Douglas Dynamics
PLOW
#6025
Rank
$1.04 B
Marketcap
$45.19
Share price
-0.15%
Change (1 day)
89.71%
Change (1 year)

Douglas Dynamics - 10-K annual report 2011


Text size:

Use these links to rapidly review the document
Table of Contents
Index to Consolidated Financial Statements

UNITED STATES
SECURITIES AND EXCHANGE COMMISSION
Washington, D.C. 20549

FORM 10-K

(Mark One)  

ý

 

Annual Report Pursuant to Section 13 or 15(d) of the Securities Exchange Act of 1934

For the fiscal year ended December 31, 2011

or

o

 

Transition Report Pursuant to Section 13 or 15(d) of the Securities Exchange Act of 1934

For the Transition period from                        to                       

Commission File No. 001-34728

DOUGLAS DYNAMICS, INC.

LOGO

(Exact name of registrant as specified in its charter)

Delaware
(State or other jurisdiction of
incorporation or organization)
  134275891
(I.R.S. Employer
Identification No.)

7777 N 73rd Street

 

 
Milwaukee, Wisconsin
(Address of principal executive offices)
  53223
(Zip Code)

Registrant's telephone number, including area code (414) 354-2310

         Securities registered pursuant to Section 12(b) of the Act:

Title of each class  Name of each exchange on which registered
Common Stock, $.01 Par Value New York Stock Exchange

         Securities registered pursuant to Section 12(g) of the Act: NONE

         Indicate by check mark if the registrant is a well-known seasoned issuer, as defined in Rule 405 of the Securities Act. Yes o    No ý.

         Indicate by check mark if the registrant is not required to file reports pursuant to Section 13 or Section 15(d) of the Act. Yes o    No ý.

         Indicate by check mark whether the registrant (1) has filed all reports required to be filed by Section 13 or 15(d) of the Securities Exchange Act of 1934 during the preceding 12 months (or for such shorter period that the registrant was required to file such reports), and (2) has been subject to such filing requirements for the past 90 days. Yes ý    No o.

         Indicate by check mark whether the registrant has submitted electronically and posted on its corporate Website, if any, every Interactive Data File required to be submitted and posted pursuant to Rule 405 of Regulation S-T (232.405 of this chapter) during the preceding 12 months (or for such shorter period that the registrant was required to submit and post such files). Yes ý    No o.

         Indicate by check mark if disclosure of delinquent filers pursuant to Item 405 of Regulation S-K is not contained herein, and will not be contained, to the best of registrant's knowledge, in definitive proxy or information statements incorporated by reference in Part III of this Form 10-K or any amendment to this Form 10-K. o

         Indicate by check mark whether the registrant is a large accelerated filer, an accelerated filer, a non-accelerated filer or a smaller reporting company. See definitions of "large accelerated filer," "accelerated filer" and "smaller reporting company" in Rule 12b-2 of the Exchange Act. (Check one):

Large accelerated filer o Accelerated filer ý Non-accelerated filer o
(Do not check if a
smaller reporting company)
 Smaller reporting company o

         Indicate by check mark whether the registrant is a shell company (as defined in Rule 12b-2 of the Exchange Act). Yes o    No ý.

         At June 30, 2011, the aggregate market value of the voting stock of the Registrant held by stockholders who were not affiliates of the Registrant was approximately $291 million (based upon the closing price of Registrant's Common Stock on the New York Stock Exchange on such date). At March 13, 2012, the Registrant had outstanding an aggregate of 22,130,996 shares of its Common Stock.

Documents Incorporated by Reference:

         Portions of the Proxy Statement for the Registrant's Annual Meeting of Shareholders to be held on May 2, 2012 are incorporated into Parts II and III.

   


Table of Contents


Table of Contents

 
  
  
 

PART I

  3 

Item 1.

 

Business

  3 

Item 1A.

 

Risk Factors

  10 

Item 1B.

 

Unresolved Staff Comments

  19 

Item 2.

 

Properties

  19 

Item 3.

 

Legal Proceedings

  19 

Item 4.

 

Mine Safety Disclosures

  19 

PART II

  20 

Item 5.

 

Market for Registrant's Common Equity, Related Stockholder Matters and Issuer Purchases of Equity Securities

  20 

 

We did not make any purchases of equity securities registered pursuant to Section 12 of the Securities Exchange Act of 1934 during 2011

  22 

Item 6.

 

Selected Consolidated Financial Data

  22 

Item 7.

 

Management Discussion and Analysis of Financial Condition and Results of Operations

  23 

Item 7A.

 

Quantitative and Qualitative Disclosures About Market Risk

  43 

Item 8.

 

Financial Statements and Supplementary Data

  43 

Item 9.

 

Changes In and Disagreements with Accountants on Accounting and Financial Disclosures

  43 

Item 9A.

 

Controls and Procedures

  43 

Item 9B.

 

Other Information

  44 

PART III

  45 

Item 10.

 

Directors, Executive Officers and Corporate Governance

  45 

Item 11.

 

Executive Compensation

  45 

Item 12.

 

Security Ownership of Certain Beneficial Owners and Management and Related Shareholder Matters

  45 

Item 13.

 

Certain Relationships and Related Transactions, and Director Independence

  45 

Item 14.

 

Principal Accounting Fees and Services

  45 

PART IV

  46 

Item 15.

 

Exhibits and Financial Statement Schedules

  46 

Signatures

  47 

Exhibit Index

  48 

Index to Consolidated Financial Statements

  F-1 

Table of Contents


PART I

Forward Looking Statements

        This Annual Report on Form 10-K contains "forward-looking statements" made within the meaning of the Private Securities Litigation Reform Act of 1995. Words such as "anticipate," "believe," "intend," "estimate," "expect," "continue," "should," "could," "may," "plan," "project," "predict," "will" and similar expressions are intended to identify forward-looking statements. In addition, statements covering our future sales or financial performance and our plans, performance and other objectives, expectations or intentions are forward-looking statements, such as statements regarding our liquidity, debt, planned capital expenditures, and adequacy of capital resources and reserves. Factors that could cause our actual results to differ materially from those expressed or implied in such forward-looking statements include, but are not limited to:

    Weather conditions, particularly lack of or reduced levels of snowfall;

    A significant decline in economic conditions;

    Our inability to maintain good relationships with our distributors;

    Lack of available or favorable financing options for our end-users or distributors;

    Increases in the price of steel or other materials necessary for the production of our products that cannot be passed on to our distributors;

    The inability of our suppliers to meet our volume or quality requirements;

    Inaccuracies in our estimates of future demand for our products;

    Our inability to protect or continue to build our intellectual property portfolio;

    Our inability to develop new products or improve upon existing products in response to end-user needs;

    Our inability to compete effectively against competition;

    The effects of laws and regulations and their interpretations on our business and financial conditions;

    Losses due to lawsuits arising out of personal injuries associated with our products; and

    Factors that could impact dividend payments;

        We undertake no obligation to revise the forward-looking statements included in this Annual Report on Form 10-K to reflect any future events or circumstances. Our actual results, performance or achievements could differ materially from the results expressed in, or implied by, these forward-looking statements. Factors in addition to those listed above that could cause or contribute to such differences are discussed in Item 1A, "Risk Factors" of the Annual Report on Form 10-K.

Item 1.    Business

Overview

        Douglas Dynamics, Inc. (the "Company," "we," "us," "our") is the North American leader in the design, manufacture and sale of snow and ice control equipment for light trucks, which consists of snowplows, sand and salt spreaders, and related parts and accessories. We sell our products under the WESTERN®, FISHER® and BLIZZARD® brands which are among the most established and recognized in the industry. We believe that in 2011 our share of the light truck snow and ice control equipment market was greater than 50%. We operate as a single segment.

3


Table of Contents

        We offer the broadest and most complete product line of snowplows and sand and salt spreaders for light trucks in the U.S. and Canadian markets. We also provide a full range of related parts and accessories, which generates an ancillary revenue stream throughout the lifecycle of our snow and ice control equipment. For the year ended December 31, 2011, 85% of our net sales were generated from sales of snow and ice control equipment, and 15% of our net sales were generated from sales of parts and accessories.

        We sell our products through a distributor network primarily to professional snowplowers who are contracted to remove snow and ice from commercial, municipal and residential areas. Over the last 50 years, we have engendered exceptional customer loyalty for our products because of our ability to satisfy the stringent demands of our customers for a high degree of quality, reliability and service. As a result, we believe our installed base is the largest in the industry with over 500,000 snowplows and sand and salt spreaders in service. Because sales of snowplows and sand and salt spreaders are primarily driven by the need of our core end-user base to replace worn existing equipment, we believe our substantial installed base provides us with a high degree of predictable sales over any extended period of time.

        We believe we have the industry's most extensive North American distributor network, which primarily consists of over 720 truck equipment distributors who purchase directly from us and are located throughout the snow belt regions in North America (primarily the Midwest, East and Northeast regions of the United States as well as all provinces of Canada). We have longstanding relationships with many of our distributors, with an average tenure of approximately 15 years. We continually seek to grow and optimize our network by opportunistically adding high-quality, well-capitalized distributors in select geographic areas and by cross-selling our industry-leading brands within our distribution network. Beginning in 2005, we began to extend our reach to international markets, establishing distribution relationships in Northern Europe and Asia, where we believe meaningful growth opportunities exist.

        We believe we are the industry's most operationally efficient manufacturer due to our vertical integration, highly variable cost structure and intense focus on lean manufacturing. We continually seek to use lean principles to reduce costs and increase the efficiency of our manufacturing operations. We currently manufacture our products in two facilities that we own in Milwaukee, Wisconsin and Rockland, Maine. Furthermore, our manufacturing efficiency allows us to deliver desired products quickly to our customers during times of sudden and unpredictable snowfall events when our customers need our products immediately.

        On May 10, 2010, we completed our initial public offering ("IPO"). In connection with our IPO, we listed our common stock on the New York Stock Exchange ("NYSE") under the stock symbol "PLOW." On May 20, 2011 and December 6, 2011, certain of our stockholders, including affiliates of Aurora Capital Group and Ares Management, completed registered secondary offerings of 5,750,000 and 1,966,479 shares, respectively, of our common stock. We did not receive any proceeds from the sale of common stock by the selling stockholders in the offerings.

Our Industry

        The light truck snow and ice control equipment industry in North America consists predominantly of domestic participants that manufacture their products in North America. The annual demand for snow and ice control equipment is driven primarily by the replacement cycle of the existing installed base, which is predominantly a function of the average life of a snowplow or spreader and is driven by usage and maintenance practices of the end-user. We believe actively-used snowplows are typically replaced, on average, every 7 to 8 years.

        The primary factor influencing the replacement cycle for snow and ice control equipment is the level, timing and location of snowfall. Sales of snow and ice control equipment in any given year and region are most heavily influenced by local snowfall levels in the prior snow season. Heavy snowfall

4


Table of Contents

during a given winter causes equipment usage to increase, resulting in greater wear and tear and shortened life cycles, thereby creating a need for replacement equipment and additional parts and accessories.

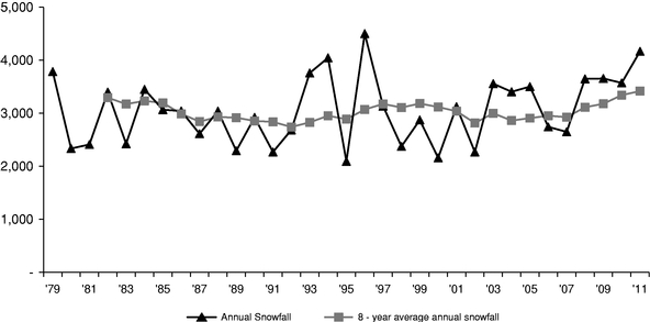
        While snowfall levels vary within a given year and from year-to-year, snowfall, and the corresponding replacement cycle of snow and ice control equipment, is relatively consistent over multi-year periods. The following chart depicts aggregate annual and eight-year (based on the typical life of our snowplows) rolling average of the aggregate snowfall levels in 66 cities in 26 snow belt states across the Northeast, East, Midwest and Western United States where we monitor snowfall levels from 1980 to 2011. As the chart indicates, since 1982 aggregate snowfall levels in any given rolling eight-year period have been fairly consistent, ranging from 2,742 to 3,419 inches.


Snowfall in Snowbelt States (inches)
(for October 1 through March 31)

GRAPHIC

Note: The 8-year rolling average snowfall is not presented prior to 1982 for purposes of the calculation due to lack of snowfall data prior to 1975. Snowfall data in this chart is not adjusted for snowfall outside of the 66 cities in the 26 states reflected.

Source: National Oceanic and Atmospheric Administration's National Weather Service.

        The demand for snow and ice control equipment can also be influenced by general economic conditions in the United States, as well as local economic conditions in the snow-belt regions in North America. In stronger economic conditions, our end-users may choose to replace or upgrade existing equipment before its useful life has ended, while in weak economic conditions, our end-users may seek to extend the useful life of equipment, thereby increasing the sales of parts and accessories. However, since snow and ice control management is a non-discretionary service necessary to ensure public safety and continued personal and commercial mobility in populated areas that receive snowfall, end-users cannot extend the useful life of snow and ice control equipment indefinitely and must replace equipment that has become too worn, unsafe or unreliable, regardless of economic conditions. While our parts and accessories yield slightly higher gross margins than our snow and ice control equipment, they yield significantly lower revenue than equipment sales, which adversely affects our results of operations. However, since snow and ice control management is a non-discretionary service necessary to ensure public safety and continued personal and commercial mobility in populated areas that receive snowfall, end-users cannot extend the useful life of snow and ice control equipment indefinitely and

5


Table of Contents

must replace equipment that has become too worn, unsafe or unreliable, regardless of economic conditions.

        Sales of parts and accessories for 2010 and 2011, respectively, were approximately 21.9% and 51.2% higher than average annual parts and accessories sales over the preceding ten years, which management believes is largely a result of the deferral of new equipment purchases due to the recent economic downturn. Although sales of snow and ice control units increased in 2011 as compared to 2010, management believes that absent the recent economic downturn, equipment sales in 2010 and 2011 would have been considerably higher due to the high levels of snowfall during these years, as equipment unit sales in 2010 and 2011 remained below the ten-year average, while snowfall levels for snow seasons ending March 31, 2010 and 2011 were considerably above the ten-year average. Management believes this deferral of new equipment purchases could result in an elevated multi-year replacement cycle as the economy recovers.

        Long-term growth in the overall snow and ice control equipment market also results from geographic expansion of developed areas in the snow belt regions of North America, as well as consumer demand for technological enhancements in snow and ice control equipment and related parts and accessories that improves efficiency and reliability. Continued construction in the snow belt regions in North America increases the aggregate area requiring snow and ice removal, thereby growing the market for snow and ice control equipment. In addition, the development and sale of more reliable, more efficient and more sophisticated products have contributed to an approximate 2% to 4% average unit price increase in each of the past five years.

Our Competitive Strengths

        We compete solely with other North American manufacturers who do not benefit from our extensive distributor network, manufacturing efficiencies and depth and breadth of products. As the market leader in snow and ice control equipment for light trucks, we enjoy a set of competitive advantages versus smaller equipment providers, which allows us to generate robust cash flows in all snowfall environments and to support continued investment in our products, distribution capabilities and brand regardless of annual volume fluctuations. We believe these advantages are rooted in the following competitive strengths and reinforces our industry leadership over time.

        Exceptional Customer Loyalty and Brand Equity.    Our brands enjoy exceptional customer loyalty and brand equity in the snow and ice control equipment industry with both end-users and distributors, which have been developed through over 50 years of superior innovation, productivity, reliability and support, consistently delivered season after season. We believe past brand experience, rather than price, is the key factor impacting snowplow purchasing decisions.

        Broadest and Most Innovative Product Offering.    We provide the industry's broadest product offering with a full range of snowplows, sand and salt spreaders and related parts and accessories. We believe we maintain the industry's largest and most advanced in-house new product development program, historically introducing several new and redesigned products each year. Our broad product offering and commitment to new product development is essential to maintaining and growing our leading market share position as well as continuing to increase the profitability of our business.

        Extensive North American Distributor Network.    With over 720 direct distributors, we benefit from having the most extensive North American direct distributor network in the industry, providing a significant competitive advantage over our peers. Our distributors function not only as sales and support agents (providing access to parts and service), but also as industry partners providing real-time end-user information, such as retail inventory levels, changing consumer preferences or desired functionality enhancements, which we use as the basis for our product development efforts.

6


Table of Contents

        Leader in Operational Efficiency.    We believe we are a leader in operational efficiency in our industry, resulting from our application of lean manufacturing principles and a highly variable cost structure. By utilizing lean principles, we are able to adjust production levels easily to meet fluctuating demand, while controlling costs in slower periods. This operational efficiency is supplemented by our highly variable cost structure, driven in part by our access to a sizable temporary workforce (comprising approximately 10-15% of our total workforce), which we can quickly adjust, as needed. These manufacturing efficiencies enable us to respond rapidly to urgent customer demand during times of sudden and unpredictable snowfalls, allowing us to provide exceptional service to our existing customer base and capture new customers from competitors that we believe cannot service their customers' needs with the same speed and reliability.

        Strong Cash Flow Generation.    We are able to generate significant cash flow as a result of relatively consistent high profitability, low capital spending requirements and predictable timing of our working capital requirements. Our cash flow results will also benefit substantially from approximately $18 million of annual tax-deductible intangible and goodwill expense over the next eight years, which has the impact of reducing our corporate taxes owed by approximately $6.7 million on an annual basis during this period, in the event we have sufficient taxable income to utilize such benefit. Our significant cash flow has allowed us to reinvest in our business, pay down long term debt, and pay substantial dividends on a pro rata basis to our stockholders.

        Experienced Management Team.    We believe our business benefits from an exceptional management team that is responsible for establishing our leadership in the snow and ice control equipment industry for light trucks. Our senior management team, consisting of four officers, has an average of approximately 20 years of weather-related industry experience and an average of over eleven years with our company. James Janik, our President and Chief Executive Officer, has been with us for over 19 years and in his current role since 2000, and through his strategic vision, we have been able to expand our distributor network and grow our market leading position.

Our Business Strategy

        Our business strategy is to capitalize on our competitive strengths to maximize cash flow to pay dividends, reduce indebtedness and reinvest in our business to create stockholder value. The building blocks of our strategy are:

        Continuous Product Innovation.    We believe new product innovation is critical to maintaining and growing our market-leading position in the snow and ice control equipment industry. We will continue to focus on developing innovative solutions to increase productivity, ease of use, reliability, durability and serviceability of our products and on incorporating lean manufacturing concepts into our product development process, which has allowed us to reduce the overall cost of development and, more importantly, to reduce our time-to-market by nearly one-half.

        Distributor Network Optimization.    We will continually seek opportunities to continue to expand our extensive distribution network by adding high-quality, well-capitalized distributors in select geographic areas and by cross-selling our industry-leading brands within our distribution network to ensure we maximize our ability to generate revenue while protecting our industry leading reputation, customer loyalty and brands. We will also focus on optimizing this network by providing in-depth training, valuable distributor support and attractive promotional and incentive opportunities. As a result of these efforts, we believe a majority of our distributors choose to sell our products exclusively. We believe this sizable high quality network is unique in the industry, providing us with valuable insight into purchasing trends and customer preferences, and would be very difficult to replicate.

        Aggressive Asset Management and Profit Focus.    We will continue to aggressively manage our assets in order to maximize our cash flow generation despite seasonal and annual variability in snowfall levels.

7


Table of Contents

We believe our ability is unique in our industry and enables us to achieve attractive margins in all snowfall environments. Key elements of our asset management and profit focus strategies include:

    employment of a highly variable cost structure, which allows us to quickly adjust costs in response to real-time changes in demand;

    use of enterprise-wide lean principles, which allow us to easily adjust production levels up or down to meet demand;

    implementation of a pre-season order program, which incentivizes distributors to place orders prior to the retail selling season and thereby enables us to more efficiently utilize our assets; and

    development of a vertically integrated business model, which we believe provides us cost advantages over our competition.

        Additionally, although modest, our capital expenditure requirements and operating expenses can be temporarily reduced in response to anticipated or actual lower sales in a particular year to maximize cash flow.

        Flexible, Lean Enterprise Platform.    We will continue to utilize lean principles to maximize the flexibility, efficiency and productivity of our manufacturing operations while reducing the associated costs, enabling us to increase distributor and end-user satisfaction. For example, in an environment where shorter lead times and near-perfect order fulfillment are important to our distributors, we believe our lean processes have helped us to improve our shipping performance and build a reputation for providing industry leading shipping performance.

Our Growth Opportunities

        Increase Our Industry Leading Market Share.    We plan to leverage our industry leading position, distribution network and new product innovation capabilities to capture market share in the North American snow and ice control equipment market, focusing our primary efforts on increasing penetration in those North American markets where we believe our overall market share is less than 50%. We also plan to continue growing our presence in the snow and ice control equipment market outside of North America, particularly in Asia and Europe, which we believe could provide significant growth opportunities in the future.

        Opportunistically Seek New Products and New Markets.    We will consider external growth opportunities within the snow and ice control industry and other equipment or component markets. We plan to continue to evaluate acquisition opportunities within our industry that can help us expand our distribution reach, enhance our technology and as a consequence improve the breadth and depth of our product lines. We also consider diversification opportunities in adjacent markets that complement our business model and could offer us the ability to leverage our core competencies to create stockholder value.

Employees

        As of December 31, 2011, we employed approximately 525 employees on a full-time basis. None of our employees are represented by a union and we are not party to any collective bargaining agreements.

8


Table of Contents

Sales Programs

        We offer a number of sales programs to our distributors to finance the purchase of our products. One such program is our pre-season sales program, which not only benefits our distributors, but also benefits us by helping us to manage the seasonality of our business. During the second and third quarters, we offer our distributors the option of either (1) a purchase price discount, with the percentage discount being highest the earlier in the season that the distributor purchases and pays for our products, or (2) deferring payment until the fourth quarter. Under either option product shipment occurs during the pre-season sales period. On average, approximately 60% to 65% of our annual shipments occur during the pre-season sales period. Distributors who purchase our products during the first or fourth quarter, on the other hand, must deliver payment to us within 30 days of shipment. Our backlog as of December 31, 2011 and 2010 was $0.8 million and $0.7 million, respectively. We expect that all backlog as of December 31, 2011 will be shipped in 2012.

        We are also party to an accounts receivable securitization facility pursuant to which certain distributors may elect to finance their purchases from us through a third party financing company. Distributors who purchase our products through this financing arrangement are offered the same pre-season sales incentives as distributors who purchase directly from us, the terms of which are described above. In the years ended December 31, 2011, 2010 and 2009, 1.3%, 1.0% and 1.9%, respectively of our net sales were financed by our distributors through a third party financing company. Pursuant to the terms of this facility, we maintain the risk of collectability of the receivable under this facility. If the third party financing company is unable to collect from the distributor the amounts due in respect of the product financing, we are obligated to repurchase the outstanding receivable balance plus any legal fees incurred by the financing company. Historically, repurchases of inventory and uncollectible amounts related to receivables sold under this program have been less than $100 thousand on average for the years ended December 31, 2009, 2010 and 2011.

        In 2011, we also unveiled an end-user financing program. We have partnered with a third party financing company which has agreed to extend credit to our-end users for purchases of our products, subject to credit approval. Once approval is obtained, our end-users can then place an order directly for our products with our distributors. This program is designed to facilitate our end-users' access to credit.

Intellectual Property

        We maintain patents relating to snowplow mounts, assemblies, hydraulics, electronics and lighting systems as well as sand and salt spreader assemblies and our patent applications relate to each of the foregoing except for hydraulics and sand and salt spreader assemblies. When granted, each patent has a 17 year duration. The duration of the patents we currently possess range between one year and 17 years of remaining life. Our patent applications date from 2001 to 2011.

        We rely on a combination of patents, trade secrets and trademarks to protect certain of the proprietary aspects of our business and technology. We hold approximately 20 U.S. registered trademarks (including the trademarks WESTERN®, FISHER® and BLIZZARD®), 5 Canadian registered trademarks, 25 U.S. issued patents, 15 Canadian patents and two Chinese patents.

Other Information

        We were formed as a Delaware corporation in 2004. We maintain a website with the address www.douglasdynamics.com. We are not including the information contained on our website as part of, or incorporating it by reference into, this report. We make available free of charge (other than an investor's own Internet access charges) through our website our Annual Report on Form 10-K, quarterly reports on Form 10-Q and current reports on Form 8-K, and amendments to these reports, as

9


Table of Contents

soon as reasonably practicable after we electronically file such material with, or furnish such material to, the Securities and Exchange Commission ("SEC").

Item 1A.    Risk Factors

        The Company operates in an environment that involves numerous known and unknown risks and uncertainties. Our business, prospects, financial condition and operating results could be materially adversely affected by any of these risks, as well as other risks not currently known to us or that we currently consider immaterial. The risk described below highlight some of the factors that have affected, and in the future could affect our operations.

Our results of operations depend primarily on the level, timing and location of snowfall. As a result, a decline in snowfall levels in multiple regions for an extended time could cause our results of operations to decline and adversely affect our ability to pay dividends.

        As a manufacturer of snow and ice control equipment for light trucks, and related parts and accessories, our sales depend primarily on the level, timing and location of snowfall in the regions in which we offer our products. A low level or lack of snowfall in any given year in any of the snow-belt regions in North America (primarily the Midwest, East and Northeast regions of the United States as well as all provinces of Canada) will likely cause sales of our products to decline in such year as well as the subsequent year, which in turn may adversely affect our results of operations and ability to pay dividends. See "Management's Discussion and Analysis of Financial Condition and Results of Operations—Seasonality and Year-to-Year Variability." A sustained period of reduced snowfall events in one or more of the geographic regions in which we offer our products could cause our results of operations to decline and adversely affect our ability to pay dividends.

The year-to-year variability of our business can cause our results of operations and financial condition to be materially different from year-to-year; whereas the seasonality of our business can cause our results of operations and financial condition to be materially different from quarter-to-quarter.

        Because our business depends on the level, timing and location of snowfall, our results of operations vary from year-to-year. Additionally, because the annual snow season typically only runs from October 1 through March 31, our distributors typically purchase our products during the second and third quarters. As a result, we operate in a seasonal business. We not only experience seasonality in our sales, but also experience seasonality in our working capital needs. Consequently, our results of operations and financial condition can vary from year-to-year, as well as from quarter-to-quarter, which could affect our ability to pay dividends. If we are unable to effectively manage the seasonality and year-to-year variability of our business, our results of operations, financial condition and ability to pay dividends may suffer.

If economic conditions in the United States continue to remain weak or deteriorate further, our results of operations, financial condition and ability to pay dividends may be adversely affected.

        Historically, demand for snow and ice control equipment for light trucks has been influenced by general economic conditions in the United States, as well as local economic conditions in the snow-belt regions in North America. During the last few years, economic conditions throughout the United States have been extremely weak, although they began to improve in 2011, they may not become strong in the foreseeable future. Weakened economic conditions may cause our end-users to delay purchases of replacement snow and ice control equipment and instead repair their existing equipment, leading to a decrease in our sales of new equipment. Weakened economic conditions may also cause our end-users to delay their purchases of new light trucks. Because our end-users tend to purchase new snow and ice control equipment concurrent with their purchase of new light trucks, their delay in purchasing new light trucks can also result in the deferral of their purchases of new snow and ice control equipment.

10


Table of Contents

The deferral of new equipment purchases during periods of weak economic conditions may negatively affect our results of operations, financial condition and ability to pay dividends.

        Weakened economic conditions may also cause our end-users to consider price more carefully in selecting new snow and ice control equipment. Historically, considerations of quality and service have outweighed considerations of price, but in a weak economy, price may become a more important factor. Any refocus away from quality in favor of cheaper equipment could cause end-users to shift away from our products to less expensive competitor products, or to shift away from our more profitable products to our less profitable products, which in turn would adversely affect our results of operations and our ability to pay dividends.

Our failure to maintain good relationships with our distributors, the loss or consolidation of our distributor base or the actions or inactions of our distributors could have an adverse effect on our results of operations and our ability to pay dividends.

        We depend on a network of truck equipment distributors to sell, install and service our products. Nearly all of these sales and service relationships are at will, so almost all of our distributors could discontinue the sale and service of our products at any time, and those distributors that primarily sell our products may choose to sell competing products at any time. Further, difficult economic or other circumstances could cause any of our distributors to discontinue their businesses. Moreover, if our distributor base were to consolidate or if any of our distributors were to discontinue their business, competition for the business of fewer distributors would intensify. If we do not maintain good relationships with our distributors, or if we do not provide product offerings and pricing that meet the needs of our distributors, we could lose a substantial amount of our distributor base. A loss of a substantial portion of our distributor base could cause our sales to decline significantly, which would have an adverse effect on our results of operations and ability to pay dividends.

        In addition, our distributors may not provide timely or adequate service to our end-users. If this occurs, our brand identity and reputation may be damaged, which would have an adverse effect on our results of operations and ability to pay dividends.

Lack of available financing options for our end-users or distributors may adversely affect our sales volumes.

