Haemonetics
HAE
#4302
Rank
C$3.72 B
Marketcap
C$81.86
Share price
4.77%
Change (1 day)
-14.30%
Change (1 year)

Haemonetics - 10-K annual report


Text size:

 

UNITED STATES
SECURITIES AND EXCHANGE COMMISSION

Washington, D.C. 20549

FORM 10-K

ANNUAL REPORT PURSUANT TO SECTION 13 OR 15(d) OF
THE SECURITIES EXCHANGE ACT OF 1934

For the fiscal year ended March 31, 2007.

 

Commission file number 1-10730

 

HAEMONETICS CORPORATION

(Exact name of registrant as specified in its charter)

Massachusetts

 

04-2882273

(State of Incorporation)

 

(I.R.S. Employer Identification No.)

400 Wood Road

 

 

Braintree, Massachusetts

 

02184-9114

(Address of principal executive offices)

 

(Zip Code)

 

Registrant’s telephone number, including area code:  (781) 848-7100

Securities registered pursuant to Section 12(b) of the Act:

 

Name of each exchange

Title of each class

 

on which registered

Common stock, $.01 par value

 

New York Stock Exchange

 

Securities registered pursuant to Section 12(g) of the Act:  None

Indicate by check mark whether the registrant is a well-known seasoned issuer, as defined in Rule 405 of the Securities Act.   Yes x   No o

Indicate by check mark whether the registrant is not required to file reports pursuant to Section 13 or 15(d) of the Act.   Yes o   No x

Indicate by check mark whether the registrant (1) has filed all reports required to be filed by Section 13 or 15(d) of the Securities Exchange Act of 1934 during the preceding 12 months (or for such shorter period that the registrant was required to file such reports), and (2) has been subject to such filing requirements for the past 90 days.   Yes x   No o

Indicate by check mark if disclosure of delinquent filers pursuant to Item 405 of Regulation S-K is not contained herein, and will not be contained, to the best of registrant’s knowledge, in definitive proxy or information statements incorporated by reference in Part III of this Form 10-K or any amendment to this form 10-K.x

Indicate by check mark whether the registrant is a large accelerated filer, an accelerated filer, or a non-accelerated filer. See definition of “accelerated filer and large accelerated filer” in Rule 12b-2 of the Exchange Act.

Large accelerated filer x            Accelerated filer o                     Non-accelerated filer o

Indicate by check mark whether the registrant is a shell Company.   Yes o   No x

The aggregate market value of the voting and non-voting common equity held by non-affiliates of the Registrant (assuming for these purposes that all executive officers and Directors are “affiliates” of the Registrant) as of September 30, 2006, the last business day of the registrant’s most recently completed second fiscal quarter was $1,178,635,000 (based on the closing sale price of the Registrant’s Common Stock on that date as reported on the New York Stock Exchange).

The number of shares of the registrant’s common stock, $.01 par value, outstanding as of April 30, 2007 was 26,543,692

Documents Incorporated By Reference

Portions of the Company’s Proxy Statement for the Annual Meeting of Shareholders to be held on August 1, 2007, are incorporated by reference in Part III.

 







Item 1.                        Business

(A) General History of the Business

Our Company was founded in 1971 and became publicly owned for the first time in 1979. In 1983, American Hospital Supply Corporation (“AHS”) acquired us. When Baxter Travenol Laboratories, Inc. (Baxter) acquired AHS in 1985, Baxter divested the Haemonetics business to address antitrust concerns related to the AHS acquisition. As a result, in December 1985, a group of investors that included E. I. du Pont de Nemours and Company (“Du Pont”) and present and former Haemonetics employees purchased us. We were incorporated in Massachusetts in 1985. In May 1991, we completed an Initial Public Offering.

We are a pioneer and a market leader in developing and manufacturing blood processing technology. Our systems help ensure a safe and adequate blood supply and assist blood banks and hospitals in their efforts to operate efficiently and in compliance with regulatory requirements. To that end, throughout our history, we have been engaged in manufacturing automated systems and single use consumables used in blood donation, blood processing, and surgical salvage of blood. More recently, we also develop associated data management technology.

We developed our first automated blood processing system in 1971. Our direct customers are blood and plasma collectors, hospitals and hospital service providers.

In fiscal year 2004, we reorganized into two global product families that address our ultimate customer (that is, our customers’ customer): blood donors and surgical patients. Also in fiscal year 2004 we embarked upon two strategies: 1) leveraging the core business to improve profitability and 2) expanding the business through internal R&D, marketing partnerships, and acquisitions. As a result of the second strategy, we have broadened our core product portfolio to include complementary products used by our blood collection and hospital customers. As a result, we have added a third global product family, software and services, to our business.

Within our product families we offer:

Donor Products

1)               Plasma systems: Our PCS® brand systems automate the collection of plasma from donors who are often paid a fee for their donation. The collected plasma is then generally processed into therapeutic pharmaceuticals.

2)               Blood bank systems:

a)               Our MCS® brand system automates the collection of platelets from volunteer donors. The systems enable the donation of a larger volume of the donor’s platelets, which are then generally given to cancer patients and others with bleeding disorders.

b)              Our ACP® brand systems automate the process used to freeze, thaw and wash red blood cells. The ACP systems can also be used to wash other cellular parts from red blood cells units before transfusion.

c)               We also contract manufacture sterile intravenous solutions for pharmaceutical customers. These solutions include generic and custom drug products.

3)               Red cell systems: Other MCS and Cymbal™ systems automate the collection of red cells from volunteer donors. These systems maximize the volume of red cells that can be collected from one blood donation, thus helping to alleviate blood shortages. The highest sales volume product in the red cell product line is our double red cell collection technology which allows for two units of red cells to be collected from one donor. Specialty protocols enabling the simultaneous collection of a unit of red

1




cells and a unit of plasma or a unit of red cells and a unit of platelets are also available in various parts of the world.

Patient Products

1)               Blood salvage:   Our surgical blood salvage systems allow surgeons to collect the blood lost by a patient during or after surgery, clean that blood, and have it available to transfuse back to the patient if needed. In this way, a surgical patient can receive transfusions of the safest blood possible, his or her own. Our surgical blood salvage systems include:

a)               Our Cell Saver® brand systems for higher blood loss surgeries and trauma:

b)              Our OrthoPAT® brand systems for lower, slower blood loss procedures, typically orthopedic surgeries; and

c)               Our cardioPAT™ brand system for blood loss during and after beating heart surgeries or for blood loss after various coronary artery bypass graft (“CABG”) surgeries. The cardioPAT is our newest blood salvage system launched late in fiscal 2006.

2)               Surgical suction:   Our SmartSuction family of products, the SmartSuction HARMONY™ and SmartSuction SOLO™, clear blood and debris from the surgical field. The systems can be used in conjunction with surgical blood salvage or stand-alone in surgery. These products were launched in late fiscal 2006 and mid fiscal 2007.

Software and Services

At this time, our software and services principally provides support to our Donor Division customers. Our goal in expanding the business is to add complementary products and services for our Patient Division customers.

1)              Software:   Through our 5D™ Information Management (“5D”) and Information Data Management (“IDM”), we provide data management systems and technical support to blood donor recruitment and to promote efficient and compliant operations of blood and plasma collection centers.

2)              Services:   Through our services group, we offer business solutions to support blood collectors’ process excellence, donor recruitment, and business design efforts. For example, we provide six sigma and lean manufacturing consulting services to blood banks. We also offer equipment repairs services under preventive maintenance contracts or emergency service visits, training programs and spare part sales.

Our principal operations are in the United States, Europe, Japan and other parts of Asia. Our products are marketed in more than 50 countries around the world via a direct sales force as well as independent distributors and agents.

In fiscal year 2007, we remained focused on increasing sales of our red cell collection technology and our software offerings. We also focused on retaining business in our U.S. orthopedic market, having transitioned from a distribution relationship to a direct sales business late in fiscal 2006. We were successful at retaining a majority of the U.S. business and revenues benefited in the year from the positive pricing impact of the change. Additionally, we executed to our plan to supply plasma collection systems to support rapid growth in the U.S. plasma collections market. We placed approximately 900 additional plasma collection systems in the U.S. Finally, we focused resources on seven products launched over the course of fiscal 2006 and fiscal 2007.

2




(B) Financial Information about Industry Segments

Although we address our customer constituents through three global product families (Donor, Patient and Software/Services), we manage our business as one operating segment: automated blood processing systems. Our chief operating decision maker uses consolidated financial results to make operating and strategic decisions. Manufacturing processes, as well as the regulatory environment in which we operate, are largely the same for all product lines.

The financial information required for the business segment is included herein in Note 16 of the financial statements, entitled SEGMENT, GEOGRAPHIC AND CUSTOMER INFORMATION.

(C) Narrative Description of the Business

(i)   Products and Services

We develop and market a variety of automated systems for blood donors and surgical patients worldwide that collect and process blood. We also market data management systems to promote efficient and compliant operations of blood and plasma collection agencies.

All of our blood systems involve the extracorporeal processing of human blood, which is made up of components including red blood cells, plasma, platelets, and white blood cells. Doctors today generally treat patients with a transfusion of only the blood component needed, rather than with whole blood. The different components have different clinical applications. For example, plasma derived products treat a variety of illnesses and hereditary disorders such as hemophilia; red cells treat trauma patients or patients undergoing major surgeries involving high blood loss such as open heart surgery or organ transplant; and platelets treat cancer patients undergoing chemotherapy.

With our automated blood collection systems, a blood donation can be targeted to the specific blood component needed by a blood collector. More of that blood component can be collected during any one donation event because the blood components not targeted are returned to the donor through a sterile, closed-circuit disposable set used for the blood donation procedure. (See “Plasma”, “Blood Bank” and “Red Cell” product lines referred to in “General History of the Business.”)

With our automated blood processing systems, blood collectors and hospitals can freeze and thaw red cells so that they can maintain a frozen blood reserve. Blood reserves are often maintained to enable the blood provider to respond adequately to large-scale emergencies where many people require blood transfusions or to treat patients who require transfusions of very rare blood types. Our blood processing systems can also remove plasma from red cells for patients who need specially treated blood. (See “ACP” product referred to in “General History of the Business.”)

Our surgical blood salvage systems can collect blood lost by a surgical patient during or after the surgery, clean it, and make it available for transfusion back to the patient. These systems ensure that elective surgery will not be cancelled due to lack of available blood, and that a patient receives the safest blood possible — his or her own. (See “Cell Saver,” “OrthoPAT,” and “cardioPAT” product lines referred to in “General History of the Business.”)

