property rights. Our major brand names and logos are registered trademarks in China. Most of our professionally produced content available on our websites and proprietary software are protected by copyright laws. Despite our precautions, third parties may obtain and use our intellectual property without our authorization. Historically, the legal system and courts of the PRC have not protected intellectual property rights to the same extent as the legal system and courts of the United States, and companies operating in the PRC continue to face an increased risk of intellectual property infringement. Furthermore, the validity, application, enforceability and scope of protection of intellectual property rights for many internet-related activities, such as internet commercial methods patents, are uncertain and still evolving in China and abroad, which may make it more difficult for us to protect our intellectual property. From time to time, other websites may use our articles, photos or other content without our proper authorization. Although such use has not in the past caused any material damage to our business, it is possible that there may be misappropriation on a much larger scale with a material adverse impact to our business. If we are unable to adequately protect our intellectual property rights in the future, our business may suffer.

We may be vulnerable to intellectual property infringement claims brought against us by others.

Internet, technology and media companies are frequently involved in litigation based on allegations of infringement of intellectual property rights, unfair competition, invasion of privacy, defamation and other violation of other parties’ rights. We have never experienced any material claims on these issues against us in the past, but as we face increasing competition and as litigation becomes more common in China in resolving commercial disputes, we face a higher risk of being the subject of intellectual property infringement claims. We may be subject to legal proceedings and claims from time to time relating to the intellectual property of others in the ordinary course of our business. We could also be subject to claims based upon the content that is displayed on our websites or accessible from our websites through links to other websites or information on our websites supplied by third parties. Intellectual property claims and litigation are expensive and time-consuming to investigate and defend and may divert resources and management attention from the operation of our websites. Such claims, even if they do not result in liability, may harm our reputation. Any resulting liability or expenses, or changes required to our websites to reduce the risk of future liability, may have a material adverse effect on our business, financial condition and results of operations.

We may be subject to liability for advertisements and other content placed on our website.

The PRC government has adopted regulations governing advertising content as well as internet access and the distribution of information over the internet. Under PRC advertising laws and regulations, we are obligated to monitor the advertising content shown on our websites to ensure that such content is true and accurate and in full compliance with applicable laws and regulations. See “Item 4. Information on the Company—B. Business Overview—Regulation—Regulations on Advertisements.” Under the internet information regulations, internet content providers and internet publishers are prohibited from posting or displaying over the internet content that, among other things, compromises national security, harms the dignity or interests of the state, incites ethnic hatred or racial discrimination, undermines the PRC’s religious policy, disturbs social order, disseminates obscenity or pornography, encourages gambling, violence, murder or fear, incites the commission of a crime, infringes upon the lawful rights and interests of a third party, or is otherwise prohibited by law or administrative regulations. See “Item 4. Information on the Company—B. Business Overview—Regulation—Regulations on Internet Content Services.”

 

12


Table of Contents

We display advertisements on our websites. In addition, through our websites and user forums, we allow users to upload written materials, images, pictures and other content on our websites, and also allow users to share and link to content from other websites through our websites. Failure to identify and prevent illegal or inappropriate content from being displayed on or through our websites may subject us to liability. We cannot assure you that all of the advertisements and content shown or posted on our websites adhere to the advertising and internet content laws and regulations, especially given the uncertainty in the interpretation of these PRC laws and regulations.

If PRC regulatory authorities determine that any advertisements or content displayed on our websites do not adhere to applicable laws and regulations, they may require us to limit or eliminate the dissemination or availability of such advertisements and other content on our websites in the form of take-down orders or otherwise. Such regulatory authorities may also impose penalties on us, including fines, confiscation of advertising income or, in circumstances involving more serious violations by us, the termination of our advertising or internet content license, any of which would materially and adversely affect our business and results of operations.

In addition, we may be subject to claims by consumers asserting that the information on our websites is misleading, and we may not be able to recover our losses from advertisers. As a result, our business, financial condition and results of operations could be materially and adversely affected.

Any financial or economic crisis, or perceived threat of such a crisis, including a significant decrease in consumer confidence, may materially and adversely affect our business, financial condition and results of operations.

The global financial markets experienced significant disruptions in 2008 and the United States, European and other economies went into recession. The recovery from the lows of 2008 and 2009 was uneven and it is facing new challenges, including the escalation of the European sovereign debt crisis since 2011. It is unclear whether the European sovereign debt crisis will be contained and what effects it may have. There is considerable uncertainty over the long-term effects of the expansionary monetary and fiscal policies that have been adopted by the central banks and financial authorities of some of the world’s leading economies, including China’s. Economic conditions in China are sensitive to global economic conditions. Any slowdown in China’s economic development might lead to tighter credit markets, increased market volatility, sudden drops in business and consumer confidence and dramatic changes in business and consumer behaviors. In response to their perceived uncertainty in economic conditions, consumers might delay, reduce or cancel purchases of automobiles, which are still considered luxury items in China, and our advertisers may also defer, reduce or cancel purchasing our services. To the extent any fluctuations in the Chinese economy significantly affect automakers’ and dealers’ demand for our services or change their spending habits, our results of operations may be materially and adversely affected.

We are a “controlled company” within the meaning of the New York Stock Exchange corporate governance requirements, which may result in public investors not having as much protection as they would if we were not a controlled company.

As of March 28, 2014, Telstra owned 65.4% of the total voting rights in our company, and we are a “controlled company” under Section 303A of the NYSE Listed Company Manual. As a controlled company, we rely on certain exemptions that are available to controlled companies from the New York Stock Exchange corporate governance requirements, including the requirements that:

 

  

a majority of our board of directors consists of independent directors;

 

  

our compensation committee be composed entirely of independent directors; and

 

  

our corporate governance and nominating committee be composed entirely of independent directors.

We are not required to and will not voluntarily meet these requirements. As a result of our use of the “controlled company” exemption, our investors will not have the same protection as they would if we were not a controlled company.

 

13


Table of Contents

In addition, because Telstra owns 65.4% of the voting rights in our company, it has decisive influence in determining the outcome of any corporate transaction or other matter submitted to the shareholders for approval, including mergers, consolidations and the sale of all or substantially all of our assets, election of directors and other significant corporate actions. Without the consent of Telstra, we may be prevented from entering into transactions that could be beneficial to us. The interests of Telstra and our other large shareholders may differ from the interests of our other shareholders.

If we fail to maintain an effective system of internal control over financial reporting, our ability to accurately and timely report our financial results or prevent fraud may be adversely affected, and investor confidence and the market price of our ADSs may be adversely impacted.

We are not currently required to comply with Section 404 and applicable rules and regulations thereunder, and are therefore not required to make a formal assessment of the effectiveness of our internal controls over financial reporting for purposes of identifying and reporting material weaknesses and other deficiencies in our internal control over financial reporting. In connection with the audit of our consolidated financial statements for the year ended and as of December 31, 2011, we and our independent registered public accounting firm identified a material weakness in our internal control over financial reporting, as defined in the standards established by the United States Public Company Accounting Oversight Board, or PCAOB. Pursuant to PCAOB standards, a material weakness is a deficiency, or a combination of deficiencies, in internal control over financial reporting, such that there is a reasonable possibility that a material misstatement of the company’s annual or interim financial statements will not be prevented on a timely basis. The material weakness identified was that our company did not have sufficient U.S. GAAP and SEC financial reporting expertise nor sufficient oversight and review of the financial statement closing process.

Since the second half of 2011, we have implemented several measures to remediate the above-mentioned material weakness. For example, we have hired a number of senior level financial reporting and internal control personnel with U.S. GAAP and SEC financial reporting expertise and engaged an internal control consultant. We have developed appropriate U.S. GAAP accounting policies and designed controls over our significant accounting processes, entity level controls and financial reporting close process. We have established an internal audit function. We have also taken a number of additional measures, including:

 

  

providing additional regular training programs to our existing financial reporting personnel to update their knowledge of U.S. GAAP and SEC reporting requirements;

 

  

enhancing our existing accounting manual for recurring transactions and period-end closing processes; and

 

  

further improving effective monitoring and oversight controls for non-recurring and complex transactions to help ensure the accuracy and completeness of financial statements and related disclosures.

For the years ended December 31, 2012 and 2013, we performed a limited review of our internal control over financial reporting as part of our annual risk management assessment process, and no material weakness was noted.

It is possible that, had we performed a formal assessment of our internal control over financial reporting or had our independent registered public accounting firm performed an audit of our internal control over financial reporting, additional internal control deficiencies may have been identified. We are a public company in the United States and subject to Section 404 and applicable rules and regulations thereunder. Section 404 requires that we include a report of management on our internal control over financial reporting in our annual report on Form 20-F beginning with our annual report for the fiscal year ending December 31, 2014. In addition, once we cease to be an “emerging growth company” as such term is defined in the JOBS Act, our independent registered public accounting firm must attest to and report on the effectiveness of our internal control over financial reporting. Our management may conclude that our internal control over financial reporting is not effective when they are required to include such a report. Moreover, even if our management concludes that our internal control over financial reporting is effective, our independent registered public accounting firm, after conducting its own independent testing, may conclude that our internal controls are not effective if it is not satisfied with our internal controls or the level at which our controls are documented, designed, operating or reviewed, or if it interprets the relevant requirements differently from us. If we fail to timely achieve and maintain the adequacy of our internal controls, we may not be able to conclude that we have effective internal control over financial reporting. As a result, our failure to achieve and maintain effective internal control over financial reporting could result in the loss of investor confidence in the reliability of our financial statements, which in turn could harm our business and negatively impact the market price of our ADSs.

 

14


Table of Contents

We have limited business insurance coverage.

Insurance companies in China currently do not offer as extensive an array of insurance products as insurance companies do in more developed economies. We do not have any business liability or disruption insurance to cover our operations. We have determined that the costs of insuring for these risks and the difficulties associated with acquiring such insurance on commercially reasonable terms make it impractical for us to have such insurance. Any uninsured occurrence of business disruption may result in our incurring substantial costs and the diversion of resources, which could have an adverse effect on our results of operations and financial condition.

We face risks related to health epidemics and natural disasters.

Our business could be adversely affected by the effects of H1N1 flu, avian flu, Severe Acute Respiratory Syndrome, or SARS, or another epidemic. China reported a number of cases of SARS in 2003, which resulted in the closure of many businesses by the PRC government to prevent the transmission of SARS. In recent years, there have been reports of occurrences of avian flu in various parts of China, including a few confirmed human cases and deaths. In 2009, the global spread of H1N1 flu resulted in several confirmed infections and deaths in China. Restrictions on travel resulting from any prolonged outbreak of H1N1 flu, avian flu, SARS or another epidemic could adversely affect our ability to market our services to users, automakers and dealers throughout China. Our business operations could be disrupted if one of our employees is suspected of having H1N1 flu, avian flu, SARS or another epidemic, which could require that a certain number of our employees be quarantined and/or our offices be disinfected. In addition, our results of operations could be adversely affected to the extent that H1N1 flu, avian flu, SARS or another outbreak harms the Chinese economy in general.

We are also vulnerable to natural disasters and other calamities. Although our servers are hosted in an offsite location, our backup system does not capture data on a real-time basis and we may be unable to recover certain data in the event of a server failure. We cannot assure you that any backup systems will be adequate to protect us from the effects of fire, floods, typhoons, earthquakes, power loss, telecommunications failures, break-ins, war, riots, terrorist attacks or similar events. Any of the foregoing events may give rise to server interruptions, breakdowns, system failures, technology platform failures or internet failures, which could cause the loss or corruption of data or malfunctions of software or hardware as well as adversely affect our ability to provide services. In addition, a severe disaster could affect the operations or financial condition of our customers and suppliers, which could harm our results of operations. For example, certain Japanese automakers or their joint ventures in China delayed or cancelled advertising campaigns following the earthquake and tsunami in Japan in March 2011.

Risks Related to Our Corporate Structure

If the PRC government finds that the agreements that establish the structure for operating our services in China do not comply with PRC governmental restrictions on foreign investment in internet businesses, or if these regulations or the interpretation of existing regulations change in the future, we could be subject to severe penalties or be forced to relinquish our interests in those operations.

Current PRC laws and regulations place certain restrictions on foreign ownership of companies that provide internet content services in China. Specifically, foreign ownership of internet service providers or other value-added telecommunication service providers may not exceed 50%. In addition, according to the Several Opinions on the Introduction of Foreign Investment in the Cultural Industry promulgated by the Ministry of Culture, the State Administration of Radio, Film and Television, or the SARFT, the General Administration of Press and Publication, or the GAPP, the National Development and Reform Commission and the Ministry of Commerce in June 2005, foreign investors are prohibited from investing in or operating “internet cultural activities.” Furthermore, PRC laws and regulations do not allow foreign entities with less than two years of direct experience operating an advertising business outside of China to invest in an advertising business in China. Before we acquired Autohome Media Limited, or Autohome Media, which was previously known as Prbrownies Marketing Limited, or Prbrownies Marketing, in October 2013, we had no direct experience operating an advertising business outside of China and were not allowed to invest directly in a PRC entity that provides advertising services in China. We are a Cayman Islands company and foreign legal person under PRC laws. Accordingly, neither we nor our wholly foreign-invested PRC subsidiaries are currently eligible to apply for the required licenses for providing internet content services in China.

 

15


Table of Contents

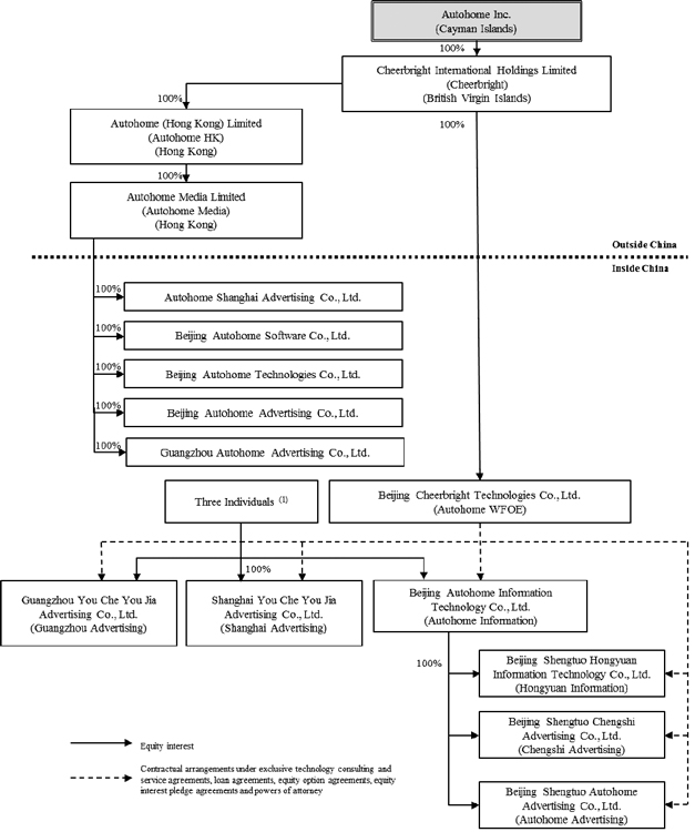
As such, we conduct our business through contractual arrangements in China. In particular, we operate our internet content business through Autohome Information and Hongyuan Information, a wholly-owned subsidiary of Autohome Information. We mainly operate our internet advertising business through two wholly-owned subsidiaries of Autohome Information: Chengshi Advertising and Autohome Advertising. These entities hold licenses and permits required to operate our internet content business and internet advertising business. Autohome Information is currently owned by individual shareholders who are PRC citizens and hold the requisite licenses or permits to provide internet content and advertising services in China. We do not have an equity interest in Autohome Information or its subsidiaries but substantially control their operations and receive the economic benefits through a series of contractual arrangements. We have been and are expected to continue to be dependent upon Autohome Information and its subsidiaries to operate our businesses in the near future. In December 2011 and May 2012, we established two new VIEs, Shanghai Advertising and Guangzhou Advertising, respectively. Autohome WFOE entered into a series of contractual arrangements with Shanghai Advertising and its shareholders and Guangzhou Advertising and its shareholders with terms and conditions substantially similar to the contractual arrangements among Autohome WFOE, Autohome Information and its shareholders. We provide advertising services through Shanghai Advertising and Guangzhou Advertising to automotive industry customers around the Shanghai and Guangzhou areas, respectively. In October 2013, Autohome HK acquired Autohome Media, a Hong Kong advertising and marketing company. Autohome Media has engaged in advertising business outside the PRC for more than three years, and is therefore qualified to directly invest in a PRC company providing advertising services in accordance with PRC laws. We plan to gradually migrate our advertising business from our VIEs to Autohome Media and its subsidiaries, a transition we expect to complete in the next three to four years. For more information regarding these contractual arrangements, see “Item 7. Major Shareholders and Related Party Transactions—B. Related Party Transfer—Contractual Arrangements.”

Based on the advice of TransAsia Lawyers, our PRC legal counsel, the corporate structure of our VIEs and our subsidiaries in China are in compliance with all existing PRC laws and regulations. However, as there are substantial uncertainties regarding the interpretation and application of PRC laws and regulations, we cannot assure you that the PRC government would agree that our corporate structure or any of the above contractual arrangements comply with PRC licensing, registration or other regulatory requirements, with existing policies or with requirements or policies that may be adopted in the future. PRC laws and regulations governing the validity of these contractual arrangements are uncertain and the relevant government authorities have broad discretion in interpreting these laws and regulations.

If we or any of our current or future VIEs or subsidiaries are found to be in violation of any existing or future PRC laws or regulations, or fail to obtain or maintain any of the required permits or approvals, the relevant PRC regulatory authorities, including the Ministry of Industry and Information Technology, or MIIT, which regulates internet information services companies, the State Administration for Industry and Commerce, or SAIC, which regulates advertising companies, and the CSRC would have broad discretion in dealing with such violations, including levying fines, confiscating our income or the income of Autohome WFOE and the VIEs, revoking the business licenses or operating licenses of Autohome WFOE and the VIEs, shutting down our servers or blocking our websites, discontinuing or placing restrictions or onerous conditions on our operations, requiring us to undergo a costly and disruptive restructuring, restricting our rights to use the proceeds from our initial public offering to finance our business and operations in China, or taking other enforcement actions that could be harmful to our business.

Any of these actions could cause significant disruption to our business operations and severely damage our reputation, which would in turn materially and adversely affect our business and results of operations. In addition, if the imposition of any of these penalties causes us to lose the rights to direct the activities of the VIEs or our right to receive their economic benefits, we would no longer be able to consolidate the VIEs. The VIEs contributed substantially all of our consolidated net revenues since 2009.

 

16


Table of Contents

Our contractual arrangements with our VIEs may not be as effective in providing operational control as direct ownership.

We have relied and expect to continue to rely on contractual arrangements with Autohome Information, its subsidiaries and its shareholders to operate our business. We may rely on Shanghai Advertising and Guangzhou Advertising in the near future to operate a certain portion of our business. For a description of these contractual arrangements, see “Item 7. Major Shareholders and Related Party Transactions—B. Related Party Transfer—Contractual Arrangements.” These contractual arrangements may not be as effective in providing us with control over these affiliated entities as direct ownership. If we had direct ownership of these entities, we would be able to exercise our rights as a shareholder to effect changes in the board of directors, which in turn could effect changes, subject to any applicable fiduciary obligations, at the management level. However, under the current contractual arrangements, we rely on the performance by these entities and their shareholders of their contractual obligations to exercise control over our VIEs. Therefore, our contractual arrangements with our VIEs may not be as effective in ensuring our control over our China operations as direct ownership would be.

Shareholders of our VIEs may breach, or cause our VIEs to breach, or refuse to renew, the existing contractual arrangements we have with them and our VIEs. Any failure by our VIEs or their shareholders to perform their obligations under our contractual arrangements with them would have a material adverse effect on our business and financial condition.

Shareholders of our VIEs may breach, or cause our VIEs to breach, or refuse to renew, the existing contractual arrangements we have with them and our VIEs. If our VIEs or their shareholders fail to perform their obligations under the contractual arrangements, we may have to incur substantial costs and expend resources to enforce our rights under the contracts. We may have to rely on legal remedies under PRC law, including seeking specific performance or injunctive relief and claiming damages, which may not be effective. For example, if the shareholders of Autohome Information were to refuse to transfer their equity interests in Autohome Information to us or our designee when we exercise the call option pursuant to these contractual arrangements, if they transfer the equity interests to other persons against our interests, or if they were otherwise to act in bad faith toward us, then we may have to take legal actions to compel them to perform their contractual obligations.

All of these contractual arrangements are governed by PRC law and provide for the resolution of disputes through arbitration in the PRC. Accordingly, these contracts would be interpreted in accordance with PRC law and any disputes would be resolved in accordance with PRC legal procedures. The legal system in the PRC is not as developed as in other jurisdictions, such as the United States. As a result, uncertainties in the PRC legal system could limit our ability to enforce these contractual arrangements. Under PRC law, rulings by arbitrators are final, parties cannot appeal the arbitration results in courts, and the prevailing parties may only enforce the arbitration awards in PRC courts through arbitration award recognition proceedings, which would incur additional expenses and delay. In the event we are unable to enforce these contractual arrangements, we may not be able to exert effective control over our VIEs, and our ability to conduct our business may be negatively affected.

Contractual arrangements our subsidiary has entered into with our VIEs may be subject to scrutiny by the PRC tax authorities and a finding that we or our VIEs owe additional taxes could substantially reduce our consolidated net income and the value of your investment.

Under PRC laws and regulations, arrangements and transactions among related parties may be subject to audit or challenge by the PRC tax authorities within ten years after the taxable year when the transactions are conducted. We could face material and adverse tax consequences if the PRC tax authorities determine that the contractual arrangements among Autohome WFOE, our VIEs and the shareholders of our VIEs do not represent arm’s-length prices and consequently adjust Autohome WFOE’s or our VIEs’ income in the form of a transfer pricing adjustment. A transfer pricing adjustment could, among other things, result in a reduction, for PRC tax purposes, of expense deductions recorded by our VIEs, which could in turn increase their tax liabilities. In addition, the PRC tax authorities may impose late payment fees and other penalties on Autohome WFOE or our VIEs for any unpaid taxes. Our consolidated net income may be materially and adversely affected if Autohome WFOE or our VIEs’ tax liabilities increase or if they are subject to late payment fees or other penalties.

 

17


Table of Contents

The shareholders of our VIEs may have potential conflicts of interest with us, which may materially and adversely affect our business.

The shareholders of our VIEs are James Zhi Qin, our director and chief executive officer, Xiang Li, our director and president, and Zheng Fan, our vice president. Each of these three individuals is also a beneficial owner of our company and a PRC citizen. They hold 8%, 68% and 24%, respectively, of the equity interests in each of our VIEs. Conflicts of interest may arise between their roles as directors, officers and/or beneficial owners of our holding company and as shareholders of our VIEs. In addition, the controlling shareholders of our company are substantially different from that of the VIEs, which may heighten any conflicts of interest that could arise between the two groups of shareholders. We cannot assure you that when conflicts of interest arise, any or all of these equity holders will act in the best interests of our company or such conflicts will be resolved in our favor. Currently, we do not have any arrangements to address potential conflicts of interest between these equity holders and our company. We rely on these three individuals to comply with the laws of China, which protect contracts, provide that directors and executive officers owe a duty of loyalty and a duty of diligence to our company and require them to avoid conflicts of interest and not to take advantage of their positions for personal gain. We also rely on the laws of Cayman Islands, which provide that directors owe a duty of care and a duty of loyalty to our company. However, the legal frameworks of China and the Cayman Islands do not provide guidance on resolving conflicts in the event of a conflict with another corporate governance regime. If we cannot resolve any conflict of interest or dispute between us and the shareholders of our VIEs, we would have to rely on legal proceedings, which could result in disruption of our business and subject us to substantial uncertainty as to the outcome of any such legal proceedings.

We may rely on dividends and other distributions on equity paid by our PRC subsidiaries to fund any cash and financing requirements we may have. Any limitation on the ability of our PRC subsidiaries to pay dividends to us could have a material adverse effect on our ability to conduct our business.

We are a holding company, and we may rely on dividends and other distributions on equity to be paid by our wholly-owned PRC subsidiaries for our cash and financing requirements, including the funds necessary to pay dividends and other cash distributions to our shareholders and service any debt we may incur. If Autohome WFOE incurs debt on its own behalf in the future, the instruments governing the debt may restrict its ability to pay dividends or make other distributions to us.

Under PRC laws and regulations, Autohome WFOE, as a wholly foreign-owned enterprise in the PRC, may pay dividends only out of its accumulated profits as determined in accordance with PRC accounting standards and regulations. In addition, a wholly foreign-owned enterprise such as Autohome WFOE is required to set aside at least 10% of its accumulated after-tax profits, if any, each year to fund certain statutory reserve funds, until the aggregate amount of such a fund reaches 50% of its registered capital. These statutory reserve funds are not distributable as cash dividends. As of December 31, 2013, Autohome WFOE had RMB0.9 million (US$0.1 million) as its statutory reserve funds, which was 50% of its registered capital.

Any limitation on the ability of Autohome WFOE to pay dividends or make other distributions to us could materially and adversely limit our ability to grow, make investments or acquisitions that could be beneficial to our business, pay dividends, or otherwise fund and conduct our business.

PRC regulation of loans to, and direct investment in, PRC entities by offshore holding companies and governmental control of currency conversion may restrict or prevent us from using the proceeds of our initial public offering to make loans to our PRC subsidiaries and VIEs or to make additional capital contributions to our PRC subsidiaries, which may materially and adversely affect our liquidity and our ability to fund and expand our business.

We are an offshore holding company conducting our operations in China through our PRC subsidiaries and VIEs. We may make loans to our PRC subsidiaries and VIEs, or we may make additional capital contributions to our PRC subsidiaries. Any loans by us to our PRC subsidiaries, which are treated as foreign-invested enterprises under PRC law, are subject to PRC regulations and foreign exchange loan registrations. For example, loans by us to Autohome WFOE to finance its activities cannot exceed statutory limits and must be registered with the local counterpart of the State Administration of Foreign Exchange, or SAFE. We may also decide to finance Autohome WFOE by means of capital contributions. These capital contributions must be approved by the PRC Ministry of Commerce or its local counterpart. Due to the restrictions imposed on loans in foreign currencies extended to any PRC domestic companies, we are not likely to make such loans to our VIEs, which are PRC domestic companies. Further, we are not likely to finance the activities of our VIEs by means of capital contributions due to regulatory restrictions relating to foreign investment in PRC domestic enterprises engaged in internet content services and online advertising businesses.

 

18


Table of Contents

On August 29, 2008, SAFE promulgated the Circular on the Relevant Operating Issues Concerning the Improvement of the Administration of the Payment and Settlement of Foreign Currency Capital of Foreign-Invested Enterprises, or SAFE Circular 142, regulating the conversion by a foreign-invested enterprise of foreign currency registered capital into RMB by restricting how the converted RMB may be used. SAFE Circular 142 provides that the RMB capital converted from foreign currency registered capital of a foreign-invested enterprise may only be used for purposes within the business scope approved by the applicable governmental authority and may not be used for equity investments within the PRC. In addition, SAFE strengthened its oversight of the flow and use of the RMB capital converted from foreign currency registered capital of a foreign-invested company. The use of such RMB capital may not be altered without SAFE approval, and such RMB capital may not in any case be used to repay RMB loans if the proceeds of such loans have not been used. Violations of SAFE Circular 142 could result in severe monetary or other penalties. Furthermore, SAFE promulgated a circular on November 19, 2010, or Circular No. 59, which tightens the examination on the authenticity of settlement of net proceeds from an offering and requires that the settlement of net proceeds shall be in accordance with the description in its annual report.

In light of the various requirements imposed by PRC regulations on loans to and direct investment in PRC entities by offshore holding companies, including SAFE Circular 142, we cannot assure you that we will be able to complete the necessary government registrations or obtain the necessary government approvals on a timely basis, if at all, with respect to future loans by us to our PRC subsidiaries or VIEs or with respect to future capital contributions by us to our PRC subsidiaries. If we fail to complete such registrations or obtain such approvals, our ability to use the proceeds we received from our initial public offering and to capitalize or otherwise fund our PRC operations may be negatively affected, which could materially and adversely affect our liquidity and our ability to fund and expand our business.

If our PRC subsidiaries or VIEs become the subject of a bankruptcy or liquidation proceeding, we may lose the ability to use and enjoy substantially all of our assets, which could reduce the size of our operations and materially and adversely affect our business, ability to generate revenues and the market price of our ADSs.

As part of the contractual arrangements with Autohome Information, its shareholders and its subsidiaries, Autohome Information and its subsidiaries hold operating permits and licenses and substantially all of the assets that are important to the operation of our business. We expect to continue to be dependent on Autohome Information and its subsidiaries to operate our business in China. We may rely on Shanghai Advertising and Guangzhou Advertising in the near future to operate a certain portion of our business. If our VIEs go bankrupt and all or part of their assets become subject to liens or rights of third-party creditors, we may be unable to continue some or all of our business activities, which would materially and adversely affect our business, financial condition and results of operations. If our VIEs undergo a voluntary or involuntary liquidation proceeding, their equity holders or unrelated third-party creditors may claim rights to some or all of these assets, thereby hindering our ability to operate our business, which would materially and adversely affect our business, our ability to generate revenues and the market price of our ADSs.

Risks Related to Doing Business in China

Changes in China’s economic, political or social conditions or government policies could have a material adverse effect on our business and operations.

The majority of our assets and operations are located in China. Accordingly, our business, financial condition, results of operations and prospects may be influenced to a significant degree by political, economic and social conditions in China generally and by continued economic growth in China as a whole.

The Chinese economy differs from the economies of most developed countries in many respects, including the level of government involvement, level of development, growth rate, control of foreign exchange and allocation of resources. Although the Chinese government has implemented measures since the late 1970s emphasizing the utilization of market forces for economic reform, the reduction of state ownership of productive assets, and the establishment of improved corporate governance in business enterprises, a substantial portion of productive assets in China is still owned by the Chinese government. In addition, the Chinese government continues to play a significant role in regulating industry development by imposing industrial policies. The Chinese government also exercises significant control over China’s economic growth through allocating resources, controlling payment of foreign currency-denominated obligations, setting monetary policy, and providing preferential treatment to particular industries or companies.

 

19


Table of Contents

While the Chinese economy has experienced significant growth over the past decades, growth has been uneven, both geographically and among various sectors of the economy. The Chinese government has implemented various measures to encourage economic growth and guide the allocation of resources. Some of these measures may benefit the overall Chinese economy, but may have a negative effect on us. For example, our financial condition and results of operations may be adversely affected by government control over capital investments or changes in tax regulations. In addition, in the past the Chinese government has implemented certain measures, including interest rate increases, to control the pace of economic growth. These measures may cause decreased economic activity in China, which may adversely affect our business and operating results.

Uncertainties with respect to the PRC legal system could adversely affect us.

We conduct our business primarily through our PRC subsidiaries and VIEs in China. Our operations in China are governed by PRC laws and regulations. Uncertainties in the interpretation and enforcement of PRC laws and regulations could limit the legal protections available to you and us. In 1979, the PRC government began to promulgate a comprehensive system of laws and regulations governing economic matters in general. The overall effect of legislation over the past several decades has significantly enhanced the protections afforded to various forms of foreign investments in China. However, China has not developed a fully integrated legal system, and recently enacted laws and regulations may not sufficiently cover all aspects of economic activities in China. In particular, because these laws and regulations are relatively new, and because of the limited volume of published decisions and their nonbinding nature, the interpretation and enforcement of these laws and regulations involve uncertainties. Since PRC administrative and court authorities have significant discretion in interpreting and implementing statutory and contractual terms, it may be difficult to evaluate the outcome of administrative and court proceedings and the level of legal protection we enjoy. Furthermore, the PRC legal system is based in part on government policies and internal rules, some of which are not published on a timely basis or at all, which may have a retroactive effect. As a result, we may not be aware of our violation of these policies and rules until some time after the violation. In addition, any administrative and court proceedings in China may be protracted, resulting in substantial costs and diversion of resources and management attention.

We may be adversely affected by the complexity, uncertainties and changes in PRC regulation of internet business and companies.

The PRC government extensively regulates the internet industry, including foreign ownership of, and the licensing and permit requirements pertaining to, companies in the internet industry. These internet-related laws and regulations are relatively new and evolving, and their interpretation and enforcement involve significant uncertainty. As a result, in certain circumstances it may be difficult to determine what actions or omissions may be deemed to be violations of applicable laws and regulations. Issues, risks and uncertainties relating to PRC government regulation of the internet industry include, but are not limited to, the following:

 

  

We only have contractual control over our websites. We do not own the websites due to the restriction on foreign investment in businesses providing value-added telecommunication services in China, including internet content provision services.

 

  

There are uncertainties relating to the regulation of the internet industry in China, including evolving licensing requirements. This means that permits, licenses or operations at some of our companies may be subject to challenge, or we may fail to obtain permits or licenses that applicable regulators may deem necessary for our operations or we may not be able to obtain or renew permits or licenses. For example, Hongyuan Information, which operates che168.com, is in the process of applying for an internet audio/video program transmission license. Currently, the audio and video content posted on our che168.com website is delivered through a third-party website, which has an internet audio/video program transmission license. We may not be able to obtain such license in a timely manner or at all. See “Item 4. Information on the Company—B. Business Overview—Regulations—Regulations on Broadcasting Audio/Video Programs through the Internet” for more details. In addition, both Autohome Information and Hongyuan Information may be required to obtain additional licenses, including internet publishing licenses and internet news information service licenses, if the release of articles and information or the broadcast of videos on the websites autohome.com.cn and che168.com is deemed by the PRC regulatory authorities as the provision of internet publishing service, internet news information service, or internet culture operating service. See “Item 4. Information on the Company—B. Business Overview—Regulations—Regulations on Online Cultural Services,” “Item 4. Information on the Company—B. Business Overview—Regulations—Regulations on Internet Publishing” and “Item 4. Information on the Company—B. Business Overview—Regulations—Regulations on Internet News Information Service” for additional details.

 

20


Table of Contents
  

The evolving PRC regulatory system for the internet industry may lead to the establishment of new regulatory agencies. For example, in May 2011, the State Council announced the establishment of a new department, the State Internet Information Office. The primary role of this new agency is to facilitate policy-making and legislative development in the internet industry, to direct and coordinate with relevant departments in connection with online content administration and to deal with cross-ministry regulatory matters in relation to the internet industry.

 

  

New laws and regulations may be promulgated to regulate internet activities, including online advertising businesses. As such, additional licenses may be required for our operations. If our operations do not comply with these new regulations at the time they become effective, or if we fail to obtain any licenses required under these new laws and regulations, we could be subject to penalties.

On July 13, 2006, the MIIT, the predecessor of which was the Ministry of Information Industry, issued the Notice of the Ministry of Information Industry on Intensifying the Administration of Foreign Investment in Value-added Telecommunications Services. This notice prohibits domestic telecommunication service providers from leasing, transferring or selling telecommunications business operating licenses to any foreign investor in any form, or providing any resources, sites or facilities to any foreign investor for their illegal operation of a telecommunications business in China. According to this notice, either the holder of a value-added telecommunication services operation permit or its shareholders must directly own the domain names and trademarks used by such license holders in their provision of value-added telecommunication services. The notice also requires each license holder to have the necessary facilities, including servers, for its approved business operations and to maintain such facilities in the regions covered by its license. Currently, Autohome Information and Hongyuan Information, two of our VIEs, own the related domain names and trademarks and hold the internet content provider licenses, or ICP licenses, necessary to conduct our operations for websites in China.

The interpretation and application of existing PRC laws, regulations and policies and possible new laws, regulations or policies relating to the internet industry have created substantial uncertainties regarding the legality of existing and future foreign investments in, and the businesses and activities of, internet businesses in China, including our business. We cannot assure you that we will be able to maintain our existing licenses or obtain any new licenses if required by any new laws or regulations. There are also risks that we may be found to violate existing or future laws and regulations given the uncertainty and complexity of China’s regulation of the internet industry. If we or our VIEs fail to obtain or maintain any of the required assets, licenses or approvals, our continued business operations in the internet industry may subject us to various penalties, including the confiscation of illegal net revenues, fines and the discontinuation or restriction of our operations, any of which would materially and adversely affect our business and results of operations.

Fluctuations in exchange rates may have a material adverse effect on your investment.

Substantially all of our revenues and costs are denominated in RMB. The conversion of Renminbi into foreign currencies, including U.S. dollars, is based on rates set by the People’s Bank of China. The PRC government allowed the Renminbi to appreciate by more than 20% against the U.S. dollar between July 2005 and July 2008. Between July 2008 and June 2010, this appreciation was halted and the exchange rate between the Renminbi and the U.S. dollar remained within a narrow band. As a consequence, the RMB fluctuated significantly during that period against other freely traded currencies, in tandem with the U.S. dollar. Since June 2010, the PRC government has again allowed the Renminbi to appreciate slowly against the U.S. dollar. It is difficult to predict how market forces or PRC or U.S. government policy may impact the exchange rate between the Renminbi and the U.S. dollar in the future.

 

21


Table of Contents

There remains significant international pressure on the Chinese government to substantially liberalize its currency policy, which could result in further appreciation in the value of the RMB against the U.S. dollar. To the extent that we need to convert U.S. dollars into RMB for capital expenditures and working capital and other business purposes, appreciation of the RMB against the U.S. dollar would have an adverse effect on the RMB amount we would receive from the conversion. Conversely, if we decide to convert RMB into U.S. dollars for the purpose of making payments for dividends on our ordinary shares or ADSs, strategic acquisitions or investments or other business purposes, appreciation of the U.S. dollar against the RMB would have a negative effect on the U.S. dollar amount available to us. In addition, a significant depreciation of the RMB against the U.S. dollar may significantly reduce the U.S. dollar equivalent of our earnings, which in turn could adversely affect the price of our ADSs.

Very limited hedging options are available in China to reduce our exposure to exchange rate fluctuations. To date, we have not entered into any hedging transactions in an effort to reduce our exposure to foreign currency exchange risk. While we may decide to enter into hedging transactions in the future, the availability and effectiveness of these hedges may be limited and we may not be able to adequately hedge our exposure or to hedge our exposure at all. In addition, our currency exchange losses may be magnified by PRC exchange control regulations that restrict our ability to convert RMB into foreign currency. As a result, fluctuations in exchange rates may have a material adverse effect on your investment.

Governmental control of currency conversion may limit our ability to utilize our revenues effectively and affect the value of your investment.

The PRC government imposes controls on the convertibility of the RMB into foreign currencies and, in certain cases, the remittance of currency out of China. We receive substantially all of our revenues in RMB. Under existing PRC foreign exchange regulations, payments of current account items, including profit distributions, interest payments and trade and service-related foreign exchange transactions, can be made in foreign currencies without prior SAFE approval by complying with certain procedural requirements. Therefore, Autohome WFOE is able to pay dividends in foreign currencies to us without prior approval from SAFE. However, approval from or registration with appropriate government authorities is required where RMB is to be converted into foreign currency and remitted out of China to pay capital expenses such as the repayment of loans denominated in foreign currencies. The PRC government may also at its discretion restrict access to foreign currencies for current account transactions in the future. If the foreign exchange control system prevents us from obtaining sufficient foreign currency to satisfy our foreign currency demands, we may not be able to pay dividends in foreign currencies to our shareholders, including holders of our ADSs.

Certain regulations in the PRC may make it more difficult for us to pursue growth through acquisitions.

Among other things, certain regulations and rules concerning mergers and acquisitions established additional procedures and requirements that could make merger and acquisition activities by foreign investors more time-consuming and complex. For example, these regulations require that the Ministry of Commerce be notified in advance of any change-of-control transaction in which a foreign investor takes control of a PRC domestic enterprise or a foreign company with substantial PRC operations, if certain thresholds under the Provisions on Thresholds for Prior Notification of Concentrations of Undertakings, issued by the State Council on August 3, 2008, are triggered. According to the Implementing Rules Concerning Security Review on Mergers and Acquisitions by Foreign Investors of Domestic Enterprises issued by the Ministry of Commerce in August 2011, mergers and acquisitions by foreign investors involved in an industry related to national security are subject to strict review by the Ministry of Commerce. These rules also prohibit any transactions attempting to bypass such security review, including by controlling entities through contractual arrangements. We believe that our business is not in an industry related to national security. However, we cannot preclude the possibility that the Ministry of Commerce or other government agencies may publish interpretations contrary to our understanding or broaden the scope of such security review in the future. Although we have no current plans to make any acquisitions, we may elect to grow our business in the future in part by directly acquiring complementary businesses in China. Complying with the requirements of these regulations to complete such transactions could be time-consuming, and any required approval processes, including obtaining approval from the Ministry of Commerce, may delay or inhibit our ability to complete such transactions.

 

22


Table of Contents

PRC regulations relating to the establishment of offshore holding companies by PRC residents may subject our PRC resident beneficial owners or our PRC subsidiaries to liability or penalties, limit our ability to inject capital into our PRC subsidiaries, limit our PRC subsidiaries’ ability to increase their registered capital or distribute profits to us, or may otherwise adversely affect us.

SAFE has promulgated the Notice on Issues Relating to the Administration of Foreign Exchange in Fund-Raising and Round-Trip Investment Activities of Domestic Residents Conducted via Offshore Special Purpose Vehicles, or SAFE Circular No. 75, effective on November 1, 2005. Since May 2007, it has issued a series of guidances to its local branches to further clarify the SAFE registration process. These regulations require PRC residents and PRC corporate entities to register with local branches of SAFE in connection with their direct or indirect offshore investment activities. These regulations apply to our shareholders who are PRC residents and may apply to any offshore acquisitions that we make in the future.

Under these foreign exchange regulations, PRC residents who make, or have made prior to the implementation of these foreign exchange regulations, direct or indirect investments in offshore special purpose vehicles, or SPVs, will be required to register those investments with the local counterparts of SAFE. In addition, any PRC resident who is a direct or indirect shareholder of an SPV is required to update the previously filed registration with the local branch of SAFE, to reflect any material change. Moreover, the PRC subsidiaries of that SPV are required to urge the PRC resident shareholders to update their registration with the local branch of SAFE. If any individual PRC shareholder fails to make the required registration or update the previously filed registration, the PRC subsidiaries of that SPV may be prohibited from distributing their profits and the proceeds from any reduction in capital, share transfer or liquidation to the SPV, and the SPV may also be prohibited from injecting additional capital into its PRC subsidiaries. Moreover, failure to comply with the various foreign exchange registration requirements described above could result in liabilities for such PRC subsidiaries under PRC laws for evasion of applicable foreign exchange restrictions, including (a) the requirement by SAFE to return the foreign exchange remitted overseas within a period specified by SAFE, with a fine of up to 30% of the total amount of foreign exchange remitted overseas and deemed to have been evasive and (b) in circumstances involving serious violations, a fine of no less than 30% of and up to the total amount of remitted foreign exchange deemed evasive. Furthermore, the persons-in-charge and other persons at such PRC subsidiaries who are held directly liable for the violations may be subject to administrative sanctions.

Currently, all of our shareholders who are PRC residents have registered with the competent local branch of the SAFE with their investments in our company. However, we may not at all times be fully aware or informed of the identities of all our shareholders or beneficial owners that are required to make such registrations, and if or when we have such shareholders or beneficial owners, we may not always be able to compel them to comply with the SAFE Circular No. 75 requirements. As a result, we cannot assure you that all of our shareholders or beneficial owners who are PRC residents will at all times comply with, or in the future make or obtain any applicable registrations or approvals required by, SAFE Circular No. 75 or other related regulations. The failure or inability of such individuals to comply with the registration procedures set forth in these regulations may subject us to fines or legal sanctions, restrictions on our cross-border investment activities or our PRC subsidiaries’ ability to distribute dividends to, or obtain foreign-exchange-dominated loans from, our company, or prevent us from making distributions or paying dividends. As a result, our business operations and our ability to make distributions to you could be materially and adversely affected.

Furthermore, as these foreign exchange regulations are still relatively new and their interpretation and implementation has been constantly evolving, it is unclear how these regulations, and any future regulation concerning offshore or cross-border transactions, will be interpreted, amended and implemented by the relevant government authorities. We cannot predict how these regulations will affect our business operations or future strategy. In addition, if we decide to acquire a PRC domestic company, we cannot assure you that we or the owners of such company, as the case may be, will be able to obtain the necessary approvals or complete the necessary filings and registrations required by the foreign exchange regulations. This may restrict our ability to implement our acquisition strategy and could adversely affect our business and prospects.

 

23


Table of Contents

Failure to comply with PRC regulations regarding the registration requirements for employee share ownership plans or share option plans may subject the PRC plan participants or us to fines and other legal or administrative sanctions.

In December 2006, the PBOC promulgated the Administrative Measures of Foreign Exchange Matters for Individuals, which sets forth the respective requirements for foreign exchange transactions by individuals (both PRC and non-PRC citizens) under either the current account or the capital account. In January 2007, SAFE issued relevant implementing rules that specified approval requirements for certain capital account transactions such as a PRC citizen’s participation in the employee stock incentive plans or share option plans of an overseas publicly listed company. In February 2012, SAFE promulgated the Notice on the Administration of Foreign Exchange Matters for Domestic Individuals Participating in the Stock Incentive Plans of Overseas Listed Companies, or the Stock Option Notice. The Stock Option Notice supersedes the requirements and procedures for the registration of PRC resident individuals’ participation in stock incentive plans set forth by certain rules promulgated by SAFE in March 2007. Under these measures, PRC resident individuals who participate in an employee stock incentive plan or a share option plan in an overseas publicly listed company are required to register with SAFE and complete certain other procedures. A PRC domestic qualified agent appointed through the PRC subsidiaries of such overseas listed company must file applications on behalf of such PRC resident individuals with SAFE or its local counterpart to obtain approval for an annual allowance with respect to the foreign exchange in connection with stock holding or share option exercises. With the approval from SAFE or its local counterpart, the PRC domestic qualified agent must open a special foreign exchange account at a PRC domestic bank to hold the funds required in connection with the stock purchase or option exercise, payment received upon sales of shares, dividends issued on the stock and any other income or expenditures approved by SAFE or its local counterpart. We and our PRC resident employees who participate in our share incentive plans are subject to these regulations. If we or our PRC optionees fail to comply with these regulations, we or our PRC optionees may be subject to fines and other legal or administrative sanctions. See “Item 4. Information on the Company—B. Business Overview—Regulation—Regulations on Employee Stock Options Plans.”

We face uncertainties with respect to indirect transfers of equity interests in PRC resident enterprises by their non-PRC holding companies.

Pursuant to the Notice on Strengthening Administration of Enterprise Income Tax for Share Transfers by Non-PRC Resident Enterprises, or SAT Circular 698, issued by the State Administration of Taxation, or the SAT, on December 10, 2009 with retroactive effect from January 1, 2008, where a non-resident enterprise transfers the equity interests of a PRC resident enterprise indirectly via disposing of the equity interests of an overseas holding company, or an Indirect Transfer, and such overseas holding company is located in a tax jurisdiction that: (a) has an effective tax rate less than 12.5% or (b) does not tax the foreign income of its residents, the non-resident enterprise, being the transferor, shall report to the relevant tax authority of the PRC resident enterprise this Indirect Transfer. Using a “substance over form” principle, the PRC tax authority may disregard the existence of the overseas holding company if it lacks a reasonable commercial purpose and was established for the purpose of reducing, avoiding or deferring PRC tax. As a result, gains derived from such Indirect Transfer may be subject to PRC withholding tax at a rate of up to 10%. SAT Circular 698 also provides that, where a non-PRC resident enterprise transfers its equity interests in a PRC resident enterprise to its related parties at a price lower than the fair market value, the relevant tax authority has the power to make a reasonable adjustment to the taxable income of the transaction.

There is uncertainty as to the application of SAT Circular 698. For example, while the term “Indirect Transfer” is not clearly defined, it is understood that the relevant PRC tax authorities have jurisdiction regarding requests for information over a wide range of foreign entities having no direct contact with China. Moreover, the relevant authority has not yet promulgated any formal provisions or formally declared or stated how to calculate the effective tax rates in foreign tax jurisdictions, and the process and format of the reporting of an Indirect Transfer to the relevant tax authority of the PRC resident enterprise. In addition, there are not any formal declarations with regard to how to determine whether a foreign investor has adopted an abusive arrangement in order to reduce, avoid or defer PRC tax. SAT Circular 698 may be determined by the tax authorities to be applicable to our corporate restructuring where non-resident investors were involved, if any of such transactions were determined by the tax authorities to lack reasonable commercial purpose. As a result, we and our non-resident investors in such transactions may become at risk of being taxed under SAT Circular 698 and we may be required to expend valuable resources to comply with SAT Circular 698 or to establish that we should not be taxed under the general anti-avoidance rule of the PRC Enterprise Income Tax Law, which may have a material adverse effect on our financial condition and results of operations or such non-resident investors’ investments in us.

 

24


Table of Contents

Discontinuation of any of the preferential tax treatments or imposition of any additional taxes could adversely affect our financial condition and results of operations.

China passed a new PRC Enterprise Income Tax Law and its implementation rules, which became effective on January 1, 2008. The Enterprise Income Tax Law (a) reduces the statutory rate of the enterprise income tax from 33% to 25%, (b) permits companies established before March 16, 2007 to continue to enjoy their existing tax incentives, adjusted by certain transitional phase-out rules promulgated by the State Council on December 26, 2007, and (c) introduces new tax incentives, subject to various qualification criteria.

The Enterprise Income Tax Law and its implementation rules permit certain “high and new technology enterprises strongly supported by the state” which hold independent ownership of core intellectual property to enjoy a preferential enterprise income tax rate of 15% subject to certain qualification criteria. Autohome WFOE was recognized jointly by the Beijing Municipal Science and Technology Commission and other authorities as a “high and new technology enterprise”, or HNTE, on September 17, 2010 and therefore is eligible for the preferential 15% enterprise income tax rate from 2010 to 2012 upon its filing with the relevant tax authority. The qualification as a HNTE is subject to annual evaluation and a three-year review by the relevant authorities in China. We have obtained renewal of the HNTE qualification through 2015. However, should we lose this qualification for any reason, Autohome will no longer enjoy the 15% preferential tax rate, and the applicable enterprise income tax rate may increase to up to 25%.

Our global income and the dividends that we may receive from our PRC subsidiaries, dividends distributed to our non-PRC shareholders and ADS holders, and gains recognized by such shareholders or ADS holders, may be subject to PRC taxes under the Enterprise Income Tax Law, which would have a material adverse effect on our results of operations.

Under the Enterprise Income Tax Law and its implementation rules, both of which became effective on January 1, 2008, an enterprise established outside of the PRC with “de facto management bodies” within the PRC is considered a resident enterprise and will be subject to the enterprise income tax at the rate of 25% on its global income. The implementation rules define the term “de facto management bodies” as “establishments that carry out substantial and overall management and control over the manufacturing and business operations, personnel, accounting, properties, etc. of an enterprise.” The SAT issued the Notice Regarding the Determination of Chinese-Controlled Offshore Incorporated Enterprises as PRC Tax Resident Enterprises on the Basis of De Facto Management Bodies, or SAT Circular 82, on April 22, 2009. SAT Circular 82 provides certain specific criteria for determining whether the “de facto management body” of a Chinese-controlled offshore-incorporated enterprise is located in China. Although SAT Circular 82 only applies to offshore enterprises controlled by PRC enterprises, not those controlled by PRC individuals, the determining criteria set forth in Circular 82 may reflect the SAT’s general position on how the “de facto management body” test should be applied in determining the tax resident status of offshore enterprises, regardless of whether they are controlled by PRC enterprises or individuals. Although we do not believe that our legal entities organized outside of the PRC constitute PRC resident enterprises, it is possible that the PRC tax authorities could reach a different conclusion. In such case, we may be considered a PRC resident enterprise and may therefore be subject to enterprise income tax at a rate of 25% on our global income. If we are considered a PRC resident enterprise and earn income other than dividends from our PRC subsidiaries, a 25% enterprise income tax on our global income could significantly increase our tax burden and materially and adversely affect our cash flow and profitability.

Pursuant to the Enterprise Income Tax Law and its implementation rules, dividends generated after January 1, 2008 and payable by a foreign-invested enterprise in China to its foreign investors, which are non-PRC tax resident enterprises without an establishment in China, or whose income has no connection with their institutions and establishments inside China, are subject to withholding tax at a rate of 10%, unless any such foreign investor’s jurisdiction of incorporation has a tax treaty with China that provides for a different withholding arrangement. We are a Cayman Islands holding company and we plan to conduct substantially all of our business through Autohome WFOE, which is 100% owned by Cheerbright, our wholly-owned subsidiary located in the British Virgin Islands. Cayman Islands currently does not have any tax treaty with China with respect to withholding tax. As long as Cheerbright is considered a non-PRC resident enterprise and holds at least 25% of the equity interest of Autohome WFOE, dividends that it receives from Autohome WFOE may be subject to withholding tax at a rate of 10%.

 

25


Table of Contents

As uncertainties remain regarding the interpretation and implementation of the Enterprise Income Tax Law and its implementation rules, we cannot assure you that if we are regarded as a PRC resident enterprise, any dividends to be distributed by us to our non-PRC shareholders and ADS holders would not be subject to any PRC withholding tax at a rate of up to 10%. Similarly, any gain recognized by such non-PRC shareholders or ADS holders on the sale of shares or ADSs, as applicable, may also be subject to PRC withholding tax. If we are required under the Enterprise Income Tax Law to withhold PRC income tax on our dividends payable to our non-PRC enterprise shareholders and ADS holders, or on gains recognized by such non-PRC shareholders or ADS holders, such investors’ investment in our Class A ordinary shares or ADSs may be materially and adversely affected.

Our financial condition and results of operations could be materially and adversely affected if recent value added tax reforms in the PRC become unfavorable to our PRC subsidiaries or VIEs.

On November 16, 2011, the Ministry of Finance and the State Administration of Taxation jointly issued the Implementation Rules of the Pilot Program of Value Added Tax Reform and the Notice on the Pilot Program of Value Added Tax Reform in Transportation and Certain Modern Service Industries in Shanghai, or the New VAT Rules. These rules became effective on January 1, 2012, under which certain transportation and modern services companies in Shanghai will be subject to value added tax, or VAT, in lieu of the otherwise applicable business tax of 5%. According to a circular jointly issued by the Ministry of Finance and the State Administration of Taxation on July 31, 2012, certain transportation and modern services companies incorporated in eight other provinces in the PRC will be subject to the tax reform contemplated under these rules. This tax pilot program aims to resolve the double or multiple taxation issues caused by the interplay between the VAT and business tax systems and reduce the overall tax burden of the selected modern service industries in the PRC. Depending on their taxable revenues, companies may be subject to VAT at a rate of 3% if they are qualified as small-scale VAT payers or 6% if they are recognized as general VAT payers for information technology services, advertising services and research, development and technology services they provide. As a result, instead of paying business taxes, Shanghai Advertising, one of our VIEs incorporated in Shanghai, was required to pay VAT at a rate of 6% starting from January 1, 2012. In addition, our PRC subsidiaries and VIEs incorporated in Beijing were required to pay VAT at a rate of 6% starting from September 1, 2012. Guangzhou Advertising, one of our VIEs incorporated in Guangdong, was required to pay VAT starting from November 1, 2012. Since August 2013, this tax pilot program has been expanded to other areas within China. The rules related to the VAT pilot program are still evolving and the timing of the promulgation of the final tax rules or related interpretation is uncertain. Our financial condition and results of operations could be materially and adversely affected if the interpretation and enforcement of these tax rules become materially unfavorable to our PRC subsidiaries and VIEs.

The enforcement of the PRC Labor Contract Law and other labor-related regulations in the PRC may adversely affect our business and our results of operations.

The PRC Labor Contract Law became effective and was implemented on January 1, 2008. It has reinforced the protection of employees who, under the PRC Labor Contract Law, have the right, among others, to have written labor contracts, to enter into labor contracts with no fixed terms under certain circumstances, to receive overtime wages and to terminate or alter terms in labor contracts. The PRC Social Insurance Law became effective on July 1, 2011, under which employees are required to participate in pension insurance, work-related injury insurance, medical insurance, unemployment insurance and maternity insurance and the employers must pay all or a portion of the social insurance premiums for such employees.

As a result of these new laws and regulations designed to enhance labor protection, we expect our labor costs will increase. In addition, as the interpretation and implementation of these new laws and regulations are still evolving, our employment practice may not at all times be deemed in compliance with the new laws and regulations. If we are subject to severe penalties or incur significant liabilities in connection with labor disputes or investigations, our business and results of operations may be adversely affected.

 

26


Table of Contents

The Public Company Accounting Oversight Board is not permitted to inspect independent registered public accounting firms operating in China, including our auditor, and as such, investors may be deprived of the benefits of such inspection.

Our independent registered public accounting firm, as an auditor of companies that are traded publicly in the United States and a firm registered with the Public Company Accounting Oversight Board (United States), or PCAOB, is required by the laws of the United States to undergo regular inspections by PCAOB to assess its compliance with the laws of the United States and professional standards. Because our independent registered public accounting firm is located in China, a jurisdiction where PCAOB is currently unable to conduct inspections without receiving the required approval from the PRC authorities, our independent registered public accounting firm, like other independent registered public accounting firms operating in China, is currently not inspected by PCAOB. Inspections of other firms that PCAOB has conducted outside of China have identified deficiencies in those firms’ audit procedures and quality control procedures, which may be addressed as part of the inspection process to improve future audit quality. Since PCAOB cannot conduct inspections of independent registered public accounting firms operating in China without receiving the required approval from the PRC authorities, it is more difficult to evaluate the effectiveness of our independent registered public accounting firm’s audit or quality control procedures. As a result, investors may be deprived of the benefits of PCAOB inspections.

Proceedings instituted recently by the SEC against five PRC-based accounting firms, including our independent registered public accounting firm, could result in our financial statements being determined to not be in compliance with the requirements of the Exchange Act.

In December 2012, the SEC brought administrative proceedings against five accounting firms, including our independent registered public accounting firm, in China, alleging that they had refused to produce audit work papers and other documents related to certain other China-based companies under investigation by the SEC for potential accounting fraud. On January 22, 2014, an initial administrative law decision was issued, censuring these accounting firms and suspending four of the five firms from practicing before the SEC for a period of six months. The decision is neither final nor legally effective unless and until reviewed and approved by the SEC. The five accounting firms have recently appealed. The sanction will not become effective until after a full appeal process is concluded and a final decision is issued by the SEC. The accounting firms can also further appeal the final decision of the SEC through the federal appellate courts. We are not involved in the proceedings brought by the SEC against the accounting firms. However, our independent registered public accounting firm is one of the four accounting firms subject to the six month suspension from practicing before the SEC in the initial administrative law decision. We may therefore be adversely affected by the outcome of the proceedings, along with other U.S.-listed companies audited by these accounting firms.

On May 24, 2013, the PCAOB announced that it had entered into a Memorandum of Understanding on Enforcement Cooperation with the China Securities Regulatory Commission, or the CSRC, and the Ministry of Finance which establishes a cooperative framework between the parties for the production and exchange of audit documents relevant to investigations in the United States and China. However, it is not clear how these recent developments could affect the SEC’s final decision in the case against the five accounting firms or any subsequent appeal to courts that the accounting firms may initiate. Therefore, it is difficult to determine the final outcome of the administrative proceedings and the potential consequences thereof.