        Our end-user base is highly concentrated among professional snowplowers, who comprise over 50% of our end-users, many of whom are individual landscapers who remove snow during the winter and landscape during the rest of the year, rather than large, well-capitalized corporations. These end-users often depend upon credit to purchase our products. If credit is unavailable on favorable terms or at all, our end-users may not be able to purchase our products from our distributors, which would in turn reduce sales and adversely affect our results of operations and ability to pay dividends.

        In addition, because our distributors, like our end-users, rely on credit to purchase our products, if our distributors are not able to obtain credit, or access credit on favorable terms, we may experience delays in payment or nonpayment for delivered products. Further, if our distributors are unable to obtain credit or access credit on favorable terms, they could experience financial difficulties or bankruptcy and cease purchases of our products altogether. Thus, if financing is unavailable on favorable terms or at all, our results of operations and ability to pay dividends would be adversely affected.

The price of steel, a commodity necessary to manufacture our products, is highly variable. If the price of steel increases, our gross margins could decline.

        Steel is a significant raw material used to manufacture our products. During 2011, 2010 and 2009, our steel purchases were approximately 15%, 13% and 18% of our revenue, respectively. The steel industry is highly cyclical in nature, and steel prices have been volatile in recent years and may remain

11


Table of Contents

volatile in the future. Steel prices are influenced by numerous factors beyond our control, including general economic conditions domestically and internationally, the availability of raw materials, competition, labor costs, freight and transportation costs, production costs, import duties and other trade restrictions. Steel prices are volatile and may increase as a result of increased demand from the automobile and consumer durable sectors. If the price of steel increases, our variable costs may increase. We may not be able to mitigate these increased costs through the implementation of permanent price increases or temporary invoice surcharges, especially if economic conditions remain weak and our distributors and end-users become more price sensitive. If we are unable to successfully mitigate such cost increases in the future, our gross margins could decline.

If petroleum prices increase, our results of operations could be adversely affected.

        Petroleum prices have fluctuated significantly in recent years. Prices and availability of petroleum products are subject to political, economic and market factors that are outside of our control. Political events in petroleum-producing regions as well as hurricanes and other weather-related events may cause the price of fuel to increase. If the price of fuel increases, the demand for our products may decline, which would adversely affect our financial condition and results of operations.

We depend on outside suppliers who may be unable to meet our volume and quality requirements, and we may be unable to obtain alternative sources.

        We purchase certain components essential to our snowplows and sand and salt spreaders from outside suppliers, including off-shore sources. Most of our key supply arrangements can be discontinued at any time. A supplier may encounter delays in the production and delivery of such products and components or may supply us with products and components that do not meet our quality, quantity or cost requirements. Additionally, a supplier may be forced to discontinue operations. Any discontinuation or interruption in the availability of quality products and components from one or more of our suppliers may result in increased production costs, delays in the delivery of our products and lost end-user sales, which could have an adverse effect on our business and financial condition.

        We have continued to increase the number of our off-shore suppliers. Our increased reliance on off-shore sourcing may cause our business to be more susceptible to the impact of natural disasters, war and other factors that may disrupt the transportation systems or shipping lines used by our suppliers, a weakening of the dollar over an extended period of time and other uncontrollable factors such as changes in foreign regulation or economic conditions. In addition, reliance on off-shore suppliers may make it more difficult for us to respond to sudden changes in demand because of the longer lead time to obtain components from off-shore sources. We may be unable to mitigate this risk by stocking sufficient materials to satisfy any sudden or prolonged surges in demand for our products. If we cannot satisfy demand for our products in a timely manner, our sales could suffer as distributors can cancel purchase orders without penalty until shipment.

We do not sell our products under long-term purchase contracts, and sales of our products are significantly impacted by factors outside of our control; therefore, our ability to estimate demand is limited.

        We do not enter into long-term purchase contracts with our distributors and the purchase orders we receive may be cancelled without penalty until shipment. Therefore, our ability to accurately predict future demand for our products is limited. Nonetheless, we attempt to estimate demand for our products for purposes of planning our annual production levels and our long-term product development and new product introductions. We base our estimates of demand on our own market assessment, snowfall figures, quarterly field inventory surveys and regular communications with our distributors. Because wide fluctuations in the level, timing and location of snowfall, economic conditions and other factors may occur, each of which is out of our control, our estimates of demand may not be accurate. Underestimating demand could result in procuring an insufficient amount of materials necessary for the

12


Table of Contents

production of our products, which may result in increased production costs, delays in product delivery, missed sale opportunities and a decrease in customer satisfaction. Overestimating demand could result in the procurement of excessive supplies, which could result in increased inventory and associated carrying costs.

If we are unable to enforce, maintain or continue to build our intellectual property portfolio, or if others invalidate our intellectual property rights, our competitive position may be harmed.

        Our patents relate to snowplow mounts, assemblies, hydraulics, electronics and lighting systems as well as sand and salt spreader assemblies and our patent applications relate to each of the foregoing except for hydraulics and sand and salt spreader assemblies. When granted, each patent has a 17 year duration. The duration of the patents we currently possess range between one year and 17 years of remaining life. Our patent applications date from 2001 through 2011.

        We rely on a combination of patents, trade secrets and trademarks to protect certain of the proprietary aspects of our business and technology. We hold approximately 20 U.S. registered trademarks (including the trademarks WESTERN®, FISHER® and BLIZZARD®), 5 Canadian registered trademarks, 25 U.S. issued patents, 15 Canadian patents and two Chinese patents. Although we work diligently to protect our intellectual property rights, monitoring the unauthorized use of our intellectual property is difficult, and the steps we have taken may not prevent unauthorized use by others. In addition, in the event a third party challenges the validity of our intellectual property rights, a court may determine that our intellectual property rights may not be valid or enforceable. An adverse determination with respect to our intellectual property rights may harm our business prospects and reputation. Third parties may design around our patents or may independently develop technology similar to our trade secrets. The failure to adequately build, maintain and enforce our intellectual property portfolio could impair the strength of our technology and our brands, and harm our competitive position. Although we have no reason to believe that our intellectual property rights are vulnerable, previously undiscovered intellectual property could be used to invalidate our rights.

If we are unable to develop new products or improve upon our existing products on a timely basis, it could have an adverse effect on our business and financial condition.

        We believe that our future success depends, in part, on our ability to develop on a timely basis new technologically advanced products or improve upon our existing products in innovative ways that meet or exceed our competitors' product offerings. Continuous product innovation ensures that our consumers have access to the latest products and features when they consider buying snow and ice control equipment. Maintaining our market position will require us to continue to invest in research and development and sales and marketing. Product development requires significant financial, technological and other resources. We may be unsuccessful in making the technological advances necessary to develop new products or improve our existing products to maintain our market position. Industry standards, end-user expectations or other products may emerge that could render one or more of our products less desirable or obsolete. If any of these events occur, it could cause decreases in sales, a failure to realize premium pricing and an adverse effect on our business and financial condition.

We face competition from other companies in our industry, and if we are unable to compete effectively with these companies, it could have an adverse effect on our sales and profitability. Price competition among our distributors could negatively affect our market share.

        We primarily compete with regional manufacturers of snow and ice control equipment for light trucks. While we are the most geographically diverse company in our industry, we may face increasing competition in the markets in which we operate. In saturated markets, price competition may lead to a decrease in our market share or a compression of our margins, both of which would affect our

13


Table of Contents

profitability. Moreover, current or future competitors may grow their market share and develop superior service and may have or may develop greater financial resources, lower costs, superior technology or more favorable operating conditions than we maintain. As a result, competitive pressures we face may cause price reductions for our products, which would affect our profitability or result in decreased sales and operating income. Additionally, saturation of the markets in which we compete or channel conflicts among our brands and shifts in consumer preferences may increase these competitive pressures or may result in increased competition among our distributors and affect our sales and profitability. In addition, price competition among the distributors that sell our products could lead to significant margin erosion among our distributors, which could in turn result in compressed margins or loss of market share for us. Management believes that, after ourselves, the next largest competitors in the market for snow and ice control equipment for light trucks are Northern Star Industries, Inc. (the manufacturer of the Boss brand of snow and ice control equipment) and Meyer Products LLC, respectively, and accordingly represent our primary competitors for market share.

We are subject to complex laws and regulations, including environmental and safety regulations that can adversely affect the cost, manner or feasibility of doing business.

        Our operations are subject to certain federal, state and local laws and regulations relating to, among other things, the generation, storage, handling, emission, transportation, disposal and discharge of hazardous and non-hazardous substances and materials into the environment, the manufacturing of motor vehicle accessories and employee health and safety. We cannot be certain that existing and future laws and regulations and their interpretations will not harm our business or financial condition. We currently make and may be required to make large and unanticipated capital expenditures to comply with environmental and other regulations, such as:

    Applicable motor vehicle safety standards established by the National Highway Traffic Safety Administration;

    Reclamation and remediation and other environmental protection; and

    Standards for workplace safety established by the Occupational Safety and Health Administration.

        While we monitor our compliance with applicable laws and regulations and attempt to budget for anticipated costs associated with compliance, we cannot predict the future cost of such compliance. In 2011, the amount expended for such compliance was insignificant, but we could incur material expenses in the future in the event of future legislation changes or unforeseen events, such as a workplace accident or environmental discharge, or if we otherwise discover we are in non-compliance with an applicable regulation. In addition, under these laws and regulations, we could be liable for:

    Product liability claims;

    Personal injuries;

    Investigation and remediation of environmental contamination and other governmental sanctions such as fines and penalties; and

    Other environmental damages.

        Our operations could be significantly delayed or curtailed and our costs of operations could significantly increase as a result of regulatory requirements, restrictions or claims. We are unable to predict the ultimate cost of compliance with these requirements or their effect on our operations.

14


Table of Contents

Financial market conditions have had a negative impact on the return on plan assets for our pension plans, which may require additional funding and negatively impact our cash flows.

        Our pension expense and required contributions to our pension plan are directly affected by the value of plan assets, the projected rate of return on plan assets, the actual rate of return on plan assets and the actuarial assumptions we use to measure the defined benefit pension plan obligations. Due to the recent significant financial market downturn, the funded status of our pension plans has declined. As of December 31, 2011, our pension plans were underfunded by approximately $14.2 million. In 2011, contributions to our defined benefit pension plans were approximately $1.9 million. If plan assets continue to perform below expectations, future pension expense and funding obligations will increase, which would have a negative impact on our cash flows. Moreover, under the Pension Protection Act of 2006, it is possible that continued losses of asset values may necessitate accelerated funding of our pension plans in the future to meet minimum federal government requirements.

The statements regarding our industry, market positions and market share in this filing are based on our management's estimates and assumptions. While we believe such statements are reasonable, such statements have not been independently verified.

        Information contained in this Annual Report on Form 10-K concerning the snow and ice control equipment industry for light trucks, our general expectations concerning this industry and our market positions and other market share data regarding the industry are based on estimates our management prepared using end-user surveys, anecdotal data from our distributors and distributors that carry our competitors' products, our results of operations and management's past experience, and on assumptions made, based on our management's knowledge of this industry, all of which we believe to be reasonable. These estimates and assumptions are inherently subject to uncertainties, especially given the year-to-year variability of snowfall and the difficulty of obtaining precise information about our competitors, and may prove to be inaccurate. In addition, we have not independently verified the information from any third-party source and thus cannot guarantee its accuracy or completeness, although management also believes such information to be reasonable. Our actual operating results may vary significantly if our estimates and outlook concerning the industry, snowfall patterns, our market positions or our market shares turn out to be incorrect.

We are subject to product liability claims, product quality issues, and other litigation from time to time that could adversely affect our operating results or financial condition.

        The manufacture, sale and usage of our products expose us to a risk of product liability claims. If our products are defective or used incorrectly by our end-users, injury may result, giving rise to product liability claims against us. If a product liability claim or series of claims is brought against us for uninsured liabilities or in excess of our insurance coverage, and it is ultimately determined that we are liable, our business and financial condition could suffer. Any losses that we may suffer from any liability claims, and the effect that any product liability litigation may have upon the reputation and marketability of our products, may divert management's attention from other matters and may have a negative impact on our business and operating results. Additionally, we could experience a material design or manufacturing failure in our products, a quality system failure or other safety issues, or heightened regulatory scrutiny that could warrant a recall of some of our products. A recall of some of our products could also result in increased product liability claims. Any of these issues could also result in loss of market share, reduced sales, and higher warranty expense.

We are heavily dependent on our Chief Executive Officer and management team.

        Our continued success depends on the retention, recruitment and continued contributions of key management, finance, sale and marketing personnel, some of whom could be difficult to replace. Our success is largely dependent upon our senior management team, led by our Chief Executive Officer and

15


Table of Contents

other key managers. The loss of any one or more of such persons could have an adverse effect on our business and financial condition.

Our indebtedness could adversely affect our operations, including our ability to perform our obligations and pay dividends.

        As of December 31, 2011, we had approximately $123 million of senior secured indebtedness and $70 million of borrowing availability under our revolving credit facility. We may also be able to incur substantial indebtedness in the future, including senior indebtedness, which may or may not be secured.

        Our indebtedness could have important consequences, including the following:

    We could have difficulty satisfying our debt obligations, and if we fail to comply with these requirements, an event of default could result;

    We may be required to dedicate a substantial portion of our cash flow from operations to required payments on indebtedness, thereby reducing the cash flow available to pay dividends or fund working capital, capital expenditures and other general corporate activities;

    Covenants relating to our indebtedness may restrict our ability to make distributions to our stockholders;

    Covenants relating to our indebtedness may limit our ability to obtain additional financing for working capital, capital expenditures and other general corporate activities, which may limit our flexibility in planning for, or reacting to, changes in our business and the industry in which we operate;

    We may be more vulnerable to general adverse economic and industry conditions;

    We may be placed at a competitive disadvantage compared to our competitors with less debt; and

    We may have difficulty repaying or refinancing our obligations under our senior credit facilities on their respective maturity dates.

        If any of these consequences occur, our financial condition, results of operations and ability to pay dividends could be adversely affected. This, in turn, could negatively affect the market price of our common stock, and we may need to undertake alternative financing plans, such as refinancing or restructuring our debt, selling assets, reducing or delaying capital investments or seeking to raise additional capital. We cannot assure you that any refinancing would be possible, that any assets could be sold, or, if sold, of the timing of the sales and the amount of proceeds that may be realized from those sales, or that additional financing could be obtained on acceptable terms, if at all.

Our variable rate indebtedness subjects us to interest rate risk, which could cause our debt service obligations to increase significantly and could impose adverse consequences.

        Certain of our borrowings, including our term loan and any revolving borrowings under our senior credit facilities, are at variable rates of interest and expose us to interest rate risk. In addition, the interest rate on any revolving borrowings is subject to an increase in the interest rate if the average daily availability under our revolving credit facility falls below a certain threshold. If interest rates increase, our debt service obligations on the variable rate indebtedness would increase even though the amount borrowed remained the same, and our net income and cash flows would correspondingly decrease.

16


Table of Contents

Our senior credit facilities impose restrictions on us, which may also prevent us from capitalizing on business opportunities and taking certain corporate actions. One of these facilities also includes minimum availability requirements, which if unsatisfied, could result in liquidity events that may jeopardize our business.

        Our senior credit facilities contain, and future debt instruments to which we may become subject may contain, covenants that limit our ability to engage in activities that could otherwise benefit our company. Under the credit facilities as modified in April 2011, these covenants include restrictions on our ability to:

    incur, assume or permit to exist additional indebtedness or contingent obligations;

    incur liens and engage in sale and leaseback transactions;

    make loans and investments in excess of agreed upon amounts;

    declare dividends, make payments or redeem or repurchase capital stock in excess of agreed upon amounts and subject to certain other limitations;

    engage in mergers, acquisitions and other business combinations;

    prepay, redeem or purchase certain indebtedness or amend or alter the terms of our indebtedness;

    sell assets;

    make further negative pledges;

    create restrictions on distributions by subsidiaries;

    change our fiscal year;

    engage in activities other than, among other things, incurring the debt under our new senior credit facilities and the activities related thereto, holding our ownership interest in DDI LLC, making restricted payments, including dividends, permitted by our new senior credit facilities and conducting activities related to our status as a public company;

    amend or waive rights under certain agreements;

    transact with affiliates or our stockholders; and

    alter the business that we conduct.

        Our amended revolving credit facility also includes limitations on capital expenditures and requires that if we fail to maintain the greater of $8,750,000 and 12.5% of the revolving commitments in borrowing availability, we must comply with a fixed charge coverage ratio test. In addition, if a liquidity event occurs because our borrowing availability is less than the greater of $10,500,000 and 15% of the aggregate revolving commitments (or an event of default occurs and is continuing), subject to certain limited cure rights, all proceeds of our accounts receivable and other collateral will be applied to reduce obligations under our amended revolving credit facility, jeopardizing our ability to meet other obligations. Our ability to comply with the covenants contained in our senior credit facilities or in the agreements governing our future indebtedness, and our ability to avoid liquidity events, may be affected by events, or our future performance, which are subject to factors beyond our control, including prevailing economic, financial, industry and weather conditions, such as the level, timing and location of snowfall and general economic conditions in the snowbelt regions of North America. A failure to comply with these covenants could result in a default under our senior credit facilities, which could prevent us from paying dividends, borrowing additional amounts and using proceeds of our inventory and accounts receivable, and also permit the lenders to accelerate the payment of such debt. If any of our debt is accelerated or if a liquidity event (or event of default) occurs that results in collateral proceeds being applied to reduce such debt, we may not have sufficient funds available to repay such

17


Table of Contents

debt and our other obligations, in which case, our business could be halted and such lenders could proceed against any collateral securing that debt. Further, if the lenders accelerate the payment of the indebtedness under our senior credit facilities, our assets may not be sufficient to repay in full the indebtedness under our senior credit facilities and our other indebtedness, if any. We cannot assure you that these covenants will not adversely affect our ability to finance our future operations or capital needs to pursue available business opportunities or react to changes in our business and the industry in which we operate.

Provisions of Delaware law and our charter documents could delay or prevent an acquisition of us, even if the acquisition would be beneficial to you.

        Provisions in our certificate of incorporation and bylaws may have the effect of delaying or preventing a change of control or changes in our management. These provisions include:

    the absence of cumulative voting in the election of our directors, which means that the holders of a majority of our common stock may elect all of the directors standing for election;

    the ability of our Board of Directors to issue preferred stock with voting rights or with rights senior to those of our common stock without any further vote or action by the holders of our common stock;

    the division of our Board of Directors into three separate classes serving staggered three-year terms;

    the ability of our stockholders to remove our directors is limited to cause and only by the vote of at least 662/3% of the outstanding shares of our common stock;

    the prohibition on our stockholders from acting by written consent and calling special meetings;

    the requirement that our stockholders provide advance notice when nominating our directors or proposing business to be considered by the stockholders at an annual meeting of stockholders; and

    the requirement that our stockholders must obtain a 662/3% vote to amend or repeal certain provisions of our certificate of incorporation.

        We are also subject to Section 203 of the Delaware General Corporation Law, which, subject to certain exceptions, prohibits us from engaging in any business combination with any interested stockholder, as defined in that section, for a period of three years following the date on which that stockholder became an interested stockholder. This provision, together with the provisions discussed above, could also make it more difficult for you and our other stockholders to elect directors and take other corporate actions, and could limit the price that investors might be willing to pay in the future for shares of our common stock.

Our dividend policy may limit our ability to pursue growth opportunities.

        If we continue to pay dividends at the level contemplated by our dividend policy, as in effect on the date of this filing, or if we increase the level of our dividend payments in the future, we may not retain a sufficient amount of cash to finance growth opportunities, meet any large unanticipated liquidity requirements or fund our operations in the event of a significant business downturn. In addition, because a significant portion of cash available will be distributed to holders of our common stock under our dividend policy, our ability to pursue any material expansion of our business, including through acquisitions, increased capital spending or other increases of our expenditures, will depend more than it otherwise would on our ability to obtain third party financing. We cannot assure you that such financing will be available to us at all, or at an acceptable cost. If we are unable to take timely

18


Table of Contents

advantage of growth opportunities, our future financial condition and competitive position may be harmed, which in turn may adversely affect the market price of our common stock.

Item 1B.    Unresolved Staff Comments

        Not applicable.

Item 2.    Properties

        We are headquartered in Milwaukee, WI and currently have manufacturing facilities in Milwaukee, WI, and Rockland, ME. We closed our Johnson City, TN facility in August 2010, and are currently holding it for sale. Additionally, we operate a sourcing office in China. We operate as a single segment.

Item 3.    Legal Proceedings

        In the ordinary course of business, we are engaged in various litigation primarily including product liability and intellectual property disputes. However, management does not believe that any current litigation is material to our operations or financial position. In addition, we are not currently party to any environmental-related claims or legal matters.

Item 4.    Mine Safety Disclosures

        Not applicable.

Executive Officers of the Registrant

        Our executive officers as of December 31, 2011 were as follows:

Name
 Age  Position  

James Janik

  55  President and Chief Executive Officer; Director 

Robert McCormick

  51  Executive Vice President, Chief Financial Officer and Secretary 

Mark Adamson

  53  Vice President, Sales and Marketing 

Keith Hagelin

  51  Vice President, Operations 

        James Janik has been serving as our President and Chief Executive Officer since 2000 and as a director since 2004. Mr. Janik was General Manager of our Western Products division from 1994 to 2000 and Vice President of Marketing and Sales from 1998 to 2000. Prior to joining us, Mr. Janik was the Vice President of Marketing and Sales of Sunlite Plastics Inc., a custom extruder of thermoplastic materials, for two years. During the 11 prior years, Mr. Janik held a number of key marketing, sales and production management positions for John Deere Company.

        Robert McCormick has been serving as our Executive Vice President, Chief Financial Officer since September 2004 and as our Secretary since May 2005. Mr. McCormick served as our Assistant Secretary from September 2004 to May 2005 and as our Treasurer from September 2004 through December 2010. Prior to joining us, Mr. McCormick served as President and Chief Executive Officer of Xymox Technology Inc. from 2001 to 2004. Prior to that, Mr. McCormick served in various capacities in the Newell Rubbermaid Corporation, including President from 2000 to 2001 and Vice President Group Controller from 1997 to 2000. While Mr. McCormick served as President, he was responsible for Newell's Mirro / Wearever Cookware, and as Vice President Group Controller, he was responsible for worldwide strategic and financial responsibilities for 12 company divisions with sales of over two billion dollars.

19


Table of Contents

        Mark Adamson has been serving as our Vice President, Sales and Marketing since 2007. Prior to joining us, Mr. Adamson held numerous senior level management positions with industry leaders in the grounds care industry, including John Deere Company from 1980 to 2002 and Gehl Corporation from 2002 to 2007. From 2003 to 2005, he was the Manager, Regional Sales & Distribution of Gehl Company, directing the sales and marketing activities of certain sales field managers in the northeastern United States responsible for Gehl product sales and rental., and from 2005 to 2007, he was the Director, Training and Customer Support, where he directed the aftermarket and training activities of five departments and thirty-two individuals responsible for Gehl and Mustang products worldwide. From 1980 to 2002, Mr. Adamson held several senior level management positions with John Deere Company.

        Keith Hagelin has been serving as our Vice President, Operations since 2009, having previously spent twelve years in progressive roles with us, including Plant Manager and General Manager—Rockland and most recently Vice President of Manufacturing from 2007 to 2009. Prior to joining Douglas, Mr. Hagelin spent 13 years at Raytheon Corporation in various manufacturing, production and new product development roles.

        Executive officers are elected by, and serve at the discretion of, the Board of Directors. There are no family relationships between any of our directors or executive officers.


PART II

Item 5.    Market for Registrant's Common Equity, Related Stockholder Matters and Issuer Purchases of Equity Securities

        The Company's common stock is listed, and principally traded, on the NYSE. The Company's symbol for its common stock is "PLOW." The following table sets forth the range of high and low per share sales prices of the Company's common stock and per share dividends for the periods indicated. As the company was not listed until it listed its common stock in the second quarter 2010 in connection with the IPO, no market price data is available for the first quarter of 2010.

 
 2011  2010  
 
 Price Range  Price Range  
 
 High  Low  Dividends  High  Low  Dividends  

Fourth Quarter

 $15.57 $12.50 $0.21 $16.84 $11.97 $0.20 

Third Quarter

  16.27  11.38  0.20  13.00  10.20  0.18 

Second Quarter

  16.68  14.10  0.20  12.54  10.93   

First Quarter

  16.96  13.48  0.57       

        At March 13, 2012, there were 24 record holders of our Common Stock.

        In accordance with the Company's dividend policy, dividends are declared and paid quarterly at the discretion of the board of directors. Additionally, special dividends may be declared and paid at the discretion of the board of directors. The first quarterly dividend to common shareholders subsequent to IPO was made in the third quarter of 2010 for $0.1825 per share paid on September 30, 2010. Additionally, the Company paid a $0.20 per share quarterly dividend on December 31, 2010. In the first quarter of 2011, the Company both declared and paid a special dividend of $0.37 in addition to a stated dividend of $0.20. In both the second and third quarters of 2011, the Company both declared and paid a stated dividend of $0.20 per share. In the fourth quarter of 2011, the Company increased its annual stated dividend from $0.80 to $0.82 and both declared and paid a dividend of $0.205 per share.

        The Company's senior credit facilities include certain negative and operating covenants, including restrictions on its ability to pay dividends, and other customary covenants, representations and warranties and events of default. The senior credit facilities entered into and recorded by the

20


Table of Contents

Company's subsidiaries significantly restrict its subsidiaries from paying dividends and otherwise transferring assets to Douglas Dynamics, Inc. The terms of the Company's revolving credit facility specifically restrict the Company from paying dividends if a minimum availability under the revolving credit facility, the greater of $10.5 million and 15% of the aggregate revolving commitments at the time of determination, is not maintained. Additionally, both senior credit facilities restrict the Company from paying dividends above certain levels not to exceed $5.25 million in any fiscal quarter of 2011 calculated without regard to a one-time special dividend not to exceed $8.0 million, $5.5 million in any fiscal quarter of 2012, $5.75 million in any fiscal quarter of 2013, $6.0 million in any fiscal quarter of 2014, $6.25 million in any fiscal quarter of 2015 and $6.5 million in any fiscal quarter of 2016 and thereafter or at all if an event of default has occurred. These restrictions would affect the Company indirectly since the Company relies principally on distributions from its subsidiaries to have funds available for the payment of dividends.

Securities Authorized for Issuance under Equity Compensation Plans

        The following table sets forth information with respect to compensation plans under which equity securities of the Company are authorized for issuance as of December 31, 2011.


Equity Compensation Plan Information

PLAN CATEGORY
 Number of securities
to be issued upon
the exercise of
outstanding options,
warrants and rights
 Weighted-average
exercise price of
outstanding
options,
warrants and rights
 Number of securities
remaining available for
future issuance under
equity compensation
plans (excluding
securities reflected
in the first column)
 

Equity compensation plans approved by security holders:(1)

          

2010 Stock Incentive Plan

  
20,612
 
$

  
1,779,602
 

2004 Stock Incentive Plan

  
37,240
 
$

4.21
  
 

Equity compensation plans not approved by security holders

  
  
  
 
        

Total

  57,852 $2.71  1,779,602 
        

(1)
Includes the Company's 2010 Stock Incentive Plan and 2004 Stock Incentive Plan, both of which were approved by our stockholders prior to our IPO.

        The following information in this Item 5 of this Annual Report on Form 10-K is not deemed to be "soliciting material" or to be "filed" with the SEC or subject to Regulation 14A or 14C under the Securities Exchange Act of 1934 or to the liabilities of Section 18 of the Securities Exchange Act of 1934, and will not be deemed to be incorporated by reference into any filing under the Securities Act of 1933 or the Securities Exchange Act of 1934, except to the extent we specifically incorporate it by reference into such a filing.

        The graph set forth below compares the cumulative total stockholder return on our common stock between May 5, 2010 (the date of our initial public offering, or IPO) and December 31, 2011, with the cumulative total return of The Dow Jones Industrial Average and Russell 2000 Index. This graph assumes the investment of $100 on May 5, 2010 in our common stock at our IPO offering price of

21


Table of Contents

$11.25 per share, the Dow Jones Industrial Average and Russell 2000 Index, and assumes the reinvestment of dividends.

GRAPHIC

        We did not sell any equity securities during 2011, in offerings that were not registered under the Securities Act of 1933.

        We did not make any purchases of equity securities registered pursuant to Section 12 of the Securities Exchange Act of 1934 during 2011.

Item 6.    Selected Consolidated Financial Data

        The following table sets forth our selected historical consolidated financial data for the periods and at the dates indicated. The selected historical consolidated financial data as of December 31, 2010 and 2011 and for the three years in the periods ended December 31, 2011 are derived from our audited consolidated financial statements.

        The selected historical consolidated financial data as of December 2007, 2008 and 2009 and for the years ended December 31, 2007 and 2008 is derived from our historical financial statements not included in this Annual Report on Form 10-K.

        The selected consolidated financial data presented below should be read in conjunction with our consolidated financial statements and related notes included elsewhere in this document.