Our surgical suction systems can clear the surgical field of blood and debris to support a safe and effective operating environment. (See “SmartSuction” product referred to in “General History of the Business.”)

In every one of our major product offerings: plasma collection, platelet collection, red cell collection, cell processing and surgical cell salvage, we invented the technology that first created the market. We continue to innovate our product offerings with next generation technologies.

3




DONOR FAMILY OF PRODUCTS

The Plasma Collection Market for Fractionation

Automated plasma collection technology allows for the safe and efficient collection of plasma from donors who are usually paid a fee for their blood donation. There are approximately 15 million liters of plasma collected worldwide annually. The plasma collected is further processed (“fractionated”) by pharmaceutical companies into therapeutic and diagnostic products that aid in the treatment of: immune diseases, inherited coagulation disorders (e.g., hemophilia) and blood volume loss (e.g. from trauma). The collected plasma is also used in the manufacture of vaccines and blood testing and quality control reagents. Our role in the plasma industry is limited to the supply of plasma collection and data management systems to plasma collectors, many of whom also process the plasma which they collect. Our business does not include the actual collection, fractionation, or distribution of plasma-derived pharmaceuticals.

Haemonetics’ Automated Plasma Collection Systems (reported as “plasma” product line)

Until automated plasma collection technology was pioneered and introduced by our Company in the 1980s, plasma for fractionation was collected manually. Manual collection was time-consuming, labor-intensive, produced relatively poor yields, and posed risk to donors. Currently the vast majority of plasma collections worldwide are performed using automated collection technology because it is safe and cost-effective. We market our PCS2 automated plasma collection systems to commercial plasma collectors as well as not-for-profit blood banks and government affiliated plasma collectors worldwide.

We offer “one stop shopping” to our plasma collection customers, enabling them to source from us the full range of products necessary for their plasma collection operations. To that end, in addition to providing plasma collection equipment and disposables, we offer plasma collection containers and intravenous solutions necessary for plasma collection and storage, as well as data management technology through our 5D subsidiary to automate plasma collectors’ operations.

The Blood Collection Market for Transfusion

There are millions of blood donations throughout the world every year to obtain blood products for transfusion to surgical, trauma, or chronically ill patients. In the U.S. alone approximately 15 million units of blood are collected each year.

Patients requiring blood are rarely transfused with whole blood. Instead, a patient typically receives only the blood component necessary to treat their clinical condition: red cells to surgical or trauma patients, platelets to surgical or cancer patients, and plasma to surgical patients.

Worldwide demand for blood continues to rise as the population ages and more patients have need for and access to medical therapies that require blood transfusions. At the same time, tighter donor eligibility requirements to improve blood safety have decreased the number of donors willing or able to donate blood. Thus, this worldwide market is growing modestly in the low single digits.

Most donations worldwide are non-automated procedures (also referred to as “manual or whole blood donations”). In a manual donation, a person donates about a pint of whole blood, bleeding by gravity directly into a blood collection bag. After the donation, a laboratory worker manually processes the blood and separates it into its constituent parts: red cells, platelets and plasma. One pint of whole blood contains one transfusible dose of red cells, one-half to one transfusible dose of plasma, and one-fifth to one-eighth transfusible dose of platelets.

We do not sell whole blood collection disposables for the large, non-automated part of the blood collection market for transfusions. Others supply this market with whole blood collection supplies such as needles, plastic blood bags, solutions and tubing.

4




In contrast to manual collections, automated procedures eliminate the need to manually separate whole blood at a remote laboratory. Instead, the blood separation process is automated and occurs “real-time” while a person is donating blood. In this separation method, only the specific blood component targeted is collected, and the remaining components are returned to the blood donor. Among other things, automated blood collection allows significantly more of the targeted blood component to be collected during a donation event.

Today in the U.S., automated collection systems are used annually to collect more than 550,000 red cell units and about 1.5 million platelet units (called “single donor” platelets.) One donation from a single donor can produce enough platelets for a transfusible dose as compared to a pooled platelet that combines platelet fractions from 5-8 different whole blood donors.

Our products address the small part of the blood collection market that uses automation to enhance blood collection safety and efficiency, as well as regulatory compliance.

Haemonetics’ Automated Red Cell Collection Systems (reported as “red cell” product line)

Automated red cell collection, a technology we created, allows for the safe, efficient collection of more red cells from a single blood donor than from manual, whole blood collections. Most red cells are derived from manual collection of whole blood, after which the components are separated. This manual procedure involves time-consuming, error-prone secondary handling and processing in a laboratory that tax a blood collector’s limited resources. Red cell shortages are a common problem plaguing many healthcare systems worldwide, particularly the U.S.

Our MCS brand systems help blood collectors address their operational challenges. The system automates the blood separation function, eliminating the need for laboratory processing and enables the collection of two transfusible doses of red cells from a single donor thus alleviating blood shortages. We call this our two unit protocol or double red cell collection.

In addition to the two unit protocol, blood collectors can use the MCS brand system to collect either one unit of red cells and a “jumbo” (double) unit of plasma or one unit of red cells and one unit of platelets from a single donor or they may leukoreduce the two unit red cell collections. Leukoreduction is the removal of potentially harmful white blood cells from the blood to prevent or mitigate adverse reactions by the patient receiving a blood transfusion. Leukoreduction has been adopted in many countries worldwide, and an estimated 80% of all red cells in the U.S. are now leukoreduced.

During fiscal year 2007, blood shortages continued and blood banks continued their adoption of double red cell collection. Currently approximately 7% of red cells collected in the U.S. are collected on our technology.

The Cymbal™ brand red cell collection system is an automated device to collect and process two units of red cells from donors. Cymbal is a second generation red cell collection system which is smaller, lighter and more portable than our current red cell collection technology. This mobility, including battery power, allows our customers to more easily use the device on mobile blood drives. We received CE marking in February 2006 and received FDA clearance on the device in February 2007. The system is now for sale in Europe and the U.S.

Haemonetics’ Automated Platelet Collection Systems (reported as “blood bank” product line)

Automated platelet collection systems collect one or more therapeutic “doses” of platelets during a single donation by a volunteer blood donor. Platelets derived from non-automated donations of whole blood (also called manual collections) must be “pooled” together with platelets from 4 to 7 other manual donations to make a single therapeutically useful dose because platelets are only a very small portion of whole blood volume. We invented the automation of platelet collection, resulting in improved platelet yields and improved patient safety.

5




Platelet therapy is frequently used to alleviate the effects of bone marrow suppression, a condition in which bone marrow is unable to produce a sufficient quantity of platelets. Bone marrow suppression is most commonly a side effect of chemotherapy. Doctors who prescribe platelet therapy increasingly turn to “single donor” platelet products (i.e., enough platelets collected from one donor, during an automated collection, to constitute a transfusible dose) to minimize a patient’s exposure to multiple donors and possible blood-borne diseases.

Haemonetics’ Intravenous Solutions (reported as “blood bank” product line)

During an automated blood donation, intravenous solutions and other solutions are used. We manufacture solutions in our facility in Union, South Carolina. This facility also contract manufactures certain other solutions.

Automated Blood Cell Processing Systems (reported as “blood bank” product line)

Our cell processing business is based on technology that enables users to add and remove solutions or other substances to and from blood components. We have several technologies that support this business.

The most significant technology allows the freezing and thawing of blood to enable blood banks to better manage their red cell inventory. Although it has been possible for many years to freeze red cells for up to ten years, the freezing and thawing processes took place in a manual, open-circuit system, which exposed red cells to the potential for bacterial contamination. Once the cells were thawed, they had to be transfused within 24 hours or discarded. The Company’s ACP215 automated cell processing system extends thawed cells’ shelf life to 14 days by performing the freezing and thawing processes in an automated, closed-circuit system. We also invented the technology that allows freezing and thawing of red cells

PATIENT FAMILY OF PRODUCTS

The Autotransfusion Market

Surgical blood salvage, also known as autotransfusion, involves the collection of a patient’s own blood during and after surgery, for reinfusion to that patient. In surgical blood salvage, blood is suctioned from a wound site, collected in a centrifuge, and cleaned and filtered to remove unwanted substances from the recovered blood. The blood is transferred to a collection bag and made available for transfusion back to the patient. This process occurs in a sterile, closed-circuit consumable set which sits inside our device. We market our surgical blood salvage products to hospital-based medical specialists, primarily cardiovascular, orthopedic, and trauma surgeons or to surgical suite service providers.

Loss of blood is common in open heart, trauma, transplant, vascular, and orthopedic procedures, and the need for transfusion of oxygen-carrying red cells to make up for lost blood volume is routine. Prior to the introduction of our technology, patients were transfused exclusively with blood from volunteer donors. Donor blood carries various potential risks including (i) risk of transfusion with the wrong blood type (the most common cause of transfusion-related death), (ii) risk of transfusion reactions including death, but more commonly chills, fevers or other side effects that can prolong a patient’s recovery, and (iii) risk of transfusion of blood with a blood-borne disease or infectious agent.

As a result of numerous blood safety initiatives, today’s blood transfusions are extremely safe, especially in developed and resourced health care systems. However, transfusions are not risk free. Surgical blood salvage reduces or eliminates a patient’s dependence on blood donated from others and ensures that the patient receives the safest blood possible — his or her own.

Surgical blood salvage is also a cost effective alternative to transfusing donor blood. Blood shortages have also reinforced the benefits of surgical blood salvage. As hospitals are forced to consider canceling

6




elective surgeries due to unavailability of blood, they can turn to surgical blood salvage as a means of conserving their blood supply for other patients.

Haemonetics Surgical Product Line

The Cell Saver brand system is a surgical blood salvage system targeted to procedures that involve rapid, high volume blood loss such as cardiovascular surgeries. The new cardioPAT system is a surgical blood salvage system targeted to open heart surgeries when there is less blood loss and the blood loss continues post surgery.

Also included in our surgical product line is the SmartSuction family of products. In fiscal 2005, we purchased a line of surgical products from Harvest Technologies Corporation. Leveraging our core competency in manufacturing process control, we reworked these products to our quality specifications. The product line was launched in calendar 2006 and is an advanced suction system for removal of blood and debris from the surgical field. The systems can be used in conjunction with surgical blood salvage or stand-alone.

Haemonetics OrthoPAT Product Line

The OrthoPAT system is targeted to orthopedic procedures that involve slower, lower volume blood loss that often occurs well after surgery.