If our independent registered public accounting firm were denied, even temporarily, the ability to practice before the SEC and we were unable to timely find another registered public accounting firm to audit and issue an opinion on our financial statements, our financial statements could be determined to not be in compliance with the requirements of the Exchange Act. Such a determination could ultimately lead to delisting of our ADSs from the New York Stock Exchange or deregistration from the SEC, or both, which would substantially reduce or effectively terminate the trading of our ADSs in the United States.

 

27


Table of Contents

Risks Related to Our ADSs

The market price for our ADSs may be volatile.

The daily closing trading prices for our ADSs ranged from US$27.10 to US$36.59 in 2013. The trading price for our ADSs is likely to be highly volatile and subject to wide fluctuations in response to factors including the following:

 

  

regulatory developments in our target markets affecting us, our advertisers or our competitors;

 

  

announcements of studies and reports relating to the quality of our services or those of our competitors;

 

  

changes in the economic performance or market valuations of other companies that provide online automotive advertising services;

 

  

actual or anticipated fluctuations in our quarterly results of operations and changes or revisions of our expected results;

 

  

changes in financial estimates by securities research analysts;

 

  

conditions in the online automotive advertising industry;

 

  

announcements by us or our competitors of new solutions, acquisitions, strategic relationships, joint ventures or capital commitments;

 

  

additions to or departures of our senior management;

 

  

fluctuations of exchange rates between the RMB and the U.S. dollar;

 

  

release or expiry of lock-up or other transfer restrictions on our outstanding Class A ordinary shares or ADSs;

 

  

sales or perceived potential sales of additional Class A ordinary shares or ADSs; and

 

  

pending or potential litigation or administrative investigation.

In addition, the securities market has from time to time experienced significant price and volume fluctuations that are not related to the operating performance of any particular company. These market fluctuations may also have a material adverse effect on the market price of our ADSs.

We are an emerging growth company within the meaning of the Securities Act and may take advantage of certain reduced reporting requirements.

We are an “emerging growth company,” as defined in the JOBS Act, and we may take advantage of certain exemptions from various requirements applicable to other public companies that are not emerging growth companies including, most significantly, not being required to comply with the auditor attestation requirements of Section 404 for so long as we are an emerging growth company. As a result, if we elect not to comply with such auditor attestation requirements, our investors may not have access to certain information they may deem important.

The JOBS Act also provides that an emerging growth company does not need to comply with any new or revised financial accounting standards until such date that a private company is otherwise required to comply with such new or revised accounting standards. However, we have elected to “opt out” of this provision and, as a result, we will comply with new or revised accounting standards as required when they are adopted for public companies. This decision to opt out of the extended transition period under the JOBS Act is irrevocable.

 

28


Table of Contents

If securities or industry analysts do not publish research or publish inaccurate or unfavorable research about our business, the market price for our ADSs and trading volume could decline.

The trading market for our ADSs will depend in part on the research and reports that securities or industry analysts publish about us or our business. If we do not establish and maintain adequate research coverage or if one or more of the analysts who covers us downgrades our ADSs or publishes inaccurate or unfavorable research about our business, the market price for our ADSs would likely decline. If one or more of these analysts ceases coverage of our company or fails to publish reports on us regularly, we could lose visibility in the financial markets, which, in turn, could cause the market price or trading volume for our ADSs to decline.

Because we do not expect to pay dividends in the foreseeable future, you must rely on price appreciation of our ADSs for return on your investment.

We currently intend to retain most, if not all, of our available funds and any future earnings to fund the development and growth of our business. As a result, we do not expect to pay any cash dividends in the foreseeable future. Therefore, you should not rely on an investment in our ADSs as a source for any future dividend income.

Subject to certain exceptions, our board of directors has complete discretion as to whether to distribute dividends. Even if our board of directors decides to declare and pay dividends, the timing, amount and form of future dividends, if any, will depend on, among other things, our future results of operations and cash flow, our capital requirements and surplus, the amount of distributions, if any, received by us from our subsidiaries, our financial condition, contractual restrictions and other factors deemed relevant by our board of directors. Accordingly, the return on your investment in our ADSs will likely depend entirely upon any future price appreciation of our ADSs. There is no guarantee that our ADSs will appreciate in value or even maintain the price at which you purchased the ADSs. You may not realize a return on your investment in our ADSs and you may even lose your entire investment in our ADSs.

Substantial future sales or perceived potential sales of our ADSs in the public market could cause the price of our ADSs to decline.

Sales of our ADSs in the public market, or the perception that these sales could occur, could cause the market price of our ADSs to decline. All ADSs sold in our initial public offering will be freely transferable without restriction or additional registration under the Securities Act. The remaining ordinary shares outstanding after our initial public offering will be available for sale upon the expiration of the 180-day lock-up period in connection with our initial public offering subject to volume and other restrictions as applicable under Rules 144 and 701 of the Securities Act. Any or all of these shares may be released prior to June 9, 2014 at the discretion of the representatives of the underwriters of our initial public offering. To the extent shares are released before June 9, 2014 and sold into the market, the market price of our ADSs could decline.

Certain holders of our ordinary shares have the right to cause us to register under the Securities Act the sale of their shares. Registration of these shares under the Securities Act would result in ADSs representing these shares becoming freely tradable without restriction under the Securities Act. Sales of these registered shares, in the form of ADSs, in the public market could cause the price of our ADSs to decline. Such sales also might make it more difficult for us to sell equity or equity-related securities in the future at a time and price that we deem appropriate. In addition, if we pay for our future acquisitions in whole or in part with additionally issued ordinary shares, your ownership interests in our company would be diluted and this, in turn, could have a material and adverse effect on the price of our ADSs.

Our dual-class share structure will limit your ability to influence corporate matters and could discourage others from pursuing any change of control transactions that holders of our Class A ordinary shares and ADSs may view as beneficial.

Our ordinary shares are divided into Class A ordinary shares and Class B ordinary shares. Holders of Class A and Class B ordinary shares have the same rights, including dividend rights, except for conversion and voting rights. Each Class B ordinary share may be converted into one Class A ordinary share by its holder at any time, while Class A ordinary shares cannot be converted into Class B ordinary shares under any circumstances. Each Class A ordinary share is entitled to one vote. When the total number of ordinary shares held by Telstra constitutes no less than 51% of all of our issued and outstanding ordinary shares, each Class B ordinary share is entitled to one vote; when the total number of ordinary shares held by Telstra drops below 51% but is no less than 39.3% of all of our issued and outstanding ordinary shares, each Class B ordinary share will carry such number of votes that would result in the total number of ordinary shares held by Telstra carrying, in the aggregate, 51% of the voting rights represented by all of our issued and outstanding ordinary shares; when the total number of ordinary shares held by Telstra drops below 39.3% of all of our issued and outstanding ordinary shares, all Class B ordinary shares will be automatically converted into the same number of Class A ordinary shares. As of March 28, 2014, Telstra held 68,788,940 Class B ordinary shares, representing 65.4% of all of our issued and outstanding ordinary shares and 65.4% of our aggregate voting rights. This concentrated control will limit your ability to influence corporate matters and could discourage others from pursuing any potential merger, takeover or other change of control transactions that holders of Class A ordinary shares and ADSs may view as beneficial.

 

29


Table of Contents

You may not have the same voting rights as the holders of our Class A ordinary shares and may not receive voting materials in time to be able to exercise your right to vote.

Except as described in this annual report and in the deposit agreement, holders of our ADSs will not be able to exercise voting rights attaching to the Class A ordinary shares represented by our ADSs on an individual basis. Holders of our ADSs will appoint the depositary or its nominee as their representative to exercise the voting rights attaching to the Class A ordinary shares represented by the ADSs. Upon receipt of your voting instructions, the depositary will vote the underlying ordinary shares in accordance with these instructions.

Pursuant to our fourth amended and restated memorandum and articles of association, we may convene a shareholders’ meeting upon ten calendar days’ notice. If we give timely notice to the depositary under the terms of the deposit agreement (30 business days’ notice), the depositary will notify you of the upcoming vote and arrange to deliver our voting materials to you. We cannot assure you that you will receive the voting materials in time to instruct the depositary to vote the Class A ordinary shares underlying your ADSs, and it is possible that you, or persons who hold their ADSs through brokers, dealers or other third parties, will not have the opportunity to exercise a right to vote. In addition, the depositary and its agents are not responsible for failing to carry out voting instructions or for the manner of carrying out voting instructions. This means that you may not be able to exercise your right to vote and there may be nothing you can do if the Class A ordinary shares underlying your ADSs are not voted as you requested. In addition, although you may directly exercise your right to vote by withdrawing the Class A ordinary shares underlying your ADSs, you may not receive sufficient advance notice of an upcoming shareholders’ meeting to withdraw the Class A ordinary shares underlying your ADSs to allow you to vote with respect to any specific matter.

Your right to participate in any future rights offerings may be limited, which may cause dilution to your holdings, and you may not receive cash dividends if it is illegal or impractical to make them available to you.

We may from time to time distribute rights to our shareholders, including rights to acquire our securities. However, we cannot make rights available to you in the United States unless we register both the rights and the securities to which the rights relate under the Securities Act or an exemption from the registration requirements is available. Under the deposit agreement, the depositary will not make rights available to you unless both the rights and the underlying securities to be distributed to ADS holders are either registered under the Securities Act or exempt from registration under the Securities Act. We are under no obligation to file a registration statement with respect to any such rights or securities or to endeavor to cause such a registration statement to be declared effective and we may not be able to establish a necessary exemption from registration under the Securities Act. Accordingly, you may be unable to participate in our rights offerings and may experience dilution in your holdings.

The depositary of our ADSs has agreed to pay to you the cash dividends or other distributions it or the custodian receives on Class A ordinary shares or other deposited securities after deducting its fees and expenses. You will receive these distributions in proportion to the number of Class A ordinary shares your ADSs represent. However, the depositary is not responsible if it decides that it is inequitable or impractical to make a distribution available to any holders of ADSs. For example, the depositary may determine that it is not feasible to distribute certain property through the mail. Additionally, the value of certain distributions may be less than the cost of mailing them. In those cases, the depositary may determine not to distribute such property. We have no obligation to register under U.S. securities laws any ADSs, ordinary shares, rights or other securities received through such distributions. We also have no obligation to take any other action to permit the distribution of ADSs, ordinary shares, rights or anything else to holders of ADSs. This means that you may not receive the distribution we make on our Class A ordinary shares or any value for them if it is illegal or impractical for us to make them available to you. These restrictions may have a material adverse effect on the value of your ADSs.

 

30


Table of Contents

You may be subject to limitations on transfer of your ADSs.

Your ADSs are transferable on the books of the depositary. However, the depositary may close its transfer books at any time or from time to time when it deems expedient in connection with the performance of its duties. In addition, the depositary may refuse to deliver, transfer or register transfers of ADSs generally when our books or the books of the depositary are closed, or at any time if we or the depositary deems it advisable to do so because of any requirement of law or of any government or governmental body, or under any provision of the deposit agreement, or for any other reason in accordance with the terms of the deposit agreement.

You may face difficulties in protecting your interests, and your ability to protect your rights through the U.S. federal courts may be limited because we are incorporated under Cayman Islands law, we conduct substantially all of our operations in China and substantially all of our directors and officers reside outside the United States.

We are incorporated in the Cayman Islands and conduct substantially all of our operations in China through our PRC subsidiaries and VIEs. Most of our directors and officers reside outside the United States and a substantial portion of the assets of such directors and officers are located outside of the United States. As a result, it may be difficult or impossible for you to bring an action against us or against these individuals in the Cayman Islands or in China in the event that you believe that your rights have been infringed under the securities laws or otherwise. Even if you are successful in bringing an action of this kind, the laws of the Cayman Islands and of China may render you unable to enforce a judgment against our assets or the assets of our directors and officers. There is no statutory recognition in the Cayman Islands of judgments obtained in the United States, although the courts of the Cayman Islands will generally recognize and enforce a non-penal judgment of a foreign court of competent jurisdiction without retrial on the merits.

Our corporate affairs are governed by our memorandum and articles of association, as amended and restated from time to time, and by the Companies Law and common law of the Cayman Islands. The rights of shareholders to take legal action against us and our directors, actions by minority shareholders and the fiduciary responsibilities of our directors are to a large extent governed by the common law of the Cayman Islands. The common law of the Cayman Islands is derived in part from comparatively limited judicial precedent in the Cayman Islands as well as from English common law, which provides persuasive, but not binding, authority. The rights of our shareholders and the fiduciary responsibilities of our directors under Cayman Islands law are not as clearly established as they would be under statutes or judicial precedents in the United States. In particular, the Cayman Islands has a less developed body of securities laws than the United States and provides significantly less protection to investors. In addition, Cayman Islands companies may not have standing to initiate a shareholder derivative action in U.S. federal courts.

As a result, our public shareholders may have more difficulty in protecting their interests through actions against us, our management, our directors or our major shareholders than would shareholders of a corporation incorporated in a jurisdiction in the United States.

Our memorandum and articles of association contain anti-takeover provisions that could adversely affect the rights of holders of our Class A ordinary shares and ADSs.

Our fourth amended and restated memorandum and articles of association contain certain provisions that could limit the ability of others to acquire control of our company, including a provision that grants authority to our board of directors to establish from time to time one or more series of preferred shares without action by our shareholders and to determine, with respect to any series of preferred shares, the terms and rights of that series. Preferred shares could be issued quickly with terms calculated to delay or prevent a change in control of our company or make removal of management more difficult. If our board of directors decides to issue preferred shares, the price of our ADSs may fall and the voting and other rights of the holders of our Class A ordinary shares and ADSs may be materially adversely affected. These provisions could have the effect of depriving our shareholders of the opportunity to sell their shares at a premium over the prevailing market price by discouraging third parties from seeking to obtain control of our company in a tender offer or similar transaction.

 

31


Table of Contents

We are a foreign private issuer within the meaning of the rules under the Exchange Act, and as such we are exempt from certain provisions applicable to U.S. domestic public companies.

Because we qualify as a foreign private issuer under the Securities Exchange Act of 1934, as amended, or the Exchange Act, we are exempt from certain provisions of the securities rules and regulations in the United States that are applicable to U.S. domestic issuers, including:

 

  

the rules under the Exchange Act requiring the filing with the SEC of quarterly reports on Form 10-Q or current reports on Form 8-K;

 

  

the sections of the Exchange Act regulating the solicitation of proxies, consents, or authorizations in respect of a security registered under the Exchange Act;

 

  

the sections of the Exchange Act requiring insiders to file public reports of their stock ownership and trading activities and liability for insiders who profit from trades made in a short period of time; and

 

  

the selective disclosure rules by issuers of material nonpublic information under Regulation FD.

We will be required to file an annual report on Form 20-F within four months of the end of each fiscal year. We intend to publish our results on a quarterly basis as press releases, distributed pursuant to the rules and regulations of the New York Stock Exchange. Press releases relating to financial results and material events will also be furnished to the SEC on Form 6-K. However, the information we are required to file with or furnish to the SEC will be less extensive and less frequent compared to that required to be filed with the SEC by U.S. domestic issuers. As a result, you may not be afforded the same protections or information, which would be made available to you, were you investing in a United States domestic issuer.

We may be classified as a passive foreign investment company for United States federal income tax purposes, which could subject United States investors in the ADSs or Class A ordinary shares to significant adverse tax consequences.

Depending upon the value of our assets, which may be determined based, in part, on the market value of our Class A ordinary shares and ADSs, and the nature of our assets and income over time, we could be classified as a passive foreign investment company (a “PFIC”). Under U.S. federal income tax law, we will be classified as a PFIC for any taxable year if either (i) at least 75% of our gross income for the taxable year is passive income or (ii) at least 50% of the value of our assets (based on the average quarterly value of our assets during the taxable year) is attributable to assets that produce or are held for the production of passive income. Based on our current income and assets and projections as to the value of our Class A ordinary shares and ADSs, we do not expect to be classified as a PFIC for the current taxable year or in the foreseeable future. While we do not anticipate being a PFIC, changes in the nature of our income or assets or the value of our assets may cause us to become a PFIC for the current or any subsequent taxable year.

Although the law in this regard is not entirely clear, we treat our VIEs as being owned by us for United States federal income tax purposes, because we control their management decisions and we are entitled to substantially all of the economic benefits associated with such entities, and, as a result, we consolidate their results of operations in our consolidated U.S. GAAP financial statements. If it were determined, however, that we are not the owner of our VIEs for United States federal income tax purposes, we would likely be treated as a PFIC for the current and any subsequent taxable years. Because of the uncertainties in the application of the relevant rules and because PFIC status is a factual determination made annually after the close of each taxable year on the basis of the composition of our income and the value of our active versus passive assets, there can be no assurance that we will not be a PFIC for the current or any future taxable year. The overall level of our passive assets will be affected by how, and how quickly, we spend our liquid assets and the cash raised in our initial public offering. Under circumstances where revenues from activities that produce passive income significantly increase relative to our revenues from activities that produce non-passive income or where we determine not to deploy significant amounts of cash for active purposes, our risk of being classified as a PFIC may substantially increase.

 

32


Table of Contents

If we were to be or become a PFIC, a U.S. Holder (as defined in “Item 10. Additional Information—E. Taxation—Taxation—Material United States Federal Income Tax Considerations—General”) may incur significantly increased United States income tax on gains recognized on the sale or other disposition of the ADSs or Class A ordinary shares and on the receipt of distributions on the ADSs or Class A ordinary shares to the extent such gain or distribution is treated as an “excess distribution” under United States federal income tax rules. Further, if we were a PFIC for any year during which a U.S. Holder held our ADSs or Class A ordinary shares, we generally would continue to be treated as a PFIC as to such U.S. Holder for all succeeding years during which such U.S. Holder held our ADSs or Class A ordinary shares. Alternatively, U.S. Holders of PFIC shares can sometimes avoid the rules described above by electing to treat a PFIC as a “qualified electing fund.” However, this option will not be available to U.S. Holders because, even if we were to be or become a PFIC, we do not intend to comply with the requirements necessary to permit U.S. Holders to make such election. Each U.S. Holder is urged to consult its tax advisor concerning the United States federal income tax consequences of purchasing, holding and disposing of ADSs or Class A ordinary shares if we are or become a PFIC, including the possibility of making a mark-to-market election or “deemed sale” election and the unavailability of the election to treat us as a qualified electing fund. For more information, see “Item 10. Additional Information—E. Taxation—Taxation—Material United States Federal Income Tax Considerations—Passive Foreign Investment Company Considerations.”

We will incur increased costs as a result of being a public company.

We are a public company and expect to incur significant accounting, legal and other expenses that we did not incur as a private company. The Sarbanes-Oxley Act, including Section 404 therein, as well as rules subsequently implemented by the SEC and the New York Stock Exchange, have detailed requirements concerning corporate governance practices of public companies. Section 404 requires that we include a management report on our internal control over financial reporting in our annual report on Form 20-F beginning with the fiscal year ending December 31, 2014. In addition, once we cease to be an “emerging growth company” as such term is defined in the JOBS Act, our independent registered public accounting firm must attest to and report on the effectiveness of our internal control over financial reporting. We expect these rules and regulations applicable to public companies to increase our accounting, legal and financial compliance costs and to make certain corporate activities more time-consuming and costly. Our management is required to devote substantial time and attention to our public company reporting obligations and other compliance matters. We are currently evaluating and monitoring developments with respect to these rules and regulations, and we cannot predict or estimate the amount of additional costs we may incur or the timing of such costs. Our reporting and other compliance obligations as a public company may place a significant strain on our management, operational and financial resources and systems for the foreseeable future.

In the past, shareholders of a public company often brought securities class action suits against the company following periods of instability in the market price of that company’s securities. If we were involved in a class action suit, it could divert a significant amount of our management’s attention and other resources from our business and operations, which could harm our results of operations and require us to incur significant expenses to defend the suit. Any such class action suit, whether or not successful, could harm our reputation and restrict our ability to raise capital in the future. In addition, if a claim is successfully made against us, we may be required to pay significant damages, which could have a material adverse effect on our financial condition and results of operations.

ITEM 4. INFORMATION ON THE COMPANY

 

A.History and Development of the Company

Autohome Inc. was incorporated under the laws of the Cayman Islands under its former name, Sequel Limited, in June 2008 and adopted its current name in October 2011. Shortly after its inception, in June 2008, Autohome Inc. acquired all of the equity interests of the following entities:

 

  

Cheerbright International Holdings Limited, or Cheerbright, a British Virgin Islands company that operates autohome.com.cn, which was launched in 2005;

 

  

Norstar Advertising Media Holdings Limited, or Norstar, a Cayman Islands Company that, among other businesses, operated che168.com, which was launched in 2004; and

 

  

China Topside Limited, or China Topside, a British Virgin Islands company.

 

33


Table of Contents

Our largest shareholder is Telstra Holdings, a wholly-owned subsidiary of Telstra Corporation Limited, the leading diversified telecommunications company in Australia and a Fortune Global 500 company.

To sharpen our business focus on the automotive industry, we completed a corporate reorganization in 2011 by spinning off subsidiaries that were not involved in our core business. In March 2011, we completed the transfer of the che168.com business from Norstar to Cheerbright. In June 2011, in connection with our strategy to focus on serving the automotive industry in China, we contributed our entire equity interests in Norstar and China Topside, which serve the information technology industry, to Sequel Media, our subsidiary in the Cayman Islands. We then immediately distributed shares of Sequel Media to our shareholders. Since the spin-off, we have focused on serving the automotive industry in China through our autohome.com.cn and che168.com websites.

On March 16, 2012, we established a new wholly owned subsidiary, Autohome HK, in Hong Kong. Autohome HK has no material business operation as of the date of this annual report.

In October 2013, Autohome HK acquired Prbrownies Marketing, a Hong Kong advertising and marketing company. In March 2014, we changed the name of Prbrownies Marketing to Autohome Media Limited. Autohome Media has engaged in the advertising business outside the PRC for more than three years, and is therefore qualified to directly invest in a PRC company providing advertising services in accordance with PRC law. Autohome Media has established subsidiaries in Beijing, Shanghai and Guangzhou. We plan to gradually migrate our advertising business from our VIEs to Autohome Media and its subsidiaries, a transition we expect to complete in the next three to four years.

Autohome Inc. completed its initial public offering of 7,820,000 ADSs, representing 7,820,000 Class A ordinary shares, in December 2013. On December 11, 2013, our ADSs were listed on The New York Stock Exchange under the symbol “ATHM”. In December 2013, in connection with the initial public offering, we also completed the over-allotment offering of an additional 1,173,000 ADSs, representing 1,173,000 Class A ordinary shares.

Our principal executive offices are located at 10th Floor Tower B, CEC Plaza, 3 Dan Ling Street, Haidian District, Beijing 100080, the People’s Republic of China. Our telephone number at this address is +86 (10) 5985 7001. Our registered office in the Cayman Islands is located at the office of Codan Trust Company (Cayman) Limited, Cricket Square, Hutchins Drive, P.O. Box 2681, Grand Cayman KY1-1111, Cayman Islands. Our agent for service of process in the United States is Law Debenture Corporate Services Inc., 400 Madison Avenue, 4th Floor, New York, New York 10017.

See “Item 5. Operating and Financial Review and Prospects—B. Liquidity and Capital Resources—Capital Expenditures” for a discussion of our capital expenditures and divestitures.

 

B.Business Overview

Overview

We are the leading online destination for automobile consumers in China. Through our two websites, autohome.com.cnand che168.com, we deliver comprehensive, independent and interactive content to automobile buyers and owners. Autohome.com.cn ranked first among China’s automotive websites and automotive channels of internet portals in terms of average daily unique visitors, average daily time spent per user and average daily page views in 2013, based on the iResearch Public Data. In 2013, autohome.com.cn accounted for approximately 47% of the total time that China’s internet users spent viewing online automotive information, more than four times that of our closest competitor, according to the iResearch Public Data. We have developed a strong and well-recognized brand. OurLOGO(“Autohome”) brand has been the most searched automotive-related keyword during substantially the entire period since July 2011 on Baidu.com, the leading Chinese language internet search engine.

Our ability to reach a large and engaged user base of automobile consumers has made us a preferred platform for automakers and dealers to conduct their advertising campaigns. We generate substantially all of our revenues from online advertising services and dealer subscription services with automakers contributing the substantial majority of total net revenue. We have a high penetration rate in the automaker market, with approximately 80% of over 80 automakers operating in China having advertised on our websites in each of 2011, 2012 and 2013. In addition, a large and rapidly growing number of dealers are purchasing our advertising services and subscription services, through which they showcase and market their inventories on our websites.

 

34


Table of Contents

We believe our focus on user experience, innovation and high-quality content distinguishes us from our competitors and is the foundation for our long-term success. Content we provide to our users includes:

 

  

Professionally produced content. We have a dedicated editorial team focusing on serving consumers throughout the automobile ownership lifecycle. We conduct independent and professional evaluations of vehicle models from our users’ perspective, rather than relying only on information provided by automakers. In 2013, we published a daily average of over 600 articles, 1,200 photos and 10 video clips.

 

  

User generated content. We have the largest and most active online community of automotive consumers in China, with over 8.3 million registered users and over 1,500 user forums as of December 31, 2013, and an average of over 2.7 million daily unique visitors to our user forums in 2013.

 

  

Automobile library. We have one of the most comprehensive online automobile libraries in China with nearly 16,000 vehicle model configurations and over 2.2 million photos as of December 31, 2013. We believe our automobile library covers all passenger car models released in China since 2005.

 

  

Automobile listing information. We feature extensive and up-to-date listings of both new and used automobiles on our websites. As of December 31, 2013, we had over 2.6 million new automobile listings. We added approximately 0.5 million used automobile listings in 2013.

Our professionally produced and user generated content, comprehensive automobile library and extensive automobile listing information have attracted a large and engaged user base. This, in turn, represents a highly relevant audience that is receptive to automotive advertising. We believe that this user base, together with our nationwide advertising platform, targeted advertising solutions and value-added services, has led to our rapid growth and has laid the foundation for our continuing success.

We develop our business model and technology platforms around the consumer automobile ownership life cycle and our automaker and dealer customers’ sales cycle. The consumer automobile ownership life cycle has the following stages: research, purchase, maintenance and replacement. The sales cycle of our customers has the following corresponding stages: pre-sale marketing and advertising, sales leads generation, after-market sales and replacement sales. Our current business mainly serves the research and purchase stages of the consumer automobile ownership life cycle and the pre-sale marketing and advertising and sales leads generation stages of our customers’ sales cycle. We have been developing other services and technology platforms to capture additional revenue opportunities in the automobile maintenance and replacement stages of the consumer automobile ownership life cycle and the corresponding stages of our customers’ sales cycle.

We have experienced significant revenue growth while maintaining profitability. Our net revenues increased from RMB433.2 million in 2011 to RMB732.5 million in 2012 and RMB1,216.5 million (US$201.0 million) in 2013, representing a CAGR of 67.6%. Our income from continuing operations increased from RMB135.4 million in 2011 to RMB212.9 million in 2012 and RMB456.2 million (US$75.4 million) in 2013, representing a CAGR of 83.5%.

Our Business Model and Technology Platforms

We are the leading online destination for automobile consumers in China. Over the past several years, we have developed the largest and most active online community of automobile consumers in China. We serve two distinct groups: our large and engaged user base of automobile consumers and our customers that include automakers, dealers and other auto-related products and service providers. Our business model and technology platforms seek to effectively link each stage of our users’ automobile ownership life cycle with the corresponding stage of our customers’ sales cycle.

We have built a successful “automotive vertical websites plus advertising” business model that mainly serves the research and purchase stages of the automobile ownership life cycle, while also satisfying the corresponding pre-sale marketing and advertising needs of our automaker and dealer customers. We have established a sophisticated automotive content delivery and advertisement management platform to deliver comprehensive, independent and interactive content through our websites and user forums to automotive consumers, and provide advertising services to our automaker and dealer customers.

 

35


Table of Contents

We have built several other technology platforms to capture additional revenue opportunities in connection with the remaining stages of the automobile ownership life cycle. For example, we have developed a dealership information system to support our dealership subscription services and generate sales leads when our users reach the purchase stage after going through the research stage. For the automobile maintenance stage, we rolled out an automotive aftermarket services platform in late 2011 that connects our users with national or local service providers and allows our users to research and schedule appointments for auto-related services. We charge commissions for successfully completed transactions originating from our aftermarket service platform. We developed a used automobile listing platform underlying our dedicated used car website che168.com, which targets the automobile replacement stage by allowing both used automobile dealers and individuals to list their used automobiles on our websites. As of December 31, 2013, we had not generated material revenues from services in connection with our automotive aftermarket services platform or our used automobile listing platform.

 

36


Table of Contents

The following diagram illustrates our business model and the relationship among our users, customers and our core technology platforms:

LOGO

Our Services for Automobile Consumers

Our service offerings for users mainly include our high performance websites, our professional and user generated content, our interactive online community and our automotive aftermarket services platform, all of which can be accessed through both the internet and mobile networks.

 

37


Table of Contents

Our Websites

Our user-centric approach has successfully attracted the largest user base of automobile consumers in China to our websites. According to the iResearch Public Data, autohome.com.cn had an average of 5.9 million unique visitors per day in 2013, more than any of our competitors. On average, our users spent approximately 15 minutes per day on autohome.com.cn, approximately three times that of our closest competitor. Our users are significantly more affluent, well-educated and active than the general internet users in China. The average monthly personal income of our users was RMB9,998 as opposed to RMB2,392 for general internet users in China, according to the Nielsen Survey. Approximately 71% of our users held post-secondary degrees and above, according to the Nielsen Survey, compared to 20% for the general internet users in China, according to the CNNIC. Approximately 97% of our users were between ages of 18 and 49, according to the Nielsen Survey. Our autohome.com.cn website targets a wide spectrum of automobile consumers with a focus on new automobiles. To capitalize on the growing used automobile market in China, we redesigned ourche168.com website, which in the past had features and user base similar to our autohome.com.cn website, to focus on used automobiles. The re-designed che168.com website was launched in October 2011.

Most of the content on our websites is tagged by vehicle models to facilitate easy user access. We have developed and are continuing to improve our user intelligence engine to analyze user browsing behavior and prioritize content that the user is likely to find relevant and interesting. A user who searches for or navigates to a page for a specific vehicle model will be provided with links to relevant content such as vehicle specifications, photos and video clips, reviews, competing vehicle models, and listing and promotional information from local dealers. Users can easily compare competing vehicle models and brands for price and specifications to make informed purchase decisions. In addition, these user behavior data are summarized and analyzed on a regular basis to improve user experience and provide consumer intelligence to our advertisers.

To provide a superior experience to our users, we label sponsored content clearly to maintain objectivity. We do not allow our advertisers to have any influence over our content rankings, such as our “Most-Viewed Models,” which are generated solely from data relating to the number of times users navigate to the relevant pages. We do not use distracting pop-up advertisements which may adversely affect user experience.

Our Content

The foundation of both autohome.com.cn and che168.com websites is a large amount of professionally produced content, a comprehensive automobile library and extensive automobile listing and promotional information organized around our automotive information database. In addition, our automotive information database includes a significant amount of user generated content originating from our user forums.

Professionally produced content

Our professionally produced content is created by our dedicated editorial team and includes automobile-related articles and reviews, pricing trends in various local markets, and photos and video clips. This content covers topics throughout the automobile ownership lifecycle, from automobile research, selection and purchase to ownership and maintenance and to eventual replacement. Our review writers obtain first-hand experiences by test-driving many newly released vehicle models provided by various automakers. Our editorial team at our Beijing headquarters and sales offices located in 68 cities throughout China work closely with automakers, dealers and other industry participants to create automobile related articles. Although automakers may provide us with sample vehicles to test drive, we review all new automobiles independently, based upon our teams’ experience and from our users’ perspective.

In 2013, we published a daily average of over 600 articles, 1,200 photos and 10 video clips. We follow well-developed guidelines in creating and publishing professional content with attention to details, such as the angles of photos, image sizes and the time between industry events and the relevant article publication. These practices enable us to streamline our editorial process and quickly and efficiently make national and local content available to our users, while ensuring that we maintain high quality standards and a consistent user experience.

Automobile library

We have one of the most comprehensive automobile libraries within our industry in China with nearly 16,000 vehicle model configurations and over 2.2 million photos as of December 31, 2013. We believe our automobile library covers all passenger car models released in China since 2005. It includes a broad range of specifications covering performance levels, dimensions, powertrains, vehicle bodies, interiors, safety, entertainment systems and other unique features, as well as manufacturers’ suggested retail prices. The scale of content in our automobile library, which we believe would require significant time, expertise and expense to replicate, makes it a valuable tool for our users in researching both new and used automobiles.

 

38


Table of Contents

Automobile listings

Our database also includes a large amount of new and used automobile listings and promotional information. As of December 31, 2013, we had over 2.6 million new automobile listings. We added approximately 0.5 million used automobile listings to our websites in 2013. With the comprehensive and continuously updated listing information, users can conveniently search for up-to-date information of automobile models without having to visit each individual dealer at their local showrooms.

User forums and user generated content

Our platform hosts an open and vibrant community of automobile consumers, from first-time buyers to sophisticated automobile enthusiasts. Our user community centers around our discussion forums, which are organized based on vehicle models, cities and regions, and provides users an easy and intuitive way to access various topics of interest. Registered users utilize our discussion forums to share a wide range of automotive experiences such as driving experiences and usage and maintenance tips. Users also frequently provide reviews of automobiles or automotive products and services, post questions and receive answers from fellow forum members. Approximately 44% of our users post on our website at least twice a week, according to the Nielsen Survey.

We strive to ensure the credibility, appeal and usefulness of our forums by identifying verified automobile owners and empowering selected registered users as forum moderators. Our verified automobile owners are registered users whose vehicle ownership have been confirmed through various channels. Our forum moderators are generally active registered users with significant forum post counts whom we have identified as being reputable automobile enthusiasts within our online community.

Our registered users increased by more than 2.2 million in 2013 with 158.9 million additional pieces of user generated content added to our user forums during this year. As of December 31, 2013, we had over 8.3 million registered users and 440.7 million cumulative posts in our user forums. As our user base has grown and our user engagement and forum activity has increased, our database of user generated content has expanded, which in turn has attracted more users. Furthermore, this feedback effect on our growing user base has also enhanced the effectiveness of our advertisements and therefore the value of our advertising services, allowing us to attract more advertisers and increase revenues from existing advertisers.

Our Mobile Website and Applications

We have made significant efforts in recent years to optimize the mobile version of our website to display our content and develop new mobile applications to capture a greater number of users that access our services through mobile devices. For example, the numbers of our average daily unique smartphone users who access our website via mobile devices amounted to 1.8 million in December 2013. We were among the earliest in our industry in China to introduce both iOS- and Android-based applications to allow our users to easily access our content. As of December 31, 2013, we had seven iOS-based mobile applications and seven Android-based mobile applications. Our mobile applications have generated significant user interest. In 2013, our iOS- and Android-based mobile applications were downloaded approximately 14.7 million times and the number of average daily unique users of our mobile applications amounted to approximately 1.4 million in December 2013. Users can conveniently enjoy features available on our websites from their mobile devices, such as reading articles, checking vehicle prices and model parameters, viewing pictures, and participating in forum discussions. In addition, through GPS enabled mobile devices, our services enable users in more than 330 cities to obtain vehicle pricing information directly from their nearby dealers.

Our Advertising Services for Automakers and Dealers

Leveraging our large and rapidly growing user base and utilizing the user intelligence data we have collected, we provide our advertisers with a broad range of advertising solutions and tools. Our advertisers are comprised primarily of automakers and new automobile dealers. As millions of consumers visit our websites for automotive information, we have become an increasingly important medium for automakers and dealers to conduct their advertising campaigns.

 

39


Table of Contents

Automakers typically utilize our advertising services for brand promotion, new model releases and sales promotions. We believe we are well-positioned to provide solutions to meet all of these needs. Our large and growing automobile purchase- and ownership-oriented user base provides a broad reach for automakers’ marketing messages. Our automotive content delivery and advertisement management platform allows us to segment our user base in a number of different dimensions, including by users’ geographical location and specific automotive interests, and enables us to place advertisements with targeted audiences likely to be receptive to particular advertising messages.

Leveraging our large user base and extensive forum posting data, we provide automakers with more reliable and timely business insights than traditional customer surveys or other post-sales feedback channels. For instance, we analyze user posts in our forums to evaluate consumer response. In addition, we organize various types of offline national or local events for our automaker and dealer customers through our online marketing campaigns and user forum activities to complement our advertising services and dealer subscription services. For example, we help automakers increase their brand awareness and execute sales promotions by organizing large-scale test driving activities for specific automobile models in multiple cities across China. Users can conveniently participate and interact with automaker representatives through our forums.

Dealer Subscription Services

Our dealer subscription services allow dealers to market their inventory and services through our websites, extending the reach of their physical showrooms to potentially millions of internet users in China and generating sales leads for them. Our dealer subscription services are delivered through our dealership information system on a fixed-fee basis, typically for a period of one year. Through the web-based interface of our dealership information system, dealers can create online showrooms hosted on our websites and upload and manage their automobile inventories, pricing and promotional information. Potential automobile purchasers can interact with our dealer subscribers online or through tollfree numbers provided by us to inquire for more detailed information and schedule test drives. Our dealer subscribers can track all the interactions with their customers originating from our websites, analyze the number of sales leads and assess the effectiveness of their marketing activities.

In the first quarter of 2012, we launched a trial version of our automobile consumers trend analysis service for our automaker and dealer customers that helps them analyze data in specific geographic markets such as consumer purchasing behavior characteristics and their brand strength in comparison to that of their competitors. We believe the consumer intelligence gathered from our large user base reflects the current automotive market trends in China and provides excellent market insight to our automaker and dealer customers. We continue to develop our dealer subscription services and plan to implement additional services in the future, which we believe will allow us to reach additional dealers by enabling us to offer basic and advanced subscriptions at different price levels.

We also offer some basic functions of our dealer subscription services to automobile dealers for free. Registered dealers can create their online showrooms and upload inventory and pricing information on our websites. However, their listings have lower priority than those of our dealer subscribers when being displayed in response to users’ inquiry and do not have the user interaction features. We believe that these free services allow more dealers to understand and appreciate the benefits our subscription services may bring to them, which helps us convert them into dealer subscribers.

Automotive Aftermarket Services Platform

Our large and rapidly growing automotive-oriented user base has attracted an increasing number of providers of auto-related services to our websites. We have sought to capitalize on this trend to better fulfill our goal of serving users throughout the automobile ownership life cycle. In addition to expanding our online advertisement offerings to include these service providers, in late 2011, we launched an automotive aftermarket services platform that connects our users with national or local service providers. This platform integrates services descriptions and pricing information into an easily accessible database, through which our users can identify and research local automobile services shops, schedule various services with them through our toll-free telephone numbers, and provide real-time feedback on the service providers. These service providers can also use this platform to manage their service offering information. We charge these service providers commissions for successful transactions originating from this platform. These services do not currently contribute a material portion of our total net revenues.

 

40


Table of Contents

Used Automobile Listings

We launched our used automobile listing platform in late 2009. Our used automobile listings services allow used automobile dealers and individuals to market their automobiles for sale on our websites. Our used automobile listing database has been expanding rapidly. We added approximately 0.5 million used automobile listings to our database in 2013.

Because the used automobile market remains at a nascent stage of development, we do not currently charge a fee for our used automobile listing services and do not expect to generate significant revenue from our used automobile listing services in the near term.

In an effort to capitalize on the used automobile market as it matures, in October 2011, we redesigned our che168.com website as a platform dedicated to used automobiles. The redesigned website features content, listings and interactive functionality similar to our autohome.com.cn website, but focuses primarily on used automobiles.

Our Advertisers and Dealer Subscribers

The vast majority of our current end customers are automakers or new automobile dealers. In each of 2011, 2012 and 2013, approximately 80% of over 80 automakers in China, which include independent Chinese automobile manufacturers, joint ventures between Chinese and international automobile manufacturers and international automobile manufacturers that sell their cars made outside of China, purchased online advertisements from us. Our top five advertisers, all of whom were automakers, contributed 19.5%, 20.0% and 15.0% of our total net revenues in 2011, 2012 and 2013, respectively. No single automaker contributed more than 10% of our revenues in 2011, 2012 and 2013. In addition, a large number of automobile dealers utilize our online advertising services to improve their brand awareness, promote their inventories and generate sales leads. We also offer automobile dealer subscription services to enable dealers to establish and maintain online showrooms of automobiles with pricing and promotional information on autohome.com.cn.

As is customary in China, we sell our advertising services and solutions primarily through third-party advertising agencies that represent the automakers and dealers. Our top ten advertising agencies accounted for 55.4%, 51.7% and 44% of our total net revenues in 2011, 2012 and 2013, respectively. In 2011, 2012 and 2013, our largest agency accounted for 10.0%, 9.0% and 6.7% of our total net revenues, respectively. No other agency accounted for more than 10% of our total net revenues in these years. We typically enter into individual advertising agreements with the third-party advertising agencies. Depending on the type of advertiser and content, the duration of an advertising agreement ranges from one to twelve months, with the majority being one to three months. We typically require payment be made within 90 days after the delivery of our services, but for contracts that last for three months or longer, installment payments are typically required. Our agreements with certain major advertising agencies contain a “most-favored price term” provision, through which we undertake to provide the advertising agencies with the best price we give to any other agencies or advertisers.

Although we sell our advertising services and solutions to third-party advertising agencies, we consider the automakers and dealers, who are the main decision makers as to whether to place advertisements on our websites, to be our end-customers. As a result, our sales efforts focus primarily on automakers and dealers. However, through direct contact between our sales team, advertisers and advertising agencies, we are able to maintain good relationships with existing advertisers and their advertising agencies, which in turn may identify and refer new advertisers to us. See “—Our Advertising Services for Automakers and Dealers.”

Technology and Product Development

Our technologies and infrastructure are critical to our success. We follow a user-centric strategy for our system architecture and have developed robust and scalable technology platforms with sufficient flexibility to support our rapid growth.

A key component of our user-centric strategy is our user intelligence engine which we have developed and are continually enhancing. Our user intelligence engine allows us to rapidly gather user intelligence by analyzing large amounts of data from many sources throughout our content production system. We can utilize such user intelligence data to personalize user interfaces, associate and understand the relationship of information from different sources and facilitate interactions among users and various elements on our websites. It also helps us recommend suitable products, services and user connections to our users. Through our user intelligence engine, we can engage our users more closely by providing them with relevant content. We are also able to provide precision marketing services to our automakers, dealers and other automotive related customers so that they can deliver relevant advertisements to targeted users who are more receptive to such marketing information.

 

41


Table of Contents

We distribute our web content to numerous network nodes close to our users by utilizing a third-party content delivery network, allowing most of our user communications to bypass internet congestion. With our technological expertise, we manage third-party and in-house content delivery networks to enhance our website responsiveness and to improve user experience. As such, we believe our websites have a performance advantage over other automotive websites.

We invested heavily in mobile technologies and were among the earliest in our industry in China to introduce a mobile version of our websites and both Apple iOS- and Android-based applications to allow our users to easily access our content. We have built up a team of 60 research and development personnel as of December 31, 2013, to focus exclusively on the development of our mobile websites and applications and to explore new business models and opportunities through mobile technology. We plan to continue to leverage our mobile technology to develop more applications for Apple iOS- and Android platforms focusing on convenience, real-time interaction and location based services.

We had an experienced product development team of 274 engineers as of December 31, 2013. Our past innovation has focused on helping users research, select and purchase suitable automobiles through our websites. We plan to develop additional products and services to further explore the additional business opportunities inherent in the maintenance and replacement stages of the automobile ownership cycle.

Sales and Marketing

Our nationwide in-house sales team of sales representatives sells our services to advertisers. As of December 31, 2013, we had 635 sales and marketing representatives operating our physical sales office network spanning 69 cities across China and visiting customers in an additional 48 satellite cities, a significant increase from December 31, 2009, when we had physical sales offices in 17 cities. We have a prudent expansion plan and we typically only open new physical sales offices in a city after we have already established a sufficient customer base in the area. In cities where we have do not yet have a customer base, we provide sales coverage by telephone. Our Beijing-based telephone sales team provided sales coverage to other cities of our city channels in which we did not maintain physical offices. Our sales team also provides ongoing customer support to advertisers and dealer subscribers. We plan to expand our sales and marketing efforts into second- and third-tier cities that we believe are under-served markets with significant opportunities for new automobile sales growth.

Our sales team is equipped with specialized automotive industry knowledge and expertise, understands our customers’ needs and are trained to help them develop their advertising strategies. Sales employees work directly with our advertisers and advertising agencies that represent advertisers. Our sales teams also maintain close relationships with our dealer customers by, among other things, providing continuing training, support and ongoing customer service for our dealer subscriptions services.

Compensation for our sales representatives includes a base salary and incentives based on the sales revenues they generate. We provide regular in-house and external education and training to our sales team to help them provide current and prospective customers with information on, and the advantages of using, our services. We believe that our performance-linked compensation structure and career-oriented training help to retain and motivate our salespeople.

We believe brand recognition is important to our ability to attract users. In the past, we have relied on word-of-mouth marketing, which has driven our brand recognition to date. Our limited marketing efforts to date have focused on website directory listing services and search engine optimization efforts to acquire and retain our leading position in terms of user reach.

 

42


Table of Contents

On November 11, 2013, we successfully conducted a major online sales promotion campaign on “Double 11,” a popular online shopping festival in China. Through this event, we showcased our transaction capability and produced car sales results for dealers.

Intellectual Property

Our intellectual property includes trademarks and trademark applications related to our brands and services, software copyrights, trade secrets and other intellectual property rights and licenses. We seek to protect our intellectual property assets and brands through a combination of trademark, patent, copyright and trade secret protection laws in the PRC and other jurisdictions, as well as through confidentiality agreements and other measures.

We holdLOGOandLOGO(both mean “auto home” in English) and “AUTOHOME®” trademarks in China. In addition, we currently hold 64 pending trademark applications and 63 registered software copyrights in China. We have 30 registered domain names, including our main website domain names, autohome.com.cn and che168.com. We have 23 pending patent applications.

Competition

We compete with China’s automotive websites, such as pcauto.com.cn and bitauto.com, automotive channels of major internet portals, such as Sina and Sohu, and traditional forms of media such as television and magazines. We compete primarily on the basis of user traffic, user engagement and brand recognition, which drive the acquisition and retention of automakers and dealers as advertisers and their spending on our advertising services. We re-designed our che168.com website in October 2011 and converted it into our dedicated used car platform. Our re-designed che168.com website faces competition from other used car websites, such as51auto.com and taoche.com. Competition will be centered on factors similar to those affecting our current automotive advertising and dealer subscription services. See “Item 3. Key Information—D. Risk Factors—Risks Related to Our Business and Industry—We face significant competition, and if we fail to compete effectively, we may lose market share and our business, prospects and results of operations may be materially and adversely affected.”

Seasonality

Seasonal fluctuations have affected, and are likely to continue to affect, our business. We generally generate less revenues from advertising services and dealer subscription services in the first quarter of each year due to the Chinese New Year holidays and reduced customer activities during this period. Our advertising services typically increase in the second quarter as automakers increase marketing activities in connection with China’s major auto shows, and in the fourth quarter as advertisers seek to complete year-end marketing campaigns. Our cost of revenue, sales and marketing expenses and general and administrative expenses tend to follow the trend of our business growth. See also “Item 3. Key Information—D. Risk Factors—Risks Related to Our Business and Industry—Our business is subject to fluctuations, which makes our results of operations difficult to predict and may cause our quarterly results of operations to fall short of expectations.”

Legal Proceedings

From time to time, we may be subject to various claims and legal actions that arise in the ordinary course of our business. There are currently no legal proceedings that, in the opinion of our management, may have a material adverse effect on our business and results of operations.

PRC Regulation

This section summarizes the principal PRC laws and regulations relevant to our business and operations.

Regulations on Value-Added Telecommunications Services

On September 25, 2000, the State Council promulgated the Telecommunications Regulations, or the Telecom Regulations, which draw a distinction between “basic telecommunication services” and “value-added telecommunication services.” Internet content provision services, or ICP services, is a subcategory of value-added telecommunications businesses. Under the Telecom Regulations, commercial operators of value-added telecommunications services must first obtain an operating license from the MIIT or its provincial level counterparts.

 

43


Table of Contents

On September 25, 2000, the State Council issued the Administrative Measures on Internet Information Services, or the Internet Measures. According to the Internet Measures, commercial ICP service operators must obtain an ICP License from the relevant government authorities before engaging in any commercial ICP operations within the PRC. In November 2000, the MIIT promulgated the Administrative Measures on Internet Electronic Messaging Services, or the BBS Measures. BBS services include electronic bulletin boards, electronic forums, message boards and chat rooms.

On March 1, 2009, the MIIT promulgated the Administrative Measures on Telecommunications Business Operating License, or the Telecom License Measures, which took effect on April 10, 2009. The Telecom License Measures set forth the types of licenses required to operate value-added telecommunications services and the qualifications and procedures for obtaining such licenses. For example, an ICP operator providing value-added services in multiple provinces is required to obtain an inter-regional license, whereas an ICP operator providing the same services in one province is required to obtain a local license.

To comply with these PRC laws and regulations, both of our ICP operators, Autohome Information and its wholly-owned subsidiary, Hongyuan Information, hold ICP licenses.

Restrictions on Foreign Ownership in Value-Added Telecommunications Services

According to the Provisions on Administration of Foreign Invested Telecommunications Enterprises, or the FITE Provisions, promulgated by the State Council on December 11, 2001 and amended on September 10, 2008, the ultimate foreign equity ownership in a value-added telecommunications service provider must not exceed 50%. Moreover, for a foreign investor to acquire any equity interest in a value-added telecommunication business in China, it must demonstrate a good track record and experience in operating value-added telecommunications services. Foreign investors that meet these requirements must obtain approvals from the MIIT and the Ministry of Commerce or its authorized local branches, and the relevant approval application process usually takes six to nine months.

On July 13, 2006, the MIIT issued the Notice of the MIIT on Intensifying the Administration of Foreign Investment in Value-added Telecommunications Services. This notice prohibits domestic telecommunication service providers from leasing, transferring or selling telecommunications business operating licenses to any foreign investor in any form, or providing any resources, sites or facilities to any foreign investor for their illegal operation of a telecommunications business in China. According to this notice, either the holder of a value-added telecommunication business operating license or its shareholders must legally own the domain names and trademarks used by such license holders in their provision of value-added telecommunication services. The notice further requires each license holder to have the necessary facilities, including servers, for its approved business operations and to maintain such facilities in the regions covered by its license. In addition, all value-added telecommunication service providers are required to maintain network and internet security in accordance with the standards set forth in relevant PRC regulations. If a license holder fails to comply with the requirements in the notice and cure such noncompliance, the MIIT or its local counterparts have the discretion to take measures against such license holders, including revoking their valued-added telecommunication business operating licenses.

To comply with these PRC regulations, we operate our websites through our VIEs, Autohome Information and its wholly-owned subsidiary Hongyuan Information. Autohome Information is currently 68% owned by Xiang Li, 24% owned by Zheng Fan and 8% owned by James Zhi Qin, all of whom are PRC citizens. Both Autohome Information and Hongyuan Information hold ICP licenses.

Regulations on Internet Content Services

The National People’s Congress has enacted laws with respect to maintaining the security of internet operation and internet content. According to these laws, as well as the Internet Measures, violators may be subject to penalties, including criminal sanctions, for internet content that:

 

  

opposes the fundamental principles stated in the PRC constitution;

 

  

compromises national security, divulges state secrets, subverts state power or damages national unity;

 

44


Table of Contents
  

harms the dignity or interests of the state;

 

  

incites ethnic hatred or racial discrimination or damages inter-ethnic unity;

 

  

undermines the PRC’s religious policy or propagates heretical teachings or feudal superstitions;

 

  

disseminates rumors, disturbs social order or disrupts social stability;

 

  

disseminates obscenity or pornography, encourages gambling, violence, murder or fear or incites the commission of a crime;

 

  

insults or slanders a third party or infringes upon the lawful rights and interests of a third party; or

 

  

is otherwise prohibited by law or administrative regulations.

ICP operators are required to monitor their websites. They may not post or disseminate any content that falls within these prohibited categories and must remove any such content from their websites. The PRC government may shut down the websites of ICP license holders that violate any of the above-mentioned content restrictions, order them to suspend their operations, or revoke their ICP licenses. These laws and regulations apply to the websites we operate through our VIEs.

Regulations on Internet Privacy

In recent years, PRC government authorities have enacted legislation on internet use to protect personal information from any unauthorized disclosure. The PRC law does not prohibit ICP operators from collecting and using personal information from their users with the users’ consent. However, the Internet Measures prohibit an ICP operator from insulting or slandering a third party or infringing the lawful rights and interests of a third party. Pursuant to the BBS Measures, ICP operators that provide electronic messaging services must keep users’ personal information confidential and must not disclose such personal information to any third party without the users’ consent or unless required by law. The regulations further authorize the relevant telecommunications authorities to order ICP operators to rectify unauthorized disclosure. ICP operators are subject to legal liability if the unauthorized disclosure results in damages or losses to users. The PRC government, however, has the power and authority to order ICP operators to turn over personal information if an internet user posts any prohibited content or engages in illegal activities on the internet. On December 29, 2011, the MIIT promulgated the Several Provisions on Regulating the Market Order of Internet Information Services, effective as of March 15, 2012. It stipulates that ICP operators may not, without a user’s consent, collect the user’s information that can be used alone or in combination with other information to identify the user and may not provide any such information to third parties without the user’s prior consent. ICP operators may only collect users’ personal information that is necessary to provide their services and must expressly inform the users of the method, content and purpose of the collection and using of such personal information. In addition, an ICP operator may only use users’ personal information for the stated purposes under the ICP operator’s scope of service. ICP operators are also required to ensure the proper security of users’ personal information, and take immediate remedial measures if users’ personal information is suspected to have been inappropriately disclosed. If the consequences of any such disclosure are expected to be serious, ICP operators must immediately report the incident to the telecommunications regulatory authority and cooperate with the authorities in their investigations. On December 28, 2012, the Standing Committee of the National People’s Congress of the PRC issued the Decision on Strengthening the Protection of Online Information. Most requirements under this decision relevant to ICP operators are consistent with the requirements already established under the MIIT provisions discussed above, but are often stricter and broader. Under this decision, ICP operators are required to take such technical and other measures necessary to safeguard the information against inappropriate disclosure. To further implement this decision and relevant rules, MIIT issued the Regulation of Protection of Telecommunication and Internet User Information on July 16, 2013, which became effective on September 1, 2013.

To comply with these laws and regulations, we require our users to accept a user terms of service whereby they agree to provide certain personal information to us, and have established information security systems to protect users’ privacy.

 

45


Table of Contents

Regulations on Advertisements

The PRC government regulates advertising, including online advertising, principally through the SAIC, although there is no PRC law or regulation at the national level that specifically regulates the online advertising business. Prior to November 30, 2004, in order to conduct any advertising business, an enterprise was required to hold an operating license for advertising in addition to a relevant business license. On November 30, 2004, the SAIC issued the Administrative Rules for Advertising Operation Licenses, effective as of January 1, 2005, granting a general exemption to this requirement for most enterprises (other than radio stations, television stations, newspapers and magazines, noncorporate entities and entities specified in other regulations). Because Autohome Information and its subsidiaries, Shanghai Advertising and Guangzhou Advertising qualify for the exemption noted above, they are not required to hold an advertising operation license.

Under the Rules for Administration of Foreign Invested Advertising Enterprises, which were jointly promulgated by the SAIC and the Ministry of Commerce on August 22, 2008, certain foreign investors are permitted to hold direct equity interests in PRC advertising companies if certain conditions as discussed below are met. A foreign investor in a Chinese advertising company is required to have previously had direct advertising operations as its main business outside of China for two years if the Chinese advertising company is a joint venture, or three years if the Chinese advertising company is a wholly foreign-owned enterprise. Before we acquired Autohome Media in October 2013, our offshore companies had not been involved in the advertising industry outside of China for the required number of years, and therefore, we were not permitted to hold direct equity interests in PRC companies engaging in the advertising business. Therefore, we conducted our advertising business through two subsidiaries of Autohome Information, namely Autohome Advertising and Chengshi Advertising, and Shanghai Advertising and Guangzhou Advertising. In October 2013, Autohome HK acquired Autohome Media (previously known as Prbrownies Marketing), a Hong Kong advertising and marketing company. Autohome Media has engaged in advertising business outside the PRC for more than three years, and is therefore qualified to directly invest in a PRC company providing advertising services in accordance with PRC laws. Autohome Media has established subsidiaries in Beijing, Shanghai and Guangzhou. We plan to gradually migrate our advertising business from our VIEs to Autohome Media and its subsidiaries, a transition we expect to complete in the next three to four years.

Advertisers, advertising operators and advertising distributors are required by PRC advertising laws and regulations to ensure that the content of the advertisements they produce or distribute are true and in full compliance with applicable laws and regulations. In addition, where a special government review is required for certain categories of advertisements before publishing, the advertisers, advertising operators and advertising distributors are obligated to confirm that such review has been duly performed and that the relevant approval has been obtained. Violation of these regulations may result in penalties, including fines, confiscation of advertising income, orders to cease dissemination of the advertisements and orders to publish an advertisement correcting the misleading information. In circumstances involving serious violations, the SAIC or its local branches may order the violator to terminate its advertising operation or even revoke its business license. Furthermore, advertisers, advertising operators or advertising distributors may be subject to civil liabilities if they infringe on the legal rights and interests of third parties. To comply with these laws and regulations, we include clauses in our advertising contracts requiring that all advertising content provided by advertisers must comply with relevant laws and regulations. Prior to website posting, our staff reviews advertising materials to ensure there is no violent, pornographic or any other improper content, and will request the advertiser to provide government approval if the advertisement is subject to special government review.

Regulations on Broadcasting Audio/Video Programs through the Internet

On July 6, 2004, the SARFT promulgated the Rules for the Administration of Broadcasting of Audio/Video Programs through the Internet and Other Information Networks, or the A/V Broadcasting Rules. The A/V Broadcasting Rules apply to the launch, broadcasting, aggregation, transmission or download of audio/video programs via televisions, mobile phones and the internet and other information networks. Anyone who wishes to engage in internet broadcasting activities must first obtain an audio/video program transmission license, with a term of two years, issued by the SARFT and operate pursuant to the scope as provided in such license. Foreign invested enterprises are not allowed to engage in the above business.

On April 13, 2005, the State Council announced Several Decisions on Investment by Non-state-owned Companies in Culture-related Business in China. These decisions encourage and support non-state-owned companies to enter certain culture-related business in China, subject to restrictions and prohibitions for investment in audio/video broadcasting, website news and certain other businesses by non-state-owned companies. These decisions authorize the SARFT, the Ministry of Culture and the General Administration of Press and Publication to adopt detailed implementation rules according to these decisions.

 

46


Table of Contents

On December 20, 2007, the SARFT and the MIIT jointly issued the Rules for the Administration of Internet Audio and Video Program Services, commonly known as Circular 56, which came into effect as of January 31, 2008. Circular 56 reiterates the requirement set forth in the A/V Broadcasting Rules that online audio/video service providers must obtain an “internet audio/video program transmission license” from the SARFT. Furthermore, Circular 56 requires all online audio/video service providers to be either wholly state-owned or state-controlled companies. According to relevant official answers to press questions published on the SARFT’s website dated February 3, 2008, officials from the SARFT and the MIIT clarified that online audio/video service providers that already had been operating lawfully prior to the issuance of Circular 56 may reregister and continue to operate without becoming state-owned or controlled, provided that such providers have not engaged in any unlawful activities. This exemption will not be granted to online audio/video service providers established after Circular 56 was issued. These policies have been reflected in the Application Procedure for Audio/Video Program Transmission License. Failure to obtain the internet audio/video program transmission license may subject an online audio/video service provider to various penalties, including fines of up to RMB30,000, seizure of related equipment and servers used primarily for such activities and even suspension of its online audio/video services.