 
 As of December 31,  
 
 2007  2008  2009  2010  2011  
 
 (in thousands)
 

Selected Balance Sheet Data

                

Cash and cash equivalents

 $35,519 $53,552 $69,073 $20,149 $39,432 

Total current assets

  91,491  115,414  133,534  88,972  103,462 

Total assets

  375,649  391,264  404,619  348,043  359,017 

Total current liabilities

  19,013  23,858  25,187  15,976  32,611 

Total debt

  234,363  233,513  232,663  121,154  122,937 

Total liabilities

  283,705  293,203  296,395  178,550  195,628 

Total redeemable stock and shareholders' equity

  91,944  98,061  108,224  169,493  163,389 

22


Table of Contents


 
 For the year ended December 31,  
 
 2007  2008  2009  2010  2011  
 
 (in thousands, except per share data)
 

Consolidated Statement of Operations Data

                

Total sales

 $140,065 $180,108 $174,342 $176,795 $208,798 

Gross profit

  42,816  62,197  57,078  60,301  71,817 

Income from operations

  20,636  35,636  29,439  21,408  40,181 

Income tax expense (benefit)

  (749) 6,793  3,986  872  11,332 

Net income (loss)

  (1,057) 11,471  9,843  1,662  19,040 

Net income (loss) per basic share, as adjusted(1)

 $(0.07)$0.79 $0.68 $0.09 $0.87 

Net income (loss) per diluted share, as adjusted(1)

 $(0.07)$0.77 $0.67 $0.09 $0.85 

 

 
 For the year ended December 31,  
 
 2007  2008  2009  2010  2011  
 
 (in thousands)
 

Other Data

                

Adjusted EBITDA

 $32,745 $47,742 $45,180 $47,345 $52,461 

Capital expenditures(2)

 $1,049 $3,160 $8,200 $3,009 $2,373 

(1)
Represents net income (loss) per share after giving effect to a 23.75-for-one stock split of our common stock that occurred in conjunction with the initial public offering.

(2)
Capital expenditures for the year ended December 31, 2009 include $5 million related to the investments in our Milwaukee, Wisconsin and Rockland, Maine manufacturing facilities to support the closure of our Johnson City, Tennessee manufacturing facility.

Item 7.    Management's Discussion and Analysis of Financial Condition and Results of Operations

        The following discussion and analysis of our financial condition and results of operations for the years ended December 31, 2009, 2010 and 2011 should be read together with our audited consolidated financial statements and related notes included elsewhere in this Annual Report on Form 10-K. Some of the information contained in this discussion and analysis or set forth elsewhere in this Annual Report on Form 10-K, including information with respect to our plans and strategies for our business, includes forward-looking statements that involve risks and uncertainties. You should review the "Risk Factors" section of this Annual Report on Form 10-K for a discussion of important factors that could cause actual results to differ materially from the results described in, or implied by, the forward-looking statements contained in this Annual Report on Form 10-K.

Results of Operations

Overview

        In assessing our results of operations in a given period, one of the primary factors we consider is the level of snowfall experienced within the prior snow season. We typically compare the snowfall level in a given period both to the snowfall level in the prior season and to those snowfall levels we consider to be average. References to "average snowfall" levels below refer to the aggregate average inches of snowfall recorded in 66 cities in 26 snow-belt states in the United States during the annual snow season, from October 1 through March 31, from 1980 to 2011. During this period, snowfall averaged 3,038 inches, with the low in such period being 2,094 inches and the high being 4,502 inches.

23


Table of Contents

        During the six-month snow seasons ending March 31, 2009, 2010 and 2011, we experienced above average snowfall (approximately 20%, 18% and 37% above average during the six months ending March 31, 2009, 2010 and 2011 snow seasons, respectively). Despite above average snowfalls during these periods, we believe that the economic downturn resulted in lower sales of snowplows and sand and salt spreaders, but increased sales of our parts and accessories as a percentage of total net sales during the years ended December 31, 2009, 2010 and 2011 as compared to prior periods. We experienced lower equipment and higher parts and accessories sales as weakened economic conditions tend to cause our end-users to delay purchase of replacement snow and ice control equipment and instead repair their existing equipment.

        Sales of parts and accessories for 2011 and 2010 were $31.0 million and $25.0 million, respectively, or approximately 51.2% and 21.9% higher than average annual parts and accessories sales over the preceding ten years (from 2002 to 2007, sales of parts and accessories ranged from approximately $9 million to $19 million per year, with an average of approximately $15 million). Management believes the increased sales of parts and accessories are largely a result of the deferral of new equipment purchases due to the severe economic downturn that began in 2008 from which conservative re-ordering has continued subsequently, as many end-users chose to extend the life of their existing equipment beyond the typical replacement cycle. In 2011, unit sales increased 12.8% which was the first significant increase since 2008, which management believes is a direct result of higher than normal snowfall in the six month snow season ending March 31, 2011. Management believes that absent the recent economic downturn, equipment sales in 2011, 2010 and 2009 would have been considerably higher due to the high levels of snowfall during the year. Although equipment unit sales increased significantly in 2011, they were only 1% above the immediately preceding ten-year average despite snowfall levels in snow season ending March 31, 2011 that were approximately 26% above the immediately preceding ten-year average (excluding units sold by Blizzard Corporation prior to its acquisition by us in November 2005). Equipment unit sales in 2010 remained 12% below the immediately preceding ten-year average, despite the fact that snowfall levels in snow season ending March 31, 2010 were approximately 13% above the immediately preceding ten-year average (excluding units sold by Blizzard Corporation prior to its acquisition by us in November 2005). Management believes this deferral of new equipment purchases could result in an elevated multi-year replacement cycle as the economy recovers.

        The following table shows our sales of snow and ice control equipment and related parts and accessories as a percentage of net sales for the periods indicated. During the years ended December 31, 2009, 2010 and 2011, we sold 44,444, 45,054 and 50,801 units of snow and ice control equipment, respectively.

 
 Year Ended
December 31,
 
 
 2009  2010  2011  

Equipment

  85% 86% 85%

Parts and accessories

  
15

%
 
14

%
 
15

%

        The following table sets forth, for the periods presented, the consolidated statements of income of the Company and its subsidiaries. All intercompany balances and transactions have been eliminated in consolidation. In the table below and throughout this "Management's Discussion and Analysis of Financial Condition and Results of Operations," consolidated statements of income data for the years ended December 31, 2009, 2010 and 2011 have been derived from our audited consolidated financial statements. The information contained in the table below should be read in conjunction with our

24


Table of Contents

consolidated financial statements and the related notes included elsewhere in this Annual Report on Form 10-K.

 
 For the year ended December 31,  
 
 2009  2010  2011  
 
 (in thousands)
 

Net sales

 $174,342 $176,795 $208,798 

Cost of sales

  117,264  116,494  136,981 
        

Gross profit

  57,078  60,301  71,817 

Selling, general, and administrative expense

  
20,085
  
26,509
  
26,389
 

Intangibles amortization

  6,161  6,001  5,201 

Management fees-related party

  1,393  6,383  46 
        

Income from operations

  29,439  21,408  40,181 

Interest expense, net

  
(15,520

)
 
(10,943

)
 
(8,918

)

Loss on extinguishment of debt

    (7,967) (673)

Other income (expense), net

  (90) 36  (218)
        

Income before taxes

  13,829  2,534  30,372 

Income tax expense

  
3,986
  
872
  
11,332
 
        

Net income

 $9,843 $1,662 $19,040 
        

        The following table sets forth, for the periods indicated, the percentage of certain items in our consolidated statement of income data, relative to net sales:

 
 For the year ended December 31,  
 
 2009  2010  2011  
 
 (in thousands)
 

Net sales

  100.0% 100.0% 100.0%

Cost of sales

  67.3% 65.9% 65.6%
        

Gross profit

  32.7% 34.1% 34.4%

Selling, general, and administrative expense

  
11.5

%
 
15.0

%
 
12.7

%

Intangibles amortization

  3.5% 3.4% 2.5%

Management fees-related party

  0.8% 3.6% 0.0%
        

Income from operations

  16.9% 12.1% 19.2%

Interest expense, net

  
(8.9

)%
 
(6.2

)%
 
(4.3

)%

Loss on extinguishment of debt

  0.0%  (4.5)%  (0.3)%

Other income (expense), net

   (0.1)% 0.0%  (0.1)%
        

Income before taxes

  7.9% 1.4% 14.5%

Income tax expense

  
2.3

%
 
0.5

%
 
5.4

%
        

Net income

  5.6% 0.9% 9.1%
        

25


Table of Contents

Year Ended December 31, 2011 Compared to Year Ended December 31, 2010

        Net Sales.    Net sales were $208.8 million for the year ended December 31, 2011 compared to $176.8 million in 2010, an increase of $32.0 million, or 18.1%. This increase was primarily driven by increases of $26.0 million in sales of snow and ice control equipment and $6.0 million in parts and accessories sales. The increase in sales of snow and ice control equipment for the year ended December 31, 2011 was attributable to (1) an increase in sales volume of snow and ice control equipment of $19.4 million, or 12.8%, as compared to the prior year and (2) price increases that we implemented in the third quarter of 2010 and that extended throughout the remainder of 2010 and 2011. Additionally, we implemented a temporary one percent surcharge in both the second and third quarters of 2011 due to inflationary costs due to increases in costs of commodities, while no such surcharges existed in 2010 and we increased prices by three percent effective in the fourth quarter of 2011. The increase in sales volume was largely a result of the above average snow season ending March 31, 2011. Net sales of parts and accessories increased in the year ended December 31, 2011 from the year ended December 31, 2010 by 24.0%, from $25.0 million to $31.0 million. Net sales of parts and accessories remained comparatively high in 2011, exceeding the preceding ten-year average by approximately 51.2%. As discussed above, the comparatively strong sales of parts and accessories was due in large part to above average snowfall resulting in increased equipment usage and subsequent repair. Additionally, equipment sales were only slightly higher (1% above the immediately preceding ten-year average), as many end-users continue to repair their existing snow and ice control equipment instead of purchasing new equipment.

        Cost of Sales.    Cost of sales was $137.0 million for the year ended December 31, 2011 compared to $116.5 million in 2010, an increase of $20.5 million, or 17.6%. This increase was driven primarily by increased volume as cost of sales as a percentage of total sales did not fluctuate significantly. Cost of sales as a percentage of net sales decreased slightly from 65.9% for the year ended December 31, 2010 to 65.6% for the year ended December 31, 2011. Negative inflationary commodity experience throughout the year was more than offset by lower costs per unit resulting from increases in volume of equipment units and parts and accessories. As a percentage of cost of sales, fixed and variable costs were approximately 15% and 85%, respectively, for the year ended December 31, 2011 versus approximately 19% and 81%, respectively for the year ended December 31, 2010.

        Gross Profit.    Gross profit was $71.8 million for the year ended December 31, 2011 compared to $60.3 million in 2010, an increase of $11.5 million, or 19.1%, due to the increase in net sales volume described above under "—Net Sales" and "—Cost of Sales." As a percentage of net sales, gross profit increased from 34.1% for the year ended December 31, 2010 to 34.4% for the corresponding period in 2011, as a result of the factors discussed above under "—Net Sales" and "—Cost of Sales."

        Selling, General and Administrative Expense.    Selling, general and administrative expenses, including intangible asset amortization and management fees, were $31.6 million for the year ended December 31, 2011 compared to $38.9 million for the year ended December 31, 2010, a decrease of $7.3 million, or 18.7%, driven by non-recurring expenses incurred at the time of the IPO in 2010. The non-recurring charges associated with the IPO totaled $8.5 million, and were comprised of the buyout of the management services agreement at $5.8 million, compensation expense associated with net exercises of stock options totaling $1.7 million and the expense and payment of cash bonuses under the our liquidity bonus plan of $1.0 million. Additionally, in 2010 there was non-recurring compensation expense associated with net exercises of stock options subsequent to the IPO totaling $1.2 million. In addition, the closure costs associated with the Johnson City facility were $0.7 million in the prior year. Amortization expense decreased $0.8 million compared to 2010 due to certain intangible assets becoming fully amortized. Additionally, contributing to the reduction, in 2011, we spent $0.9 million less on legal and consulting fees compared to 2010 in order to defend patents and explore potential acquisitions. Meanwhile, offsetting the decreases, in 2011 we incurred higher incentive based

26


Table of Contents

compensation of $2.1 million due to better operating results. Recurring stock based compensation increased $0.8 million compared to 2010 due to a full year as a public company in the current year. We spent $1.3 million in 2011 on offering costs to allow our former principal stockholders to dispose of their remaining holdings in our common stock. Finally, health insurance costs increased $0.6 million in the year ended December 31, 2011 compared to 2010. As a percentage of net sales, selling, general and administrative expenses, including intangibles amortization and management fees, decreased from 22.0% for the year ended December 31, 2010 to 15.2% for the corresponding period in 2011 due to items discussed above.

        Interest Expense.    Interest expense was $8.9 million for the year ended December 31, 2011 compared to $10.9 million in the corresponding period in 2010, a decrease of $2.0 million. This decrease was due to less interest expense as a result of the redemption of our 73/4% Senior Notes due 2012 ("Senior Notes") with proceeds from the IPO, additional borrowings under our senior credit facilities and cash on hand. Additionally, interest expense was lower for year ending December 31, 2011 compared to 2010 as we incurred a favorable rate as a result of the April 2011 refinancing.

        Loss on Extinguishment of Debt.    Loss on extinguishment of debt totaling $0.7 million for the year ended December 31, 2011 was entirely driven by our entry into a new term loan facility resulting in a significant modification of our debt which resulted in the write off of unamortized capitalized deferred financing costs of $0.3 million and write off of unamortized debt discount of $0.3 million. Loss on extinguishment of debt totaling $8.0 million for the year ended December 31, 2010 was entirely driven by costs associated with the amendment of our senior credit facilities and the redemption of the Senior Notes, including both the call premium on the redemption of our Senior Notes, and the write-off of unamortized deferred financing costs relating to the redemption of our Senior Notes and the amendment of our senior credit facilities.

        Income Taxes.    Deferred income taxes reflect the net tax effects of temporary differences between the carrying amounts of assets and liabilities for financial reporting purposes and the amounts used for income tax purposes. The largest item affecting deferred taxes is the difference between book and tax amortization of goodwill and other intangibles amortization. Our effective combined federal and state tax rate for 2011 was 37.3% compared to 34.4% for 2010. The effective tax rate for the year ended December 31, 2011 is higher than 2010 due to an increase in federal rate from 34.0% in year ending December 31, 2010 compared to 35.0% for the year ending December 31, 2011.

        Net Income.    Net income for the year ended December 31, 2011 was $19.0 million compared to net income of $1.7 million for the corresponding period in 2010, an increase of $17.3 million. This increase was driven by the factors described above, and primarily by the non-recurring charges associated with the IPO incurred in 2010.

Year Ended December 31, 2010 Compared to Year Ended December 31, 2009

        Net Sales.    Net sales were $176.8 million for the year ended December 31, 2010 compared to $174.3 million in 2009, an increase of $2.5 million, or 1.4%. This increase was primarily driven by a $4.3 million increase in sales of snow and ice control equipment, slightly offset by a $1.9 million decrease in parts and accessories sales. The increase in sales of snow and ice control equipment for the year ended December 31, 2010 was attributable to (1) an increase in sales volume of snow and ice control equipment of $2.1 million, or 1.4%, as compared to the prior year and (2) price increases that we implemented in the second quarter of 2010 and that extended throughout 2010. The 1.4% increase in sales volume was largely a result of strengthening economic conditions towards the end of 2010 which we believed led to lower parts and accessories sales compared to 2009. However, compared to a ten year historical average, parts and accessories sales were still higher than average, while equipment sales were lower than average, as many end-users continue to repair their existing snow and ice control equipment instead of purchasing new equipment. Net sales of parts and accessories declined in the year

27


Table of Contents

ended December 31, 2010 from the year ended December 31, 2009 by 7.0%, from $26.9 million to $25.0 million. Notwithstanding this decline, net sales of parts and accessories remained comparatively high in 2010, exceeding the preceding ten-year average by approximately 34.4%. As discussed above, the comparatively strong sales of parts and accessories was due in large part to the continued downturn in general economic conditions and local economic conditions in the snowbelt regions, which we believed led many of our end-users to repair their existing snow and ice control equipment instead of purchasing new equipment.

        Cost of Sales.    Cost of sales was $116.5 million for the year ended December 31, 2010 compared to $117.3 million in 2009, a decrease of $0.8 million, or 0.7%. This decrease was driven primarily by reduced costs due to material cost savings as steel costs were lower in 2010 as compared to 2009. Steel purchases were approximately 15% and 18% of our sales revenue for the years ending December 31, 2010 and 2009, respectively. Lower steel costs were slightly offset by increases in snow and ice control equipment unit volume as discussed above. Costs of sales as a percentage of net sales decreased from 67.3% for the year ended December 31, 2009 to 65.9% for the year ended December 31, 2010 as a result of the material cost savings as discussed above. As a percentage of cost of sales, fixed and variable costs were approximately 19% and 81%, respectively, for the year ended December 31, 2010 versus approximately 17% and 83%, respectively for the year ended December 31, 2009.

        Gross Profit.    Gross profit was $60.3 million for the year ended December 31, 2010 compared to $57.1 million in 2009, an increase of $3.2 million, or 5.6%, due to the increase in net sales described above under "—Net Sales" And the reduction in material costs as described under "—Cost of Sales." As a percentage of net sales, gross profit increased from 32.7% for the year ended December 31, 2009 to 34.1% for the corresponding period in 2010, as a result of the factors discussed above under "—Net Sales" and "—Cost of Sales."

        Selling, General and Administrative Expense.    Selling, general and administrative expenses, including intangible asset amortization and management fees, were $38.9 million for the year ended December 31, 2010 compared to $27.6 million for the year ended December 31, 2009, an increase of $11.3 million, or 40.9%, driven by non-recurring expenses incurred at the time of the IPO. The non-recurring charges associated with the IPO totaled $8.5 million, and were comprised of the buyout of the management services agreement at $5.8 million, compensation expense associated with net exercises of stock options totaling $1.7 million and the expense and payment of cash bonuses under our liquidity bonus plan of $1.0 million. Additionally, there was non-recurring compensation expense associated with net exercises of stock options subsequent to the IPO totaling $1.2 million. We also spent $1.3 million more in 2010 on defending our patents compared to 2009. Finally, the closure costs associated with the Johnson City facility increased $0.4 million compared to the prior year. As a percentage of net sales, selling, general and administrative expenses, including intangibles amortization and management fees, increased from 15.8% for the year ended December 31, 2009 to 22.0% for the corresponding period in 2010 due to the non-recurring charges discussed above.

        Interest Expense.    Interest expense was $10.9 million for the year ended December 31, 2010 compared to $15.5 million in the corresponding period in 2009, a decrease of $4.6 million. This decrease was due to less interest expense as a result of the redemption of our 73/4% Senior Notes due 2012 ("Senior Notes") with proceeds from the IPO, additional borrowings under our senior credit facilities and cash on hand.

        Loss on Extinguishment of Debt.    Loss on extinguishment of debt totaling $8.0 million for the year ended December 31, 2010 was entirely driven by costs associated with the amendment of our senior credit facilities and the redemption of the Senior Notes, including both the call premium on the redemption of our Senior Notes, and the write-off of unamortized deferred financing costs relating to the redemption of our Senior Notes and the amendment of our senior credit facilities.

28


Table of Contents

        Income Taxes.    Deferred income taxes reflect the net tax effects of temporary differences between the carrying amounts of assets and liabilities for financial reporting purposes and the amounts used for income tax purposes. The largest item affecting deferred taxes is the difference between book and tax amortization of goodwill and other intangibles amortization. Our effective combined federal and state tax rate for 2010 was 34.4% compared to 28.8% for 2009. The effective tax rate for the year ended December 31, 2010 is higher than 2009 due to state net operating loss allowances ("NOLs") related to the closure of the Johnson City, Tennessee facility. Additionally, the 2009 effective rate was lower due to the release of a valuation allowance for Wisconsin NOLs in the first quarter of 2009 due to a tax law change in the state of Wisconsin resulting in the ability to utilize the NOLs in future periods.

        Net Income.    Net income for the year ended December 31, 2010 was $1.7 million compared to net income of $9.8 million for the corresponding period in 2009, a decrease of $8.1 million, or 82.7%. This decrease was driven by the factors described above, and primarily by the non-recurring charges associated with the IPO.

Non-GAAP Financial Measures

        This Annual Report on Form 10-K contains financial information calculated other than in accordance with U.S. generally accepted accounting principles ("GAAP").

        These non-GAAP measures include:

    Free cash flow;

    Adjusted net income; and

    Adjusted EBITDA.

        These non-GAAP disclosures should not be construed as an alternative to the reported results determined in accordance with GAAP.

        Free cash flow (as defined below) for the year ended December 31, 2011 was $45.4 million compared to $12.8 million in the corresponding period in 2010, an increase in cash provided of $32.6 million, or 255.2%. The increase in cash provided is primarily a result of $32.0 million less cash used by operating activities, as discussed below under Liquidity and Capital Resources. In addition to the changes in cash used by operating activities, capital expenditures decreased by $0.6 million. In 2010, there were higher capital expenditures to accommodate the increased production demands in Milwaukee and Rockland because of the closure of our Johnson City, TN manufacturing plant in the first half of the year.

        Free cash flow is a non-GAAP financial measure, which we define as net cash provided by operating activities less capital expenditures. Free cash flow should be evaluated in addition to, and not considered a substitute for, other financial measures such as net income and cash flow provided by operations. We believe that free cash flow represents our ability to generate additional cash flow from our business operations.

        The following table reconciles net cash provided by operating activities, a GAAP measure, to free cash flow, a non-GAAP measure.

 
 For the year ended December 31,  
 
 2011  2010  2009  
 
 (in thousands)
 

Net cash provided by operating activities

 $47,728 $15,777 $25,571 

Acquisition of property and equipment

  (2,373) (3,009) (8,200)
        

Free cash flow

 $45,355 $12,768 $17,371 
        

29


Table of Contents

        Adjusted net income represents net income as determined under GAAP, excluding certain expenses incurred at the time of our IPO in 2010 (namely the buyout of our management services agreement, loss on extinguishment of debt, stock based compensation expense associated with the net exercise of stock options and the payment of cash bonuses under our liquidity bonus plan); certain expenses incurred at the time of our secondary offering in 2011; costs incurred to pursue acquisitions and a loss on extinguishment of debt incurred in 2011. We believe that the presentation of adjusted net income for the years ended December 30, 2011 and December 30, 2010 allows investors to make meaningful comparisons of our operating performance between periods and to view our business from the same perspective as our management. Because the excluded items are not predictable or consistent, management does not consider them when evaluating our performance or when making decisions regarding allocation of resources.

        The following table presents a reconciliation of net income, the most comparable GAAP financial measure, to adjusted net income for the years ending December 31, 2011 and December 31, 2010.

 
 Years Ended  
(in millions)
 December 31,
2011
 December 31,
2010
 

Net Income—(GAAP)

 $19.0 $1.7 

Addback non-recurring expenses, net of tax at 37.0% and 38.0%, for 2011 and 2010, respectively:

       

—Buyout of the management services agreement

    3.6 

—Loss on extinguishment of debt

  0.4  4.9 

—Liquidity bonus payment

    0.6 

—Non-recurring stock based compensation expense

    1.9 

—Acquisition costs

  0.6   

—Offering costs

  0.8   
      

Adjusted Net Income—(non-GAAP)

 $20.8 $12.7 
      

        Adjusted EBITDA represents net income before interest, taxes, depreciation and amortization, as further adjusted for certain non-recurring charges related to the closure of our Johnson City, Tennessee manufacturing facility and certain non-recurring legal and consulting fees, as well as management fees paid by us to affiliates of our principal stockholders, stock based compensation, payment of cash bonuses under our liquidity bonus plan, loss on extinguishment of debt and offering costs. We use, and we believe our investors benefit from the presentation of Adjusted EBITDA in evaluating our operating performance because it provides us and our investors with additional tools to compare our operating performance on a consistent basis by removing the impact of certain items that management believes do not directly reflect our core operations. In addition, we believe that Adjusted EBITDA is useful to investors and other external users of our consolidated financial statements in evaluating our operating performance as compared to that of other companies, because it allows them to measure a company's operating performance without regard to items such as interest expense, taxes, depreciation and amortization, which can vary substantially from company to company depending upon accounting methods and book value of assets and liabilities, capital structure and the method by which assets were acquired. Our management also uses Adjusted EBITDA for planning purposes, including the preparation of our annual operating budget and financial projections. Management also uses Adjusted EBITDA to evaluate our ability to make certain payments, including dividends, in compliance with our senior credit facilities, which is determined based on a calculation of "Consolidated Adjusted EBITDA" that is substantially similar to Adjusted EBITDA.

        Adjusted EBITDA for the year ended December 31, 2011 was $52.5 million compared to $47.3 million in the corresponding period in 2010, an increase of $5.2 million, or 11.0%. As a percentage of net sales, Adjusted EBITDA decreased from 26.8% for the year ended December 31,

30


Table of Contents

2010 to 25.1% for the year ended December 31, 2011. Adjusted EBITDA for the year ended December 31, 2010 was $47.3 million compared to Adjusted EBITDA of $45.2 million for the year ended December 31, 2009, an increase of $2.1 million, or 4.6%. As a percentage of net sales, Adjusted EBITDA increased from 25.9% for the year ended December 31, 2009 to 26.8% for the year ended December 31, 2010. In addition to the specific changes resulting from the exceptions, the changes to Adjusted EBITDA for the periods discussed resulted from factors discussed above under "—Results of Operations."

        The following table presents a reconciliation of net income, the most comparable GAAP financial measure, to Adjusted EBITDA, for each of the periods indicated.

 
 For the year ended December 31,  
 
 2007  2008  2009  2010  2011  
 
 (in thousands)
 

Net income (loss)

 $(1,057)$11,471 $9,843 $1,662 $19,040 

Interest expense—net

  
19,622
  
17,299
  
15,520
  
10,943
  
8,918
 

Income taxes

  (749) 6,793  3,986  872  11,332 

Depreciation expense

  4,632  4,650  5,797  5,704  2,975 

Amortization

  6,164  6,160  6,161  6,001  5,201 
            

EBITDA

  28,612  46,373  41,307  25,182  47,466 

Management fees

  1,400  1,369  1,393  6,383  46 

Stock based compensation

      732  4,029  1,873 

Loss on extinguishment of debt

  2733      7,967  673 

Management liquidity bonus

        1,003   

Offering costs

          1,342 

Other non-recurring charges(1)

      1,748  2,781  1,061 
            

Adjusted EBITDA

 $32,745 $47,742 $45,180 $47,345 $52,461 
            

(1)
Reflects severance and one-time, non-recurring expenses for costs related to the closure of our Johnson City facility of $1,054 and $1,435 for the years ended 2009 and 2010, respectively, $694, $2,013 and $1,061 of unrelated legal and consulting fees for the years ended 2009, 2010 and 2011, respectively, and a $667 gain on other post employment benefit plan curtailment related to the Johnson City plant closure for the year ended 2010.

Discussion of Critical Accounting Policies

        Our consolidated financial statements are prepared in accordance with GAAP. The preparation of these consolidated financial statements requires us to make estimates and assumptions that affect the reported amounts of assets, liabilities, revenues, costs and expenses, and related disclosures. These estimates and assumptions are often based on judgments that we believe to be reasonable under the circumstances at the time made, but all such estimates and assumptions are inherently uncertain and unpredictable. Actual results may differ from those estimates and assumptions, and it is possible that other professionals, applying their own judgment to the same facts and circumstances, could develop and support alternative estimates and assumptions that would result in material changes to our operating results and financial condition. We evaluate our estimates and assumptions on an ongoing basis. Our estimates are based on historical experience and various other assumptions that we believe to be reasonable under the circumstances.

        The most significant accounting estimates inherent in the preparation of our financial statements include estimates used in the determination of liabilities related to pension obligations, recovery of

31


Table of Contents

accounts receivable, impairment assessment of goodwill and other indefinite-lived intangible assets, as well as estimates used in the determination of the lower of cost or market value of inventory and liabilities related to taxation and product warranty.

        We believe the following are the critical accounting policies that affect our financial condition and results of operations.

Defined Benefit Pension Obligation

        As discussed in Note 12 to our audited consolidated financial statements included elsewhere in this Annual Report on Form 10-K, the pension benefit obligation and related pension expense or income of our pension plans are calculated in accordance with Accounting Standards Codification ("ASC") 715-30, Defined Benefit Plans-Pension, and are impacted by certain actuarial assumptions, including the discount rate and the expected rate of return on plan assets. Rates are evaluated on an annual basis considering such factors as market interest rates and historical asset performance. Actuarial valuations for 2011 used a discount rate of 4.6% and an expected long-term rate of return on plan assets of 7.25%. Our discount rate reflects the expected future cash flow based upon our funding valuation assumptions and participant data at the beginning of the plan year. The expected future cash flow was discounted by the Principal Financial Group's yield curve for the month preceding the 2011 year end.

        In estimating the expected return on plan assets, we analyze historical and expected returns for multiple asset classes. The overall rate for each asset class was developed by combining a long-term inflation component, the risk-free real rate of return, and the associated risk premium. A weighted average rate was then developed based upon those overall rates and the target asset allocation of the plan. Changes in the discount rate and return on assets can have a significant effect on the funded status of our pension plans, shareholders' equity and related expense. We cannot predict these changes in discount rates or investment returns and, therefore, cannot reasonably estimate whether the impact in subsequent years will be significant. The funded status of our pension plans is the difference between the projected benefit obligation and the fair value of its plan assets. The projected benefit obligation is the actuarial present value of all benefits expected to be earned by our employees' service adjusted for future wage increases. At December 31, 2011, our pension obligation funded status was $14.2 million underfunded.