SOFTWARE/SERVICES

Data management is supplied through our subsidiaries, 5D and IDM, leading providers of information management products and services for blood collectors, plasma collectors and plasma fractionators. Our software and services offerings promote quality, compliance, and operational efficiency in blood and plasma collection.

(ii)   Revenue Detail

We discuss our revenues using the following categories:

·       Disposables (the consumables used in blood collection, processing, and salvaging and fees for the use of our equipment)

·       Equipment (the sale of devices)

·       Software and Service (including 5D and IDM software systems and service contracts)

In fiscal year 2007, sales of disposable products accounted for approximately 87.6% of net revenues. Sales of our disposable products were 7.2% higher in 2007 than in 2006 and grew at a compound average annual growth rate of 7.19% for the four years ended March 31, 2007. The unfavorable effects of foreign exchange contributed 0.4% decrease in net sales during fiscal year 2007 with the remaining 7.6% increase resulting from increases in disposable revenues across our plasma, red cell, blood bank and OrthoPAT product lines due to unit increases and pricing improvement.

Sales of equipment accounted for approximately 4.9% of net revenues in fiscal year 2007 and approximately 6.1% in fiscal year 2006. The decrease in equipment revenue during fiscal year 2007 is attributable to inequitable comparisons as fiscal 2006 equipment sales were very strong. Equipment sales are opportunistic and fluctuate on an annual basis.

Software and Service revenues accounted for approximately 7.5% and 6.4% of net revenues in fiscal year 2007 and 2006, respectively. The increase during fiscal year 2007 was largely due to software revenue growth from 5D. The increases in 5D sales were principally the result of a software support contract for a branch of the United States military and due to our acquisition of the assets of IDM.

7




(iii)   Marketing/Sales/Distribution

We market and sell our products to commercial plasma collection centers, blood systems and independent blood banks, hospitals and hospital service providers, and national health organizations through our own direct sales force (including full-time sales representatives and clinical specialists) as well as independent distributors. Sales representatives target the primary decision-makers within each of those organizations.

In fiscal year 2007, for the seventh consecutive year, we received the Omega NorthFace ScoreBoard Award for exemplary service to customers. This award is presented to the highest-ranked organizations based on customer ratings of performance against customer expectations in areas such as phone support, on-site operations, technical services, and training.

(iv)   United States

In fiscal year 2007, approximately 43% of consolidated net sales were generated in the U.S. where we use a direct sales force to sell our products.

(v)   Outside the United States

In fiscal year 2007, approximately 57% of consolidated net revenues were generated through sales to non-U.S. customers. Our direct sales force in Europe and Asia includes full-time sales representatives and clinical specialists based in the United Kingdom, Germany, France, Sweden, the Netherlands, Italy, Austria, Hong Kong, Canada, Japan, Switzerland, Czech Republic, China, Taiwan, and Belgium. We also use various distributors to market our products in South America, the Middle East, and parts of Europe and the Far East.

(vi)   Research and Development

We operate research and development (“R&D”) centers in Switzerland, Japan, and the United States, so that protocol variations are incorporated to closely match local customer requirements. In addition to the above R&D facilities, our 5D subsidiary maintains development operations in Edmonton, Alberta, Canada and our Arryx subsidiary maintains research laboratories in Chicago, Illinois.

Customer collaboration is also an important part of our technical strength and competitive advantage. These collaboration customers and transfusion experts provide us with ideas for new products and applications, enhanced protocols, and potential test sites as well as objective evaluations and expert opinions regarding technical and performance issues.

The development of extracorporeal blood processing systems has required us to maintain technical expertise in various engineering disciplines, including mechanical, electrical, software, biomedical, and materials. Innovations resulting from these various engineering efforts enable us to develop systems that are faster, smaller, and more user-friendly, or that incorporate additional features important to our customer base.

To further strengthen our research competency, in fiscal 2007 we acquired Arryx, Inc., a privately held nano-technology Company, for $23.2 million in cash. Haemonetics and Arryx had been collaborating since October 2004 in developing and commercializing proprietary blood separation and processing technologies. Arryx’s technology uses light to form optical traps to move and manipulate small objects. Using laser beams and holograms, the systems can independently and in parallel hold, move, separate, and otherwise manipulate hundreds of microscopic and nanoscopic objects. Arryx’s first product, the BioRyx 200® system, is used to handle cells and other objects in a laboratory environment. The acquisition is a key component of our strategy to strengthen and diversify our internal research initiatives and expand the business into new, adjacent markets.

8




Our expenditures for R&D were $23.9 million for fiscal year 2007 (5.3% of sales), exclusive of the Arryx In-process Research and Development costs (see Footnote #3 Acquisition), $26.5 million for fiscal year 2006 (6.3% of sales) and $20.0 million for fiscal year 2005 (5.2% of sales). All R&D costs are expensed as incurred. We expect to continue to invest resources in R&D.

In fiscal year 2007, R&D resources were allocated to completing work on the Cymbal™, a next generation, surgical blood salvage device, a blood collection software system (eLynx™), and a next generation Donor apheresis platform, as well as several projects to enhance our current product portfolio. We also allocated resources to our Arryx subsidiary for on-going research into nanotechnology applications in the blood processing field.

(vii)   Manufacturing

Our principal manufacturing operations (equipment, disposables, and solutions) are located in Braintree, Massachusetts; Leetsdale, Pennsylvania; Union, South Carolina; and Bothwell, Scotland.

In general, our production activities occur in a controlled setting or “clean room” environment. Each step of the manufacturing and assembly process is quality checked, qualified, and validated. Critical process steps and materials are documented to ensure that every unit is produced consistently and meets performance requirements.

Some component manufacturing is performed by outside contractors according to our specifications. We maintain important relationships with two Japanese manufacturers that provide finished consumables in Singapore, Japan, and Thailand. Certain parts and components are purchased from various single sources. If necessary, we believe that, in most cases, alternative sources of supply could be identified and developed within a relatively short period of time. Nevertheless, an interruption in supply could temporarily interfere with production schedules and affect our operations. All of our equipment and disposable manufacturing sites are certified to the ISO 13485 standard and to the Medical Device Directive allowing placement of the CE mark of conformity.

Each blood processing machine is designed in-house and assembled from components that are either manufactured by us or by others to our specifications. The completed instruments are programmed, calibrated, and tested to ensure compliance with our engineering and quality assurance specifications. Inspection checks are conducted throughout the manufacturing process to verify proper assembly and functionality. When mechanical and electronic components are sourced from outside vendors, those vendors must meet detailed qualification and process control requirements. During fiscal 2007, we manufactured approximately 90% of our equipment. The remainder was manufactured for us by outside contractors.

We have established a Customer Oriented Redesign for Excellence (“CORE”) program, which is based on the tenets of Total Quality of Management (“TQM”) and using Six Sigma Statistic methods. This program’s goals include: 1) improving customer satisfaction through top quality and on-time deliveries, 2) lowering production costs, and 3) optimizing inventories.

9




(vii)   Intellectual Property

We hold patents in the United States and many international jurisdictions on some of our machines, processes, disposables and related technologies. These patents cover certain elements of our systems, including protocols employed in our equipment and certain aspects of our processing chambers and disposables. Our patents may cover current products, products in markets we plan to enter, or products in markets we plan to license, or the patents may be defensive in that they are directed to technologies not yet embodied in our current products. We also license patent rights from third parties that cover technologies that we use or plan to use in our business. We consider our patent rights to be important to our business. To maintain our competitive position, we rely on the technical expertise and know-how of our personnel and on our patent rights. We pursue an active and formal program of invention disclosure and patent application in both the United States and international jurisdictions. We own various trademarks that have been registered in the United States and certain other countries.

Our policy is to obtain patent and trademark rights in the U.S. and foreign countries where such rights are available and we believe it is commercially advantageous to do so. However, the standards for international protection of intellectual property vary widely. We cannot assure that pending patent and trademark applications will result in issued patents and trademarks, that patents issued to or licensed by us will not be challenged or circumvented by competitors, or that our patents will not be found to be invalid.

(viii)   Competition

We created our technologies and have established a record of innovation and market leadership in each of the areas in which we compete. Although we compete directly with others, no one company competes with us across our full line of products.

To remain competitive, we must continue to develop and acquire cost-effective new products, technologies and services. We believe that our ability to maintain a competitive advantage will continue to depend on a combination of factors, including factors within our control (reputation, regulatory approvals, patents, unpatented proprietary know-how in several technological areas, product quality, safety and cost effectiveness and continual and rigorous documentation of clinical performance) as well as factors outside of our control (regulatory standards, medical standards and the practice of medicine).

In the automated plasma collection markets, we compete with Fenwal, Inc. on the basis of quality, ease of use, services and technical features of systems, and on the long-term cost-effectiveness of equipment and disposables. (Fenwal, Inc. is an independent Company founded in March 2007 when Texas Pacific Group and Maverick Capital, Ltd. acquired the Transfusion Therapies division of Baxter Healthcare Group.) Baxter had previously pursued a strategy of developing plasma collection sites and acquiring collection centers, which altered the competitive landscape and affected our past sales. In October 2003, Baxter acquired our largest U.S. plasma customer, Alpha Therapeutic Corporation (“Alpha”). Upon Baxter’s announcement of its acquisition of Alpha’s business, Baxter closed 38 of 41 of the former Alpha centers and sold the remaining three centers. These center closures significantly and negatively affected our plasma sales in fiscal 2005. (See Legal Proceedings section for more information.)

In the automated platelet collection business, competition is based on continual performance improvement, as measured by the time and efficiency of platelet collection and the quality of the platelets collected. Our product quality is exceptional, as evidenced by approximately 70% market share in Japan, where quality is the leading purchasing consideration. Our major competitors in automated platelet collection are Gambro BCT and Fenwal (formerly Baxter’s Transfusion Therapies division). Each of these companies has taken a different technological approach in designing their systems for automated platelet collection. In the platelet collection market, we also compete with whole blood collections from which pooled platelets are derived.

10




In the cell processing market, competition is based on level of automation, labor-intensiveness, and system type (open versus closed). Open systems may be weaker in GMP compliance. Moreover, blood processed through open systems has a 24 hour shelf life. We have an open system cell processor as well as a closed system cell processor’ which gives blood processed through it a 14 day shelf life. We compete with Gambro BCT’s open systems.

Our automated red cell collection systems were pioneered in the late 1990s. We preceded one competitor, Gambro BCT, to market by two years, and the other competitor, Fenwal (formerly Baxter’s Transfusion Therapies division), to market by six years. However, it is important to note that less than 1% of the forty million red cells collected worldwide and only about 9% of the fifteen million red cells collected in the U.S. annually are collected via automation today by these three companies combined. So, we more often compete with traditional (manual/whole blood) methods of deriving red cells by collecting and separating a pint of whole blood on the basis of total cost, process control, product quality, and inventory management.