In 2009, the SARFT released a Notice on Strengthening the Administration of Online Audio/Video Content. This notice reiterated, among other things, that all movies and television shows released or published online must comply with relevant regulations on the administration of radio, film and television. In other words, these movies and television shows, whether produced in the PRC or overseas, must be preapproved by SARFT, and the distributors of these movies and television shows must obtain an applicable permit before releasing any such movie or television show. In 2012, SARFT and the State Internet Information Office of the PRC issued a Notice on Improving the Administration of Online Audio/Video Content Including Internet Drama and Micro Films. In 2013, the State Administration for Press, Publication, Radio, Film and Television (formed when the GAPP was combined with the SARFT in March 2013) released a Supplemental Notice on Improving the Administration of Online Audio/Video Content Including Internet Drama and Micro Films. This notice stresses that entities producing online audio/video content, such as internet dramas and micro films, must obtain a permit for radio and television program production and operation, and also that online audio/video content service providers should not release any internet dramas or micro films that were produced with any entity lacking such permit. For internet dramas or micro films produced and uploaded by individual users, the online audio/video service providers transmitting such content will be deemed responsible as the producer. Further, under this notice, online audio/video service providers can only transmit content uploaded by individuals whose identity has been verified and which content complies with the relevant content management rules. This notice also requires that online audio/video content, include internet drama and micro films, be filed with the relevant authorities before release.

To comply with these laws and regulations, Autohome Information obtained an internet audio/video program transmission license on February 9, 2010, which was renewed on February 13, 2012, for automotive industry information related audio/video programs posted on our autohome.com.cn website and Hongyuan Information is applying for an internet audio/video program transmission license. Currently, all the audio/video programs posted on our che168.com website are delivered through a third-party website, which has an internet audio/video program transmission license.

Regulations on Producing Audio/Video Programs

On July 19, 2004, the SARFT promulgated the Administrative Measures on the Production and Operation of Radio and Television Programs, effective as of August 20, 2004. These Measures provide that anyone who wishes to produce or operate radio or television programs must first obtain an operating permit. Applicants for this permit must meet several criteria, including having a minimum registered capital of RMB3.0 million. Autohome Information and Hongyuan Information hold the operating licenses for the production and dissemination of radio and television programs for special topic programs, cartoons and television variety shows.

 

47


Table of Contents

Regulations on Internet Mapping Services

According to the Administrative Rules of Surveying Qualification Certificate and the amended Standard for Internet Map Services issued by the National Administration of Surveying, Mapping and Geoinformation, or NASMG, in March 2009 and May 2010, respectively, the provision of internet mapping services by any non-surveying and mapping enterprise is subject to the approval of the NASMG and requires a surveying and mapping qualification certificate. According to these rules, certain conditions and requirements, such as the number of technical personnel and map security verification personnel, security facilities and approval from relevant provincial or national government on the service provider’s security system, qualification management and filings management, are necessary for an enterprise applying for a Surveying and Mapping Qualification Certificate. Pursuant to the Notice on Further Strengthening the Administration of Internet Map Services Qualification issued by the NASMG in December 2011, any entity that has not yet applied for a surveying qualification certificate for internet mapping services is prohibited from providing any internet mapping services. We have provided maps on our website for the convenience of our users to locate certain services providers. Both Autohome Information and Hongyuan Information hold the Surveying and Mapping Qualification Certificate for internet mapping.

Regulations on Online Cultural Services

On February 17, 2011, the Ministry of Culture promulgated the Internet Culture Administration Tentative Measures, or the Internet Culture Measures, which became effective on April 1, 2011, and replaced the original measures promulgated in 2003 and amended in 2005. The Internet Culture Measures require ICP operators engaged in “internet culture activities” to obtain an internet cultural operating license from the provincial administration of culture. The term “internet culture activities” includes, among other things, online dissemination of internet cultural products (such as audio-video products, gaming products, performances of plays or programs, works of art and cartoons) and the production, reproduction, importation, publication and broadcasting of internet cultural products.

Both Autohome Information and Hongyuan Information have hosted certain audio/video programs on their websites, and if such audio/video programs are deemed by the authorities as internet cultural products, both Autohome Information and Hongyuan Information may be required to obtain the internet culture operating license. However, we have consulted the local culture administration authority and have been informed that as the automotive industry information related audio/video programs we hosted do not contain online music, games, performances of plays or programs, works of art or cartoons, they do not fall into the scope of “internet cultural products,” therefore we are not required to obtain the internet culture operating license. Nevertheless, Autohome Information has applied for and obtained an internet culture operating license in January 2013. Hongyuan Information has not applied for such internet culture operating license. In the event that the audio/video programs we hosted are deemed to be “internet cultural products,” Hongyuan Information will be required to obtain such license as well.

Regulations on Internet Publishing

The General Administration of Press and Publication and the Ministry of Industry and Information Technology jointly issued the Interim Provisions for the Administration of Internet Publishing, or the Internet Publishing Regulations, which became effective on August 1, 2002. The Internet Publishing Regulations authorize the General Administration of Press and Publication, or GAPP, to grant approval to all entities that engage in internet publishing. Pursuant to the Internet Publishing Regulations, the term “internet publishing” shall mean the act of online dissemination of articles, whereby the internet information service providers select, edit and process works created by themselves or others and subsequently post such works on the internet or transmit such works to the users’ end via internet for the public to browse, read, use or download. If we release articles or information that may be deemed by authorities as internet publications, we may be required to obtain the internet publishing license.

Based on a consultation we had with the local press and publication administration authority, we believe we are not required to obtain the internet publishing license as the activities we engage on our websites do not constitute “internet publishing activities,” as such term is used in the Internet Publishing Regulation. We are also not aware of companies with an operation similar to ours having obtained or been required to obtain the internet publishing license. As a result, both Autohome Information and Hongyuan Information have not applied for such internet publishing approval. However, in the event that our activities are deemed to be “internet publishing,” we may be required to obtain approval from GAPP. If we are deemed to be in breach of relevant internet publishing regulations, the PRC regulatory authorities may seize the related equipment and servers used primarily for such activities and confiscate any revenues generated from such activities. In addition, relevant PRC authorities may also impose a fine of five to ten times of any revenues exceeding RMB10,000 or a fine of not more than RMB50,000 if such related revenues are below RMB10,000.

 

48


Table of Contents

Regulations on Internet News Information Service

In September 2005, the State Council Information Office and the Ministry of Industry and Information Technology jointly issued the Provisions for the Administration of Internet News Information Services, or Internet News Provision. Internet news information services shall include the publishing of news via the internet, provision of electronic bulletin services on current and political events and transmission of information on current and political events to the public. Under the Internet News Provision, internet news service providers shall also include entities that are not established by news press but reproduce internet news from other sources, provide electronic bulletin services on current and political events, and transmit such information to the public. The Information Office of the State Council shall be in charge of the supervision and administration of the internet news information services throughout China. The counterparts of the Information Office of the State Council at the provincial level shall take charge of the supervision and administration of the internet news information services within their own jurisdiction.

If we release information that may be deemed by authorities as internet news, we may be required to obtain the internet news information service license. However, we have consulted the relevant government authorities and have been informed that we would not be required to obtain the internet news releasing license because the internet news posted on our website is only automotive industry related news which is not political in nature or related to macroeconomics. However, if any of the internet news posted on our website is deemed by the government to be political in nature, related to macroeconomics, or otherwise requires such license based on the sole discretion of the government authority, we would need to apply for such license. If we are deemed to be in breach of the Internet News Provision or other relevant internet news releasing regulations, the PRC regulatory authorities may suspend our information release activities and impose a fine exceeding RMB10,000 but not more than RMB30,000. In serious cases, the PRC regulatory authorities may even suspend the internet service or internet access.

Regulations on Intellectual Property Rights

China has adopted legislation governing intellectual property rights, including trademarks, patents and copyrights. China is a signatory to the major international conventions on intellectual property rights and became a member of the Agreement on Trade Related Aspects of Intellectual Property Rights upon its accession to the World Trade Organization in December 2001.

Patent. The National People’s Congress adopted the Patent Law in 1984, and amended it in 1992, 2000 and 2008. The purpose of the Patent Law is to protect lawful interests of patent holders, encourage invention, foster applications of invention, enhance innovative capabilities and promote the development of science and technology. To be patentable, invention or utility models must meet three conditions: novelty, inventiveness and practical applicability. Patents cannot be granted for scientific discoveries, rules and methods for intellectual activities, methods used to diagnose or treat diseases, animal and plant breeds, substances obtained by means of nuclear transformation or a design which has major marking effect on the patterns or colors of graphic print products or a combination of both patterns and colors. The Patent Office under the State Intellectual Property Office is responsible for receiving, examining and approving patent applications. A patent is valid for a term of twenty years in the case of an invention and a term of ten years in the case of utility models and designs. A third-party user must obtain consent or a proper license from the patent owner to use the patent. Otherwise, the use constitutes an infringement of patent rights. We currently have 23 pending patent applications.

Copyright. The National People’s Congress adopted the Copyright Law in 1990 and amended it in 2001 and 2010, respectively. The amended Copyright Law extends copyright protection to internet activities, products disseminated over the internet and software products. In addition, there is a voluntary registration system administered by the China Copyright Protection Center. The amended Copyright Law also requires registration of a copyright pledge.

 

49


Table of Contents

To address the problem of copyright infringement related to the content posted or transmitted over the internet, the National Copyright Administration and the MIIT jointly promulgated the Measures for Administrative Protection of Copyright Related to Internet on April 29, 2005. This measure became effective on May 30, 2005.

On October 27, 2000, the MIIT issued the Administrative Measures on Software Products, or the Software Measures, to strengthen the regulation of software products and to encourage the development of the PRC software industry. On March 1, 2009, the MIIT issued amended Software Measures, which became effective on April 10, 2009. The Software Measures provide a registration and filing system with respect to software products made in or imported into China. These software products may be registered with the competent local authorities in charge of software industry administration. Registered software products may enjoy preferential treatment status granted by relevant software industry regulations. Software products can be registered for five years, and the registration is renewable upon expiration.

In order to further implement the Computer Software Protection Regulations promulgated by the State Council on December 20, 2001, the National Copyright Administration of the PRC issued Computer Software Copyright Registration Procedures on February 20, 2002, which apply to software copyright registration, license contract registration and transfer contract registration.

In compliance with, and in order to take advantage of, the above rules, we have registered 63 computer software copyrights.

On May 18, 2006, the State Council promulgated the Protection of the Right of Communication through Information Networks, which became effective on July 1, 2006. Under this regulation, with respect to any information storage space, search or link services provided by an internet service provider, if the legitimate rights owner believes that the works, performance or audio or video recordings pertaining to that service infringe his or her rights of communication, the rights owner may give the internet service provider a written notice containing the relevant information along with preliminary documents supporting that an infringement has occurred, and requesting that the internet service provider delete, or disconnect the links to, such works or recordings. The rights owner will be responsible for the truthfulness of the content of the notice. Upon receipt of the notice, the internet service provider must delete or disconnect the links to the infringing content immediately and forward the notice to the user that provided the infringing works or recordings. If the user believes that the subject works or recordings have not infringed others’ rights, the user may submit to the internet service provider a written explanation with preliminary documents supporting noninfringement, and a request for the restoration of the deleted works or recordings. The internet service provider should then immediately restore the deleted or disconnected content and forward the user’s written statement to the rights owner.

On December 26, 2009, the Standing Committee of the National People’s Congress adopted the Torts Liability Law, which became effective on July 1, 2010. Under this Torts Liability Law, both internet users and internet service providers may be liable for the wrongful acts of users who infringe the lawful rights of other parties. If an internet user utilizes internet services to commit a tortious act, the party whose rights are infringed may request the internet service provider to take measures, such as removing or blocking the content, or disabling the links thereto. Failure to take necessary measures after receiving such notice will subject the internet service providers to joint liability for any further damages suffered by the rights holder. Furthermore, if an internet service provider fails to take necessary measures when it knows that an internet user utilizes its internet services to infringe the lawful rights and interests of other parties, it will be held jointly liable with the internet user for damages resulting from the infringement.

According to an interpretation by PRC Supreme People’s Court, which took effect on January 1, 2013, internet service providers will be held jointly liable if they continue their infringing activities or do not remove infringing content from their websites once they know of the infringement or receive notice from the rights holder. If an internet service provider economically benefits from the works, performances, and sound or visual recordings provided by network users, it must pay close attention to infringement of network information transmission rights by network users.

Trademark. The PRC Trademark Law, adopted in 1982 and revised in 1993, 2001 and 2013, protects registered trademarks. The Trademark Office under the SAIC handles trademark registrations and grants a term of ten years for registered trademarks. Trademark license agreements must be filed with the Trademark Office for record. We holdLOGOandLOGO(“auto home” in English) and “AUTOHOME®” trademarks in China with each registered under different categories.

 

50


Table of Contents

Domain Names. In September 2002, the CNNIC issued the Implementing Rules for Domain Name Registration, as amended in June 2009 and May 2012, that detailed rules for registration of domain names. On November 5, 2004, the MIIT promulgated the Measures for Administration of Domain Names for the Chinese Internet, or the Domain Name Measures. The Domain Name Measures regulate the registration of domain names, such as the first tier domain name “.cn.” In 2002, the CNNIC issued the Measures on Domain Name Dispute Resolution, as amended in February 2006, pursuant to which the CNNIC can authorize a domain name dispute resolution institution to decide disputes. We have registered a number of domain names, including autohome.com.cn, autohome.com andche168.com.

Regulations on Tax

See “Item 5. Operating and Financial Review and Prospects—A. Operating Results—Taxation— PRC” and “Taxation—People’s Republic of China Taxation.”

Regulations on Foreign Exchange

Foreign exchange activities in China are primarily governed by the following regulations:

 

  

Foreign Currency Administration Rules (2008), or the Exchange Rules; and

 

  

Administration Rules of the Settlement, Sale and Payment of Foreign Exchange (1996), or the Administration Rules.

Under the Exchange Rules, if documents certifying the purposes of the conversion of RMB into foreign currency are submitted to the relevant foreign exchange conversion bank, the RMB will be convertible for current account items, including the distribution of dividends, interest and royalties payments, and trade and service-related foreign exchange transactions. Conversion of RMB for capital account items, such as direct investment, loans, securities investment and repatriation of investment, however, is subject to the approval of, or registration with, SAFE or its local counterpart. Capital investments by PRC entities outside of China, after obtaining the required approvals of the relevant approval authorities, such as the Ministry of Commerce and the National Development and Reform Commission or their local counterparts, are also required to register with SAFE or its local counterpart.

Under the Administration Rules, foreign-invested enterprises may only buy, sell and/or remit foreign currencies at banks authorized to conduct foreign exchange business after providing valid commercial documents and, in the case of capital account item transactions, such as the repatriation of investment, obtaining approval from or being registered with SAFE or its local counterpart.

In utilizing the proceeds we received from our initial public offering as an offshore holding company with our PRC subsidiaries, we may (a) make additional capital contributions to our PRC subsidiaries, (b) establish new PRC subsidiaries and make capital contributions to these new PRC subsidiaries, (c) make loans to our PRC subsidiaries or VIEs or (d) acquire offshore entities with business operations in China in offshore transactions. However, most of these uses are subject to PRC regulations and approvals. For example:

 

  

capital contributions to our PRC subsidiaries, whether existing or newly established ones, must be approved by the Ministry of Commerce or its local counterparts;

 

  

loans by us to our PRC subsidiaries, each of which is a foreign-invested enterprise, to finance their activities cannot exceed statutory limits and must be registered with SAFE or its local branches; and

 

  

loans by us to our VIEs, which are domestic PRC entities, must be approved by the National Development and Reform Commission (in the case of middle or long term loans) or be within the limits approved by SAFE (in the case of short term loans), and must also be registered with SAFE or its local branches.

 

51


Table of Contents

On August 29, 2008, SAFE issued the Circular on the Relevant Operating Issues Concerning the Improvement of the Administration of the Payment and Settlement of Foreign Currency Capital of Foreign-Invested Enterprises, or SAFE Circular No. 142. Pursuant to SAFE Circular No. 142, RMB resulting from the settlement of foreign currency capital of a foreign-invested enterprise must be used within the business scope as approved by the applicable government authority and cannot be used for domestic equity investment, unless it is otherwise approved. In addition, the SAFE strengthened its oversight of the flow and use of RMB capital converted from foreign currency registered capital of a foreign-invested company. The use of such RMB capital may not be altered without the SAFE’s approval, and such RMB capital may not be used to repay RMB loans if such loans have not been used. Violations of SAFE Circular No. 142 could result in severe monetary fines or penalties. We expect that if we convert the net proceeds from our initial public offering into RMB pursuant to SAFE Circular 142, our use of RMB funds will be within the approved business scope of our PRC subsidiaries. Such business scope includes “technical services” which we believe permits our PRC subsidiaries to purchase or lease servers and other equipment and to provide operational support to our VIEs. However, we may not be able to use such RMB funds to make equity investments in the PRC through our PRC subsidiaries. There are no costs associated with applying for registration or approval of loans or capital contributions with or from relevant PRC governmental authorities, other than nominal processing charges. Under PRC laws and regulations, the PRC governmental authorities are required to process such approvals or registrations or deny our application within a prescribed time period, which is usually less than 90 days. The actual time taken, however, may be longer due to administrative delays. We cannot assure you that we will be able to obtain these government registrations or approvals on a timely basis, if at all, with respect to our future plans to use the U.S. dollar proceeds we received from our initial public offering for our expansion and operations in China. If we fail to receive such registrations or approvals, our ability to use the proceeds of our initial public offering and to capitalize our PRC operations may be negatively affected, which could materially and adversely affect our liquidity and ability to fund and expand our business. See “Item 3. Key Information—D. Risk Factors—Risks Related to Our Corporate Structure—PRC regulation of loans to, and direct investment in, PRC entities by offshore holding companies and governmental control of currency conversion may restrict or prevent us from using the proceeds of our initial public offering to make loans to our PRC subsidiaries and VIEs or to make additional capital contributions to our PRC subsidiaries, which may materially and adversely affect our liquidity and our ability to fund and expand our business.”

Regulations on Dividend Distribution

The principal regulations governing dividend distributions of wholly foreign-owned enterprises include:

 

  

the Companies Law (2005);

 

  

the Wholly Foreign-Owned Enterprise Law (2000); and

 

  

the Wholly Foreign-Owned Enterprise Law Implementing Rules (2001).

Under these regulations, wholly foreign-owned enterprises in the PRC may pay dividends only out of their accumulated profits as determined in accordance with PRC accounting standards and regulations. In addition, these wholly foreign-owned enterprises are required to set aside at least 10% of their respective accumulated profits each year, if any, to fund certain reserve funds, until the aggregate amount of such fund reaches 50% of its registered capital.

As of December 31, 2013, the registered capital of our wholly foreign-owned subsidiary, Autohome WFOE, was US$250,000. As of December 31, 2013, Autohome WFOE had RMB0.9 million (US$0.1 million) as its statutory reserve funds, which amounted to 50% of its registered capital.

Regulations on Offshore Investment by PRC Residents

Pursuant to SAFE’s Notice on Relevant Issues Concerning Foreign Exchange Administration for PRC Residents to Engage in Financing and Inbound Investment via Overseas Special Purpose Vehicles, generally known in China as SAFE Circular No. 75, issued on October 21, 2005, (a) a PRC citizen residing in the PRC or non-PRC citizen primarily residing in the PRC due to his or her economic ties to the PRC, who is referred to as a PRC resident in SAFE Circular No. 75, shall register with the local branch of the SAFE before it establishes or controls an overseas special purpose company, for the purpose of overseas equity financing; (b) when a PRC resident contributes the assets of or its equity interests in a domestic enterprise into an overseas special purpose company, or engages in overseas financing after contributing assets or equity interests into an special purpose company, such PRC resident shall register his or her interest in the special purpose company and the change thereof with the local branch of SAFE; and (c) when the special purpose company undergoes a material event outside of China not involving inbound investments, such as change in share capital, creation of any security interests on its assets or merger or division, the PRC resident shall, within 30 days from the occurrence of such event, register such change with the local branch of SAFE. PRC residents who are shareholders of special purpose companies established before November 1, 2005, were required to register with the local branch of SAFE before March 31, 2006. To further clarify and simplify the implementation of the SAFE Circular No. 75, SAFE has issued a series of guidance with respect to the registration process since May 2007.

 

52


Table of Contents

Under SAFE Circular No. 75, failure to comply with the registration procedures above may result in penalties, including imposition of restrictions on a PRC subsidiaries’ foreign exchange activities and its ability to distribute dividends to the overseas special purpose company. Currently, all of our shareholders who are PRC residents have registered with the competent local branch of the SAFE with respect to their investments in our company.

Regulations on Employee Stock Options Plans

In December 2006, the PBOC promulgated the Administrative Measures of Foreign Exchange Matters for Individuals, setting forth the respective requirements for foreign exchange transactions by individuals (both PRC or non-PRC citizens) under either the current account or the capital account. In January 2007, SAFE issued relevant implementing rules that specified approval requirements for certain capital account transactions, such as a PRC citizen’s participation in employee stock ownership plans or share option plans of an overseas publicly listed company. In February 2012, SAFE promulgated the Stock Option Notice that supersedes the requirements and procedures for the registration of PRC resident individuals’ participation in stock incentive plans set forth by certain rules promulgated by SAFE in March 2007. The purpose of the Stock Option Notice is to regulate the foreign exchange administration of PRC resident individuals who participate in employee stock holding plans and share option plans of overseas listed companies.

According to the Stock Option Notice, if a PRC resident individual participates in any employee stock incentive plan of an overseas listed company, a PRC domestic qualified agent appointed through the PRC subsidiaries of such overseas listed company must, among other things, file, on behalf of such individual, an application with SAFE or its local counterpart to obtain approval for an annual allowance with respect to the purchase of foreign exchange in connection with stock holding or share option exercises. With the approval from SAFE or its local counterpart, the PRC domestic qualified agent shall open a special foreign exchange account at a PRC domestic bank to hold the funds required in connection with the stock purchase or option exercise, any returned principal or profits upon sales of shares, any dividends issued on the stock and any other income or expenditures approved by SAFE or its local counterpart.

Under the Foreign Currency Administration Rules, as amended, the foreign exchange proceeds of domestic entities and individuals can be remitted into China or deposited abroad, subject to the terms and conditions to be issued by SAFE. However, the implementing rules in respect of depositing the foreign exchange proceeds abroad have not been issued by SAFE. The foreign exchange proceeds from the sales of shares can be converted into RMB or transferred to such individuals’ foreign exchange savings account after the proceeds have been remitted back to the special foreign exchange account opened at the PRC domestic bank. If share-based awards are exercised in a cashless exercise, the PRC domestic individuals are required to remit the proceeds to special foreign exchange accounts.

Many issues with respect to the Stock Option Notice require further interpretation. We and our PRC employees who participate in an employee stock incentive plan are subject to the Stock Option Notice, as we are an overseas listed company. If we or our PRC employees fail to comply with the Stock Option Notice, we and our PRC employees may face sanctions imposed by the PRC foreign exchange authority or any other PRC government authorities, including restriction on foreign currency conversions and additional capital contribution to our PRC subsidiaries.

In addition, the State Administration of Taxation, or SAT, has issued circulars concerning employee share-based awards. Under these circulars, our employees working in China who exercise share-based awards will be subject to PRC individual income tax. Our PRC subsidiaries have obligations to file documents related to employee share-based awards with relevant tax authorities and withhold the individual income taxes of employees who exercise their share-based awards. If our employees fail to pay and we fail to withhold their income taxes, we may face sanctions imposed by tax authorities or any other PRC government authorities. See “Item 3. Key Information—D. Risk Factors—Risks Related to Doing Business in China—Failure to comply with PRC regulations regarding the registration requirements for employee share ownership plans or share option plans may subject the PRC plan participants or us to fines and other legal or administrative sanctions.”

 

53


Table of Contents

Labor Laws and Social Insurance

Pursuant to the PRC Labor Law and the PRC Labor Contract Law, employers must execute written labor contracts with full-time employees. All employers must compensate their employees with wages equal to at least the local minimum wage standards. All employers are required to establish a system for labor safety and sanitation, strictly abide by state rules and standards and provide employees with workplace safety training. Violations of the PRC Labor Contract Law and the PRC Labor Law may result in the imposition of fines and other administrative liabilities. Criminal liability may arise for serious violations.

In addition, employers in China are obliged to provide employees with welfare schemes covering pension insurance, unemployment insurance, maternity insurance, work-related injury insurance, medical insurance and housing funds.

Regulations on Concentration in Merger and Acquisition Transactions

The M&A Rule established additional procedures and requirements that could make merger and acquisition activities by foreign investors more time-consuming and complex. These rules require, among other things, that the Ministry of Commerce be notified in advance of any change-of-control transaction in which a foreign investor will take control of a PRC domestic enterprise or a foreign company with substantial PRC operations, if certain thresholds under the Provisions on Thresholds for Prior Notification of Concentrations of Undertakings issued by the State Council on August 3, 2008, are triggered.

Complying with these requirements could affect our ability to expand our business or maintain our market share. See “Item 3. Key Information—D. Risk Factors—Risks Related to Doing Business in China—Certain regulations in the PRC may make it more difficult for us to pursue growth through acquisitions.”

 

54


Table of Contents
C.Organizational Structure

The following diagram illustrates our corporate structure as of the date of this annual report:

LOGO

 

(1)The three individuals are James Zhi Qin, our director and chief executive officer, Xiang Li, our director and president, and Zheng Fan, our vice president. Each of these three individuals is also a beneficial owner of our company and a PRC citizen. James Zhi Qin, Xiang Li and Zheng Fan hold 8%, 68% and 24%, respectively, of the equity in each of Autohome Information, Shanghai Advertising and Guangzhou Advertising.

 

55


Table of Contents
D.Property, Plants and Equipment

Our corporate headquarters is located in Beijing, China, where we lease office space with an area of approximately 7,460 square meters. We generally make rental payments on a monthly basis. In addition, we also lease office space in 68 cities for our representative offices, including regional operation centers in Shanghai and Guangzhou in China. We believe that our existing facilities are generally adequate to meet our current needs, but we expect to seek additional space as needed to accommodate future growth.

Our servers are primarily hosted at internet data centers owned by major domestic internet data center providers. The hosting services agreements typically have a term of one year. We believe that our current facilities are adequate and that we will be able to obtain additional facilities, principally through leasing, to accommodate any future expansion plans.

ITEM 4A. UNRESOLVED STAFF COMMENTS

None.

ITEM 5. OPERATING AND FINANCIAL REVIEW AND PROSPECTS

You should read the following discussion and analysis of our financial condition and results of operations in conjunction with our consolidated financial statements and the related notes included elsewhere in this annual report. This discussion contains forward-looking statements that involve risks and uncertainties. Our actual results and the timing of selected events could differ materially from those anticipated in these forward-looking statements as a result of various factors, including those set forth under “Risk Factors” and elsewhere in this annual report.

 

A.Operating Results

Overview

We are the leading online destination for automobile consumers in China. Through our two websites, autohome.com.cnand che168.com, we deliver automotive content targeting automobile buyers and owners. We generate revenues from online advertising services and dealer subscription services. Our advertisers consist primarily of automakers and automobile dealers, with automakers contributing a substantial majority of our total revenues. In each of 2011, 2012 and 2013, we provided advertising services to approximately 80% of over 80 automakers operating in China. We also provided dealer subscription services to 2,160, 5,052 and 10,617 dealer subscribers in 2011, 2012 and 2013, respectively.

Our net revenues increased from RMB433.2 million in 2011 to RMB732.5 million in 2012 and RMB 1,216.5 million (US$201.0 million) in 2013, representing a CAGR of 67.6%. Our income from continuing operations increased from RMB135.4 million in 2011 to RMB212.9 million in 2012 and RMB 456.2 million (US$75.4 million) in 2013, representing a CAGR of 83.5%.

General Factors Affecting Our Results of Operations

Our business and results of operations are significantly affected by China’s overall economic conditions and the general trends in the automotive industry, especially new automobile sales in China. Economic growth in China has contributed to an increase in household disposable income and improved the availability of financing for automobile purchases. These factors, coupled with increased production capacity and lower import tariffs, past governmental incentives designed to encourage automobile purchases and the decreasing cost of new automobiles, have contributed to the growth of the number of new automobiles sold in China. Although the automotive industry has benefited from China’s overall favorable policies, some local governments have imposed restrictions on automobile registrations to curb traffic congestion in urban centers. If such regulations slow the growth rate of new automobile sales in China and lead to decreased advertising expenditures by automakers and dealers, our business and results of operations may be adversely affected.

In addition, our business and results of operations may be affected by our user reach and engagement. Automaker and dealer advertisers, which contribute substantially to all of our revenues, choose to advertise on our websites in significant part due to our leading market position in the online automotive advertising industry. We anticipate that our ability to continue to attract a large and growing user base and maintain a high level of user engagement will affect our ability to attract advertisers and dealer subscribers to our websites.

 

56


Table of Contents

Specific Factors Affecting Our Results of Operations

While our business and results of operations are generally affected by China’s overall economic conditions, the general trends in China’s automotive industry and our user reach and engagement, our results of operations are more directly affected by the specific financial factors set forth below.

Net Revenues

We generate our net revenues from selling online advertising services and dealer subscription services. We sell our advertising services primarily to automakers and automobile dealers, with automakers contributing a substantial majority of our advertising services revenues. As is customary in China, we sell our advertising services primarily through third-party advertising agencies, which are our direct customers, whilst we consider automaker and dealer advertisers to be our end-customers. Consistent with common practice in the advertising industry in China, we offer incentives to advertising agencies. Our net revenues are presented net of rebates to advertising agencies. We sell our dealer subscription services to automobile dealers on a fixed-fee subscription basis.

The following table sets forth the principal components of our net revenues in absolute amounts and as percentages of our total net revenues for the years presented:

 

   For the Year Ended December 31, 
   2011  2012  2013 
   RMB   %  RMB   %  RMB   US$   % 
   (in thousands, except percentages) 

Net revenues:

            

Advertising services

   379,666     87.6  592,622     80.9  894,937     147,833     73.6

Dealer subscription services

   53,523     12.4    139,898     19.1    321,611     53,126     26.4  
  

 

 

   

 

 

  

 

 

   

 

 

  

 

 

   

 

 

   

 

 

 

Total net revenues

   433,189     100.0  732,520     100.0  1,216,548     200,959     100.0
  

 

 

   

 

 

  

 

 

   

 

 

  

 

 

   

 

 

   

 

 

 

Advertising Services Revenues

We generate advertising services revenues primarily from automakers. In each of 2011, 2012 and 2013, approximately 80% of over 80 automakers operating in China purchased advertising services from us. As a result of our high penetration in the automaker market, we believe that our future automaker advertising services revenue growth will be driven primarily by automakers’ increased advertising spending on our websites as they continue to shift advertising budgets from traditional media to online media.

Increased spending will be driven primarily by a combination of (i) our ability to increase advertising volume, either due to the availability of additional advertising locations as we expand our service offerings or due to higher sell-through rates, which is calculated as the percentage of advertising locations actually sold over total advertising locations available for sale in a given period, and (ii) our ability to increase our pricing, as measured by price per location per day, as our user reach continues to expand, thereby enhancing the effectiveness of the services we offer. As is customary in China’s online advertising market, we use a “cost per time” pricing model to price our online advertising services by charging our advertisers on a daily basis for an advertisement placed in a given location on our websites. We expect that this cost-per-time model will continue to be our primary pricing model in the near future. However, as we continue to grow our user base and enhance user engagement, we intend to explore “cost-per-thousand-impressions” and other performance-based pricing models.

We also sell advertising services to automobile dealers. Our automobile dealer customers receive reimbursements for a majority of their marketing and advertising expenses from their automakers. Therefore, while automobile dealers are our direct customers for dealer advertising services, their advertising decisions are increasingly influenced by automakers. We believe that the future growth of our dealer advertising services revenues will be driven mainly by (i) the increase in the advertising budgets that automakers allocate to their dealers, and (ii) our ability to increase our “share of wallet” relative to other online media as we continue to expand into new geographical markets and penetrate deeper into existing markets to increase our customer base of auto dealers.

 

57


Table of Contents

In addition, we generate a small amount of revenues from our automotive aftermarket services platform, which we launched in late 2011 to connect our users with national or local products and service providers. We charge these providers commissions for successfully completed transactions originating from the aftermarket services platform.

Dealer Subscription Services

We generate dealer subscription services revenues through the sale of various subscription services packages at different prices, which enable dealers to market their vehicle inventories on our websites. All of our dealer subscription services are sold on a quarterly or annual fixed-fee basis.

We offer basic automobile listing services free of charge to all of our registered dealers. We had 23,897 registered dealers as of December 31, 2013, compared with 18,609 and 12,817 registered dealers as of December 31, 2012 and 2011. Our dealer subscribers are registered dealers that have purchased subscription packages. We provide our dealer subscribers with additional tools and features to enable them to more effectively market their inventories on our websites. Our dealer subscribers grew from 2,160 in 2011 to 5,052 in 2012 and 10,617 in 2013. We believe that the future growth of our dealer subscription services revenues will be driven by our ability to increase the number of registered dealers, as well as our ability to subsequently convert registered dealers into dealer subscribers and command higher fees for different subscription packages.

Cost of Revenues

Cost of revenues refers primarily to (i) content related costs, (ii) depreciation and amortization, (iii) bandwidth and IDC costs, and (iv) value-added tax, business tax and surcharges. The following table sets forth the principal components of our cost of revenues in absolute amounts and as a percentage of our total net revenues for the periods indicated:

 

   For the Year Ended December 31, 
   2011  2012  2013 
   RMB   %  RMB   %  RMB   US$   % 
   (in thousands, except percentages) 

Cost of revenues:

            

Content related costs(1)

   43,943     10.1  62,871     8.6  95,987     15,856     7.9

Depreciation and amortization

   18,739     4.3    21,978     3.0    26,439     4,367     2.2  

Bandwidth and IDC costs

   11,936     2.8    15,045     2.0    21,047     3,477     1.7  

Value-added tax, business tax and surcharges

   55,947     12.9    78,346     10.7    108,763     17,966     8.9  
  

 

 

   

 

 

  

 

 

   

 

 

  

 

 

   

 

 

   

 

 

 

Total cost of revenues

   130,565     30.1  178,240     24.3  252,236     41,666     20.7
  

 

 

   

 

 

  

 

 

   

 

 

  

 

 

   

 

 

   

 

 

 

 

(1)Including share-based compensation expenses of RMB3.2 million for 2011, RMB6.6 million for 2012 and RMB6.5 million (US$1.1 million) for 2013, respectively.

Content Related Costs. Content related costs are costs directly related to creating and editing the professionally produced content and organizing and maintaining user generated content on our websites. This mainly includes salaries and benefits, travel and office expenses of our editorial personnel, expenses we incur in the execution of the offline portion of our advertisers’ online promotions and expenses we pay to third parties for creating and publishing certain rich media content displayed on our websites. We expect our content related costs will continue to increase primarily due to our business growth. In addition, as a result of our adoption of a share incentive plan in May 2011, our content related expenses in subsequent periods include share-based compensation expenses related to our editorial personnel.

Depreciation and Amortization. A substantial majority of our depreciation and amortization expenses relate to amortization expenses for the amortization of intangibles including trademarks, customer relationships, websites and listing databases that we acquired in connection with the acquisitions of Cheerbright, China Topside and Norstar in June 2008, shortly after the inception of our company. Depreciation expenses are related to servers and other equipment that are directly related to our revenue generating business activities. We expect our amortization expenses will decrease after the end of the estimated useful lives of certain intangible assets, while depreciation expenses will increase as we continue to invest in our business.

 

58


Table of Contents

Bandwidth and IDC Costs. Bandwidth and IDC costs consist of fees that we pay to telecommunication carriers and other service providers for telecommunication services and for hosting our servers at their internet data centers, as well as fees we pay to our content delivery network service provider for the distribution of our content. Our bandwidth and IDC costs continued to increase in subsequent periods as our user traffic continued to increase and we required more high quality bandwidth to support user traffic growth and improve our users’ experience.

Value-Added Tax, Business Tax and Surcharges. We have been subjected to business tax, surcharges or cultural construction fees levied on our gross revenue. The business tax rate was 5% during 2011 and 2012. As a result of the pilot programs introduced by the Ministry of Finance and the SAT, Shanghai Advertising and Guangzhou Advertising were required to pay Value-Added Tax, or VAT, instead of business tax starting January 1, 2012 and November 1, 2012, respectively. Autohome WFOE and our other VIEs in Beijing were required to pay VAT instead of business tax starting September 1, 2012. The VAT rate for all these entities was 6%. Following these changes, the service fees received by Autohome WFOE from our VIEs are no longer subject to business tax and the VAT incurred by Autohome WFOE based on the services it provided to our VIEs can be deducted from the VAT payables of our VIEs. In addition, revenues from our dealer subscription services are not subject to the cultural construction fee and they as a percentage of our total net revenues increased in 2013. All these contributed to the decrease of our overall VAT, business tax and surcharges as a percentage of our total net revenues from 12.9% in 2011 to 10.7% in 2012 and 8.9% in 2013.

Operating Expenses

Our operating expenses consist of sales and marketing expenses, general and administrative expenses and product development expenses. The following table sets forth our operating expenses for our continuing operations in absolute amounts and as percentages of our total net revenues for the periods indicated:

 

   For the Year Ended December 31, 
   2011  2012  2013 
   RMB   %  RMB   %  RMB   US$   % 
   (in thousands, except percentages) 

Operating expenses:

            

Sales and marketing expenses(1)

   67,500     15.6  129,796     17.7  245,228     40,509     20.2
            

General and administrative expenses(2)

   46,547     10.7    83,153     11.4    82,529     13,633     6.8  

Product development expenses(3)

   16,459     3.8    42,865     5.9    81,651     13,488     6.7  
  

 

 

   

 

 

  

 

 

   

 

 

  

 

 

   

 

 

   

 

 

 

Total operating expenses

   130,506     30.1  255,814     35.0  409,408     67,630     33.7
  

 

 

   

 

 

  

 

 

   

 

 

  

 

 

   

 

 

   

 

 

 

 

(1)Including share-based compensation expenses of RMB1.1 million for 2011, RMB4.2 million for 2012 and RMB4.4 million (US$0.7 million) for 2013, respectively.
(2)Including share-based compensation expenses of RMB8.0 million for 2011, RMB15.7 million for 2012 RMB11.7 million (US$1.9 million) for 2013, respectively.
(3)Including share-based compensation expenses of RMB0.5 million for 2011, RMB2.7 million for 2012 and RMB3.0 million (US$0.5 million) for 2013, respectively.

Sales and Marketing Expenses. Our sales and marketing expenses primarily consist of salaries and benefits and sales commissions for our sales and marketing personnel and the marketing expenses in connection with promoting our brands through other online media and sales promotion activities. Our sales and marketing expenses also include office and travel related expenses and business development expenses associated with our sales and marketing activities. We expect that our sales and marketing expenses will continue to increase as we enlarge our sales force to expand our coverage and strengthen our market position.

General and Administrative Expenses. Our general and administrative expenses primarily consist of personnel related expenses for management and administrative personnel. In addition, we incurred a significant amount of third-party professional services fees as we engaged auditors and legal counsel in connection with our initial public offering. Our general and administrative expenses decreased from 2012 to 2013 because of a one-off cost associated with the Company’s postponement of its IPO in the fourth quarter of 2012, and was partially offset by an increase in salaries and benefits in 2013. However, we expect that our general and administrative expenses will increase in the future as we expand our business and as we incur increased costs related to complying with our reporting obligations as a public company under U.S. securities laws.

 

59


Table of Contents

Product Development Expenses. Our product development expenses primarily consist of personnel related expenses associated with the development of new technologies and products as well as enhancement of our websites. We expect that our product development expenses will increase as we expand our business, develop new features and functionalities and increase the accessibility of our websites and mobile applications.

Discontinued Operations

In June 2011, in connection with our strategy to focus on our core automotive advertising services and dealer subscription services business, we distributed our business serving the information technology industry to Sequel Media. We then simultaneously distributed shares of Sequel Media to our shareholders on June 30, 2011. The distributed businesses have been accounted for as discontinued operations whereby the results of operations of this business have been eliminated from our results of continuing operations and reported as discontinued operations for all periods presented. We recognized a distribution to shareholders of RMB325.2 million in 2011, which included RMB94.1 million of cash balances of the distributed entities.

We reported a loss of RMB4.2 million in 2011, nil in 2012 and nil in 2013 from discontinued operations. The operating results associated with these distributed entities have been presented as discontinued operations for all periods presented in this annual report.

Taxation

Cayman Islands

We are incorporated in the Cayman Islands. Under the current laws of the Cayman Islands, we are not subject to income or capital gains tax. In addition, dividend payments are not subject to withholding tax in the Cayman Islands.

British Virgin Islands

Cheerbright is a business company incorporated in the British Virgin Islands. Under the current laws of the British Virgin Islands, Cheerbright is not subject to income or capital gains tax. In addition, dividend payments are not subject to withholding tax in the British Virgin Islands.

Hong Kong

Autohome HK and Autohome Media are incorporated in Hong Kong. Companies registered in Hong Kong are subject to Hong Kong Profits Tax on the taxable income as reported in their respective statutory financial statements adjusted in accordance with relevant Hong Kong tax laws. The applicable tax rate is 16.5% in Hong Kong. For the years ended December 31, 2011, 2012 and 2013, we did not make any provisions for Hong Kong profit tax as Autohome HK and Autohome Media had no assessable profits derived from or earned in Hong Kong during those years. Under the Hong Kong tax law, Autohome HK and Autohome Media are exempted from income tax on its foreign-derived income and there are no withholding taxes in Hong Kong on remittance of dividends.

PRC

Our PRC subsidiaries and VIEs are subject to PRC enterprise income tax, or EIT, on the taxable income in accordance with the relevant PRC income tax laws.

Under the PRC Enterprise Income Tax Law and its implementation rules, both of which became effective on January 1, 2008, a uniform 25% enterprise income tax rate is generally applicable to both foreign-invested enterprises and domestic enterprises, unless they qualify for certain exceptions.

In 2010, Autohome WFOE was recognized as a “high and new technology enterprise”, or HNTE, effective 2010 and is eligible for a 15% preferential enterprise income tax rate effective from 2010 through 2012. The HNTE qualification is subject to an annual evaluation and a three-year review by the relevant authorities in China. We have obtained renewal of the HNTE qualification through 2015. However, should we lose this qualification for any reason, Autohome will no longer enjoy the 15% preferential tax rate, and the applicable enterprise income tax rate may increase to up to 25%.

 

60


Table of Contents

The Company’s remaining PRC subsidiaries and all the VIEs were subject to EIT at a rate of 25% for the years ended December 31, 2011, 2012 and 2013.

Under the PRC Enterprise Income Tax Law, an enterprise established outside of the PRC with “de facto management bodies” located within the PRC is considered a PRC resident enterprise and therefore will be subject to a 25% PRC EIT on its global income. The implementation rules define “de facto management bodies” as “establishments that carry out substantial and overall management and control over the manufacturing and business operations, personnel, accounting, properties, etc. of an enterprise.” In addition, according to the Notice Regarding the Determination of Chinese-Controlled Offshore Incorporated Enterprises as PRC Tax Resident Enterprises on the Basis of De Facto Management Bodies issued by State Administration of Taxation, or SAT Circular 82, on April 22, 2009, a Chinese-controlled enterprise established outside of China is treated as a PRC resident enterprise with “de facto management bodies” located in the PRC for tax purposes where all of the following requirements are satisfied: (a) the senior management and core management departments in charge of its daily production or business operations are located in the PRC; (b) its financial and human resource decisions are subject to determination or approval by persons or bodies in the PRC; (c) its major assets, accounting books, company seals, and minutes and files of its board and shareholders’ meetings are located or kept in the PRC; and (d) more than half of the enterprise’s board members with voting rights or senior management habitually reside in the PRC. Despite the uncertainties resulting from limited PRC tax guidance on the issue, we do not believe that our legal entities organized outside of the PRC constitute PRC resident enterprises under the PRC Enterprise Income Tax Law. However, if we are considered a PRC resident enterprise and earn income other than dividends from our PRC subsidiaries, a 25% enterprise income tax on our global income could significantly increase our tax burden and materially and adversely affect our cash flow and profitability.

Further, the Enterprise Income Tax Law and the implementation rules provide that an income tax rate of 10% may be applicable to China-sourced income of foreign enterprises, such as dividends paid by PRC subsidiaries to their overseas parent that is not a PRC resident enterprise, which (a) do not have an establishment or place of business in the PRC or (b) have an establishment or place of business in the PRC but the relevant income is not effectively connected with the establishment or place of business, unless there are applicable treaties that reduce such rate. The implementation rules of the new Enterprise Income Tax Law provide that (a) if the enterprise that distributes dividends is domiciled in the PRC, or (b) if gains are realized from transferring equity interests of enterprises domiciled in the PRC, then such dividends or capital gains are treated as China-sourced income. It is not clear how “domicile” may be interpreted under the Enterprise Income Tax Law, and it may be interpreted as the jurisdiction where the enterprise is a tax resident. Therefore, if we are considered as a PRC tax resident enterprise for tax purposes, any dividends we pay to our overseas shareholders or ADS holders as well as gains realized by such shareholders or ADS holders from the transfer of our shares or ADSs may be regarded as China-sourced income and as a result become subject to PRC withholding tax at a rate of up to 10%, subject to reduction by an applicable treaty.

See “Item 3. Key Information—D. Risk Factors—Risks Related to Doing Business in China—Our global income and the dividends that we may receive from our PRC subsidiaries, dividends distributed to our non-PRC shareholders and ADS holders, and gain recognized by such shareholders or ADS holders, may be subject to PRC taxes under the PRC Enterprise Income Tax Law, which would have a material adverse effect on our results of operations.”

Critical Accounting Policies

We prepare our financial statements in conformity with U.S. GAAP, which requires us to make judgments, estimates and assumptions that affect the reported amounts of assets and liabilities, disclosure of contingent assets and liabilities at the end of each reporting period and the reported amount of revenue and expenses during each reporting period. We evaluate these estimates and assumptions based on historical experience, knowledge and assessment of current business and other conditions and expectations that we believe to be reasonable under the circumstances. Since the use of estimates is an integral component of the financial reporting process, actual results could differ from these estimates and assumptions.

 

61


Table of Contents

Some of our accounting policies require higher degrees of judgment than others in their application. When reviewing our consolidated financial statements, you should consider (a) our selection of critical accounting policies, (b) the judgment and other uncertainties affecting the application of such policies and (c) the sensitivity of reported results to changes in conditions and assumptions. For further information on our significant accounting policies, see Note 2 to our consolidated financial statements. We consider the policies discussed below to be critical to an understanding of our consolidated financial statements as their application places significant demands on the judgment of our management. We believe the following critical accounting policies are the most significant to the presentation of our financial statements and some of which may require the most difficult, subjective and complex judgments. They should be read in conjunction with our consolidated financial statements, the risks and uncertainties described under “Risk Factors” and other disclosures included in this annual report.

Revenue Recognition

We derive revenue primarily from advertising services and dealer subscription services. Revenue is recognized only when the price is fixed or determinable, persuasive evidence of an arrangement exists, the service is performed and collectability of the related fee is reasonably assured based on the guidance in the Accounting Standards Codification or ASC 605, Revenue Recognition.

Contracts are signed to establish significant terms such as the price and online advertising services to be provided. We consider the price for our services to be fixed and determinable when we and our customers have signed the contracts. We assess the creditworthiness of our customers prior to signing the contracts to ensure collectability is reasonably assured. Nonrefundable payments received before satisfaction of all relevant criteria for revenue recognition are recorded as deferred revenue.

Advertising services

We provide online advertising services to automakers, dealers and agency companies that represent automakers and dealers. The majority of our online advertising service arrangements involve multiple deliverables such as banner advertisements, links and logos, other media insertions and promotional activities that are delivered over different periods of time. Multiple contracts with the same customers are accounted for as separate arrangements if the contracts are not linked together in a single transaction. Historically, we have not entered into multiple contracts with the same counterparty that should be combined and accounted for as a single arrangement.

In determining our best estimated selling price for each deliverable, we considered our overall pricing model and objectives, as well as market or competitive conditions that may impact the price at which we would transact if the deliverable were sold regularly on a standalone basis. We monitor the conditions that affect our determination of the selling price for each deliverable and reassess such estimates periodically. Revenue is recognized rateably when the advertisements are published over the stated display period in the case of websites or when the services have been rendered in the case of promotional activities. The amount recognized is limited to the amount that is not contingent upon the delivery of additional deliverables or meeting other specified performance conditions.

Dealer subscription services

We provide subscription services to automobile dealers. Throughout the subscription period, the dealers can publish information such as the pricing of their products, locations and addresses and other related information on our website. Revenues are recognized ratably as services are provided over the subscription period.

Rebates to customers

We provide cash incentives in the form of rebates to agency companies based on cumulative annual advertising and service volume. We estimate our obligations under such agreements based on an evaluation of the likelihood of the agency companies’ achievement of the advertising and service volume targets, giving consideration to the actual activity during the incentive period and, as appropriate, evaluation of the agency companies’ purchase trends and history. Estimated rebates are recorded as a reduction of revenue in the period revenue is recognized in our consolidated financial statements. The rebates to advertising agencies amounted to RMB109.6 million, RMB153.4 million and RMB231.1 million (US$38.2 million) for the years ended December 31, 2011, 2012 and 2013, respectively.

 

62


Table of Contents

Discontinued operations

When a component of an entity has been disposed of and we will no longer have significant continuing involvement in the operations of the component, the results are classified as discontinued operations in the consolidated statement of comprehensive income under ASC 205-20, Discontinued Operations.

We determine the results of our discontinued operations by using a combination of specific identification of revenues and certain costs as well as a reasonable allocation of the remaining costs using applicable cost drivers where specific identification is not determinable.

Income taxes

We account for income taxes using the liability method. Under this method, deferred tax assets and liabilities are determined based on the difference between the financial reporting and tax bases of assets and liabilities using enacted tax rates that will be in effect in the period in which the differences are expected to reverse. We record a valuation allowance against deferred tax assets if, based on the weight of available evidence, it is more-likely-than-not that some portion, or all, of the deferred tax assets will not be realized. The effect on deferred taxes of a change in tax rates is recognized in income in the period that includes the enactment date.

We apply ASC 740, Accounting for Income Taxes, to account for uncertainty in income taxes. ASC 740 prescribes a recognition threshold a tax position is required to meet before being recognized in the financial statements. We have recorded unrecognized tax benefits in the other liabilities line item in the accompanying consolidated balance sheets. We have elected to classify interest and penalties related to unrecognized tax benefits, if and when required, as part of “income tax expense,” in the consolidated statements of comprehensive income.

Our estimated liability for unrecognized tax benefits and the related interest and penalties are periodically assessed for adequacy and may be affected by changing interpretations of laws, rulings by tax authorities, changes and/or developments with respect to tax audits, and expiration of the statute of limitations. The actual benefits ultimately realized may differ from our estimates. As each audit is concluded, adjustments, if any, are recorded in our consolidated financial statements. Additionally, in future periods, changes in facts and circumstances, and new information may require us to adjust the recognition and measurement estimates with regard to individual tax positions. Changes in recognition and measurement estimates are recognized in the period in which they occur.

Fair Value of Financial Instruments

Our financial instruments are primarily comprised of cash and cash equivalents, restricted cash, held-to-maturity instruments, accounts receivable, other current assets, short-term debt, accrued expenses and other payables, payable for repurchase of common stock and due to related parties. The carrying values of these financial instruments approximate their fair values due to the short-term maturity of these instruments.

Accounts Receivable and Allowance for Doubtful Accounts

Accounts receivable are carried at net realizable value. An allowance for doubtful accounts is recorded in the period when a loss is probable based on an assessment of specific evidence indicating troubled collection, historical experience, accounts aging and other factors. An accounts receivable balance is written off after all collection effort has ceased.

Goodwill

Our goodwill is related to the acquisition of Cheerbright, China Topside, and Norstar, representing the excess of the purchase price over the amounts assigned to the fair value of the assets acquired and the liabilities assumed. As part of the distribution of the distributed entities to our shareholders on June 30, 2011, goodwill was allocated between the continuing operations and discontinued operations using a relative fair value approach in accordance with ASC 350- 20-35-45, Goodwill and Other Intangible Assets.

 

63


Table of Contents

Goodwill is tested for impairment at the reporting unit level on an annual basis at the end of each fiscal year and between annual tests if an event occurs or circumstances change that would more-likely-than-not reduce the fair value of a reporting unit below its carrying value. These events or circumstances include significant changes in our stock price, business environment, legal factors, financial performances, competition, or events affecting our reporting unit. Application of the goodwill impairment test requires judgment, including the identification of reporting units, assignment of assets and liabilities to reporting units, assignment of goodwill to reporting units, and determination of the fair value of each reporting unit. The estimation of fair value of a reporting unit using a discounted cash flow methodology also requires significant judgments, including estimation of future cash flows, which is dependent on internal forecasts, estimation of the long-term rate of growth for our business, estimation of the useful life over which cash flows will occur, and determination of our weighted average cost of capital. The estimates used to calculate the fair value of a reporting unit change from year to year based on operating results and market conditions. Changes in these estimates and assumptions could materially affect the determination of fair value and goodwill impairment for the reporting unit.

We adopted Accounting Standards Update (“ASU”) 2011-08, Testing Goodwill for Impairment, to test goodwill for impairment. This ASU permits the Company to first assess qualitative factors to determine whether it is “more likely than not” that the fair value of a reporting unit is less than its carrying amount as a basis for determining whether it is necessary to perform the two-step goodwill impairment test. If the Company determines, on the basis of qualitative factors, that the fair value of a reporting unit is more likely than not less than the carrying amount, a two-step impairment test is required. Otherwise, further testing is not needed. The first step compares the fair value of each reporting unit to its carrying amount, including goodwill. If the fair value of each reporting unit exceeds its carrying amount, goodwill is not considered to be impaired and the second step will not be required. If the carrying amount of a reporting unit exceeds its fair value, the second step compares the implied fair value of goodwill to the carrying value of a reporting unit’s goodwill. The implied fair value of goodwill is determined in a manner similar to accounting for a business combination with the allocation of the assessed fair value determined in the first step to the assets and liabilities of the reporting unit. The excess of the fair value of the reporting unit over the amounts assigned to the assets and liabilities is the implied fair value of goodwill. The Company has an unconditional option to bypass the qualitative assessment in any period and proceed directly to performing the two-step impairment test.

Management has determined that the Company represents the lowest level at which goodwill is monitored for internal management purposes. Based on an assessment of the qualitative factors, management determined that it is more-likely-than-not that the fair value of the reporting unit is in excess of its carrying amount. Therefore, management concluded that it was not necessary to proceed to the two-step goodwill impairment test. No impairment loss was recorded for any of the years presented.

If we reorganize our reporting structure in a manner that changes the composition of one or more of our reporting units, goodwill will be reassigned based on the relative fair value of each of the affected reporting units.

Impairment of Long-Lived Assets and Intangibles

We evaluate long-lived assets or asset groups, including intangible assets with finite lives, for impairment whenever events or changes in circumstances indicate that the carrying amount of an asset or a group of long-lived assets may not be recoverable. Recoverability of these assets is measured by comparing their carrying amounts to the future undiscounted cash flows the assets are expected to generate. If the sum of the expected undiscounted cash flow is less than the carrying amount of the assets, we recognize an impairment loss equal to the amount by which the carrying value of the asset exceeds its fair value.

Share-based Compensation

Share-based awards granted to employees are accounted for under ASC 718, Compensation—Stock Compensation, which requires that share-based awards granted to employees be measured based on the grant date fair value and recognized as compensation expense over the requisite service period (which is generally the vesting period) in the consolidated statements of comprehensive income. We have elected to recognize compensation expense using the straight-line method for all share-based awards granted with service conditions that have a graded vesting schedule. ASC 718 requires forfeitures to be estimated at the time of grant and revised, if necessary, in subsequent periods if actual forfeitures differ from initial estimates. Forfeiture rate is estimated based on historical and future expectation of employee turnover rate and is adjusted to reflect future change in circumstances and facts, if any. Share-based compensation expense is recorded net of estimated forfeitures such that expense was recorded only for those share-based awards that are expected to vest.

We adopted our 2011 Share Incentive Plan in May 2011. Under the 2011 Share Incentive Plan, we may grant options to our employees, directors and consultants to purchase an aggregate of no more than 7,843,100 of our Class A ordinary shares.

 

64


Table of Contents

The table below sets forth information concerning the share-based awards granted to our employees on the dates indicated:

 

Grant Date

  No. of Ordinary
Shares Underlying
Options Granted
   Exercise Price
Per Share
   Fair Value Per
Share at the
Grant Date
   Intrinsic Value
Per Option at
the Grant Date
   Vesting Schedule 

May 6, 2011

   4,950,000    US$2.20    US$3.69    US$1.49      

August 1, 2011

   700,000    US$2.20    US$3.44    US$1.24      

October 8, 2011

   110,000    US$2.20    US$3.68    US$1.48      

December 19, 2011

   2,000,000    US$2.20    US$3.68    US$1.48      ** 

July 1, 2012

   120,000    US$2.20    US$3.70    US$1.50      *** 

May 27, 2013

   560,000    US$2.20    US$4.58    US$2.38      **** 

October 22, 2013

   78,000    US$2.20    US$11.64    US$9.44      **** 

October 22, 2013

   150,000    US$2.20    US$11.64    US$9.44      ***** 

January 16, 2014

   57,600    US$2.20    US$36.62    US$34.42      ****** 

January 16, 2014

   120,000    US$2.20    US$36.62    US$34.42      ******* 

 

*25% of the awards have vested on each of January 1, 2012, 2013 and 2014 and the remaining awards will vest on January 1, 2015.
**25% of the awards have vested on each of January 1, 2013 and 2014 and the remaining awards will vest on each of January 1, 2015 and 2016.
***25% of the awards have vested on July 1, 2013 and the remaining awards will vest on each of July 1, 2014, 2015 and 2016.
****25% of the awards have vested on January 1, 2014 and the remaining awards will vest on each of January 1, 2015, 2016 and 2017.
*****25% of the awards will vest on July 1, 2014 and the remaining awards will vest on each of July 1, 2015, 2016 and 2017.
******25% of the awards have vested on January 16, 2014 and the remaining awards will vest on each of January 16, 2015, 2016 and 2017.
*******25% of the awards will vest on January 1, 2015 and the remaining awards will vest on each of January 1, 2016, 2017 and 2018.