        Our funding policy for our pension plans is to contribute amounts at least equal to the minimum annual amount required by applicable regulations. We contributed approximately $1.9 million to our pension plans in 2011. See Note 12 to our audited consolidated financial statements included elsewhere in this Annual Report on Form 10-K for a more detailed description of our pension plans.

32


Table of Contents

Revenue Recognition and Allowance for Doubtful Accounts

        We recognize revenues upon shipment to the customer, which is when title passes and all of the following conditions are satisfied: (1) persuasive evidence of an arrangement exists; (2) the price is fixed or determinable; (3) collectability is reasonably assured; and (4) the product has been shipped and we have no further obligations. Customers have no right of return privileges. Historically, product returns have not been material and are permitted on an exception basis only.

        We offer a variety of discounts and sales incentives to our distributors. The estimated liability for sales discounts and allowances is recorded at the time of sale as a reduction of net sales. The liability is estimated based on the costs of the program, the planned duration of the program and historical experience.

        We carry our accounts receivable at their face amount less an allowance for doubtful accounts. On a periodic basis, we evaluate our accounts receivable and establish an allowance for doubtful accounts based on a combination of specific distributor circumstances and credit conditions taking into account the history of write-offs and collections. A receivable is considered past due if payment has not been received within the period agreed upon in the invoice. Accounts receivable are written off after all collection efforts have been exhausted. We take a security interest in the inventory as collateral for the receivable but often do not have a priority security interest. See Note 2 to our audited consolidated financial statements included elsewhere in this Annual Report on Form 10-K for further information regarding our allowance for doubtful accounts.

Impairment of Long-Lived Assets

        Long-lived assets are reviewed for potential impairment when events or changes in circumstances indicate that the carrying amount of the asset may not be recoverable. Recoverability of assets to be held and used is measured by comparison of the carrying value of such assets to the undiscounted future cash flows expected to be generated by the assets. If the carrying value of an asset exceeds its estimated undiscounted future cash flows, an impairment provision is recognized to the extent that the carrying amount of the asset exceeds its fair value. Assets to be disposed of are reported at the lower of the carrying amount or the fair value of the asset, less costs of disposition. Our management considers such factors as current results, trends and future prospects, current market value, and other economic and regulatory factors in performing these analyses. We determined that no long-lived assets were impaired as of December 31, 2011, 2010 and 2009.

Goodwill and Other Intangible Assets

        We perform an annual impairment test for goodwill and trade names and more frequently if an event or circumstances indicate that an impairment loss has been incurred. Conditions that would trigger an impairment assessment include, but are not limited to, a significant adverse change in legal factors or business climate that could affect the value of an asset. The analysis of potential impairment of goodwill requires a two-step process. The first step is the estimation of fair value of the applicable reporting unit. We have determined we have one reporting unit, and all significant decisions are made on a companywide basis by our chief operating decision maker. The fair value of the reporting unit is estimated by using a market approach. The estimated fair value is compared with our aggregate carrying value. If our fair value is greater than the carrying amount, there is no impairment. If our carrying amount is greater than the fair value, then the second step must be completed to measure the amount of impairment, if any.

        The second step calculates the implied fair value of the goodwill, which is compared to its carrying value. The implied fair value of goodwill is calculated by valuing all of the tangible and intangible assets of the reporting unit at the hypothetical fair value, assuming the reporting unit had been acquired in a business combination. The excess of the fair value of the entire reporting unit over the

33


Table of Contents

fair value of its identifiable assets and liabilities is the implied fair value of goodwill. If the implied fair value of goodwill is less than the carrying value of goodwill, an impairment loss is recognized equal to the difference. Annual impairment tests conducted by us on December 31, 2011, 2010 and 2009 resulted in no adjustment to the carrying value of our indefinite-lived intangibles and goodwill.

        Our goodwill and trade name balances could be impaired in future periods. A number of factors, many of which we have no ability to control, could affect our financial condition, operating results and business prospects and could cause actual results to differ from the estimates and assumptions we employed. These factors include:

    a prolonged global economic crisis;

    a significant decrease in the demand for our products;

    the inability to develop new and enhanced products and services in a timely manner;

    a significant adverse change in legal factors or in the business climate;

    an adverse action or assessment by a regulator; and

    successful efforts by our competitors to gain market share in our markets.

Inventory Valuation

        Inventories are stated at the lower of cost or market. Market is determined on the basis of estimated realizable values. Cost is determined using the first-in, first-out basis. We periodically review our inventory for slow-moving, damaged and discontinued items and provide reserves to reduce such items identified to their recoverable amounts.

Income Taxes

        Our estimate of income taxes payable, deferred income taxes and the effective tax rate is based on an analysis of many factors including interpretations of federal and state income tax laws, the difference between tax and financial reporting bases and liabilities, estimates of amounts currently due or owed in various jurisdictions, and current accounting standards. We review and update our estimates on a quarterly basis as facts and circumstances change and actual results are known.

        We have generated significant deferred tax assets as a result of goodwill and intangible asset book versus tax differences as well as net operating loss carryforwards. In assessing the ability to realize these deferred tax assets, we consider whether it is more likely than not that some portion or all of the deferred tax assets will not be realized. The ultimate realization of deferred tax assets is dependent upon the generation of future taxable income during the years in which those temporary differences become deductible. We consider the scheduled reversal of deferred tax liabilities, projected future taxable income and tax planning strategies in making this assessment. As a result of this analysis, we have recorded a valuation allowance against certain of these deferred tax assets.

        Accruals for tax contingencies, if any, are provided for in accordance with the requirements of ASC 740—Income Taxes. See Note 10 to our audited consolidated financial statements included elsewhere in this Annual Report on Form 10-K for further information regarding our accounting for income taxes.

Warranty Cost Recognition

        We accrue for estimated warranty costs as sales are recognized and periodically assess the adequacy of the recorded warranty liability and adjust the amount as necessary. Our warranties generally provide, with respect to our snow and ice control equipment, that all material and workmanship will be free from defect for a period of two years after the date of purchase by the

34


Table of Contents

end-user, and with respect to our parts and accessories purchased separately, that such parts and accessories will be free from defect for a period of one year after the date of purchase by the end-user. Certain snowplows only provide for a one year warranty. We determine the amount of the estimated warranty costs (and our corresponding warranty reserve) based on our prior five years of warranty history utilizing a formula driven by historical warranty expense and applying management's judgment. We adjust our historical warranty costs to take into account unique factors such as the introduction of new products into the marketplace that do not provide a historical warranty record to assess.

Liquidity and Capital Resources

        Our principal sources of cash have been and we expect will continue to be cash from operations and borrowings under our senior credit facilities.

        Our primary uses of cash are to provide working capital, meet debt service requirements, finance capital expenditures, pay dividends under our dividend policy and support our growth, including through potential acquisitions, and for other general corporate purposes. For a description of the seasonality of our working capital rates see "—Seasonality and Year-To-Year Variability."

        Our Board of Directors has adopted a dividend policy that reflects an intention to distribute to our stockholders a regular quarterly cash dividend. The declaration and payment of these dividends to holders of our common stock is at the discretion of our Board of Directors and depends upon many factors, including our financial condition and earnings, legal requirements, taxes and other factors our Board of Directors may deem to be relevant. The terms of our indebtedness may also restrict us from paying cash dividends on our common stock under certain circumstances. As a result of this dividend policy, we may not have significant cash available to meet any large unanticipated liquidity requirements. As a result, we may not retain a sufficient amount of cash to fund our operations or to finance unanticipated capital expenditures or growth opportunities, including acquisitions. Our Board of Directors may, however, amend, revoke or suspend our dividend policy at any time and for any reason.

        As of December 31, 2011, we had liquidity comprised of $39 million in cash and cash equivalents and borrowing availability of $70 million under our revolving credit facility. Borrowing availability under our revolving credit facility is governed by a borrowing base, the calculation of which includes cash on hand. Accordingly, use of cash on hand may also result in a reduction in the amount available for borrowing under our revolving credit facility. Furthermore, our revolving credit facility requires us to maintain at least $10.5 million of borrowing availability. We expect that cash on hand, cash generated from operations, as well as available credit under our senior credit facilities will provide adequate funds for the purposes described above for at least the next 12 months.

Cash Flow Analysis

        Set forth below is summary cash flow information for each of the years ended December 31, 2009, 2010 and 2011.

 
 Year ended December 31,  
Cash Flows (in thousands)
 2009  2010  2011  

Net cash provided by operating activities

 $25,571 $15,777 $47,728 

Net cash used in investing activities

  (8,200) (2,783) (2,306)

Net cash used in financing activities

  (1,850) (61,918) (26,139)
        

Increase (Decrease) in cash

 $15,521 $(48,924)$19,283 
        

35


Table of Contents

Sources and Uses of Cash

        During the three-year periods described above, net cash provided by operating activities was used for funding capital investment, retiring preferred stock and paying related dividends, paying interest on both our senior notes and senior credit facilities, and funding working capital requirements during our pre-season shipping period.

        The following table shows our cash and cash equivalents and inventories at December 31, 2009, 2010 and 2011.

 
 December 31,  
 
 2009  2010  2011  
 
 (in thousands)
 

Cash and cash equivalents

 $69,073 $20,149 $39,432 

Inventories

  26,697  23,481  24,005 

Year Ended December 31, 2011 Compared to Year Ended December 31, 2010

        We had cash and cash equivalents of $39.4 million at December 31, 2011 compared to cash and cash equivalents of $20.1 million at December 31, 2010. The table below sets forth a summary of the significant sources and uses of cash for the periods presented.

 
 Year ended December 31,  
Cash Flows (in thousands)
 2010  2011  Change   
 

Net cash provided by operating activities

 $15,777 $47,728 $31,951  202.5%

Net cash used in investing activities

  (2,783) (2,306) 477  (17.1)%

Net cash used in financing activities

  (61,918) (26,139) 35,779  (57.8)%
          

Increase (Decrease) in cash

 $(48,924)$19,283 $68,207  (139.4)%
          

        Net cash provided by operating activities increased $32.0 million from the year ended December 31, 2010 to the year ended December 31, 2011. The increase in cash provided by operating activities was due to a $9.8 increase in net income adjusted for reconciling items. Additionally, accounts receivable decline of $3.0 million and accounts payable increase of $2.2 million both positively influenced operating cash flows. As we paid off the senior notes in 2010, accrued interest at the end of 2009 declined in 2010 $5.3 million, which increased cash used in operating activities in 2010.

        Net cash used in investing activities decreased $0.5 million for the year ended December 31, 2011, compared to the corresponding period in 2010. This decrease was due to higher capital expenditures in 2010 to accommodate the increased production demands in Milwaukee, WI and Rockland, ME because of the closure of our Johnson City, TN manufacturing plant.

        Net cash used in financing activities decreased $35.8 million for the year ended December 31, 2011 compared to the corresponding period in 2010. The decrease was a result of our repayment of our senior notes in the amount of $150 million in 2010. Offsetting cash used were net proceeds from the IPO of $63.9 million and borrowings under the credit facility of $40 million in 2010. As we refinanced our term loan in 2011 there was a net impact of $2.2 million in cash provided to us as we borrowed $125.0 million less a $1.3 million discount, offset by debt repayments of $121.5 million. We also paid dividends of $25.8 million in the year ended December 31, 2011, compared to dividends paid of $8.2 million in the year ended December 31, 2010. We also received $1.3 million in 2011 for the exercise of stock options, wheras all options exercised in 2010 were accomplished through "net exercises" that resulted in no cash paid for the exercise price of the options.

36


Table of Contents

Year Ended December 31, 2010 Compared to Year Ended December 31, 2009

        We had cash and cash equivalents of $20.1 million at December 31, 2010 compared to cash and cash equivalents of $69.1 million at December 31, 2009. The table below sets forth a summary of the significant sources and uses of cash for the periods presented.

 
 Year ended December 31,  
Cash Flows (in thousands)
 2009  2010  Change   
 

Net cash provided by operating activities

 $25,571 $15,777 $(9,794) (38.3)%

Net cash used in investing activities

  (8,200) (2,783) 5,417  (66.1)%

Net cash used in financing activities

  (1,850) (61,918) (60,068) 3,246.9%
          

Increase in cash

 $15,521 $(48,924)$(64,445) (415.2)%
          

        Net cash provided by operating activities decreased $9.8 million from the year ended December 31, 2009 to the year ended December 31, 2010. The decrease in cash provided by operating activities was due to an $8.1 decrease in net income, caused in part by an $8.0 million loss on extinguishment of debt that we recorded when we repaid our senior notes. As we paid off these notes, accrued interest declined $5.3 million, which increased cash used in operating activities. Additionally, accounts receivable growth of $4.9 million and accounts payable decline of $2.3 million both negatively impacted operating cash flows. Slightly offsetting these uses of cash were an increase in stock based compensation of $3.3 million and lower inventories of $3.2 million. Lower inventory levels have resulted from the closure of our Johnson City, TN location in August 2010.

        Net cash used in investing activities decreased $5.4 million for the year ended December 31, 2010, compared to the corresponding period in 2009, mainly as a result of higher than normal capital investments in 2009 of approximately $5.0 million in our manufacturing plants in Milwaukee, WI and Rockland, ME to support the closure of our Johnson City, TN manufacturing facility in August 2010.

        Net cash used in financing activities increased $60.1 million for the year ended December 31, 2010 compared to the corresponding period in 2009. The increase was a result of our repayment of our senior notes in the amount of $150.0 million. Offsetting cash used were net proceeds from the IPO of $63.9 million and borrowings under the credit facility of $40.0 million.

Future Obligations and Commitments

Contractual Obligations

        We are subject to certain contractual obligations, including long-term debt and related interest. We have net unrecognized tax benefits of $0.3 million as of December 31, 2011. However, we cannot make a reasonably reliable estimate of the period of potential cash settlement of the underlying liabilities, therefore, we have not included unrecognized tax benefits in calculating the obligations set forth in the following table of significant contractual obligations as of December 31, 2011.

(Dollars in thousands)
 Total  Less than 1 year  1 - 3 years  3 - 5 years  More than
5 years
 

Long-term debt(1)

 $122,937 $11,071 $2,142 $2,142 $107,582 

Interest on long-term debt(2)

  44,444  7,399  14,583  13,710  8,752 
            

Total contracted cash obligations(3)

 $167,381 $18,470 $16,725 $15,852 $116,334 
            

(1)
Long-term debt obligation is presented net of discount of $1.1 million at December 31, 2011.

(2)
Assumes all debt will remain outstanding until maturity. Interest payments were calculated using interest rates in effect as of December 31, 2011.

37


Table of Contents

(3)
Pension obligations are excluded from this table as we are unable to estimate the timing of payments related to these obligations. The minimum required contribution to our pension plans was $1.9 million in 2011 and is expected to be $2.5 million in 2012.

Senior Credit Facilities

        On April 18, 2011, we amended our senior credit facilities to, among other things, (i) increase the borrowing ability under the revolving credit agreement by $10 million, and (ii) amend certain of the provisions in the senior credit facilities which govern our ability to pay dividends. Consequently, as of April 18, 2011, our senior credit facilities consisted of a $125 million term loan facility and a $70 million revolving credit facility with a group of banks. The previous term loans consisted of an initial term loan of $85 million and a "tack on" of $40 million, and a $60 million revolving credit facility. Prior to the April 2011 changes to our senior credit facilities, the interest on the original $85 million term loan facility was (at our option) either the base rate (which shall be no less than 3%) plus 3.5% or the eurodollar rate (which shall be no less than 2%) plus 4.5%. The interest for the additional $40 million in our term loan facility was an interest rate equal to (at our option) either the base rate (which shall be no less than 3%) plus 4% or the eurodollar rate (which shall be no less than 2%) plus 5%. Under the previous revolving credit facility, the margin for base rate loans was either 0.25% or 0.50% and the margin for eurodollar rate loans was either 1.25% or 1.50%, in each case determined based on our leverage ratio from time to time.

        The agreement for the new term loan (the "Term Loan Credit Agreement") provides for a senior secured term loan facility in the aggregate principal amount of $125 million and generally bears interest at (at our election) either (i) 3.25% per annum plus the greatest of (a) the Prime Rate (as defined in the Term Loan Credit Agreement) in effect on such day, (b) the weighted average of the rates on overnight Federal funds transactions with members of the Federal Reserve System arranged by Federal funds brokers plus 0.50% and (c) 1.00% plus the greater of (1) the London Interbank Offered Rate for a one month interest period multiplied by the Statutory Reserve Rate (as defined in the Term Loan Credit Agreement) and (2) 1.50% or (ii) 4.25% per annum plus the greater of (a) the London Interbank Offered Rate for the applicable interest period multiplied by the Statutory Reserve Rate and (b) 1.50%. The revolving credit facility as amended and restated (the "Revolving Credit Agreement") provides that we have the option to select whether borrowings will bear interest at either (i) 2.25% per annum plus the London Interbank Offered Rate for the applicable interest period multiplied by the Statutory Reserve Rate or (ii) 1.25% per annum plus the greatest of (a) the Prime Rate in effect on such day, (b) the weighted average of the rates on overnight Federal funds transactions with members of the Federal Reserve System arranged by Federal funds brokers plus 0.50% and (c) the London Interbank Offered Rate for a one month interest period multiplied by the Statutory Reserve Rate plus 1%. The maturity date for our amended and restated revolving credit facility is April 18, 2016, and our new term loan amortizes in nominal amounts quarterly with the balance payable on April 18, 2018.

        The new term loan entered into in the second quarter of 2011 was issued at a $1.25 million discount which is being amortized over the term of the new term loan.

        Our entry into the new term loan facility resulted in a significant modification of our debt which resulted in the write off of unamortized capitalized deferred financing costs of $0.3 million and write off of unamortized debt discount of $0.3 million which in total resulted in a loss on extinguishment of debt of $0.7 million in the Consolidated Statement of Income during the year ended December 31, 2011.

        At December 31, 2011, we had no outstanding borrowings on the revolving credit facility and remaining borrowing availability of $70 million.

        Our senior credit facilities include certain negative and operating covenants, including restrictions on our ability to pay dividends, and other customary covenants, representations and warranties and

38


Table of Contents

events of default. The senior credit facilities entered into and recorded by our subsidiaries significantly restrict our subsidiaries from paying dividends and otherwise transferring assets to us. The terms of our revolving credit facility specifically restrict subsidiaries from paying dividends if a minimum availability under the revolving credit facility is not maintained, and both senior credit facilities restrict subsidiaries from paying dividends above certain levels or at all if an event of default has occurred. These restrictions would affect us indirectly since we rely principally on distributions from our subsidiaries to have funds available for the payment of dividends. In addition, the our revolving credit facility includes a requirement that, subject to certain exceptions, capital expenditures may not exceed $10 million in any calendar year and, if certain minimum availability under our revolving credit facility is not maintained, that we comply with a monthly minimum fixed charge coverage ratio test of 1.0:1.0. Compliance with the fixed charge coverage ratio test is subject to certain cure rights under the Company's revolving credit facility. At December 31, 2011, we were in compliance with the respective covenants. The credit facilities are collateralized by substantially all assets of our assets.

        In accordance with the senior credit facilities, we are required to make additional principal prepayments over the above scheduled payments under certain conditions. This includes, in the case of the term loan facility, 100% of the net cash proceeds of certain asset sales, certain insurance or condemnation events, certain debt issuances, and, within 150 days of the end of the fiscal year, 50% of excess cash flow, as defined, including a deduction for certain distributions (which percentage is reduced to 25% or 0% upon the achievement of certain leverage ratio thresholds), for any fiscal year. Excess cash flow is defined in the senior credit facilities as consolidated adjusted EBITDA (earnings before interest, taxes, depreciation and amortization) plus a working capital adjustment less the sum of repayments of debt and capital expenditures subject to certain adjustments, interest and taxes paid in cash, management fees and certain restricted payments (including dividends or distributions). Working capital adjustment is defined in the senior credit facilities as the change in working capital, defined as current assets excluding cash and cash equivalents less current liabilities excluding current portion of long term debt. As of December 31, 2011, we were not required to make an excess cash flow payment. However, the company expects to make a voluntary prepayment of $10 million in 2012.

        Each of the senior secured facilities entered into in the second quarter of 2011 includes a hedge provision, which requires us to enter into an interest rate hedge commencing 90 days after the closing date. The hedging provision required the Company to hedge the interest rate on at least 25% of the aggregate outstanding principal amount of the term loans. The purpose of the interest rate swap is to reduce our exposure to interest rate volatility. Effective June 20, 2011, we entered into an interest rate swap agreement with a notional amount of $50 million. The interest rate swap negative fair value at December 31, 2011 of $0.6 million is included in other long-term liabilities on the Consolidated Balance Sheet. We have counterparty credit risk resulting from the interest rate swap, which we monitors on an on-going basis. This risk lies with one global financial institution. Under the interest rate swap agreement, effective as of July 18, 2011, we either receives or makes payments on a monthly basis based on the differential between 6.335% and LIBOR plus 4.25% (with a LIBOR floor of 1.5%). The interest rate swap contract on the term loan expires in December 2014.

Deductibility of Intangible and Goodwill Expense

        We possess a favorable tax structure with approximately $18 million of annual tax-deductible intangible and goodwill expense over the next nine years which may be utilized in the event we have sufficient taxable income to utilize such benefit.

39


Table of Contents

Impact of Inflation

        We do not believe that inflation risk is material to our business or our financial condition, results of operations or cash flows at this time. Historically, we have experienced normal raw material, labor and fringe benefit inflation. To date we have been able to fully offset this inflation by providing higher value products, which command higher prices. In previous years, we have experienced significant increases in steel costs, but have been able to mitigate the effects of these increases through both temporary and permanent steel surcharges. See "Risk Factors—The price of steel, a commodity necessary to manufacture our products, is highly variable. If the price of steel increases, our gross margins could decline."

Off-Balance Sheet Arrangements

        We are not party to any off-balance sheet arrangements that have or are reasonably likely to have a material current or future effect on our financial condition, changes in financial condition, revenues, expenses, results of operations, liquidity, capital expenditures or capital resources.

Seasonality and Year-To-Year Variability

        Our business is seasonal and also varies from year-to-year. Consequently, our results of operations and financial condition vary from quarter-to-quarter and from year-to-year as well. In addition, because of this seasonality and variability, our results of operations for any quarter may not be indicative of results of operations that may be achieved for a subsequent quarter or the full year, and may not be similar to results of operations experienced in prior years.

        Sales of our products are significantly impacted by the level, timing and location of snowfall, with sales in any given year and region most heavily influenced by snowfall levels in the prior snow season (which we consider to begin in October and end in March) in that region. This is due to the fact that end-user demand for our products is driven primarily by the condition of their snow and ice control equipment, and in the case of professional snowplowers, by their financial ability to purchase new or replacement snow and ice control equipment, both of which are significantly affected by snowfall levels. Heavy snowfall during a given winter causes usage of our products to increase, resulting in greater wear and tear to our products and a shortening of their life cycles, thereby creating a need for replacement snow and ice control equipment and related parts and accessories. In addition, when there is a heavy snowfall in a given winter, the increased income our professional snowplowers generate from their professional snowplow activities provides them with increased purchasing power to purchase replacement snow and ice control equipment prior to the following winter. To a lesser extent, sales of our products are influenced by the timing of snowfall in a given winter. Because an early snowfall can be viewed as a sign of a heavy upcoming snow season, our end-users may respond to an early snowfall by purchasing replacement snow and ice control equipment during the current season rather that delaying purchases until after the season is over when most purchases are typically made by end-users.

        The following chart illustrates the effects of snowfall levels in the snowbelt states in a given winter on the number of units of snow and ice control equipment we shipped in the following year. Snowfall levels represent the aggregate number of inches of snowfall recorded in each of 66 cities in 26 snowbelt states across the Northeast, East, Midwest and Western United States where we have historically monitored snowfall levels. We have historically monitored snowfall levels in these cities because they represent the key metropolitan areas in the states where snowfall is a regular occurrence and coincide with our historical U.S. market. With respect to the calculation of units shipped, each year in the following chart represents the calendar year period from January 1 to December 31. With respect to the calculation of snowfall, each year in the following chart represents the period beginning on October 1 of the prior year and extending through the following March 31. Thus, for example, the number of units shipped in 2001 represents the total units of snow and ice control equipment we

40


Table of Contents

shipped from January 1, 2001 to December 31, 2001, whereas the 2001 snowfall level reflects snowfall in the snowbelt states in the period from October 1, 2000 through March 31, 2001. As the chart indicates, heavy snowfall levels in a given winter tend to lead to increased unit shipments of our snow and ice control equipment in the following year, whereas low snowfall levels in a given winter tend to lead to decreased units shipped of our snow and ice control equipment in the following year. Over the past 10 years, our sales of snow and ice control equipment ranged from a low of 40,538 units to a high of 66,043 units, averaging 50,504 units per year (including units sold by Blizzard Corporation prior to its acquisition by us in November 2005).


Equipment Sales Versus Snowfall

GRAPHIC

Note: This chart is not weighted or adjusted to account for new distributors or increased market size, but does include unit sales attributable to new distributors. Further, snowfall data in this chart is not adjusted for snowfall outside of the 66 cities in the 26 states reflected. Units of equipment sales for years 2002 through 2005 are adjusted to include units sold by Blizzard Corporation prior to its acquisition by us in November 2005.

Source of snowfall data: National Oceanic and Atmospheric Administration's National Weather Service

        Snowfall levels in any given rolling eight-year period have been relatively constant. See "Business—Our Industry."

        We attempt to manage the seasonal impact of snowfall on our revenues in part through our pre-season sales program, which involves actively soliciting and encouraging pre-season distributor orders in the second and third quarters by offering our distributors a combination of pricing, payment and freight incentives during this period. These pre-season sales incentives encourage our distributors to re-stock their inventory during the second and third quarters in anticipation of the peak fourth quarter retail sales period by offering favorable pre-season pricing and payment deferral until the fourth quarter. As a result, we tend to generate our greatest volume of sales (an average of over two-thirds over the last ten years) during the second and third quarters, providing us with manufacturing visibility for the remainder of the year. By contrast, our revenue and operating results tend to be lowest during the first quarter as management believes our end-users prefer to wait until the beginning of a snow season to purchase new equipment and as our distributors sell off inventory and wait for our pre-season sales incentive period to re-stock inventory. Fourth quarter sales vary from

41


Table of Contents

year-to-year as they are primarily driven by the level, timing and location of snowfall during the quarter. This is because most of our fourth quarter sales and shipments consist of re-orders by distributors seeking to restock inventory to meet immediate customer needs caused by snowfall during the winter months.

        Our revenue and operating results tend to be lowest during the first quarter, during which period we typically experience negative earnings as the snow season draws to a close. Our first quarter revenue has varied from approximately $8.5 million to approximately $23.5 million between 2007 and 2011. During the last five-year period, net loss during the first quarter has varied from a net loss of approximately $0.8 million to a net loss of approximately $6.5 million, with an average net loss of $4.1 million.

        While our monthly working capital has averaged approximately $90 million from 2009 to 2011, because of the seasonality of our sales, we experience seasonality in our working capital needs as well. In the first quarter we require capital as we are generally required to build our inventory in anticipation of our second and third quarter sales seasons. During the second and third quarters, our working capital requirements rise as our accounts receivables increase as a result of the sale and shipment of products ordered through our pre-season sales program and we continue to build inventory. Working capital requirements peak towards the end of the third quarter (reaching an average peak of approximately $73.0 million over the prior three years) and then begin to decline through the fourth quarter through a reduction in accounts receivables (as it is in the fourth quarter that we receive a majority of the payments for previously shipped products).

        We also attempt to manage the impact of seasonality and year-to-year variability on our business costs through the effective management of our assets. See "Business—Our Business Strategy—Aggressive Asset Management and Profit Focus." Our asset management and profit focus strategies include:

    the employment of a highly variable cost structure facilitated by a core group of workers that we supplement with a temporary workforce as sales volumes dictate, which allows us to adjust costs on an as-needed basis in response to changing demand;

    our enterprise-wide lean concept, which allows us to adjust production levels up or down to meet demand;

    the pre-season order program described above, which incentivizes distributors to place orders prior to the retail selling season; and

    a vertically integrated business model.

        These asset management and profit focus strategies, among other management tools, allow us to adjust fixed overhead and sales, general and administrative expenditures to account for the year-to-year variability of our sales volumes. Management currently estimates that annual fixed overhead expenses generally range from approximately $14.0 million in low sales volume years to approximately $16.0 million in high sales volume years. Further, management currently estimates that annual sales, general and administrative expenses other than amortization generally approximate $20.0 million, but can be reduced to approximately $17.0 million to maximize cash flow in low sales volume years, and can increase to approximately $24.0 million to maintain customer service and responsiveness in high sales volume years.