In the high blood loss surgical blood salvage market, competition is based on reliability, ease of use, service, support, and price. Each manufacturer’s technology is similar, and we compete principally with Medtronic, Fresenius, and Sorin Biomedica. Our newly introduced cardioPAT system is the only washed surgical blood salvage device that is available when blood loss continues post operatively.

In the orthopedic surgical blood salvage market we compete against non-automated processing systems whose end product is an unwashed red blood cell unit for transfusion to the patient. The OrthoPAT system is the only system that washes the blood and is designed specifically for use in orthopedic surgeries where a patient often bleeds more slowly, bleeds less, and bleeds well after surgery.

Our technical staff is highly skilled, but many competitors have substantially greater financial resources and larger technical staffs at their disposal. There can be no assurance that competitors will not direct substantial efforts and resources toward the development and marketing of products competitive with those of Haemonetics.

(ix)   Seasonality

Net revenues have historically been higher in the second half of our fiscal year, reflecting principally the seasonal buying patterns of our customers. This has proven true in four of our last five fiscal years with the exception of fiscal year 2003 where the second half of our fiscal year had slightly lower revenues due principally to market conditions in plasma.

(x)   Government Regulation

The products we manufacture and market are subject to regulation by the Center of Biologics Evaluation and Research (“CBER”) and the Center of Devices and Radiological Health (“CDRH”) of the United States Food and Drug Administration (“FDA”), and other non-United States regulatory bodies.

All medical devices introduced to the United States market since 1976 are required by the FDA, as a condition of marketing, to secure either a 510(k) pre-market notification clearance or an approved Pre-market Approval Application (“PMA”). In the United States, software used to automate blood center operations and blood collections and to track those components through the system are considered by FDA to be medical devices, subject to 510(k) pre-market notification. Intravenous (“IV”) solutions marketed by us for use with our automated systems (blood anticoagulants and solutions for storage of red blood cells) require us to obtain from CBER an approved New Drug Application (“NDA”) or Abbreviated New Drug Application (“ANDA”). A 510(k) pre-market clearance indicates FDA’s agreement with an applicant’s determination that the product for which clearance is sought is substantially equivalent to another legally marketed medical device. The process of obtaining a 510(k) clearance may take up to 24 months and involves the submission of clinical data and supporting information. The process of

11




obtaining NDA approval for solutions is likely to take much longer than 510(k) approvals because the FDA review process is more complicated.

We maintain customer complaint files, record all lot numbers of disposable products, and conduct periodic audits to assure compliance with FDA regulations. We place special emphasis on customer training and advise all customers that blood processing procedures should be undertaken only by qualified personnel.

We are also subject to regulation in the countries outside the United States in which we market our products. Many of the regulations applicable to our products in such countries are similar to those of the FDA. However, the national health or social security organizations of certain countries require our products to be registered by those countries before they can be marketed in those countries. We have complied with these regulations and have obtained such registrations.

Federal, state and foreign regulations regarding the manufacture and sale of products such as ours are subject to change. We cannot predict what impact, if any, such changes might have on our business.

(xi)   Environmental Matters

We do not anticipate that compliance with international, federal and local environmental protection laws presently in effect will have a material adverse impact upon our business or will require any material capital expenditures. We continue to monitor changes in US and International environmental regulations that may have a significant impact on the business. Action plans are developed to mitigate identified risks.

(xii)   Employees

As of March 31, 2007, we employed the full-time equivalent of 1,826 persons assigned to the following functional areas: manufacturing, 932; sales and marketing, 245; general and administrative, 361; research and development, 83; and quality control and field service, 205. We consider our employee relations to be satisfactory.

(xiii)   Availability of Reports and Other Information

All of our corporate governance materials, including the Principles of Corporate Governance, the Business Conduct Policy and the charters of the Audit, Compensation, and Nominating and Governance Committees are published on the Investor Relations section of our website at http://www.haemonetics.com/site/content/investor/corp_gov.asp. Such information is also available in print to any shareholder who requests it. All requests should be directed to our Company’s Secretary. On this web site the public can also access, free of charge, our annual, quarterly and current reports and other documents filed or furnished to the Securities and Exchange Commission as soon as reasonably practicable after we electronically file such material with, or furnish it to, the SEC.

(D) Financial Information about Foreign and Domestic Operations and Export Sales

The financial information required by this item is included herein in Note 16 of the financial statements, entitled Segment, Geographic and Customer Information. Sales to the Japanese Red Cross accounted for 15.8% of net revenues in fiscal year 2007. No other customer accounted for more than 10% of our net revenues. For more information concerning significant customers, see subheading of Note 2 of the financial statements, entitled, Concentration of Credit Risk and Significant Customers.

Cautionary Statement

Statements contained in this report, as well as oral statements we make which are prefaced with the words “may,” “will,” “expect,” “anticipate,” “continue,” “estimate,” “project,” “intend,” “designed,” and similar expressions, are intended to identify forward looking statements regarding events, conditions, and

12




financial trends that may affect our future plans of operations, business strategy, results of operations, and financial position. These statements are based on our current expectations and estimates as to prospective events and circumstances about which we can give no firm assurance. Further, any forward-looking statement speaks only as of the date on which such statement is made, and we undertake no obligation to update any forward-looking statement to reflect events or circumstances after the date on which such statement is made. As it is not possible to predict every new factor that may emerge, forward-looking statements should not be relied upon as a prediction of our actual future financial condition or results. These forward-looking statements, like any forward-looking statements, involve risks and uncertainties that could cause actual results to differ materially from those projected or anticipated. Such risks and uncertainties include technological advances in the medical field and our standards for transfusion medicine and our ability to successfully implement products that incorporate such advances and standards, product demand and market acceptance of our products, regulatory uncertainties, the effect of economic and political conditions, the impact of competitive products and pricing, the impact of industry consolidation, foreign currency exchange rates, changes in customers’ ordering patterns, the effect of industry consolidation as seen in the Plasma market, the effect of communicable diseases and the effect of uncertainties in markets outside the US (including Europe and Asia) in which we operate. The foregoing list should not be construed as exhaustive.

Item 1A.                    Risk Factors

Set forth below are the risks that we believe are material to our investors. This section contains forward-looking statements. You should refer to the explanation of the qualifications and limitations on forward-looking statements beginning on page 44.

Our inability to successfully expand the business, through internal research and development, marketing partnerships and acquisitions, could have a material adverse effect on our business.   Promising partnerships and acquisitions may not be completed for reasons such as competition among prospective partners or buyers, our inability to reach satisfactory terms, or the need for regulatory approvals. Any acquisition that we complete may be dilutive to earnings and require that we invest significant resources. We may not be able to integrate any acquired businesses successfully into our existing business, make such businesses profitable, or realize anticipated market growth or cost savings.

If we are unable to successfully keep pace with technological advances in the medical field and the standards for transfusion medicine, our business, financial condition and results of operation could be adversely affected.   The success of our products will depend upon our ability to anticipate and meet the needs of the medical field, particularly those who practice transfusion medicine. Additionally, we must be able to manufacture the products in a cost effective manner, with high quality and obtain permission to market and sell the products from various regulatory authorities.

As a medical device manufacturer we are subject to a number of existing laws and regulations, non-compliance with those laws or regulations could adversely affect our financial condition and results of operations.   The manufacture, distribution and marketing of our products are subject to regulation by the FDA and other non-United States regulatory bodies. Some regulatory authorities outside the United States may have a bias in favor of locally produced goods that could delay or prevent our achieving regulatory approval to market our products in such geographies. We must obtain specific regulatory clearance prior to selling any new product or service, and our operations are also subject to continuous review and monitoring by the FDA and other regulatory authorities. The process of obtaining approval to market and distribute our products is costly and time-consuming. Export of US technology or goods manufactured in the United States to some jurisdictions requires special US export authorization that may be influenced by factors, including political dynamics, outside our control. Changes in privacy regulations and other developments in human subjects’ clinical trials could make it more difficult and more expensive to conduct clinical trials necessary for product approval. Regulations about the use of certain materials in

13




the manufacture of health care products could also require us to identify alternate material(s), which may be at higher costs. The number of eligible blood donors is influenced by government regulations (including travel restrictions, health history, etc.) and other economic and sociological factors. Changes in donation related regulations could have significant immediate effects on the population of eligible donors.

We are subject to various actions by government authorities that regulate medical devices including: product recalls, orders to cease manufacturing or distribution activities, and other sanctions or penalties.   Compliance with these regulations is costly and additional regulation could adversely affect our results of operations. Our customers are also subject to these regulations. Our customers’ compliance with applicable regulations could also affect our results of operations.

Many of our competitors have significantly greater financial and other resources. Their greater financial resources may allow them to more rapidly develop new technologies, and more quickly address changes in customer requirements.   Although no one company competes with us across our full line of products, we face competition in each of our product lines. Our ability to remain competitive depends on a combination of factors, including those within our control (reputation, regulatory approvals, patents, unpatented proprietary know-how in several technological areas, product quality, safety, cost effectiveness and continued rigorous documentation of clinical performance) as well as factors outside of our control (regulatory standards, medical standards and the practice of medicine). Also, sales of unauthorized copies of our products by local competitors in China could affect the demand and price paid for our products.

As a multinational corporation, we are exposed to fluctuations in currency exchange rates, which could adversely affect our cash flows and results of operations.   International revenues account for a substantial portion of our revenues, and we intend to continue expanding our presence in international markets. In 2007, our international revenues accounted for approximately 57% of our total revenues. The exposure to fluctuations in currency exchange rates takes different forms. Reported revenues for sales made in foreign currencies by our international businesses, when translated into U.S. dollars for financial reporting purposes, fluctuate due to exchange rate movement. Fluctuations in exchange rates could adversely affect our profitability in U.S. dollars of products and services sold by us into international markets, where payment for our products and services is made in local currencies.

The Japan Red Cross (JRC) is a significant customer that represented 15.6% of our revenues in FY07. Because of the size of this relationship we could experience a significant reduction in revenue if the JRC decided to significantly reduce its purchases from us for any reason including a desire to rebalance its purchases between vendors or to source more products through a local, Japan Company, or if we are unable to obtain and maintain necessary regulatory approvals in Japan. We also have a concentration of credit risk due to our outstanding accounts receivable balances with the JRC.