The binomial option pricing model was applied in determining the estimated fair value of the options granted to employees. The model requires the input of highly subjective assumptions including the estimated expected stock price volatility and the exercise multiple for which employees are likely to exercise share-based awards. For expected volatilities, we have made reference to the historical price volatilities of ordinary shares of several comparable companies in the same industry as us. For the exercise multiple, we have no historical exercise patterns as reference, thus the exercise multiple is based on our estimation, which we believe is representative of the future exercise pattern of the options. The risk-free rate for periods within the contractual life of the option is based on the U.S. treasury bills yield curve in effect at the time of grant. The estimated fair value of the ordinary shares, at the option grant dates, was determined with assistance from an independent third party valuation firm. Changes in these assumptions could significantly affect the estimated fair value of our share-based awards and hence the amount of compensation expense that we recognize in our consolidated financial statements.

We adopted our 2013 Share Incentive Plan in November 2013. Under the plan, we may grant awards to our employees, directors and consultants to purchase up to an aggregate of 3,350,000 of our Class A ordinary shares during the term of the plan.

The table below sets forth information concerning the share awards granted on the date indicated:

 

Grant Date

  No. of Restricted Shares   Fair Value per Share
at the Grant Date
   Vesting Schedule 

November 4, 2013

   400,000    US$12.38      

 

*25% of the awards will vest on September 29, 2014 and the remaining awards will vest on each of September 29, 2015, 2016 and 2017.

Fair Value of our Ordinary Shares

In determining the grant date fair value of our ordinary shares for purposes of recording share-based compensation in connection with employee stock options, we, with the assistance of independent appraisers, performed retrospective valuations instead of contemporaneous valuations because, at the time of the valuation dates, our financial and limited human resources were principally focused on business development and marketing efforts. This approach is consistent with the guidance prescribed by the AICPA Audit and Accounting Practice Aid, Valuation of Privately-Held-Company Equity Securities Issued as Compensation, or the Practice Aid. Specifically, the “Level B” recommendation in paragraph 16 of the Practice Aid sets forth the preferred types of valuation that should be used.

 

65


Table of Contents

We, with the assistance of our independent valuation firm, evaluated the use of three generally accepted valuation approaches: market, cost and income approaches to estimate our enterprise value. We and our appraisers considered the market and cost approaches as inappropriate for valuing our ordinary shares because no comparable market transaction could be found for the market valuation approach and the cost approach does not directly incorporate information about the economic benefits contributed by our business operations. Consequently, we and our appraisers relied solely on the income approach in determining the fair value of our ordinary shares. This method eliminates the discrepancy in the time value of money by using a discount rate to reflect all business risks including intrinsic and extrinsic uncertainties in relation to our company. Accordingly, we, with the assistance of the independent appraisers, used the income approach to estimate the enterprise value at each date on which options were granted.

The income approach involves applying discounted cash flow analysis based on our projected cash flow using management’s best estimate as of the valuation dates. Estimating future cash flow requires us to analyze projected revenue growth, gross margins, effective tax rates, capital expenditures and working capital requirements. Our projected revenues were based on expected annual growth rates derived from a combination of our historical experience and the general trend in China’s online advertising industry. The revenue and cost assumptions we used are consistent with our long-range business plan and market conditions in the online marketing and advertising industry. We also have to make complex and subjective judgments regarding our unique business risks, the liquidity of our shares and our limited operating history and future prospects at the time of grant or re-measurement. Other assumptions we used in deriving the fair value of our equity include:

 

  

no material changes will occur in the applicable future periods in the existing political, legal, fiscal or economic conditions and in the online automotive advertising industry in China;

 

  

no material changes will occur in the current taxation law in China and the applicable tax rates will remain unchanged;

 

  

exchange rates and interest rates in the applicable future periods will not differ materially from the current rates;

 

  

our future growth will not be constrained by lack of funding;

 

  

we have the ability to retain competent management and key personnel to support our ongoing operations; and

 

  

industry trends and market conditions for the advertising and related industries will not deviate significantly from current forecasts.

In addition to estimating the cash flows during the projection period, we calculated the terminal value at the end of the projection period by applying the Gordon growth model, which assumes a constant annual growth rate of 3% after the projection period.

Our cash flows were discounted to present value using discount rates that reflect the risks the management perceived as being associated with achieving the forecasts and are based on the estimate of our weighted average cost of capital, or WACC, on the grant date. The WACCs were derived by using the capital asset pricing model, a method that market participants commonly use to price securities. Under the capital asset pricing model, the discount rate was determined considering the risk-free rate, industry-average correlated relative volatility coefficient, or beta, equity risk premium, size of our company, scale of our business and our ability in achieving forecast projections. Using this method, we determined the appropriate discount rate to be 21% on May 6, 2011, 19.5% on August 1, 2011, 19.0% on October 8, 2011, 19.0% on December 19, 2011, 20.0% on July 1, 2012, 18.5% on May 27, 2013, and 16.0% on October 22, 2013 and 15.0% on November 4, 2013. Subsequent to our initial public offering, the fair value of our ordinary shares is the publicly-traded share price at the grant date of the ordinary shares. The risks associated with achieving our forecasts were appropriately assessed in our determination of the appropriate discount rates. If different discount rates had been used, the valuations could have been significantly different.

 

66


Table of Contents

We also applied a discount for lack of marketability to reflect the fact that, at the time of the grants, we were a closely held company and there was no public market for our equity securities. To determine the discount for lack of marketability, we and the independent appraisers used the Black-Scholes option pricing model. Pursuant to that model, we used the cost of a put option, which can be used to hedge the price change before a privately held share can be sold, as the basis to determine the discount for lack of marketability. A put option was used because it incorporates certain company-specific factors, including timing of the initial public offering and the volatility of the share price of the guideline companies engaged in the same industry. Based on the foregoing analysis, the lack of marketability discount of 10% was adopted on the grant date. Volatility of 35.9% was determined by using the mean of volatility of the comparable companies as of the grant date. In evaluating comparable companies, we determined they should:

 

  

operate in the same or similar businesses;

 

  

have a trading history comparable to the remaining life of our share-based awards as of each valuation date; and

 

  

either have operations in China, as we only operate in China, or be market players in the United States, as we plan to become a public company in the United States.

The fair value of our ordinary shares decreased from US$3.69 as of May 6, 2011 to US$3.44 as of August 1, 2011. The decrease in the fair value of our ordinary shares during this period is primarily attributable to the spinoff of our equity interest in Norstar and China Topside, which serve the information technology industry, to Sequel Media, as part of our corporate reorganization. All of the shares of Sequel Media were immediately distributed to our shareholders.

The fair value of our ordinary shares increased from US$3.44 as of August 1, 2011 to US$3.68 as of October 8, 2011 and December 19, 2011. The increase in the fair values of ordinary shares during this period is due to the decrease in our estimated WACC from 19.5% as of August 1, 2011 to 19.0% as of October 8, 2011 and December 19, 2011. The decrease in our estimated WACC, in turn, is primarily attributable to the following:

 

  

During this period, we continued to bolster our management and strengthen our finance function by recruiting additional key management members. As set forth in the Practice Aid, successful assembly of a management team is an enterprise milestone that will reduce the uncertainty of achieving the business plan and investors’ required rate of return for investing in our securities.

 

  

In addition, as set forth in the Practice Aid, when an enterprise has established a solid financial history, the reliability of forecasted results is generally higher than in an earlier stage. Therefore, the estimated WACC, which reflects a market participant’s expected rate of return for investing in our securities, declined as our business progressed closer to a public offering.

There were no significant changes to our underlying business or assumptions between October 2011 and December 2011 and therefore there was no change to the fair value of the ordinary shares underlying the options granted on October 8, 2011 and December 19, 2011.

The fair value of our ordinary shares increased to US$3.70 as of July 1, 2012 from the fair value of US$3.68 as of December 19, 2011 mainly due to our better than expected results in the six months ended in June 30, 2012, partially offset by the increase in our estimated WACC from 19.0% as of December 19, 2011 to 20.0% as of July 1, 2012. The increase in our estimated WACC is mainly attributable to the increase in beta and equity risk premium as a result of recent market volatility.

 

67


Table of Contents

The fair value of our ordinary shares increased to US$4.58 as of May 27, 2013 from the fair value of US$3.70 as of July 1, 2012, mainly due to a decrease in our estimated WACC from 20.0% as of July 1, 2012 to 18.5% as of May 27, 2013. The decrease in our estimated WACC is primarily attributable to the following:

 

  

With a longer operating history, WACC usually exhibits a decreasing trend as a result of the on-going development of the subject company, with a longer track record, less business risk, and less uncertainty in the projection.

 

  

Our results of operations exceeded expectation in 2012 which, in conjunction with fast growing financial results in the first half of 2013, indicated stronger performance and higher achievability of the forecast.

The fair value of our ordinary shares increased to US$11.64 as of October 22, 2013 from US$4.58 as of May 27, 2013, which is primarily attributable to the following factors:

 

  

We experienced significant growth in average spending per advertising customers, subscribers, revenue and earnings. We had 22,809 registered dealers as of September 30, 2013, compared to 18,609 as of December 31, 2012. Our dealer subscribers grew from 5,052 in 2012 to 9,320 in the nine moths ended September 30, 2013. As a result, our operational performance in the third quarter exceeded our previous expectation. Our total net revenues grew to RMB830.6 million for the nine months ended September 30, 2013, representing a 62.6% increase from the corresponding period in 2012. Our net income amounted to RMB333.5 million for the nine months ended September 30, 2013, representing a 96.7% increase from the corresponding period in 2012. In view of the above, we adjusted our forecasted revenue and earnings upward when preparing financial forecasts for fair value assessment in October 2013.

 

  

During this period, market capitalization of our guideline companies in Chinese internet sector has increased significantly, and the market capitalization of a major competitor listed on NYSE increased by over 100%. We believe the increase of market capitalization of our guideline companies, and especially of our major competitor, indicate an increase in market participants’ confidence in our industry outlook and growth prospect.

 

  

In light of the improvement of market sentiment in U.S. capital markets, we re-activated our IPO plan. As we progressed towards our initial public offering, lead time to an expected liquidity event decreased, resulting in a decrease in the discount for lack of marketability (“DLOM”) from 15% as of May 27, 2013 to 5% as of October 22, 2013.

 

  

In September 2013, we strengthened our senior management team with the recruitment of a chief financial officer with extensive experience in corporate finance and capital markets.

 

  

During this period, both size and unsystematic risk premia, which are components of our estimated WACC, decreased as a result of the continuous growth of our business and the increase in the size of our company and our track record of profitability. Therefore, our estimated WACC decreased from 18.5% as of May 27, 2013 to 16.0 % as of October 22, 2013.

The fair value of our ordinary shares increased to US$12.38 as of November 4, 2013 from the fair value of US$11.64 as October 22, 2013, due to the cumulative effect of the following:

 

  

We publicly filed our registration statement on Form F-1 for our initial public offering on November 4, 2013, which reduced uncertainties associated with our IPO plan. As such, market participants’ perceived risks and required rate of return for investing in our securities decreased accordingly. Our IPO provided us with additional capital, enhanced our ability to access capital markets to grow our business, and raised our overall business profile. In light of the above, our estimated WACC decreased from 16.0% as of October 22, 2013 to 15.0% as of November 4, 2013.

 

  

The impact of the increase in total equity interest on the fair value of our ordinary shares was partially offset by the dilutive effect of the West Crest Share Purchase.

Subsequent to our initial public offering, the fair value of our ordinary shares is the publicly-traded share price at the grant date of the ordinary shares.

 

68


Table of Contents

Fair Value of our Stock Options and Restricted Shares

We, with the assistance of independent appraisers, calculated the estimated fair value of the options on the grant dates prior to the IPO, using the binomial option pricing model with the following assumptions:

 

  May 6,
2011
  August 1,
2011
  October 8,
2011
  December 19,
2011
  July 1,
2012
  May 27,
2013
  October 22,
2013
 

Fair value per ordinary share

 US$3.69   US$3.44   US$3.68   US$3.68   US$3.70   US$4.58   US$11.64  

Risk-free interest rate

  3.27  2.90  2.14  1.89  1.73  2.07  2.60

Sub-optimal exercise factor

  2.20    2.20    2.20    2.20    2.20    2.20    2.20  

Expected volatility

  61.90  60.50  60.70  60.80  60.40  55.49  53.70

Expected dividend yield

  0  0  0  0  0  0  0

Weighted average fair value per option or per restricted share granted

 US$2.40   US$2.18   US$2.37   US$2.41   US$2.36   US$3.03   US$

US$

9.63/

9.69

  

  

The fair value of restricted shares on November 4, 2013, the grant date, was $12.38, which was derived from the fair value of the underlying ordinary shares.

For the purpose of determining the estimated fair value of our share-based awards or restricted shares, we believe the expected volatility and the estimated fair value of our ordinary shares are the most critical assumptions. Changes in these assumptions could significantly affect the fair value of share-based awards and hence the amount of compensation expense we recognize in our consolidated financial statements. Since we did not have a trading history for our shares sufficient to calculate our own historical volatility, the expected volatility of our future ordinary share price was estimated based on the price volatility of the shares of comparable public companies that operate in the same or similar business.

Implications of Being an Emerging Growth Company

As a company with less than US$1.0 billion in revenue for our last fiscal year, we qualify as an “emerging growth company” pursuant to the JOBS Act. An emerging growth company may take advantage of specified reduced reporting and other requirements that are otherwise applicable generally to public companies. These provisions include exemption from the auditor attestation requirement under Section 404 in the assessment of the emerging growth company’s internal control over financial reporting. The JOBS Act also provides that an emerging growth company does not need to comply with any new or revised financial accounting standards until such date that a private company is otherwise required to comply with such new or revised accounting standards. However, we have elected to opt out of this provision and, as a result, we will comply with new or revised accounting standards as required when they are adopted for public companies. This decision to opt out of the extended transition period under the JOBS Act is irrevocable.

We will remain an emerging growth company until the earliest of (a) the last day of our fiscal year during which we have total annual gross revenues of at least US$1.0 billion; (b) the last day of our fiscal year following the fifth anniversary of the completion of our initial public offering; (c) the date on which we have, during the previous three year period, issued more than US$1.0 billion in nonconvertible debt; or (d) the date on which we are deemed to be a “large accelerated filer” under the Exchange Act, which would occur if the market value of our ADSs that are held by nonaffiliates exceeds US$700 million as of the last business day of our most recently completed second fiscal quarter. Once we cease to be an emerging growth company, we will not be entitled to the exemptions provided in the JOBS Act discussed above.

 

69


Table of Contents

Results of Operations

The following table presents our historical results of operations in absolute amounts and as a percentage of our total net revenues for the years indicated.

 

   For the Year Ended December 31, 
   2011  2012  2013 
   RMB  %  RMB  %  RMB  US$  % 
   (in thousands, except percentages) 

Net revenues

        

Advertising services

   379,666    87.6  592,622    80.9  894,937    147,833    73.6

Dealer subscription services

   53,523    12.4    139,898    19.1    321,611    53,126    26.4  
  

 

 

  

 

 

  

 

 

  

 

 

  

 

 

  

 

 

  

 

 

 

Total net revenues

   433,189    100.0    732,520    100.0    1,216,548    200,959    100.0  

Cost of revenues(1)

   (130,565  (30.1  (178,240  (24.3  (252,236  (41,666  (20.7
  

 

 

  

 

 

  

 

 

  

 

 

  

 

 

  

 

 

  

 

 

 

Gross profit

   302,624    69.9    554,280    75.7    964,312    159,293    79.3  

Operating expenses

        

Sales and marketing expenses(1)

   (67,500  (15.6  (129,796  (17.7  (245,228  (40,509  (20.2

General and administrative expenses(1)

   (46,547  (10.7  (83,153  (11.4  (82,529  (13,633  (6.8

Product development expenses(1)

   (16,459  (3.8  (42,865  (5.9  (81,651  (13,488  (6.7
  

 

 

  

 

 

  

 

 

  

 

 

  

 

 

  

 

 

  

 

 

 

Operating profit

   172,118    39.8    298,466    40.7    554,904    91,663    45.6  

Interest income

   1,167    0.3    5,093    0.8    11,082    1,831    0.9  

Interest expense

   —     —      —     —      (414  (68  (0.0

Other income

   509    0.1    310    0.0    2,884    476    0.2  
  

 

 

  

 

 

  

 

 

  

 

 

  

 

 

  

 

 

  

 

 

 

Income from continuing operations before income taxes

   173,794    40.2    303,869    41.5    568,456    93,902    46.7  

Income tax expense

   (38,348  (8.9  (90,988  (12.4  (112,294  (18,550  (9.2
  

 

 

  

 

 

  

 

 

  

 

 

  

 

 

  

 

 

  

 

 

 

Income from continuing operations

   135,446    31.3    212,881    29.1    456,162    75,352    37.5  

Income/(loss) from discontinued operations

   (4,182  (1.0  —      —      —      —      —    
  

 

 

  

 

 

  

 

 

  

 

 

  

 

 

  

 

 

  

 

 

 

Net income

   131,264    30.3  212,881    29.1  456,162    75,352    37.5
  

 

 

  

 

 

  

 

 

  

 

 

  

 

 

  

 

 

  

 

 

 

 

(1)Including share-based compensation expenses as follows:

 

   For the Year Ended December 31, 
   2011  2012  2013 
   RMB   %  RMB   %  RMB   US$   % 
   (in thousands, except percentages) 

Allocation of Share-Based Compensation Expenses

            

Cost of revenues

   3,247     0.7  6,553     0.9  6,534     1,079     0.5

Sales and marketing expenses

   1,138     0.3    4,177     0.6    4,375     723     0.4  

General and administrative expenses

   8,049     1.9    15,734     2.1    11,738     1,939     1.0  

Product development expenses

   541     0.1    2,678     0.4    2,961     489     0.2  
  

 

 

   

 

 

  

 

 

   

 

 

  

 

 

   

 

 

   

 

 

 

Total share-based compensation expenses

   12,975     3.0  29,142     4.0  25,608     4,230     2.1
  

 

 

   

 

 

  

 

 

   

 

 

  

 

 

   

 

 

   

 

 

 

Year Ended December 31, 2013 Compared to Year Ended December 31, 2012

Net Revenues. Our net revenues increased by 66.1% from RMB732.5 million in 2012 to RMB1,216.5 million (US$201.0 million) in 2013. This increase was due to increases in both our advertising service revenues and our dealer subscription services revenues.

Advertising services. Our advertising services revenues increased by 51.0% from RMB592.6 million in 2012 to RMB894.9 million (US$147.8 million) in 2013, due to our increased revenues from both automaker advertisers and dealer advertisers. Revenues from our automaker advertisers and dealer advertisers accounted for 78.7% and 21.3%, respectively, of our total advertising services revenues in 2013. Revenues from our automaker advertisers and dealer advertisers accounted for 81.9% and 18.1%, respectively, of our total advertising services revenues in 2012.

The increase in revenues from our automaker advertisers was primarily attributable to the increased average revenues per automaker advertiser. Our average revenues per automaker advertiser increased by 48.8% in 2013, compared with that in 2012, mainly because we increased the rates for our advertising services as measured by the price per advertisement per day at a given location on our websites. We sold advertising services to 77 and 75 automakers in 2012 and 2013, respectively. The increase in our automaker advertising services revenues was also driven by an increase in the total advertising volume purchased by automakers.

 

70


Table of Contents

The increase in dealer advertising services revenue was mainly attributable to an increase in the advertising volume purchased by dealer advertisers as a result of our expansion into new geographical markets and our deeper penetration into existing markets, together with an increase in the rates for our advertising services. The increase in our dealer advertising services revenues was also due to increased marketing campaigns conducted by automakers’ regional sales offices to help dealers meet their sales targets.

Dealer subscription services. Dealer subscription services revenues increased by 129.9% from RMB139.9 million in 2012 to RMB321.6 million (US$53.1 million) in 2013. The increase in dealer subscription services revenues was mainly due to an increase in the number of our dealer subscribers, which in turn was a result of our expansion into new geographic markets and our deeper penetration into existing markets. We sold dealer subscription services to 10,617 dealers in 2013, compared with 5,052 dealers in 2012.

Cost of Revenues. Our cost of revenues increased by 41.5% from RMB178.2 million in 2012 to RMB252.2 million (US$41.7 million) in 2013, primarily due to an increase in VAT, business tax and surcharges, content related costs, bandwidth and IDC costs and depreciation.

Content Related Costs. Our content related costs increased by 52.7% from RMB62.9 million in 2012 to RMB96.0 million (US$15.9 million) in 2013, primarily due to an increase in salaries and benefits payments to our editorial and testing personnel, which in turn was primarily due to a moderate increase in average compensation levels as well as increased editorial headcount. Our content related costs included share-based compensation expenses, which remained stable, decreasing slightly from RMB6.6 million in 2012 to RMB6.5 million (US$1.1 million) in 2013.

Depreciation and Amortization. Our depreciation and amortization expenses increased by 20.3% from RMB22.0 million in 2012 to RMB26.4 million (US$4.4 million) in 2013, primarily due to an increase in depreciation expenses related to servers that were purchased in 2013, partially offset by a decrease in the amortization of acquired intangible assets, which mainly are our customer relationships and websites.

Bandwidth and IDC Costs. Our bandwidth and IDC costs increased by 39.9% from RMB15.0 million in 2012 to RMB21.0 million (US$3.5 million) in 2013, primarily due to increased bandwidth and IDC requirements to fulfill the growth of our user traffic and improve our users’ experience.

VAT, Business Tax and Surcharges. We are subject to VAT, business tax and surcharges on external services as well as services provided by our PRC subsidiaries to our VIEs. Since the implementation of the VAT Pilot Program, the service fees received by Autohome WFOE from our VIEs are no longer subject to business tax and the VAT incurred by Autohome WFOE based on the services it provided to our VIEs can be deducted from the VAT payables of our VIEs. VAT, business taxes and related surcharges increased by 38.8% from RMB78.3 million for 2012 to RMB108.8 million (US$18.0 million) for 2013, as a result of increased revenues, partially offset by the decrease in the VAT, business tax and surcharges as a percentage of our net revenues due to the VAT Pilot Program.

Operating Expenses. Our operating expenses increased by 60.0% from RMB255.8 million in 2012 to RMB409.4 million (US$67.6 million) in 2013, primarily due to increases in sales and marketing expenses and product development expenses. As a percentage of net revenues, operating expenses in 2013 decreased to 33.7% from 35.0% in 2012.

Sales and Marketing Expenses. Our sales and marketing expenses increased by 88.9% from RMB129.8 million in 2012 to RMB245.2 million (US$40.5 million) in 2013. This increase was primarily due to (i) an increase in salaries and benefits, which in turn was primarily due to our increased sales and marketing headcount and hire of more experienced sales persons to provide better service and support to our important customers, and (ii) an increase in our marketing expenses in connection with the promotion of our brands through online media and the sales promotion activity held on November 11, 2013. Our sales and marketing expenses in 2013 included share-based compensation expenses of RMB4.4 million (US$0.7 million), compared to RMB4.2 million in 2012. As a percentage of net revenues, sales and marketing expenses in 2013 increased to 20.2% from 17.7% in 2012.

 

71


Table of Contents

General and Administrative Expenses. Our general and administrative expenses were RMB82.5 million (US$13.6 million) in 2013, which is roughly the same level of general and administrative expenses of RMB83.2 million we incurred in 2012. As a percentage of net revenues, general and administrative expenses in 2013 decreased to 6.8% from 11.4% in 2012. The marginal decrease was attributable to a one-off cost associated with our postponement of our initial public offering process in the fourth quarter of 2012, which was partially offset by an increase in salaries and benefits in 2013. Our general and administrative expenses for 2013 included share-based compensation expenses of RMB11.7 million (US$1.9 million), compared to RMB15.7 million in 2012.

Product Development Expenses. Our product development expenses increased by 90.5% from RMB42.9 million in 2012 to RMB81.7 million (US$13.5 million) in 2013, primarily due to an increase in salaries and benefits payments as we recruited more product development personnel. As a percentage of net revenues, product development expenses in 2013 increased to 6.7% from 5.9% in 2012. Our product development expenses for 2013 included share-based compensation expenses of RMB3.0 million (US$0.5 million), compared to RMB2.7 million in 2012.

Income from continuing operations before Income Tax Expenses. Our income from continuing operations before income taxes increased by 87.1% to RMB568.5 million (US$93.9 million) in 2013 from RMB303.9 million in 2012.

Income Tax Expenses. We incurred income tax expenses of RMB112.3 million (US$18.6 million) in 2013, compared with RMB91.0 million in 2012, primarily due to the growth of our income from continuing operations before income tax expenses. As a percentage of our income from continuing operations before income tax expenses, our income tax expenses were 19.8% in 2013, decreased from 29.9% in 2012, primarily due to the accrued withholding tax of RMB26.6 million on our dividend distribution in 2012.

Net Income. As a result of the foregoing, we had net income of RMB456.2 million (US$75.4 million) in 2013, compared with net income of RMB212.9 million in 2012.

Year Ended December 31, 2012 Compared to Year Ended December 31, 2011

Net Revenues. Our net revenues increased by 69.1% from RMB433.2 million in 2011 to RMB732.5 million in 2012. This increase was due to an increase in both our advertising services revenues and our dealer subscription services revenues.

Advertising services. Our advertising services revenues increased by 56.1% from RMB379.7 million in 2011 to RMB592.6 million in 2012, due to our increased revenues from both automaker advertisers and dealer advertisers. Revenues from our automaker advertisers and dealer advertisers accounted for 81.9% and 18.1%, respectively, of our total advertising services revenues in 2012. Revenues from our automaker advertisers and dealer advertisers accounted for 85.2% and 14.8%, respectively, of our total advertising services revenues in 2011.

The increase in revenues from our automaker advertisers was primarily attributable to the increased average revenues per automaker advertiser. Our average revenues per automaker advertiser increased by 40.3% in 2012, as compared with that in 2011, mainly because we increased the rates for our advertising services as measured by the price per advertisement per day at a given location on our websites. We sold advertising services to 77 automakers in 2012, compared to 72 automakers in 2011. The increase in our automaker advertising services revenues was also driven by an increase in the advertising volume purchased by automakers.

The increase in dealer advertising services revenue was mainly attributable to an increase in the advertising volume purchased by dealer advertisers as a result of our expansion into new geographical markets and our deeper penetration into existing markets, together with an increase in the rates for our advertising services. The increase in our dealer advertising services revenues was also due to increased marketing campaigns conducted by automakers’ regional sales offices to help dealers meet their sales targets, which was treated as dealer advertising for our accounting purpose.

Dealer subscription services. Dealer subscription services revenues increased by 161.5% from RMB53.5 million in 2011 to RMB139.9 million in 2012. The increase in dealer subscription services revenues was mainly due to an increase in the number of our registered dealers and an increasingly high percentage of them converting into our dealer subscribers, which in turn was a result of our expansion into new geographic markets and our deeper penetration into existing markets. We sold dealer subscription services to 5,052 dealers in 2012, compared with 2,160 dealers in 2011.

 

72


Table of Contents

Cost of Revenues. Our cost of revenues increased by 36.5% from RMB130.6 million in 2011 to RMB178.2 million in 2012, primarily due to an increase in content related costs, VAT, business tax and surcharges and depreciation.

Content Related Costs. Our content related costs increased by 43.1% from RMB43.9 million in 2011 to RMB62.9 million in 2012, primarily due to an increase in salaries and benefits payments to our editorial and testing personnel, which in turn was primarily due to a moderate increase in average compensation levels as well as increased editorial headcount. Our content related costs included share-based compensation expenses of RMB6.6 million, compared to RMB3.2 million in 2011, in connection with awards granted under the 2011 Share Incentive Plan to our editorial personnel.

Depreciation and Amortization. Our depreciation and amortization expenses increased by 17.3% from RMB18.7 million in 2011 to RMB22.0 million in 2012, primarily due to an increase in depreciation expenses related to servers that were purchased in 2012, partially offset by a decrease in the amortization of acquired intangible assets, mainly our websites.

Bandwidth and IDC Costs. Our bandwidth and IDC costs increased by 26.0% from RMB11.9 million in 2011 to RMB15.0 million in 2012, primarily due to increased bandwidth and IDC requirements to handle the growth of our user traffic and improve our users’ experience.

VAT, Business Tax and Surcharges. We are subject to VAT, business tax and surcharges on external services as well as services provided by Autohome WFOE to our VIEs. Since the implementation of the VAT Pilot Program, the service fees received by Autohome WFOE from our VIEs are no longer subject to business tax and the VAT incurred by Autohome WFOE based on the services it provided to our VIEs can be deducted from the VAT payables of our VIEs. VAT, business taxes and related surcharges increased by 40.0% from RMB55.9 million for 2011 to RMB78.3 million for 2012, as a result of increased revenues.

Operating Expenses. Our operating expenses increased by 96.0% from RMB130.5 million in 2011 to RMB255.8 million in 2012, due to increases in sales and marketing expenses, general and administrative expenses and product development expenses.

Sales and Marketing Expenses. Our sales and marketing expenses increased by 92.3% from RMB67.5 million in 2011 to RMB129.8 million in 2012. This increase was primarily due to (i) an increase in our marketing expenses in connection with the promotion of our brands through other online media, and (ii) an increase in salaries and benefits, which in turn was primarily due to our increased sales and marketing headcount. As a percentage of net revenues, sales and marketing expenses in 2012 increased to 17.7% from 15.6% in 2011. Our sales and marketing expenses for 2012 included share-based compensation expenses of RMB4.2 million, compared to RMB1.1 million in 2011.

General and Administrative Expenses. Our general and administrative expenses increased by 78.6% from RMB46.5 million in 2011 to RMB83.2 million in 2012. This increase was attributable to increased salaries and other benefits expenses related to increased general and administrative headcount, and an increase in professional service fees and office expenses. As a percentage of net revenues, general and administrative expenses in 2012 increased to 11.4% from 10.7% in 2011. Our general and administrative expenses for 2012 included share-based compensation expenses of RMB15.7 million, compared to RMB8.0 million in 2011.

Product Development Expenses. Our product development expenses increased by 160.4% from RMB16.5 million in 2011 to RMB42.9 million in 2012, primarily due to an increase in salaries and benefits payments as we recruited more product development personnel. As a percentage of net revenues, product development expenses in 2012 increased to 5.9% from 3.8% in 2011. Our product development expenses for 2012 included share-based compensation expenses of RMB2.7 million, compared to RMB0.5 million in 2011.

 

73


Table of Contents

Income from Continuing Operations before Income Tax Expenses. Our income from continuing operations before income taxes increased by 74.8% to RMB303.9 million in 2012 from RMB173.8 million in 2011.

Income Tax Expenses. We incurred income tax expenses of RMB91.0 million in 2012, compared with RMB38.3 million in 2011, primarily due to the growth of our income from continuing operations before income taxes. As a percentage of our income from continuing operations before income tax expenses, our income tax expenses were 29.9% in 2012, increased from 22.1% in 2011, primarily due to the accrued withholding tax of RMB26.6 million on dividends that were declared in May 2013 and an increase in nondeductible expenses.

Income from Continuing Operations. As a result of the foregoing, our income from continuing operations increased by 57.2% to RMB212.9 million in 2012 from RMB135.4 million in 2011.

Loss from Discontinued Operations. We recorded a loss from discontinued operations of RMB4.2 million in 2011. We did not have discontinued operations in 2012.

Net Income. As a result of the foregoing, we had net income of RMB212.9 million in 2012, compared with net income of RMB131.3 million in 2011.

Inflation

Since our inception, inflation in China has not materially impacted our results of operations. According to the National Bureau of Statistics of China, the year-over-year percent changes in the consumer price index for December 2011, 2012 and 2013 were increases of 5.4%, 2.6% and 2.6%, respectively. Although we have not been materially affected by inflation, we can provide no assurance that we will not be affected in the future by higher rates of inflation in China.

Recently Issued Accounting Pronouncements

In March 2013, the Financial Accounting Standards Board issued Accounting Standards Update (“ASU”) No. 2013-05 (“ASU 2013-05”), Parent’s Accounting for the Cumulative Translation Adjustment upon Derecognition of Certain Subsidiaries or Groups of Assets within a Foreign Entity or of an Investment in a Foreign Entity, which specifies that a cumulative translation adjustment (“CTA”) should be released into earnings when an entity ceases to have a controlling financial interest in a subsidiary or group of assets within a consolidated foreign entity and the sale or transfer results in the complete or substantially complete liquidation of the foreign entity. For sales of an equity method investment that is a foreign entity, a pro rata portion of CTA attributable to the investment would be recognized in earnings when the investment is sold. When an entity sells either a part or all of its investment in a consolidated foreign entity, CTA would be recognized in earnings only if the sale results in the parent no longer having a controlling financial interest in the foreign entity. In addition, CTA should be recognized in earnings in a business combination achieved in stages. For public entities, ASU 2013-05 is effective for reporting periods beginning after December 15, 2013, with early adoption permitted. The Company will adopt ASU 2013-05 on January 1, 2014 and does not expect the adoption to have a material impact on its consolidated financial statements.

 

74


Table of Contents

In July 2013, the FASB issued ASU No. 2013-11, Income Taxes (Topic 740) (“ASU 2013-11”) to provide guidance on the financial statement presentation of an unrecognized tax benefit when a net operating loss carryforward, similar tax loss, or tax credit carryforward exists. This ASU requires an unrecognized tax benefit, or a portion of an unrecognized tax benefit, to be presented in the financial statements as a reduction to a deferred tax asset for a net operating loss carryforward, a similar tax loss, or a tax credit carryforward, with certain exceptions. The modifications to ASC Topic 740 resulting from the issuance of ASU 2013-11 are effective for fiscal years beginning after December 15, 2013 and interim periods within those years. Early adoption is permitted. We will adopt ASU 2013-11 on January 1, 2014 and will present an unrecognized tax benefit or a portion of an unrecognized tax benefit as a reduction of deferred tax assets, if applicable.

 

B.Liquidity and Capital Resources

Cash Flows and Working Capital

Prior to our initial public offering in December 2013, we have financed our operations primarily through cash generated from our operating activities and equity contributed by our shareholders. Our principal uses of cash for the years ended December 31, 2011 and 2012 and 2013 were for operating activities, primarily employee compensation, tax expenses, marketing expenses, bandwidth and IDC costs and capital expenditures.

In June 2011, we distributed our entire equity interests in Norstar and China Topside to Sequel Media, which is a Cayman Islands company incorporated by us. We then simultaneously distributed shares of Sequel Media owned by us to our shareholders. Accordingly, we recognized a distribution to our shareholders for 2011 in the amount of RMB325.2 million, which included RMB94.1 million of cash balances of the distributed entities. As of December 31, 2013, we had RMB1,138.6 million (US$188.1 million) in cash and cash equivalents. We had RMB245.0 million (US$40.5 million) of pledged deposits as of December 31, 2013.

We believe that our current cash and anticipated cash flow from operations, together with the net proceeds that we received from our initial public offering, will be sufficient to meet our anticipated cash needs, including our cash needs for at least the next 12 months. We may require additional cash due to unanticipated business conditions or other future developments. If our existing cash is insufficient to meet our requirements, we may seek to sell additional equity securities, debt securities or secure debt funding from financial institutions.

We expect to continue to accrue for staff welfare benefits including medical insurance, housing funds, pension benefits, unemployment insurance, maternity insurance and work-related injury insurance based on certain percentages of the employees’ respective salaries and to make cash contributions to state-sponsored plans out of the amounts accrued. The amount of such cash contributions may increase due to our expanding workforce as we grow our business or increase wage levels. However, we do not expect that such increase will have a material effect on our liquidity.

The following table sets forth a summary of our cash flows for the years indicated. The cash flows associated with the entities we spun off on June 30, 2011 are included in all periods except for 2012 and 2013:

 

   For the Year Ended December 31, 
   2011  2012  2013 
   RMB  RMB  RMB  US$ 
   (in thousands) 

Net cash generated from operating activities

   146,125    279,515    593,893    98,103  

Net cash used in investing activities

   (12,693  (27,734  (45,943  (7,589

Net cash (used in)/generated from financing activities

   (94,069  (44,910  169,298    27,966  

Effect of exchange rate on cash and cash equivalents

   —      —      789    131  

Net increase in cash and cash equivalents

   39,363    206,871    718,037    118,611  
  

 

 

  

 

 

  

 

 

  

 

 

 

Cash and cash equivalents at beginning of year

   174,342    213,705    420,576    69,474  
  

 

 

  

 

 

  

 

 

  

 

 

 

Cash and cash equivalents at the end of year

   213,705    420,576    1,138,613    188,085  
  

 

 

  

 

 

  

 

 

  

 

 

 

 

75


Table of Contents

Operating Activities

Net cash generated from operating activities was RMB593.9 million (US$98.1 million) for the year ended December 31, 2013. This amount was primarily attributable to net income of RMB456.2 million (US$75.4 million), (a) adjusted for (i) certain non-cash expenses, primarily share-based compensation costs of RMB25.6 million (US$4.2 million), depreciation of property and equipment of RMB25.5 million (US$4.2 million) and deferred income taxes of RMB3.3 million (US$0.6 million), and (ii) changes in operating assets and liabilities that positively affected operating cash flow, primarily an increase in deferred revenue of RMB121.2 million (US$20.0 million) and an increase in accrued expenses and other payables of RMB97.8 million (US$16.2 million), and (b) partially offset by changes in operating assets and liabilities that negatively affected operating cash flow, primarily an increase in accounts receivable of RMB139.9 million (US$23.1 million). The increase in deferred revenues was mainly attributable to the subscription fees we received from our growing number of dealer subscribers. The increase in accounts receivable was primarily due to the increase in our advertising services sales. The increase in accrued expenses and other payables was mainly due to accrued rebates to advertising agencies in accordance with growth of revenue and accrual for the year-end bonuses to employees during the period.

Net cash generated from operating activities was RMB279.5 million for the year ended December 31, 2012. This amount was primarily attributable to income from continuing operations of RMB212.9 million, (a) adjusted for certain non-cash expenses, primarily share-based compensation costs of RMB29.1 million, and for changes in working capital accounts that positively affected operating cash flow, primarily an increase in accrued expenses and other payables of RMB63.8 million and an increase in deferred revenue of RMB52.9 million, and (b) partially offset by changes in working capital accounts that negatively affected operating cash flow, primarily an increase in accounts receivable of RMB123.8 million. The increase in accrued expenses and other payables was mainly attributable to the increase in accrued rebate in connection with our revenue growth and increase in accrued salaries and benefits. The increase in deferred revenue was mainly attributable to the subscription fees we received from our growing number of dealer subscribers. The increase in accounts receivable was primarily due to the increase of our advertising services.

Net cash generated from operating activities was RMB146.1 million for the year ended December 31, 2011. This amount was primarily attributable to income from continuing operations of RMB135.4 million and a loss from discontinued operations of RMB4.2 million, (a) adjusted for certain non-cash expenses, primarily amortization of intangible assets of RMB23.6 million, share-based compensation costs of RMB13.4 million and depreciation of property and equipment of RMB12.1 million, and for changes in working capital accounts that positively affected operating cash flow, primarily an increase in accrued expenses and other payables of RMB51.3 million and deferred revenue of RMB25.6 million, and (b) partially offset by changes in working capital accounts that negatively affected operating cash flow, primarily an increase in accounts receivable of RMB66.2 million, an increase in prepaid expenses and other current assets of RMB27.9 million and a decrease in other liabilities of RMB11.6 million. The increase in accrued expenses and other payables was mainly attributable to the increase in accrual of rebates as a result of our revenue growth and professional fees incurred in connection with our initial public offering. The increase in deferred revenues was mainly attributable to the subscription fees we received from our growing number of dealer subscribers. The increase in accounts receivable was primarily due to the increase of our advertising services. The increase in prepaid expenses and other current assets was mainly attributable to lump sum advancements to our vendors, as well as advancement to employees for their travel purposes. The decrease in other liabilities was mainly due to the decrease in unrecognized tax benefits in connection with the reversal of certain timing differences in revenue recognition and accrued expenses.

Investing Activities

Net cash used in investing activities amounted to RMB45.9 million (US$7.6 million) in 2013, primarily attributable to the purchase of property and equipment.

Net cash used in investing activities amounted to RMB27.7 million in 2012, primarily attributable to the purchase of property and equipment.

Net cash used in investing activities amounted to RMB12.7 million in 2011, primarily attributable to the purchase of new held-to-maturity financial instruments of RMB98.0 million and the purchase of property and equipment of RMB30.1 million, partially offset by the proceeds from the maturity of held-to-maturity financial instruments of RMB117.0 million.

 

76


Table of Contents

Financing Activities

Net cash generated from financing activities in 2013 was RMB169.3 million (US$28.0 million), mainly attributable to the net proceeds from our initial public offering of RMB863.2 million (US$142.6 million), partially offset by the payments of dividends amounting to RMB220.9 million (US$36.5 million), net of withholding taxes paid in June and July 2013 to all of our shareholders and payments for repurchase of common stock amounting to RMB230.3 million (US$38.0 million). We also had an increase in restricted cash of RMB245.0 million (US$40.5 million) as a pledged deposit for a short-term loan for the West Crest Share Purchase.

In connection with the West Crest Share Purchase, we entered into a short-term loan facility agreement with The HongKong and Shanghai Banking Corporation Limited, Hong Kong, on November 18, 2013 in the amount of RMB230.0 million (US$38.0 million). The term of this loan was three months, with an interest rate of plus 0.9% to LIBOR and a maturity of three months from the date of first facility drawdown. We repaid this loan in full in 2013. This short-term facility was secured by RMB denominated bank deposits of RMB245.0 million (US$40.5 million) placed with HSBC Bank (China) Company Limited.

We paid a special dividend of RMB44.9 million, net of withholding tax, in April 2012 to all of our shareholders.

The distribution to shareholders of RMB94.1 million for the year ended December 31, 2011, included in financing activities, represents the cash and cash equivalents of Norstar and China Topside, the entities we discontinued on June 30, 2011.

Capital Expenditures

Cash outflow in connection with capital expenditures amounted to RMB31.7 million, RMB27.7 million and RMB46.5 million (US$7.7 million) in 2011, 2012 and 2013, respectively, which includes amounts related to our discontinued operations in 2011. In the past, our capital expenditures were primarily used to purchase equipment and intangible assets for our business.

Holding Company Structure

Our ability to pay dividends is primarily dependent on our receiving distributions of funds from our subsidiaries. Relevant PRC statutory laws and regulations permit payments of dividends by our PRC subsidiaries only out of their retained earnings, if any, as determined in accordance with PRC accounting standards and regulations. The results of operations reflected in the consolidated financial statements prepared in accordance with U.S. GAAP differ from those reflected in the statutory financial statements of our PRC subsidiaries.

Under PRC law, our PRC subsidiaries are required to provide for certain statutory reserves, namely a general reserve, an enterprise expansion fund and a staff welfare and bonus fund. Each of the subsidiaries is required to allocate at least 10% of its after tax profits on an individual company basis as determined under PRC accounting standards to the general reserve and has the right to discontinue allocations to the general reserve if such reserve has reached 50% of registered capital on an individual company basis. In addition, the registered capital of our PRC subsidiaries and VIEs is also restricted.

Appropriations to the enterprise expansion fund and staff welfare and bonus fund are at the discretion of the Board of Directors of the subsidiary. Our VIEs in the PRC are also subject to similar statutory reserve requirements. These reserves can only be used for specific purposes and are not transferable to us in the form of loans, advances or cash dividends. As of December 31, 2011, 2012 and 2013, our PRC subsidiaries and VIEs had appropriated RMB4.0 million, RMB4.9 million and RMB7.1 million (US$1.2 million), respectively, of retained earnings for our statutory reserves.

As a result of these PRC laws and regulations, prior to payment of dividends to the general reserve fund, our PRC subsidiaries and VIEs are restricted in their ability to transfer a portion of their net assets to us.

Foreign exchange and other regulation in the PRC may further restrict our PRC subsidiaries and VIEs from transferring funds to us in the form of dividends, loans and advances. As of December 31, 2011, 2012 and 2013, amounts restricted of the net assets of our PRC subsidiaries and VIEs, were RMB1,381.0 million, RMB1,600.2 million and RMB1,818.1 million (US$300.3 million), respectively.

 

77


Table of Contents
C.Research and Development, Patents and Licenses, Etc.

Technology and Product Development

Our technologies and infrastructure are critical to our success. We follow a user-centric strategy for our system architecture and have developed robust and scalable technology platforms with sufficient flexibility to support our rapid growth.

A key component of our user-centric strategy is our user intelligence engine which we have developed and are continually enhancing. Our user intelligence engine allows us to rapidly gather user intelligence by analyzing large amounts of data from many sources throughout our content production system. We can utilize such user intelligence data to personalize user interfaces, associate and understand the relationship of information from different sources and facilitate interactions among users and various elements on our websites. It also helps us recommend suitable products, services and user connections to our users. Through our user intelligence engine, we can engage our users more closely by providing them with relevant content. We are also able to provide precision marketing services to our automakers, dealers and other automotive related customers so that they can deliver relevant advertisements to targeted users who are more receptive to such marketing information.

We distribute our web content to numerous network nodes close to our users by utilizing a third-party content delivery network, allowing most of our user communications to bypass internet congestion. With our technological expertise, we manage third-party and in-house content delivery networks to enhance our website responsiveness and to improve user experience. As such, we believe our websites have a performance advantage over other automotive websites.

We invested heavily in mobile technologies and were among the earliest in our industry in China to introduce mobile versions of our websites and both Apple iOS- and Android-based applications to allow our users to easily access our content. We have built up a team of 60 research and development personnel as of December 31, 2013, to focus exclusively on the development of our mobile websites and applications and to explore new business models and opportunities through mobile technology. We plan to continue to leverage our mobile technology to develop more applications for Apple iOS and Android platforms focusing on convenience, real-time interaction and location based services.

We had an experienced product development team of 274 engineers as of December 31, 2013. Our past innovation has focused on helping users research, select and purchase suitable automobiles through our websites. We plan to develop additional products and services to further explore the additional business opportunities inherent in the maintenance and replacement stages of the automobile ownership cycle. Our product development expenses were RMB16.5 million, RMB42.9 million and RMB81.7 million (US$13.5 million) for the years ended December 31, 2011, 2012 and 2013, respectively.

Intellectual Property

Our intellectual property includes trademarks and trademark applications related to our brands and services, software copyrights, trade secrets and other intellectual property rights and licenses. We seek to protect our intellectual property assets and brands through a combination of trademark, patent, copyright and trade secret protection laws in the PRC and other jurisdictions, as well as through confidentiality agreements and other measures.

We hold LOGO andLOGO(both mean “autohome” in English) and “AUTOHOME®” trademarks in China. In addition, we currently hold 64 pending trademark applications and 61 registered software copyrights in China. We have 29 registered domain names, including our main website domain names, autohome.com.cn and che168.com. We have 23 pending patent applications.

 

78


Table of Contents
D.Trend Information

Other than as disclosed elsewhere in this annual report, we are not aware of any trends, uncertainties, demands, commitments or events since the beginning of our fiscal year 2013 that are reasonably likely to have a material effect on our net revenues, income from operations, profitability, liquidity or capital resources, or that would cause the disclosed financial information to be not necessarily indicative of future operating results or financial condition.

 

E.Off-Balance Sheet Arrangements

We have not entered into any financial guarantees or other commitments to guarantee the payment obligations of any third parties. We have not entered into any derivative contracts that are indexed to our shares and classified as shareholder’s equity, or that are not reflected in our consolidated financial statements. Furthermore, we do not have any retained or contingent interest in assets transferred to an unconsolidated entity that serves as credit, liquidity or market risk support to such entity. We do not have any variable interest in any unconsolidated entity that provides financing, liquidity, market risk or credit support to us or engages in leasing, hedging or research and development services with us.

 

F.Tabular Disclosure of Contractual Obligations

The following summarizes our contractual obligations related to continuing operations as of December 31, 2013:

 

   Payments Due by Period 
   Less Than
1 year
   1 to 3
Years
   3 to 5
Years
   More than
5 Years
   Total 
   (in thousands of RMB) 

Operating lease obligations(1)

   26,958     47,708     —       —       74,666  

 

(1)Operating lease obligations primarily related to the lease of office space and employee accommodation.

Rental expenses for the years ended December 31, 2011, 2012 and 2013 were RMB8.0 million, RMB12.0 million and RMB17.9 million (US$3.0 million), respectively.

 

G.Safe Harbor

See “Forward-Looking Statements” on page 2 of this annual report.

ITEM 6. DIRECTORS, SENIOR MANAGEMENT AND EMPLOYEES

 

A.Directors and Senior Management

The following table sets forth information regarding our directors and executive officers as of the date of this annual report.

 

Directors and Executive Officers

  Age  

Position/Title

Timothy Y. (Tim) Chen

  57  Chairman of the Board

James Zhi Qin

  41  Director and Chief Executive Officer

Andrew Penn

  51  Director

Xiang Li

  32  Director and President

Nicholas Yik Kay Chong

  46  Chief Financial Officer

Gabriel Li

  45  Director

Cynthia Whelan

  44  Director

Han Willem Kotterman

  48  Director

Ruey-Bin Kao

  54  Director

Ya-Qin Zhang

  47  Independent Director

Ted Tak-Tai Lee

  63  Independent Director

 

79


Table of Contents

Timothy Y. (Tim) Chen has served as our chairman of the board since 2012. He has served as the president and group managing director of Telstra International Group since November 2012. He is also a director of Telstra International HK Limited, Telstra Holdings Pty Ltd, CSL Limited, Sequel Media Inc. and several other Telstra subsidiaries. He was a non-executive director on the board of directors of Telstra Corporation Limited between April 2012 and November 2012. Previously, Mr. Chen was a partner of a China Opportunities Fund within GL Capital Group. He was the CEO of National Basketball Association China from 2007 to 2010, the corporate vice president of Microsoft and the CEO of its Greater China region from 2003 to 2007, the corporate vice president of Motorola and the chairman and president of Motorola (China) Electronics from 2001 to 2003. Before Microsoft, he was the CEO of 21CN Cybernet, a company listed on Hong Kong Stock Exchange, from 2000 to 2001. Prior to 2000, Mr. Chen spent eight years in China with Motorola, including serving as the general manager responsible for the sales and marketing for the Greater China Cellular Infrastructure Division. He also spent nine years with AT&T Bell Laboratories in the United States. Mr. Chen holds an MBA degree from the University of Chicago and a master’s degree in both computer science and mathematics from Ohio State University.

James Zhi Qin has served as our director since 2008 and chief executive officer since 2009. Mr. Qin is also a director of Sequel Media. Mr. Qin joined our company in 2007 and prior to joining us, from 2006 to 2007, Mr. Qin was the chief operating officer of 265.com, an internet company providing website directory service, which was acquired by Google in 2007. Mr. Qin worked for McKinsey & Company as an associate from 2005 to 2006 and Northern Telecom Limited as a software engineer from 1999 to 2003. Prior to that, Mr. Qin was employed at IBM Corporation from 1996 to 1998 and Hughes Network Systems from 1995 to 1996. Mr. Qin holds a bachelor’s degree in electrical engineering from Tsinghua University in 1995, a master’s degree in computer science from the University of Iowa in 1999, and an MBA degree from Harvard Business School in 2005.

Andrew Penn has served as our director since March 2012. He joined Telstra Corporation Limited in March 2012 and serves as its chief financial officer. Prior to that, Mr. Penn had a career at AXA Asia Pacific Holdings Limited spanning twenty years, where he served in a variety of senior finance, strategy and executive roles, including group chief executive officer from 2006 to 2011. Mr. Penn holds an MBA degree from Kingston University, London and is a graduate of Harvard Business School’s advanced management program. He is a fellow of the Chartered Association of Certified Accountants.

Xiang Li has served as our director since 2008 and president since May 2013. He served as our executive vice president between 2008 and May 2013. Mr. Li is also a director of Sequel Media. In 2005, Mr. Li founded our autohome.com.cn website providing online advertising services to the automotive industry. In 2000, Mr. Li founded pcpop.com website, which began commercial operations in 2003. Pcpop.com focuses on providing marketing services for the information technology industry and was operated through China Topside. Pcpop.com was spun off from our company in June 2011. Mr. Li currently mainly focuses on content creation and product development in our company.

Nicholas Yik Kay Chong has served as our chief financial officer since February 2014. He served as our co-chief financial officer between September 2013 and February 2014. Mr. Chong has over 22 years of experience in the fast-moving consumer goods, IT and sporting goods industries. From 2009 to 2012, Mr. Chong was a director and the group chief financial officer of Li Ning Sports Limited, a company listed on the Hong Kong Stock Exchange. Mr. Chong served in a variety of senior finance and management roles at Dell China from 2001 to 2009 and Procter & Gamble Singapore and China from 1991 to 2001. Mr. Chong holds a bachelor’s degree in economics, statistics and business studies from National University of Singapore.

Gabriel Li has served as our director since September 2012. Mr. Li is the managing director and investment committee member of Orchid Asia Group Management, a private equity firm focused on investment in China and Asia for the past 20 years. Prior to Orchid Asia, Mr. Li was a managing director at the Carlyle Group in Hong Kong, overseeing Asian technology investments. From 1997 to 2000, he was at Orchid Asia’s predecessor, where he made numerous investments in China and North Asia. Prior to that, he was a management consultant at McKinsey & Co in Hong Kong and Los Angeles. Mr. Li is an independent director and deputy chairman of the board of directors of Ctrip.com International, Ltd., a company listed on the NASDAQ Global Select Market, and director of a number of privately held companies. Mr. Li graduated summa cum laude from the University of California at Berkeley, earned his Master’s degree in science from the Massachusetts Institute of Technology and his Master’s degree in business administration from Stanford Business School.

 

80


Table of Contents

Cynthia Whelan has served as our director since December 10, 2013. Ms. Whelan has been group managing director of strategic finance of Telstra Corporation since August 2013. Prior to that, she was with Barclays Bank PLC, Australia Branch where she held the role of chief executive officer, Australia/New Zealand for three years. Over her ten years at Barclays, Ms. Whelan held a variety of roles including managing director and head of Asia Pacific capital markets, based in Hong Kong. During her investment banking career spanning more than 20 years, Ms. Whelan worked in Australia for Barclays, UBS, Merrill Lynch and Westpac. Ms. Whelan was previously a director of Asia Securities Industry and Financial Markets Association and Australian Financial Markets Association. She holds a bachelor’s of commerce (Finance and Japanese studies) from the University of New South Wales and a master’s degree of applied finance from Macquarie University.

Han Willem Kotterman has served as our director since December 10, 2013. Mr. Kotterman is the executive director, strategy and business development for Telstra International Group, based in Hong Kong. Mr. Kotterman joined Telstra from CSL Limited where he held the position of acting chief executive officer and executive vice president, customer service and operations. Currently, Mr. Kotterman is the vice chairman of the board of CSL Limited. Mr. Kotterman has over 20 years of experience in telecommunications, management consulting, and international corporate tax law across Europe, Asia and North America. Before joining CSL Limited, Mr. Kotterman was a senior strategy consultant in Accenture’s Wireless Communications Practice based in New York. In this role, Mr. Kotterman advised the leading US wireless operators in the areas of corporate strategy and merger integration, and was involved in executing several large industry mergers in the North American wireless industry. Mr. Kotterman holds an MBA degree from Wharton School of Business in Philadelphia in finance and strategic management and a master of laws degree in international corporate taxation from Leiden University in the Netherlands.

Ruey-Bin Kao has served as our director since February 20, 2014. Dr. Kao was named CEO of Telstra Greater China in January 2014. Based in Beijing, he is responsible for developing Telstra’s integrated service capabilities and identifying strategic areas to grow the business in the rapidly evolving Greater China market. He has more than 25 years of technology and management experience in the U.S. and Asia, and has served in many senior positions, including as country president of Applied Materials China. Prior to that, he was the managing director and vice president of Enterprise Business in Hewlett Packard China and the chairman of Motorola (China) Electronics Limited and Motorola Asia Pacific Business Council. He holds directorships at China National Travel Service (HK) Group Corporation, one of the largest diversified comprehensive travel groups in China, and Want-Want China Holdings Limited, a Hong Kong listed company. He is also a former director at Shenhua Group Corporation Limited, a diversified energy enterprise. Dr. Kao holds a bachelor of science degree in computer science from Tam-Kang University, a master of science degree in computer and information science from the University of Delaware and a doctorate of business administration from The Hong Kong Polytechnic University.

Ya-Qin Zhang has served as our independent director since December 10, 2013. Mr. Zhang has been serving as chairman of Microsoft Asia-Pacific R&D Group since 2005 and is in charge of the research and development function of Microsoft Corporation in the Asia-Pacific region. Mr. Zhang is one of the founding members of the Microsoft Research Asia Lab, where he served as managing director and chief scientist, and he also founded the Advanced Technology Center in 2003. Before joining Microsoft in 1999, Mr. Zhang was a director for the Multimedia Technology Laboratory at Sarnoff Corp. and worked as a senior technical staff member for GTE Laboratories Inc. and Contel Corp. Mr. Zhang currently serves as an independent director of ChinaCache International Holdings Ltd., a company listed on the Nasdaq Global Market. Mr. Zhang received his bachelor’s and master’s degrees in electrical engineering from the University of Science and Technology of China and a Ph.D. in electrical engineering from George Washington University.

Ted Tak-Tai Lee has served as our independent director since December 10, 2013. Mr. Lee is the managing director of T Plus Capital Ltd., a firm he founded that provides strategic, financial and business development advisory services to accounting, financial valuation services and human resources firms in China. Mr. Lee is also an independent director and chairman of the audit committee of Daphne International Holding Limited, a Hong Kong listed company, and a director of Shriro Trading (Shanghai) Company Limited, a privately held company established in China. From September 2007 to April 2009, he was an executive director at Prax Capital, a private equity firm specializing in China-focused investments. Mr. Lee was a senior partner at Deloitte where he worked for 31 years in the United States and Asia. Mr. Lee is an AICPA certified public accountant (inactive) and received his MBA degree from the University of Southern California in 1979 and his bachelor’s degree in accounting from California State University, Fresno in 1973.

 

81


Table of Contents

Mr. Henry Hon served as our director from 2011 until his resignation on March 28, 2014.

 

B.Compensation of Directors and Executive Officers

For the fiscal year ended December 31, 2013, we incurred an aggregate compensation expense of approximately RMB9.6 million (US$1.6 million) for our executive officers and directors. We have not set aside or accrued any amount to provide pension, retirement or other similar benefits to our executive officers and directors. For additional information on share incentive grants to our directors and executive officers, see “— Share Incentive Plans.”

Employment Agreements

We have entered into employment agreements with each of our executive officers through Autohome WFOE. Under these agreements, each of our executive officers is employed for a specified time period. We may terminate employment for cause at any time without advance notice or remuneration for certain acts of the executive officer, such as conviction or plea of guilty to a felony or any crime involving moral turpitude, negligent or dishonest acts to our detriment, or misconduct or a failure to perform agreed duties. In such case, the executive officer will not be entitled to receive payment of any severance benefits or other amounts by reason of the termination, and the executive officer’s right to all other benefits will terminate, except as required by any applicable law. We may also terminate an executive officer’s employment without cause upon one-month advance written notice. In such case of termination by us, we are required to provide compensation to the executive officer, including cash compensation equivalent to three months of the executive officer’s salary. The executive officer may terminate the employment at any time with a one-month advance written notice, if there is any significant change in the executive officer’s duties and responsibilities inconsistent in any material and adverse respect with his or her title and position or a material reduction in the executive officer’s annual salary before the next annual salary review, or if otherwise approved by the board of directors.