        Additionally, although modest, our annual capital expenditure requirements, which are normally budgeted at $3.5 million, can be temporarily reduced by up to approximately 40% in response to actual or anticipated decreases in sales volumes. If we are unsuccessful in our asset management initiatives, the seasonality and year-to-year variability effects on our business may be compounded and in turn our results of operations and financial condition may suffer.

42


Table of Contents


Item 7A.    Quantitative and Qualitative Disclosures About Market Risk

Quantitative and Qualitative Disclosures About Market Risk

        We do not use financial instruments for speculative trading purposes, and do not hold any derivative financial instruments that could expose us to significant market risk. Our primary market risk exposures are changes in interest rates and steel price fluctuations.

Interest Rate Risk

        We are exposed to market risk primarily from changes in interest rates. Our borrowings, including our term loan and any revolving borrowings under our senior credit facilities, are at variable rates of interest and expose us to interest rate risk. A portion of our interest rate risk associated with our term loan is mitigated through an interest rate swap as discussed in Note 7 to the Consolidated Financial Statements. In addition, the interest rate on any revolving borrowings is subject to an increase in the interest rate based on our average daily availability under our revolving credit facility.

        As of December 31, 2011, we had outstanding borrowings under our term loan of $122.9 million. A hypothetical interest rate change of 1%, 1.5% and 2% on our term loan would have changed interest incurred for the year ended December 31, 2011 by $0.1 million, $0.2 million and $0.7 million, respectively. We have entered into an interest rate swap, which became effective beginning July 2011 and matures December 2014, to hedge the variability in future cash flows associated with our variable-rate term loans. The swap converts $50.0 million of our term loan to a fixed interest rate of 2.085%. As of December 31, 2011, we had no outstanding borrowings under our revolving credit facility.

Commodity Price Risk

        In the normal course of business, we are exposed to market risk related to our purchase of steel, the primary commodity upon which our manufacturing depends. While steel is typically available from numerous suppliers, the price of steel is a commodity subject to fluctuations that apply across broad spectrums of the steel market. We do not use any derivative or hedging instruments to manage the price risk. If the price of steel increases, our variable costs could also increase. While historically we have successfully mitigated these increased costs through the implementation of either permanent price increases and/or temporary invoice surcharges, in the future we may not be able to successfully mitigate these costs, which could cause our gross margins to decline. If our costs for steel were to increase by $1.00 in a period in which we were not able to pass any of this increase onto our distributors, our gross margins would decline by $1.00 in that period.

Item 8.    Financial Statements and Supplementary Data

        The financial statements are included in this report beginning on page F-3.

Item 9.    Changes In and Disagreements with Accountants on Accounting and Financial Disclosures

    None

Item 9A.    Controls and Procedures

Disclosure Controls and Procedures

        Our management, with the participation of our Chief Executive Officer and Chief Financial Officer, we carried out an evaluation of the effectiveness of the design and operation of our disclosure controls and procedures (the "Evaluation") as of the last day of the period covered by this report.

43


Table of Contents

        Based upon the Evaluation, our Chief Executive Officer and Chief Financial Officer concluded that our disclosure controls and procedures were effective of the last day of the period covered by this report. Disclosure controls and procedures are defined by Rules 13a-15(e) and 15d-15(e) under the Securities Exchange Act of 1934 (the "Exchange Act") as controls and other procedures that are designed to ensure that information required to be disclosed by us in the reports that we file or submit under the Exchange Act is recorded, processed, summarized and reported within the time periods specified by the SEC's rules and forms. Disclosure controls and procedures include, without limitation, controls and procedures designed to ensure that information required to be disclosed by us in the reports that we file or submit under the Exchange Act is accumulated and communicated to our management, including our Chief Executive Officer and Chief Financial Officer, as appropriate to allow timely decisions regarding required disclosures.

        It should be noted that the design of any system of controls is based in part upon certain assumptions about the likelihood of future events, and there can be no assurance that any design will succeed in achieving our stated goals under all potential future conditions, regardless of how remote.

Management's Report on Internal Control Over Financial Reporting

        Our management is responsible for establishing and maintaining adequate internal control over financial reporting. Our internal control system was designed to provide reasonable assurance to our management and Board of Directors regarding the preparation and fair presentation of our published financial statements.

        All internal control systems, no matter how well designed, have inherent limitations. Therefore, even those systems determined to be effective can provide only reasonable assurance with respect to financial statement preparation and presentation.

        Our management with the participation of our Chief Executive Officer and Chief Financial Officer, evaluated the effectiveness of our internal control over financial reporting as of December 31, 2011. In making this assessment, it used the criteria set forth by the Committee of Sponsoring Organizations of the Treadway Commission ("COSO") in Internal Control—Integrated Framework. Based on its, management believes that, as of December 31, 2011, our internal control over financial reporting was effective based on those criteria.

        Ernst & Young LLP, an independent registered public accounting firm, has audited the Consolidated Financial Statements included in this Annual Report on Form 10-K and, as part of its audit, has issued an attestation report, included herein, on the effectiveness of our internal control over financial reporting.

Management's Report on Internal Control Over Financial Reporting

        During the last fiscal quarter, of the period covered by this report, there were no changes in our internal controls over financial reporting that have materially affected or are reasonably likely to materially affect such controls.

Item 9B.    Other Information

        None

44


Table of Contents


PART III

Item 10.    Directors, Executive Officers and Corporate Governance

        The information included under the captions "Election of Directors," "Board of Directors and Corporate Governance" and "Section 16(a) Beneficial Ownership Reporting Compliance" in the Company's definitive proxy statement, which is expected to be filed pursuant to Regulation 14A within 120 days following the end of the fiscal year covered by this report (the "Proxy Statement"), is hereby incorporated by reference. The information required by Item 10 with respect to our Executive Officers is included in Part I of this Annual Report on Form 10-K.

        We have adopted a Code of Business Conduct and Ethics that applies to our principal executive officer, principal financial officer and principal accounting officer, as well as all of our employees. We have posted a copy of the Code of Business Conduct and Ethics on our website at www.douglasdynamics.com. The Code of Business Conduct and Ethics is also available in print to any stockholder who requests it in writing from the Corporate Secretary at 7777 North 73rd Street, Milwaukee, Wisconsin 53223. We intend to post on our website any amendments to, or waivers (with respect to our principal executive officer, principal financial officer and controller) from, the Code of Business Conduct and Ethics within four business days of any such amendment or waiver. We are not including the information contained on our website as part of, or incorporating it by reference into, this report.

Item 11.    Executive Compensation

        The information required in Item 11 is incorporated by reference to the information in the Proxy Statement under the captions "Corporate Governance—Compensation Committee Interlocks and Insider Participation," "Compensation Discussion and Analysis", "Executive Compensation," "Director Compensation" and "Compensation Committee Report."

Item 12.    Security Ownership of Certain Beneficial Owners and Management and Related Shareholder Matters

        The information required in Item 12 is incorporated by reference to the information in the Proxy Statement under the captions "Corporate Governance—Significant Stockholders" and "—Executive Officers and Directors."

Item 13.    Certain Relationships and Related Transactions, and Director Independence

        The information required in Item 13 is incorporated by reference to the information in the Proxy Statement under the caption "Corporate Governance."

Item 14.    Principal Accounting Fees and Services

        The information required in Item 14 is incorporated by reference to the information in the Proxy Statement under the caption "Ratification of Appointment of Independent Registered Public Accounting Firm."

45


Table of Contents


PART IV

Item 15.    Exhibits and Financial Statement Schedules

(a)
Documents filed as part of this report:

1.
Consolidated Financial Statements:

              See "Index to Consolidated Financial Statements" on page F-1, the Reports of Independent Registered Public Accounting Firm on page F-2 and F-3 and the Consolidated Financial Statements beginning on page F-4, all of which are incorporated herein by reference.

    2.
    Financial Statement Schedule:

              All schedules have been omitted because the information required in these schedules is included in the Notes to the Consolidated Financial Statements.

    3.
    Exhibits:

              See "Exhibit Index" of this Form 10-K, which is incorporated herein by reference.

46


    Table of Contents


    Signatures

            Pursuant to the requirements of Section 13 or 15(d) of the Securities Exchange Act of 1934, the Registrant has duly caused this report to be signed on its behalf by the undersigned, thereunto duly authorized, on this 13th day of March, 2012.

       DOUGLAS DYNAMICS, INC.

     

     

    By:

     

    /s/ JAMES JANIK

    James L. Janik
    President and Chief Executive Officer

            Pursuant to the requirements of the Securities Exchange Act of 1934, this report has been signed below by the following persons on behalf of the Registrant and in the capacities indicated on March 13, 2012.


    /s/ JAMES L. JANIK

    James L. Janik

     

    President and Chief Executive Officer (Principal Executive Officer) and Director

    /s/ ROBERT L. MCCORMICK

    Robert L. McCormick

     

    Executive Vice President and Chief Financial Officer (Principal Financial Officer)

    /s/ ROBERT J. YOUNG

    Robert J. Young

     

    Corporate Controller and Treasurer (Controller)

    /s/ KENNETH W. KRUEGER

    Kenneth W. Krueger

     

    Director

    /s/ JAMES L. PACKARD

    James L. Packard

     

    Director

    /s/ JACK O. PEIFFER

    Jack O. Peiffer

     

    Director

    /s/ JAMES D. STALEY

    James D. Staley

     

    Director

    /s/ DONALD W. STURDIVANT

    Donald W. Sturdivant

     

    Director

    /s/ MICHAEL W. WICKHAM

    Michael W. Wickham

     

    Director

    47


    Table of Contents


    Exhibit Index

    Exhibit
    Number
     Title
     3.1 Fourth Amended and Restated Certificate of Incorporation of Douglas Dynamics, Inc. [Incorporated by reference to Exhibit 3.3 to Douglas Dynamics, Inc.'s Registration Statement on Form S-1 (Registration No. 333-164590)].
         
     3.2 Second Amended and Restated Bylaws of Douglas Dynamics, Inc. [Incorporated by reference to Exhibit 3.6 to Douglas Dynamics, Inc.'s Registration Statement on Form S-1 (Registration No. 333-164590) ].
         
     10.1 Amended and Restated Credit and Guaranty Agreement dated as of April 18, 2011 among Douglas Dynamics, L.L.C. Douglas Dynamics Finance Company and Fisher LLC as borrowers, Douglas Dynamics, Inc., as guarantor, the banks and financial institutions listed therein as lenders, J.P.Morgan Securities LLC, as sole bookrunner and sole lead arranger, JP Morgan Chase Bank, N.A., as administrative agent and collateral agent, and Wells Fargo Capital Finance, LLC, as syndication agent [Incorporated by reference to Exhibit 10.1 to Douglas Dynamics, Inc.'s Current Report on Form 8-K filed April 20, 2011 (File No. 001-34728)].
         
     10.2 Credit and Guaranty Agreement, dated as of April 18, 2011, among Douglas Dynamics, L.L.C., as borrower, Douglas Dynamics, Inc., Douglas Dynamics Finance Company and Fisher, LLC, as guarantors, the banks and financial institutions listed therein, as lenders, J.P. Morgan Securities LLC and Credit Suisse Securities (USA) LLC, as joint bookrunners and joint lead arrangers, JPMorgan Chase Bank, N.A., as collateral agent and administrative agent, and Credit Suisse Securities (USA) LLC, as syndication agent Incorporated by reference to Exhibit 10.2 to Douglas Dynamics, Inc.'s Current Report on Form 8-K filed April 20, 2011 (File No. 001-34728)].
         
     10.3#Employment Agreement between Robert McCormick and Douglas Dynamics, Inc., dated September 7, 2004, as amended by that certain amendment, dated as of October 1, 2008 [Incorporated by reference to Exhibit 10.5 to Douglas Dynamics, Inc.'s Registration Statement on Form S-1 (Registration No. 333-164590)].
         
     10.4#Form of Amendment No. 2 to Employment Agreement between Robert McCormick and Douglas Dynamics, Inc. [Incorporated by reference to Exhibit 10.6 to Douglas Dynamics, Inc.'s Registration Statement on Form S-1 (Registration No. 333-164590)].
         
     10.5#Employment Agreement between James L. Janik and Douglas Dynamics, Inc., dated March 30, 2004 [Incorporated by reference to Exhibit 10.7 to Douglas Dynamics, Inc.'s Registration Statement on Form S-1 (Registration No. 333-164590)].
         
     10.6#Form of Amendment No. 1 to Employment Agreement between James L. Janik and Douglas Dynamics, Inc. [Incorporated by reference to Exhibit 10.8 to Douglas Dynamics, Inc.'s Registration Statement on Form S-1 (Registration No. 333-164590)].
         
     10.7#Employment Agreement between Mark Adamson and Douglas Dynamics, Inc., dated August 27, 2007 [Incorporated by reference to Exhibit 10.9 to Douglas Dynamics, Inc.'s Registration Statement on Form S-1 (Registration No. 333-164590)].
         
     10.9#Form of Amendment No. 1 to Employment Agreement between Mark Adamson and Douglas Dynamics, Inc. [Incorporated by reference to Exhibit 10.10 to Douglas Dynamics, Inc.'s Registration Statement on Form S-1 (Registration No. 333-164590)].
     
      

    48


    Table of Contents

    Exhibit
    Number
     Title
     10.10#Douglas Dynamics, Inc. Amended and Restated 2004 Stock Incentive Plan [Incorporated by reference to Exhibit 10.16 to Douglas Dynamics, Inc.'s Registration Statement on Form S-1 (Registration No. 333-164590)].
         
     10.11#Form of Amended and Restated Management Incentive Option Agreement under Douglas Dynamics, Inc. Amended and Restated 2004 Stock Incentive Plan [Incorporated by reference to Exhibit 10.18 to Douglas Dynamics,  Inc.'s Registration Statement on Form S-1 (Registration No. 333-164590)].
         
     10.12#Form of Management Non-Qualified Stock Option Agreement under Douglas Dynamics, Inc. 2004 Stock Incentive Plan [Incorporated by reference to Exhibit 10.19 to Douglas Dynamics, Inc.'s Registration Statement on Form S-1 (Registration No. 333-164590)].
         
     10.13#Form of Amended and Restated Management Non-Qualified Option Agreement under Douglas Dynamics, Inc. Amended and Restated 2004 Stock Incentive Plan [Incorporated by reference to Exhibit 10.20 to Douglas Dynamics,  Inc.'s Registration Statement on Form S-1 (Registration No. 333-164590)].
         
     10.14#Form of Non-Employee Director Non-Qualified Option Agreement under Douglas Dynamics, Inc. 2004 Stock Incentive Plan [Incorporated by reference to Exhibit 10.21 to Douglas Dynamics, Inc.'s Registration Statement on Form S-1 (Registration No. 333-164590)].
         
     10.15#Form of Amended and Restated Non-Employee Director Non-Qualified Option Agreement under Douglas Dynamics, Inc. Amended and Restated 2004 Stock Incentive Plan [Incorporated by reference to Exhibit 10.22 to Douglas Dynamics, Inc.'s Registration Statement on Form S-1 (Registration No. 333-164590)].
         
     10.16#Amended and Restated Management Incentive Option Agreement under Douglas Dynamics, Inc. 2004 Stock Incentive Plan between Douglas Dynamics, Inc. and James L. Janik, dated March 31, 2004 [Incorporated by reference to Exhibit 10.23 to Douglas Dynamics, Inc.'s Registration Statement on Form S-1 (Registration No. 333-164590)].
         
     10.17#Form of Second Amended and Restated Management Incentive Option Agreement under Douglas Dynamics, Inc. Amended and Restated 2004 Stock Incentive Plan between Douglas Dynamics, Inc. and James L. Janik [Incorporated by reference to Exhibit 10.24 to Douglas Dynamics, Inc.'s Registration Statement on Form S-1 (Registration No. 333-164590)].
         
     10.18#Amended and Restated Non-Qualified Option Agreement under Douglas Dynamics, Inc. 2004 Stock Incentive Plan between Douglas Dynamics, Inc. and James L. Janik, dated March 31, 2004 [Incorporated by reference to Exhibit 10.25 to Douglas Dynamics, Inc.'s Registration Statement on Form S-1 (Registration No. 333-164590)].
         
     10.19#Form of Second Amended and Restated Non-Qualified Option Agreement under Douglas Dynamics, Inc. Amended and Restated 2004 Stock Incentive Plan between Douglas Dynamics, Inc. and James L. Janik [Incorporated by reference to Exhibit 10.26 to Douglas Dynamics, Inc.'s Registration Statement on Form S-1 (Registration No. 333-164590)].
         
     10.20#Form of Amended and Restated Deferred Stock Unit Agreement [Incorporated by reference to Exhibit 10.27 to Douglas Dynamics, Inc.'s Registration Statement on Form S-1 (Registration No. 333-164590) ].
         
     10.21#Douglas Dynamics 2011 Annual Incentive Plan [Incorporated by reference to Exhibit 10.1 to Douglas Dynamics, Inc.'s Quarterly Report on Form 10-Q (File No. 001-34728)].
     
      

    49


    Table of Contents

    Exhibit
    Number
     Title
     10.22#Douglas Dynamics, L.L.C. Long Term Incentive Plan 2009 [Incorporated by reference to Exhibit 10.30 to Douglas Dynamics, Inc.'s Registration Statement on Form S-1 (Registration No. 333-164590) ].
         
     10.23#Douglas Dynamics, Inc. 2010 Stock Incentive Plan [Incorporated by reference to Exhibit 10.32 to Douglas Dynamics, Inc.'s Registration Statement on Form S-1 (Registration No. 333-164590) ].
         
     10.24#Form of Restricted Stock Agreement under Douglas Dynamics, Inc. 2010 Stock Incentive Plan [Incorporated by reference to Exhibit 10.33 to Douglas Dynamics, Inc.'s Registration Statement on Form S-1 (Registration No. 333-164590)].
         
     10.25#Alternative Form of Restricted Stock Agreement under Douglas Dynamics, Inc. 2010 Stock Incentive Plan [Incorporated by reference to Exhibit 10.34 to Douglas Dynamics, Inc.'s Registration Statement on Form S-1 (Registration No. 333-164590)].
         
     10.26#Form of Restricted Stock Units Agreement under Douglas Dynamics, Inc. 2010 Stock Incentive Plan [Incorporated by reference to Exhibit 10.35 to Douglas Dynamics, Inc.'s Registration Statement on Form S-1 (Registration No. 333-164590)].
         
     10.27#Form of Nonqualified Stock Option Agreement under Douglas Dynamics, Inc. 2010 Stock Incentive Plan [Incorporated by reference to Exhibit 10.36 to Douglas Dynamics, Inc.'s Registration Statement on Form S-1 (Registration No. 333-164590)].
         
     10.28#Form of Incentive Stock Option Agreement under 2010 Stock Incentive Plan [Incorporated by reference to Exhibit 10.37 to Douglas Dynamics, Inc.'s Registration Statement on Form S-1 (Registration No. 333-164590)].
         
     10.29#Form of Restricted Stock Grant Notice and Standard Terms and Conditions under the Douglas Dynamics, Inc. 2010 Stock Incentive Plan [Incorporated by reference to Exhibit 10.1 to Douglas Dynamics, Inc.'s Current Report on Form 8-K filed December 30, 2010 (File No. 001-34728)].
         
     10.30#Form of Restricted Stock Unit Grant Notice and Standard Terms and Conditions under the Douglas Dynamics, Inc. 2010 Stock Incentive Plan [Incorporated by reference to Exhibit 10.1 to Douglas Dynamics, Inc.'s Current Report on Form 8-K filed December 30, 2010 (File No. 001-34728)].
         
     10.31#Form of Nonemployee Director Restricted Stock Unit Grant Notice and Standard Terms and Conditions under the Douglas Dynamics, Inc. 2010 Stock Incentive Plan [Incorporated by reference to Exhibit 10.1 to Douglas Dynamics, Inc.'s Current Report on Form 8-K filed December 30, 2010 (File No. 001-34728)].
         
     10.32#Form of Second Amended and Restated Joint Management Services Agreement among Douglas Dynamics, Inc., Douglas Dynamics, L.L.C., Aurora Management Partners LLC, and ACOF Management, L.P. [Incorporated by reference to Exhibit 10.42 to Douglas Dynamics, Inc.'s Registration Statement on Form S-1 (Registration No. 333-164590)].
         
     10.33#Form of Director and Officer Indemnification Agreement [Incorporated by reference to Exhibit 10.43 to Douglas Dynamics, Inc.'s Registration Statement on Form S-1 (Registration No. 333-164590) ].
         
     10.34#*Douglas Dynamics Nonqualified Deferred Compensation Plan
         
     21.1*Subsidiaries of Douglas Dynamics, Inc.
     
      

    50


    Table of Contents

    Exhibit
    Number
     Title
     23.1*Consent of Ernst & Young LLP.
         
     31.1*Certification of the Company's Chief Executive Officer pursuant to Section 302 of the Sarbanes-Oxley Act of 2002.
         
     31.2*Certification of the Company's Chief Financial Officer pursuant to Section 302 of the Sarbanes-Oxley Act of 2002.
         
     32.1*Certification of the Company's Chief Executive Officer and Chief Financial Officer pursuant to Section 906 of the Sarbanes-Oxley Act of 2002.
         
     99.1 Proxy Statement for the 2012 Annual Meeting of Stockholders [To be filed with the Securities and Exchange Commission under Regulation 14A within 120 days after December 31, 2011; except to the extent specifically incorporated by reference, the Proxy Statement for the 2012 Annual Meeting of Stockholders shall not be deemed to be filed with the Securities and Exchange Commission as part of this Annual Report on Form 10-K]
         
     101.1 XBRL Instance Document
         
     101.2 XBRL Taxonomy Extension Schema Document
         
     101.3 XBRL Taxonomy Extension Calculation Linkbase Document
         
     101.4 XBRL Taxonomy Extension Definition Linkbase Document
         
     101.5 XBRL Taxonomy Extension Label Linkbase Document
         
     101.6 XBRL Taxonomy Extension Presentation Linkbase Document

    #
    A management contract or compensatory plan or arrangement.

    *
    Filed herewith.

    51


    Table of Contents


    Index to Consolidated Financial Statements

    F-1


    Table of Contents

    Report of Independent Registered Public Accounting Firm

    The Board of Directors and Shareholders of Douglas Dynamics, Inc.

            We have audited the accompanying consolidated balance sheets of Douglas Dynamics, Inc. (the Company) as of December 31, 2011 and 2010, and the related consolidated statements of income, changes in shareholders' equity, and cash flows for each of the three years in the period ended December 31, 2011. These financial statements are the responsibility of the Company's management. Our responsibility is to express an opinion on these financial statements based on our audits.

            We conducted our audits in accordance with the standards of the Public Company Accounting Oversight Board (United States). Those standards require that we plan and perform the audit to obtain reasonable assurance about whether the financial statements are free of material misstatement. An audit includes examining, on a test basis, evidence supporting the amounts and disclosures in the financial statements. An audit also includes assessing the accounting principles used and significant estimates made by management, as well as evaluating the overall financial statement presentation. We believe that our audits provide a reasonable basis for our opinion.

            In our opinion, the financial statements referred to above present fairly, in all material respects, the consolidated financial position of Douglas Dynamics, Inc. at December 31, 2011 and 2010, and the consolidated results of its operations and its cash flows for each of the three years in the period ended December 31, 2011, in conformity with U.S. generally accepted accounting principles.

            We also have audited, in accordance with the standards of the Public Company Accounting Oversight Board (United States), Douglas Dynamics, Inc.'s internal control over financial reporting as of December 31, 2011, based on criteria established in Internal Control—Integrated Framework issued by the Committee of Sponsoring Organizations of the Treadway Commission and our report dated March 13, 2012 expressed an unqualified opinion thereon.

    Milwaukee, Wisconsin
    March 13, 2012
     /s/ Ernst & Young LLP

    F-2


    Table of Contents


    Report of Independent Registered Public Accounting Firm

    The Board of Directors and Shareholders of Douglas Dynamics, Inc.

            We have audited Douglas Dynamics, Inc.'s (the Company) internal control over financial reporting as of December 31, 2011, based on criteria established in Internal Control—Integrated Framework issued by the Committee of Sponsoring Organizations of the Treadway Commission (the COSO criteria). Douglas Dynamics, Inc.'s management is responsible for maintaining effective internal control over financial reporting, and for its assessment of the effectiveness of internal control over financial reporting included in the accompanying Management's Report on Internal Control over Financial Reporting. Our responsibility is to express an opinion on the company's internal control over financial reporting based on our audit.

            We conducted our audit in accordance with the standards of the Public Company Accounting Oversight Board (United States). Those standards require that we plan and perform the audit to obtain reasonable assurance about whether effective internal control over financial reporting was maintained in all material respects. Our audit included obtaining an understanding of internal control over financial reporting, assessing the risk that a material weakness exists, testing and evaluating the design and operating effectiveness of internal control based on the assessed risk, and performing such other procedures as we considered necessary in the circumstances. We believe that our audit provides a reasonable basis for our opinion.

            A company's internal control over financial reporting is a process designed to provide reasonable assurance regarding the reliability of financial reporting and the preparation of financial statements for external purposes in accordance with generally accepted accounting principles. A company's internal control over financial reporting includes those policies and procedures that (1) pertain to the maintenance of records that, in reasonable detail, accurately and fairly reflect the transactions and dispositions of the assets of the company; (2) provide reasonable assurance that transactions are recorded as necessary to permit preparation of financial statements in accordance with generally accepted accounting principles, and that receipts and expenditures of the company are being made only in accordance with authorizations of management and directors of the company; and (3) provide reasonable assurance regarding prevention or timely detection of unauthorized acquisition, use or disposition of the company's assets that could have a material effect on the financial statements.

            Because of its inherent limitations, internal control over financial reporting may not prevent or detect misstatements. Also, projections of any evaluation of effectiveness to future periods are subject to the risk that controls may become inadequate because of changes in conditions, or that the degree of compliance with the policies or procedures may deteriorate.

            In our opinion, Douglas Dynamics, Inc. maintained, in all material respects, effective internal control over financial reporting as of December 31, 2011, based on the COSO criteria.

            We also have audited, in accordance with the standards of the Public Company Accounting Oversight Board (United States), the consolidated balance sheets of Douglas Dynamics, Inc. as of December 31, 2011 and 2010, and the related consolidated statements of income, changes in shareholders' equity and cash flows for each of the three years in the period ended December 31, 2011 and our report dated March 13, 2012, expressed an unqualified opinion thereon.

                          /s/Ernst & Young LLP

    Milwaukee, WI
    March 13, 2012

    F-3


    Table of Contents


    DOUGLAS DYNAMICS, INC.

    CONSOLIDATED BALANCE SHEETS

    (Dollars In Thousands, Except Per Share Data)

     
     December 31,
    2011
     December 31,
    2010
     

    Assets

           

    Current assets:

           

    Cash and cash equivalents

     
    $

    39,432
     
    $

    20,149
     

    Accounts receivable, net

      34,019  37,040 

    Inventories

      24,005  23,481 

    Deferred income taxes

      4,952  7,142 

    Prepaid income taxes

        29 

    Prepaid and other current assets

      1,054  1,131 
          

    Total current assets

      103,462  88,972 

    Property, plant, and equipment, net

      
    21,340
      
    21,962
     

    Assets held for sale

      1,732  1,779 

    Goodwill

      107,222  107,222 

    Other intangible assets, net

      121,747  126,948 

    Deferred financing costs, net

      3,402  953 

    Other long-term assets

      112  207 
          

    Total assets

     $359,017 $348,043 
          

    Liabilities and shareholders' equity

           

    Current liabilities:

           

    Accounts payable

     
    $

    5,040
     
    $

    2,847
     

    Accrued expenses and other current liabilities

      15,755  11,923 

    Accrued interest

      350  23 

    Income taxes payable

      395   

    Current portion of long-term debt

      11,071  1,183 
          

    Total current liabilities

      32,611  15,976 

    Retiree health benefit obligation

      
    8,053
      
    7,235
     

    Pension obligation

      14,163  10,753 

    Deferred income taxes

      26,957  22,650 

    Deferred compensation

      912  1,067 

    Long-term debt, less current portion

      111,866  119,971 

    Other long-term liabilities

      1,066  898 

    Shareholders' equity:

           

    Common Stock, par value $0.01, 200,000,000 shares authorized, 22,020,694 and 21,579,655 shares issued and outstanding at December 31, 2011 and December 31, 2010, respectively

      
    220
      
    216
     

    Additional paid-in capital

      
    130,907
      
    127,695
     

    Shareholders' notes receivable

        (482)

    Retained earnings

      39,742  46,495 

    Accumulated other comprehensive loss, net of tax

      (7,480) (4,431)
          

    Total shareholders' equity

      163,389  169,493 
          

    Total liabilities and shareholders' equity

     $359,017 $348,043 
          

       

    See accompanying Notes to Consolidated Financial Statements

    F-4


    Table of Contents


    DOUGLAS DYNAMICS, INC.