We are subject to the risks of international economic and political conditions.   Our international operations are subject to risks which are inherent in conducting business overseas and under foreign laws, regulations and customs. These risks include possible nationalization, expropriation, importation limitations, violations of U.S. or local laws, pricing restrictions, and other restrictive governmental actions. Any significant changes in the competitive, political, legal, regulatory, reimbursement or economic environment where we conduct international operations may have a material impact on our business, financial condition or results of operations.

14




We are subject to the risks associated with communicable diseases. A significant outbreak of a disease could reduce the demand for our products and affect our ability to provide our customers with products and services.   An eligible donor’s willingness to donate is affected by concerns about their personal health and safety. Concerns about communicable diseases (such as HIV, SARS or pandemic bird flu) could reduce the number of donors, and accordingly reduce the demand for our products for a period of time. A significant outbreak of a disease could also affect our employees’ ability to work, which could limit our ability to produce product and service our customers.

We sell our products in certain emerging economies.   Emerging economies have less mature product regulatory systems, and can have more volatile financial markets. Our ability to sell products in these economies is dependent upon our ability to hire qualified employees or agents to represent our products locally, and our ability to obtain the necessary regulatory approvals in a less mature regulatory environment. If we are unable to retain qualified representatives or maintain the necessary regulatory approvals, we will not be able to continue to sell products in these markets. We are exposed a higher degree of financial risk, if we extend credit to customers in these economies.

In many of the international markets in which we do business, including certain parts of Europe, Russia and Asia, our employees, agents or distributors offer to sell our products in response to public tendersissued by various governmental agencies.   Selling our products through agents or distributors, particularly in public tenders, can expose the Company to a higher degree of risk. Our agents and distributors are third parties who we retain to work in developing markets. We retain these agents or distributors after completing due diligence on their capabilities and background. However, agents and distributors are independent third parties. If they misrepresent our products, do not provide appropriate service and delivery, or commit a violation of local or US law, our reputation could be harmed, and we could be subject to fines, sanctions or both.

Item 1B.               Unresolved Staff Comments

None

Item 2.                        Properties

Our main facility is located on 14 acres in Braintree, Massachusetts. This facility is located in a light industrial park and was constructed in the 1970s. The building is approximately 180,000 square feet, of which 70,000 square feet are devoted to manufacturing and quality control operations, 35,000 square feet to warehousing, 72,000 square feet for administrative and research and development activities and 3,000 square feet available for expansion. See Note 7 to the financial statements for details of our mortgage on the Braintree facility.

On property adjacent to the Braintree facility the Company leases 43,708 square feet of additional office space. This facility is used for sales, marketing, finance and other administrative services. Annual lease expense for this facility is $583,289.

The Company leases an 81,850 square foot facility in Leetsdale, Pennsylvania. This facility is used for warehousing, distribution and manufacturing operations. Annual lease expense is $335,828 for this facility.

The Company owns a facility in Bothwell, Scotland used to manufacture disposable components for European customers. The original facility is approximately 22,200 square feet. An addition of 18,000 square feet was added in early FY06. This expansion provided additional office space and 10,000 square feet of warehouse replacing space previously leased for this purpose.

The Company owns a facility in Union, South Carolina. This facility is used for manufacture of sterile solutions to support our blood bank (component therapy) and plasma businesses. Additionally, this facility is engaged in contract manufacturing of other sterile solutions for veterinary and pharmaceutical customers. The facility is approximately 69,300 square feet.

15




The Company also leases a 61,000 square foot facility in Avon, Massachusetts. This facility is used for warehousing and distribution of products. Annual lease expense for this facility is $405,585.

Fifth Dimension Information Systems Inc., which develops and markets software for the blood bank and plasma business, leases 21,780 square feet of office space in Edmonton, Alberta, Canada. Annual lease expense is $180,474.

Information Data Management, which develops and markets software for blood bank and plasma business, leases 17,624 square feet of office space in Rosemont, Illinois. Annual lease expense is $413,182.

Arryx Inc., which performs research for the Company, leases 7,984 square feet of office and laboratory space in Chicago, Illinois. Annual lease expense is $125,043.

The Company also leases sales, service, and distribution facilities in Japan, Europe (Austria, Belgium, Czech Republic, France, Germany, Italy, Sweden, Switzerland, the Netherlands, and United Kingdom) China, Hong Kong and Taiwan to support our international business.

Item 3.                        Legal Proceedings

We are presently engaged in various legal actions, and although our ultimate liability cannot be determined at the present time, we believe that any such liability will not materially affect our consolidated financial position or our results of operations.

Our products are relied upon by medical personnel in connection with the treatment of patients and the collection of blood from donors. In the event that patients or donors sustain injury or death in connection with their condition or treatment, we, along with others, may be sued, and whether or not we are ultimately determined to be liable, we may incur significant legal expenses. In addition, such litigation could damage our reputation and, therefore, impair our ability to market our products or to obtain professional or product liability insurance or cause the premiums for such insurances to increase. We carry product liability coverage. While we believe that the aggregate current coverage is sufficient, there can be no assurance that such coverage will be adequate to cover liabilities which may be incurred. Moreover, we may in the future be unable to obtain product and professional liability coverage in amounts and on terms that we find acceptable, if at all.

In order to aggressively protect our intellectual property throughout the world, we have a program of patent disclosures and filings in markets where we conduct significant business. While we believe this program is reasonable and adequate, the risk of loss is inherent in litigation as different legal systems offer different levels of protection to intellectual property, and it is still possible that even patented technologies may not be protected absolutely from infringement.

In December 2005, we filed a claim for binding arbitration against Baxter, seeking damages as well as an arbitrator’s determination of the rights and obligations of Baxter and Haemonetics, under the Technology Development Agreement between them dated December 2001 concerning platelet pathogen inactivation. Our arbitration claim arose out of Baxter’s decision to exit the pathogen inactivation market. On, January 29, 2007, the eve of the scheduled arbitration, the parties settled the claim for a six million dollar ($6,000,000) payment by Baxter to Haemonetics and termination of the Technology Development Agreement and Requirements Contract between the Company and the Baxter parties.

In December 2005, we filed a lawsuit against Baxter in the federal district court of Massachusetts, in Boston, seeking an injunction and damages on account of Baxter’s infringement of a Haemonetics’ patent, through the sale of Baxter’s Alyx brand automated red cell collection system which competes with Haemonetics’ automated red cell collection systems. Discovery has begun. The trial is scheduled for July 2008. In March, 2007 Baxter sold the Transfusion Technologies Division which markets the Alyx

16




product to private investors, Texas Pacific Group and Maverick Capital, Ltd. The new Company which resulted from the sale is renamed Fenwal. Fenwal joined Baxter as a defendant in the case.

In January, 2007, a reseller of the Company’s products in Portugal brought suit against Haemonetics SA in Portugal, alleging improper termination of a distribution relationship, and seeking damages. Haemonetics intends to defend vigorously the lawsuit. It is early in the litigation process.

Item 4.                        Submission of Matters to a Vote of Security Holders

Not applicable.

Executive Officers of the Registrant

The information concerning our Executive Officers is as follows. Executive officers are elected by and serve at the discretion of our Board of Directors.

PETER ALLEN joined our Company in 2003 as President, Donor Division. Prior to joining Haemonetics, Mr. Allen was Vice President of The Aethena Group, a private equity firm providing services to the global healthcare industry. From 1998 to 2001, he held various positions including Vice President of Sales and the Oncology Business at Syncor International, a provider of radiopharmaceutical and comprehensive medical imaging services. Previously, he held executive level positions in sales, marketing and operations in DataMedic, Inc., Enterprise Systems, Inc./HBOC, and Robertson Lowstuter, Inc. Mr. Allen has also worked in sales at American Hospital Supply Corporation and Baxter International, Inc.

BRIAN CONCANNON joined our Company in 2003 as President, Patient Division. In April 2006, Brian was promoted to President, Global Markets, overseeing the Company’s global entities. Prior to joining Haemonetics, Mr. Concannon was President, Northeast Region, Cardinal Health Medical Products and Services. From 1996 to 1999, he was with Allegiance Healthcare, most recently holding the position of Vice President, Distribution Sales and Operations. Mr. Concannon has also held various sales and marketing positions at American Hospital Supply Corporation and Baxter Healthcare Corporation.

REMI CORLIN joined our Company in 1998 as Finance Director for Europe & Asia and was promoted in 2000 to Vice President and General Manager Benelux, Switzerland and Distributors area. In 2003 he took responsibility for marketing and business development for Europe and Latin America, and concurrently assumed worldwide marketing responsibility for the Donor Division. Mr. Corlin was promoted to President Asia Pacific in 2005. Prior to joining Haemonetics, Mr. Corlin worked in consulting in the U.K., and in France and Switzerland with Apple Computer and Silicon Graphics in finance responsibilities.

ROBERT EBBELING joined our Company in 1987 as Manager of Injection Molding. Throughout his career at our Company, Mr. Ebbeling has held various management and executive positions in manufacturing and operations. In 1996, he was appointed to Senior Vice President, Manufacturing. In February 2003, Mr. Ebbeling was promoted to Executive Vice President, Manufacturing, and then in August 2003, he was promoted to Vice President, Operations. In May 2006, Mr. Ebbeling added the management of R&D to his VP Operations role. Prior to joining Haemonetics, Mr. Ebbeling was Vice President, Manufacturing, for Data Packaging Corporation.

TOM LAWLOR rejoined our Company in 2006 as President, Patient Division. Prior to rejoining Haemonetics, Mr. Lawlor was Chief Operating Officer for Seracare Life Sciences. Previously, Mr. Lawlor’s career at Haemonetics spanned eighteen years with senior management positions in sales, including responsibility for U.S. Blood Bank, U.S. Field Service Operations, U.S. Surgical, and U.S. Plasma. Mr. Lawlor’s sales leadership is complemented with experience in customer service and manufacturing where he held positions of Director of Manufacturing and North America Field Service Manager.

17




CHRISTOPHER LINDOP joined our Company in January of 2007 as Vice President and Chief Financial Officer. Prior to joining Haemonetics, Mr. Lindop was Chief Financial Officer at Inverness Medical Innovations, a rapidly growing global developer of advanced consumer and professional diagnostic products from 2003 to 2006. Prior to this, he was Partner in the Boston offices of Ernst & Young LLP and Arthur Andersen LLP and was engagement partner to the Haemonetics account at both firms. Mr. Lindop has no continuing relationship with Ernst & Young that would preclude its continued service as our independent auditor. Additionally, there was a sufficient interval between Mr. Lindop’s work for the Company as our engagement partner and his appointment as CFO, to meet all applicable SEC rules and regulations.