Each executive officer has agreed to hold, both during and after the termination or expiry of his employment agreement, in strict confidence and not to use, except as required in the performance of his duties in connection with the employment, any of our confidential information or trade secrets, any confidential information or trade secrets of our clients or prospective clients, or the confidential or proprietary information of any third party received by us and for which we have confidential obligations. The executive officers have also agreed to disclose in confidence to us all inventions, designs and trade secrets which they conceive, develop or reduce to practice and to assign all right, title and interest in them to us, and assist us in obtaining patents, copyrights and other legal rights for these inventions, designs and trade secrets.

In addition, each executive officer has agreed to be bound by noncompetition and nonsolicitation restrictions during the term of his or her employment and for one year following the last date of employment. Specifically, each executive officer has agreed not to (a) approach our clients, advertisers or contacts or other persons or entities introduced to the executive officer for the purpose of doing business with such persons or entities that will harm our business relationships with these persons or entities; (b) assume employment with or provide services to any of our competitors, or engage, whether as principal, partner, licensor or otherwise, any of our competitors; or (c) seek directly or indirectly, to solicit the services of any of our employees who is employed by us on or after the date of the executive officer’s termination, or in the year preceding such termination.

 

82


Table of Contents

Share Incentive Plans

2011 Share Incentive Plan

On May 4, 2011, we adopted our 2011 Share Incentive Plan to attract and retain the best available personnel, provide additional incentives to employees, directors and consultants and promote the success of our business. The maximum aggregate number of our Class A ordinary shares which may be issued pursuant to all awards under the 2011 Share Incentive Plan, as currently in effect, is 7,843,100. As of the date of this annual report, options to purchase 7,828,100 Class A ordinary shares under the 2011 Share Incentive Plan at an exercise price of US$2.20 were outstanding. The following table summarizes, as of the date of this annual report, the outstanding options we had granted to our directors, officers and other individuals under our 2011 Share Incentive Plan:

 

Name

  Options  Exercise Price
(US$/Share)
   Date of
Grant
   Date of
Expiration
  Vesting Schedule 

James Zhi Qin

        US$2.20     May 6, 2011    May 5, 2021   **  

Xiang Li

        US$2.20     May 6, 2011    May 5, 2021   **  

Directors and officers as a group

   1,200,000   US$2.20     May 6, 2011    May 5, 2021   **  

Other individuals as a group

   6,628,100   US$2.20     
 
 
 
 
 
 
 
May 6, 2011
August 1, 2011
October 8, 2011
December 19, 2011
July 1, 2012
May 27, 2013
October 22, 2013
January 16, 2014
  
  
  
  
  
  
  
  
  Ten years after
grant date
   
 
Approximately
4 years
  
  

 

*Less than one percent of our total outstanding share capital.
**25% of the awards have vested on each of January 1, 2012, 2013 and 2014 and the remaining awards will vest on January 1, 2015.

The following paragraphs describe the principal terms of the 2011 Share Incentive Plan:

Types of awards. The Plan permits the awards of incentive and nonstatutory share-based awards, share appreciation rights, restricted shares and restricted share units. The following briefly describe the principal features of the various awards that may be granted under the 2011 Share Incentive Plan.

 

  

Options. The administrator may grant incentive stock options, or ISOs, or nonstatutory stock options, NSOs, under our 2011 Share Incentive Plan. Unless the administrator determines otherwise, the exercise price of options granted under our 2011 Share Incentive Plan must at least be equal to the fair market value of our ordinary shares on the date of grant and its term may not exceed ten years. In addition, for any participant who owns more than 10% of the total combined voting rights of all classes of our outstanding shares, or of certain of our parent or subsidiary, the term of an ISO must not exceed five years and the exercise price of such ISO must equal at least 110% of the fair market value on the grant date. The administrator determines the term of all other options.

After termination of an employee, director or consultant, he or she may exercise his or her option, to the extent vested as of such date of termination, within sixty (60) days of termination, or such longer period of time stated in the option agreement. In the absence of a specified period of time in the option agreement, the option will remain exercisable for a period of twelve months in the event of a termination due to death or disability. However, in no event may an option be exercised later than the expiration of its term.

 

  

Share appreciation rights. Share appreciation rights may be granted under our 2011 Share Incentive Plan. Share appreciation rights allow the recipient to receive the appreciation in the fair market value of our ordinary shares between the exercise date and the date of grant. The exercise price of share appreciation rights granted under our 2011 Share Incentive Plan must at least be equal to the fair market value of our ordinary shares on the date of grant. The administrator determines the terms of share appreciation rights, including when such rights vest and become exercisable and whether to settle such awards in cash or with our ordinary shares, or a combination thereof. Share appreciation rights expire under the same rules that apply to options.

 

83


Table of Contents
  

Restricted shares. Restricted shares may be granted under our 2011 Share Incentive Plan. Restricted share awards are Class A ordinary shares that are subject to various restrictions, including restrictions on transferability and forfeiture provisions. Restricted shares will vest and the restrictions on such shares will lapse, in accordance with terms and conditions established by the administrator. The administrator will determine the number of restricted shares granted to any employee. The administrator may impose whatever conditions to vesting it determines to be appropriate. For example, the administrator may set restrictions based on the achievement of specific performance goals and/or continued service to us. Holders of restricted share awards generally will have voting rights but not dividend rights, unless the administrator provides otherwise. Restricted shares that do not vest for any reason will be forfeited by the recipient and will revert to us.

 

  

Restricted Share Units. A restricted share unit award is the grant of the right to receive an ordinary share at a future date and may be subject to forfeiture. Our plan administrator has the discretion to set performance objectives or other vesting criteria that will determine the number or value of restricted share units to be granted. Unless otherwise determined by our plan administrator, a restricted share unit is nontransferable and may be forfeited or repurchased by us upon termination of employment or service during a restricted period. Our plan administrator, at the time of grant, specifies the dates on which the restricted share units become fully vested.

Administration. Our board of directors or the compensation committee of our board of directors administers our 2011 Share Incentive Plan. Subject to the provisions of our 2011 Share Incentive Plan, the administrator has the power to determine the terms of the awards, including the recipients, the exercise price, the number of shares subject to each such award, the vesting schedule applicable to the awards, together with any vesting acceleration, and the form of consideration payable upon exercise. The administrator also has the authority to modify or amend awards, to prescribe rules and to construe and interpret the 2011 Share Incentive Plan. Our board of directors may delegate limited authority to additional committees with respect to certain employees and consultants to reduce the burden on the board in administering the 2011 Share Incentive Plan.

Award Agreement. Options, share appreciation rights, restricted shares, or restricted share units granted under the plan are evidenced by an award agreement that sets forth the terms, conditions, and limitations for each grant.

Eligibility. We may grant awards to our employees, directors and consultants of our company. However, we may grant options that are intended to qualify as incentive share-based awards only to our employees and employees of our parent companies and subsidiaries.

Transferability. Unless the administrator provides otherwise, our 2011 Share Incentive Plan does not allow for the transfer of awards other than by will or the laws of descent and distribution and only the recipient of an award may exercise an award during his or her lifetime.

Certain adjustments. In the event of certain changes in our capitalization, to prevent diminution or enlargement of the benefits or potential benefits available under the 2011 Share Incentive Plan, the administrator will make adjustments to one or more of the number and class of shares that may be delivered under the plan and/or the number, class and price of shares covered by each outstanding award and the numerical share limits contained in the plan. In the event of our proposed liquidation or dissolution, the administrator will notify participants as soon as practicable and all awards will terminate immediately prior to the consummation of such proposed transaction.

Change in control transactions. Our 2011 Share Incentive Plan provides that in the event of our merger or change in control, as defined in the 2011 Share Incentive Plan, each outstanding award will be treated as the administrator determines, except that if the successor corporation or its parent or subsidiary does not assume or substitute an equivalent award for each outstanding option or share appreciation right, then such option or share appreciation right will be exercisable for a period of time determined by the administrator in its sole discretion. The option or share appreciation right will then terminate upon the expiration of the specified period of time.

Amendment and Termination. Our board of directors has the authority to amend, suspend or terminate the 2011 Share Incentive Plan.

 

84


Table of Contents

2013 Share Incentive Plan

We adopted the 2013 Share Incentive Plan in November 2013. The maximum aggregate number of Class A ordinary shares which may be issued pursuant to all awards under the 2013 Share Incentive Plan is 3,350,000. The following table summarizes, as of the date of this annual report, the outstanding awards we granted under the 2013 Share Incentive Plan:

 

Name

  Restricted Shares  Date of Grant   Vesting Schedule 

Nicholas Yik Kay Chong

         November 4, 2013         ** 

 

*Less than one percent of our total outstanding share capital.
**25% of the restricted shares will vest on each of September 29, 2014, September 29, 2015, September 29, 2016 and September 29, 2017.

The following paragraphs summarize the terms of the 2013 Share Incentive Plan:

Types of awards. The 2013 Share Incentive Plan permits the awards of options, restricted shares and restricted share units. The following briefly describe the principal features of the various awards that may be granted under the 2013 Share Incentive Plan.

 

  

Options. Options provide for the right to purchase a specified number of our ordinary shares at a specified price and usually will become exercisable at the discretion of our plan administrator in one or more installments after the grant date. The option exercise price may be paid, subject to the discretion of the plan administrator, in cash or check, in our ordinary shares which have been held by the option holder for such period of time as may be required by our plan administrator, in other property with value equal to the exercise price, through a broker-assisted cashless exercise, or by any combination of the foregoing.

 

  

Restricted Shares. A restricted share award is the grant of our ordinary shares which are subject to certain restrictions and may be subject to risk of forfeiture. Unless otherwise determined by our plan administrator, a restricted share is nontransferable and may be forfeited or repurchased by us upon termination of employment or service during a restricted period. Our plan administrator may also impose other restrictions on the restricted shares, such as limitations on the right to vote or the right to receive dividends.

 

  

Restricted share units. A restricted share unit award is the grant of the right to receive an ordinary share at a future date and may be subject to forfeiture. Our plan administrator has the discretion to set performance objectives or other vesting criteria that will determine the number or value of restricted share units to be granted. Unless otherwise determined by our plan administrator, a restricted share unit is nontransferable and may be forfeited or repurchased by us upon termination of employment or service during a restricted period. Our plan administrator, at the time of grant, specifies the dates on which the restricted share units become fully vested.

Plan Administration. Our board or a committee of one or more members of our board duly authorized for the purpose of the 2013 Share Incentive Plan can act as the plan administrator.

Award Agreement. Options, restricted shares or restricted share units granted under the 2013 Share Incentive Plan are evidenced by an award agreement that sets forth the terms, conditions and limitations for each grant.

Exercise Price. The exercise price in respect of any option shall be determined by the plan administrator and set forth in the award agreement which may be a fixed or variable price related to the fair market value of the shares. The exercise price per share subject to an option may be amended or adjusted in the absolute discretion of the plan administrator, the determination of which shall be final, binding and conclusive.

Eligibility. We may grant awards to our directors, employees or consultants.

Term of the Options. The term of each option grant shall be no more than ten years from the date of the grant.

Vesting Schedule. In general, the plan administrator determines the vesting schedule, which is set forth in the award agreement.

Transfer Restrictions. Unless otherwise determined by the plan administrator, no awards may be transferred other than by will or the laws of descent and distribution. Nevertheless, awards (other than incentive share-based awards) can be transferred to certain persons or entities related to the plan participants.

 

85


Table of Contents

Termination. The 2013 Share Incentive Plan will expire ten years after it became effective and may be terminated earlier with the approval of our board.

 

C.Board Practices

Our board of directors consists of ten directors. A director is not required to hold any shares in the company by way of qualification. A director may vote with respect to any contract, proposed contract or arrangement in which he is materially interested provided (a) such director, if his interest in such contract or arrangement is material, has declared the nature of his interest at the earliest meeting of the board at which it is practicable for him to do so, either specifically or by way of a general notice and (b) if such contract or arrangement is a transaction with a related party, such transaction has been approved by the audit committee. The directors may exercise all the powers of the company to borrow money, mortgage its undertaking, property and uncalled capital, and issue debentures or other securities whenever money is borrowed or as security for any obligation of the company or of any third party. None of our non-executive directors has a service contract with us that provides for benefits upon termination of service.

Committees of the Board of Directors

We have established three committees under the board of directors: the audit committee, the compensation committee and the nominating and corporate governance committee. We have adopted a charter for each of the three committees. Each committee’s members and functions are described below.

Audit Committee. Our audit committee consists of Messrs. Ted Tak-Tai Lee and Ya-Qin Zhang. Mr. Ted Tak-Tai Lee is the chairman of our audit committee. We have determined that Messrs. Ted Tak-Tai Lee and Ya-Qin Zhang satisfy the “independence” requirements of Section 303A of the NYSE Listed Company Manual and Rule 10A-3 under the Securities Exchange Act of 1934. The audit committee oversees our accounting and financial reporting processes and the audits of the financial statements of our company. The audit committee is responsible for, among other things:

 

  

appointing the independent auditors and preapproving all auditing and nonauditing services permitted to be performed by the independent auditors;

 

  

reviewing with the independent auditors any audit problems or difficulties and management’s response;

 

  

discussing the annual audited financial statements with management and the independent auditors;

 

  

reviewing the adequacy and effectiveness of our accounting and internal control policies and procedures and any steps taken to monitor and control major financial risk exposures;

 

  

reviewing and approving all proposed related party transactions;

 

  

meeting separately and periodically with management and the independent auditors; and

 

  

monitoring compliance with our code of business conduct and ethics, including reviewing the adequacy and effectiveness of our procedures to ensure proper compliance.

Compensation Committee. Our compensation committee consists of Dr. Ruey-Bin Kao, Mr. Han Willem Kotterman, Ms. Cynthia Whelan, Mr. James Zhi Qin and Mr. Ya-Qin Zhang. Dr. Ruey-Bin Kao is the chairman of our compensation committee. We have determined that Mr. Ya-Qin Zhang satisfies the “independence” requirements of Section 303A of the NYSE Listed Company Manual. The compensation committee assists the board in reviewing and approving the compensation structure, including all forms of compensation, relating to our directors and executive officers. Our chief executive officer may not be present at any committee meeting during which his compensation is deliberated. The compensation committee is responsible for, among other things:

 

  

reviewing and approving, or recommending to the board for its approval, the compensation for our chief executive officer and other executive officers;

 

86


Table of Contents
  

reviewing and recommending to the board for determination with respect to the compensation of our nonemployee directors; and

 

  

reviewing periodically and approving any incentive compensation or equity plans, programs or similar arrangements.

Nominating and Corporate Governance Committee. Our nominating and corporate governance committee consists of Messrs. Tim Chen, Andrew Penn, James Zhi Qin and Ted Tak-Tai Lee. Mr. Tim Chen is the chairperson of our nominating and corporate governance committee. We have determined that Mr. Ted Tak-Tai Lee satisfies the “independence” requirements of Section 303A of the NYSE Listed Company Manual. The nominating and corporate governance committee assists the board of directors in selecting individuals qualified to become our directors and in determining the composition of the board and its committees. The nominating and corporate governance committee is responsible for, among other things:

 

  

selecting and recommending to the board nominees for election by the shareholders or appointment by the board;

 

  

reviewing annually with the board the current composition of the board with regards to characteristics such as independence, knowledge, skills, experience and diversity;

 

  

making recommendations on the frequency and structure of board meetings and monitoring the functioning of the committees of the board; and

 

  

advising the board periodically with regards to significant developments in the law and practice of corporate governance as well as our compliance with applicable laws and regulations, and making recommendations to the board on all matters of corporate governance and on any remedial action to be taken.

Duties of Directors

Under Cayman Islands law, our directors have a duty of loyalty to act honestly in good faith with a view to our best interests. Our directors also owe to our company a duty to act with skill and care. It was previously considered that a director need not exhibit in the performance of his duties a greater degree of skill than may reasonably be expected from a person of his knowledge and experience. However, English and Commonwealth courts have moved towards an objective standard with regard to the required skill and care and these authorities are likely to be followed in the Cayman Islands. In fulfilling their duty of care to us, our directors must ensure compliance with our memorandum and articles of association. Our company has the right to seek damages if a duty owed by our directors is breached.

Terms of Directors and Officers

Our officers are elected by and serve at the discretion of the board of directors. At each annual general meeting, one-third of our directors then existing, or if their number is not a multiple of three, then the number nearest to and not exceeding one-third, shall retire from office by rotation, provided that (i) the chairman of the board and/or our chief executive officer shall not, whilst holding such office, be subject to retirement by rotation or be taken into account in determining the number of directors to retire in each year and (ii) a director appointed by Telstra shall not be subject to retirement by rotation and should not be taken into account in determining the number of directors who are to retire by rotation, so long as Telstra holds at least 51% of the voting rights represented by our issued and outstanding voting shares.

 

D.Employees

We had 547, 912 and 1,191 employees as of December 31, 2011, 2012 and 2013, respectively. The following table sets forth the number of our employees by function as of December 31, 2013:

 

Functional Area

  Number of
Employees
 

Sales and marketing

   635  

Content and editorial

   198  

Product development

   274  

Management and administrative

   84  
  

 

 

 

Total

   1,191  
  

 

 

 

 

87


Table of Contents

Through a combination of short-term performance evaluations and long-term incentive arrangements, we intend to build a competent, loyal and highly motivated workforce. We have not experienced any work stoppages due to labor disputes.

 

E.Share Ownership

Class A Ordinary Shares

As of March 28, 2014, we had 36,347,496 Class A ordinary shares outstanding. In addition, as of March 28, 2014, we have granted, and have outstanding, options to purchase a total of 7,828,100 Class A ordinary shares and 400,000 restricted shares to our employees, directors and consultants. For information regarding the Share Incentive Plans, see “Item 6.B. Compensation of Directors and Executive Officers.”

Class B Ordinary Shares

As of March 28, 2014, we had 68,788,940 Class B ordinary shares outstanding.

Beneficial Ownership of Ordinary Shares

Except as specifically noted in the table, the following table sets forth information with respect to the beneficial ownership of our ordinary shares as of the date of this annual report by:

 

  

each of our directors and executive officers, including director appointees; and

 

  

each person known to us to own beneficially more than 5% of our ordinary shares.

Beneficial ownership is determined in accordance with the rules and regulations of the Securities and Exchange Commission. In computing the number of shares beneficially owned by a person and the percentage ownership of that person, we have included shares that the person has the right to acquire within 60 days, including through the exercise of any option, warrant or other right or the conversion of any other security. These shares, however, are not included in the computation of the percentage ownership of any other person.

 

   Ordinary Shares Beneficially Owned as of March 28,  2014 
   Class A  Class B  % of
Voting
Rights††
 
   Number   %  Number   %    

Directors and Executive Officers:

        

Timothy Y. (Tim) Chen(1)

   —      —     —      —     —   

James Zhi Qin(2)

   3,088,929     2.9  —      —     2.9

Andrew Penn(3)

   —      —     —      —     —   

Xiang Li(4)

   5,066,483     4.8  —      —     4.8

Nicholas Yik Kay Chong(5)

   —      —     —      —     —   

Gabriel Li(6)

   12,112,212     11.5  —      —     11.5

All Directors and Executive Officers as a Group

   20,267,624     19.2  —      —     19.2

Principal Shareholders:

        

Telstra Holdings Pty Ltd(7)

   —      —     68,788,940     65.4  65.4

Orchid Asia Funds(8)

   12,112,212     11.5  —      —     11.5

 

88


Table of Contents

 

For each person and group included in this column, percentage ownership is calculated by dividing the number of shares beneficially owned by such person or group by the sum of the total number of shares outstanding, which is 105,136,436 as of March 28, 2014, and the number of shares such person or group has the right to acquire upon exercise of option, warrant or other right within 60 days after the date of this annual report.
††For each person and group included in this column, the percentage of voting rights is calculated by dividing the voting rights beneficially owned by such person or group by the voting rights with respect to all of our Class A and Class B ordinary shares as a single class. Each Class A ordinary share is entitled to one vote. When the total number of ordinary shares held by Telstra constitutes no less than 51% of all of our issued and outstanding ordinary shares, each Class B ordinary share is entitled to one vote; when the total number of ordinary shares held by Telstra drops below 51% but is no less than 39.3% of all of our issued and outstanding shares, each Class B ordinary share will carry such number of votes that would result in the total number of ordinary shares held by Telstra carrying, in the aggregate, 51% of the voting rights represented by all of our issued and outstanding ordinary shares; when the total number of ordinary shares held by Telstra drops below 39.3% of all of our issued and outstanding ordinary shares, all Class B ordinary shares will be automatically converted into the same number of Class A ordinary shares. Our Class A ordinary shares and Class B ordinary shares vote together as a single class on all matters submitted to a vote of our shareholders, except as may otherwise be required by law. Our Class B ordinary shares are convertible at any time by the holder thereof into Class A ordinary shares on a one-for-one basis.
(1)The business address of Mr. Tim Chen is 43/F, One Island East, 18 Westlands Road, Quarry Bay, Hong Kong.
(2)Represents 3,088,929 Class A ordinary shares held by Right Brain Limited. The sole shareholder of Right Brain Limited is Mr. James Zhi Qin. The business address of Mr. Qin is 10/Fl. Tower B, CEC Plaza, No. 3 Dan Ling Street, Haidian District, Beijing 100080, People’s Republic of China.
(3)The business address of Mr. Andrew Penn is Level 41, 242 Exhibition Street, Melbourne, VIC 3000, Australia.
(4)Represents 5,066,483 Class A ordinary shares held by AutoLee Ltd. The sole shareholder of AutoLee Ltd. is Mr. Xiang Li. The business address of AutoLee Ltd. is Drake Chambers, P.O. Box 3321, Road Town, Tortola, British Virgin Islands. The business address of Mr. Li is 10/Fl. Tower B, CEC Plaza, No. 3 Dan Ling Street, Haidian District, Beijing 100080, People’s Republic of China.
(5)The business address of Mr. Chong is 10/Fl. Tower B, CEC Plaza, No. 3 Dan Ling Street, Haidian District, Beijing 100080, People’s Republic of China.
(6)Represents 5,245,700 Class A ordinary shares held by Orchid Asia III, L.P., and 6,866,512 Class A ordinary shares held by Orchid Asia Co-Investment Limited. These two funds are collectively referred to as Orchid Asia Funds. Mr. Gabriel Li has voting control of the shares held by the Orchid Funds. The general partner of Orchid Asia III, L.P. is OAIII Holdings, L.P., whose general partner is Orchid Asia Group Management, Limited. Mr. Gabriel Li is the sole director of Orchid Asia Group Management, Limited, which serves as the investment manager of Orchid Asia III, L.P. Mr. Gabriel Li is the sole director of Orchid Asia III Co-Investment, Limited. The business address of Orchid Asia III, L.P. is P.O. Box 908 GT, George Town, Grand Cayman, Cayman Islands. The business address of Orchid Asia Co-Investment Limited is P.O. Box 957, Offshore Incorporations Centre, Road Town, Tortola, British Virgin Islands.
(7)Represents 68,788,940 Class B ordinary shares. Telstra Holdings Pty Ltd. is an Australian company and a wholly-owned subsidiary of Telstra Corporation Limited, which is a public company traded on Australian Securities Exchange. Telstra Holdings Pty Ltd.’s business address is Level 41, 242 Exhibition Street, Melbourne, VIC 3000, Australia.
(8)See footnote (6) above.

Our ordinary shares are divided into Class A ordinary shares and Class B ordinary shares. Holders of Class A ordinary shares are entitled to one vote per share. When the total number of ordinary shares held by Telstra constitutes no less than 51% of all of our issued and outstanding ordinary shares, each Class B ordinary share is entitled to one vote; when the total number of ordinary shares held by Telstra drops below 51% but is no less than 39.3% of all of our issued and outstanding shares, each Class B ordinary share will carry such number of votes that would result in the total number of ordinary shares held by Telstra carrying, in the aggregate, 51% of the voting rights represented by all of our issued and outstanding ordinary shares; when the total number of ordinary shares held by Telstra drops below 39.3% of all of our issued and outstanding ordinary shares, all Class B ordinary shares will be automatically converted into the same number of Class A ordinary shares. Our Class A ordinary shares and Class B ordinary shares vote together as a single class on all matters submitted to a vote of our shareholders, except as may otherwise be required by law.

 

89


Table of Contents

To our knowledge, as of March 28, 2014, 8,993,000 Class A ordinary shares were held by one record holder in the United States, which was Deutsche Bank Trust Company Americas, the depositary of our ADS program and no Class B ordinary shares were held by record holders in the United States. The number of beneficial owners of our ADSs in the United States is likely to be much larger than the number of record holders of our ordinary shares in the United States.

As of March 28, 2014, Telstra owned 65.4% of the total voting rights in our company. We are not aware of any arrangement that may, at a subsequent date, result in a change of control of our company. We are not owned or controlled, directly or indirectly, by another corporation, by any foreign government or by any other natural or legal persons, severally or jointly.

ITEM 7. MAJOR SHAREHOLDERS AND RELATED PARTY TRANSACTIONS

 

A.Major Shareholders

Please refer to “Item 6. Directors, Senior Management and Employees—E. Share Ownership.”

 

B.Related Party Transactions

Contractual Arrangements

PRC laws and regulations currently limit foreign ownership of companies that engage in internet and advertising services. We therefore conduct our operations in China primarily through contractual agreements between our wholly-owned PRC subsidiary, Beijing Cheerbright Technologies Co., Ltd., or Autohome WFOE, and each of the three groups of entities and individuals: (i) Beijing Autohome Information Technology Co., Ltd., or Autohome Information, shareholders of Autohome Information and three subsidiaries of Autohome Information: Beijing Shengtuo Hongyuan Information Technology Co., Ltd., or Hongyuan Information, Beijing Shengtuo Chengshi Advertising Co., Ltd., or Chengshi Advertising, and Beijing Shengtuo Autohome Advertising Co., Ltd., or Autohome Advertising, (ii) Shanghai You Che You Jia Advertising Co., Ltd., or Shanghai Advertising, and shareholders of Shanghai Advertising, and (iii) Guangzhou You Che You Jia Advertising Co., Ltd, or Guangzhou Advertising, and shareholders of Guangzhou Advertising. We treat these three groups of entities as our VIEs under U.S. GAAP.

Contractual Agreement with our Variable Interest Entities

The following is a summary of our contractual arrangements among Autohome WFOE, Autohome Information and its shareholders. The contractual agreements between Autohome WFOE and Shanghai Advertising and its shareholders and the contractual agreements between Autohome WFOE and Guangzhou Advertising and its shareholders are substantially the same as the contractual agreements among Autohome WFOE, its shareholders and subsidiaries.

Agreements that Provide Effective Control over Autohome Information

Equity Interest Pledge Agreements. Pursuant to the equity interest pledge agreements between Autohome WFOE and each of the three shareholders of Autohome Information, each shareholder of Autohome Information pledges to Autohome WFOE all of his equity interests in Autohome Information to secure the performance of such shareholder’s respective obligations and Autohome Information’s obligations under the loan agreements, equity option agreements, and the exclusive technology consulting and service agreements. See “—Contractual Agreements—Agreements that Transfer Economic Benefits of Autohome Information to Us” and “—Agreements that Provide Us the Options to Purchase the Equity Interests in Autohome Information” for a brief description of these obligations. Without Autohome WFOE’s consent, shareholders of Autohome Information shall not create or permit to create any encumbrances on the pledged equities in Autohome Information. In the event of default, Autohome WFOE is entitled to request immediate repayment of the outstanding amounts payable under the loan agreements, the equity option agreements and the exclusive technology consulting and service agreements or to dispose of the pledged equity interests at Autohome WFOE’s sole discretion. The equity pledge agreements have an indefinite term and will terminate after all the secured obligations under these agreements have been satisfied in full or the pledged equity interests have been transferred to Autohome WFOE or its designee.

 

90


Table of Contents

Pursuant to the equity interest pledge agreements between Autohome WFOE and Autohome Information, Autohome Information pledges to Autohome WFOE all of its equity interests in its three subsidiaries to secure the performance of its obligations under the exclusive technology consulting and service agreements and the equity option agreements. These equity interest pledge agreements contain substantially the same terms as the equity interest pledge agreements between Autohome WFOE and the shareholders of Autohome Information.

Power of Attorney. Autohome Information and each of the nominee shareholders of Autohome Information have executed an irrevocable power of attorney appointing Autohome WFOE, or any person designated by Autohome WFOE, as their attorney-in-fact to vote on their behalf at the shareholders’ meetings of Autohome Information’s subsidiaries and Autohome Information and to exercise full voting rights as the shareholders of these companies with powers granted under PRC laws and regulations and the articles of association of each of the above companies, including the rights to appoint directors and management personnel.

Agreements that Transfer Economic Benefits of Autohome Information to Us

Exclusive Technology Consulting and Service Agreements. Pursuant to the exclusive technology consulting and service agreements between Autohome WFOE and each of Autohome Information and its subsidiaries, Autohome WFOE has the exclusive right to provide each of these VIEs comprehensive technology and management consulting services. In addition, Autohome WFOE is obligated to provide financing support to each of these VIEs to ensure the cash flow requirements of the day-to-day operations of these VIEs. Each of these VIEs is obligated to pay to Autohome WFOE service fees, which are calculated based on such VIE’s revenues reduced by its business taxes and surcharges, operating expenses and an appropriate amount of retained profit that is determined pursuant to our tax planning strategies and relevant tax laws. Such service fees may be adjusted by Autohome WFOE at Autohome WFOE’s sole discretion. Autohome WFOE owns the intellectual properties arising from the performance of these agreements. These agreements have a 30-year term that can be automatically extended for another ten years at the option of Autohome WFOE and can only be terminated by the parties’ mutual written consent or by Autohome WFOE’s prior 30-day notice at its sole discretion. During the term of these agreements, these VIEs may not enter into any agreements with third parties for the provision of any technology or management consulting services without prior consent of Autohome WFOE.

Autohome WFOE recognized service fees from all the VIEs in the amount of RMB245.4 million in 2011, RMB411.6 million in 2012 and RMB657.2 million (US$108.6 million) in 2013 in consideration for services provided to the VIEs.

Loan Agreements. Pursuant to the loan agreements between Autohome WFOE and each of the three shareholders of Autohome Information, Autohome WFOE granted interest-free loans to these three shareholders of Autohome Information. The loans are to be used solely for the purpose of making capital contribution to the registered capital of Autohome Information. The term of the loans is indefinite and must be repaid in the manner specified in the agreements upon written notice from Autohome WFOE at any time in Autohome WFOE’s sole discretion or upon an event of default by the shareholders of Autohome Information.

Agreements that Provide Us the Options To Purchase the Equity Interests in Autohome Information

Equity Option Agreements. Pursuant to the equity option agreements between Autohome WFOE and each of the three shareholders of Autohome Information, each shareholder of Autohome Information jointly and severally grants to Autohome WFOE an option to purchase all or part of his equity interests in Autohome Information at a price equivalent to the lowest price permitted by PRC law. The purchase price is to be offset against the loan repayments under the loan agreements. If there will be additional payments to be made by Autohome Information to these nominee shareholders required by the PRC law, these nominee shareholders must immediately return the received payments to Autohome WFOE. Autohome WFOE may exercise its option at any time or transfer the rights and obligations under the equity option agreement to any of its designated parties. The equity option agreements have an indefinite term and will terminate at the earlier of (i) the date on which all of Autohome Information shareholders’ equity interests in Autohome Information have been transferred to Autohome WFOE or its designated parties, or (ii) the unilateral termination by Autohome WFOE.

 

91


Table of Contents

Pursuant to the equity option agreements among Autohome WFOE, Autohome Information and each of the three subsidiaries of Autohome Information, Autohome Information granted Autohome WFOE or its designated parties an option to purchase all or part of Autohome Information’s equity interests in its subsidiaries at a price equivalent to the lowest price permitted by PRC law. Autohome WFOE may exercise its option at any time. The equity option agreements have an indefinite term and will terminate at the earlier of (i) the date on which all of Autohome Information’s equity interests in its subsidiaries have been transferred to Autohome WFOE or its designated parties, or (ii) the unilateral termination by Autohome WFOE.

Transactions with Entities Affiliated with Our Shareholders

During the year ended December 31, 2013, Telstra International HK Limited provided network services amounting to RMB128 thousand (US$21 thousand) to Autohome Information. In addition, Telstra International Limited provided network services amounting to RMB255 thousand (US$42 thousand) to Autohome Information. All outstanding balances have been paid in full as of December 31, 2013. In October 2013, Autohome HK acquired Autohome Media with a consideration of RMB1.9 million (US$0.3 million). Autohome Media was 50% owned by the spouse of Mr. Henry Hon, one of our former directors whose resignation was effective March 28, 2014.

In October 2013, we and Telstra Holdings entered into an agreement with West Crest Limited, its sole shareholder Mr. Jiang Lan, a former director, and other of our shareholders in which we agreed to repurchase certain shares held by West Crest Limited. For more information about the transaction, please see “Item 16E. Purchases of Equity Securities by the Issuer and Affiliated Purchasers” below.

During the year ended December 31, 2013, we and Telstra International Limited entered into an agreement whereby a Telstra executive would provide consulting services to us. Under this agreement, the amount due to Telstra for services provided during the year ended December 31, 2013 amounted to RMB0.4 million (US$0.1 million).

During the year ended December 31, 2013, we and Beijing Australian Telecommunications Technical Consulting Limited entered into an agreement whereby a Telstra executive would provide consulting services to us. Under this agreement, the amount due to Beijing Australian Telecommunications Technical Consulting Limited for services provided during the year ended December 31, 2013 amounted to RMB0.2 million (US$0.03 million).

Investors Rights Agreement

We and certain of our current shareholders, including Telstra, entered into an investors rights agreement on November 4, 2013. Under the investors rights agreement, certain shareholders are entitled to registration rights, rights of access to information and preemptive rights.

Registration Rights

Pursuant to our investors rights agreement, we have granted registration rights to certain of our current shareholders. Set forth below is a description of the registration rights granted under the agreement.

Demand Registration Rights. Any time after 180 days after November 4, 2013, Telstra and Orchid Shareholder Group (which includes Orchid Asia III, L.P., Orchid Asia Co-Investment Limited or their affiliates so long as they are our shareholders) have the right to demand that we file a registration statement covering the offer and sale of securities it holds. Upon receipt of a request by Telstra or Orchid Shareholder Group, we should offer other holders of registrable securities the opportunity to register the number of registrable shares as such holders may request. We, however, are not obligated to effect a demand registration if the dollar amount of securities to be sold to the public is of an aggregate price less than US$5.0 million; and we are not obligated to effect a demand registration if, among other things, we have already filed three demand registrations and each of such registrations has been declared effective. We have the right to defer filing of a registration statement for up to 90 days if our board of directors determines in good faith that the filing of a registration statement would be materially detrimental to us, but we cannot exercise the deferral right more than three times in any 12-month period.

Piggyback Registration Rights. If we propose to file a registration statement for a public offering of our ordinary shares on a form that would be suitable for registrable securities, we must offer holders of registrable securities an opportunity to include in that registration all or any part of their registrable securities. The underwriters of any underwritten offering have the right to limit the number of shares with registration rights to be included in the registration statement if a piggyback registration is initiated as a primary underwritten offering on our behalf.

 

92


Table of Contents

Form F-3 Registration Rights. When we are eligible for registration on Form F-3, upon a written request from Telstra or Orchid Shareholder Group, we shall file a registration statement on Form F-3 covering the offer and sale of the registrable securities owned and designated by them. Upon receipt of a request by Telstra or Orchid Shareholder Group, we should offer other holders of registrable shares the opportunity to register the number of registrable shares as such holders may request. We, however, are not obligated to effect an F-3 resignation if the dollar amount of securities to be sold to the public is of an aggregate price less than US$5.0 million. We have the right to defer filing of a registration statement for up to 90 days if our board of directors determines in good faith that the filing of a registration statement would be materially detrimental to us, but we cannot exercise the deferral right more than three times in any 12-month period.

Expenses of Registration. We will pay all expenses incurred by us in complying with any demand, Form F-3 or piggyback registration. We are not obligated to pay any underwriting discounts and selling commissions applicable to the sale of a holder’s registrable securities or any fees and expenses of any counsel representing holders of registrable securities.

Termination of Obligations. We shall have no obligation to effect any demand, Form F-3, or piggyback registration if, in the opinion of counsel to us, all such registrable securities proposed to be sold by a holder may then be sold without registration and without regard to any volume limitation requirement under Rule 144 under the Securities Act. In addition, our obligations relating to registration rights under the investors rights agreement with respect to Orchid Shareholder Group shall automatically terminate if Orchid Shareholder Group beneficially owns in the aggregate less than 5% of our issued and outstanding shares; and our obligations relating to registration rights under the investors rights agreement with respect to Telstra shall automatically terminate if Telstra beneficially owns less than 5% of our issued and outstanding shares.

Preemptive Rights

When we propose to issue any ordinary shares or securities convertible into ordinary shares, Telstra (for so long as Telstra beneficially owns any Class B Ordinary Shares) and Orchid Shareholder Group (for so long as Orchid Shareholder Group beneficially owns in the aggregate at least 5% of our issued and outstanding shares), each of them is entitled to purchase such number of new securities at its election so as to enable Telstra and Orchid Shareholder Group to beneficially hold a pro rata portion of the new securities equal to the respective percentage of our issued and outstanding share capital owned by Telstra and Orchid Shareholder Group prior to the issuance. If Telstra and Orchid Shareholder Group do not exercise their respective preemptive rights, we are entitled to issue such number of new securities at a price no less than that offered to Telstra and/or Orchid Shareholder Group (as applicable) within 90 business days, which period of time may be extended in order to comply with applicable laws and regulations (including receipt of any applicable regulatory or shareholder approvals).

Employment Agreements

See “Item 6. Directors, Senior Management and Employees—B. Compensation of Directors and Executive Officers—Employee Agreements” for a description of the employment agreements we have entered into with our senior executive officers.

Share Incentive Plans

See “Item 6. Directors, Senior Management and Employees—B. Compensation of Directors and Executive Officers” for a description of share-based compensation awards we have granted to our directors, officers and other individuals as a group.

See footnote 11 to our financial statements for further information about our related party transactions.

 

93


Table of Contents
C.Interests of Experts and Counsel

Not applicable.

ITEM 8. FINANCIAL INFORMATION

 

A.Consolidated Statements and Other Financial Information

See “Item 18. Financial Statements.”

Legal Proceedings

From time to time, we may be subject to various claims and legal actions that arise in the ordinary course of our business. There are currently no legal proceedings that, in the opinion of our management, may have a material adverse effect on our business and results of operations.

Dividend Policy

Our board of directors has complete discretion, subject to approval by a duly authorized representative of Telstra for so long as Telstra holds at least 51% of our issued and outstanding shares, to declare dividends. Even if our board of directors decides to pay dividends, the form, frequency and amount will depend upon our future operations and earnings, capital requirements and surplus, general financial condition, contractual restrictions and other factors that the board of directors may deem relevant.

Our board of directors declared dividends of RMB49.9 million and RMB249.2 million (US$41.2 million) in February 2012 and May 2013, respectively, to all of our shareholders. The dividends, net of applicable withholding taxes, were paid in April 2012 and June and July 2013, respectively. We do not have any plan to pay additional cash dividends on our ordinary shares in the foreseeable future. We currently intend to retain most, if not all, of our remaining available funds and any future earnings to operate and expand our business.

We are a holding company incorporated in the Cayman Islands. We may rely on dividends from our subsidiaries in China for our cash requirements, including any payment of dividends to our shareholders. PRC regulations may restrict the ability of our PRC subsidiaries to pay dividends to us. See “Item 4. Information on the Company—B. Business Overview—PRC Regulation—Regulations on Dividend Distribution.”

If we pay any dividends, we will pay our ADS holders to the same extent as holders of our ordinary shares, subject to the terms of the deposit agreement, including the fees and expenses payable thereunder. See “Item 12. Description of Securities other than Equity Securities—D. American Depositary Shares.” Cash dividends on our ordinary shares, if any, will be paid in U.S. dollars.

 

B.Significant Changes

Except as disclosed elsewhere in this annual report, we have not experienced any significant changes since the date of our audited consolidated financial statements included in this annual report.

ITEM 9. THE OFFER AND LISTING

 

A.Offering and Listing Details

See “—C. Markets” and “Item 12. Description of Securities other than Equity Securities—D. American Depositary Shares.” We have a dual-class ordinary share structure. Holders of Class A and Class B ordinary shares will have the same rights, including dividend rights, except for conversion and voting rights. Each Class B ordinary share may be converted into one Class A ordinary share at any time by its holder, while Class A ordinary shares cannot be converted into Class B ordinary shares under any circumstances. Each Class A ordinary share is entitled to one vote. When the total number of ordinary shares held by Telstra constitutes no less than 51% of all of our issued and outstanding ordinary shares, each Class B ordinary share is entitled to one vote; when the total number of ordinary shares held by Telstra drops below 51% but is no less than 39.3% of all of our issued and outstanding ordinary shares, each Class B ordinary share will carry such number of votes that would result in the total number of ordinary shares held by Telstra carrying, in the aggregate, 51% of the voting rights represented by all of our issued and outstanding ordinary shares; when the total number of ordinary shares held by Telstra drops below 39.3% of all of our issued and outstanding ordinary shares, all Class B ordinary shares will be automatically converted into the same number of Class A ordinary shares. See “Item 3. Key Information—D. Risk Factors—Risks Related to Our ADSs—Our proposed dual-class share structure will limit your ability to influence corporate matters and could discourage others from pursuing any change of control transactions that holders of our Class A ordinary shares and ADSs may view as beneficial.”

 

94


Table of Contents
B.Plan of Distribution

Not applicable.

 

C.Markets

Our ADSs, each representing one Class A ordinary share, have been listed on the New York Stock Exchange since December 2013 and trade under the symbol “ATHM.” The following table provides the high and low trading prices for our ADSs on the New York Stock Exchange for the periods indicated.

 

95


Table of Contents
   Trading Price 
   High   Low 
   US$   US$ 

Annual High and Low

    

Fiscal Year 2013 (from December 11, 2013)

  US$37.88    US$26.51  

Quarterly Highs and Lows

    

Fourth Fiscal Quarter of 2013 (from December 11, 2013)

  US$37.88    US$26.51  

Monthly Highs and Lows

    

December 2013 (from December 11, 2013)

  US$37.88    US$26.51  

January 2014

  US$38.65    US$28.52  

February 2014

  US$45.75    US$30.19  

March 2014 (through March 28)

  US$51.98    US$35.20  

 

D.Selling Shareholders

Not applicable.

 

E.Dilution

Not applicable.

 

F.Expenses of the Issue

Not applicable.

ITEM 10. ADDITIONAL INFORMATION

 

A.Share Capital

Not applicable.

 

B.Memorandum and Articles of Association

We are a Cayman Islands company and our affairs are governed by our memorandum and articles of association and the Companies Law of the Cayman Islands, referred to as the Companies Law below. The following are summaries of certain provisions of our memorandum and articles of association in effect as of the date of this annual report insofar as they relate to the material terms of our ordinary shares.

Registered Office and Objects

Our registered office in the Cayman Islands is located at Codan Trust Company (Cayman) Limited, Cricket Square, Hutchins Drive, P.O. Box 2681, Grand Cayman KY1-1111, Cayman Islands. The memorandum of association provides, inter alia, that the liability of the members of our company is limited to the amount, if any, for the time being unpaid on the ordinary shares. The objects for which our company is established are unrestricted (including acting as an investment company), and we shall have and be capable of exercising all the functions of a natural person of full capacity irrespective of corporate benefit, as provided in section 27(2) of the Companies Law and in view of the fact that we are an exempted Company, we will not trade in the Cayman Islands with any person, firm or corporation except in furtherance of our business carried on outside the Cayman Islands.

Board of Directors

See “Item 6. Directors, Senior Management and Employees—C. Board Practices—Duties of Directors” and “— Terms of Directors and Officers.”

 

96


Table of Contents

Ordinary Shares

General

Our authorized share capital consists of (i) 99,931,211,060 Class A ordinary shares with a par value of US$0.01 each (ii) 68,788,940 Class B ordinary shares with a par value of US$0.01 each.

All of our outstanding ordinary shares, which consist of Class A ordinary shares and Class B ordinary shares, are fully paid and nonassessable. Certificates representing the ordinary shares are issued in registered form. Our shareholders who are nonresidents of the Cayman Islands may freely hold and transfer their ordinary shares.

Class Rights of our Class A and Class B Ordinary Shares

Subject to our fourth memorandum and articles of association and any resolution of the shareholders to the contrary and without prejudice to any special rights conferred thereby on the holders of any other shares or class of shares, the Class A ordinary shares and Class B ordinary shares shall carry equal rights and rank pari passu with one another other than as set out below.

Conversion

Subject to the provisions of our fourth amended and restated memorandum and articles of association and in compliance with all fiscal and other laws and regulations applicable thereto, a holder of Class B ordinary shares shall have the right to convert all or any of its Class B ordinary shares into Class A ordinary shares on a one-for-one basis. Upon the transfer of any Class B ordinary shares by Telstra to any person that is not an affiliate of Telstra, such Class B ordinary shares will be converted into an equal number of Class A ordinary shares. When the total number of Class A and Class B ordinary shares held by Telstra represents less than 39.3% of all of our total issued and outstanding shares, all Class B ordinary shares will be automatically converted into the same number of Class A ordinary shares. In addition, if immediately following the transfer of any ordinary shares held by Telstra to any party that is not an affiliate of Telstra, Telstra holds less than 51% of our total number of outstanding shares, all Class B ordinary shares will be automatically converted into the same number of Class A ordinary shares. Furthermore, upon a change of control event involving Telstra, all Class B ordinary shares shall be automatically converted into the same number of Class A ordinary shares.

A holder of Class A ordinary shares shall have no rights of conversion in respect of each such Class A ordinary share.

Dividends

The holders of our ordinary shares are entitled to such dividends as may be declared by us in general meeting or by our board of directors subject to the Companies Law and to the fourth amended and restated memorandum and articles of association. So long as Telstra holds at least 51% of our issued and outstanding shares, the board may not declare any dividend unless the dividend is approved by a duly authorized representative of Telstra.

Voting Rights

Subject to any special rights or restrictions as to voting for the time being attached to any shares, at any general meeting every holder of Class A ordinary shares who is present in person or by proxy (or, in the case of a shareholder being a corporation, by its duly authorized representative) shall have one vote on a show of hands, and on a poll every shareholder holding Class A ordinary shares present in person or by proxy (or, in the case of a shareholder being a corporation, by its duly appointed representative) shall have one vote for each fully paid Class A ordinary share of which such shareholder is the holder.

Subject to any special rights or restrictions as to voting for the time being attached to any shares, at any general meeting every holder of Class B ordinary shares who is present in person or by proxy (or, in the case of a shareholder being a corporation, by its duly authorized representative) shall have the number of votes for each fully paid Class B ordinary share calculated as described in the following paragraph.

 

97


Table of Contents

When the total number of ordinary shares held by Telstra constitutes no less than 51% of all of our issued and outstanding ordinary shares, each Class B ordinary share is entitled to one vote; when the total number of ordinary shares held by Telstra drops below 51% but is no less than 39.3% of all of our issued and outstanding ordinary shares, each Class B ordinary share will carry such number of votes that would result in the total number of ordinary shares held by Telstra carrying, in the aggregate, 51% of the voting rights represented by all of our issued and outstanding ordinary shares; when the total number of ordinary shares held by Telstra drops below 39.3% of all of our issued and outstanding ordinary shares, all Class B ordinary shares will be automatically converted into the same number of Class A ordinary shares.

A quorum required for a meeting of shareholders consists of two shareholders entitled to vote and present in person or by proxy or, if a corporation or other non-natural person, by its duly authorized representative holding at least one-third of the voting rights represented by the issued and outstanding ordinary shares throughout the meeting. However, if at any time Telstra holds at least 51% of voting rights represented by all of our issued and outstanding ordinary shares, two or more members entitled to vote and present in person or by proxy or (in the case of a member being a corporation) by its duly authorized representative representing not less than fifty percent (50%) of the voting rights represented by our issued and outstanding voting shares throughout the meeting will form a quorum for all purposes. We may, but are not obligated to, hold a general meeting in each year as our annual general meeting. The annual general meeting shall be held at such time and place as may be determined by the directors. Each general meeting, other than an annual general meeting, shall be an extraordinary general meeting. A majority of our board of directors or our chairman may call extraordinary general meetings. Advance notice of at least ten clear days is required for the convening of our annual general meeting and other shareholders meetings. The agenda of any extraordinary general meeting will be set by a majority of the directors then in office.

An ordinary resolution to be passed by the shareholders requires the affirmative vote of a simple majority of the votes attaching to the ordinary shares cast in a general meeting, while a special resolution requires the affirmative vote of at least two-thirds of the votes attaching to the outstanding ordinary shares cast in a general meeting. A special resolution will be required for important matters such as a change of name or making changes to our fourth amended and restated memorandum and articles of association.

Transfer of Ordinary Shares

Subject to the restrictions of our fourth amended and restated memorandum and articles of association, as applicable, any of our shareholders may transfer all or any of his or her ordinary shares by an instrument of transfer in the usual or common form or any other form approved by our board of directors.

Our board of directors may, in its absolute discretion, decline to register any transfer of any ordinary share which is not fully paid up or on which we have a lien. Our board of directors may also decline to register any transfer of any ordinary share unless:

 

  

the instrument of transfer is lodged with us, accompanied by the certificate for the ordinary shares to which it relates and such other evidence as our board of directors may reasonably require to show the right of the transferor to make the transfer;

 

  

the instrument of transfer is in respect of only one class of ordinary shares;

 

  

the instrument of transfer is properly stamped, if required; and

 

  

in the case of a transfer to joint holders, the number of joint holders to whom the ordinary share is to be transferred does not exceed four.

If our directors refuse to register a transfer they shall, within three months after the date on which the instrument of transfer was lodged, send to each of the transferor and the transferee notice of such refusal.

The registration of transfers may, after compliance with any notice required of the Designated Stock Exchange (as defined in the fourth amended and restated memorandum and articles of association), be suspended and the register closed at such times and for such periods as our board of directors may from time to time determine, provided, however, that the registration of transfers shall not be suspended nor the register closed for more than 30 days in any year.

 

98


Table of Contents

Liquidation

On a return of capital on winding up or otherwise (other than on conversion, redemption or purchase of ordinary shares), assets available for distribution among the holders of ordinary shares shall be distributed among the holders of the ordinary shares on a pro rata basis. The amount received by holders of Class B ordinary shares and Class A ordinary shares should be the same in any liquidation event. If our assets available for distribution are insufficient to repay all of the paid-up capital, the assets will be distributed so that the losses are borne by our shareholders proportionately.

Calls on Ordinary Shares and Forfeiture of Ordinary Shares

Our board of directors may from time to time make calls upon shareholders for any amounts unpaid on their ordinary shares in a notice served to such shareholders at least 14 days prior to the specified time of payment. The ordinary shares that have been called upon and remain unpaid are subject to forfeiture.

Redemption of Ordinary Shares

Subject to the provisions of the Companies Law, we may repurchase or redeem shares at our option or at the option of the holders of these shares, on such terms and in such manner, including out of capital, as may be determined by our board of directors.

Variations of Rights of Shares

All or any of the special rights attached to any class of shares may, subject to the provisions of the Companies Law, be varied with the sanction of a special resolution passed at a general meeting of the holders of the shares of that class. The rights conferred upon the holders of the shares of any class issued with preferred or other rights shall not, unless otherwise expressly provided by the terms of issue of the shares of that class, be deemed to be varied by the creation or issue of further shares ranking pari passu with such existing class of shares.

General Meetings of Shareholders

Shareholders’ meetings may be convened by a majority of our board of directors or our chairman. Advance notice of at least ten clear days is required for the convening of our annual general shareholders’ meeting and any other general meeting of our shareholders. In addition, general meetings will also be convened on the requisition in writing of any shareholder or shareholders entitled to attend and vote at our general meetings holding at least one-third of the voting rights represented by our issued voting shares.

Appointment of Directors and Chairman

So long as Telstra holds at least 51% of our voting rights, it will be entitled to appoint a majority of our directors and to remove any director so appointed.

The directors will have the power from time to time and at any time to appoint any person as a director to fill a casual vacancy on the board or as an addition to the existing board.

Inspection of Books and Records

Holders of our ordinary shares have no general right under Cayman Islands law to inspect or obtain copies of our list of shareholders or our corporate records. However, we will allow our shareholders to inspect our register of members and provide our shareholders with annual audited financial statements.

Pursuant to the investors rights agreement we have with Telstra and other shareholders, Telstra has the right to access to our books and records so long as it holds in aggregate at least 20% of our issued and outstanding share capital.

 

99


Table of Contents

Issuance of Additional Preferred Shares

Our fourth amended and restated memorandum of association authorizes our board of directors to issue additional ordinary shares from time to time as our board of directors shall determine, to the extent of available authorized but unissued shares.

Our fourth amended and restated memorandum of association authorizes our board of directors to establish from time to time one or more series of preferred shares and to determine, with respect to any series of preferred shares, the terms and rights of that series, including:

 

  

the designation of the series;

 

  

the number of shares of the series;

 

  

the dividend rights, dividend rates, conversion rights, voting rights; and

 

  

the rights and terms of redemption and liquidation preferences.

 

C.Material Contracts

We have not entered into any material contracts other than in the ordinary course of business and other than those described elsewhere in “Item 4. Information on the Company—B. Business Overview,” “Item 7. Major Shareholders and Related Party Transactions—B. Related Party Transactions,” or elsewhere in this annual report.

 

D.Exchange Controls

See “Item 4. Information on the Company—B. Business Overview—PRC Regulation—Regulations on Foreign Exchange.”

 

E.Taxation

Cayman Islands Taxation

The Cayman Islands currently levies no taxes on individuals or corporations based upon profits, income, gains or appreciation and there is no taxation in the nature of inheritance tax or estate duty. There are no other taxes levied by the Government of the Cayman Islands that are likely to be material to holders of ADSs or Class A ordinary shares. The Cayman Islands is not party to any double tax treaties. There are no exchange control regulations or currency restrictions in the Cayman Islands.

Pursuant to Section 6 of the Tax Concessions Law (1999 Revision) of the Cayman Islands, we have obtained an undertaking from the Governor-in-Cabinet:

(a) that no law which is enacted in the Cayman Islands imposing any tax to be levied on profits or income or gains or appreciation shall apply to us or our operations; and

(b) that the aforesaid tax or any tax in the nature of estate duty or inheritance tax shall not be payable on our shares, debentures or other obligations.

The undertaking for us is for a period of twenty years from July 22, 2008.

People’s Republic of China Taxation

We are a holding company incorporated in the Cayman Islands, which indirectly holds Autohome WFOE, our subsidiary in the PRC. Our business operations are principally conducted through our VIEs.

 

100


Table of Contents

Uncertainties exist with respect to how the PRC Enterprise Income Tax Law applies to our tax residency status. Under the Enterprise Income Tax Law, an enterprise established outside of China with a “de facto management body” within China is considered a “resident enterprise,” which means that it can be treated in a manner similar to a Chinese enterprise for enterprise income tax purposes, although the dividends paid to one resident enterprise from another may qualify as “tax-exempt income.” Though the implementation rules of the Enterprise Income Tax Law define “de facto management body” as “establishments that carry out substantial and overall management and control over the manufacturing and business operations, personnel, accounting, properties, etc. of an enterprise,” the only constructive guidance for this definition currently available is set forth in the SAT Circular 82 issued by the PRC State Administration of Taxation, which provides guidance on the determination of the tax residency status of Chinese-controlled offshore incorporated enterprises, defined as an enterprise that is incorporated under the laws of a foreign country or territory and that has a PRC enterprise or enterprise group as its primary controlling shareholder. Although SAT Circular 82 only applies to offshore enterprises controlled by PRC enterprises, not those controlled by PRC individuals, the determining criteria set forth in Circular 82 may reflect the SAT’s general position on how the “de facto management body” test should be applied in determining the tax resident status of offshore enterprises.

According to the SAT Circular 82, a Chinese-controlled offshore incorporated enterprise will be regarded as a PRC tax resident by virtue of having a “de facto management body” in China and will be subject to PRC enterprise income tax on its worldwide income only if all of the following conditions set forth in the SAT Circular 82 are met:

 

  

the primary location of the day-to-day operational management is in the PRC;

 

  

decisions relating to the enterprise’s financial and human resource matters are made or are subject to approval by organizations or personnel in the PRC;

 

  

the enterprise’s primary assets, accounting books and records, company seals, and board and shareholder resolutions are located or maintained in the PRC; and

 

  

50% or more of voting board members or senior executives habitually reside in the PRC.

We do not believe that Autohome Inc., its BVI subsidiary, Cheerbright, the HK subsidiaries of the BVI subsidiary, Autohome HK or Autohome Media meet all of the conditions above. Each of Autohome Inc., Cheerbright, Autohome HK and Autohome Media is a company incorporated outside the PRC. As holding companies, these four entities’ key assets and records, including the resolutions of their respective board of directors and the resolutions of their respective shareholders, are located and maintained outside the PRC. In addition, we are not aware of any offshore holding companies with a similar corporate structure as ours which has ever has been deemed a PRC “resident enterprise” by the PRC tax authorities. Therefore, we believe that neither Autohome Inc. nor Cheerbright and Autohome HK, should be treated as a “resident enterprise” for PRC tax purposes if the criteria for a “de facto management body” as set forth in the SAT Circular 82 were deemed applicable to us. However, as the tax residency status of an enterprise is subject to determination by the PRC tax authorities and uncertainties remain with respect to the interpretation of the term “de facto management body” as applicable to our offshore entities, we will continue to monitor our tax status.

Although we believe we are not a PRC resident enterprise for enterprise income tax purposes, substantial uncertainty exists. In the event that our company or our BVI subsidiary or HK subsidiaries of the BVI subsidiary, is considered to be a PRC resident enterprise: (1) our company or our BVI subsidiary, as the case may be, would be subject to the PRC enterprise income tax at the rate of 25% on worldwide income; and (2) dividend income that our company or BVI subsidiary, as the case may be, receives from our PRC subsidiaries would be exempt from the PRC withholding tax since such income is exempted under the Enterprise Income Tax Law for PRC resident enterprises; and (3) any dividends we pay to our non-PRC shareholders or ADS holders as well as gains realized by such shareholders or ADS holders from the transfer of our shares or ADSs may be regarded as China-sourced income and as a result become subject to PRC withholding tax at a rate of up to 10%, subject to reduction or exemption by an applicable treaty. See “Item 3. Key Information—D. Risk Factors—Risks Related to Doing Business in China—Our global income and the dividends that we may receive from our PRC subsidiaries, dividends distributed to our non-PRC shareholders and ADS holders, and gain recognized by such shareholders or ADS holders, may be subject to PRC taxes under the Enterprise Income Tax Law, which would have a material adverse effect on our results of operations.”