    CONSOLIDATED STATEMENTS OF INCOME

    (In Thousands, Except Per Share Data)

     
     2011  2010  2009  

    Net sales

     $208,798 $176,795 $174,342 

    Cost of sales

      136,981  116,494  117,264 
            

    Gross profit

      71,817  60,301  57,078 

    Selling, general, and administrative expense

      
    26,389
      
    26,509
      
    20,085
     

    Intangibles amortization

      5,201  6,001  6,161 

    Management fees-related party

      46  6,383  1,393 
            

    Income from operations

      40,181  21,408  29,439 

    Interest expense, net

      
    (8,918

    )
     
    (10,943

    )
     
    (15,520

    )

    Loss on extinguishment of debt

      (673) (7,967)  

    Other income (expense), net

      (218) 36  (90)
            

    Income before taxes

      30,372  2,534  13,829 

    Income tax expense

      
    11,332
      
    872
      
    3,986
     
            

    Net income

     $19,040 $1,662 $9,843 
            

    Less: Net income attributable to participating securities

      233  12   
            

    Net income attributable to common shareholders

     $18,807 $1,650 $9,843 
            

    Earnings per share:

              

    Basic earnings per common share attributable to common shareholders

     $0.87 $0.09 $0.68 

    Earnings per common share assuming dilution attributable to common shareholders

     $0.85 $0.09 $0.67 

    Cash dividends declared and paid per share

     $1.18 $0.38 $0.00 

       

    See accompanying Notes to Consolidated Financial Statements

    F-5


    Table of Contents

    DOUGLAS DYNAMICS, INC.

    CONSOLIDATED STATEMENTS OF CHANGES IN SHAREHOLDERS' EQUITY

    (Dollars In Thousands)

     
     Redeemable Securities   
      
      
      
      
      
      
      
     
     
     Series A
    Redeemable
    Preferred
    Stock
      
      
      
      
      
      
      
      
      
      
      
      
     
     
     Series B
    Redeemable
    Preferred
     Series C
    Redeemable
    Preferred
      
      
      
      
      
      
      
      
     
     
     Common Stock   
      
      
     Accumulated
    Other
    Comprehensive
    Loss
      
      
     
     
     Additional
    Paid-in
    Capital
     Shareholders'
    Notes
    Receivable
     Retained
    Earnings
      
     Comprehensive
    Income (Loss)
     
     
     Shares  Dollars  Shares  Dollars  Shares  Dollars  Shares  Dollars  Total  

    Balance at December 31, 2008

       $  1 $1  1 $1  14,454,369 $144 $60,378 $(1,116)$43,212 $(4,559)$98,059    
                                  

    Net income

                          9,843    9,843 $9,843 

    Adjustment for pension and postretirement benefit liability, net of tax of $365

                            622  622  622 

    Interest on shareholders' notes receivable

                        (34)     (34)  

    Stock repurchases and retirement

                  (32,633)   (405) 137      (268)  
                                  

    Balance at December 31, 2009

       $  1 $1  1 $1  14,421,736 $144 $59,973 $(1,013)$53,055 $(3,937)$108,222 $10,465 
                                  

    Net income

                          1,662    1,662 $1,662 

    Dividends paid

                          (8,222)   (8,222)  

    Adjustment for pension and postretirement benefit liability, net of tax of $327

                            (494) (494) (494)

    Interest on shareholders' notes receivable

                        (28)     (28)  

    Issuance and sales of common stock by Company through IPO

      
      
      
      
      
      
      
    6,500,000
      
    65
      
    63,864
      
      
      
      
    63,929
      
     

    Issuance of non-vested common stock in connection with IPO

      
      
      
      
      
      
      
    208,130
      
    2
      
    (2

    )
     
      
      
      
      
     

    Shares issued for options exercised in connection with IPO

      
      
      
      
      
      
      
    180,567
      
    2
      
    1,659
      
      
      
      
    1,661
      
     

    Fractional shares repurchased and retired in connection with IPO

                  (7)              

    Stock repurchases and retirement

          (1) (1) (1) (1)          559       559   

    Deferred stock units converted

                  174,229  2  (2)          

    Stock option exercises

                  95,000  1  1,067        1,068    

    Stock based compensation

                      1,136        1,136   
                                  

    Balance at December 31, 2010

       $   $   $  21,579,655 $216 $127,695 $(482)$46,495 $(4,431)$169,493 $1,168 
                                  

    Net income

                          19,040    19,040  19,040 

    Dividends paid

                          (25,793)   (25,793)  

    Adjustment for pension and postretirement benefit liability, net of tax of $1,560

                            (2,658) (2,658) (2,658)

    Adjustment for interest rate swap, net of tax of $230

                            (391) (391) (391)

    Interest on shareholders' notes receivable

                        (7)     (7)  

    Repayment of shareholders' note receivable

                        489      489   

    Shares issued for options exercised

                  319,383  3  1,340        1,343   

    Stock based compensation

                  121,656  1  1,872        1,873   
                                  

    Balance at December 31, 2011

       $   $   $  22,020,694 $220 $130,907 $ $39,742 $(7,480)$163,389 $15,991 
                                  

    See accompanying Notes to Consolidated Financial Statements

    F-6


    Table of Contents


    DOUGLAS DYNAMICS, INC.

    CONSOLIDATED STATEMENTS OF CASH FLOWS

    (In Thousands)

     
     2011  2010  2009  

    Operating activities

              

    Net income

     $19,040 $1,662 $9,843 

    Adjustments to reconcile net income to net cash provided by operating activities:

              

    Depreciation and amortization

      8,176  11,705  11,958 

    Amortization of deferred financing costs and debt discount

      832  872  1,209 

    Loss on extinguishment of debt

      673  7,967   

    Stock-based compensation

      1,873  4,029  732 

    Provision for losses on accounts receivable

      47  445  133 

    Deferred income taxes

      6,497  641  1,810 

    Changes in operating assets and liabilities:

              

    Accounts receivable

      2,974  (5,313) (3,717)

    Inventories

      (524) 3,216  2,105 

    Prepaid and other assets and prepaid income taxes

      201  1,437  (776)

    Accounts payable

      2,193  (2,323) 218 

    Accrued expenses and other current liabilities

      4,554  (7,201) 1,127 

    Deferred compensation

      (155) (415) (162)

    Benefit obligations and other long-term liabilities

      1,347  (945) 1,091 
            

    Net cash provided by operating activities

      47,728  15,777  25,571 

    Investing activities

              

    Capital expenditures

      (2,373) (3,009) (8,200)

    Proceeds from sale of equipment

      67  226   
            

    Net cash used in investing activities

      (2,306) (2,783) (8,200)

    Financing activities

              

    Stock repurchases

        (166) (1,000)

    Proceeds from exercise of stock options

      1,343     

    Payment of call premium and post payoff interest on senior notes redemption

        (3,876)  

    Collection of shareholders' notes receivable

      482  531   

    Payments of financing costs

      (3,471) (2,605)  

    Proceeds from initial public offering, net

        63,929   

    Borrowings on long-term debt

      123,750  40,000   

    Dividends paid

      (25,793) (8,222)  

    Repayment of long-term debt

      (122,450) (151,509) (850)
            

    Net cash used in financing activities

      (26,139) (61,918) (1,850)
            

    Change in cash and cash equivalents

      19,283  (48,924) 15,521 

    Cash and cash equivalents at beginning of year

      20,149  69,073  53,552 
            

    Cash and cash equivalents at end of year

     $39,432 $20,149 $69,073 
            

    Supplemental disclosure of cash flow information

              

    Income taxes paid

     $2,479 $1,663 $1,895 

    Interest paid

     $7,767 $16,886 $14,410 

       

    See accompanying Notes to Consolidated Financial Statements

    F-7


    Table of Contents


    Douglas Dynamics, Inc.

    Notes to Consolidated Financial Statements

    Years ended December 31, 2011, 2010 and 2009

    (Dollars in Thousands Except Per Share Data)

    1. Description of business and basis of presentation

            Douglas Dynamics, Inc., (the "Company") is the North American leader in the design, manufacture and sale of snow and ice control equipment for light trucks, which is comprised of snowplows and sand and salt spreaders, and related parts and accessories. The Company's snow and ice control products are sold through a network of over 720 truck equipment distributors that purchase directly from the Company and are located throughout the snowbelt regions in North America (primarily the Midwest, East and Northeast regions of the United States as well as all provinces of Canada). The Company sells its products under the WESTERN®, FISHER®, and BLIZZARD® brands. The Company is headquartered in Milwaukee, WI and currently has manufacturing facilities in Milwaukee, WI, and Rockland, ME. The Company closed its Johnson City, TN facility in August 2010. The Company operates as a single segment.

            On May 20, 2011 and December 6, 2011, certain of the stockholders of the Company, including affiliates of Aurora Capital Group and Ares Management, closed registered secondary offerings of 5,750,000 and 1,996,479 shares, respectively, of the Company's common stock. The Company did not receive any proceeds from the sale of its stock by the selling stockholders in the offerings.

    2. Summary of Significant Accounting Policies

    Principles of consolidation

            The accompanying consolidated financial statements include the accounts of Douglas Dynamics, Inc. and its direct wholly-owned subsidiary, Douglas Dynamics, L.L.C., and its indirect wholly-owned subsidiaries, Douglas Dynamics Finance Company (an inactive subsidiary) and Fisher, LLC (hereinafter collectively referred to as the "Company"). All intercompany balances and transactions have been eliminated in consolidation.

    Use of estimates

            The preparation of the financial statements in conformity with U.S. generally accepted accounting principles requires management to make estimates and assumptions that affect the reported amounts of assets and liabilities and disclosure of contingent assets and liabilities at the date of the financial statements and the reported amounts of revenues and expenses during the reporting periods. Accordingly, actual results could differ from those estimates.

    Cash and Cash Equivalents

            The Company considers all highly liquid investments purchased with an original maturity of three months or less to be cash equivalents. Cash equivalents are carried at cost, which approximates fair value.

    Accounts receivable and allowance for doubtful accounts

            The Company carries its accounts receivable at their face amount less an allowance for doubtful accounts. The majority of the Company's accounts receivable are due from distributors of truck equipment. Credit is extended based on an evaluation of a customer's financial condition. On a

    F-8


    Table of Contents


    Douglas Dynamics, Inc.

    Notes to Consolidated Financial Statements (Continued)

    Years ended December 31, 2011, 2010 and 2009

    (Dollars in Thousands Except Per Share Data)

    2. Summary of Significant Accounting Policies (Continued)

    periodic basis, the Company evaluates its accounts receivable and establishes the allowance for doubtful accounts based on a combination of specific customer circumstances and credit conditions based on a history of write-offs and collections. A receivable is considered past due if payments have not been received within agreed upon invoice terms. Accounts receivable are written off after all collection efforts have been exhausted. The Company takes a security interest in the inventory as collateral for the receivable but often does not have a priority security interest.

    Financing program

            The Company is party to a financing program in which certain distributors may elect to finance their purchases from the Company through a third party financing company. The Company provides the third party financing company recourse against the Company regarding the collectability of the receivable under the program due to the fact that if the third party financing company is unable to collect from the distributor the amounts due in respect of the product financed, the Company would be obligated to repurchase any remaining inventory related to the product financed and reimburse any legal fees incurred by the financing company. During the years ended December 31, 2011, 2010 and 2009, distributors financed purchases of $2,752, $1,696 and $3,269 through this financing program, respectively. At December 31, 2011 there were $55 of uncollectible outstanding receivables related to sales financed under the financing program, all of which is fully reserved for in the allowance for doubtful accounts. There were no outstanding or uncollectible amounts related to sales financed under the financing program for the years ended December 31, 2010. The amount owed by our distributors to the third party financing company under this program at December 31, 2011 and 2010 was $1,714 and $1,267, respectively. The Company was required to repurchase repossessed inventory of $41, $91 and $19 for the years ended December 31, 2011, December 31, 2010 and December 31, 2009, respectively.

            In the past, minimal losses have been incurred under this agreement. However, an adverse change in distributor retail sales could cause this situation to change and thereby require the Company to repurchase repossessed units. Any repossessed units are inspected to ensure they are current, unused product and are restocked and resold.

    Interest Rate Swap

            As required by the new debt agreement the Company entered into in the second quarter of 2011, the Company entered into an interest-rate swap agreement to hedge against the potential impact on earnings from increases in market interest rates. Under the interest rate swap agreement, effective as of July 18, 2011 the Company either receives or makes payments on a monthly basis based on the differential between 6.335% and LIBOR plus 4.25% (with a LIBOR floor of 1.5%). See Comprehensive income (loss) for treatment of gains and losses on the interest rate swap agreement.

    Inventories

            Inventories are stated at the lower of cost or market. Market is determined based on estimated realizable values. Inventory costs are primarily determined by the first-in, first-out (FIFO) method. The

    F-9


    Table of Contents


    Douglas Dynamics, Inc.

    Notes to Consolidated Financial Statements (Continued)

    Years ended December 31, 2011, 2010 and 2009

    (Dollars in Thousands Except Per Share Data)

    2. Summary of Significant Accounting Policies (Continued)

    Company periodically reviews our inventory for slow moving, damaged and discontinued items and provides reserves to reduce such items identified to their recoverable amounts.

    Property, plant and equipment

            Property, plant and equipment are recorded at cost, less accumulated depreciation. Depreciation is computed using straight-line methods over the estimated useful lives for financial statement purposes and an accelerated method for income tax reporting purposes. The estimated useful lives of the assets are as follows:

     
     Years  

    Land improvements and buildings

      15 - 40 

    Machinery and equipment

      3 - 20 

    Furniture and fixtures

      3 - 12 

    Mobile equipment and other

      3 - 10 

            Depreciation expense was $2,975, $5,704, and $5,797 for the years ended December 31, 2011, 2010 and 2009, respectively.

            Expenditures for renewals and improvements that significantly add to the productive capacity or extend the useful life of an asset are capitalized. Expenditures for maintenance and repairs are charged to operations when incurred. Repairs and maintenance expenses amounted to $4,025, $2,909 and $3,079 for the years ended December 31, 2011, 2010 and 2009, respectively. When assets are sold or retired, the cost of the asset and the related accumulated depreciation are eliminated from the accounts and any gain or loss is recognized in the results of operations.

    Impairment of long-lived assets

            Long-lived assets are reviewed for potential impairment when events or changes in circumstances indicate that the carrying amount of the asset may not be recoverable. Recoverability of assets to be held and used is measured by comparison of the carrying value of such assets to the undiscounted future cash flows expected to be generated by the assets. If the carrying value of an asset exceeds its estimated undiscounted future cash flows, an impairment provision is recognized to the extent that the carrying amount of the asset exceeds its fair value. Assets to be disposed of are reported at the lower of the carrying amount or the fair value of the asset, less costs of disposition. Management of the Company considers such factors as current results, trends and future prospects, current market value, and other economic and regulatory factors in performing these analyses. The Company determined that no long-lived assets were impaired as of December 31, 2011 and 2010.

    Goodwill and other intangible assets

            Goodwill and indefinite-lived intangible assets are tested for impairment annually in the fourth quarter, or sooner if impairment indicators arise. The fair value of indefinite-lived intangible assets is estimated based upon a market approach. In reviewing goodwill for impairment, potential impairment is identified by comparing the estimated fair value of the reporting unit to its carrying value. The

    F-10


    Table of Contents


    Douglas Dynamics, Inc.

    Notes to Consolidated Financial Statements (Continued)

    Years ended December 31, 2011, 2010 and 2009

    (Dollars in Thousands Except Per Share Data)

    2. Summary of Significant Accounting Policies (Continued)

    Company has determined it has one reporting unit. When the fair value is less than the carrying value of the net assets of the reporting unit, including goodwill, an impairment loss may be recognized. The Company has determined that goodwill and indefinite lived assets were not impaired as of December 31, 2011 and 2010.

            Intangible assets with estimable useful lives are amortized over their respective estimated useful lives and also reviewed at least annually for impairment or as events or circumstances arise. The Company amortizes its distribution network intangible over periods ranging from 15 to 20 years, trademarks over 7 to 10 years, patents over 7 to 20 years, and noncompete agreements over 5 years. The Company has determined that finite lived intangible assets were not impaired as of December 31, 2011 and 2010.

    Income taxes

            Deferred income taxes are accounted for under the asset and liability method whereby deferred tax assets and liabilities are recognized for the future tax consequences attributable to differences between the financial statement carrying amounts of existing assets and liabilities and their respective tax bases. Deferred tax assets and liabilities are measured using enacted tax rates. Deferred income tax provisions or benefits are based on the change in the deferred tax assets and liabilities from period to period. Deferred income tax assets are reduced by a valuation allowance if it is more likely than not that some portion of the deferred income tax asset will not be realized. Additionally, when applicable, the Company would classify interest and penalties related to uncertain tax positions in income tax expense.

    Deferred financing costs

            The costs of obtaining financing are capitalized and amortized over the term of the related financing on a basis that approximates the effective interest method. The changes in deferred financing costs are as follows:

    Balance at January 1, 2009

     $4,520 

    Amortization of deferred financing costs

      (1,209)
        

    Balance at December 31, 2009

      3,311 

    Write-off of unamortized deferred financing costs

      (2,045)

    Deferred financing costs capitalized on new debt

      559 

    Amortization of deferred financing costs

      (872)
        

    Balance at December 31, 2010

      953 

    Write-off of unamortized deferred financing costs

      (335)

    Deferred financing costs capitalized on new debt

      3,471 

    Amortization of deferred financing costs

      (687)
        

    Balance at December 31, 2011

     $3,402 
        

            For the year ended December 31, 2011, the Company recorded the write-off of deferred financing costs as a loss on extinguishment of debt, in the consolidated statements of operations as a result of an

    F-11


    Table of Contents


    Douglas Dynamics, Inc.

    Notes to Consolidated Financial Statements (Continued)

    Years ended December 31, 2011, 2010 and 2009

    (Dollars in Thousands Except Per Share Data)

    2. Summary of Significant Accounting Policies (Continued)

    amendment to the Company's term loan facility. The amendment of the term loan facility resulted in a significant modification of the debt which resulted in the write off of unamortized capitalized deferred financing costs of $335. See further details in Note 7. For the year ended December 31, 2010 the Company recorded a loss on extinguishment of debt of $7,967 as a result of an amendment to the Company's term loan facility and the repayment of the senior notes as follows. The amendment of the term loan facility resulted in a significant modification of the debt, which resulted in the write off of unamortized deferred financing costs of $995. The Company also incurred expenditures of $2,045 related to financing costs paid to existing lenders. The Company wrote off $1,050 of unamortized deferred financing costs related to the senior notes and paid $3,876 for a redemption call premium and post payoff interest on the senior notes redemption.

    Fair Value

            Fair value is the price at which an asset could be exchanged in a current transaction between knowledgeable, willing parties. A liability's fair value is defined as the amount that would be paid to transfer the liability to a new obligor, not the amount that would be paid to settle the liability with the creditor. Fair value measurements are categorized into one of three levels based on the lowest level of significant input used: Level 1 (unadjusted quoted prices in active markets); Level 2 (observable market inputs available at the measurement date, other than quoted prices included in Level 1); and Level 3 (unobservable inputs that cannot be corroborated by observable market data).

            The following table presents financial assets and liabilities measured at fair value on a recurring basis and discloses the fair value of long-term debt:

     
     Fair Value
    at
    12/31/2011
     Fair Value
    at
    12/31/2010
     

    Assets:

           

    Assets(a)

     $ $ 
          

    Total Assets

     $ $ 
          

    Liabilities:

           

    Long term debt(b)

      122,709  120,397 

    Other non-current liabilities—Interest rate swap(c)

      621   
          

    Total Liabilities

     $123,330 $120,397 
          

    (a)
    The Company does not have any financial assets that are required to be measured at fair value on a recurring basis.

    (b)
    The fair value of the Company's long-term debt, including current maturities, is estimated using discounted cash flows based on the Company's current incremental borrowing rates for similar types of borrowing arrangements, which is a level 2 input for all periods presented. Meanwhile, long-term debt is recorded at carrying amount, net of discount, as disclosed on the face of the balance sheet.

    F-12


    Table of Contents


    Douglas Dynamics, Inc.

    Notes to Consolidated Financial Statements (Continued)

    Years ended December 31, 2011, 2010 and 2009

    (Dollars in Thousands Except Per Share Data)

    2. Summary of Significant Accounting Policies (Continued)

    (c)
    Valuation models are calibrated to initial trade price. Subsequent valuations are based on observable inputs to the valuation model (e.g. interest rates and credit spreads). Model inputs are changed only when corroborated by market data. A credit risk adjustment is made using observable market credit spreads. Thus, inputs used to determine fair value of the interest rate swap are level 2 inputs.

    Concentration of credit risk

            The Company's cash is deposited with multiple financial institutions. At times, deposits in these institutions exceed the amount of insurance provided on such deposits. The Company has not experienced any losses in such accounts and believes that it is not exposed to any significant risk on these balances.

            No distributor represented more than 10% of the Company's net sales or accounts receivable during the years ended December 31, 2011, 2010 and 2009.

    Revenue recognition

            The Company recognizes revenues upon shipment to the customer, which is when title passes and all of the following conditions are satisfied: (i) persuasive evidence of an arrangement exists; (ii) the price is fixed or determinable; (iii) collectability is reasonably assured; and (iv) the product has been shipped and the Company has no further obligations. Customers have no right of return privileges. Historically, product returns have not been material and are permitted on an exception basis only.

            The Company offers a variety of discounts and sales incentives to our distributors. The estimated liability for sales discounts and allowances is recorded at the time of sale as a reduction of net sales. The liability is estimated based on the costs of the program, the planned duration of the program and historical experience.

    Cost of sales

            Cost of sales includes all costs associated with the manufacture of the Company's products, including raw materials, purchased parts, freight, plant operating expenses, property insurance and taxes, and plant depreciation. All payroll costs and employee benefits for the hourly workforce, manufacturing management, and engineering costs are included in cost of sales.

    Warranty cost recognition

            The Company accrues for estimated warranty costs as revenue is recognized. See note 9 for further details.

    Advertising expenses

            Advertising expenses include costs for the production of marketing media, literature, CD-ROM, and displays. The Company participates in trade shows and advertises in the yellow pages and billboards. Advertising expenses amounted to $2,718, $2,805 and $2,528 for the years ended

    F-13


    Table of Contents


    Douglas Dynamics, Inc.

    Notes to Consolidated Financial Statements (Continued)

    Years ended December 31, 2011, 2010 and 2009

    (Dollars in Thousands Except Per Share Data)

    2. Summary of Significant Accounting Policies (Continued)

    December 31, 2011, 2010 and 2009, respectively. The Company also provides its distributors with pre-approved, cooperative advertising programs, which are recorded as advertising expense in selling, general and administrative expense. All costs associated with the Company's advertising programs are expensed as incurred.

    Shipping and handling costs

            Generally, shipping and handling costs are paid directly by the customer to the shipping agent. Those shipping and handling costs billed by the Company are recorded as a component of sales with the corresponding costs included in cost of sales.

    Share-based payments

            The Company applies the guidance codified in ASC 718—Compensation—Stock Compensation. This standard requires the measurement of the cost of employee services received in exchange for an award of equity instruments based on the fair value of the award at the grant date and recognition of the compensation expense over the period during which an employee is required to provide service in exchange for the award (generally the vesting period). Because the Company used the minimum-value method to measure compensation cost for employee stock options prior to January 1, 2006 the date on which ASC 718 was adopted, under this previous guidance, it was required to use the prospective method of adoption for this standard. Under the prospective method, the Company continues to account for non-vested awards outstanding at the date of adoption using the same method as prior to adoption for financial statement recognition purposes. All awards granted, modified, or settled after the date of adoption are accounted for using the measurement, recognition, and attribution provisions of ASC 718.

    Comprehensive income (loss)

            Comprehensive income (loss) is defined as the change in equity (net assets) of a business enterprise during a period from transactions and other events and circumstances from non-owner resources and is comprised of net income or loss and "other comprehensive income (loss)". The Company's other comprehensive income (loss) is comprised of the adjustments for pension and postretirement benefit liabilities as well as the impact of our interest rate swap. The interest rate swap contract on $50,000 notional amount of the term loan expires in December 2014. The Company does not expect to record any unrecognized loss into earnings in the next twelve months. Additionally, other comprehensive income (loss) includes the net income (loss) of the Company plus/minus the Company's adjustments for its defined benefit retirement plans based on the measurement date as of the Company's year-end.

    F-14


    Table of Contents


    Douglas Dynamics, Inc.

    Notes to Consolidated Financial Statements (Continued)

    Years ended December 31, 2011, 2010 and 2009

    (Dollars in Thousands Except Per Share Data)

    2. Summary of Significant Accounting Policies (Continued)

            Components of accumulated other comprehensive loss are as follows:

     
     December 31,  
     
     2011  2010  

    Interest rate swap, net of tax

     $(391)$ 

    Unrecognized pension and postretirement benefit plan liabilities, net of tax

      (7,089) (4,431)
          

     $(7,480)$(4,431)
          

    Segment Reporting

            The Company operates in and reports as a single operating segment, which is the manufacture and sale of snow and ice control products. Net sales are generated through the sale of snow and ice control products and accessories to distributors. The chief operating decision maker (the Company's Chief Executive Officer) manages and evaluates its operations as one segment primarily due to similarities in the nature of the products, production processes and methods of distribution. All of the Company's identifiable assets are located in the United States. The Company's sales outside North America are not material, representing less than 1% of net sales.

            The Company's product offerings primarily consist of snow and ice control products and accessories. Equipment and parts and accessories are each a similar class of products based on similar customer usage.

     
     Year ended December 31,  
     
     2011  2010  2009  

    Equipment

     $177,806 $151,808 $147,478 

    Parts and accessories

      30,992  24,987  26,864 
            

    Net Sales

     $208,798 $176,795 $174,342 
            

    3. Related-Party Transactions

            The Company was party to a Joint Management Services Agreement with Aurora Management Partners, LLC ("AMP") and ACOF Management, LP ("ACOF"), who were affiliates of its principal stockholders at that time. Prior to the Company's initial public offering ("IPO") of its common stock in May 2010, this agreement obligated the Company to pay an annual management fee of $1,250 per annum, to AMP and ACOF, pro rata in accordance with their respective holdings, plus reimbursement of reasonable out-of-pocket expenses, in exchange for consultation and advice in fields such as financial services, accounting, general business management, acquisitions, dispositions and banking.

    F-15


    Table of Contents


    Douglas Dynamics, Inc.

    Notes to Consolidated Financial Statements (Continued)

    Years ended December 31, 2011, 2010 and 2009

    (Dollars in Thousands Except Per Share Data)

    3. Related-Party Transactions (Continued)

            In connection with the Company's IPO, the Company amended and restated the terms of its Joint Management Services Agreement to, among other things, (i) extend the term of service until the earlier of (A) the fifth anniversary of the consummation of the Company's IPO, (B) such time as AMP and ACOF, together with their affiliates, collectively hold less than 5% of the Company's outstanding common stock and (C) such time as all parties mutually agree in writing, while eliminating all other termination events (other than termination for cause); (ii) eliminate the annual management fee, as well as the provision obligating the Company to pay AMP and ACOF a transaction fee in the event of an acquisition or any sale or disposition of the Company or any of its divisions or any sale of substantially all Company assets or similar transactions in exchange for a one-time fee of $5,800 upon the consummation of the IPO, pro rata in accordance with their respective holdings; and (iii) modify the expense reimbursement provisions to include reimbursement for out-of-pocket expenses incurred in connection with SEC and other legally required filings made by each of AMP and ACOF with respect to the Company's securities and certain other expenses. The one-time management fee was paid on May 10, 2010, and is included in management fees—related party expense for the year ended December 31, 2010.

            On December 6, 2011, the Company completed a secondary offering by certain stockholders. Immediately following the secondary offering, AMP and ACOF were no longer shareholders in the Company.

            The Company recognized management fees and related expense of $46, $6,383 and $1,393 for the years ended December 31, 2011, 2010 and 2009, respectively.

    4. Inventories

            Inventories consist of the following:

     
     December 31,  
     
     2011  2010  

    Finished goods and work-in-process

     $22,630 $21,896 

    Raw material and supplies

      1,375  1,585 
          

     $24,005 $23,481 
          

    F-16


    Table of Contents


    Douglas Dynamics, Inc.

    Notes to Consolidated Financial Statements (Continued)

    Years ended December 31, 2011, 2010 and 2009

    (Dollars in Thousands Except Per Share Data)

    5. Property, plant and equipment

            Property, plant and equipment are summarized as follows:

     
     December 31,  
     
     2011  2010  

    Land

     $960 $960 

    Land improvements

      1,768  1,768 

    Buildings

      12,660  12,554 

    Machinery and equipment

      23,253  22,343 

    Furniture and fixtures

      7,255  6,482 

    Mobile equipment and other

      1,216  1,019 

    Construction-in-process

      748  422 
          

    Total property, plant and equipment

      47,860  45,548 

    Less accumulated depreciation

      (26,520) (23,586)
          

    Net property, plant and equipment

     $21,340 $21,962 
          

    6. Other Intangible Assets

            The following is a summary of the Company's other intangible assets:

     
     Gross
    Carrying
    Amount
     Less
    Accumulated
    Amortization
     Net
    Carrying
    Amount
     

    December 31, 2011:

              

    Indefinite-lived intangibles:

              

    Trademark and tradenames

     $60,000 $ $60,000 

    Amortizable intangibles:

              

    Dealer network

      80,000  31,000  49,000 

    Customer relations

      2,000  822  1,178 

    Patents

      15,116  4,735  10,381 

    Noncompete agreements

      
    5,050
      
    5,050
      
     

    Trademark—Blizzard

      3,100  1,912  1,188 

    License

      20  20   
            

    Amortizable intangibles, net

      105,286  43,539  61,747 
            

    Total

     $165,286 $43,539 $121,747 
            

    F-17


    Table of Contents


    Douglas Dynamics, Inc.