ALICIA R. LOPEZ joined our Company in 1988 as General Counsel and Director of Human Resources. Throughout her career at Haemonetics, Ms. Lopez has held various executive positions with responsibilities over legal, human resources, administration, regulatory affairs, investor relations and external affairs. Since 1990, she has served as Secretary to the Board of Directors. In 2000, Ms. Lopez was appointed Senior Vice President. In 2003, Ms. Lopez was named Vice President and General Counsel and in 2004 she was promoted to General Counsel and Vice President of Administration. Prior to joining Haemonetics, Ms. Lopez was employed by the law firm of Sullivan & Worcester, counsel at the time to Haemonetics.

BRAD NUTTER joined our Company in 2003 as Board Member, President and Chief Executive Officer. Prior to joining Haemonetics, Mr. Nutter was President and Chief Executive Officer of Gambro Healthcare, an international dialysis provider, a division of Gambro AB. From 1997 to 2000, he was Executive Vice President and Chief Operating Officer of Syncor International, an international provider of radiopharmaceuticals and medical imaging. Previously, Mr. Nutter held senior level positions at American Hospital Supply Corporation and Baxter International, Inc.

DR. MARK POPOVSKY joined our Company in 2000 as Senior Vice President and Corporate Medical Director. Prior to joining Haemonetics, Dr. Popovsky served in the capacity of Chief Medical Officer & Chief Executive Officer at the American Red Cross—New England Region for 15 years. He is currently an Associate Professor of Pathology at Harvard Medical School and Beth Israel Deaconess Medical Center in Boston. Dr. Popovsky received his transfusion medicine training at the National Institutes of Health and Mayo Clinic. At Mayo Clinic he was the Director of Transfusion & Intravenous Services for three years. He serves on seven editorial boards and is the author of more than 300 peer-reviewed publications in transfusion medicine.

JOSEPH FORISH joined our Company in 2005 as Vice President, Human Resources. Prior to joining Haemonetics, Mr. Forish held various global human resources leadership roles, including Vice President, Corporate Human Resources for Rohm and Haas Company, an $8 billion specialty materials company. Prior to that, Mr. Forish was Vice President, Human Resources for the ConvaTec Division of Bristol-Myers Squibb Company.

RYOJI SAKAI joined our Company in 1994 as Manager of the Osaka Sales Branch Office for Haemonetics Japan and in 1998 took responsibility for Business Development in our corporate headquarters. Mr. Sakai was promoted in 1999 to Vice President, Business Design and Administration for Haemonetics Japan. In 2001 Mr. Sakai was promoted to President of Haemonetics Japan. Prior to joining Haemonetics, Mr. Sakai held various positions at Kuraray Co., Ltd.

WILLIAM STILL joined our Company in 2004 as Vice President of Strategic Marketing and Business Development. In 2006, Mr. Still was promoted to General Manager, Haemonetics Therapeutics Business. Prior to joining Haemonetics, Mr. Still was Senior Director, Business Development for Advanced Respiratory Inc. From 1996 to 2001, he was with St. Jude Medical, most recently holding the position of Senior Associate, Business Development. Mr. Still has also held the position of Finance Manager for St. Jude’s Cardiac Surgery Group.

18




PART II

Item 5.                        Market for the Registrant’s Common Equity, Related Stockholder Matters and Issuer Purchases of Equity Securities

Our common stock is listed on the New York Stock Exchange under symbol HAE. The following table sets forth for the periods indicated the high and low sales prices of such common stock, which represent actual transactions as reported by the New York Stock Exchange.

 

 

First
Quarter

 

Second
Quarter

 

Third
Quarter

 

Fourth 
Quarter

 

Fiscal year ended March 31, 2007:

 

 

 

 

 

 

 

 

 

 

 

 

 

 

 

 

 

Market price of Common Stock:

 

 

 

 

 

 

 

 

 

 

 

 

 

 

 

 

 

High

 

 

$

55.69

 

 

 

$

48.26

 

 

 

$

49.21

 

 

 

$

50.25

 

 

Low

 

 

$

42.92

 

 

 

$

40.66

 

 

 

$

43.48

 

 

 

$

43.13

 

 

Fiscal year ended April 1, 2006:

 

 

 

 

 

 

 

 

 

 

 

 

 

 

 

 

 

Market price of Common Stock:

 

 

 

 

 

 

 

 

 

 

 

 

 

 

 

 

 

High

 

 

$

43.97

 

 

 

$

48.58

 

 

 

$

52.79

 

 

 

$

53.62

 

 

Low

 

 

$

36.15

 

 

 

$

38.58

 

 

 

$

44.36

 

 

 

$

44.21

 

 

 

There were approximately 460 holders of record of the Company’s common stock as of April 30, 2007. The Company has never paid cash dividends on shares of its common stock and does not expect to pay cash dividends in the foreseeable future.

19




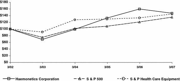
The graph below matches Haemonetics Corporation’s cumulative 5-year total shareholder return on common stock with the cumulative total returns of the S & P 500 index and the S & P Health Care Equipment index. The graph tracks the performance of a $100 investment in our common stock and in each of the indexes (with the reinvestment of all dividends) from 3/31/2002 to 3/31/2007.

COMPARISON OF 5 YEAR CUMULATIVE TOTAL RETURN*

Among Haemonetics Corporation, The S & P 500 Index
And The S & P Health Care Equipment Index

GRAPHIC

*                    $100 invested on 3/31/02 in stock or index-including reinvestment of dividends. Fiscal year ending March 31.

Copyright © 2007, Standard & Poor’s, a division of The McGraw-Hill Companies, Inc. All rights reserved. www.researchdatagroup.com/S&P.htm

 

 

3/02

 

3/03

 

3/04

 

3/05

 

3/06

 

3/07

 

Haemonetics Corporation

 

100.00

 

68.84

 

99.09

 

132.83

 

159.96

 

147.29

 

S & P 500

 

100.00

 

75.24

 

101.66

 

108.47

 

121.19

 

135.52

 

S & P Health Care Equipment

 

100.00

 

91.29

 

127.85

 

129.87

 

133.52

 

145.01

 

 

The stock price performance included in this graph is not necessarily indicative of future price performance.

20




Item 6.                        Selected Consolidated Financial Data

Haemonetics Corporation and Subsidiaries Five-Year Review
(in thousands, except share and employee data)

 

 

2007

 

2006(a)

 

2005(a)

 

2004

 

2003

 

Summary of Operations

 

 

 

 

 

 

 

 

 

 

 

Net revenues

 

$

449,607

 

$

419,733

 

$

383,598

 

$

364,229

 

$

336,956

 

Cost of goods sold

 

$

222,307

 

$

199,198

 

$

185,722

 

$

190,693

 

$

182,260

 

Gross profit

 

$

227,300

 

$

220,535

 

$

197,876

 

$

173,536

 

$

154,696

 

Operating expenses:

 

 

 

 

 

 

 

 

 

 

 

Research and development

 

$

23,884

 

$

26,516

 

$

19,994

 

$

17,398

 

$

19,512

 

Selling, general and administrative

 

$

137,073

 

$

121,351

 

$

118,039

 

$

108,845

 

$

97,705

 

Cost to Equity

 

$

225

 

$

680

 

$

406

 

 

 

In process research and development

 

$

9,073

 

 

 

 

 

Arbitration& Settlement Income

 

$

(5,700

)

$

(26,350

)

 

 

 

Total operating expenses

 

$

164,555

 

$

122,197

 

$

138,439

 

$

126,243

 

$

117,217

 

Operating income

 

$

62,745

 

$

98,338

 

$

59,437

 

$

47,293

 

$

37,479

 

Other income (expense), net

 

$

9,591

 

$

7,864

 

$

(2

)

$

(1,481

)

$

1,128

 

Income before provision for income taxes

 

$

72,336

 

$

106,202

 

$

59,435

 

$

45,812

 

$

38,607

 

Provision for income taxes

 

$

23,227

 

$

37,806

 

$

20,202

 

$

16,492

 

$

10,228

 

Net income

 

$

49,109

 

$

68,396

 

$

39,233

 

$

29,320

 

$

28,379

 

Income per share:

 

 

 

 

 

 

 

 

 

 

 

Basic

 

$

1.84

 

$

2.58

 

$

1.54

 

$

1.20

 

$

1.15

 

Diluted

 

$

1.78

 

$

2.49

 

$

1.50

 

$

1.19

 

$

1.13

 

Weighted average number of shares

 

26,745

 

26,478

 

25,523

 

24,435

 

24,591

 

Common stock equivalents

 

903

 

996

 

622

 

260

 

457

 

Weighted average number of common and common equivalent shares

 

27,648

 

27,474

 

26,145

 

24,695

 

25,048

 


(a)          Reflects the adjustment to convert our investment in Arryx, Inc. to the equity method for periods prior to the acquisition. See Footnote #3

21




 

 

 

2007

 

2006

 

2005

 

2004

 

2003

 

Financial and Statistical Data:

 

 

 

 

 

 

 

 

 

 

 

Working capital

 

$

321,654

 

$

330,288

 

$

255,689

 

$

185,606

 

$

122,880

 

Current ratio

 

4.9

 

4.7

 

3.9

 

2.9

 

2.2

 

Property, plant and equipment, net

 

$

90,775

 

$

75,266

 

$

69,337

 

$

78,030

 

$

83,987

 

Capital expenditures

 

$

40,438

 

$

33,774

 

$

17,530

 

$

13,862

 

$

16,715

 

Depreciation and amortization

 

$

27,504

 

$

25,150

 

$

27,756

 

$

30,149

 

$

28,431

 

Total assets

 

$

572,735

 

$

545,457

 

$

467,757

 

$

407,394

 

$

359,485

 

Total debt

 

$

28,876

 

$

39,153

 

$

45,843

 

$

58,260

 

$

70,617

 

Stockholders’ equity

 

$

479,648

 

$

440,564

 

$

355,135

 

$

279,749

 

$

223,237

 

Return on average equity

 

10.67

%

17.19

%

12.50

%

11.70

%

12.30

%

Debt as a % of stockholders’ equity

 

6.02

%

8.89

%

12.90

%

20.80

%

31.60

%

Employees

 

1,826

 

1,661

 

1,546

 

1,438

 

1,497

 

Net revenues per employee

 

$

246

 

$

254

 

$

248

 

$

253

 

$

225

 

 

Item 7.                        Management’s Discussion and Analysis of Financial Condition and Results of Operations

(A) Our Business

We design, manufacture and market automated systems for the collection, processing and surgical salvage of donor and patient blood, including the single-use disposables used with our systems and related information services and data management software. Our systems allow users to collect and process only the blood component(s) they target, plasma, platelets, or red blood cells, increasing donor and patient safety as well as collection efficiencies. Our systems consist of proprietary disposable sets that operate on our specialized equipment. Our data management systems are used by blood collectors to improve the safety and efficiency of blood collection logistics by eliminating previously manual functions at commercial plasma and not-for-profit blood banks.