 

101


Table of Contents

Under SAT Circular 698, if a nonresident enterprise transfers the equity interests of a PRC resident enterprise indirectly by disposition of the equity interests of an overseas holding company, or Indirect Transfer, and such overseas holding company is located in a tax jurisdiction that: (a) has an effective tax rate less than 12.5%, or (b) does not tax foreign income of its residents, the nonresident enterprise, being the transferor, shall report to the PRC competent tax authority of the PRC resident enterprise this Indirect Transfer. Using a “substance over form” principle, the PRC tax authority may disregard the existence of the overseas holding company if it lacks a reasonable commercial purpose and was established for the purpose of reducing, avoiding, or deferring PRC tax. As a result, gains derived from such Indirect Transfer may be subject to PRC withholding tax at a rate of up to 10%. SAT Circular 698 also provides that, where a non-PRC resident enterprise transfers its equity interests in a PRC resident enterprise to its related parties at a price lower than the fair market value, the relevant tax authority has the power to make a reasonable adjustment to the taxable income of the transaction. SAT Circular 698 is retroactively effective on January 1, 2008. There is uncertainty as to the application of SAT Circular 698. If SAT Circular 698 was determined by the tax authorities to be applicable to us and our nonresident investors with respect to our corporate restructuring where nonresident investors were involved, we and our nonresident investors in such transactions may be required to expend valuable resources to comply with this circular or to establish that we or our nonresident investors should not be taxed under SAT Circular 698, which may adversely affect us or our nonresident investors. See “Item 3. Key Information—D. Risk Factors—Risks Related to Doing Business in China—We face uncertainties with respect to indirect transfers of equity interests in PRC resident enterprises by their non-PRC holding companies.”

Dividends Withholding Tax

We are a Cayman Islands holding company and substantially all of our income will come from dividends distributed by our subsidiary located in the PRC through Cheerbright, our British Virgin Island subsidiary. Pursuant to the Enterprise Income Tax Law and its implementation rules, dividends from our PRC subsidiaries paid out of profits generated after January 1, 2008, are subject to a withholding tax of 10%, unless there is a tax treaty with China that provides for a different withholding arrangement. Cayman Islands currently does not have any tax treaty with China with respect to withholding tax. Distributions of profits generated before January 1, 2008 are exempt from PRC withholding tax. Our board of directors declared dividends of RMB49.9 million and RMB249.2 million (US$41.2 million) in February 2012 and May 2013, respectively, to all of our shareholders. The dividends, net of applicable withholding tax, were paid in April 2012 and June and July 2013, respectively. We do not have any plan to pay additional cash dividends on our ordinary shares in the foreseeable future. The board of Autohome WFOE has resolved to reinvest all its undistributed earnings indefinitely in Autohome WFOE. We currently intend to retain most, if not all, of our remaining available funds and any future earnings to operate and expand our business.

As uncertainties remain regarding the interpretation and implementation of the Enterprise Income Tax Law and its implementation rules, we cannot assure you that, if we are deemed a PRC resident enterprise, any dividends to be distributed by us to our non-PRC shareholders and ADS holders would not be subject to any PRC withholding tax. See “Item 3. Key Information—D. Risk Factors—Risks Related to Doing Business in China—Our global income and the dividends that we may receive from our PRC subsidiaries, dividends distributed to our non-PRC shareholders and ADS holders, and gain recognized by such shareholders or ADS holders, may be subject to PRC taxes under the Enterprise Income Tax Law, which would have a material adverse effect on our results of operations.”

Material United States Federal Income Tax Considerations

The following is a discussion of the material United States federal income tax considerations relating to the acquisition, ownership, and disposition of our ADSs or Class A ordinary shares by U.S. Holders (as defined below) that will hold ADSs or Class A ordinary shares as “capital assets” (generally, property held for investment) under the United States Internal Revenue Code of 1986, as amended (the “Code”). This discussion is based upon applicable provisions of the Internal Revenue Code, Treasury regulations (proposed, temporary and final) promulgated thereunder, pertinent judicial decisions, interpretive rulings of the Internal Revenue Service and such other authorities as we have considered relevant, which are subject to change, possibly with retroactive effect. This discussion does not address all aspects of United States federal income taxation that may be important to particular investors in light of their individual investment circumstances, including investors subject to special tax rules (for example, certain financial institutions, insurance companies, broker-dealers, pension plans, regulated investment companies, real estate investment trusts, cooperatives, and tax-exempt organizations (including private foundations), holders who are not U.S. Holders, holders who own (directly, indirectly, or constructively) 10% or more of our voting stock, investors that will hold their ADSs or Class A ordinary shares as part of a straddle, hedge, conversion, constructive sale, or other integrated transaction for United States federal income tax purposes, investors that are traders in securities that have elected the mark-to-market method of accounting, or investors that have a functional currency other than the United States dollar), all of whom may be subject to tax rules that differ significantly from those discussed below. In addition, this discussion does not address any non-United States, state, or local tax considerations. Each U.S. Holder is urged to consult its tax advisors regarding the United States federal, state, local, and non-United States income and other tax considerations of an investment in ADSs or Class A ordinary shares.

 

102


Table of Contents

General

For purposes of this summary, a “U.S. Holder” is a beneficial owner of our ADSs or Class A ordinary shares that is, for United States federal income tax purposes, (i) an individual who is a citizen or resident of the United States, (ii) a corporation, or other entity treated as a corporation for United States federal income tax purposes, created in, or organized under the law of the United States or any state thereof or the District of Columbia, or treated as such for United States federal income tax purposes, (iii) an estate the income of which is includible in gross income for United States federal income tax purposes regardless of its source, or (iv) a trust (A) the administration of which is subject to the primary supervision of a United States court and which has one or more United States persons who have the authority to control all substantial decisions of the trust or (B) that has otherwise validly elected to be treated as a United States person under the Code.

If a partnership (or other entity treated as a partnership for United States federal income tax purposes) is a beneficial owner of our ADSs or Class A ordinary shares, the tax treatment of a partner in the partnership will generally depend upon the status of the partner and the activities of the partnership. If a U.S. Holder is a partner of a partnership holding our ADSs or Class A ordinary shares, the U.S. Holder is urged to consult its tax advisors regarding an investment in our ADSs or Class A ordinary shares.

Based in part on certain representations from the depositary bank, a U.S. Holder of ADSs will be treated as the beneficial owner for United States federal income tax purposes of the underlying shares represented by the ADSs. The U.S. Treasury has expressed concerns that parties to whom American depositary shares are released before shares are delivered to the depositary, or intermediaries in the chain of ownership between holders of American depositary shares and the issuer of the security underlying the American depositary shares, may be taking actions that are inconsistent with claiming foreign tax credits by holders of American depositary shares. These actions would also be inconsistent with claiming the reduced rate of tax, described below, applicable to dividends received by certain noncorporate holders. Accordingly, the creditability of any PRC taxes and the availability of the reduced tax rate for dividends received by certain noncorporate U.S. Holders, each described below, could be affected by actions taken by such parties or intermediaries.

Passive Foreign Investment Company Considerations

A non-United States corporation, such as our company, will be classified as a “passive foreign investment company” (or a “PFIC”), for United States federal income tax purposes for any taxable year, if either (i) 75% or more of its gross income for such year consists of certain types of “passive” income or (ii) 50% or more of the value of its assets (determined on the basis of a quarterly average) during such year produce or are held for the production of passive income (the “asset test”). Passive income generally includes dividends, interest, royalties, rents, annuities, net gains from the sale or exchange of property producing such income and net foreign currency gains. For this purpose, cash is categorized as a passive asset and the company’s unbooked intangibles associated with active business activity are taken into account as a nonpassive asset. We will be treated as owning our proportionate share of the assets and earning our proportionate share of the income of any other corporation in which we own, directly or indirectly, more than 25% (by value) of the stock.

Although the law in this regard is unclear, we treat our VIEs as being owned by us for United States federal income tax purposes, not only because we exercise effective control over the operation of such entities but also because we are entitled to substantially all of their economic benefits, and, as a result, we consolidate their results of operation in our consolidated financial statements. If it were determined, however, that we are not the owner of our VIEs for United States federal income tax purposes, we would likely be treated as a PFIC for our current and any subsequent taxable year.

 

103


Table of Contents

Assuming we are the owner of our VIEs for U.S. federal income tax purposes, we believe that we primarily operate as an active provider of online automotive advertising solutions in China. Based on our current income and assets, we presently do not expect to be classified as a PFIC for the current taxable year and we do not anticipate becoming a PFIC in future taxable years. While we do not anticipate becoming a PFIC, because the value of assets for the purpose of the asset test may be determined by reference to the market price of our ADSs or Class A ordinary shares, fluctuations in the market price of our ADSs or Class A ordinary shares may cause us to become a PFIC for the current or subsequent taxable years. The composition of our income and our assets will also be affected by how, and how quickly, we spend our liquid assets and the cash raised in our initial public offering. Under circumstances where revenues from activities that produce passive income significantly increase relative to our revenues from activities that produce nonpassive income, or where we determine not to deploy significant amounts of cash for working capital or other purposes, our risk of becoming classified as a PFIC may substantially increase. Furthermore, because there are uncertainties in the application of the relevant rules, it is possible that the IRS may challenge our classification of certain income and assets as nonpassive or challenge our valuation of our tangible and intangible assets, each of which may result in our becoming a PFIC for the current or subsequent taxable years.

If we are classified as a PFIC for any taxable year during which a U.S. Holder holds our ADSs or Class A ordinary shares, the PFIC tax rules discussed below under “Passive Foreign Investment Company Rules” generally will apply to such U.S. Holder for such taxable year and, unless the U.S. Holder makes certain elections, will apply in future years even if we cease to be a PFIC in subsequent years. The discussion below under “Dividends” and “Sale or Other Disposition of ADSs or Ordinary Shares” is written on the basis that we will not be classified as a PFIC for United States federal income tax purposes.

Dividends

Any cash distributions (including the amount of any PRC tax withheld) paid on ADSs or Class A ordinary shares out of our earnings and profits, as determined under United States federal income tax principles, will generally be includible in the gross income of a U.S. Holder as dividend income on the day actually or constructively received by the U.S. Holder, in the case of Class A ordinary shares, or by the depositary bank, in the case of ADSs. Because we do not intend to determine our earnings and profits on the basis of United States federal income tax principles, any distribution paid will generally be treated as a “dividend” for United States federal income tax purposes. Noncorporate recipients of dividend income generally will be subject to tax on dividend income from a “qualified foreign corporation” at a lower applicable capital gains rate rather than the marginal tax rates generally applicable to ordinary income provided that certain holding period and other requirements are met. A non-United States corporation (other than a corporation that is classified as a PFIC for the taxable year in which the dividend is paid or the preceding taxable year) generally will be considered to be a qualified foreign corporation (i) if it is eligible for the benefits of a comprehensive tax treaty with the United States which the Secretary of Treasury of the United States determines is satisfactory for purposes of this provision and which includes an exchange of information program, or (ii) with respect to any dividend it pays on stock (or ADSs in respect of such stock) which is readily tradable on an established securities market in the United States. Our ADSs have been approved for listing on the New York Stock Exchange, and we are a qualified foreign corporation for United States federal income tax purposes, because the ADSs are expected to be readily tradable on the New York Stock Exchange, which is an established securities market in the United States. Dividends received on our ADSs or Class A ordinary shares will not be eligible for the dividends received deduction allowed to corporations.

In the event that we are deemed to be a PRC resident enterprise under the Enterprise Income Tax Law, a U.S. Holder may be subject to PRC withholding taxes on dividends paid on our ADSs or Class A ordinary shares. In such case, we may, however, be eligible for the benefits of the United States-PRC income tax treaty. If we are eligible for such benefits, dividends we pay on our ordinary shares, regardless of whether such shares are represented by our ADSs, would be eligible for the reduced rates of taxation applicable to qualified dividend income, as discussed above.

Dividends generally will be treated as income from foreign sources for United States foreign tax credit purposes. In the event that we are deemed to be a PRC “resident enterprise” under the Enterprise Income Tax Law, a U.S. Holder may be subject to PRC withholding taxes on dividends paid on our ADSs. A U.S. Holder may be eligible, subject to a number of complex limitations, to claim a foreign tax credit in respect of any foreign withholding taxes imposed on dividends received on ADSs or Class A ordinary shares. A U.S. Holder who does not elect to claim a foreign tax credit for foreign tax withheld may instead claim a deduction, for United States federal income tax purposes, in respect of such withholdings, but only for a year in which such holder elects to do so for all creditable foreign income taxes. The rules governing the foreign tax credit are complex and U.S.

 

104


Table of Contents

Holders are urged to consult their tax advisors regarding the availability of the foreign tax credit under their particular circumstances.

Sale or Other Disposition of ADSs or Ordinary Shares

A U.S. Holder will generally recognize capital gain or loss upon the sale or other disposition of ADSs or Class A ordinary shares in an amount equal to the difference between the amount realized upon the disposition and the holder’s adjusted tax basis in such ADSs or Class A ordinary shares. Any capital gain or loss will be long-term if the ADSs or Class A ordinary shares have been held for more than one year and will generally be United States source gain or loss for United States foreign tax credit purposes. Long-term capital gain of noncorporate U.S. Holders is generally eligible for reduced rates of taxation. In the event that gain from the disposition of the ADSs or Class A ordinary shares is subject to tax in the PRC, a U.S. Holder that is eligible for the benefits of the United States-PRC income tax treaty may elect to treat the gain as PRC source income. The deductibility of a capital loss may be subject to limitations. U.S. Holders are urged to consult their tax advisors regarding the tax consequences if a foreign tax is imposed on a disposition of our ADSs or Class A ordinary shares, including the availability of the foreign tax credit under their particular circumstances.

Passive Foreign Investment Company Rules

If we are classified as a PFIC for any taxable year during which a U.S. Holder holds our ADSs or Class A ordinary shares, and unless the U.S. Holder makes a mark-to-market election with respect to ADSs (as described below), the U.S. Holder will generally be subject to special tax rules that have a penalizing effect, regardless of whether we remain a PFIC, on (i) any excess distribution that we make to the U.S. Holder (which generally means any distribution paid during a taxable year that is greater than 125% of the average annual distributions paid in the three preceding taxable years or, if shorter, the U.S. Holder’s holding period for the ADSs or Class A ordinary share), and (ii) any gain realized on the sale or other disposition, including a pledge, under certain circumstances, of ADSs or Class A ordinary shares. Under these PFIC rules:

 

  

the excess distribution or gain will be allocated ratably over the U.S. Holder’s holding period for the ADSs or Class A ordinary shares;

 

  

the amount allocated to the current taxable year and any taxable years in the U.S. Holder’s holding period prior to the first taxable year in which we are classified as a PFIC (a “pre-PFIC year”) will be taxable as ordinary income;

 

  

the amount allocated to each prior taxable year, other than a pre-PFIC year, will be subject to tax at the highest tax rate in effect applicable to individuals or corporations, as appropriate, for that year;

 

  

an additional tax in the nature of interest will be imposed on the tax attributable to each prior taxable year, other than a pre-PFIC year; and

 

  

the use of net operating losses to offset the tax liability for amounts allocated to years prior to the year of disposition may be limited.

If we are a PFIC for any taxable year during which a U.S. Holder holds our ADSs or Class A ordinary shares and any of our non-United States subsidiaries is also a PFIC (i.e., a lower-tier PFIC), such U.S. Holder would be treated as owning a proportionate amount (by value) of the shares of the lower-tier PFIC and would be subject to the rules described above on certain distributions by a lower-tier PFIC and a disposition of shares of a lower-tier PFIC even though such U.S. Holder would not receive the proceeds of those distributions or dispositions. U.S. Holders are urged to consult their tax advisors regarding the application of the PFIC rules to any of our subsidiaries.

As an alternative to the foregoing rules, a U.S. Holder of “marketable stock” in a PFIC may make a mark-to-market election, provided that the listing on the New York Stock Exchange is approved and that the ADSs are regularly traded. We anticipate that the ADSs should qualify as being regularly traded, but no assurances may be given in this regard. If a U.S. Holder makes this election, the U.S. Holder will generally (i) include as ordinary income for each taxable year the excess, if any, of the fair market value of ADSs held at the end of the taxable year over the adjusted tax basis of such ADSs and (ii) deduct as an ordinary loss the excess, if any, of the adjusted tax basis of such ADSs over the fair market value of such ADSs held at the end of the taxable year, but such deduction will be allowed only to the extent of the amount previously included in income as a result of the mark-to-market election. The U.S. Holder’s adjusted tax basis in the ADSs would be adjusted to reflect any income or loss resulting from the mark-to-market election. If a U.S. Holder makes a mark-to-market election in respect of a corporation classified as a PFIC and such corporation ceases to be classified as a PFIC, the U.S. Holder will not be required to take into account the gain or loss described above during any year that such corporation is not classified as a PFIC. If a U.S. Holder makes a mark-to-market election, any gain such U.S. Holder recognizes upon the sale or other disposition of our ADSs in a year when we are a PFIC will be treated as ordinary income and any loss will be treated as ordinary loss, but such loss will only be treated as ordinary loss to the extent of the net amount previously included in income as a result of the mark-to-market election. In the case of a U.S. Holder who has held ADSs or Class A ordinary shares during any taxable year in respect of which we were classified as a PFIC and continues to hold such ADSs or Class A ordinary shares (or any portion thereof) and has not previously made a mark-to-market election, and if the U.S. Holder makes a mark-to-market election, special tax rules may apply relating to purging the PFIC taint of such ADSs or Class A ordinary shares.

 

105


Table of Contents

Because, as a technical matter, a mark-to-market election cannot be made for any lower-tier PFICs that we may own, a U.S. Holder may continue to be subject to the PFIC rules with respect to its indirect interest in any investments held by us that are treated as an equity interest in a PFIC for United States federal income tax purposes.

We do not intend to provide information necessary for U.S. Holders to make “qualified electing fund” elections which, if available, would result in tax treatment different from, and generally more favorable than, the general tax treatment for PFICs described above.

If a U.S. Holder owns our ADSs or Class A ordinary shares during any taxable year that we are a PFIC, the holder must file an annual report with the U.S. Internal Revenue Service. For some U.S. Holders, this filing requirement is currently suspended, and each U.S. Holder is urged to consult its tax advisor as to any such filing requirements. Each U.S. Holder is urged to consult its tax advisor concerning the United States federal income tax consequences of purchasing, holding, and disposing ADSs or Class A ordinary shares if we are or become a PFIC, including the possibility of making a mark-to-market election and the unavailability of the qualifying electing fund election.

Medicare Tax

Recently enacted legislation generally imposes a 3.8% Medicare tax on a portion or all of the net investment income of certain individuals with a modified adjusted gross income of over $200,000 (or $250,000 in the case of joint filers or $125,000 in the case of married individuals filing separately) and on the undistributed net investment income of certain estates and trusts. For these purposes, “net investment income” generally includes interest, dividends (including dividends paid with respect to our ADSs or Class A ordinary shares), annuities, royalties, rents, net gain attributable to the disposition of property not held in a trade or business (including net gain from the sale, exchange or other taxable disposition of an ADS or Class A ordinary share) and certain other income, reduced by any deductions properly allocable to such income or net gain. U.S. Holders are urged to consult their tax advisors regarding the applicability of the Medicare tax to their income and gains in respect of their investment in the ADSs or Class A ordinary shares.

Information Reporting and Backup Withholding

Dividend payments with respect to our ADSs or Class A ordinary shares and proceeds from the sale, exchange or redemption of our ADSs or ordinary shares may be subject to information reporting to the Internal Revenue Service and possible United States backup withholding. Backup withholding will not apply, however, to a U.S. Holder who furnishes a correct taxpayer identification number and makes other required certifications, or who is otherwise exempt from backup withholding. U.S. Holders that are required to establish their exempt status generally must provide such certification on IRS Form W-9. U.S. Holders should consult their tax advisors regarding the application of the United States information reporting and backup withholding rules.

Backup withholding is not an additional tax. Amounts withheld as backup withholding may be credited against a U.S. Holder’s United States federal income tax liability, and a U.S. Holder generally may obtain a refund of any excess amounts withheld under the backup withholding rules by timely filing the appropriate claim for refund with the Internal Revenue Service and furnishing any required information.

 

106


Table of Contents

Pursuant to the Hiring Incentives to Restore Employment Act enacted on March 18, 2010, in taxable years beginning after the date of enactment, an individual U.S. Holder and certain entities may be required to submit to the Internal Revenue Service certain information with respect to his or her beneficial ownership of the ADSs or Class A ordinary shares, if such ADSs or Class A ordinary shares are not held on his or her behalf by a financial institution. This new law also imposes penalties if an individual U.S. Holder is required to submit such information to the Internal Revenue Service and fails to do so. For some U.S. Holders, the new reporting requirements are currently suspended, and each U.S. Holder is urged to consult its tax advisor as to any such reporting requirements.

 

F.Dividends and Paying Agents

Not applicable.

 

G.Statement by Experts

Not applicable.

 

H.Documents on Display

We previously filed with the SEC a registration statement on Form F-1 under the Securities Act with respect to our initial public offering of our Class A ordinary shares represented by ADSs.

We are subject to the periodic reporting and other informational requirements of the Securities Exchange Act of 1934 or the Exchange Act. Under the Exchange Act, we are required to file reports and other information with the SEC. Specifically, we are required to file annually a Form 20-F within four months after the end of each fiscal year which is December 31. The SEC maintains a website at www.sec.gov that contains reports, proxy and information statements, and other information regarding registrants that make electronic filings with the SEC using its EDGAR system. Copies of reports and other information, when filed, may also be inspected without charge and may be obtained at prescribed rates at the public reference facilities maintained by the SEC at 100 F Street, N.E., Room 1580, Washington, D.C. 20549. The public may obtain information regarding the Washington, D.C. Public Reference Room by calling the SEC at 1-800-SEC-0330. As a foreign private issuer, we are exempt from the rules under the Exchange Act prescribing the furnishing and content of quarterly reports and proxy statements, and officers, directors and principal shareholders are exempt from the reporting and short-swing profit recovery provisions contained in Section 16 of the Exchange Act.

We will furnish Deutsche Bank Trust Company Americas, the depositary of our ADSs, with our annual reports, which will include a review of operations and annual audited consolidated financial statements prepared in conformity with U.S. GAAP, and all notices of shareholders’ meetings and other reports and communications that are made generally available to our shareholders. The depositary will make such notices, reports and communications available to holders of ADSs and, upon our request, will mail to all record holders of ADSs the information contained in any notice of a shareholders’ meeting received by the depositary from us.

 

I.Subsidiary Information

For a listing of our subsidiaries, see “Item 4. Information on the Company—C. Organizational Structure.”

ITEM 11. QUANTITATIVE AND QUALITATIVE DISCLOSURES ABOUT MARKET RISK

Interest Rate Risk

Our exposure to interest rate risk primarily relates to the interest income generated by excess cash, which is mostly held in interest bearing bank deposits. We have not used derivative financial instruments in our investment portfolio. Interest earning instruments carry a degree of interest rate risk. We have not been exposed to, nor do we anticipate being exposed to, material risks due to changes in market interest rates. However, our future interest income and interest expenses may fluctuate due to changes in market interest rates.

 

107


Table of Contents

Foreign Exchange Risk

We earn all of our revenues and incur most of our expenses in RMB, and substantially all of our sales contracts are denominated in RMB. We do not believe that we currently have any significant direct foreign exchange risk and have not used any derivative financial instruments to hedge our exposure to such risk. Although in general, our exposure to foreign exchange risks should be limited, the value of your investment in our ADSs will be affected by the exchange rate between the U.S. dollar and the RMB because the value of our business is effectively denominated in RMB, while the ADSs will be traded in U.S. dollars. Based on the amount of our cash and cash equivalents and restricted cash on hand as of December 31, 2013, a 1.0% change in the exchange rate between the Renminbi and the U.S. dollar would result in an increase or decrease of US$2.3 million to our cash and cash equivalents and restricted cash.

The conversion of Renminbi into foreign currencies, including U.S. dollars, is based on rates set by the People’s Bank of China. The PRC government allowed the Renminbi to appreciate by more than 20% against the U.S. dollar between July 2005 and July 2008. Between July 2008 and June 2010, this appreciation was halted and the exchange rate between the Renminbi and the U.S. dollar remained within a narrow band. As a consequence, the RMB fluctuated significantly during that period against other freely traded currencies, in tandem with the U.S. dollar. Since June 2010, the PRC government has again allowed the Renminbi to appreciate slowly against the U.S. dollar. It is difficult to predict how market forces or PRC or U.S. government policy may impact the exchange rate between the Renminbi and the U.S. dollar in the future.

There remains significant international pressure on the Chinese government to substantially liberalize its currency policy, which could result in further appreciation in the value of the RMB against the U.S. dollar. To the extent that we need to convert U.S. dollars into RMB for capital expenditures and working capital and other business purposes, appreciation of the RMB against the U.S. dollar would have an adverse effect on the RMB amount we would receive from the conversion. Conversely, if we decide to convert RMB into U.S. dollars for the purpose of making payments for dividends on our ordinary shares or ADSs, strategic acquisitions or investments or other business purposes, appreciation of the U.S. dollar against the RMB would have a negative effect on the U.S. dollar amount available to us. In addition, a significant depreciation of the RMB against the U.S. dollar may significantly reduce the U.S. dollar equivalent of our earnings, which in turn could adversely affect the price of our ADSs.

ITEM 12. DESCRIPTION OF SECURITIES OTHER THAN EQUITY SECURITIES

 

A.Debt Securities

Not applicable.

 

B.Warrants and Rights

Not applicable.

 

C.Other Securities

Not applicable.

 

D.American Depositary Shares

Fees and Charges Our ADS holders May Have to Pay

As an ADS holder, you will be required to pay the following service fees to the depositary bank:

 

Service

  

Fees

•         Issuance of ADSs, including issuances resulting from a distribution of shares or rights or other property

  Up to US$0.05 per ADS issued

•         Cancellation of ADSs, including the case of termination of the deposit agreement

  Up to US$0.05 per ADS cancelled

•         Distribution of cash dividends or other cash distributions

  Up to US$0.05 per ADS held

•         Distribution of ADSs pursuant to share dividends, free share distributions or exercise of rights

  Up to US$0.05 per ADS held

•         Distribution of securities other than ADSs or rights to purchase additional ADSs

  A fee equivalent to the fee that would be payable if securities distributed to you had been ordinary shares and the ordinary shares had been deposited for issuance of ADSs

•         Depositary services

  Up to US$0.05 per ADS held on the applicable record date(s) established by the depositary bank

•         Transfer of ADRs

  U.S. $1.50 per certificate presented for transfer

 

108


Table of Contents

As an ADS holder, you will also be responsible to pay certain fees and expenses incurred by the depositary bank and certain taxes and governmental charges such as:

 

  

Fees for the transfer and registration of ordinary shares charged by the registrar and transfer agent for the ordinary shares in the Cayman Islands (i.e., upon deposit and withdrawal of ordinary shares).

 

  

Expenses incurred for converting foreign currency into U.S. dollars.

 

  

Expenses for cable, telex and fax transmissions and for delivery of securities.

 

  

Taxes and duties upon the transfer of securities, including any applicable stamp duties, any stock transfer charges or withholding taxes (i.e., when ordinary shares are deposited or withdrawn from deposit).

 

  

Fees and expenses incurred in connection with the delivery or servicing of ordinary shares on deposit.

 

  

Fees and expenses incurred in connection with complying with exchange control regulations and other regulatory requirements applicable to ordinary shares, deposited securities, ADSs and ADRs.

 

  

Any applicable fees and penalties thereon.

The depositary fees payable upon the issuance and cancellation of ADSs are typically paid to the depositary bank by the brokers (on behalf of their clients) receiving the newly issued ADSs from the depositary bank and by the brokers (on behalf of their clients) delivering the ADSs to the depositary bank for cancellation. The brokers in turn charge these fees to their clients. Depositary fees payable in connection with distributions of cash or securities to ADS holders and the depositary services fee are charged by the depositary bank to the holders of record of ADSs as of the applicable ADS record date.

The depositary fees payable for cash distributions are generally deducted from the cash being distributed or by selling a portion of distributable property to pay the fees. In the case of distributions other than cash (i.e., share dividends, rights), the depositary bank charges the applicable fee to the ADS record date holders concurrent with the distribution. In the case of ADSs registered in the name of the investor (whether certificated or uncertificated in direct registration), the depositary bank sends invoices to the applicable record date ADS holders. In the case of ADSs held in brokerage and custodian accounts (via DTC), the depositary bank generally collects its fees through the systems provided by DTC (whose nominee is the registered holder of the ADSs held in DTC) from the brokers and custodians holding ADSs in their DTC accounts. The brokers and custodians who hold their clients’ ADSs in DTC accounts in turn charge their clients’ accounts the amount of the fees paid to the depositary banks.

In the event of refusal to pay the depositary fees, the depositary bank may, under the terms of the deposit agreement, refuse the requested service until payment is received or may set off the amount of the depositary fees from any distribution to be made to the ADS holder.

 

109


Table of Contents

Fees and Other Payments Made by the Depositary to Us

Deutsche Bank Trust Company Americas, as depositary, has agreed to reimburse us for a portion of certain expenses we incur that are related to establishment and maintenance of the ADR program, including investor relations expenses. There are limits on the amount of expenses for which the depositary will reimburse us, but the amount of reimbursement available to us is not related to the amounts of fees the depositary collects from investors. Further, the depositary has agreed to reimburse us certain fees payable to the depositary by holders of ADSs. Neither the depositary nor we can determine the exact amount to be made available to us because (i) the number of ADSs that will be issued and outstanding, (ii) the level of service fees to be charged to holders of ADSs and (iii) our reimbursable expenses related to the program are not known at this time. We did not receive any payments or reimbursements from the depositary in fiscal year 2013.

 

110


Table of Contents

PART II

ITEM 13. DEFAULTS, DIVIDEND ARREARAGES AND DELINQUENCIES

None.

ITEM 14. MATERIAL MODIFICATIONS TO THE RIGHTS OF SECURITY HOLDERS AND USE OF PROCEEDS

See “Item 10. Additional Information” for a description of the rights of securities holders, which remain unchanged.

The following “Use of Proceeds” information relates to the registration statement on Form F-1, as amended (File Number 333-192085) for our initial public offering of 8,993,000 ADSs (reflecting the full exercise of the over-allotment option by the underwriters to purchase an additional 1,173,000 ADSs), representing 8,993,000 Class A ordinary shares, which registration statement was declared effective by the SEC on December 10, 2013. Deutsche Bank Securities Inc. and Goldman Sachs (Asia) L.L.C. acted as the representatives of the underwriters in our initial public offering.

For the period from the effective date of the registration statement to December 31, 2013, in connection with the issuance and distribution of the ADSs, we incurred expenses and paid to others US$10.7 million for underwriting discounts and commissions. We received net proceeds of approximately US$142.6 million from our initial public offering.

For the period from the effective date to December 31, 2013, we did not use a substantial portion of the net proceeds received from our initial public offering.

ITEM 15. CONTROLS AND PROCEDURES

Evaluation of Disclosure Controls and Procedures

Our management, with the participation of our chief executive officer and chief financial officer, has performed an evaluation of the effectiveness of our disclosure controls and procedures (as defined in Rule 13a-15(e) under the Exchange Act) as of the end of the period covered by this report, as required by Rule 13a-15(b) under the Exchange Act. Based on that evaluation, our management has concluded that, as of December 31, 2013, our disclosure controls and procedures were effective for the reasons set forth in “Internal Control over Financial Reporting” below.

Management’s Annual Report on Internal Control over Financial Reporting

This annual report does not include a report of management’s assessment regarding internal control over financial reporting or an attestation report of our company’s registered public accounting firm due to a transition period established by rules of the SEC for newly public companies.

Internal Control Over Financial Reporting

In connection with the audit of our consolidated financial statements for the year ended and as of December 31, 2011, we and our independent registered public accounting firm identified a material weakness in our internal control over financial reporting, as defined in the standards established by the United States Public Company Accounting Oversight Board, or PCAOB. Pursuant to PCAOB standards, a material weakness is a deficiency, or a combination of deficiencies, in internal control over financial reporting, such that there is a reasonable possibility that a material misstatement of the company’s annual or interim financial statements will not be prevented on a timely basis. The material weakness identified was that our company did not have sufficient U.S. GAAP and SEC financial reporting expertise nor sufficient oversight and review of the financial statement closing process.

 

111


Table of Contents

Since the second half of 2011, we have implemented several measures to remediate the above-mentioned material weakness. For example, we have hired a number of senior level financial reporting and internal control personnel with U.S. GAAP and SEC financial reporting expertise and engaged an internal control consultant. We have developed appropriate U.S. GAAP accounting policies and designed controls over our significant accounting processes, entity level controls and financial reporting close process. We have established an internal audit function. We have also taken a number of additional measures, including:

 

  

providing additional regular training programs to our existing financial reporting personnel to update their knowledge of U.S. GAAP and SEC reporting requirements;

 

  

enhancing our existing accounting manual for recurring transactions and period-end closing processes; and

 

  

further improving effective monitoring and oversight controls for nonrecurring and complex transactions to help ensure the accuracy and completeness of financial statements and related disclosures.

For the year ended December 31, 2013, we performed a limited review of our internal control over financial reporting based on the framework published by the Committee of Sponsoring Organizations of the Treadway Commission as part of our annual risk management assessment process, and no material weakness was noted. It is possible that, had we performed a formal assessment of our internal control over financial reporting or had our independent registered public accounting firm perform an audit of our internal control over financial reporting, additional internal control deficiencies may have been identified. See “Item 3. Key Information—D. Risk Factors—Risks Relating to Our Business and Industry—If we fail to maintain an effective system of internal control over financial reporting, our ability to accurately and timely report our financial results or prevent fraud may be adversely affected, and investor confidence and the market price of our ADSs may be adversely impacted.”

Changes in Internal Control Over Financial Reporting

Except for the matters described above to improve our internal control over financial reporting, there were no changes in our internal control over financial reporting that occurred during the period covered by this annual report on Form 20-F that have materially affected, or are reasonably likely to materially affect, our internal controls over financial reporting.

ITEM 16. RESERVED

ITEM 16A. AUDIT COMMITTEE FINANCIAL EXPERT

Our board of directors has determined that Mr. Ted Tak-Tai Lee is our audit committee financial expert, who is an independent director under the standards set forth in Section 303A of the NYSE Listed Company Manual and Rule 10A-3 of the Exchange Act. Mr. Lee is the chairman of our audit committee.

ITEM 16B. CODE OF ETHICS

Our board of directors has adopted a code of business conduct and ethics that applies to our directors, officers, employees and agents, including certain provisions that specifically apply to our chairman, chief executive officer, chief financial officer, controller, vice presidents and any other persons who perform similar functions for us. We filed our code of business conduct and ethics as Exhibit 99.1 to our registration statement on Form F-1, as amended, which was originally filed with the SEC on November 4, 2013 and subsequently amended and filed with this annual report. We have posted a copy of our code of business conduct and ethics on our website at http://ir.autohome.com.cn.

 

112


Table of Contents

ITEM 16C. PRINCIPAL ACCOUNTANT FEES AND SERVICES

The following table sets forth the aggregate fees by categories specified below in connection with certain professional services rendered by Ernst & Young Hua Ming LLP, our independent registered public accounting firm, for the periods indicated. We did not pay any other fees to our independent registered public accounting firm during the periods other than those indicated below.

 

   For the Year Ended December 31, 
   2012   2013 
   (in RMB thousands) 

Audit fees(1)

   3,792     8,716  

Audit-related fees(2)

   —      —   

Tax fees(3)

   69     101  

 

(1)“Audit fees” means the aggregate fees billed for professional services rendered by our independent registered public accounting firm for the audit of our annual financial statements and the review of our comparative interim financial information.
(2)“Audit related fees” represents aggregate fees billed for professional services rendered by our principal auditor for the assurance and related services, which mainly included the audit and review of financial statements and are not reported under “Audit Fees” above.
(3)“Tax fees” represents the aggregated fees billed for professional services rendered by our independent registered public accounting firm for tax compliance, tax advice and tax planning.

The policy of our audit committee is to preapprove all audit and nonaudit services provided by Ernst & Young Hua Ming LLP, including audit services, audit-related services and tax services as described above, other than those for de minimis services which are approved by the audit committee prior to the completion of the audit. Our audit committee has approved all of our audit fees, audit-related fees and tax fees for the year ended December 31, 2013.

ITEM 16D. EXEMPTIONS FROM THE LISTING STANDARDS FOR AUDIT COMMITTEES

Not applicable.

ITEM 16E. PURCHASES OF EQUITY SECURITIES BY THE ISSUER AND AFFILIATED PURCHASERS

The table below is a summary of the ordinary shares repurchased by us as of December 31, 2013.

 

Period

  (a) Total Number
of  Shares
Purchased
   (b) Average
Price  Paid
per Share
  (c) Total Number
of  Shares
Purchased as
Part of  Publicly
Announced Plans
or Programs
   (d) Maximum Number
(or  Approximate Dollar
Value) of Shares (or Units)
that May Yet Be
Purchased Under
the Plans or Programs
 

November 1, 2013 to November 30, 2013(1)

   6,684,711     

 

RMB118.61

(US$19.45

  

  N/A     N/A  

 

(1) 

On October 30, 2013, West Crest Limited and its sole shareholder Mr. Jiang Lan informed our shareholders that they had received a binding written offer from one of our major competitors to purchase 6,684,711 ordinary shares of our company held by West Crest Limited for a total purchase price of US$130 million. Mr. Lan was a director of our company and 6,684,711 ordinary shares beneficially owned by Mr. Lan constituted approximately 6.7% of our then total issued and outstanding shares. Had we allowed our competitor to acquire a significant stake in our company while we were a private unlisted company, our competitor may have been able to obtain our confidential business information and gain influence over our corporate strategy and the right to vote on our significant matters requiring shareholder approval. In the interest of our company, our board of directors and all of our existing shareholders unanimously approved our and Telstra’s proposed purchase of all of our shares held by West Crest Limited for US$130 million in cash, or the West Crest Share Purchase. On November 4, 2013, we and Telstra Holdings entered into a share purchase agreement with West Crest Limited, Mr. Jiang Lan and other shareholders of our company. Pursuant to the agreement, we and Telstra Holdings purchased 3,856,564 and 2,828,147 ordinary shares of our company held by West Crest Limited for US$75 million and US$55 million, respectively, in cash. Fifty percent of our company’s purchase price was paid on November 21, 2013, and the remainder was paid on January 29, 2014. Mr. Lan resigned from our board of directors upon signing of the agreement, and all other shareholders agreed not to transfer shares of our company held by them from the date of the agreement until 180 days after our initial public offering. We paid our first installment of US$37.5 million by obtaining U.S. dollar financing from a third-party lender. We repaid this loan in the year ended December 31, 2013.

 

113


Table of Contents

ITEM 16F. CHANGE IN REGISTRANT’S CERTIFYING ACCOUNTANT

Not applicable.

ITEM 16G. CORPORATE GOVERNANCE

We have followed and intend to continue to follow the applicable New York Stock Exchange corporate governance listing standards.

ITEM 16H. MINE SAFETY DISCLOSURE

Not applicable.

 

114


Table of Contents

PART III

ITEM 17. FINANCIAL STATEMENTS

We have elected to provide financial statements pursuant to Item 18.

ITEM 18. FINANCIAL STATEMENTS

The consolidated financial statements of Autohome Inc. are included at the end of this annual report.

ITEM 19. EXHIBITS

 

Exhibit
Number

  

Description of Document

    1.1  Fourth Amended and Restated Memorandum and Articles of Association of the Registrant, adopted on November 27, 2013 (incorporated herein by reference to Exhibit 3.2 to the registration statement on Form F-1, as amended (File No. 333-192085), initially filed with the Securities and Exchange Commission on November 4, 2013)
    2.1  Registrant’s Specimen American Depositary Receipt (incorporated herein by reference to Exhibit 4.1 to the registration statement on Form F-1, as amended (File No. 333-192085), initially filed with the Securities and Exchange Commission on November 4, 2013)
    2.2  Registrant’s Specimen Certificate for Ordinary Shares (incorporated herein by reference to Exhibit 4.2 to the registration statement on Form F-1, as amended (File No. 333-192085), initially filed with the Securities and Exchange Commission on November 4, 2013)
    2.3  Form of Deposit Agreement, among the Registrant, the depositary and holders of the American Depositary Receipts (incorporated herein by reference to Exhibit 4.3 to the registration statement on Form F-1, as amended (File No. 333-192085), initially filed with the Securities and Exchange Commission on November 4, 2013)
    2.4  Investors Rights Agreement among the Registrant, Telstra Holdings Pty Ltd and certain minority shareholders of the Registrant dated November 4, 2013 (incorporated herein by reference to Exhibit 4.63 to the registration statement on Form F-1, as amended (File No. 333-192085), initially filed with the Securities and Exchange Commission on November 4, 2013)
    4.1  2011 Share Incentive Plan of the Registrant (incorporated herein by reference to Exhibit 10.1 to the registration statement on Form F-1, as amended (File No. 333-192085), initially filed with the Securities and Exchange Commission on November 4, 2013)
    4.2  2013 Share Incentive Plan of the Registrant (incorporated herein by reference to Exhibit 10.2 to the registration statement on Form F-1, as amended (File No. 333-192085), initially filed with the Securities and Exchange Commission on November 4, 2013)
    4.3  Form of Indemnification Agreement between the Registrant and its directors and officers (incorporated herein by reference to Exhibit 10.3 to the registration statement on Form F-1, as amended (File No. 333-192085), initially filed with the Securities and Exchange Commission on November 4, 2013)
    4.4  English Translation of Form of Employment Agreement between Autohome WFOE and an executive officer of the Registrant (incorporated herein by reference to Exhibit 10.4 to the registration statement on Form F-1, as amended (File No. 333-192085), initially filed with the Securities and Exchange Commission on November 4, 2013)

 

115


Table of Contents

Exhibit
Number

  

Description of Document

    4.5  Restated Exclusive Technology Consulting and Service Agreement between Autohome WFOE and Autohome Information dated June 7, 2011 (incorporated herein by reference to Exhibit 4.5 to the registration statement on Form F-1, as amended (File No. 333-192085), initially filed with the Securities and Exchange Commission on November 4, 2013)
    4.6  Exclusive Technology Consulting and Service Agreement between Autohome WFOE and Hongyuan Information dated November 8, 2010 (incorporated herein by reference to Exhibit 4.6 to the registration statement on Form F-1, as amended (File No. 333-192085), initially filed with the Securities and Exchange Commission on November 4, 2013)
    4.7  Exclusive Technology Consulting and Service Agreement between Autohome WFOE and Chengshi Advertising dated November 12, 2010 (incorporated herein by reference to Exhibit 4.7 to the registration statement on Form F-1, as amended (File No. 333-192085), initially filed with the Securities and Exchange Commission on November 4, 2013)
    4.8  Exclusive Technology Consulting and Service Agreement between Autohome WFOE and Autohome Advertising dated September 21, 2010 (incorporated herein by reference to Exhibit 4.8 to the registration statement on Form F-1, as amended (File No. 333-192085), initially filed with the Securities and Exchange Commission on November 4, 2013)
    4.9  Restated Loan Agreement between Autohome WFOE and Zhi Qin dated June 7, 2011 (incorporated herein by reference to Exhibit 4.9 to the registration statement on Form F-1, as amended (File No. 333-192085), initially filed with the Securities and Exchange Commission on November 4, 2013)
    4.10  Restated Loan Agreement between Autohome WFOE and Zheng Fan dated June 7, 2011 (incorporated herein by reference to Exhibit 4.10 to the registration statement on Form F-1, as amended (File No. 333-192085), initially filed with the Securities and Exchange Commission on November 4, 2013)
    4.11  Restated Loan Agreement between Autohome WFOE and Xiang Li dated June 7, 2011 (incorporated herein by reference to Exhibit 4.11 to the registration statement on Form F-1, as amended (File No. 333-192085), initially filed with the Securities and Exchange Commission on November 4, 2013)
    4.12  Restated Equity Option Agreement among Autohome WFOE, Autohome Information and Zhi Qin dated June 7, 2011 (incorporated herein by reference to Exhibit 4.12 to the registration statement on Form F-1, as amended (File No. 333-192085), initially filed with the Securities and Exchange Commission on November 4, 2013)
    4.13  Restated Equity Option Agreement among Autohome WFOE, Autohome Information and Zheng Fan dated June 7, 2011 (incorporated herein by reference to Exhibit 4.13 to the registration statement on Form F-1, as amended (File No. 333-192085), initially filed with the Securities and Exchange Commission on November 4, 2013)
    4.14  Restated Equity Option Agreement among Autohome WFOE, Autohome Information and Xiang Li dated June 7, 2011 (incorporated herein by reference to Exhibit 4.14 to the registration statement on Form F-1, as amended (File No. 333-192085), initially filed with the Securities and Exchange Commission on November 4, 2013)
    4.15  Equity Option Agreement among Autohome WFOE, Autohome Information and Hongyuan Information dated November 8, 2010 (incorporated herein by reference to Exhibit 4.15 to the registration statement on Form F-1, as amended (File No. 333-192085), initially filed with the Securities and Exchange Commission on November 4, 2013)

 

116


Table of Contents

Exhibit
Number

  

Description of Document

    4.16  Equity Option Agreement among Autohome WFOE, Autohome Information and Chengshi Advertising dated November 12, 2010 (incorporated herein by reference to Exhibit 4.16 to the registration statement on Form F-1, as amended (File No. 333-192085), initially filed with the Securities and Exchange Commission on November 4, 2013)
    4.17  Equity Option Agreement among Autohome WFOE, Autohome Information and Autohome Advertising dated September 21, 2010 (incorporated herein by reference to Exhibit 4.17 to the registration statement on Form F-1, as amended (File No. 333-192085), initially filed with the Securities and Exchange Commission on November 4, 2013)
    4.18  Restated Equity Interest Pledge Agreement between Autohome WFOE and Zhi Qin dated August 23, 2011 (incorporated herein by reference to Exhibit 4.18 to the registration statement on Form F-1, as amended (File No. 333-192085), initially filed with the Securities and Exchange Commission on November 4, 2013)
    4.19  Restated Equity Interest Pledge Agreement between Autohome WFOE and Zheng Fan dated August 23, 2011 (incorporated herein by reference to Exhibit 4.19 to the registration statement on Form F-1, as amended (File No. 333-192085), initially filed with the Securities and Exchange Commission on November 4, 2013)
    4.20  Restated Equity Interest Pledge Agreement between Autohome WFOE and Xiang Li dated August 23, 2011 (incorporated herein by reference to Exhibit 4.20 to the registration statement on Form F-1, as amended (File No. 333-192085), initially filed with the Securities and Exchange Commission on November 4, 2013)
    4.21  Equity Interest Pledge Agreement between Autohome WFOE and Autohome Information dated November 8, 2010 regarding Hongyuan Information (incorporated herein by reference to Exhibit 4.21 to the registration statement on Form F-1, as amended (File No. 333-192085), initially filed with the Securities and Exchange Commission on November 4, 2013)
    4.22  Equity Interest Pledge Agreement between Autohome WFOE and Autohome Information dated November 12, 2010 regarding Chengshi Advertising (incorporated herein by reference to Exhibit 4.22 to the registration statement on Form F-1, as amended (File No. 333-192085), initially filed with the Securities and Exchange Commission on November 4, 2013)
    4.23  Equity Interest Pledge Agreement between Autohome WFOE and Autohome Information dated September 21, 2010 regarding Autohome Advertising (incorporated herein by reference to Exhibit 4.23 to the registration statement on Form F-1, as amended (File No. 333-192085), initially filed with the Securities and Exchange Commission on November 4, 2013)
    4.24  Power of Attorney issued by Zhi Qin dated April 3, 2013 regarding Autohome Information (incorporated herein by reference to Exhibit 4.24 to the registration statement on Form F-1, as amended (File No. 333-192085), initially filed with the Securities and Exchange Commission on November 4, 2013)
    4.25  Power of Attorney issued by Zheng Fan dated April 3, 2013 regarding Autohome Information (incorporated herein by reference to Exhibit 4.25 to the registration statement on Form F-1, as amended (File No. 333-192085), initially filed with the Securities and Exchange Commission on November 4, 2013)
    4.26  Power of Attorney issued by Xiang Li dated April 3, 2013 regarding Autohome Information (incorporated herein by reference to Exhibit 4.26 to the registration statement on Form F-1, as amended (File No. 333-192085), initially filed with the Securities and Exchange Commission on November 4, 2013)

 

117


Table of Contents

Exhibit
Number

  

Description of Document

    4.27  Power of Attorney issued by Autohome Information dated April 3, 2013 regarding Hongyuan Information (incorporated herein by reference to Exhibit 4.27 to the registration statement on Form F-1, as amended (File No. 333-192085), initially filed with the Securities and Exchange Commission on November 4, 2013)
    4.28  Power of Attorney issued by Autohome Information dated April 3, 2013 regarding Chengshi Advertising (incorporated herein by reference to Exhibit 4.28 to the registration statement on Form F-1, as amended (File No. 333-192085), initially filed with the Securities and Exchange Commission on November 4, 2013)
    4.29  Power of Attorney issued by Autohome Information dated April 3, 2013 regarding Autohome Advertising (incorporated herein by reference to Exhibit 4.29 to the registration statement on Form F-1, as amended (File No. 333-192085), initially filed with the Securities and Exchange Commission on November 4, 2013)
    4.30  Supplementary Agreement to Exclusive Technology Consulting and Service Agreement between Hongyuan Information and Autohome WFOE dated July 22, 2011 (incorporated herein by reference to Exhibit 4.30 to the registration statement on Form F-1, as amended (File No. 333-192085), initially filed with the Securities and Exchange Commission on November 4, 2013)
    4.31  Supplementary Agreement to Exclusive Technology Consulting and Service Agreement between Autohome WFOE and Chengshi Advertising dated July 22, 2011 (incorporated herein by reference to Exhibit 4.31 to the registration statement on Form F-1, as amended (File No. 333-192085), initially filed with the Securities and Exchange Commission on November 4, 2013)
    4.32  Supplementary Agreement to Exclusive Technology Consulting and Service Agreement between Autohome Advertising and Autohome WFOE dated July 22, 2011 (incorporated herein by reference to Exhibit 4.32 to the registration statement on Form F-1, as amended (File No. 333-192085), initially filed with the Securities and Exchange Commission on November 4, 2013)
    4.33  Supplementary Agreement to Restated Exclusive Technology Consulting and Service Agreement between Autohome Information and Autohome WFOE dated July 22, 2011 (incorporated herein by reference to Exhibit 4.33 to the registration statement on Form F-1, as amended (File No. 333-192085), initially filed with the Securities and Exchange Commission on November 4, 2013)
    4.34  Exclusive Technology Consulting and Service Agreement between Autohome WFOE and Shanghai Advertising dated December 31, 2011 (incorporated herein by reference to Exhibit 4.34 to the registration statement on Form F-1, as amended (File No. 333-192085), initially filed with the Securities and Exchange Commission on November 4, 2013)
    4.35  Loan Agreement between Autohome WFOE and Zhi Qin dated December 31, 2011 (incorporated herein by reference to Exhibit 4.35 to the registration statement on Form F-1, as amended (File No. 333-192085), initially filed with the Securities and Exchange Commission on November 4, 2013)
    4.36  Loan Agreement between Autohome WFOE and Zheng Fan dated December 31, 2011 (incorporated herein by reference to Exhibit 4.36 to the registration statement on Form F-1, as amended (File No. 333-192085), initially filed with the Securities and Exchange Commission on November 4, 2013)
    4.37  Loan Agreement between Autohome WFOE and Xiang Li dated December 31, 2011 (incorporated herein by reference to Exhibit 4.37 to the registration statement on Form F-1, as amended (File No. 333-192085), initially filed with the Securities and Exchange Commission on November 4, 2013)

 

118


Table of Contents

Exhibit
Number

  

Description of Document

    4.38  Equity Option Agreement among Autohome WFOE, Shanghai Advertising and Zhi Qin dated July 2, 2012 (incorporated herein by reference to Exhibit 4.38 to the registration statement on Form F-1, as amended (File No. 333-192085), initially filed with the Securities and Exchange Commission on November 4, 2013)
    4.39  Equity Option Agreement among Autohome WFOE, Shanghai Advertising and Zheng Fan dated July 2, 2012 (incorporated herein by reference to Exhibit 4.39 to the registration statement on Form F-1, as amended (File No. 333-192085), initially filed with the Securities and Exchange Commission on November 4, 2013)
    4.40  Equity Option Agreement among Autohome WFOE, Shanghai Advertising and Xiang Li dated July 2, 2012 (incorporated herein by reference to Exhibit 4.40 to the registration statement on Form F-1, as amended (File No. 333-192085), initially filed with the Securities and Exchange Commission on November 4, 2013)
    4.41  Equity Interest Pledge Agreement between Autohome WFOE and Zhi Qin dated July 2, 2012 (incorporated herein by reference to Exhibit 4.41 to the registration statement on Form F-1, as amended (File No. 333-192085), initially filed with the Securities and Exchange Commission on November 4, 2013)
    4.42  Equity Interest Pledge Agreement between Autohome WFOE and Zheng Fan dated July 2, 2012 (incorporated herein by reference to Exhibit 4.42 to the registration statement on Form F-1, as amended (File No. 333-192085), initially filed with the Securities and Exchange Commission on November 4, 2013)
    4.43  Equity Interest Pledge Agreement between Autohome WFOE and Xiang Li dated July 2, 2012 (incorporated herein by reference to Exhibit 4.43 to the registration statement on Form F-1, as amended (File No. 333-192085), initially filed with the Securities and Exchange Commission on November 4, 2013)
    4.44  Power of Attorney issued by Zhi Qin dated April 3, 2013 regarding Shanghai Advertising (incorporated herein by reference to Exhibit 4.44 to the registration statement on Form F-1, as amended (File No. 333-192085), initially filed with the Securities and Exchange Commission on November 4, 2013)
    4.45  Power of Attorney issued by Zheng Fan dated April 3, 2013 regarding Shanghai Advertising (incorporated herein by reference to Exhibit 4.45 to the registration statement on Form F-1, as amended (File No. 333-192085), initially filed with the Securities and Exchange Commission on November 4, 2013)
    4.46  Power of Attorney issued by Xiang Li dated April 3, 2013 regarding Shanghai Advertising (incorporated herein by reference to Exhibit 4.46 to the registration statement on Form F-1, as amended (File No. 333-192085), initially filed with the Securities and Exchange Commission on November 4, 2013)
    4.47  Loan Agreement between Autohome WFOE and Zhi Qin dated July 2, 2012 (incorporated herein by reference to Exhibit 4.47 to the registration statement on Form F-1, as amended (File No. 333-192085), initially filed with the Securities and Exchange Commission on November 4, 2013)
    4.48  Loan Agreement between Autohome WFOE and Zheng Fan dated July 2, 2012 (incorporated herein by reference to Exhibit 4.48 to the registration statement on Form F-1, as amended (File No. 333-192085), initially filed with the Securities and Exchange Commission on November 4, 2013)

 

119


Table of Contents

Exhibit
Number

  

Description of Document

    4.49  Loan Agreement between Autohome WFOE and Xiang Li dated July 2, 2012 (incorporated herein by reference to Exhibit 4.49 to the registration statement on Form F-1, as amended (File No. 333-192085), initially filed with the Securities and Exchange Commission on November 4, 2013)
    4.50  Exclusive Technology Consulting and Service Agreement between Autohome WFOE and Guangzhou Advertising dated May 8, 2012 (incorporated herein by reference to Exhibit 4.50 to the registration statement on Form F-1, as amended (File No. 333-192085), initially filed with the Securities and Exchange Commission on November 4, 2013)
    4.51  Loan Agreement between Autohome WFOE and Zhi Qin dated May 8, 2012 (incorporated herein by reference to Exhibit 4.51 to the registration statement on Form F-1, as amended (File No. 333-192085), initially filed with the Securities and Exchange Commission on November 4, 2013)
    4.52  Loan Agreement between Autohome WFOE and Zheng Fan dated May 8, 2012 (incorporated herein by reference to Exhibit 4.52 to the registration statement on Form F-1, as amended (File No. 333-192085), initially filed with the Securities and Exchange Commission on November 4, 2013)
    4.53  Loan Agreement between Autohome WFOE and Xiang Li dated May 8, 2012 (incorporated herein by reference to Exhibit 4.53 to the registration statement on Form F-1, as amended (File No. 333-192085), initially filed with the Securities and Exchange Commission on November 4, 2013)
    4.54  Equity Option Agreement among Autohome WFOE, Guangzhou Advertising and Zhi Qin dated May 8, 2012 (incorporated herein by reference to Exhibit 4.54 to the registration statement on Form F-1, as amended (File No. 333-192085), initially filed with the Securities and Exchange Commission on November 4, 2013)
    4.55  Equity Option Agreement among Autohome WFOE, Guangzhou Advertising and Zheng Fan dated May 8, 2012 (incorporated herein by reference to Exhibit 4.55 to the registration statement on Form F-1, as amended (File No. 333-192085), initially filed with the Securities and Exchange Commission on November 4, 2013)
    4.56  Equity Option Agreement among Autohome WFOE, Guangzhou Advertising and Xiang Li dated May 8, 2012 (incorporated herein by reference to Exhibit 4.56 to the registration statement on Form F-1, as amended (File No. 333-192085), initially filed with the Securities and Exchange Commission on November 4, 2013)
    4.57  Equity Interest Pledge Agreement between Autohome WFOE and Zhi Qin dated May 8, 2012 (incorporated herein by reference to Exhibit 4.57 to the registration statement on Form F-1, as amended (File No. 333-192085), initially filed with the Securities and Exchange Commission on November 4, 2013)
    4.58  Equity Interest Pledge Agreement between Autohome WFOE and Zheng Fan dated May 8, 2012 (incorporated herein by reference to Exhibit 4.58 to the registration statement on Form F-1, as amended (File No. 333-192085), initially filed with the Securities and Exchange Commission on November 4, 2013)
    4.59  Equity Interest Pledge Agreement between Autohome WFOE and Xiang Li dated May 8, 2012 (incorporated herein by reference to Exhibit 4.59 to the registration statement on Form F-1, as amended (File No. 333-192085), initially filed with the Securities and Exchange Commission on November 4, 2013)

 

120


Table of Contents

Exhibit
Number

 

Description of Document

    4.60 Power of Attorney issued by Zhi Qin dated April 3, 2013 regarding Guangzhou Advertising (incorporated herein by reference to Exhibit 4.60 to the registration statement on Form F-1, as amended (File No. 333-192085), initially filed with the Securities and Exchange Commission on November 4, 2013)
    4.61 Power of Attorney issued by Zheng Fan dated April 3, 2013 regarding Guangzhou Advertising (incorporated herein by reference to Exhibit 4.61 to the registration statement on Form F-1, as amended (File No. 333-192085), initially filed with the Securities and Exchange Commission on November 4, 2013)
    4.62 Power of Attorney issued by Xiang Li dated April 3, 2013 regarding Guangzhou Advertising (incorporated herein by reference to Exhibit 4.62 to the registration statement on Form F-1, as amended (File No. 333-192085), initially filed with the Securities and Exchange Commission on November 4, 2013)
    8.1 List of Significant Subsidiaries (incorporated herein by reference to Exhibit 21.1 to the registration statement on Form F-1, as amended (File No. 333-192085), initially filed with the Securities and Exchange Commission on November 4, 2013)
  11.1* Amended and Restated Code of Business Conduct and Ethics of the Registrant
  12.1* Certification by Principal Executive Officer pursuant to Section 302 of the Sarbanes-Oxley Act of 2002
  12.2* Certification by Principal Financial Officer pursuant to Section 302 of the Sarbanes-Oxley Act of 2002
  13.1** Certification by Principal Executive Officer pursuant to Section 906 of the Sarbanes-Oxley Act of 2002
  13.2** Certification by Principal Financial Officer pursuant to Section 906 of the Sarbanes-Oxley Act of 2002
  15.1* Consent of TransAsia Lawyers
101.INS** XBRL Instance Document
101.SCH** XBRL Taxonomy Extension Schema Document
101.CAL** XBRL Taxonomy Extension Calculation Linkbase Document
101.DEF** XBRL Taxonomy Extension Definition Linkbase Document
101.LAB** XBRL Taxonomy Extension Labels Linkbase Document
101.PRE** XBRL Taxonomy Extension Presentation Linkbase Document

 

(1) * Filed with this annual report on Form 20-F
(2) ** Furnished with this annual report on Form 20-F

 

121


Table of Contents

SIGNATURES

The registrant hereby certifies that it meets all of the requirements for filing on Form 20-F and that it has duly caused and authorized the undersigned to sign this annual report on its behalf.