    Notes to Consolidated Financial Statements (Continued)

    Years ended December 31, 2011, 2010 and 2009

    (Dollars in Thousands Except Per Share Data)

    6. Other Intangible Assets (Continued)


     
     Gross
    Carrying
    Amount
     Less
    Accumulated
    Amortization
     Net
    Carrying
    Amount
     

    December 31, 2010:

              

    Indefinite-lived intangibles:

              

    Trademark and tradenames

     $60,000 $ $60,000 

    Amortizable intangibles:

              

    Dealer network

      80,000  27,000  53,000 

    Customer relations

      2,000  689  1,311 

    Patents

      15,116  3,977  11,139 

    Noncompete agreements

      
    5,050
      
    5,050
      
     

    Trademark—Blizzard

      3,100  1,602  1,498 

    License

      20  20   
            

    Amortizable intangibles, net

      105,286  38,338  66,948 
            

    Total

     $165,286 $38,338 $126,948 
            

            Amortization expense for intangible assets was $5,201, $6,001 and $6,161 for the years ended December 31, 2011, 2010 and 2009, respectively. Estimated amortization expense for the next five years is as follows:

    2012

     $5,199 

    2013

      5,193 

    2014

      5,193 

    2015

      5,142 

    2016

      4,883 

            The weighted average remaining life for intangible assets is 12.2 years.

    7. Long-Term Debt

            Long-term debt is summarized below:

     
     December 31,  
     
     2011  2010  

    Term Loan, net of debt discount of $1,125 and $358 at December 31, 2011 and December 31, 2010, respectively:

     $122,937 $121,154 
          

    Total long-term debt

      122,937  121,154 

    Less current maturities

      11,071  1,183 
          

     $111,866 $119,971 
          

    F-18


    Table of Contents


    Douglas Dynamics, Inc.

    Notes to Consolidated Financial Statements (Continued)

    Years ended December 31, 2011, 2010 and 2009

    (Dollars in Thousands Except Per Share Data)

    7. Long-Term Debt (Continued)

            The scheduled maturities on long-term debt at December 31, 2011, are as follows:

    2012

     $11,071 

    2013

      1,071 

    2014

      1,071 

    2015

      1,071 

    2016

      1,071 

    Thereafter

      107,582 
        

     $122,937 
        

            On April 18, 2011, the Company amended its senior credit facilities to, among other things, (i) increase the borrowing ability under the revolving credit agreement by $10,000, and (ii) amend certain of the provisions in its senior credit facilities which govern the Company's ability to pay dividends. Consequently, as of April 18, 2011, the Company's senior credit facilities consisted of a $125,000 term loan facility and a $70,000 revolving credit facility with a group of banks. The previous term loans consisted of an initial term loan of $85,000 and a "tack on" of $40,000 and a $60,000 revolving credit facility. Prior to the April 2011 changes to the Company's senior credit facilities, the interest on the original $85,000 term loan facility was (at the Company's option) either the base rate (which shall be no less than 3%) plus 3.5% or the eurodollar rate (which shall be no less than 2%) plus 4.5%. The interest for the additional $40,000 in the Company's term loan facility was an interest rate equal to (at the Company's option) either the base rate (which shall be no less than 3%) plus 4% or the eurodollar rate (which shall be no less than 2%) plus 5%. Under the previous revolving credit facility, the margin for base rate loans was either 0.25% or 0.50% and the margin for eurodollar rate loans was either 1.25% or 1.50%, in each case determined based on the Company's leverage ratio from time to time.

            The agreement for the new term loan (the "Term Loan Credit Agreement") provides for a senior secured term loan facility in the aggregate principal amount of $125,000 and generally bears interest at (at the Company's election) either (i) 3.25% per annum plus the greatest of (a) the Prime Rate (as defined in the Term Loan Credit Agreement) in effect on such day, (b) the weighted average of the rates on overnight Federal funds transactions with members of the Federal Reserve System arranged by Federal funds brokers plus 0.50% and (c) 1.00% plus the greater of (1) the London Interbank Offered Rate for a one month interest period multiplied by the Statutory Reserve Rate (as defined in the Term Loan Credit Agreement) and (2) 1.50% or (ii) 4.25% per annum plus the greater of (a) the London Interbank Offered Rate for the applicable interest period multiplied by the Statutory Reserve Rate and (b) 1.50%. The revolving credit facility as amended and restated (the "Revolving Credit Agreement") provides that the Company has the option to select whether borrowings will bear interest at either (i) 2.25% per annum plus the London Interbank Offered Rate for the applicable interest period multiplied by the Statutory Reserve Rate or (ii) 1.25% per annum plus the greatest of (a) the Prime Rate in effect on such day, (b) the weighted average of the rates on overnight Federal funds transactions with members of the Federal Reserve System arranged by Federal funds brokers plus 0.50% and (c) the London Interbank Offered Rate for a one month interest period multiplied by the Statutory Reserve Rate plus 1%. The maturity date for the Company's amended and restated revolving

    F-19


    Table of Contents


    Douglas Dynamics, Inc.

    Notes to Consolidated Financial Statements (Continued)

    Years ended December 31, 2011, 2010 and 2009

    (Dollars in Thousands Except Per Share Data)

    7. Long-Term Debt (Continued)

    credit facility is April 18, 2016, and the Company's new term loan amortizes in nominal amounts quarterly with the balance payable on April 18, 2018.

            The new term loan entered into in the second quarter of 2011 was issued at a $1,250 discount which is being amortized over the term of the new term loan.

            The Company's entry into the new term loan facility resulted in a significant modification of the Company's debt which resulted in the write off of unamortized capitalized deferred financing costs of $335 and write off of unamortized debt discount of $338 which in total resulted in a loss on extinguishment of debt of $673 in the Consolidated Statement of Income during the year ended December 31,2011.

            At December 31, 2011, the Company had no outstanding borrowings on the revolving credit facility and remaining borrowing availability of $70,000.

            The Company's senior credit facilities include certain negative and operating covenants, including restrictions on its ability to pay dividends, and other customary covenants, representations and warranties and events of default. The senior credit facilities entered into and recorded by the Company's subsidiaries significantly restrict its subsidiaries from paying dividends and otherwise transferring assets to Douglas Dynamics, Inc. The terms of the Company's revolving credit facility specifically restrict subsidiaries from paying dividends if a minimum availability under the revolving credit facility is not maintained, and both senior credit facilities restrict subsidiaries from paying dividends above certain levels or at all if an event of default has occurred. These restrictions would affect the Company indirectly since the Company relies principally on distributions from its subsidiaries to have funds available for the payment of dividends. In addition, the Company's revolving credit facility includes a requirement that, subject to certain exceptions, capital expenditures may not exceed $10,000 in any calendar year and, if certain minimum availability under the revolving credit facility is not maintained, that the Company comply with a monthly minimum fixed charge coverage ratio test of 1.0:1.0. Compliance with the fixed charge coverage ratio test is subject to certain cure rights under the Company's revolving credit facility. At December 31, 2011, the Company was in compliance with the respective covenants. The credit facilities are collateralized by substantially all assets of the Company.

            In accordance with the senior credit facilities, the Company is required to make additional principal prepayments over the above scheduled payments under certain conditions. This includes, in the case of the term loan facility, 100% of the net cash proceeds of certain asset sales, certain insurance or condemnation events, certain debt issuances, and, within 150 days of the end of the fiscal year, 50% of excess cash flow, as defined, including a deduction for certain distributions (which percentage is reduced to 25% or 0% upon the achievement of certain leverage ratio thresholds), for any fiscal year. Excess cash flow is defined in the senior credit facilities as consolidated adjusted EBITDA (earnings before interest, taxes, depreciation and amortization) plus a working capital adjustment less the sum of repayments of debt and capital expenditures subject to certain adjustments, interest and taxes paid in cash, management fees and certain restricted payments (including dividends or distributions). Working capital adjustment is defined in the senior credit facilities as the change in working capital, defined as current assets excluding cash and cash equivalents less current liabilities excluding current portion of long term debt. As of December 31, 2011, the Company was not required

    F-20


    Table of Contents


    Douglas Dynamics, Inc.

    Notes to Consolidated Financial Statements (Continued)

    Years ended December 31, 2011, 2010 and 2009

    (Dollars in Thousands Except Per Share Data)

    7. Long-Term Debt (Continued)

    to make an excess cash flow payment. However, the Company expects to make a voluntary prepayment of $10,000 in 2012.

            Each of the senior secured facilities entered into in the second quarter of 2011 includes a hedge provision, which required the Company to enter into an interest rate hedge commencing 90 days after the closing date. The hedging provision required the Company to hedge the interest rate on at least 25% of the aggregate outstanding principal amount of the term loans. The purpose of the interest rate swap is to reduce the Company's exposure to interest rate volatility. Effective June 20, 2011, the Company entered into an interest rate swap agreement with a notional amount of $50,000. The interest rate swap negative fair value at December 31, 2011 of $621 is included in other long-term liabilities on the Consolidated Balance Sheet. The Company has counterparty credit risk resulting from the interest rate swap, which it monitors on an on-going basis. This risk lies with one global financial institution. Under the interest rate swap agreement, effective as of July 18, 2011, the Company either receives or makes payments on a monthly basis based on the differential between 6.335% and LIBOR plus 4.25% (with a LIBOR floor of 1.5%). The interest rate swap contract on the term loan expires in December 2014.

    8. Accrued Expenses and Other Current Liabilities

            Accrued expenses and other current liabilities are summarized as follows:

     
     December 31,  
     
     2011  2010  

    Payroll and related costs

     $4,756 $2,993 

    Employee benefits

      2,645  2,334 

    Accrued warranty

      4,188  3,399 

    Other

      4,166  3,197 
          

     $15,755 $11,923 
          

    9. Warranty Liability

            The Company accrues for estimated warranty costs as sales are recognized and periodically assesses the adequacy of its recorded warranty liability and adjusts the amount as necessary. The Company's warranties generally provide, with respect to its snow and ice control equipment, that all material and workmanship will be free from defect for a period of two years after the date of purchase by the end-user, and with respect to its parts and accessories purchased separately, that such parts and accessories will be free from defect for a period of one year after the date of purchase by the end-user. Certain snowplows only provide for a one year warranty. The Company determines the amount of the estimated warranty costs (and its corresponding warranty reserve) based on the Company's prior five years of warranty history utilizing a formula driven by historical warranty expense and applying management's judgment. The Company adjusts its historical warranty costs to take into account unique factors such as the introduction of new products into the marketplace that do not provide a historical warranty record to assess. The warranty reserve is included with Accrued Expenses and Other Current Liabilities in the accompanying consolidated balance sheets.

    F-21


    Table of Contents


    Douglas Dynamics, Inc.

    Notes to Consolidated Financial Statements (Continued)

    Years ended December 31, 2011, 2010 and 2009

    (Dollars in Thousands Except Per Share Data)

    9. Warranty Liability (Continued)

            The following is a rollforward of the Company's warranty liability:

     
     December 31,  
     
     2011  2010  2009  

    Balance at the beginning of the period

     $3,399 $3,040 $2,272 

    Warranty provision

      3,386  2,604  2,913 

    Claims paid/settlements

      (2,597) (2,245) (2,145)
            

    Balance at the end of the period

     $4,188 $3,399 $3,040 
            

    10. Income Taxes

            The provision for income tax expense (benefit) consists of the following:

     
     Year ended December 31  
     
     2011  2010  2009  

    Current:

              

    Federal

     $2,697 $ $1,284 

    State

      326  231  892 
            

      3,023  231  2,176 

    Deferred:

              

    Federal

      7,855  363  3,165 

    State

      454  278  (1,355)
            

      8,309  641  1,810 
            

     $11,332 $872 $3,986 
            

            A reconciliation of income tax expense computed at the federal statutory rate to the provision for income taxes for the years ended December 31, 2011, 2010 and 2009 is as follows:

     
     2011  2010  2009  

    Federal income tax expense at statutory rate

     $10,630 $862 $4,840 

    State taxes, net of federal benefit

      1,522  7  302 

    Valuation allowance changes

      
    (47

    )
     
    311
      
    (1,129

    )

    Change in uncertain tax positions, net

      (150) (349) 276 

    Research and development credit

      
    (111

    )
     
    (117

    )
     
    (194

    )

    Rate change

      (162) 95   

    Manufacturing tax benefits

      
    (552

    )
     
      
     

    Other

      202  63  (109)
            

     $11,332 $872 $3,986 
            

    F-22


    Table of Contents


    Douglas Dynamics, Inc.

    Notes to Consolidated Financial Statements (Continued)

    Years ended December 31, 2011, 2010 and 2009

    (Dollars in Thousands Except Per Share Data)

    10. Income Taxes (Continued)

            Significant components of the Company's deferred tax liabilities and assets are as follows:

     
     December 31,  
     
     2011  2010  

    Deferred tax assets:

           

    Allowance for doubtful accounts

     
    $

    465
     
    $

    456
     

    Inventory reserves

      479  533 

    Warranty liability

      
    1,552
      
    1,291
     

    Deferred compensation

      911  666 

    Pension and retiree health benefit obligations

      
    8,615
      
    6,145
     

    Accrued vacation

      570  428 

    Medical claims reserve

      242  214 

    State net operating losses

      
    2,167
      
    3,160
     

    Federal net operating losses

        3,310 

    Other accrued liabilities

      1,583  886 

    Valuation allowance for state net operating losses

      (830) (877)
          

    Total deferred tax assets

      15,754  16,212 

    Deferred tax liabilities:

           

    Tax deductible goodwill and other intangibles

      
    (34,923

    )
     
    (30,434

    )

    Accelerated depreciation

      
    (2,280

    )
     
    (865

    )

    Other

      (556) (421)
          

    Total deferred tax liabilities

      (37,759) (31,720)
          

    Net deferred tax liabilities

     $(22,005)$(15,508)
          

            Deferred income tax balances reflect the effects of temporary differences between the carrying amount of assets and liabilities and their tax basis and are stated at enacted tax rates expected to be in effect when taxes are actually paid or recovered.

            During 2011, the Company carried back its previously generated Federal net operating loss, resulting in full utilization of the Federal net operating loss and eliminating the related deferred tax asset. State operating loss carry forwards for tax purposes were $38,297 at December 31, 2011 and are expected to result in future tax benefits of approximately $2,167. These loss carry-forwards will expire beginning in 2019. The Company evaluated the need to maintain a valuation allowance against certain deferred tax assets. Based on this evaluation, which included a review of recent profitability and future projections of profitability, the Company concluded that a valuation allowance of approximately $830 is necessary at December 31, 2011 for the state net operating loss carry-forwards which are likely to expire prior to the Company's ability to use the tax benefit.

    F-23


    Table of Contents


    Douglas Dynamics, Inc.

    Notes to Consolidated Financial Statements (Continued)

    Years ended December 31, 2011, 2010 and 2009

    (Dollars in Thousands Except Per Share Data)

    10. Income Taxes (Continued)

            A reconciliation of the beginning and ending liability for uncertain tax positions is as follows:

     
     2011  2010  

    Balance at beginning of year

     $798 $2,095 

    Increases for tax positions taken in the current year

      
      
     

    Increases for tax positions taken in prior years

         

    Decreases due to settlements with taxing authorities

      
    (478

    )
     
    (1,297

    )
          

    Balance at the end of year

     $320 $798 
          

            The amount of the unrecognized tax benefits that would affect the effective tax rate, if recognized, was approximately $208 at December 31, 2011 and approximately $591 at December 31, 2010. The Company recognizes interest and penalties related to the unrecognized tax benefits in income tax expense. Approximately $54 and $174 of accrued interest and penalties is reported as an income tax liability at December 31, 2011 and 2010, respectively. The liability for unrecognized tax benefits is reported in Other Liabilities on the consolidated balance sheets at December 31, 2011 and 2010. The Company recognized ($120), ($478), and $153 of (benefits) expenses related to interest and penalties in income tax expense for the years ended December 31, 2011, 2010, and 2009, respectively.

            The Company files income tax returns in the United States (Federal), Wisconsin (state), Maine (state) and various other states. Tax years open to examination by tax authorities under the statute of limitations include 2009, 2010 and 2011 for Federal and 2007 through 2011 for most states. Tax returns for the 2011 tax year have not yet been filed.

    11. Deferred Compensation

            The Company has a long-term incentive compensation plan covering certain management employees. Under the terms of the plan, prior to December 31, 2010 participants earned (lost) additional compensation based upon a percentage of the Company's cash flow from operations reduced by capital expenditures under a predetermined formula. In addition, participants' account balances under the plan increased or decreased on an annual basis based upon the Company's cash flow from operations reduced by capital expenditures under a predetermined formula. Amounts credited to participant accounts under the plan were, and continue to be as of December 31, 2011, non-forfeitable unless a participant is terminated for cause or voluntarily terminates his or her employment with the Company. In either of these events, the terminated participant will forfeit any positive amounts allocated to his or her account for the two years preceding the year of termination.

            Compensation earned under the plan is deferred until such time as the participant has an account balance of more than two times his or her base compensation, at which point 20% of the balance is

    F-24


    Table of Contents


    Douglas Dynamics, Inc.

    Notes to Consolidated Financial Statements (Continued)

    Years ended December 31, 2011, 2010 and 2009

    (Dollars in Thousands Except Per Share Data)

    11. Deferred Compensation (Continued)

    paid to the participant in cash in a lump sum. Participants are paid their vested account balances under the plan upon separation from the Company as follows:

     
     Payment Method

    Death, long-term disability, or normal retirement

     Lump sum

    Balance of less than $75,000

     Lump sum

    Balance greater than $75,000

     5 equal annual installments

            With respect to account balances paid in installments, participants earn interest each year on the unpaid balance at the one-year U.S. Treasury rate in effect at the beginning of the year.

            Activity for the plan is as follows:

     
     December 31  
     
     2011  2010  

    Balance at beginning of year

     $1,292 $1,705 

    Participant earnings according to the terms of the plan

        128 

    Payments to current and former participants

      (225) (258)

    Adjustments to plan

        (283)
          

    Balance at end of year

      1,067  1,292 

    Less current portion

      (155) (225)
          

    Long Term balance at end of year

     $912 $1,067 
          

            Effective December 31, 2010, the Company froze the long-term incentive plan. The Company will continue to pay its obligations to previously designated recipients in accordance with the plan, but no new compensation will be earned under the plan. As there were modifications to the deferred compensation plan, the Company reduced its obligation for expected forfeitures which was based on historical turnover as included above as "Adjustments to Plan" in 2010.

    12. Employee Retirement Plans

    Pension benefits

            The Company provides noncontributory defined benefit pension plans for most employees. Plans covering salaried employees generally provide pension benefits that are based on the employee's average earnings and credited service. Plans covering hourly employees generally provide benefits of stated amounts for each year of service. The Company's funding policy for the plans is to contribute amounts sufficient to meet the minimum funding requirement of the Employee Retirement Income Security Act of 1974, plus any additional amounts that the Company may determine to be appropriate.

    F-25


    Table of Contents


    Douglas Dynamics, Inc.

    Notes to Consolidated Financial Statements (Continued)

    Years ended December 31, 2011, 2010 and 2009

    (Dollars in Thousands Except Per Share Data)

    12. Employee Retirement Plans (Continued)

            The reconciliation of the beginning and ending balances of the fair value of plan assets, funded status of plans, and amounts recognized in the consolidated balance sheets consisted of the following:

     
     December 31  
     
     2011  2010  

    Change in projected benefit obligation:

           

    Benefit obligation at beginning of year

     $28,557 $24,723 

    Service cost

      961  800 

    Interest cost

      
    1,539
      
    1,432
     

    Actuarial loss

      4,126  2,884 

    Benefits paid

      (975) (956)

    Effect of curtailment

      (1,408) (326)
          

    Benefit obligation at end of year

      32,800  28,557 

    Change in plan assets:

           

    Fair value of plan assets at beginning of year

      17,804  15,766 

    Actual return on plan assets

      (109) 2,085 

    Employer contributions through December 31

      1,917  909 

    Benefits paid

      (975) (956)
          

    Fair value of plan assets at end of year

      18,637  17,804 
          

    Funded Status: accrued pension liability

     $(14,163)$(10,753)
          

            In May 2010, in connection with the closure of the Company's manufacturing facility in Johnson City, TN substantially all the employees at this facility were terminated. This resulted in a cessation of all future benefit accruals for these employees under the Company's pension plans. A liability gain of $326 from the curtailment was recognized as a reduction to the net actuarial loss, as the liability gain was less than the unrecognized net actuarial loss prior to the curtailment for the pension plan in the year ended December 31, 2010. Therefore, this did not impact the consolidated statement of income for the year ended December 31, 2010.

            In November 2011, the Company took the following actions with respect to its pension plans effective as of December 31, 2011: It froze benefits as of January 1, 2012 for all employees under the Company's Pension Plan for Hourly Employees, froze benefits as of January 1, 2012 for all employees under the Company's Salaried Pension Plan for employees with less than five years of service and grandfathered employees (other than certain highly compensated employees) under the Company's Salaried Pension Plan with five or more years of service, but reduced the benefit accrual from 1.67% of pay to 1.00% of pay. In order to offset the loss of these benefit to employees, the Company has enhanced its defined contribution plan. The company also established a nonqualified deferred compensation plan effective as of January 1, 2012, for certain highly compensated employees whose participation in the qualified plan is restricted. A liability gain of $1,408 from this curtailment was recognized as a reduction to the net actuarial loss, as the liability gain was less than the unrecognized net actuarial loss prior to the curtailment for the pension plan in the year ended December 31, 2011.

    F-26


    Table of Contents


    Douglas Dynamics, Inc.

    Notes to Consolidated Financial Statements (Continued)

    Years ended December 31, 2011, 2010 and 2009

    (Dollars in Thousands Except Per Share Data)

    12. Employee Retirement Plans (Continued)

    Therefore, this did not impact the consolidated statement of income for the year ended December 31, 2011.

            The components of net periodic pension cost consisted of the following for the years ended December 31,

     
     2011  2010  2009  

    Component of net periodic pension cost:

              

    Service cost

     
    $

    961
     
    $

    800
     
    $

    820
     

    Interest cost

      1,539  1,432  1,355 

    Expected return on plan assets

      (1,357) (1,162) (984)

    Amortization of net loss

      454  324  519 
            

    Net periodic pension cost

     $1,597  1,394 $1,710 
            

            The accumulated benefit obligation for all pension plans as of December 31, 2011 and 2010, was $31,322 and $26,078, respectively.

            In accordance with its adoption of ASC 715-20, the Company uses December 31, as its measurement date for all periods presented. Assumptions used in determining net periodic pension cost for the plans consisted of the following:

     
     Year ended
    December 31
     
     
     2011  2010  2009  

    Discount rates

      5.5% 6.0% 6.0%

    Rates of increase in compensation levels:

              

    Salaried

      3.5  3.5  3.5 

    Hourly

      N/A  N/A  N/A 

    Expected long-term rate of return on assets

      8.0  8.0  8.0 

            The discount rate used to determine the benefit obligation at December 31, 2011 and 2010 is 4.6% and 5.5%, respectively.

            For 2012, the expected long-term rate of return on plan assets is 7.25%. To determine the long-term rate of return assumption for plan assets, the Company studies historical markets and preserves the long-term historical relationships between equities and fixed-income securities consistent with the widely accepted capital market principle that assets with higher volatility generate a greater return over the long run. The Company evaluates current market factors such as inflation and interest rates before it determines long-term capital market assumptions and reviews peer data and historical returns to check for reasonableness and appropriateness.

    F-27


    Table of Contents


    Douglas Dynamics, Inc.

    Notes to Consolidated Financial Statements (Continued)

    Years ended December 31, 2011, 2010 and 2009

    (Dollars in Thousands Except Per Share Data)

    12. Employee Retirement Plans (Continued)

            The expected benefit payments under the pension plans are as follows:

    2012

     $1,260 

    2013

      1,310 

    2014

      1,340 

    2015

      1,360 

    2016

      1,380 

    2017 - 2020

      8,020 

            The Company made required minimum pension funding contributions of $1,917 to the pension plans in 2011 and currently expects to make $2,512 required minimum pension funding contributions in 2012.

            The Company maintains target allocation percentages among various asset classes based on an investment policy established for the pension plans, which is designed to achieve long-term objectives of return, while mitigating downside risk and considering expected cash flows. The current weighted-average target asset allocations are reflective of actual investments at December 31, 2011 and 2010. The investment policy is reviewed periodically in order to achieve overall objectives in light of current circumstances.

            The Company's weighted-average asset allocation and actual allocation for the qualified pension plans by asset category at December 31 is as follows:

     
     Target  2011  2010  

    Large Cap Equity

      37%$5,901  32%$6,297  35%

    Mid Cap Equity

      4% 750  4% 799  5%

    Small Cap Equity

      3% 783  4% 772  4%

    International Equity

      12% 2,041  11% 2,379  13%

    Emerging markets Equity

      2% 353  2% 284  2%

    Fixed Income and Cash Equivalents

      34% 6,966  37% 6,148  35%

    Real Estate

      8% 1,843  10% 1,125  6%
                

    Total

      100%$18,637  100%$17,804  100%
                

            The investment strategy is to build an efficient, well-diversified portfolio based on a long-term, strategic outlook of the investment markets. The investment market outlook utilizes both historical-based and forward-looking return forecasts to establish future return expectations for various asset classes. These return expectations are used to develop a core asset allocation based on the needs of the plan. The core asset allocation utilizes investment portfolios of various asset classes and multiple investment managers in order to help maximize the plan's return while providing multiple layers of diversification to help minimize risk.

    F-28


    Table of Contents


    Douglas Dynamics, Inc.

    Notes to Consolidated Financial Statements (Continued)

    Years ended December 31, 2011, 2010 and 2009

    (Dollars in Thousands Except Per Share Data)

    12. Employee Retirement Plans (Continued)

            The following table presents the fair values of the plan assets related to the Company's pension plans within the fair value hierarchy as defined in Note 2.

            The fair values of the Company's pension plan assets as of December 31, 2011 are as follows:

     
     Balance as of
    December 31,
    2011
     Quoted Prices in
    Active Markets for
    Identical Assets
    (Level 1)
     Significant Other
    Observable Inputs
    (Level 2)
     Significant
    Unobservable
    Inputs (Level 3)
     

    Assets:

                 

    Equity holdings

     
    $

    10,575
     
    $

     
    $

    10,575
     
    $

     

    Fixed-income holdings

      6,966    6,966   

    Alternative investments

      1,096      1,096 
              

    Total pension plan assets

     $18,637 $ $17,541 $1,096 
              

            The fair values of the Company's pension plan assets as of December 31, 2010 are as follows:

     
     Balance as of
    December 31,
    2010
     Quoted Prices in
    Active Markets for
    Identical Assets
    (Level 1)
     Significant Other
    Observable Inputs
    (Level 2)
     Significant
    Unobservable
    Inputs (Level 3)
     

    Assets:

                 

    Equity holdings

     
    $

    10,938
     
    $

     
    $

    10,938
     
    $

     

    Fixed-income holdings

      6,148    6,148   

    Alternative investments

      718      718 
              

    Total pension plan assets

     $17,804 $ $17,086 $718 
              

            Level 2 investments are based on quoted prices for similar assets in markets that are not active while Level 3 investments are comprised of a real estate fund for which the fair value is determined by taking the appraised values of the properties on hand plus other assets and subtracting mortgage loans and other liabilities.

            The following table presents a reconciliation of the fair value measurements using significant unobservable inputs (Level 3):

     
     December 31,  
     
     2011  2010  

    Balance, beginning of year

     $718 $619 

    Deposits

      
    408
      
     

    Actual return on plan assets held at reporting date

      
    129
      
    99
     

    Withdrawals

      (159)  
          

    Balance, end of year

     $1,096 $718 
          

    F-29


    Table of Contents


    Douglas Dynamics, Inc.

    Notes to Consolidated Financial Statements (Continued)

    Years ended December 31, 2011, 2010 and 2009

    (Dollars in Thousands Except Per Share Data)

    12. Employee Retirement Plans (Continued)

    Postretirement benefits

            The Company provides postretirement healthcare benefits for certain employee groups. The postretirement healthcare plans are contributory and contain certain other cost-sharing features such as deductibles and coinsurance. The plans are unfunded. Employees do not vest until they retire from active employment with the Company and have at least twelve years of service. These benefits can be amended or terminated at anytime and are subject to the same ongoing changes as our healthcare benefits for employees with respect to deductible, co-insurance and participant contributions.

            Effective January 1, 2004, the postretirement healthcare benefits were extended to all active employees of the Company as of December 31, 2003. The period of coverage was reduced and the retiree contribution percentage was increased in order to keep the cost of the plan equivalent to the previous plan design.

            Maximum coverage under the plan is limited to ten years. All benefits terminate upon the death of the retiree. Employees who began working for the Company after December 31, 2003, are not eligible for postretirement healthcare benefits.