We either sell our devices to customers (resulting in equipment revenue) or place our devices with customers subject to certain conditions. When the device remains our property, the customer has the right to use it for a period of time as long as the customer meets certain conditions we have established, which among other things, generally include one or more of the following:

·       Purchase and consumption of a minimum level of disposable products

·       Payment of monthly rental fees

·       An asset utilization performance metric, such as performing a minimum level of procedures per month per device.

Our disposable revenue stream (including sales of disposables and fees for the use of our equipment) accounted for approximately 88% of our total revenues for fiscal year 2007, 87% of our total revenues for fiscal year 2006 and 89% for fiscal year 2005.

(B) Product Families

Our donor products include systems to collect plasma, platelets and red cells from blood donors. We market our donor products primarily to blood collectors which include both for-profit plasma collectors and not-for-profit blood banks.

22




Our patient products include systems to collect (during and after surgery), wash and filter unwanted substances from the blood, preparing it for reinfusion to the surgical patient. We market these patient products to hospitals and hospital service providers.

Software and service revenue includes revenue generated from 5D and IDM software sales as well as revenue from equipment repairs performed under preventive maintenance contracts or emergency service billings, training programs and spare part sales.

Donor Products

Plasma

PCS plasma collection systems—These systems are used by plasma collectors to collect the plasma component of a donor’s whole blood. The plasma is sold to fractionators for processing into therapeutic pharmaceuticals and vaccines. Automated plasma collection is a safe and cost-effective improvement to manual (non-automated) plasma collection which is time-consuming, labor-intensive, produces relatively poor yields, and poses risks to donors. Currently the majority of plasma collections worldwide are automated collections.

Blood Bank

MCS platelet collection system—These systems are used by blood collectors to collect the platelet component of a donor’s whole blood. Platelets are transfused to cancer patients whose platelets have been depleted as a result of chemotherapy. Before the advent of our platelet collections technology, the “pooling” or combination of platelets from 5 to 8 different donors was the only alternative to prepare a single therapeutic dose for transfusion to a patient. Our MCS line of products allows the collection of a sufficient number of platelets from only one donor to produce one or two therapeutic doses.

ACP cell processing systems—These systems are used in freezing, thawing and washing of red cells, which enables blood collectors to better manage their red cell inventories. In a liquid state, red cells must be transfused within 42 days whereas frozen red cells may be stored for up to ten years. Previous generation freezing technology required that red cells be transfused within 24 hours after thawing; our ACP 215 system allows red cells to be transfused for up to 14 days post thaw.

Intravenous solutions—We manufacture intravenous and other solutions for use with our blood processing technology. We also contract manufacturing intravenous solutions for pharmaceutical customers. These solutions include generic drugs and other custom drug products.

Red Cell

MCS and Cymbal red cell collection systems—These systems are used to automate the collection of red cells from blood donors with protocols that allow for the collection of two units of red cells, a unit of red cells and a unit of plasma, or a unit of red cells and a unit of platelets. The systems improve the blood collector’s operational efficiency by increasing the volume of blood components collected per donation event and number of red cells than the traditional (non-automated) collection method and helps blood systems address red cell shortages that commonly plague health care systems. The Cymbal system received CE marking in February 2006 and received FDA clearance in February 2007.

Patient Products

Patient products include machines and single use disposables that perform surgical blood salvage in orthopedic and cardiovascular surgical applications. Patient products include the OrthoPAT®, Cell Saver® and cardioPAT autologous blood recovery systems, and the Smart Suction product family. Cell Saver and cardioPAT technologies are used in cardiovascular surgeries, for other high blood loss surgeries and

23




trauma. The Cell Saver is used inter-operatively while the CardioPAT is used post-operatively. OrthoPAT technology is used for lower, slower blood loss orthopedic procedures, where bleeding takes place during and after surgery. These technologies perform a procedure whereby shed blood is collected, cleansed and made available to be transfused back to the patient. The Smart Suction is an auto-regulating suction system which removes blood and debris from the surgical field. The systems can be used in conjunction with surgical blood salvage or stand-alone.

Financial Summary

 

 

For the years ended

 

% Increase/

 

% Increase/

 

 

 

March 31,

 

April 1,

 

April 2,

 

(Decrease)

 

(Decrease)

 

(in thousands, except per share data)

 

 

 

2007

 

2006 (a)

 

2005 (a)

 

07 vs. 06

 

06 vs. 05

 

Net revenues

 

$

449,607

 

$

419,733

 

$

383,598

 

 

7.1

%

 

 

9.4

%

 

Gross profit

 

$

227,300

 

$

220,535

 

$

197,876

 

 

3.1

%

 

 

11.5

%

 

% of net revenues

 

50.6

%

52.5

%

51.6

%

 

 

 

 

 

 

 

 

Operating income

 

$

62,745

 

$

98,338

 

$

59,437

 

 

(36.2

)%

 

 

65.4

%

 

% of net revenues

 

14.0

%

23.4

%

15.5

%

 

 

 

 

 

 

 

 

Interest expense

 

$

(1,256

)

$

(1,917

)

$

(2,361

)

 

(34.5

)%

 

 

(18.8

)%

 

Interest income

 

$

7,864

 

$

6,963

 

$

2,233

 

 

12.9

%

 

 

> 100

%

 

Other income / (expense), net

 

$

2,983

 

$

2,818

 

$

126

 

 

5.9

%

 

 

> 100

%

 

Income before taxes

 

$

72,336

 

$

106,202

 

$

59,435

 

 

(31.9

)%

 

 

78.7

%

 

Provision for income tax

 

$

23,227

 

$

37,806

 

$

20,202

 

 

(38.6

)%

 

 

87.1

%

 

% of pre-tax income

 

32.1

%

35.6

%

34.0

%

 

 

 

 

 

 

 

 

Net income

 

$

49,109

 

$

68,396

 

$

39,233

 

 

(28.2

)%

 

 

74.3

%

 

% of net revenues

 

10.9

%

16.3

%

10.2

%

 

 

 

 

 

 

 

 


(a)           Reflects the adjustment to convert our investment in Arryx, Inc. to the equity method for periods prior to the acquisition. See Note #3

Net revenues for fiscal year 2007 increased 7.1% over fiscal year 2006. The effects of foreign exchange accounted for a decrease of 0.4% over fiscal year 2006. The remaining increase of 7.5% is mainly due to increases in our disposable and software support revenues. The increase in disposable revenue resulted primarily from disposable unit increases in the U.S. in our plasma, and red cell product lines, and price improvements in the OrthoPat product line. These disposable revenue increases were partly offset by lower unit volume of our bloodbank and plasma product lines in Japan.

Gross profit increased 3.1% over fiscal year 2006. The unfavorable effects of foreign exchange accounted for a decrease of 2.3% over fiscal year 2006. The remaining increase of 5.4% was due primarily to increased sales and to cost reductions, offset partly by changes in product mix.

Operating income decreased 36.2% over fiscal year 2006. Five significant items affect the comparability of operating income as follows:

·                    Arbitration award income of $26.4 million was recorded in the third quarter of fiscal year 2006 following a successful outcome of a legal claim in fiscal 2006 and receipt of the award proceeds in October of 2005. This award represented 26.8% of operating income of fiscal year 2006.

·                    An in process research and development charge of $9.1 million was taken in the second quarter of fiscal year 2007 in connection with the acquisition of Arryx, Inc. This charge reduced operating income by 9.2% compared to the comparable period of fiscal year 2006.

·                    Stock compensation expense of $10.2 million related to the adoption of SFAS 123R(R), “Share-Based Payment”, accounted for a reduction in operating income of 10.4%, in fiscal

24




year 2007. We adopted SFAS 123(R) using the modified prospective transition method, accordingly prior periods results do not include stock compensation expense.

·                    A settlement income award of $6.0M was recorded in the third quarter of fiscal year 2007 following a successful outcome of a legal claim. The $5.7 million settlement, net of legal costs, increased operating income by 5.8% in fiscal year 2007.

·                    Restructuring costs of $3.5 million, principally in our international operations, reduced operating income by 3.6% in fiscal 2007.

Excluding these five items operating income increased by 10.2% in fiscal year 2007 over fiscal year 2006. The unfavorable effects of foreign exchange accounted for a decrease in operating income, excluding the aforementioned five items, of 7.7%. Without the unfavorable effects of foreign exchange and the five items that significantly affect comparability, operating income increased 18.8% over fiscal year 2006. This increase resulted from the gross profit changes described above, and a reduction in research and development expenses associated with an impairment charge of $3.8 million recorded in the third quarter of fiscal 2006.

Net income decreased 28.2% over fiscal year 2006. Net income increased by $4.0 million, or 5.8%, due to the favorable completion of an Internal Revenue Service tax examination. The unfavorable effects of foreign exchange accounted for decreases of 5.2%, over fiscal year 2006. Without the unfavorable effects of foreign exchange and the five items that significantly affect the comparability of operating income, and the tax benefit noted above, net income increased 22.9% over the comparable period of fiscal year 2006. The additional factors that affected net income were the other increases in operating income due to the reasons mentioned above and increased interest income.

Net revenues for fiscal year 2006 increased 9.4% over fiscal year 2005. The favorable effects of foreign exchange contributed 0.5% of the increase with the remaining 9.0% resulting principally from increases in disposable revenues across our plasma and red cell product lines due to unit increases and product mix shifts. Gross profit increased 11.5% over fiscal year 2005. The favorable effects of foreign exchange accounted for a 3.4% increase in gross profit. The remaining 7.9% increase was due primarily to (i) the increase in sales, (ii) cost reductions, and (iii) a decrease in depreciation on our equipment at customer sites offset by a change in the mix of products being sold. Operating income increased 65.4% over fiscal year 2005. The favorable effects of foreign exchange accounted for a 15.1% increase. The remaining increase of 45.9% resulted as gross profit increases and an arbitration award offset partly by increases in operating expenses. An arbitration award received from Baxter on October 13, 2005 increased operating income by $26.4 million. Without the favorable effects of foreign currency and the arbitration award, operating income increased 5.8% over 2005 primarily due to increases in gross profit partly offset by increases in operating expenses. Net income increased 74.3% over fiscal year 2005. The favorable effects of foreign exchange accounted for 14.6% of the increase. The remaining increase of 54.3% was due to the increase in operating income, an increase in other income, net, including interest expense and interest income, partially offset by higher tax expense.