 

 AUTOHOME INC.
 By: 

/s/ James Zhi Qin

  Name: James Zhi Qin
  Title:   Director and Chief Executive Officer

Date: March 31, 2014

 

122


Table of Contents

AUTOHOME INC.

INDEX TO CONSOLIDATED FINANCIAL STATEMENTS

 

   Page 

Report of independent registered public accounting firm

   F-2  

Consolidated balance sheets as of December 31, 2012 and 2013

   F-3-4  

Consolidated statements of comprehensive income for the years ended December 31, 2011, 2012 and 2013

   F-5  

Consolidated statements of cash flows for the years ended December 31, 2011, 2012 and 2013

   F-6  

Consolidated statements of changes in shareholders’ equity for the years ended December  31, 2011, 2012 and 2013

   F-7  

Notes to the consolidated financial statements

   F-8-44  

 

 

F-1


Table of Contents

REPORT OF INDEPENDENT REGISTERED PUBLIC ACCOUNTING FIRM

The Board of Directors and Shareholders of Autohome Inc.

We have audited the accompanying consolidated balance sheets of Autohome Inc. (the “Company”) as of December 31, 2013 and 2012, and the related consolidated statements of comprehensive income, cash flows and changes in shareholders’ equity for each of the three years in the period ended December 31, 2013. These consolidated financial statements are the responsibility of the Company’s management. Our responsibility is to express an opinion on these consolidated financial statements based on our audits.

We conducted our audits in accordance with the standards of the Public Company Accounting Oversight Board (United States). Those standards require that we plan and perform the audit to obtain reasonable assurance about whether the financial statements are free of material misstatement. We were not engaged to perform an audit of the Company’s internal control over financial reporting. Our audits included consideration of internal control over financial reporting as a basis for designing audit procedures that are appropriate in the circumstances, but not for the purpose of expressing an opinion on the effectiveness of the Company’s internal control over financial reporting. Accordingly, we express no such opinion. An audit also includes examining, on a test basis, evidence supporting the amounts and disclosures in the financial statements, assessing the accounting principles used and significant estimates made by management, and evaluating the overall financial statement presentation. We believe that our audits provide a reasonable basis for our opinion.

In our opinion, the consolidated financial statements referred to above present fairly, in all material respects, the consolidated financial position of the Company at December 31, 2013 and 2012 and the consolidated results of its operations and its cash flows for each of the three years in the period ended December 31, 2013, in conformity with U.S. generally accepted accounting principles.

/s/ Ernst & Young Hua Ming LLP

Beijing, People’s Republic of China

March 31, 2014

 

F-2


Table of Contents

AUTOHOME INC.

CONSOLIDATED BALANCE SHEETS

AS OF DECEMBER 31, 2012 AND 2013

(Amounts in thousands of Renminbi (“RMB”) and US dollars (“US$”) except for number of shares and per share data)

 

       Note       2012   2013 
       RMB   RMB   US$ 

ASSETS

        

Current assets:

        

Cash and cash equivalents

     420,576     1,138,613     188,085  

Restricted cash

     —       245,000     40,471  

Accounts receivable (net of allowance for doubtful accounts of RMB1,161 and RMB1,253 (US$207) as of December 31, 2012 and 2013, respectively)

   4     326,071     465,712     76,930  

Prepaid expenses and other current assets

   5     12,435     13,287     2,195  

Deferred tax assets

   6     27,110     36,653     6,055  
    

 

 

   

 

 

   

 

 

 

Total current assets

     786,192     1,899,265     313,736  

Non-current assets:

        

Property and equipment, net

   7     39,858     57,897     9,564  

Intangible assets, net

   8     49,345     45,361     7,493  

Goodwill

   9     1,504,278     1,504,278     248,489  

Other non-current assets

     —       6,149     1,016  
    

 

 

   

 

 

   

 

 

 

Total non-current assets

     1,593,481     1,613,685     266,562  
    

 

 

   

 

 

   

 

 

 

Total assets

     2,379,673     3,512,950     580,298  
    

 

 

   

 

 

   

 

 

 

LIABILITIES AND SHAREHOLDERS’ EQUITY

        

Current liabilities:

        

Short-term debt (including short-term debt of consolidated variable interest entities(“VIEs”) without recourse to Beijing Cheerbright Technologies Co., Ltd. (“Autohome WFOE” or “WFOE”) of nil as of December 31, 2012 and 2013)

     —       2,358     390  

Accrued expenses and other payables (including accrued expenses and other payables of consolidated VIEs without recourse to Autohome WFOE of RMB160,175 and RMB247,516 (US$40,887) as of December 31, 2012 and 2013, respectively)

   10     213,208     324,094     53,537  

Deferred revenue (including deferred revenue of consolidated VIEs without recourse to Autohome WFOE of RMB94,392 and RMB215,580 (US$35,611) as of December 31, 2012 and 2013, respectively)

     94,392     215,580     35,611  

Income tax payable (including income tax payable of consolidated VIEs without recourse to Autohome WFOE of nil and RMB10,291 (US$1,700) as of December 31, 2012 and 2013, respectively)

     2,063     20,204     3,337  

Due to related parties (including due to related parties of consolidated VIEs without recourse to Autohome WFOE of nil as of December 31, 2012 and 2013)

   11     —       567     94  

Payable for repurchase of common stock (including payable for repurchase of common stock of consolidated VIEs without recourse to Autohome WFOE of nil as of December 31, 2012 and 2013)

   15     —       227,015     37,500  

Deferred tax liabilities (including deferred tax liabilities of consolidated VIEs without recourse to Autohome WFOE of nil as of December 31, 2012 and 2013)

   6     26,629     —       —    
    

 

 

   

 

 

   

 

 

 

Total current liabilities (including current liabilities of consolidated VIEs without recourse to Autohome WFOE of RMB254,567 and RMB473,387 (US$78,198) as of December 31, 2012 and 2013, respectively)

     336,292     789,818     130,469  
    

 

 

   

 

 

   

 

 

 

The accompanying notes are an integral part of these consolidated financial statements

 

F-3


Table of Contents

AUTOHOME INC.

CONSOLIDATED BALANCE SHEETS

AS OF DECEMBER 31, 2012 AND 2013

(Amounts in thousands of Renminbi (“RMB”) and US dollars (“US$”) except for number of shares and per share data)

 

       Note       2012   2013 
       RMB   RMB   US$ 

Non-current liabilities:

        

Other liabilities (including other liabilities of consolidated VIEs without recourse to Autohome WFOE of RMB10,852 and RMB22,253 (US$3,676) as of December 31, 2012 and 2013, respectively)

     16,568     29,041     4,797  

Deferred tax liabilities (including deferred tax liabilities of consolidated VIEs without recourse to Autohome WFOE of RMB12,181 and RMB10,816 (US$1,787) as of December 31, 2012 and 2013, respectively)

   6     468,838     481,727     79,576  
    

 

 

   

 

 

   

 

 

 

Total non-current liabilities (including non-current liabilities of consolidated VIEs without recourse to Autohome WFOE of RMB23,033 and RMB33,069 (US$5,463) as of December 31, 2012 and 2013, respectively)

     485,406     510,768     84,373  
    

 

 

   

 

 

   

 

 

 

Total liabilities (including total liabilities of consolidated VIEs without recourse to Autohome WFOE of RMB277,600 and RMB506,456 (US$83,661) as of December 31, 2012 and 2013, respectively)

     821,698     1,300,586     214,842  
    

 

 

   

 

 

   

 

 

 

Commitments and contingencies

   12        

Shareholders’ equity:

        

Ordinary shares (par value of US$0.01 per share; 100,000,000,000 shares authorized; 100, 000,000 and nil shares issued and outstanding as of December 31, 2012 and 2013, respectively)

   15     6,867     —       —    

Class A ordinary shares (par value of US$0.01 per share; 99,931,211,060 shares authorized; nil and 36,347,496 shares issued and outstanding as of December 31, 2012 and 2013, respectively)

   15     —       2,472     408  

Class B ordinary shares (par value US$0.01 per share; 68,788,940 shares authorized; nil and 68,788,940 shares issued and outstanding as of December 31, 2012 and 2013, respectively)

   15     —       4,677     773  

Additional paid-in capital

   15     1,128,314     1,949,013     321,954  

Accumulated other comprehensive income

   19     583     1,986     328  

Retained earnings

   15     422,211     254,216     41,993  
    

 

 

   

 

 

   

 

 

 

Total shareholders’ equity

     1,557,975     2,212,364     365,456  
    

 

 

   

 

 

   

 

 

 

Total liabilities and shareholders’ equity

     2,379,673     3,512,950     580,298  
    

 

 

   

 

 

   

 

 

 

The accompanying notes are an integral part of these consolidated financial statements

 

F-4


Table of Contents

AUTOHOME INC.

CONSOLIDATED STATEMENTS OF COMPREHENSIVE INCOME

FOR THE YEARS ENDED DECEMBER 31, 2011, 2012 AND 2013

(Amounts in thousands of Renminbi (“RMB”) and US dollars (“US$”) except for number of shares and per share data)

 

       Note       2011  2012  2013 
       RMB  RMB  RMB  US$ 

Net revenues:

       

Advertising services

     379,666    592,622    894,937    147,833  

Dealer subscription services

     53,523    139,898    321,611    53,126  
    

 

 

  

 

 

  

 

 

  

 

 

 

Total net revenues

     433,189    732,520    1,216,548    200,959  

Cost of revenues

   13     (130,565  (178,240  (252,236  (41,666
    

 

 

  

 

 

  

 

 

  

 

 

 

Gross profit

     302,624    554,280    964,312    159,293  

Operating expenses:

       

Sales and marketing expenses

     (67,500  (129,796  (245,228  (40,509

General and administrative expenses

     (46,547  (83,153  (82,529  (13,633

Product development expenses

     (16,459  (42,865  (81,651  (13,488
    

 

 

  

 

 

  

 

 

  

 

 

 

Operating profit

     172,118    298,466    554,904    91,663  

Interest income

     1,167    5,093    11,082    1,831  

Interest expense

     —      —      (414  (68

Other income, net

     509    310    2,884    476  
    

 

 

  

 

 

  

 

 

  

 

 

 

Income from continuing operations before income taxes

     173,794    303,869    568,456    93,902  

Income tax expense

   6     (38,348  (90,988  (112,294  (18,550
    

 

 

  

 

 

  

 

 

  

 

 

 

Income from continuing operations

     135,446    212,881    456,162    75,352  

Loss from discontinued operations

   14     (4,182  —      —      —    
    

 

 

  

 

 

  

 

 

  

 

 

 

Net income

     131,264    212,881    456,162    75,352  
    

 

 

  

 

 

  

 

 

  

 

 

 

Earnings per share for ordinary share:

       

Basic

   17     1.31    2.13    4.57    0.75  

Diluted

   17     1.31    2.12    4.37    0.72  

Shares used in earnings per share computation:

       

Ordinary shares:

       

Basic

   17     100,000,000    100,000,000    —      —    

Diluted

   17     100,189,928    100,650,652    —      —    

Class A ordinary shares

       

Basic

   17     —      —      31,109,214    31,109,214  

Diluted

   17     —      —      104,329,226    104,329,226  

Class B ordinary shares

       

Basic

   17     —      —      68,788,940    68,788,940  

Diluted

   17     —      —      68,788,940    68,788,940  

Other comprehensive income, net of tax of nil

       

Foreign currency translation adjustments

   19     —      583    1,403    232  
    

 

 

  

 

 

  

 

 

  

 

 

 

Comprehensive income

     131,264    213,464    457,565    75,584  
    

 

 

  

 

 

  

 

 

  

 

 

 

The accompanying notes are an integral part of these consolidated financial statements

 

F-5


Table of Contents

AUTOHOME INC.

CONSOLIDATED STATEMENTS OF CASH FLOWS

FOR THE YEARS ENDED DECEMBER 31, 2011, 2012 AND 2013

(Amounts in thousands of Renminbi (“RMB”) and US dollars (“US$”) except for number of shares and per share data)

 

   2011  2012  2013 
   RMB  RMB  RMB  US$ 

CASH FLOWS FROM OPERATING ACTIVITIES

   

Income from continuing operations

   135,446    212,881    456,162    75,352  

Loss from discontinued operations

   (4,182  —      —      —    

Adjustments to reconcile net income to net cash from operating activities:

     

Depreciation of property and equipment

   12,061    14,301    25,548    4,220  

Amortization of intangible assets

   23,620    10,203    6,250    1,032  

Loss on disposal of property and equipment

   174    73    90    15  

(Reversal of)/Provision for doubtful accounts

   (591  790    251    41  

Share-based compensation

   13,446    29,142    25,608    4,230  

Deferred income taxes

   (3,609  5,801    3,327    550  

Changes in operating assets and liabilities:

   

Accounts receivable

   (66,150  (123,759  (139,901  (23,110

Prepaid expenses and other current assets

   (27,851  13,045    (855  (141

Other non-current assets

   —      —      (6,149  (1,016

Accrued expenses and other payables

   51,269    63,816    97,803    16,156  

Deferred revenue

   25,564    52,931    121,188    20,019  

Income tax payable

   (5,877  (5,651  (8,469  (1,399

Due to related parties

   4,364    (4,655  567    94  

Other liabilities

   (11,559  10,597    12,473    2,060  
  

 

 

  

 

 

  

 

 

  

 

 

 

Net cash generated from operating activities

   146,125    279,515    593,893    98,103  
  

 

 

  

 

 

  

 

 

  

 

 

 

CASH FLOWS FROM INVESTING ACTIVITIES

   

Purchase of property and equipment

   (30,093  (27,734  (44,212  (7,303

Proceeds from disposal of property and equipment

   —      —      535    88  

Acquisition of intangible assets

   (1,600  —      (2,266  (374

Purchase of held-to-maturity instruments

   (98,000  —      —      —    

Proceeds from maturity of held-to-maturity instruments

   117,000    —      —      —    
  

 

 

  

 

 

  

 

 

  

 

 

 

Net cash used in investing activities

   (12,693  (27,734  (45,943  (7,589
  

 

 

  

 

 

  

 

 

  

 

 

 

CASH FLOWS FROM FINANCING ACTIVITIES

   

Increase in restricted cash

   —      —      (245,000  (40,471

Proceeds from short-term debt

   —      —      232,398    38,390  

Repayment of short-term debt

   —      —      (230,040  (38,000

Net proceeds from the issuance of Class A ordinary shares upon completion of the initial public offering (“IPO”)

   —      —      863,200    142,590  

Payments for repurchase of common stock (Note 15)

   —      —      (230,335  (38,049

Payments of dividends

   —      (44,910  (220,925  (36,494

Distribution to shareholders (Note 14)

   (94,069  —      —      —    
  

 

 

  

 

 

  

 

 

  

 

 

 

Net cash (used in)/generated from financing activities

   (94,069  (44,910  169,298    27,966  
  

 

 

  

 

 

  

 

 

  

 

 

 

Effect of exchange rate changes on cash and cash equivalent

   —      —      789    131  
  

 

 

  

 

 

  

 

 

  

 

 

 

Net increase in cash and cash equivalents

   39,363    206,871    718,037    118,611  

Cash and cash equivalents at beginning of year

   174,342    213,705    420,576    69,474  
  

 

 

  

 

 

  

 

 

  

 

 

 

Cash and cash equivalents at end of year

   213,705    420,576    1,138,613    188,085  
  

 

 

  

 

 

  

 

 

  

 

 

 

Supplemental disclosures of cash flow information:

     

Income taxes paid

   48,138    79,904    107,134    17,697  

Payable for repurchase of common stock (Note 15)

   —      —      227,015    37,500  

Capitalized IPO costs included in accrued expenses and other payables

   —      —      13,079    2,160  

The accompanying notes are an integral part of these consolidated financial statements

 

F-6


Table of Contents

AUTOHOME INC.

CONSOLIDATED STATEMENTS OF CHANGES IN SHAREHOLDERS’ EQUITY

FOR THE YEARS ENDED DECEMBER 31, 2011, 2012 AND 2013

(Amounts in thousands of Renminbi (“RMB”) and US dollars (“US$”) except for number of shares and per share data)

 

   Ordinary shares, Class A
ordinary shares and
Class B ordinary shares
  Additional
paid-in
capital
  Accumulated  other
comprehensive income
(Note 19)
   Retained
Earnings
  Total
Shareholders’
Equity
 
   Shares  Amount      
   Number  RMB  RMB  RMB   RMB  RMB 

Balance as of January 1, 2011

   100,000,000    6,867    1,396,517    —       137,421    1,540,805  

Distribution to shareholders (Note 14)

   —      —      (310,791  —       (14,445  (325,236

Net income

   —      —      —      —       131,264    131,264  

Share-based compensation

   —      —      13,446    —       —      13,446  
  

 

 

  

 

 

  

 

 

  

 

 

   

 

 

  

 

 

 

Balance as of December 31, 2011

   100,000,000    6,867    1,099,172    —       254,240    1,360,279  

Net income

   —      —      —      —       212,881    212,881  

Other comprehensive income

   —      —      —      583     —      583  

Payments of dividends

   —      —      —      —       (44,910  (44,910

Share-based compensation

   —      —      29,142    —       —      29,142  
  

 

 

  

 

 

  

 

 

  

 

 

   

 

 

  

 

 

 

Balance as of December 31, 2012

   100,000,000    6,867    1,128,314    583     422,211    1,557,975  

Net income

   —      —      —      —       456,162    456,162  

Other comprehensive income

   —      —      —      1,403     —      1,403  

Payments of dividends

   —      —      —      —       (220,925  (220,925

Repurchase and retirement of treasury stock (Note 1, Note 15)

   (3,856,564  (265  (53,853  —       (403,232  (457,350

Issuance of Class A ordinary shares upon completion of the IPO, net of offering costs (Note 15)

   8,993,000    547    848,944    —       —      849,491  

Share-based compensation

   —      —      25,608    —       —      25,608  
  

 

 

  

 

 

  

 

 

  

 

 

   

 

 

  

 

 

 

Balance as of December 31, 2013

   105,136,436    7,149    1,949,013    1,986     254,216    2,212,364  
  

 

 

  

 

 

  

 

 

  

 

 

   

 

 

  

 

 

 

Balance as of December 31, 2013, in US$

    1,181    321,954    328     41,993    365,456  
   

 

 

  

 

 

  

 

 

   

 

 

  

 

 

 

The accompanying notes are an integral part of these consolidated financial statements

 

F-7


Table of Contents

AUTOHOME INC.

NOTES TO THE CONSOLIDATED FINANCIAL STATEMENTS

(Amounts in thousands of Renminbi (“RMB”) and US dollars (“US$”) except for number of shares and per share data)

 

1.ORGANIZATION

Autohome Inc., formerly known as Sequel Limited (the “Company”), was incorporated under the laws of the Cayman Islands on June 23, 2008. Upon incorporation, the Company was 100% owned by Telstra Holdings Pty Ltd. (“Telstra”). On June 27, 2008 (the “Acquisition date”), the Company acquired Cheerbright International Holdings Ltd. (“Cheerbright”), China Topside Co., Ltd. (“China Topside”), and Norstar Advertising Media Holdings Co., Ltd. (“Norstar”), and their respective wholly foreign-owned enterprises (“WFOEs”) and variable interest entities (“VIEs”). Subsequent to the acquisition, the Company was owned 55% by Telstra, and 45% by the selling shareholders of Cheerbright, China Topside and Norstar. The Company, through its subsidiaries and VIEs (as disclosed in the table below), is principally engaged in the provision of online advertising and dealer subscription services in the People’s Republic of China (the “PRC”). In May 2012, Telstra acquired additional ordinary shares of the Company from other shareholders.

On June 14, 2011, the Company incorporated, under the laws of the Cayman Islands, a wholly-owned subsidiary, Sequel Media Inc. (“Sequel Media”). On June 30, 2011 the Company contributed all the shares of the entities that provided online advertising services to manufacturers and retailers in the information technology industry (collectively the “Distributed Entities”) to Sequel Media. On June 30, 2011, the Company distributed all the shares of Sequel Media to its shareholders. Accordingly, pursuant to ASC 205-20, Discontinued Operations, the Distributed Entities have been accounted for as a discontinued operation whereby the results of operations of these businesses have been eliminated from the results of continuing operations and reported in discontinued operations for all years presented (Note 14).

On October 8, 2011, the Shijiazhuang Industry and Commercial Bureau Company approved the termination of the business license of Shijiazhuang XinFeng Advertising Co., Ltd., formally dissolving the legal entity.

On November 4, 2013, the Company and Telstra entered into a Share Purchase Agreement with West Crest Limited, its sole shareholder and the other shareholders of the Company. Pursuant to the agreement, the Company and Telstra purchased 3,856,564 and 2,828,147 ordinary shares of the Company held by West Crest Limited for US$75 million and US$55 million, respectively, in cash to be paid in two instalments (“West Crest Limited Share Purchase”). The selling shareholder has resigned from the board of directors upon signing of the agreement. On November 15, 2013, the Company decided to retire the treasury stock purchased from West Crest.

The Company successfully completed its IPO and listing of 8,993,000 American Depositary Shares (“ADSs”) on the New York Stock Exchange on December 11, 2013, and raised net proceeds of US$142,590 from the offering. Each ADS represents one ordinary share. Upon the effectiveness of the IPO registration statement on December 11, 2013, the Company’s dual-class ordinary share structure came into effect (Note 15). Upon completion of the IPO on December 11, 2013, the Company had 105,136,436 ordinary shares outstanding comprised of 36,347,496 Class A ordinary shares and 68,788,940 Class B ordinary shares. Telstra remains our controlling shareholder holding 65.4% of the total equity interest and voting rights, respectively in the Company as of December 31, 2013.

 

F-8


Table of Contents

AUTOHOME INC.

NOTES TO THE CONSOLIDATED FINANCIAL STATEMENTS

(Amounts in thousands of Renminbi (“RMB”) and US dollars (“US$”) except for number of shares and per share data)

 

1.ORGANIZATION (CONTINUED)

 

As of December 31, 2013, the Company’s subsidiaries and VIEs where Autohome WFOE is the primary beneficiary include the following entities:

 

Entity

  

Date of incorporation

or acquisition

  Place of
incorporation
  

Percentage of

direct ownership

by the Company

  

Principal activities

Subsidiaries

        

Cheerbright International Holdings, Ltd (“Cheerbright”)

  June 13, 2006  British Virgin
Islands
  100%  Investment holding

Autohome (Hong Kong) Ltd. (“Autohome HK”)

  March 16, 2012  Hong Kong  100%  Provision of online advertising services

Autohome Media Limited (“Autohome Media”, formerly known as Prbrownies Marketing Limited)

  October 18, 2013  Hong Kong  100%  Provision of online advertising services

Beijing Cheerbright Technology Co., Ltd. (“Autohome WFOE”)

  September 1, 2006  PRC  100%  Provision of technical and consulting services

Autohome Shanghai Advertising Co., Ltd.

  September 29, 2013  PRC  100%  Provision of online advertising services

Beijing Autohome Software Co., Ltd.

  November 12, 2013  PRC  100%  Provision of information technology services

Beijing Autohome Technologies Co., Ltd.

  November 12, 2013  PRC  100%  Provision of information technology services

Beijing Autohome Advertising Co., Ltd.

  November 13, 2013  PRC  100%  Provision of online advertising services

Guangzhou Autohome Advertising Co., Ltd.

  November 25, 2013  PRC  100%  Provision of online advertising services

VIEs

        

Beijing Autohome Information Technology Co., Ltd. (“Autohome Information”)

  August 28, 2006  PRC  —    Provision of online advertising and dealer subscription services

Beijing Shengtuo Autohome Advertising Co., Ltd.

  September 21, 2010  PRC  —    Provision of online advertising services

Beijing Shengtuo Hongyuan Information Technology Co., Ltd. (“Shengtuo Hongyuan”)

  November 8, 2010  PRC  —    Provision of online advertising and dealer subscription services

Beijing Shengtuo Chengshi Advertising Co., Ltd.

  November 12, 2010  PRC  —    Provision of online advertising services

Shanghai Youche Youjia Advertising Co., Ltd. (“Shanghai Advertising”)

  December 31, 2011  PRC  —    Provision of online advertising services

Guangzhou Youche Youjia Advertising Co., Ltd. (“Guangzhou Advertising”)

  May 8, 2012  PRC  —    Provision of online advertising services

 

F-9


Table of Contents

AUTOHOME INC.

NOTES TO THE CONSOLIDATED FINANCIAL STATEMENTS

(Amounts in thousands of Renminbi (“RMB”) and US dollars (“US$”) except for number of shares and per share data)

 

1.ORGANIZATION (CONTINUED)

 

The Company, its subsidiaries and VIEs are hereinafter collectively referred to as the “Group”. The Group provides online advertising and dealer subscription services through its internet sites. These services are offered to automakers and dealers, and advertising agencies that represent automakers and dealers in the automobile industry. The Group’s principal geographic market is in the PRC. The Company does not conduct any substantive operations of its own but conducts its primary business operations through its wholly-owned subsidiaries and VIEs in the PRC.

PRC laws and regulations prohibit or restrict foreign ownership of internet content and online advertising businesses. To comply with these foreign ownership restrictions, the Company and its subsidiary operate websites and provide online advertising services and dealer subscription services in the PRC through VIEs. The paid-in capital of the VIEs was funded by the Company’s Autohome WFOE through loans extended to the VIEs’ shareholders (“Nominee Shareholders”). The effective control of the VIEs is held by Autohome WFOE, through a series of contractual arrangements (the “Contractual Arrangements”). As a result of the Contractual Arrangements, Autohome WFOE maintains the ability to control the VIEs, is entitled to substantially all of the economic benefits from the VIEs and is obligated to absorb all of the VIE’s expected losses.

Despite the lack of technical majority ownership, there exists a parent-subsidiary relationship between the Company and the VIEs through the irrevocable power of attorney agreement, whereby the Nominee Shareholders effectively assigned all of their voting rights underlying their equity interest in the VIEs to the Autohome WFOE. In addition, through the Contractual Arrangements the Company demonstrates its ability and intention to continue to exercise the ability to absorb substantially all of the expected losses and majority of the profits of the VIEs through Autohome WFOE.

Thus, the Company is also considered the primary beneficiary of the VIEs through Autohome WFOE. As a result of the above, the Company consolidates the VIEs in accordance with SEC Regulation SX-3A-02 and Accounting Standards Codification (“ASC”) 810-10 (“ASC 810-10”) Consolidation: Overall.

The following is a summary of the Contractual Arrangements:

Exclusive technical consulting and service agreements

Pursuant to the exclusive technical consulting and service agreements that have been entered into by the WFOE and the VIEs, the VIEs have engaged the WFOE as their exclusive provider of technical support and management consulting services. The VIEs shall pay to the WFOE service fees determined based on the revenues of the VIEs. The service fees can be adjusted by the WFOE unilaterally. The WFOE shall exclusively own any intellectual property arising from the performance of this agreement. This agreement has a 30 year term that can be automatically extended for another 10 years at the option of the WFOE. The agreement can only be terminated mutually by the parties in writing. During the term of the agreement, the VIEs may not enter into any agreement with third parties for the provision of any technical or management consulting services without prior consent of the WFOE.

Loan agreements

Pursuant to the loan agreements between the Nominee Shareholders of the VIEs and the WFOE, the WFOE granted interest free loans for the Nominee Shareholders’ contributions to the VIEs. The term of the loan is indefinite until the WFOE requests repayment. The manner and timing of the repayment shall be at the sole discretion of the WFOE and at the WFOE’s option may be in the form of transferring the VIEs’ equity interest to the WFOE or its designated persons.

 

F-10


Table of Contents

AUTOHOME INC.

NOTES TO THE CONSOLIDATED FINANCIAL STATEMENTS

(Amounts in thousands of Renminbi (“RMB”) and US dollars (“US$”) except for number of shares and per share data)

 

1.ORGANIZATION (CONTINUED)

 

Exclusive equity option agreements

Pursuant to the exclusive option agreements, entered into between the Nominee Shareholders of the VIEs and the WFOE, the Nominee Shareholders jointly and severally granted to the WFOE an option to purchase their equity interests in the VIEs. The purchase price will be offset against the loan repayments under the loan agreements. If the transfer price of the equity interest is greater than the loan amount, the Nominee Shareholders are required to immediately return the received transfer price in excess of the loan amount to the WFOE or any person designated by the WFOE. The WFOE may exercise such option at any time until it has acquired all equity interests of the VIEs or freely transfer the option to any third party and such third party may assume the right and obligations of the option agreement. The exclusive equity option agreements have an indefinite term and will terminate at the earlier of i) the date on which all of the equity interests have been transferred to the WFOE or any person designated by the WFOE; or ii) the unilateral termination by the WFOE.

Equity interest pledge agreements

Pursuant to the equity interest pledge agreements entered into between the Nominee Shareholders of the VIEs and the WFOE, the Nominee Shareholders pledged all of their equity interests in the VIEs to the WFOE as collateral for all of their payments due to the WFOE and to secure their obligations under the above agreements. The Nominee Shareholders may not transfer or assign the shares, the rights and obligations in the share pledge agreement or create or permit to create any pledges which may have an adverse effect on the rights or benefits of the VIEs without the WFOE’s preapproval. The WFOE is entitled to transfer or assign in full or in part the shares pledged. In the event of default, the WFOE as the pledgee will be entitled to request immediate repayment of the loan or to dispose of the pledged equity interests through transfer or assignment. There have been no dividends or distributions from inception to date. The equity interest pledge agreements have an indefinite term and will terminate after all the obligations under these agreements have been satisfied in full or the pledged equity interests have been transferred to the WFOE or its designees.

Power of attorney agreements

Pursuant to the power of attorney agreements signed between the Nominee Shareholders of the VIEs and the WFOE, the Nominee Shareholders have given the WFOE an irrevocable proxy to act on their behalf on all matters pertaining to the VIEs and to exercise all of their rights as shareholders of the VIEs, including the right to attend shareholders meetings, to exercise voting rights and to transfer all or a part of his equity interests in the VIEs.

In June 2011, the Contractual Arrangements were supplemented with the following terms:

 

 

With respect to the exclusive equity option agreements, in the event of liquidation or dissolution of the VIEs, all assets shall be sold to the WFOE at the lowest selling price permitted by applicable PRC law, and any proceeds from the transfer and any residual interests in the VIEs shall be remitted to the WFOE immediately;

 

 

With respect to the exclusive equity option agreements, dividends and distributions are not permitted without the prior consent of the WFOE, to the extent there is a dividend or distribution, the Nominee Shareholders will remit the amounts in full to the WFOE immediately;

 

F-11


Table of Contents

AUTOHOME INC.

NOTES TO THE CONSOLIDATED FINANCIAL STATEMENTS

(Amounts in thousands of Renminbi (“RMB”) and US dollars (“US$”) except for number of shares and per share data)

 

1.ORGANIZATION (CONTINUED)

 

Power of attorney agreements (continued)

 

 

With respect to the exclusive technical consulting and service agreements and loan agreements, the WFOE shall provide the necessary financial support to the VIEs whether or not the VIEs incur any losses, and not request for repayment if the VIEs are unable to do so.

The following table sets forth the assets, liabilities, and net assets of the VIEs:

 

   December 31, 
   2012   2013 
   RMB   RMB   US$ 

Current assets

   467,689     577,529     95,401  

Non-current assets

   1,591,626     1,606,709     265,409  
  

 

 

   

 

 

   

 

 

 

Total assets

   2,059,315     2,184,238     360,810  
  

 

 

   

 

 

   

 

 

 

Current liabilities

   418,471     493,710     81,555  

Non-current liabilities

   23,033     33,069     5,463  
  

 

 

   

 

 

   

 

 

 

Total liabilities

   441,504     526,779     87,018  
  

 

 

   

 

 

   

 

 

 

Net assets

   1,617,811     1,657,459     273,792  
  

 

 

   

 

 

   

 

 

 

The VIEs contributed substantially all of the Group’s consolidated net revenue and operating cash flows for the year ended December 31, 2012 and 2013. The revenue-producing assets that are held by the VIEs comprise of customer relationships, trademarks, websites, domain names and servers.

The current liabilities of the VIEs included amounts due to Autohome WFOE and Autohome HK as well as intercompany balances between the VIEs of RMB163,904 and RMB20,323 (US$3,357), for the years ended December 31, 2012 and 2013, respectively, both of which were eliminated upon consolidation by the Company. There was no pledge or collateralization of the VIEs’ assets and the WFOE has not provided any financial support that it was not previously contractually required to provide to the VIEs. Creditors of the VIEs have no recourse to the general credit of the WFOE, which is the primary beneficiary of the VIEs.

 

F-12


Table of Contents

AUTOHOME INC.

NOTES TO THE CONSOLIDATED FINANCIAL STATEMENTS

(Amounts in thousands of Renminbi (“RMB”) and US dollars (“US$”) except for number of shares and per share data)

 

2.SUMMARY OF SIGNIFICANT ACCOUNTING POLICIES

 

(a)Basis of accounting

The accompanying consolidated financial statements have been prepared in accordance with U.S. Generally Accepted Accounting Principles (“U.S. GAAP”).

 

(b)Principles of Consolidation

The consolidated financial statements include the financial statements of the Company, its subsidiaries, and the VIEs for which the Company or a subsidiary of the Company is the primary beneficiary. All significant inter-company transactions and balances between the Company, its subsidiaries, and the VIEs are eliminated upon consolidation. Results of acquired subsidiaries and VIEs are consolidated from the date on which control is transferred to the Company.

 

(c)Use of Estimates

The preparation of the consolidated financial statements in conformity with U.S. GAAP requires management to make estimates and assumptions that affect the reported amounts of assets and liabilities and disclosures of contingent assets and liabilities at the date of the consolidated financial statements and the reported amounts of revenues and expenses during the year. Areas where management uses subjective judgment include, but are not limited to, estimating the useful lives of long-lived assets and intangible assets, identifying separate accounting units and estimating rebates related to revenue transactions, assessing the initial valuation of the assets acquired and liabilities assumed in a business combination and the subsequent impairment assessment of long-lived assets, intangible assets and goodwill, determining the provision for accounts receivable, determining the value-added tax (“VAT”) receivables, accounting for deferred income taxes and accounting for the share-based compensation. The results of the continuing operations and discontinued operations are determined by using a combination of specific identification of revenues and certain costs as well as a reasonable allocation of the remaining costs using applicable cost drivers where specific identification is not determinable. Changes in facts and circumstances may result in revised estimates. Actual results could differ from those estimates, and as such, differences may be material to the consolidated financial statements.

 

(d)Foreign Currency

The functional currency of the Company and Cheerbright, is the United States dollar (“US$”), whereas the functional currency of Autohome HK and Autohome Media is the Hong Kong dollar (“HK$”), and the functional currency of the PRC subsidiaries and VIEs is the Chinese Renminbi (“RMB”) as determined based on the criteria of ASC 830, Foreign Currency Matters. The Company uses the RMB as its reporting currency. Transactions denominated in foreign currencies are re-measured into the functional currency at the exchange rates prevailing on the transaction dates. Foreign currency denominated financial assets and liabilities are re-measured at the balance sheet date exchange rate. Exchange gains and losses are included in foreign exchange gains and losses in the consolidated statements of comprehensive income.

Assets and liabilities of the Company, Cheerbright, Autohome HK and Autohome Media are translated into RMB at fiscal year-end exchange rates. Income and expense items are translated at average exchange rates prevailing during the fiscal year.

 

(e)Convenience Translation

Amounts in United States dollars (“US$”) are presented for the convenience of the reader and are translated at the noon buying rate of US$1.00 to RMB6.0537 on December 31, 2013 in the City of New York for cable transfers of RMB as certified for customs purposes by the Federal Reserve Bank of New York. No representation is made that the RMB amounts could have been, or could be, converted into US$ at such rate.

 

F-13


Table of Contents

AUTOHOME INC.

NOTES TO THE CONSOLIDATED FINANCIAL STATEMENTS

(Amounts in thousands of Renminbi (“RMB”) and US dollars (“US$”) except for number of shares and per share data)

 

2.SUMMARY OF SIGNIFICANT ACCOUNTING POLICIES (CONTINUED)

 

(f)Cash and Cash Equivalents

Cash and cash equivalents consist of cash on hand, demand deposits and time deposits placed with banks or other financial institutions which are unrestricted as to withdrawal and use and have original maturities less than three months.

 

(g)Restricted Cash

Restricted cash represents cash pledged to the bank as collateral for the Company’s loan facility. The loan facility was repaid in full on December 27, 2013 (Note 15), however, the restrictions were not fully removed as of December 31, 2013. On February 20, 2014, the restrictions were removed and the related cash balance was reclassified to cash and cash equivalents.

 

(h)Deferred IPO Costs

Direct costs incurred by the Company attributable to its IPO of ordinary shares in the United States have been deferred and recorded in other current assets and will be charged against the gross proceeds received from such offering.

 

(i)Fair Value of Financial Instruments

Financial instruments of the Group primarily comprise of cash and cash equivalents, restricted cash, held-to-maturity instruments, accounts receivable, other current assets, short-term debt, accrued expenses and other payables, payable for repurchase of common stock and due to related parties. The carrying values of these financial instruments approximated their fair values due to the short-term maturity of these instruments.

 

(j)Accounts Receivable and Allowance for Doubtful Accounts

Accounts receivable are carried at net realizable value. An allowance for doubtful accounts is recorded in the period when a loss is probable based on an assessment of specific evidence indicating troubled collection, historical experience, accounts aging and other factors. An accounts receivable balance is written off after all collection effort has ceased.

 

(k)Property and Equipment

Property and equipment are stated at cost and are depreciated using the straight-line method over the estimated useful lives of the assets, as follows:

 

Category

  

Estimated useful life

Electronic equipment  3 – 5 years
Office equipment  3 – 5 years
Motor vehicles  4 – 5 years
Purchased software  3 – 5 years
Leasehold improvements  

Shorter of lease term or the

estimated useful lives of the assets

Repair and maintenance costs are charged to expense as incurred, whereas the costs of betterments that extend the useful life of property and equipment are capitalized as additions to the related assets. Retirements, sale and disposals of assets are recorded by removing the cost and accumulated depreciation with any resulting gain or loss reflected in the consolidated statements of comprehensive income.

 

F-14


Table of Contents

AUTOHOME INC.

NOTES TO THE CONSOLIDATED FINANCIAL STATEMENTS

(Amounts in thousands of Renminbi (“RMB”) and US dollars (“US$”) except for number of shares and per share data)

 

2.SUMMARY OF SIGNIFICANT ACCOUNTING POLICIES (CONTINUED)

 

(l)Intangible Assets

Intangible assets are carried at cost less accumulated amortization and any recorded impairment. Intangible assets acquired in a business combination were recognized initially at fair value at the date of acquisition. Intangible assets with finite useful lives are amortized using a straight-line method of amortization that reflects the estimated pattern in which the economic benefits of the intangible asset are to be consumed. The estimated useful life for the intangible assets is as follows:

 

Category

  

Estimated useful life

Trademark  15 years
Customer relationship  5 years
Websites  4 years
Domain names  4 years
Licensing agreements  1.75 years

 

(m)Goodwill

Goodwill represents the excess of the purchase price over the amounts assigned to the fair value of the assets acquired and the liabilities assumed of an acquired business. The Group’s goodwill at December 31, 2012 and 2013 were related to its acquisition of Cheerbright, China Topside and Norstar. In accordance with ASC 350, Goodwill and Other Intangible Assets, recorded goodwill amounts are not amortized, but rather are tested for impairment annually or more frequently if there are indicators of impairment present.

Goodwill is tested for impairment at the reporting unit level on an annual basis (December 31 for the Company) and between annual tests if an event occurs or circumstances change that would more-likely-than-not reduce the fair value of a reporting unit below its carrying value. These events or circumstances include a significant change in our stock prices, business environment, legal factors, financial performances, competition, or events affecting our reporting unit. Application of the goodwill impairment test requires judgment, including the identification of reporting units, assignment of assets and liabilities to reporting units, assignment of goodwill to reporting units, and determination of the fair value of each reporting unit. The estimation of fair value of reporting unit using a discounted cash flow methodology also requires significant judgments, including estimation of future cash flows, which is dependent on internal forecasts, estimation of the long-term rate of growth for the Company’s business, estimation of the useful life over which cash flows will occur, and determination of the Company’s weighted average cost of capital. The estimates used to calculate the fair value of a reporting unit change from year to year based on operating results and market conditions. Changes in these estimates and assumptions could materially affect the determination of fair value and goodwill impairment for the reporting unit.

The Company adopted Accounting Standards Update (“ASU”) 2011-08, Testing Goodwill for Impairment, to test goodwill for impairment. This ASU permits the Company to first assess qualitative factors to determine whether it is “more-likely-than-not” that the fair value of a reporting unit is less than its carrying amount as a basis for determining whether it is necessary to perform the two-step goodwill impairment test. If the Company determines, on the basis of qualitative factors, that the fair value of a reporting unit is more likely than not less than the carrying amount, a two-step impairment test is required. Otherwise, further testing is not needed. The first step compares the fair value of each reporting unit to its carrying amount, including goodwill. Fair value is primarily determined by computing the future discounted cash flows expected to be generated by the reporting unit. If the fair value of each reporting unit exceeds its carrying amount, goodwill is not considered to be impaired and the second step will not be required. If the carrying amount of a reporting unit exceeds its fair value, the second step compares the implied fair value of goodwill to the carrying value of a reporting unit’s goodwill. The implied fair value of goodwill is determined in a manner similar to accounting for a business combination with the allocation of the assessed fair value determined in the first step to the assets and liabilities of the reporting unit. The excess of the fair value of the reporting unit over the amounts assigned to the assets and liabilities is the implied fair value of goodwill. The Company has an unconditional option to bypass the qualitative assessment in any period and proceed directly to performing the two-step impairment test.

Management has determined that the Group represents the lowest level within the entity at which goodwill is monitored for internal management purposes. Based on an assessment of the qualitative factors, management determined that it is more-likely-than-not that the fair value of the reporting unit is in excess of its carrying amount. Therefore, management concluded that it was not necessary to proceed to the two-step goodwill impairment test. No impairment loss was recorded for any of the years presented.

If the Group reorganizes its reporting structure in a manner that changes the composition of one or more of its reporting units, goodwill is reassigned based on the relative fair value of each of the affected reporting units.

 

F-15


Table of Contents

AUTOHOME INC.

NOTES TO THE CONSOLIDATED FINANCIAL STATEMENTS

(Amounts in thousands of Renminbi (“RMB”) and US dollars (“US$”) except for number of shares and per share data)

 

2.SUMMARY OF SIGNIFICANT ACCOUNTING POLICIES (CONTINUED)

 

(n)Impairment of Long-Lived Assets and Intangibles

The Group evaluates its long-lived assets or asset group, including intangible assets with finite lives, for impairment whenever events or changes in circumstances (such as a significant adverse change to market conditions that will impact the future use of the assets) indicate that the carrying amount of an asset or a group of long-lived assets may not be recoverable. When these events occur, the Group evaluates impairment by comparing the carrying amount of the assets to future undiscounted net cash flows expected to result from the use of the assets and their eventual disposition. If the sum of the expected undiscounted cash flow is less than the carrying amount of the assets, the Group would recognize an impairment loss based on the excess of the carrying amount of the asset group over its fair value. No impairment charge was recorded for any of the years presented.

 

(o)Revenue Recognition

The Group’s revenue is primarily derived from online advertising and dealer subscription services. Revenue is recognized only when the price is fixed or determinable, persuasive evidence of an arrangement exists, the service is performed and collectability of the related fee is reasonably assured based on the guidance in ASC 605, Revenue Recognition.

Contracts are signed to establish significant terms such as the price and online advertising services to be provided. The Group considers the price for its services to be fixed and determinable when the Group and its customers have signed the contracts. The Group assesses the creditworthiness of its customers prior to signing the contracts to ensure collectability is reasonably assured. Non-refundable payments received before all of the relevant criteria for revenue recognition are satisfied are recorded as deferred revenue.

Advertising services

The Group provides online advertising services to automakers, dealers and agency companies that represent automakers and dealers. The majority of the Group’s online advertising service arrangements involve multiple deliverables such as banner advertisements, links and logos, other media insertions and promotional activities that are delivered over different periods of time. Multiple contracts with the same customers are accounted for as separate arrangements if the contracts are not linked together in a single transaction. Historically, the Company has not entered into multiple contracts with the same counterparty that should be combined and accounted for as a single arrangement.

In determining its best estimated selling price for each deliverable, the Group considered its overall pricing model and objectives, as well as market or competitive conditions that may impact the price at which the Group would transact if the deliverable were sold regularly on a standalone basis. The Group monitors the conditions that affect its determination of selling price for each deliverable and reassesses such estimates periodically. Revenue is recognized rateably when the advertisements are published over the stated display period in the case of websites or when the services have been rendered in the case of promotional activities. The amount recognized is limited to the amount that is not contingent upon the delivery of additional deliverables or meeting other specified performance conditions

Dealer subscription services

The Group provides subscription services to automakers, dealers and agency companies. The Group makes available throughout the subscription period a webpage linked to its websites where the dealers can publish information such as the pricing of their products, locations and addresses and other related information. Revenue is recognized rateably as services are provided over the subscription period.

 

F-16


Table of Contents

AUTOHOME INC.

NOTES TO THE CONSOLIDATED FINANCIAL STATEMENTS

(Amounts in thousands of Renminbi (“RMB”) and US dollars (“US$”) except for number of shares and per share data)

 

2.SUMMARY OF SIGNIFICANT ACCOUNTING POLICIES (CONTINUED)

 

(o)Revenue Recognition(continued)

 

Rebates to customers

The Group provides cash incentives in the form of rebates to agency companies based on cumulative annual advertising and service volume. The Group estimates its obligations under such agreements based on an evaluation of the likelihood of the agency companies’ achievement of the advertising and service volume targets, giving consideration to the actual activity during the incentive period and, as appropriate, evaluation of the agency companies purchase trends and history. Estimated rebates are recorded as a reduction of revenue in the period revenue is recognized in the Group’s consolidated financial statements. The Group has estimated and recorded rebates to agency companies which amounted to RMB109,573, RMB153,388 and RMB231,136 (US$38,181) for the years ended December 31, 2011, 2012 and 2013, respectively.

 

(p)Cost of Revenues

Cost of revenues consist primarily of bandwidth and internet data centre fees, depreciation of the Group’s long lived assets, amortization of acquired intangible assets, VAT, business tax and surcharges and content related costs. Content related costs primarily comprise salaries and benefits for employees directly involved in revenue generation activities and other overhead expenses directly attributable to the provision of the online advertising and dealer subscription services.

The Group’s business is subject to VAT, business taxes, surcharges and cultural construction fees levied on advertising related sales in China. Pursuant to ASC 605-45, Revenue Recognition—Principal Agent Considerations, the group elected to present VAT, business taxes, surcharges and cultural construction fees as cost of revenues on the consolidated statements of comprehensive income. For the years ended December 31, 2012 and 2013, the Company’s PRC subsidiaries and its VIEs are subject to a 6% VAT.

 

(q)Advertising Expenditures

Advertising expenditures which amounted to RMB18,830, RMB37,858 and RMB86,198 (US$14,239) for the years ended December 31, 2011, 2012 and 2013, respectively, are expensed as incurred and are included in sales and marketing expenses.

 

(r)Product Development Expenses

Product development expenses consist primarily of employee costs related to personnel involved in the development and enhancement of the Group’s service offerings on its websites. The Group recognizes these costs as expenses when incurred, unless they result in significant additional functionality in the Group’s websites, in which case they are capitalized. No costs were capitalized during any of the years presented.

 

(s)Leases

Leases are classified at the inception date as either a capital lease or an operating lease. The Group assesses a lease to be a capital lease if any of the following conditions exist: a) ownership is transferred to the lessee by the end of the lease term, b) there is a bargain purchase option, c) the lease term is at least 75% of the property’s estimated remaining economic life or d) the present value of the minimum lease payments at the beginning of the lease term is 90% or more of the fair value of the leased property to the lessor at the inception date. A capital lease is accounted for as if there was an acquisition of an asset and an incurrence of an obligation at the inception of the lease. The Group has no capital leases for the years presented.

All other leases are accounted for as operating leases wherein rental payments are expensed on a straight-line basis over the periods of their respective lease terms. The Group leases office space and employee accommodation under operating lease agreements. Certain of the lease agreements contain rent holidays. Rent holidays are considered in determining the straight-line rent expense to be recorded over the lease term. The lease term begins on the date of initial possession of the lease property for purposes of recognizing lease expense on straight-line basis over the term of the lease.

 

F-17


Table of Contents

AUTOHOME INC.

NOTES TO THE CONSOLIDATED FINANCIAL STATEMENTS

(Amounts in thousands of Renminbi (“RMB”) and US dollars (“US$”) except for number of shares and per share data)

 

2.SUMMARY OF SIGNIFICANT ACCOUNTING POLICIES (CONTINUED)

 

(t)Income Taxes

The Group accounts for income taxes using the liability method. Under this method, deferred tax assets and liabilities are determined based on the difference between the financial reporting and tax bases of assets and liabilities using enacted tax rates that will be in effect in the period in which the differences are expected to reverse. The Group records a valuation allowance against deferred tax assets if, based on the weight of available evidence, it is more-likely-than-not that some portion, or all, of the deferred tax assets will not be realized. The effect on deferred taxes of a change in tax rates is recognized in income in the period that includes the enactment date.

The Group applies ASC 740, Accounting for Income Taxes, to account for uncertainty in income taxes. ASC 740 prescribes a recognition threshold a tax position is required to meet before being recognized in the financial statements. The Group has recorded unrecognized tax benefits in the other liabilities line item in the accompanying consolidated balance sheets. The Group has elected to classify interest and penalties related to unrecognized tax benefits, if and when required, as part of “income tax expense”, in the consolidated statements of comprehensive income.

The Group’s estimated liability for unrecognized tax benefits and the related interest and penalties are periodically assessed for adequacy and may be affected by changing interpretations of laws, rulings by tax authorities, changes and/or developments with respect to tax audits, and expiration of the statute of limitations. The actual benefits ultimately realized may differ from the Group’s estimates. As each audit is concluded, adjustments, if any, are recorded in the Company’s consolidated financial statements. Additionally, in future periods, changes in facts and circumstances, and new information may require the Group to adjust the recognition and measurement estimates with regard to individual tax positions. Changes in recognition and measurement estimates are recognized in the period in which they occur.

 

(u)Discontinued Operations

In accordance with ASC 205-20, Discontinued Operations, when a component of an entity has been disposed of and the Group will no longer have significant continuing involvement in the operations of the component, the results of its operations should be classified as discontinued operations in the consolidated statements of comprehensive income for all years presented.

 

(v)Treasury Stock

The Company accounts for treasury stock repurchases at cost in accordance to ASC 505-30, Treasury Stock. When a corporation’ s stock is retired, an excess of repurchase price over par value may be allocated between additional paid in capital and retained earnings.

 

(w)Earnings Per Share

Earnings per share are calculated in accordance with ASC 260-10, Earnings per Share: Overall. Basic earnings per share are computed by dividing net income attributable to holders of ordinary shares by the weighted average number of ordinary shares outstanding during the year using the two-class method. Under the two-class method, net income is allocated between the Class A and Class B ordinary shares based on their participating rights in undistributed earnings as if all the earnings for the reporting period had been distributed.

Diluted earnings per ordinary share reflects the potential dilution that could occur if securities to issue ordinary shares were exercised. The dilutive effect of outstanding share-based awards is reflected in the diluted earnings per share by application of the treasury stock method. The computation of the dilutive net income per share of Class A ordinary share assumes the conversion of Class B ordinary shares, while the diluted income per share of Class B ordinary share does not assume the conversion of those shares.

The participating rights (liquidation and dividend rights) of the holders of the Company’s Class A and Class B ordinary shares are identical, except with respect to voting and conversion. As a result, and in accordance with ASC 260, the undistributed income for each year is allocated based on the contractual participating rights of the Class A and Class B ordinary shares as if the income for the year had been distributed. As the participating rights are identical, the undistributed income is allocated on a proportionate basis.

 

F-18


Table of Contents

AUTOHOME INC.

NOTES TO THE CONSOLIDATED FINANCIAL STATEMENTS

(Amounts in thousands of Renminbi (“RMB”) and US dollars (“US$”) except for number of shares and per share data)

 

2.SUMMARY OF SIGNIFICANT ACCOUNTING POLICIES (CONTINUED)

 

(x)Comprehensive Income

Comprehensive income is defined to include all changes in shareholders’ equity except those resulting from investments by owners and distributions to owners. Among other disclosures, ASC 220-10, Comprehensive Income: Overall requires that all items that are required to be recognized under current accounting standards as components of comprehensive income be reported in a financial statement that is displayed with the same prominence as other financial statements. For each of the periods presented, the Company’s comprehensive income includes foreign currency translation adjustments and is presented in the consolidated statement of comprehensive income. The Company adopted ASU No. 2013-02, Comprehensive Income (Topic 220) (“ASU 2013-02”) in January 2013.There was no material impact to the Company’s consolidated financial statements upon adoption because there were no reclassifications out of accumulated other comprehensive income to net income for the periods presented.

 

(y)Segment Reporting

In accordance with ASC 280-10, Segment Reporting: Overall, the Group’s chief operating decision maker has been identified as the Chief Executive Officer who reviews the consolidated results of operations when making decisions about allocating resources and assessing performance of the Group as a whole; hence, the Group has only one operating segment. The Group does not distinguish between markets or segments for the purpose of internal reporting. As the Group’s long-lived assets and revenue are substantially located in and derived from the PRC, no geographical segments are presented.

 

(z)Employee Benefits

The full-time employees of the Company’s PRC subsidiaries and VIEs are entitled to staff welfare benefits including medical care, housing fund, pension benefits and unemployment insurance, which are governmental mandated defined contribution plans. These entities are required to accrue for these benefits based on certain percentages of the employees’ respective salaries, subject to certain ceilings, in accordance with the relevant PRC regulations, and make cash contributions to the state-sponsored plans out of the amounts accrued. The total expenses for the employee benefits plans were RMB9,717, RMB13,666 and RMB23,410 (US$3,867) for the years ended December 31, 2011, 2012 and 2013, respectively.

 

(aa)Share-based Compensation

Share-based awards granted to employees are accounted for under ASC 718, Compensation—Stock Compensation awards, which requires that share-based awards granted to employees be measured based on the grant date fair value and recognized as compensation expense over the requisite service period (which is generally the vesting period) in the consolidated statements of comprehensive income. The Company has elected to recognize compensation expense using the straight-line method for all share-based awards granted with service conditions that have a graded vesting schedule. ASC 718 requires forfeitures to be estimated at the time of grant and revised, if necessary, in subsequent periods if actual forfeitures differ from initial estimates.

Forfeiture rates are estimated based on historical and future expectations of employee turnover rates and are adjusted to reflect future changes in circumstances and facts, if any. Share-based compensation expense is recorded net of estimated forfeitures such that expense is recorded only for those share-based awards that are expected to vest. To the extent the Company revises these estimates in the future, the share-based payments could be materially impacted in the period of revision, as well as in following periods. The Company, with the assistance of an independent third party valuation firm, determined the fair value of the stock options granted to employees. The binomial option pricing model was applied in determining the estimated fair value of the options granted to employees prior to the company of IPO.

 

F-19


Table of Contents

AUTOHOME INC.

NOTES TO THE CONSOLIDATED FINANCIAL STATEMENTS

(Amounts in thousands of Renminbi (“RMB”) and US dollars (“US$”) except for number of shares and per share data)

 

2.SUMMARY OF SIGNIFICANT ACCOUNTING POLICIES (CONTINUED)

 

(bb)Recent Accounting Pronouncements

In March 2013, the Financial Accounting Standards Board issued Accounting Standards Update (“ASU”)No. 2013-05 (“ASU 2013-05”),Parent’s Accounting for the Cumulative Translation Adjustment upon Derecognition of Certain Subsidiaries or Groups of Assets within a Foreign Entity or of an Investment in a Foreign Entity, which specifies that a cumulative translation adjustment (“CTA”) should be released into earnings when an entity ceases to have a controlling financial interest in a subsidiary or group of assets within a consolidated foreign entity and the sale or transfer results in the complete or substantially complete liquidation of the foreign entity. For sales of an equity method investment that is a foreign entity, a pro rata portion of CTA attributable to the investment would be recognized in earnings when the investment is sold. When an entity sells either a part or all of its investment in a consolidated foreign entity, CTA would be recognized in earnings only if the sale results in the parent no longer having a controlling financial interest in the foreign entity. In addition, CTA should be recognized in earnings in a business combination achieved in stages. For public entities, ASU 2013-05 is effective for reporting periods beginning after December 15, 2013, with early adoption permitted. The Company will adopt ASU 2013-05 on January 1, 2014 and does not expect the adoption to have a material impact on its consolidated financial statements.

In July 2013, the FASB issued ASU No. 2013-11, Income Taxes (Topic 740) (“ASU 2013-11”) to provide guidance on the financial statement presentation of an unrecognized tax benefit when a net operating loss carryforward, similar tax loss, or tax credit carryforward exists. This ASU requires an unrecognized tax benefit, or a portion of an unrecognized tax benefit, to be presented in the financial statements as a reduction to a deferred tax asset for a net operating loss carryforward, a similar tax loss, or a tax credit carryforward, with certain exceptions. The modifications to ASC Topic 740 resulting from the issuance of ASU 2013-11 are effective for fiscal years beginning after December 15, 2013 and interim periods within those years. Early adoption is permitted. The Group will adopt ASU 2013-11 on January 1, 2014. Starting January 1, 2014, the Company will present an unrecognized tax benefit or a portion of an unrecognized tax benefit as deduction of deferred tax assets if applicable.

 

F-20


Table of Contents

AUTOHOME INC.

NOTES TO THE CONSOLIDATED FINANCIAL STATEMENTS

(Amounts in thousands of Renminbi (“RMB”) and US dollars (“US$”) except for number of shares and per share data)

 

3.CONCENTRATION OF RISKS

 

(a)Credit risk

Financial instruments that potentially subject the Group to significant concentrations of credit risk consist primarily of cash and cash equivalents, restricted cash and accounts receivable. As of December 31, 2012 and 2013, RMB420,576 and RMB1,383,613 (US$228,556), respectively, were deposited with various major reputable financial institutions located in the PRC and international financial institutions outside of the PRC. Management believes that these financial institutions are of high credit quality and continually monitors the credit worthiness of these financial institutions. Historically, deposits in Chinese banks are secure due to the state policy on protecting depositors’ interests. However, China promulgated a new Bankruptcy Law in August 2006 that came into effect on June 1, 2007, which contains a separate article expressly stating that the State Council may promulgate implementation measures for the bankruptcy of Chinese banks based on the Bankruptcy Law. Under the new Bankruptcy Law, a Chinese bank may go into bankruptcy. In addition, since China’s concession to the World Trade Organization, foreign banks have been gradually permitted to operate in China and have been significant competitors against Chinese banks in many aspects, especially since the opening of the Renminbi business to foreign banks in late 2006. Therefore, the risk of bankruptcy of those Chinese banks in which the Group has deposits has increased. In the event of bankruptcy of one of the banks which holds the Group’s deposits, it is unlikely to claim its deposits back in full since it is unlikely to be classified as a secured creditor based on PRC laws. The Group continues to monitor the financial strength of these financial institutions.