            The reconciliation of the beginning and ending balances of the projected benefit obligation for the Company consisted of the following:

     
     December 31  
     
     2011  2010  

    Change in projected benefit obligation:

           

    Benefit obligation at beginning of year

     $7,576 $8,198 

    Service cost

      263  308 

    Interest cost

      407  455 

    Participant contributions

      95  94 

    Changes in actuarial assumptions

      426  (154)

    Benefits paid

      (365) (294)

    Plan Curtailment

        (1,031)
          

    Projected benefit obligation at end of year

     $8,402 $7,576 
          

    Amounts recognized in the consolidated balance sheets consisted

           

    Accrued expenses and other current liabilities

     $349 $341 

    Retiree health benefit obligation

      8,053  7,235 
          

     $8,402 $7,576 
          

            In May 2010, in connection with the closure of the Company's manufacturing facility in Johnson City, TN substantially all the employees at this facility were terminated. This resulted in a cessation of all future benefit accruals for these employees under the Company's other post employment benefit ("OPEB") plan. The liability gain for the OPEB plan exceeded the unrecognized net actuarial loss prior to the curtailment and resulted in a gain of $1,031 of which $667 was recorded in selling, general and administrative expense in the consolidated statement of income for the year ended December 31,

    F-30


    Table of Contents


    Douglas Dynamics, Inc.

    Notes to Consolidated Financial Statements (Continued)

    Years ended December 31, 2011, 2010 and 2009

    (Dollars in Thousands Except Per Share Data)

    12. Employee Retirement Plans (Continued)

    2010 and $364 (before taxes) was recognized as a reduction to the net actuarial loss in accumulated other comprehensive loss at December 31, 2010.

            The components of postretirement healthcare benefit cost consisted of the following for the years ended December 31,

     
     2011  2010  2009  

    Component of net postretirement health benefit cost:

              

    Service cost

     $263 $308 $305 

    Interest cost

      407  455  419 

    Amortization of net gain

      (61) (6) (73)

    Curtailment gain

        (667)  
            

    Net postretirement healthcare benefit cost

     $609 $90 $651 
            

            The assumed discount and healthcare cost trend rates are summarized as follows:

     
     Year Ended
    December 31
     
     
     2011  2010  2009  

    Discount rate

      5.5% 6.0% 6.0%

    Immediate healthcare cost trend rate

      9.0  9.0  8.5 

    Ultimate healthcare cost trend rate

      
    5.0
      
    5.0
      
    5.0
     

    Assumed annual reduction in trend rate

      *  0.5  0.5 

    Participation

      80  80  80 

    *
    Health Care Cost Trend rate is assumed to be 9.0% beginning in 2011 gradually reducing to an ultimate rate of 5.0% in 2017.

            The discount rate used to determine the benefit obligation at December 31, 2011 and 2010 is 4.4% and 5.5%, respectively. For the years ending December 31, 2009 and 2010 the combination of pension and postretirement benefit cash flows were used to develop a single equivalent discount rate as the results were materially the same. For 2011, a separate discount rate was determined for pension and postretirement benefits. For December 31, 2011, the health care cost trend rate is assumed to be 8.0% beginning in 2012 gradually reducing to an ultimate rate of 4.5% in 2019.

            A one percentage point change in the healthcare cost trend rate would have the following effect at December 31, 2011:

     
     1%
    Increase
     1%
    Decrease
     

    Effect on total service and interest cost

     $96 $(81)

    Effect on postretirement benefit obligation

      1,013  (866)

    F-31


    Table of Contents


    Douglas Dynamics, Inc.

    Notes to Consolidated Financial Statements (Continued)

    Years ended December 31, 2011, 2010 and 2009

    (Dollars in Thousands Except Per Share Data)

    12. Employee Retirement Plans (Continued)

            Amounts included in other comprehensive loss, net of tax, at December 31, 2011, which have not yet been recognized in net periodic pension or OPEB cost, were net actuarial gain (loss) of ($7,185) and $96 for the pension plans and postretirement healthcare benefits, respectively. The estimated actuarial gain (loss) for the defined benefit plans that will be amortized from accumulated other comprehensive loss into net periodic pension or OPEB cost during 2012 are ($770) and $16 for the pension plans and postretirement healthcare benefits, respectively.

    Defined contribution plan

            The Company has a defined contribution plan, which qualifies under Section 401(k) of the Internal Revenue Code and provides substantially all employees an opportunity to accumulate personal funds for their retirement. Contributions are made on a before-tax basis to these plans.

            As determined by the provisions of the plan, the Company matches a portion of the employees' basic voluntary contributions. The Company matching contributions to the plan were approximately $140, $123 and $137 for the years ended December 31, 2011, 2010 and 2009, respectively. Beginning January 1, 2012, the Company amended its defined contribution plan to permit non-discretionary employer contributions. This enhancement of the defined contribution plan occurred contemporaneously with the pension plan amendments noted within this footnote under "Pension benefits".

    13. Stock-Based Compensation

    Amended and Restated 2004 Stock Incentive Plan

            In connection with the IPO, in May 2010, the Company's Board of Directors and stockholders amended and restated the Company's 2004 Stock Incentive Plan (as amended and restated, the "A&R 2004 Plan") and certain outstanding award agreements thereunder, to among other things, eliminate the ability of the holders thereunder to use a promissory note to pay any portion of the exercise price of the options, to provide that the use of "net exercises" to pay any portion of the exercise price of the options shall be at the sole discretion of the committee administering the A&R 2004 Plan, and to effect certain ministerial changes under the A&R 2004 Plan. In addition, in connection with the IPO, the Board of Directors also resolved not to issue any further awards under the A&R 2004 Plan. As of December 31, 2011, 37,240 shares of common stock are reserved for issuance upon the exercise of outstanding options under the A&R 2004 Plan. All outstanding options are fully vested. All options expire 10 years from the date of grant.

    2010 Stock Incentive Plan

            In connection with the IPO, in May 2010, the Company's Board of Directors and stockholders adopted the 2010 Stock Incentive Plan (the "2010 Plan"). The 2010 Plan provides for the issuance of nonqualified stock options, incentive stock options, stock appreciation rights, restricted stock awards and restricted stock units, any of which may be performance-based, and for incentive bonuses, which may be paid in cash or stock or a combination of both, to eligible employees, officers, non-employee directors and other service providers to the Company and its subsidiaries. A maximum of 2,130,000

    F-32


    Table of Contents


    Douglas Dynamics, Inc.

    Notes to Consolidated Financial Statements (Continued)

    Years ended December 31, 2011, 2010 and 2009

    (Dollars in Thousands Except Per Share Data)

    13. Stock-Based Compensation (Continued)

    shares of common stock may be issued pursuant to all awards under the 2010 Plan. As of December 31, 2011, the Company had 1,800,214 shares of common stock available for future issuance of awards under the 2010 Plan. The shares of common stock to be issued under the 2010 Plan will be made available from authorized and unissued Company common stock.

    Stock Options

            The following table summarizes information with respect to the Company's stock option activity under the A&R 2004 Plan for the years ended December 31, 2011, 2010 and 2009.

     
     December 31, 2011  December 31, 2010  December 31, 2009  
     
     Options  Weighted
    average
    exercise
    price
     Options  Weighted
    average
    exercise
    price
     Options  Weighted
    average
    exercise
    price
     

    Outstanding—beginning of year

      356,623 $4.21  819,185 $4.21  908,556 $4.21 

    Granted

                 

    Canceled

            4.21  (89,371) 4.21 

    Exercised

      (319,383) 4.21  (462,562)      
                  

    Outstanding—end of year

      37,240 $4.21  356,623 $4.21  819,185 $4.21 
                  

    Exercisable—end of year

      37,240 $4.21  309,113 $4.21  747,935 $4.21 
                  

            Certain of the Company's option holders exercised 319,383 stock options during the year ended December 31, 2011, of which 184,236 options were exercised utilizing a broker assisted cashless exercise. The options exercised were granted under APB 25 with an exercise price equal to fair value at date of grant, and accordingly so, no compensation expense was recorded at the time of grant. The Company did not bear the risk and rewards of the options and thus, did not record stock based compensation expense. The option holders paid the Company the required exercise price for the remaining options at the time of exercise and therefore the Company did not record any stock based compensation expense.

            In connection with the IPO in 2010, certain of the Company's selling stockholders exercised 288,001 stock options and sold the underlying shares. Such stockholders paid the exercise price of such options through a net exercise. Subsequent to the IPO, certain of the Company's option holders exercised 174,571 stock options and paid the exercise price of such options through a net exercise, resulting in an additional 95,000 outstanding shares. The options exercised in conjunction with the IPO as well as those exercised subsequently in the year ended December 31, 2010 were granted under APB 25 with an exercise price equal to fair value at date of grant, and accordingly no compensation expense was recorded at the time of grant. Because of the net exercise mechanism, the option holders did not bear the risk and rewards of the options. As such, the Company recorded $2,975 of stock based compensation expense for the year ended December 31, 2010 related to stock options.

            On January 23, 2009, the Company entered into securities repurchase agreements with certain members of management. Pursuant to these agreements, the Company repurchased at fair value and

    F-33


    Table of Contents


    Douglas Dynamics, Inc.

    Notes to Consolidated Financial Statements (Continued)

    Years ended December 31, 2011, 2010 and 2009

    (Dollars in Thousands Except Per Share Data)

    13. Stock-Based Compensation (Continued)

    subsequently retired 32,633 shares of common stock and 89,371 stock options in exchange for aggregate consideration of $1,137, comprised of a cash payment of $1,000 and the satisfaction of the remaining principal amount of $137 on promissory notes held by the members of management. As a result of the repurchase of stock options, the Company recorded $732 of compensation expense in the first quarter of 2009, which represented the fair value of the repurchased options. See footnote 16, "Redeemable stock and stockholders' equity."

            As of December 31, 2011, 2010 and 2009, the weighted-average remaining contractual life of all outstanding options was 4.7, 4.0 and 4.8 years, respectively. As of December 31, 2011, 2010 and 2009, the weighted-average remaining contractual life of all exercisable options was 4.7, 3.6 and 4.6 years, respectively.

            The aggregate intrinsic value of the options at December 31, 2011 was $388 for both options outstanding and exercisable. The aggregate intrinsic value of the options at December 31, 2010 was $3,901 and $3,382 for options outstanding and exercisable, respectively. There were no options exercised for the year ended December 31, 2009. The aggregate intrinsic value of stock options exercised during 2011 and 2010 was $3,200 and $2,885, respectively.

            As of December 31, 2010, the Company had shareholders' notes receivable with recourse of $482 including accrued interest, respectively, related to the exercise of options, which are included as a component of shareholders' equity. The shareholders' notes receivable were repaid by the shareholders in conjunction with the secondary offering which closed on May 20, 2011.

    Restricted Stock

            Restricted stock carries both voting and dividend rights. A summary of restricted stock activity for the year ended December 31, 2011 is as follows:

     
     Shares
    (In thousands)
     Weighted
    Average
    Grant Date
    Fair value
     Weighted
    Average
    Remaining
    Contractual
    Term
     

    Unvested at December 31, 2009

           

    Granted

      242,088 $11.68   

    Vested

           

    Cancelled and forfeited

           

    Unvested at December 31, 2010

      242,088  11.68  4.01 years 

    Granted

      43,690  14.99  2.00 years 

    Vested

      (50,111) 11.77   

    Cancelled and forfeited

           
             

    Unvested at December 31, 2011

      235,667 $12.27  2.83 years 
            

    Expected to vest in the future at December 31, 2011

      227,183 $12.27  2.83 years 
            

    F-34


    Table of Contents


    Douglas Dynamics, Inc.

    Notes to Consolidated Financial Statements (Continued)

    Years ended December 31, 2011, 2010 and 2009

    (Dollars in Thousands Except Per Share Data)

    13. Stock-Based Compensation (Continued)

            The fair value of the Company's restricted stock awards is the closing stock price on the date of grant. The Company recognized $848 and $419 of compensation expense related to restricted stock awards for the years ended December 31, 2011 and December 31, 2010, respectively. The unrecognized compensation expense for shares expected to vest as of December 31, 2011 and December 31, 2010 was approximately $2,154 and $2,311, respectively. Meanwhile, no shares vested in 2010.

    Unrestricted Stock

            The Company granted 68,224 and 44,350 shares of unrestricted stock as performance based awards under the 2010 plan in the years ended December 31, 2011 and December 31, 2010, respectively. The fair value of the Company's unrestricted stock awards is the closing stock price on the date of grant, or $15.01 and $14.32 per share, for grants in years ended December 31, 2011 and December 31, 2010, respectively. The Company recognized $1,024 and $635 of compensation expense related to unrestricted stock awards granted for the years ended December 31, 2011 and December 31, 2010, respectively. The unrestricted awards granted in 2010 were issued in March 2011, while the awards granted in 2011 will be issued in March 2012. There is no required vesting period for the unrestricted stock awards as recipients are entitled to shares upon grant and performance satisfaction, which both have occurred by the years ended December 31, 2010 and December 31, 2011.

    Restricted Stock Units

            Restricted stock units ("RSUs") are issued to the board of directors and carry dividend rights but do not carry voting rights. Each RSU represents the right to receive one share of the Company's common stock and are subject to time based vesting restrictions. Participants are not required to pay any consideration to the Company at either the time of grant of a RSU or upon vesting.

            A summary of RSU activity for the year ended December 31, 2011 is as follows:

     
     Shares
    (In thousands)
     Weighted
    Average
    Grant Date
    Fair value
     Weighted
    Average
    Remaining
    Contractual
    Term
     

    Unvested at December 31, 2010

           

    Granted

      20,612 $15.21  2.00 years 

    Vested

      1,719  15.25   

    Cancelled and forfeited

           
             

    Unvested at December 31, 2011

      18,893 $15.20  2.00 years 
            

    Expected to vest in the future at December 31, 2011

      18,893 $15.20  2.00 years 
            

            Vested RSU's are "settled" by the delivery to the participant or a designated brokerage firm of one share of common stock per vested RSU as soon as reasonably practicable following a termination of service of the participant that constitutes a separation from service, and in all events no later than

    F-35


    Table of Contents


    Douglas Dynamics, Inc.

    Notes to Consolidated Financial Statements (Continued)

    Years ended December 31, 2011, 2010 and 2009

    (Dollars in Thousands Except Per Share Data)

    13. Stock-Based Compensation (Continued)

    the end of the calendar year in which such termination of employment occurs or, if later, two and one-half months after such termination of employment.

    14. Earnings Per Share

            Basic earnings per share of common stock is computed by dividing net income by the weighted average number of common shares outstanding during the period. Diluted earnings per share of common stock is computed by dividing net income by the weighted average number of common shares and common stock equivalents related to the assumed exercise of stock options, using the two-class method. Stock options for which the exercise price exceeds the average fair value have an anti-dilutive effect on earnings per share and are excluded from the calculation. There were no shares excluded from diluted earnings per share for the years presented.

            Subsequent to the payment of the third quarter 2010 dividend, which was the first dividend payment made subsequent to the IPO, management retroactively approved all restricted stockholders for shares issued and outstanding to participate in dividends. As such, the Company has calculated earnings per share pursuant to the two-class method, which is an earnings allocation formula that determines earnings per share for common stock and participating securities according to dividends declared and participation rights in undistributed earnings. Under this method, all earnings (distributed and undistributed) are allocated to common shares and participating securities based on their respective rights to receive dividends.

     
     2011  2010  2009  

    Basic earnings per common share

              

    Net income

     $19,040 $1,662 $9,843 

    Less income allocated to participating securities

      233  12   
            

    Net income allocated to common shareholders

     $18,807 $1,650 $9,843 
            

    Weighted average common shares outstanding

      21,650,736  18,799,761  14,423,470 
            

     $0.87 $0.09 $0.68 
            

    Earnings per common share assuming dilution

              

    Net income

     $19,040 $1,662 $9,843 

    Less income allocated to participating securities

      233  12   
            

    Net income allocated to common shareholders

     $18,807 $1,650 $9,843 
            

    Weighted average common shares outstanding

      21,650,736  18,799,761  14,423,470 

    Incremental shares applicable to stock based compensation

      163,881  487,685  325,328 
            

    Weighted average common shares assuming dilution

      21,814,617  19,287,446  14,748,798 
            

     $0.85 $0.09 $0.67 
            

    F-36


    Table of Contents


    Douglas Dynamics, Inc.

    Notes to Consolidated Financial Statements (Continued)

    Years ended December 31, 2011, 2010 and 2009

    (Dollars in Thousands Except Per Share Data)

    15. Commitments and Contingencies

            In the ordinary course of business, the Company is engaged in various litigation including product liability and intellectual property disputes. However, the Company does not believe that any pending litigation will have a material adverse effect on its consolidated financial position, consolidated results of operations or liquidity. In addition, the Company is not currently a party to any environmental-related claims or legal matters.

    16. Redeemable stock and stockholders' equity

    Series A Redeemable Convertible Preferred Stock

            The authorized capital stock of the Company includes 100,000 shares of preferred stock, of which 65,000 shares have been designated as Series A preferred stock ("Series A"). All shares of Series A have been redeemed and therefore no shares of Series A were issued and outstanding as of December 31, 2011 and 2010. The par value of Series A is $0.01 per share.

            The Series A is non-voting except as required by Delaware law, and Series A stockholders do not have the right to elect any members of the Company's Board of Directors. The Series A ranks senior to the Series B and C preferred stock and common stock related to dividend rights and distributions upon liquidation, dissolution or winding up of the Company. Dividends accrue on the Series A at a rate of 10% per annum on the stated value of the Series A plus 10% of the aggregate of all annual dividends that a holder of Series A will have become entitled to receive but which has not been declared and paid by the Company. The Company accretes dividends based on the terms of the Series A set forth in the Company's certificate of incorporation.

            The Series A is subject to redemption at anytime, in whole or in part, at the option of the Board of Directors, which is controlled by the preferred stockholders and thus outside the control of the Company, at a redemption price per share equal to Series A stated value of $1,000 per share plus all accrued but unpaid cumulative dividends.

    Series B Redeemable Preferred Stock

            One share of preferred stock has been designated as Series B preferred stock ("Series B") and no shares were issued and outstanding as of December 31, 2011 and December 31, 2010. The par value of Series B is $0.01 per share.

            In addition to any voting rights to which the holders of the Series B may be entitled by law, so long as the Series B remains outstanding, the holder of the share, voting as a single series, are entitled to elect four directors to the Company's Board of Directors. The Series B ranks junior to the Series A, on parity with the Series C preferred stock and senior to the common stock as to dividend rights and distributions upon liquidation, dissolution or winding up of the Company. The holder of Series B is not entitled to receive dividends. However, subject to certain exceptions, so long as any shares of Series B or Series C preferred stock are outstanding, the Company may not pay dividends or make other distributions with respect to its junior securities (including common stock). This dividend restriction may be waived by the affirmative vote of a majority of the outstanding shares of Series B and Series C preferred stock, voting as a single class.

    F-37


    Table of Contents


    Douglas Dynamics, Inc.

    Notes to Consolidated Financial Statements (Continued)

    Years ended December 31, 2011, 2010 and 2009

    (Dollars in Thousands Except Per Share Data)

    16. Redeemable stock and stockholders' equity (Continued)

            The Series B is subject to mandatory redemption at any time the holder's ownership of both preferred stock and common stock falls below certain percentages. The fixed redemption price per share is $1,000 per share, which equals the initial amount paid for the share. At the time of any such redemption, any members of the Company's Board of Directors elected by the Series B shall cease to be members of the Board without further action of any kind by the Company or its stockholders. The Series B share was redeemed in conjunction with the IPO in May of 2010.

    Series C Redeemable Preferred Stock

            One share of preferred stock has been designated as Series B preferred stock ("Series C") and no shares were issued and outstanding as of December 31, 2011 and December 31, 2010. The par value of Series C is $0.01 per share.

            In addition to any voting rights to which the holders of the Series C may be entitled by law, so long as the Series C remains outstanding, the holder of the share, voting as a single series, is entitled to elect two directors to the Company's Board of Directors. The Series C ranks junior to the Series A, on a parity with the Series B preferred stock and senior to the common stock as to dividend rights and distributions upon liquidation, dissolution or winding up of the Company. The holder of Series C is not entitled to receive dividends. However, subject to certain exceptions, so long as any shares of Series B or Series C preferred stock are outstanding, the Company may not pay dividends or make other distributions with respect to its junior securities (including common stock). This dividend restriction may be waived by the affirmative vote of a majority of the outstanding shares of Series B and Series C preferred stock, voting as a single class.

            The Series C is subject to mandatory redemption at any time the holder's beneficial ownership of both preferred stock and common stock falls below certain percentages. The fixed redemption price per share is $1,000 per share, which equals the initial amount paid for the share. At the time of any such redemption, any members of the Company's Board of Directors elected by the Series C shall cease to be members of the Board without further action of any kind by the Company or its stockholders. The Series C share was redeemed in conjunction with the IPO in May of 2010.

    Common Stock

            The Company has 200,000,000 shares of common stock authorized, of which 22,020,694 and 21,579,655 were issued and outstanding as of December 31, 2011 and 2010, respectively. The par value of the common stock is $0.01 per share.

            The holders of common stock are entitled to one vote per share on all matters submitted to a vote of stockholders. In the event of any voluntary or involuntary liquidation, dissolution or winding up of the Company, common stockholders would be entitled to share ratably in the Company's assets and funds remaining after payment of liabilities and after provision is made for each class of stock having preference over the Company's common stock, including Series A, B and C preferred stock.

    F-38


    Table of Contents


    Douglas Dynamics, Inc.

    Notes to Consolidated Financial Statements (Continued)

    Years ended December 31, 2011, 2010 and 2009

    (Dollars in Thousands Except Per Share Data)

    16. Redeemable stock and stockholders' equity (Continued)

    Deferred Stock Plan

            The Company has previously issued to certain members of management deferred common stock units and deferred preferred stock units, in each case representing the right to receive less than 1% of its fully-diluted equity capitalization. These deferred units were issued in consideration for the cancellation of accrued award balances in the Douglas Dynamics, LLC Long Term Incentive Plan. Deferred units were issued at a price equal to the fair value of the common stock at the date of issuance. Deferred units have all rights of common and preferred shareholders, excluding voting rights, and convert to common and preferred stock upon a change in control, or initial public offering of the Company's stock. As of December 31, 2011 and 2010 there were no deferred preferred stock units outstanding.

            As of both December 31, 2011 and 2010, the Company had no deferred common stock units outstanding. In the fourth quarter of 2010, the 174,229 deferred stock units converted into common stock, subsequent to the IPO of the Company's stock, upon expiration of the lock-up agreement.

    Common Stock Repurchase

            On January 23, 2009, the Company entered into securities repurchase agreements with certain members of management. Pursuant to these agreements, the Company repurchased at fair value and subsequently retired 32,633 shares of common stock and 89,371 stock options in exchange for aggregate consideration of $1,137, comprised of a cash payment of $1,000 and the satisfaction of the remaining principal amount of $137 on promissory notes held by the members of management. As a result of the repurchase of stock options, the Company recorded $732 of compensation expense in the first quarter of 2009, which represented the fair value of the repurchased options.

    F-39


    Table of Contents


    Douglas Dynamics, Inc.

    Notes to Consolidated Financial Statements (Continued)

    Years ended December 31, 2011, 2010 and 2009

    (Dollars in Thousands Except Per Share Data)

    17. Valuation and qualifying accounts

            The Company's valuation and qualifying accounts for the years ended December 31, 2011, 2010 and 2009 are as follows:

     
     Balance at
    beginning
    of year
     Additions
    charged to
    earnings
     Changes to
    reserve, net(1)
     Balance at
    end of year
     

    Year ended December 31, 2011

                 

    Allowance for doubtful accounts

     
    $

    1,200
     
    $

    1,106
     
    $

    (1,059

    )

    $

    1,247
     

    Reserves for inventory

      1,404  1,080  (1,196) 1,288 

    Valuation of deferred tax assets

      
    877
      
      
    (47

    )
     
    830
     

    Year ended December 31, 2010

                 

    Allowance for doubtful accounts

     
    $

    755
     
    $

    966
     
    $

    (521

    )

    $

    1,200
     

    Reserves for inventory

      1,931  930  (1,457) 1,404 

    Valuation of deferred tax assets

      
    566
      
    343
      
    (32

    )
     
    877
     

    Year ended December 31, 2009

                 

    Allowance for doubtful accounts

     
    $

    622
     
    $

    281
     
    $

    (148

    )

    $

    755
     

    Reserves for inventory

      1,736  1,347  (1,153) 1,931 

    Valuation of deferred tax assets

      
    1,695
      
    84
      
    (1,213

    )
     
    566
     

    (1)
    Deductions from the allowance for doubtful accounts equal accounts receivable written off, less recoveries, against the allowance. Deductions from the reserves for inventory excess and obsolete items equal inventory written off against the reserve as items were disposed of. Deductions to the valuation of deferred tax assets relate to the reversals due to changes in management's judgments regarding the future realization of the underlying deferred tax assets.

    18. Restructuring

            On April 27, 2009, the Company announced a plan to close its Johnson City, TN manufacturing facility and move production from this facility to its Milwaukee, WI and Rockland, ME facilities. The company completed the closure of this facility as of August 31, 2010. The Company expects to realize significant annual cost savings and improved customer delivery performance as a result. The closure has resulted in the elimination of approximately 100 positions in Johnson City and the addition of approximately 50 positions in Rockland and approximately 35 positions in Milwaukee.

            Related to the facility closure, the Company recorded $50 of employee termination costs and $1,385 for other closure costs for the year ended December 31, 2010. Restructuring expenses of $1,054 were recorded for the year ended December 31, 2009. These costs are included in the selling, general and administrative expense line in the Company's consolidated statements of operations. For the year ended December 31, 2011, the Company did not incur any restructuring charges, nor does the Company expect to incur any additional costs related to the closure in the future.

    F-40


    Table of Contents


    Douglas Dynamics, Inc.

    Notes to Consolidated Financial Statements (Continued)

    Years ended December 31, 2011, 2010 and 2009

    (Dollars in Thousands Except Per Share Data)

    18. Restructuring (Continued)

            The following represents a reconciliation of changes in the restructuring reserves related to this project through December 31, 2011.

     
     Employee
    Termination
    Costs
     Other Exit
    Costs
     Total  

    Accrued restructuring reserves as of December 31, 2008

     $ $ $ 

    Activity during year ended December 31, 2009:

              

    Charges to earnings

      690  364  1,054 

    Payments

        (364) (364)
            

    Accrued restructuring reserves as of December 31, 2009

     $690 $ $690 

    Activity during year ended December 31, 2010:

              

    Charges to earnings

      50  1,385  1,435 

    Payments

      (710) (1,385) (2,095)
            

    Accrued restructuring reserves as of December 31, 2010

     $30 $ $30 

    Payments

      (30)   (30)
            

    Accrued restructuring reserves as of December 31, 2011

     $ $ $ 
            

            In connection with the restructuring, the Company reassessed the useful lives of its manufacturing facility and certain equipment. As a result of this assessment, the Company assigned shorter useful lives to these assets and recorded accelerated depreciation of $2,071 for the year ended December 31, 2010. This change in estimate reduced basic and diluted earnings per share by $0.07 and $0.07 for the year ended December 31, 2010. The Company recorded accelerated depreciation of $900 for the year ended December 31, 2009. This change in estimate reduced basic and diluted earnings per share by $0.04 and $0.04 for the year ended December 31, 2009.

            Because of actions taken in the restructuring, the Johnson City property is being actively marketed for sale and is classified as held for sale in the consolidated balance sheet.

    19. Quarterly Financial Information (Unaudited)

     
     2011  
     
     First  Second  Third  Fourth  

    Net sales

     $23,490 $71,557 $53,495 $60,256 

    Gross profit

     $9,071 $26,338 $16,494 $19,914 

    Income (loss) before taxes

     $(475)$15,389 $6,291 $9,167 

    Net income (loss)

     $(800)$9,723 $3,967 $6,150 

    Basic net earnings (loss) per common share attributable to common shareholders

     $(0.04)$0.44 $0.18 $0.28 

    Earnings (loss) per common share assuming dilution attributable to common shareholders

     $(0.04)$0.44 $0.18 $0.28 

    Dividends per share

     $0.57 $0.20 $0.20 $0.21 

    F-41


    Table of Contents


    Douglas Dynamics, Inc.

    Notes to Consolidated Financial Statements (Continued)

    Years ended December 31, 2011, 2010 and 2009

    (Dollars in Thousands Except Per Share Data)

    19. Quarterly Financial Information (Unaudited) (Continued)


     
     2010  
     
     First  Second  Third  Fourth  

    Net sales

     $14,647 $66,243 $47,448 $48,457 

    Gross profit

     $1,980 $25,061 $15,227 $18,033 

    Income (loss) before taxes

     $(9,424)$(1,302)$4,464 $8,796 

    Net income (loss)

     $(5,719)$75 $2,185 $5,121 

    Basic net earnings (loss) per common share attributable to common shareholders

     $(0.40)$ $0.10 $0.24 

    Earnings (loss) per common share assuming dilution attributable to common shareholders

     $(0.40)$ $0.10 $0.23 

    Dividends per share

     $ $ $0.18 $0.20 

            Due to changes in stock prices during the year and timing of issuance of shares, the sum of quarterly earnings per share may not equal the annual earnings per share.

    F-42