Accounts receivable are typically unsecured and derived from revenue earned from customers in the PRC, which are exposed to credit risk. The risk is mitigated by the Group’s assessment of its customers’ creditworthiness and its ongoing monitoring process of outstanding balances. The Group maintains reserves for estimated credit losses and these losses have generally been within expectations. There were no and one customer that individually represented greater than 10% of the total accounts receivable as of December 31, 2012 and 2013, respectively.

 

(b)Business, customer, political, social and economic risks

The Group participates in a dynamic high technology industry and believes that changes in any of the following areas could have a material adverse effect on the Group’s future financial position, results of operations or cash flows; changes in the overall demand for services and products; changes in business offerings; competitive pressures due to new entrants; acceptance of the Internet as an effective marketing platform by China’s automotive industry; changes in certain strategic relationships or customer relationships; growth in China’s automotive industry, regulatory considerations; and risks associated with the Group’s ability to attract and retain employees necessary to support its growth.

There was one customer that individually represented greater than 10% of the total net revenue from continuing operations for the year ended December 31, 2011. There were no customers that individually represented greater than 10% of the total net revenue from continuing operations for the years ended December 31, 2012 and 2013, respectively.

Internet and advertising related businesses are subject to significant restrictions under current PRC laws and regulations. Specifically, foreign investors are not allowed to own more than a 50% equity interest in any Internet Content Provider (“ICP”) business. In addition, PRC regulations require any foreign entities that invest in the advertising services industry to have at least a two-year track record with a principal business in the advertising industry outside of China.

 

F-21


Table of Contents

AUTOHOME INC.

NOTES TO THE CONSOLIDATED FINANCIAL STATEMENTS

(Amounts in thousands of Renminbi (“RMB”) and US dollars (“US$”) except for number of shares and per share data)

 

3.CONCENTRATION OF RISKS (CONTINUED)

 

(b)Business, customer, political, social and economic risks (continued)

 

Currently, the Group conducts its operations in China through Contractual Arrangements entered between the Autohome WFOE and VIEs. The relevant regulatory authorities may find the current contractual arrangements and businesses to be in violation of any existing or future PRC laws or regulations. If the Company or any of its current or future VIEs or subsidiaries are found in violation of any existing or future laws or regulations, or fail to obtain or maintain any of the required permits or approvals, the relevant PRC regulatory authorities would have broad discretion in dealing with such violations, including levying fines, confiscating the income of Autohome WFOE, Shanghai Advertising, Guangzhou Advertising, Autohome Information and its subsidiaries, revoking the business licenses or operating licenses of Autohome WFOE, Shanghai Advertising, Guangzhou Advertising, Autohome Information and its subsidiaries, shutting down the Group’s servers or blocking the Group’s websites, discontinuing or placing restrictions or onerous conditions on the Group’s operations, requiring the Group to undergo a costly and disruptive restructuring, restricting the Group’s rights to use the proceeds from this offering to finance the Group’s business and operations in China, or enforcement actions that could be harmful to the Group’s business. Any of these actions could cause significant disruption to the Group’s business operations and severely damage the Group’s reputation, which would in turn materially and adversely affect the Group’s business and results of operations. In addition, if the imposition of any of these penalties causes the Company to lose the rights to direct the actives of VIEs or the Company’s right to receive their economic benefits, the Company would no longer be able to consolidate the VIEs.

In addition, if Shanghai Advertising, Guangzhou Advertising, Autohome Information and its subsidiaries or their shareholders fail to perform their obligations under the Contractual Arrangements, the Company may have to incur substantial costs and expend resources to enforce the Company’s rights under the contracts. The Company may have to rely on legal remedies under PRC law, including seeking specific performance or injunctive relief and claiming damages, which may not be effective. All of these Contractual Arrangements are governed by PRC law and provide for the resolution of disputes through arbitration in the PRC. Accordingly, these contracts would be interpreted in accordance with PRC law and any disputes would be resolved in accordance with PRC legal procedures. The legal system in PRC is not as developed as in other jurisdictions, such as United States. As a result, uncertainties in the PRC legal system could limit the Company’s ability to enforce these Contractual Arrangements. Under PRC law, rulings by arbitrators are final, parties cannot appeal the arbitration results in courts, and prevailing parties may only enforce the arbitration awards in PRC courts through arbitration award recognition proceedings, which would incur additional expenses and delay. In the event the Company is unable to enforce these Contractual Arrangements, the Company may not be able to exert effective control over its VIEs, and the Company’s ability to conduct its business may be negatively affected.

Based on the advice of the Company’s PRC legal counsel, the corporate structure and Contractual Arrangements of our VIEs and our WOFE in China are in compliance with all existing PRC laws and regulations. Therefore, in the opinion of management, (i) the ownership structure of the Company and the VIEs are in compliance with existing PRC laws and regulations; (ii) the Contractual Arrangements with VIEs and their nominee shareholder are valid and binding, and will not result in any violation of PRC laws or regulations currently in effect; and (iii) the Group’s business operations are in compliance with existing PRC law and regulations in all material respects.

 

F-22


Table of Contents

AUTOHOME INC.

NOTES TO THE CONSOLIDATED FINANCIAL STATEMENTS

(Amounts in thousands of Renminbi (“RMB”) and US dollars (“US$”) except for number of shares and per share data)

 

3.CONCENTRATION OF RISKS (CONTINUED)

 

(c)Currency convertibility risk

The Group transacts substantially all its business in RMB, which is not freely convertible into foreign currencies. On January 1, 1994, the PRC government abolished the dual-rate system and introduced a single rate of exchange as quoted daily by the People’s Bank of China (the “PBOC”). However, the unification of the exchange rates does not imply that the RMB may be readily convertible into US$ or other foreign currencies. All foreign exchange transactions continue to take place either through the PBOC or other banks authorized to buy and sell foreign currencies at the exchange rates quoted by the PBOC. Approval of foreign currency payments by the PBOC or other institutions requires submitting a payment application form together with suppliers’ invoices, shipping documents and signed contracts.

As of December 31, 2013, cash and cash equivalents in PRC were held by PRC subsidiaries and the VIEs. Cash and cash equivalents of PRC subsidiaries and VIEs are all denominated in RMB and amounted to RMB394,345 (US$65,141) and RMB99,307 (US$16,404), respectively. Cash distributed outside of the PRC by PRC subsidiaries and the VIEs may be subject to PRC dividend withholding tax.

 

(d)Foreign currency exchange rate risk

Since July 21, 2005, the RMB was permitted to fluctuate within a narrow and managed band against a basket of certain foreign currencies. The appreciation of the RMB against US$ was approximately 4.9%, 1.0% and 2.9% in the years ended December 31, 2011, 2012 and 2013, respectively. While the international reaction to the appreciation of the RMB has generally been positive, there remains significant international pressure on the PRC Government to adopt an even more flexible currency policy, which could result appreciation or depreciation of the RMB against the US$.

 

F-23


Table of Contents

AUTOHOME INC.

NOTES TO THE CONSOLIDATED FINANCIAL STATEMENTS

(Amounts in thousands of Renminbi (“RMB”) and US dollars (“US$”) except for number of shares and per share data)

 

4.ACCOUNTS RECEIVABLE, NET

Accounts receivable and allowance for doubtful accounts consist of the following:

 

   December 31, 
   2012  2013 
   RMB  RMB  US$ 

Accounts receivable

   327,232    466,965    77,137  

Allowance for doubtful accounts

   (1,161  (1,253  (207
  

 

 

  

 

 

  

 

 

 

Total

   326,071    465,712    76,930  
  

 

 

  

 

 

  

 

 

 

As of December 31, 2012 and 2013, all accounts receivable were due from third party customers.

An analysis of the allowance for doubtful accounts is as follows:

 

   December 31, 
   2012   2013 
   RMB   RMB  US$ 

Beginning balance

           371         1,161         192  

Additions charged to bad debt expense

   790     251    41  

Write off

   —       (159  (26
  

 

 

   

 

 

  

 

 

 

Ending balance

   1,161     1,253    207  
  

 

 

   

 

 

  

 

 

 

The Group recognized additions to allowance for doubtful accounts related to continuing operations amounting to RMB206, RMB790 and RMB251 (US$41) within general and administrative expenses, for the years ended December 31, 2011, 2012 and 2013, respectively.

 

5.PREPAID EXPENSES AND OTHER CURRENT ASSETS

Prepaid expenses and other current assets consist of the following:

 

   December 31, 
   2012   2013 
   RMB   RMB   US$ 

Rental deposits

          1,948         2,105          348  

Advance to suppliers

   9,322     7,769     1,283  

Staff advances

   229     867     143  

Other receivables

   936     2,546     421  
  

 

 

   

 

 

   

 

 

 
   12,435     13,287     2,195  
  

 

 

   

 

 

   

 

 

 

 

F-24


Table of Contents

AUTOHOME INC.

NOTES TO THE CONSOLIDATED FINANCIAL STATEMENTS

(Amounts in thousands of Renminbi (“RMB”) and US dollars (“US$”) except for number of shares and per share data)

 

6.TAXATION

Enterprise income tax

Cayman Islands

The Company is incorporated in the Cayman Islands and conducts substantially all of its business through its PRC subsidiaries and VIEs. Under the current laws of the Cayman Islands, the Company is not subject to tax on income or capital gains. In addition, upon payments of dividends by these entities to their shareholders, no Cayman Islands withholding tax will be imposed.

British Virgin Islands

Cheerbright is incorporated in the British Virgin Islands and conducts substantially all of its businesses through its PRC subsidiary and VIEs. Under the current laws of the British Virgin Islands, Cheerbright is not subject to tax on income or capital gains. In addition, upon payments of dividends by these entities to their shareholders, no British Virgin Islands withholding tax will be imposed.

Hong Kong

Autohome HK is incorporated in Hong Kong on March 16, 2012. In October 2013, Autohome HK acquired Autohome Media, a Hong Kong advertising and marketing company. Companies registered in Hong Kong are subject to Hong Kong Profits Tax on the taxable income as reported in their respective statutory financial statements adjusted in accordance with relevant Hong Kong tax laws. The applicable tax rate is 16.5% in Hong Kong. For the years ended December 31, 2011, 2012 and 2013, the Company did not make any provisions for Hong Kong profit tax as there were no assessable profits derived from or earned in Hong Kong during this period. Under the Hong Kong tax law, Autohome HK and Autohome Media are exempted from income tax on its foreign-derived income and there are no withholding taxes in Hong Kong on remittance of dividends.

The PRC

Prior to January 1, 2008, pursuant to the Provisional Regulations of the PRC on Enterprise Income Tax and the Income Tax Law of the PRC for Foreign Invested Enterprises (“FIEs”) and Foreign Enterprises, the Company’s VIEs of which Autohome WFOE is the primary beneficiary, were subject to PRC enterprise income tax (“EIT”) at a statutory rate of 33% on taxable income. On March 16, 2007, the National People’s Congress enacted the Enterprise Income Tax Law (“the New EIT Law”), effective on January 1, 2008. The New EIT Law unified the previously-existing separate income tax laws for domestic enterprises and FIEs and adopted a unified 25% enterprise income tax rate applicable to all resident enterprises in China, except for certain entities eligible for preferential tax rates and grandfather rules stipulated by the New EIT Law.

In September 2010, Autohome WFOE has been recognized as a “High-New Technology Enterprise” (“HNTE”), and is eligible for a 15% preferential tax rate effective from 2010 to 2012 and thereafter for an additional three years through an administrative renewal process if it qualifies. Autohome WFOE met the HNTE requirements and completed the administrative renewal process in November 2013, qualifying them for a 15% preferential tax rate for three years from 2013 to 2015.

The Company’s remaining PRC subsidiaries and all the VIEs were subject to EIT at a rate of 25% for the years ended December 31, 2011, 2012 and 2013.

Under the New EIT Law, dividends paid by PRC enterprises out of profits earned post-2007 to non-PRC tax resident investors are subject to PRC withholding tax of 10%. A lower withholding tax rate may be applied based on applicable tax treaty with certain countries.

 

F-25


Table of Contents

AUTOHOME INC.

NOTES TO THE CONSOLIDATED FINANCIAL STATEMENTS

(Amounts in thousands of Renminbi (“RMB”) and US dollars (“US$”) except for number of shares and per share data)

 

6.TAXATION (CONTINUED)

 

The New EIT Law also provides that enterprises established under the laws of foreign countries or regions and whose “place of effective management” is located within the PRC are considered PRC tax resident enterprises and subject to PRC income tax at the rate of 25% on worldwide income. The definition of “place of effective management” refers to an establishment that exercises, in substance, overall management and control over the production and business, personnel, accounting, properties, and other aspects of an enterprise. As of December 31, 2013, no detailed interpretation or guidance has been issued to define “place of effective management”. Furthermore, as of December 31, 2013, the administrative practice associated with interpreting and applying the concept of “place of effective management” is unclear. If the Company is deemed as a PRC tax resident, it would be subject to PRC tax under the New EIT Law. The Company has analyzed the applicability of this law and will continue to monitor the related development and application.

The Company had minimal operations in jurisdictions other than the PRC. Income before income tax expenses consists of:

 

   Year ended December 31, 
   2011  2012  2013 
   RMB  RMB  RMB  US$ 

PRC

   175,691    317,844    570,659    94,266  

Non PRC

   (1,897  (13,975  (2,203  (364
  

 

 

  

 

 

  

 

 

  

 

 

 
   173,794    303,869    568,456    93,902  
  

 

 

  

 

 

  

 

 

  

 

 

 

The income tax expense (benefit) is comprised of:

 

   Year ended December 31, 
   2011   2012   2013 
   RMB   RMB   RMB  US$ 

Current

   34,615     84,851     136,047    22,474  

Deferred

   3,733     6,137     (23,753  (3,924
  

 

 

   

 

 

   

 

 

  

 

 

 
   38,348     90,988     112,294    18,550  
  

 

 

   

 

 

   

 

 

  

 

 

 

The reconciliation of income tax expense for the years ended December 31, 2011, 2012 and 2013 is as follows:

 

   Year ended December 31, 
   2011  2012  2013 
   RMB  RMB  RMB  US$ 

Income from continuing operations before income tax expense

   173,794    303,869    568,456    93,902  

Income tax expense computed at applicable tax rates (25%)

   43,449    75,967    142,114    23,476  

Non-deductible expenses

   7,106    14,571    697    115  

Valuation allowances

   (85  —      2,114    349  

Outside basis difference

   7,451    30,278    14,254    2,354  

Effect of international tax rate difference

   474    3,494    551    91  

Interest expense relating to unrecognized tax benefits

   —      685    2,115    349  

Effect of preferential tax rate

   (20,047  (34,007  (49,551  (8,184
  

 

 

  

 

 

  

 

 

  

 

 

 

Income tax expense

   38,348    90,988    112,294    18,550  
  

 

 

  

 

 

  

 

 

  

 

 

 

 

 

F-26


Table of Contents

AUTOHOME INC.

NOTES TO THE CONSOLIDATED FINANCIAL STATEMENTS

(Amounts in thousands of Renminbi (“RMB”) and US dollars (“US$”) except for number of shares and per share data)

 

6.TAXATION (CONTINUED)

 

Deferred tax

The significant components of deferred taxes are as follows:

 

   December 31, 
   2012  2013 
   RMB  RMB  US$ 

Deferred tax assets

    

Current

    

Allowance for doubtful accounts

   307    367    61  

Accrued staff cost

   10,468    19,538    3,227  

Accrued expenses

   11,231    5,251    867  

Revenue recognition

   3,621    11,174    1,846  

Tax losses

   1,483    2,437    403  

Valuation allowances

   —      (2,114  (349
  

 

 

  

 

 

  

 

 

 

Net current deferred tax assets

   27,110    36,653    6,055  
  

 

 

  

 

 

  

 

 

 

Total deferred tax assets

   27,110    36,653    6,055  
  

 

 

  

 

 

  

 

 

 

Deferred tax liabilities

    

Current

    

Outside basis difference

   (26,629  —      —    
  

 

 

  

 

 

  

 

 

 

Total current deferred tax liabilities

   (26,629  —      —    
  

 

 

  

 

 

  

 

 

 

Non-current

    

Intangible assets

   (12,181  (10,816  (1,787

Outside basis difference

   (456,657  (470,911  (77,789
  

 

 

  

 

 

  

 

 

 

Total non-current deferred tax liabilities

   (468,838  (481,727  (79,576
  

 

 

  

 

 

  

 

 

 

Total deferred tax liabilities

   (495,467  (481,727  (79,576
  

 

 

  

 

 

  

 

 

 

Valuation allowances have been provided on the deferred tax assets where, based on all available evidence, it was considered more likely than not that some portion or all of the recorded deferred tax assets will not be realized in future periods. The Company recorded a full valuation allowances against the deferred tax assets of Shengtuo Hongyuan, which was in a cumulative loss position as of December 31, 2013.

As of December 31, 2013, the Group had net operating losses of approximately RMB10,262 (US$1,695), which can be carried forward to offset taxable income. The net operating loss will start to expire in 2017 if not utilized.

 

F-27


Table of Contents

AUTOHOME INC.

NOTES TO THE CONSOLIDATED FINANCIAL STATEMENTS

(Amounts in thousands of Renminbi (“RMB”) and US dollars (“US$”) except for number of shares and per share data)

 

6.TAXATION (CONTINUED)

 

After considering its dividend distribution, operational funding needs and future development initiatives, the Company did not intend to indefinitely reinvest any of the earnings for the year ended December 31, 2012. Therefore, the Company accrued deferred income tax liabilities of RMB26,629 for the associated withholding tax liability as of December 31, 2012. The deferred tax was settled upon payment of the dividend distribution in June 2013. As of December 31, 2013, the Company intended to indefinitely reinvest the undistributed earnings of its PRC subsidiaries. Determination of the amount of unrecognized deferred tax liability related to the earnings that are indefinitely reinvested is not practical.

Unrecognized tax benefits

As of December 31, 2012 and 2013, the Company recorded an unrecognized tax benefit of RMB17,379 and RMB29,459 (US$4,866), respectively, of which RMB16,568 and RMB29,041 (US$4,797), respectively, are presented on a net basis against the deferred tax assets related to tax loss carry forwards on the consolidated balance sheets. This primarily represent the estimated income tax expense the Group would pay should its income tax returns have been prepared in accordance with the current PRC tax laws and regulations. It is possible that the amount of uncertain tax position will change in the next twelve months, however, an estimate of the range of the possible outcomes cannot be made at this time. As of December 31, 2012 and 2013, unrecognized tax benefits of RMB3,790 and RMB10,560 (US$1,744) respectively, if ultimately recognized, will impact the effective tax rate.

A roll-forward of unrecognized tax benefits is as follows:

 

   December 31, 
   2012  2013 
   RMB  RMB  US$ 

Beginning balance

   5,971    17,379    2,871  

Additions based on tax positions related to the current year

   14,231    19,314    3,190  

Decreases based on tax positions related to prior years

   (2,823  (7,234  (1,195
  

 

 

  

 

 

  

 

 

 

Ending balance

   17,379    29,459    4,866  
  

 

 

  

 

 

  

 

 

 

During the years ended December 31, 2011, 2012 and 2013, the Group recorded late payment interest expense related to continuing operations of nil, RMB685 and RMB2,115 (US$349), and penalties of nil, nil and nil, respectively, as part of income tax expense.

The tax years ended December 31, 2008 through 2013 for the Company’s PRC subsidiaries and VIEs remain subject to examination by the PRC tax authorities.

 

F-28


Table of Contents

AUTOHOME INC.

NOTES TO THE CONSOLIDATED FINANCIAL STATEMENTS

(Amounts in thousands of Renminbi (“RMB”) and US dollars (“US$”) except for number of shares and per share data)

 

7.PROPERTY AND EQUIPMENT, NET

Property and equipment consist of the following:

 

   December 31, 
   2012  2013 
   RMB  RMB  US$ 

At cost:

    

Electronic equipment

   54,310    90,248    14,907  

Office equipment

   532    563    93  

Motor vehicles

   1,891    3,176    525  

Purchased software

   3,477    7,858    1,298  

Leasehold improvements

   3,181    4,672    772  
  

 

 

  

 

 

  

 

 

 
   63,391    106,517    17,595  

Less: Accumulated depreciation

   (23,533  (48,620  (8,031
  

 

 

  

 

 

  

 

 

 
   39,858    57,897    9,564  
  

 

 

  

 

 

  

 

 

 

Depreciation expense for continuing operations was RMB6,347, RMB14,301 and RMB25,548 (US$4,220) for the years ended December 31, 2011, 2012 and 2013, respectively.

 

8.INTANGIBLE ASSETS, NET

The following tables present the Group’s intangible assets with definite lives as of the respective balance sheet dates:

 

   December 31, 2013 
   Gross  Carrying
Value
   Accumulated
Amortization
  Net Carrying
Value
 
   RMB   RMB  RMB   US$ 

Trademarks

   68,310     (25,047  43,263     7,146  

Customer relationship

   9,050     (9,050  —       —    

Websites

   27,000     (27,000  —       —    

Domain names

   1,870     (1,714  156     26  

Licensing agreements

   2,266     (324  1,942     321  
  

 

 

   

 

 

  

 

 

   

 

 

 
   108,496     (63,135  45,361     7,493  
  

 

 

   

 

 

  

 

 

   

 

 

 

 

   December 31, 2012 
   Gross  Carrying
Value
   Accumulated
Amortization
  Net Carrying
Value
 
   RMB   RMB  RMB 

Trademarks

   68,310     (20,493  47,817  

Customer relationship

   9,050     (8,145  905  

Websites

   27,000     (27,000  —    

Domain names

   1,870     (1,247  623  
  

 

 

   

 

 

  

 

 

 
   106,230     (56,885  49,345  
  

 

 

   

 

 

  

 

 

 

 

F-29


Table of Contents

AUTOHOME INC.

NOTES TO THE CONSOLIDATED FINANCIAL STATEMENTS

(Amounts in thousands of Renminbi (“RMB”) and US dollars (“US$”) except for number of shares and per share data)

 

8.INTANGIBLE ASSETS, NET (CONTINUED)

 

The intangible assets are amortized using the straight-line method, which is the Group’s best estimate of how these assets will be economically consumed over their respective estimated useful lives ranging from approximately 1.75 to 15 years. Amortization expense for continuing operations was RMB13,768, RMB10,203 and RMB6,250 (US$1,032) for the years ended December 31, 2011, 2012 and 2013, respectively.

The annual estimated amortization expenses for the acquired intangible assets related to continuing operations for each of the next five years are as follows:

 

   2014   2015   2016   2017   2018 
   RMB   RMB   RMB   RMB   RMB 

Trademarks

   4,554     4,554     4,554     4,554     4,554  

Domain names

   156     —       —       —       —    

Licensing agreements

   1,302     640     —       —       —    
  

 

 

   

 

 

   

 

 

   

 

 

   

 

 

 
   6,012     5,194     4,554     4,554     4,554  
  

 

 

   

 

 

   

 

 

   

 

 

   

 

 

 

 

9.GOODWILL

At December 31, 2012 and 2013, goodwill was RMB1,504,278 and RMB1,504,278 (US$248,489), respectively.

As part of the distribution of the distributed entities to shareholders on June 30, 2011 (Note 14), goodwill was allocated between the continuing operations and discontinued operations using a relative fair value approach in accordance with ASC 350-20, Goodwill and Other Intangible Assets. The remaining goodwill was assessed for impairment as of December 31, 2012 and 2013. No impairment loss was recognized in any of the years presented.

 

10.ACCRUED EXPENSES AND OTHER PAYABLES

The components of accrued expenses and other payables are as follows:

 

   December 31, 
   2012   2013 
   RMB   RMB   US$ 

VAT, business tax and surcharges payable

   7,296     4,496     743  

Payroll and welfare payable

   53,405     100,454     16,594  

Accrued rebates

   121,968     182,057     30,074  

Accrued overhead expenses

   2,183     1,262     208  

Professional service fees

   16,876     22,912     3,785  

Others

   11,480     12,913     2,133  
  

 

 

   

 

 

   

 

 

 
   213,208     324,094     53,537  
  

 

 

   

 

 

   

 

 

 

 

F-30


Table of Contents

AUTOHOME INC.

NOTES TO THE CONSOLIDATED FINANCIAL STATEMENTS

(Amounts in thousands of Renminbi (“RMB”) and US dollars (“US$”) except for number of shares and per share data)

 

11.RELATED PARTY TRANSACTIONS

 

Name of related parties

  

Relationship with the Group

Telstra International HK Limited  A wholly-owned subsidiary of the Company’s major shareholder
Telstra International Limited  A wholly-owned subsidiary of the Company’s major shareholder
Beijing POP Information Technology Co., Ltd.  A company owned by the same group of the Company’s shareholders
Lianhe Shangqing (Beijing) Advertisement Co., Ltd.  A company owned by the same group of the Company’s shareholders
Beijing Australian Telecommunications Technical Consulting Limited  A wholly-owned subsidiary of the Company’s majority shareholder
Autohome Media Limited (prior to the acquisition)  A company over which the spouse of one of the Group’s director who has significant influence

During the year ended December 31, 2012, Lianhe Shangqing (Beijing) Advertisement Co., Ltd. paid office rent expense amounting to RMB438 on behalf of Beijing Shengtuo Autohome Advertising Co., Ltd.

In April 2012, Autohome Information paid RMB2,085 to Beijing POP Information Technology Co., Ltd. and Beijing Shengtuo Autohome Advertising Co., Ltd. paid RMB3,008 to Lianhe Shangqing (Beijing) Advertisement Co., Ltd. to settle outstanding related party balances.

During the year ended December 31, 2012, Telstra International HK Limited provided the network maintenance services amounting RMB246 to Autohome Information. The outstanding balance has been paid in full as of December 31, 2012.

During the year ended December 31, 2013, Telstra International HK Limited provided network services amounting to RMB128 (US$21) to Autohome Information. The outstanding balance has been paid in full as of December 31, 2013.

During the year ended December 31, 2013, Telstra International Limited provided network services amounting to RMB255 (US$42) to Autohome Information. The outstanding balance has been paid in full as of December 31, 2013.

During the year ended December 31, 2013, the Group acquired Autohome Media in October 2013, which is 50% owned by the spouse of one of the Group’s directors. There are no outstanding balances associated with this acquisition as of December 31, 2013.

During the year ended December 31, 2013, the Group and Telstra International Limited entered into an agreement where a Telstra executive would provide consulting services to the Group. Under this agreement, the amount due to Telstra for services provided during the year ended December 31, 2013 amounted to RMB 418 (US$69).

During the year ended December 31, 2013, the Group and Beijing Australian Telecommunications Technical Consulting Limited entered into an agreement where a Telstra executive would provide consulting services to the Group. Under this agreement, the amount due to Beijing Australian Telecommunications Technical Consulting Limited for services provided during the year ended December 31, 2013 amounted to RMB149 (US$25).

The Group had the following related party payables outstanding as of December 31, 2012 and 2013:

 

   December 31, 
   2012   2013 
       RMB       RMB   US$ 

Telstra International Limited

   —       418     69  

Beijing Australian Telecommunications Technical Consulting Limited

   —       149     25  
  

 

 

   

 

 

   

 

 

 
   —       567     94  
  

 

 

   

 

 

   

 

 

 

 

F-31


Table of Contents

AUTOHOME INC.

NOTES TO THE CONSOLIDATED FINANCIAL STATEMENTS

(Amounts in thousands of Renminbi (“RMB”) and US dollars (“US$”) except for number of shares and per share data)

 

12.COMMITMENTS AND CONTINGENCIES

Operating lease commitments

The Group leases office space and employee accommodation in the PRC under non-cancellable operating leases expiring on various dates. Payments under operating leases are expensed on a straight-line basis, after considering rent holidays, over the periods of the respective lease terms. The terms of the leases do not contain rent escalation or contingent rents for the years ended December 31, 2011, 2012 and 2013, total rental expenses for all operating leases amounted to RMB8,035, RMB12,038 and RMB17,898 (US$2,957) respectively.

As of December 31, 2013, the Group has future minimum lease payments under non-cancellable operating leases, with initial terms in excess of one year, for office premises related to continuing operations consisting of the following:

 

   RMB   US$ 

2014

   26,958     4,453  

2015

   25,707     4,246  

2016

   22,001     3,634  

2017 and thereafter

   —       —    
  

 

 

   

 

 

 
   74,666     12,333  
  

 

 

   

 

 

 

Taxation

As of December 31, 2012 and 2013, the Group has recognized liabilities of RMB16,568 and RMB29,041 (US$4,797), respectively, related to unrecognized tax benefits (Note 6). The final outcome of the tax uncertainty is dependent upon various matters including tax examinations, interpretation of tax laws or expiration of statutes of limitation. However, due to the uncertainties associated with the status of examinations, including the protocols of finalizing audits by the relevant tax authorities, there is a high degree of uncertainty regarding the future cash outflows associated with these tax uncertainties. The Group classified the accrual for unrecognized tax benefits as a non-current liability.

With respect to display advertising services, consistent with industry practice in the PRC, the Company regularly provides such services at a discount to its standard rates. These discounts are in the form of free advertising elements, of which the duration and other terms of services are specified as part of the revenue contract. The VAT pilot program replaced the business tax rules for advertising services in Beijing effective from September 1, 2012. There are uncertainties under the current VAT rules as to whether these free elements should constitute deemed services in addition to the chargeable elements rather than discounts to the overall revenue arrangements for tax purposes and thus be subject to VAT at the standard rates of services. The Company currently considers that such free elements do not give rise to deemed services for VAT purposes and the value-add tax for a revenue contract is calculated based on the contract price for the overall arrangements. The rules related to the VAT pilot program are still evolving and the timing of the promulgation of the final tax rules or related interpretation is uncertain. The estimated amount of this contingency as of December 31, 2013 is not determinable.

 

F-32


Table of Contents

AUTOHOME INC.

NOTES TO THE CONSOLIDATED FINANCIAL STATEMENTS

(Amounts in thousands of Renminbi (“RMB”) and US dollars (“US$”) except for number of shares and per share data)

 

13.COST OF REVENUES

 

   Year ended December 31, 
   2011   2012   2013 
   RMB   RMB   RMB   US$ 

Content related costs

   43,943     62,871     95,987     15,856  

Depreciation and amortization

   18,739     21,978     26,439     4,367  

Bandwidth and internet data centre

   11,936     15,045     21,047     3,477  

VAT, business taxes and surcharges

   55,947     78,346     108,763     17,966  
  

 

 

   

 

 

   

 

 

   

 

 

 
   130,565     178,240     252,236     41,666  
  

 

 

   

 

 

   

 

 

   

 

 

 

 

14.DISCONTINUED OPERATIONS

On June 14, 2011, the Company incorporated, under the laws of the Cayman Islands, a wholly-owned subsidiary, Sequel Media. On June 30, 2011 the Company contributed all the shares of the entities that provided online advertising services to manufacturers and retailers in the information technology industry (collectively the “Distributed Entities”) to Sequel Media. On June 30, 2011, the Company distributed all the shares of Sequel Media to its shareholders. Accordingly, pursuant to ASC 205-20, Discontinued Operations, the Distributed Entities have been accounted for as discontinued operations whereby the results of operations of Distributed Entities have been eliminated from the results of continuing operations and reported in discontinued operations for all years presented. The results of the discontinued operations are determined by using a combination of specific identification of revenues and certain costs as well as a reasonable allocation of the remaining costs using applicable cost drivers where specific identification is not determinable. Accordingly, the Group recognized a distribution to shareholders amounting to RMB325,236 for the year ended December 31, 2011, which included RMB94,069 of cash and cash equivalents of the distributed entities. The assets and liabilities distributed are as follows:

 

   RMB 

Cash and cash equivalents

   94,069  

Held-to-maturity instruments

   43,000  

Accounts receivable

   75,988  

Prepaid expenses and other current assets

   12,974  

Deferred tax assets

   18,682  

Property and equipment, net

   15,557  

Intangible assets, net

   71,540  

Goodwill

   185,922  

Accrued expenses and other payables

   (92,872

Deferred revenue

   (15,753

Deferred tax liabilities

   (70,311

Other liabilities

   (13,560
  

 

 

 
   325,236  
  

 

 

 

 

F-33


Table of Contents

AUTOHOME INC.

NOTES TO THE CONSOLIDATED FINANCIAL STATEMENTS

(Amounts in thousands of Renminbi (“RMB”) and US dollars (“US$”) except for number of shares and per share data)

 

14.DISCONTINUED OPERATIONS (CONTINUED)

 

The results of the distributed entities are as follows:

 

   Year ended
December 31,
2011
 
   RMB 

Net revenues

   92,249  

Cost of revenues

   (54,567
  

 

 

 

Gross profit

   37,682  

Operating expenses:

  

Sales and marketing expenses

   (33,290

General and administrative expenses

   (8,553

Product development expenses

   (8,630
  

 

 

 

Operating loss

   (12,791

Other income

   1,705  
  

 

 

 

Loss before income tax expenses

   (11,086

Income tax benefit

   6,904  
  

 

 

 

loss from discontinued operations

   (4,182
  

 

 

 

 

F-34


Table of Contents

AUTOHOME INC.

NOTES TO THE CONSOLIDATED FINANCIAL STATEMENTS

(Amounts in thousands of Renminbi (“RMB”) and US dollars (“US$”) except for number of shares and per share data)

 

15.ORDINARY SHARES

On November 4, 2013, the Company entered into the West Crest Limited Share Purchase agreement. On November 15, 2013, the Company decided to retire the treasury stocks repurchased. On November 18, 2013, Cheerbright entered into a three-month revolving loan facility to fund a portion of the West Crest Limited share purchase with a financial institution for an amount up to RMB230,040 (US$38,000), which was fully drawn down on November 21, 2013 and subsequently repaid on December 27, 2013. This facility was collateralized by a cash deposit of RMB245,000 (US$40,471) provided by Autohome WFOE. As of December 31, 2013, RMB 227,015 (US$37,500) is the outstanding payable due to West Crest Limited.

Upon the effectiveness of the IPO registration statement, the Company’s ordinary shares were redeemed and cancelled in consideration for the issuance of an equivalent number of Class A ordinary shares and Class B ordinary shares to the holders of former ordinary shares, respectively. Holders of Class A ordinary shares and Class B ordinary shares have the same rights except for conversion and voting rights. Each Class B ordinary share is convertible into one Class A ordinary share at any time, while Class A ordinary shares cannot be converted into Class B ordinary shares under any circumstances. Each Class A ordinary share is entitled to one vote. When the total number of ordinary shares held by Telstra constitutes no less than 51% of all of the Company’s issued and outstanding ordinary shares, each Class B ordinary share is entitled to one vote; when the total number of ordinary shares held by Telstra drops below 51% but is no less than 39.3% of all of the Company’s issued and outstanding ordinary shares, each Class B ordinary share will carry such number of votes that would result in the total number of ordinary shares held by Telstra carrying, in the aggregate, 51% of the voting rights represented by all of the Company’s issued and outstanding ordinary shares; when the total number of ordinary shares held by Telstra drops below 39.3% of all of the Company’s issued and outstanding ordinary shares, all Class B ordinary shares will be automatically converted into the same number of Class A ordinary shares.

Immediately prior to the completion of the IPO, the Company had 27,354,496 Class A ordinary shares and 68,788,940 Class B ordinary shares outstanding. During the IPO, the Company issued 8,993,000 Class A ordinary shares. Upon completion of the IPO on December 11, 2013, the Company had 105,136,436 ordinary shares outstanding comprised of 36,347,496 Class A ordinary shares and 68,788,940 Class B ordinary shares.

 

F-35


Table of Contents

AUTOHOME INC.

NOTES TO THE CONSOLIDATED FINANCIAL STATEMENTS

(Amounts in thousands of Renminbi (“RMB”) and US dollars (“US$”) except for number of shares and per share data)

 

16.RESTRICTED NET ASSETS

The Company’s ability to pay dividends is primarily dependent on the Company receiving distributions of funds from its subsidiaries. Relevant PRC statutory laws and regulations permit payments of dividends by the Company’s PRC subsidiaries only out of its retained earnings, if any, as determined in accordance with PRC accounting standards and regulations. The results of operations reflected in the consolidated financial statements prepared in accordance with U.S.GAAP differ from those reflected in the statutory financial statements of the Company’s PRC subsidiaries.

Under PRC law, the Company’s PRC subsidiaries are required to provide for certain statutory reserves, namely a general reserve, an enterprise expansion fund and a staff welfare and bonus fund. The subsidiary is required to allocate at least 10% of their after tax profits on an individual company basis as determined under PRC accounting standards to the general reserve and has the right to discontinue allocations to the general reserve if such reserve has reached 50% of registered capital on an individual company basis. In addition, the registered capital of the Company’s PRC subsidiaries and VIEs is also restricted.

Appropriations to the enterprise expansion fund and staff welfare and bonus fund are at the discretion of the Board of Directors of the subsidiary. The Company’s VIEs in the PRC are also subject to similar statutory reserve requirements. These reserves can only be used for specific purposes and are not transferable to the Group in the form of loans, advances or cash dividends. As of December 31, 2011, 2012 and 2013, the Company’s PRC subsidiaries and VIEs had appropriated RMB3,987, RMB4,850 and RMB7,113 (US$1,175), respectively, of retained earnings for its statutory reserves.

As a result of these PRC laws and regulations subject to the limit discussed above that require annual appropriations of 10% of after-tax income to be set aside, prior to payment of dividends as general reserve fund, the Company’s PRC subsidiaries and VIEs are restricted in their ability to transfer a portion of their net assets to the Company.

Foreign exchange and other regulation in the PRC may further restrict the Company’s PRC subsidiaries and VIEs from transferring funds to the Company in the form of dividends, loans and advances. As of December 31, 2012 and 2013, amounts restricted are the net assets of the Company’s PRC subsidiaries and VIEs, which amounted to RMB1,600,230 and RMB1,818,103 (US$300,329), respectively.

 

 

F-36


Table of Contents

AUTOHOME INC.

NOTES TO THE CONSOLIDATED FINANCIAL STATEMENTS

(Amounts in thousands of Renminbi (“RMB”) and US dollars (“US$”) except for number of shares and per share data)

 

17.EARNINGS PER SHARE

Basic and diluted earnings per share for each of the years presented are calculated as follows:

 

   Year ended December 31, 
   2011  2012   2013 
   Ordinary
shares
  Ordinary
shares
   Class A   Class A   Class B   Class B 
   RMB  RMB   RMB   US$   RMB   US$ 

Basic earnings (loss) per share:

           

Numerator:

           

Income from continuing operations

   135,446    212,881     142,053     23,465     314,109     51,887  

Loss from discontinued operations

   (4,182  —       —       —       —       —    
  

 

 

  

 

 

   

 

 

   

 

 

   

 

 

   

 

 

 

Net income

   131,264    212,881     142,053     23,465     314,109     51,887  
  

 

 

  

 

 

   

 

 

   

 

 

   

 

 

   

 

 

 

Denominator:

           

Weighted average ordinary shares outstanding

   100,000,000    100,000,000     31,109,214     31,109,214     68,788,940     68,788,940  

Basic earnings (loss) per share:

           

Income from continuing operations

   1.35    2.13     4.57     0.75     4.57     0.75  

Loss from discontinued operations

   (0.04  —       —       —       —       —    
  

 

 

  

 

 

   

 

 

   

 

 

   

 

 

   

 

 

 

Net income

   1.31    2.13     4.57     0.75     4.57     0.75  
  

 

 

  

 

 

   

 

 

   

 

 

   

 

 

   

 

 

 

Diluted earnings (loss) per share:

           

Numerator:

           

Income from continuing operations

   135,446    212,881     155,394     25,669     300,768     49,683  

Loss from discontinued operations

   (4,182  —       —       —       —       —    

Reallocation of undistributed income from continuing operations as a result of conversion of Class B to Class A ordinary shares (Note 15)

   —      —       300,768     49,683     —       —    
  

 

 

  

 

 

   

 

 

   

 

 

   

 

 

   

 

 

 

Net income

   131,264    212,881     456,162     75,352     300,768     49,683  
  

 

 

  

 

 

   

 

 

   

 

 

   

 

 

   

 

 

 

Denominator:

           

Weighted average ordinary shares outstanding

   100,000,000    100,000,000     31,109,214     31,109,214     68,788,940     68,788,940  

Conversion of Class B to Class A ordinary shares (Note 15)

   —      —       68,788,940     68,788,940     —       —    

Dilutive effect of stock options

   189,928    650,652     4,431,072     4,431,072     —       —    
  

 

 

  

 

 

   

 

 

   

 

 

   

 

 

   

 

 

 

Weighted-average number of shares outstanding- diluted

   100,189,928    100,650,652     104,329,226     104,329,226     68,788,940     68,788,940  
  

 

 

  

 

 

   

 

 

   

 

 

   

 

 

   

 

 

 

Diluted earnings (loss) per share:

           

Income from continuing operations

   1.35    2.12     4.37     0.72     4.37     0.72  

Loss from discontinued operations

   (0.04  —       —       —       —       —    
  

 

 

  

 

 

   

 

 

   

 

 

   

 

 

   

 

 

 

Net income

   1.31    2.12     4.37     0.72     4.37     0.72  
  

 

 

  

 

 

   

 

 

   

 

 

   

 

 

   

 

 

 

The effects of 3,131,753, 2,048,849 and 43,846 stock options were excluded from the calculation of diluted earnings per share as their effect would have been anti-dilutive during the years ended December 31, 2011, 2012 and 2013, respectively. The effects of 62,637 restricted shares were excluded from the calculation of diluted earnings per share as their effect would have been anti-dilutive during the year ended December 31, 2013.

 

F-37


Table of Contents

AUTOHOME INC.

NOTES TO THE CONSOLIDATED FINANCIAL STATEMENTS

(Amounts in thousands of Renminbi (“RMB”) and US dollars (“US$”) except for number of shares and per share data)

 

18.SHARE-BASED COMPENSATION

In order to provide additional incentives to employees and to promote the success of the Company’s business, the Company adopted a share incentive plan in 2011 (the “2011 Plan”) and a share incentive plan in 2013 (the “2013 Plan”), (collectively “the Plans). The Company may grant share-based awards to its employees, directors and consultants to purchase an aggregate of no more than 7,843,100 and 3,350,000 ordinary shares of the Company under the 2011 Plan and 2013 Plan, respectively. The Plans were approved by the Board of Directors and shareholders of the Company on May 4, 2011 and November 4, 2013, respectively. The Plans are administered by the Board of Directors or any of its committees as set forth in the Plans.

On May 6, 2011, the Company granted 4,950,000 options to employees and directors at an exercise price of US$2.20. These options granted have a contractual term of ten years and vest over a 44-month period, with 25% of the awards vesting on January 1, 2012 and the remainder of the awards vesting on an annual basis each January 1, thereafter.

On August 1, 2011, the Company granted additional 700,000 options to an employee at an exercise price of US$2.20. These options granted have a contractual term of ten years and vest over a 41-month period, with 25% of the awards vesting on January 1, 2012 and the remainder of the awards vesting on an annual basis each January 1, thereafter.

On October 8, 2011, the Company granted additional 110,000 options to some employees at an exercise price of US$2.20. These options granted have a contractual term of ten years and vest over a 39-month period, with 25% of the awards vesting on January 1, 2012 and the remainder of the awards vesting on an annual basis each January 1, thereafter.

On December 19, 2011, the Company granted additional 2,000,000 options to some employees at an exercise price of US$2.20. These options granted have a contractual term of ten years and vest over a 49-month period, with 25% of the awards vesting on January 1, 2013 and the remainder of the awards vesting on an annual basis each January 1, thereafter.

On July 1, 2012, the Company granted additional 120,000 options to some employees at an exercise price of US$2.20. These options granted have a contractual term of ten years and vest over a 48-month period, with 25% of the awards vesting on July 1, 2013 and the remainder of the awards vesting on an annual basis each July 1, thereafter.

On May 27, 2013, the Company granted additional 560,000 options to some employees at an exercise price of US$2.20. These options granted have a contractual term of ten years and vest over a 44-month period, with 25% of the awards vesting on January 1, 2014 and the remainder of the awards vesting on an annual basis each January 1, thereafter.

On October 22, 2013, the Company granted 228,000 options to employees at an exercise price of US$2.20 under the 2011 Plan. The option grants have a contractual term of ten years. 78,000 options will vest over a period from January 1, 2014 to January 1, 2017, with 25% of the awards vesting on January 1, 2014 and the remainder of the awards vesting on an annual basis each January 1, thereafter; and 150,000 options will vest over a period from July 1, 2014 to July 1, 2017, with 25% of the awards vesting on July 1, 2014 and the remainder of the awards vesting on an annual basis each July 1, thereafter.

On November 4, 2013, the Company granted 400,000 restricted shares to a senior executive. The restricted share awards will vest over a period from September 29, 2014 to September 29, 2017, with 25% of the awards vesting on September 29, 2014 and the remainder of the awards vesting on an annual basis each September 29, thereafter.

As of December 31, 2013, share-based awards to purchase 8,065,500 of Class A ordinary shares were outstanding and share-based awards to purchase 3,127,600 Class A ordinary shares were available for future grant under the 2011 Plan and 2013 Plan, respectively.

 

F-38


Table of Contents

AUTOHOME INC.

NOTES TO THE CONSOLIDATED FINANCIAL STATEMENTS

(Amounts in thousands of Renminbi (“RMB”) and US dollars (“US$”) except for number of shares and per share data)

 

18.SHARE-BASED COMPENSATION (CONTINUED)

 

Share options

The following table summarizes the Company’s employee share option activity under the share option plans:

 

   Number of
options
  Weighted
average
exercise
price
   Weighted
average  grant
date fair value
   Weighted
average
remaining
contractual
term
   Aggregate
intrinsic  value
 
      US$   US$   Years   US$ 

Outstanding, January 1, 2013

   7,675,000    2.20     2.38     8.54     11,513  

Granted on May 27, 2013

   560,000    2.20     3.03      

Granted on October 22, 2013

   228,000    2.20     9.63/9.69      

Exercised

   —      —       —        

Forfeited

   (797,500  2.20        
  

 

 

        

Outstanding, December 31, 2013

   7,665,500    2.20     2.65     7.74     263,617  
  

 

 

        

Vested or expected to vest at December 31, 2013

   7,620,600    2.20     2.64     7.73     262,072  
  

 

 

        

Exercisable as of December 31, 2013

   3,330,000    2.20     2.38     7.47     114,519  
  

 

 

        

The aggregate intrinsic value is calculated as the difference between the exercise price of the underlying awards and $36.59, the closing stock price of the Company’s ordinary shares on December 31, 2013.

The aggregate fair value of the outstanding options at the grant dates were determined to be RMB123,184 (US$20,349) and such amount shall be recognized as compensation expenses using the straight-line method for all employee share options granted with graded vesting. As of December 31, 2013, there was RMB52,234 (US$8,628) of total unrecognized share-based compensation expenses, net of estimated forfeitures, related to unvested share-based awards which are expected to be recognized over a weighted-average period of 1.39 years. Total unrecognized compensation cost may be adjusted for future changes in estimated forfeitures.

 

F-39


Table of Contents

AUTOHOME INC.

NOTES TO THE CONSOLIDATED FINANCIAL STATEMENTS

(Amounts in thousands of Renminbi (“RMB”) and US dollars (“US$”) except for number of shares and per share data)

 

18.SHARE-BASED COMPENSATION (CONTINUED)

 

Restricted Shares

Restricted shares activity for the year ended December 31, 2013 was as follows:

 

   Numbers
of shares
   Weighted average grant
date fair value
 
       US$ 

Outstanding, January 1, 2013

   —       —    

Granted

   400,000     12.38  

Vested

   —      

Forfeited

   —      
  

 

 

   

 

 

 

Outstanding, December 31, 2013

   400,000     12.38  
  

 

 

   

 

 

 

Expected to vest, December 31, 2013

   400,000     12.38  
  

 

 

   

 

 

 

The fair value of restricted shares on the grant date was US$12.38, which was derived from the fair value of the underlying ordinary shares. The aggregate fair value of the restricted shares at the grant dates were determined in estimated forfeitures. The aggregate fair value of the restricted shares at the grant dates were determined to be RMB29,978 (US$4,952) and such amount shall be recognized as compensation expense using the straight-line method for all restricted shares granted with graded vesting. As of December 31, 2013, there was RMB29,024 (US$4,795) of total unrecognized share-based compensation expenses, net of estimated forfeitures, related to unvested restricted shares which are expected to be recognized over a weighted-average period of 3.75 years. Total unrecognized compensation cost may be adjusted for future changes in estimated forfeitures.

 

F-40


Table of Contents

AUTOHOME INC.

NOTES TO THE CONSOLIDATED FINANCIAL STATEMENTS

(Amounts in thousands of Renminbi (“RMB”) and US dollars (“US$”) except for number of shares and per share data)

 

18.SHARE-BASED COMPENSATION (CONTINUED)

 

The binomial option pricing model was applied in determining the estimated fair value of the options granted to employees. The model requires the input of highly subjective assumptions including the estimated expected stock price volatility and, the exercise multiple for which employees are likely to exercise share options. For expected volatilities, the Company has made reference to the historical price volatilities of ordinary shares of several comparable companies in the same industry as the Company. For the exercise multiple, the Company has no historical exercise patterns as reference, thus the exercise multiple is based on management’s estimation, which the Company believes is representative of the future exercise pattern of the options. The risk-free rate for periods within the contractual life of the option is based on the U.S. Treasury Bills yield curve in effect at the time of grant. The estimated fair value of the ordinary shares, at the option grant dates prior to the IPO, was determined with assistance from an independent third party valuation firm. The Company’s management is ultimately responsible for the determination of the estimated fair value of its ordinary shares. Subsequent to the IPO, fair value of the ordinary shares will be the price of the Company’s publicly traded shares.

The Company calculated the estimated fair value of the share-based awards on the respective grant dates using the binomial option pricing model with the following assumptions:

 

   6 May,
2011
  1 Aug,
2011
  8 Oct,
2011
  19 Dec,
2011
  1 Jul,
2012
  27 May,
2013
  22 Oct,
2013
 

Fair value of ordinary share

  US$3.69   US$3.44   US$3.68   US$3.68   US$3.70   US$4.58   US$11.64  

Risk-free interest rates

   3.27  2.90  2.14  1.89  1.73  2.07  2.60

Expected exercise multiple

   2.2    2.2    2.2    2.2    2.2    2.2    2.2  

Expected volatility

   61.90  60.50  60.70  60.80  60.40  55.49  53.70

Expected dividend yield

   0.00  0.00  0.00  0.00  0.00  0.00  0.00

Weighted average fair value per option granted

  US$2.40   US$2.18   US$2.37   US$2.41   US$2.36   US$3.03   US$
US$
9.63/
9.69
  
  

The distribution to shareholders on June 30, 2011 (Note 14) did not result in any modification to the terms and conditions of the options granted to employees.

Share-based compensation expenses recorded in continuing operations relating to options granted to employees recognized for the year ended December 31, 2013 is as follows:

 

   Year ended December 31, 
   2011   2012   2013 
   RMB   RMB   RMB   US$ 

Cost of revenues

   3,247     6,553     6,534     1,079  

Sales and marketing expenses

   1,138     4,177     4,375     723  

General and administration expenses

   8,049     15,734     11,738     1,939  

Product development expenses

   541     2,678     2,961     489  
  

 

 

   

 

 

   

 

 

   

 

 

 
   12,975     29,142     25,608     4,230  
  

 

 

   

 

 

   

 

 

   

 

 

 

 

F-41


Table of Contents

AUTOHOME INC.

NOTES TO THE CONSOLIDATED FINANCIAL STATEMENTS

(Amounts in thousands of Renminbi (“RMB”) and US dollars (“US$”) except for number of shares and per share data)

 

19.ACCUMULATED OTHER COMPREHENSIVE INCOME

The movement of accumulated other comprehensive income is as follows:

 

   Foreign currency
translation  adjustments
 

Balance as of January 1, 2011

   —    

Other comprehensive income

   —    
  

 

 

 

Balance as of December 31, 2011

   —    

Other comprehensive income

   583  
  

 

 

 

Balance as of December 31, 2012

   583  

Other comprehensive income

   1,403  
  

 

 

 

Balance as of December 31, 2013

   1,986  
  

 

 

 

Balance as of December 31, 2013, in US$

   328  
  

 

 

 

 

20.SUBSEQUENT EVENTS

On January 16, 2014, the Company granted 177,600 options to employees of the Company with an exercise price of US$2.20 under the 2011 Plan. The option grants have a contractual term of ten years. 57,600 options will vest over a period from January 16, 2014 to January 16, 2017, with 25% of the awards vesting on January 16, 2014 and the remainder of the awards vesting on an annual basis each January 16, thereafter; and 120,000 options will vest over a period from January 1, 2015 to January 1, 2018, with 25% of the awards vesting on January 1, 2015 and the remainder of the awards vesting on an annual basis each January 1, thereafter.

On January 29, 2014, the Company paid off the outstanding payable related to the West Crest Limited Share Purchase.

In March 2014, the Company changed the name of Prbrownies Marketing Limited to Autohome Media Limited.

 

21.COMPARATIVE FIGURES

Certain comparative amounts have been reclassified to conform with the current year’s presentation.

 

F-42


Table of Contents

AUTOHOME INC.

NOTES TO THE CONSOLIDATED FINANCIAL STATEMENTS

(Amounts in thousands of Renminbi (“RMB”) and US dollars (“US$”) except for number of shares and per share data)

 

22.CONDENSED FINANCIAL INFORMATION OF THE PARENT COMPANY

CONDENSED BALANCE SHEETS

 

   December 31, 
   2012   2013 
   RMB   RMB   US$ 

ASSETS

      

Current assets:

      

Cash and cash equivalents

   —       630,670     104,179  

Prepaid expenses and other current assets

   —       187     31  

Due from subsidiaries

   —       11,771     1,945  
  

 

 

   

 

 

   

 

 

 

Total current assets

   —       642,628     106,155  

Non-current assets:

      

Investment in subsidiaries

   1,573,927     1,818,025     300,316  
  

 

 

   

 

 

   

 

 

 

Total non-current assets

   1,573,927     1,818,025     300,316  
  

 

 

   

 

 

   

 

 

 

Total assets

   1,573,927     2,460,653     406,471  
  

 

 

   

 

 

   

 

 

 

LIABILITIES AND SHAREHOLDERS’ EQUITY

Current liabilities:

      

Accrued expenses and other payables

   14,450     20,707     3,421  

Payable for repurchase of common stock

   —       227,015     37,500  

Due to subsidiaries

   1,833     —       —    

Due to related parties

   —       567     94  
  

 

 

   

 

 

   

 

 

 

Total current liabilities

   16,283     248,289     41,015  
  

 

 

   

 

 

   

 

 

 

Total liabilities

   16,283     248,289     41,015  
  

 

 

   

 

 

   

 

 

 

Commitments and Contingencies

      

Shareholders’ equity:

      

Ordinary shares(par value of US$0.01 per share; 100,000,000,000 shares authorized; 100,000,000 and nil shares issued and outstanding as of December 31, 2012 and 2013, respectively)

   6,867     —       —    

Class A ordinary shares(par value of US$0.01 per share; 99,931,211,060 shares authorized; nil and 36,347,496 shares issued and outstanding as of December 31, 2012 and 2013, respectively)

   —       2,472     408  

Class B ordinary shares(par value US$0.01 per share; 68,788,940 shares authorized; nil and 68,788,940 shares issued and outstanding as of December 31, 2012 and 2013, respectively)

   —       4,677     773  

Additional paid-in capital

   1,128,314     1,949,013     321,954  

Accumulated other comprehensive income

   252     1,986     328  

Retained earnings

   422,211     254,216     41,993  
  

 

 

   

 

 

   

 

 

 

Total shareholders’ equity

   1,557,644     2,212,364     365,456  
  

 

 

   

 

 

   

 

 

 

Total liabilities and shareholders’ equity

   1,573,927     2,460,653     406,471  
  

 

 

   

 

 

   

 

 

 

 

F-43


Table of Contents

AUTOHOME INC.

NOTES TO THE CONSOLIDATED FINANCIAL STATEMENTS

(Amounts in thousands of Renminbi (“RMB”) and US dollars (“US$”) except for number of shares and per share data)

 

22.CONDENSED FINANCIAL INFORMATION OF THE PARENT COMPANY (CONTINUED)

 

CONDENSED STATEMENTS OF COMPREHENSIVE INCOME

 

   Year ended December 31, 
   2011  2012  2013 
   RMB  RMB  RMB  US$ 

Operating expenses:

     

General and administrative expenses

   (1,897  (14,638  (1,125  (186
  

 

 

  

 

 

  

 

 

  

 

 

 

Operating losses

   (1,897  (14,638  (1,125  (186

Equity in income of subsidiaries

   133,161    227,519    457,287    75,538  
  

 

 

  

 

 

  

 

 

  

 

 

 

Income before income taxes

   131,264    212,881    456,162    75,352  

Income tax expense

   —      —      —      —    
  

 

 

  

 

 

  

 

 

  

 

 

 

Net income

   131,264    212,881    456,162    75,352  
  

 

 

  

 

 

  

 

 

  

 

 

 

Other comprehensive income, net of tax of nil

     

Foreign currency translation adjustments

   —      252    1,734    286  
  

 

 

  

 

 

  

 

 

  

 

 

 

Comprehensive income

   131,264    213,133    457,896    75,638  
  

 

 

  

 

 

  

 

 

  

 

 

 

CONDENSED STATEMENTS OF CASH FLOWS

 

   Year ended December 31, 
   2011   2012   2013 
       RMB           RMB       RMB  US$ 

Net cash used in operating activities

   —       —       (3,294  (544
  

 

 

   

 

 

   

 

 

  

 

 

 

Net cash generated from financing activities

   —       —       632,865    104,541  
  

 

 

   

 

 

   

 

 

  

 

 

 

Effect of exchange rate changes on cash and cash equivalents

   —       —       1,099    182  
  

 

 

   

 

 

   

 

 

  

 

 

 

Net increase in cash and cash equivalents

   —       —       630,670    104,179  

Cash and cash equivalents at beginning of year

   —       —       —      —    
  

 

 

   

 

 

   

 

 

  

 

 

 

Cash and cash equivalents at end of year

   —       —       630,670    104,179  
  

 

 

   

 

 

   

 

 

  

 

 

 

 

(a)Basis of accounting

For the Company only condensed financial information, the Company records its investment in its subsidiaries and VIEs under the equity method of accounting as prescribed in ASC 323-10, Investments-Equity Method and Joint Ventures: Overall. Such investment is presented on the condensed balance sheets as “Investment in subsidiaries” and share of their income as “Equity in income of subsidiaries” on the condensed statements of comprehensive income. The parent company’s condensed financial statements should be read in conjunction with the Company’s consolidated financial statements.

 

(b)Commitments

The Company does not have any significant commitments or long-term obligations as of any of the years presented.

 

F-44