Market Trends

Plasma Market

The continued increase in demand for plasma derived pharmaceuticals, particularly intravenous immunoglobulin (“IVIG”), is a key driver of increased plasma collections in the worldwide commercial plasma collection markets. Various factors related to the supply of plasma and the production of plasma derived pharmaceuticals also affect the demand, including the following:

·                    There has been significant industry consolidation among plasma collectors and fractionators. Industry consolidation impacts us when a collector changes the total number of its collection

25




centers, the total number of collections performed per center or changes the plasma collection system (Haemonetics or competitive technology) used to perform some or all of those collections.

·                    The supply of source plasma also affects demand for additional collections of source plasma. In the U.S. and Europe, the demand for our plasma exceeds supply. In Asia, supply and demand is balanced.

·                    The newer plasma fractionation facilities are more efficient in their production processes, utilizing less plasma to make similar quantities of pharmaceuticals and vaccines.

·                    Reimbursement guidelines affect the demand for end product pharmaceuticals.

At the end of fiscal year 2006, we completed the conversion of all ZLB Plasma Services (“ZLB”) collection sites to Haemonetics collection technology based on the supply agreement signed with ZLB Plasma Services (“ZLB”) in fiscal year 2005 to be its exclusive supplier of plasma collection technology in the United States.

Blood Bank Market

Despite modest increases in the demand for platelets in our major markets, improved collection efficiencies that increase the yield of platelets per collection and more efficient use of collected platelets have resulted in a flat market for disposables.

We continue to sell intravenous solutions that we produce under contract for pharmaceutical companies.

Red Cell Market

Red cell demands, a general shortage of donors, a need for greater operating efficiency, and a stringent regulatory environment continue to drive demand for our red cell products. Our business continues to grow as we gain new customers and expand penetration at existing customer sites. Additionally, sales continue to increase as more customers have migrated to our higher-priced filtered disposable sets which support our customers’ good manufacturing processes by reducing manual processing.

Patient Market

Our Cell Saver brand system is aimed at higher blood loss cardiovascular procedures. This part of the surgical blood salvage market is declining and will probably continue to decline due to improved surgical techniques minimizing blood loss and a decrease in the number of open-heart (bypass) surgeries performed. In 2006 we introduced the cardioPAT system, a surgical blood salvage system targeted at open heart surgeries when there is less blood loss, to meet the market needs created by these improved surgical techniques. The CardioPAT is used post-operatively while patient is in recovery.

The main driver of growth in the Patient market is the lower blood loss orthopedic procedures, including hip and knee replacement surgeries, served by our OrthoPAT system. The orthoPAT is the only system on the market designed to collect a patient’s blood lost during and after surgery. Cell salvage is not a standard of care for US orthopedic procedures. We are positioning this device as an effective alternative to patient pre-donation or non-washed autotransfusion systems.

26




RESULTS OF OPERATIONS

Net Revenues by Geography

 

 

March 31,

 

April 1,

 

April 2,

 

% Increase/
(Decrease)

 

% Increase/
(Decrease)

 

 

 

2007

 

2006

 

2005

 

07 vs. 06

 

06 vs. 05

 

United States

 

$

193,620

 

$

161,679

 

$

131,632

 

 

19.8

%

 

 

22.8

%

 

International

 

255,987

 

258,054

 

251,966

 

 

(0.8

)%

 

 

2.4

%

 

Net revenues

 

$

449,607

 

$

419,733

 

$

383,598

 

 

7.1

%

 

 

9.4

%

 

 

International Operations and the Impact of Foreign Exchange

Our principal operations are in the U.S., Europe, Japan and other parts of Asia. Our products are marketed in more than 50 countries around the world via a direct sales force as well as independent distributors.

Approximately 57%, 61% and 66% of our revenues were generated outside the U.S. during fiscal year 2007, 2006 and 2005, respectively. During fiscal years 2007, 2006 and 2005 revenues from Japan accounted for approximately 20%, 24% and 27% of our total revenues, respectively and revenues from Europe comprised approximately 28%, 29% and 30% of our total revenues, respectively. These sales are primarily conducted in local currencies, specifically the Japanese Yen and the Euro. Accordingly, our results of operations are significantly affected by changes in the value of the Yen and the Euro relative to the U.S. dollar. The unfavorable effects of foreign exchange resulted in a 0.4% decrease in sales. The remaining increase in sales from fiscal year 2006 to 2007 is 7.6%. From fiscal year 2005 to fiscal year 2006, the favorable effects of foreign exchange accounted for 0.5% increase in sales.

Please see section entitled “Foreign Exchange” in management’s discussion for a more complete discussion of how foreign currency affects our business and our strategy to manage this exposure.

By Product Type

 

 

 

 

 

 

 

 

% Increase/

 

% Increase/

 

 

 

March 31,

 

April 1,

 

April 2,

 

(Decrease)

 

(Decrease)

 

 

 

2007

 

2006

 

2005

 

07 vs. 06

 

06 vs. 05

 

Disposables

 

$

393,660

 

$

367,094

 

$

342,730

 

 

7.2

%

 

 

7.1

%

 

Software & Service

 

33,718

 

26,880

 

20,173

 

 

25.4

%

 

 

33.2

%

 

Equipment

 

22,229

 

25,759

 

20,695

 

 

(13.7

)%

 

 

24.5

%

 

Net revenues

 

$

449,607

 

$

419,733

 

$

383,598

 

 

7.1

%

 

 

9.4

%

 

 

Disposables Revenue by Product Line

 

 

 

 

 

 

 

 

% Increase/

 

% Increase/

 

 

 

March 31,

 

April 1,

 

April 2,

 

(Decrease)

 

(Decrease)

 

 

 

2007

 

2006

 

2005

 

07 vs. 06

 

06 vs. 05

 

Donor:

 

 

 

 

 

 

 

 

 

 

 

 

 

 

 

Plasma

 

$

126,971

 

$

109,100

 

$

97,250

 

 

16.4

%

 

 

12.2

%

 

Blood Bank

 

126,216

 

132,407

 

130,427

 

 

(4.7

)%

 

 

1.5

%

 

Red Cell

 

43,406

 

37,830

 

28,676

 

 

14.7

%

 

 

31.9

%

 

Subtotal

 

$

296,593

 

$

279,337

 

$

256,353

 

 

6.2

%

 

 

9.0

%

 

Patient:

 

 

 

 

 

 

 

 

 

 

 

 

 

 

 

Surgical

 

$

66,552

 

$

65,893

 

$

66,514

 

 

1.0

%

 

 

(0.9

)%

 

OrthoPat

 

$

30,515

 

$

21,864

 

$

19,863

 

 

39.6

%

 

 

10.1

%

 

Subtotal

 

$

97,067

 

$

87,757

 

$

86,377

 

 

10.6

%

 

 

1.6

%

 

Total disposables revenue

 

$

393,660

 

$

367,094

 

$

342,730

 

 

7.2

%

 

 

7.1

%

 

 

27




Donor

Donor products include the Plasma, Blood Bank and Red Cell product lines. Disposable revenue for donor products increased 6.2% over the comparable period in fiscal year 2006. Foreign exchange resulted in a 0.6% decrease over fiscal year 2006. The remaining increase of 6.8% was the result of increases in the Plasma and Red Cell product lines partially offset by the decreased Blood Bank product line, as discussed below.

Disposable revenue for donor products increased 9.0% during fiscal year 2006 compared to fiscal year 2005, due to increased sales of plasma and red cell disposables.

Plasma

During fiscal year 2007, plasma disposable revenue increased 16.4%. Foreign exchange had no impact on plasma disposable revenue. U.S. plasma sales contributed almost 100% of the increase. The U.S. increase was due to market share growth over fiscal year 2006 that relates largely to the conversion to Haemonetics systems by one very large customer, ZLB Plasma services (“ZLB”) that took place during fiscal year 2006 and is in full operation in fiscal year 2007. Plasma growth is also the result of increases in collections by our customers as the demand for source plasma continues to strengthen. These increases were partly offset by lower sales in Japan of $1.9 million. The automated collection of Plasma has declined in Japan as more of the collections are being met with whole blood derived plasma.

During fiscal year 2006, plasma disposable revenue increased 12.2%. The favorable effects of foreign exchange resulted in a 0.6% increase. Of the 11.6% remaining increase, U.S. revenues contributed almost 150% and Europe accounted for 14% partially offset by a decline in Japan of approximately 60%. The U.S. increase is the result of market share growth over fiscal year 2005 due to the conversion to Haemonetics systems by one very large customer (ZLB) and increases in collections by other customers as the oversupply of source plasma that had existed in fiscal year 2005 tapered off. Conversely, in Japan, fewer plasma collections were performed by our customer as compared to fiscal year 2005 due to an oversupply of plasma inventory.

Blood Bank

During fiscal year 2007, blood bank disposable revenue for donor products decreased 4.7%. Foreign exchange resulted in a 1.3% decrease in blood bank disposable revenue over fiscal year 2006. Without the effect of currency, blood bank revenue decreased 3.4%. Japan accounts for $3.1 million or approximately 70% of the decrease.  The Japan decrease is the result of a rebalancing of the mix of market share among suppliers, following a temporary increase in market share due to quality issues of a competitor in early fiscal year 2006. The pace of this rebalancing was also impacted by a third quarter platelet quality issue.

During fiscal year 2006, blood bank disposable revenues increased 1.5%. The favorable effects of foreign exchange resulted in a 0.9% increase. The remaining 0.6% increase is attributable to Asia, offset partly by decreases in Japan and in the U.S. The decrease in the U.S. was due to lower sales of intravenous solutions that we produced for pharmaceutical companies than in 2005. The decrease in Japan was largely the result of redistribution of some of the market share gains in fiscal year 2005, which resulted from a competitor exiting the market. 

Red Cell

During fiscal year 2007, red cell disposable revenue increased 14.7% compared to fiscal year 2006. Foreign exchange accounted for an increase of 0.4%. Of the remaining increase of 14.3%, the U.S. contributed over 90% of the increase, due to penetration at existing customer sites and a shift to higher priced filtered sets, which include a filter to remove white blood cells from the collected blood.

28




During fiscal year 2006, red cell disposable revenue increased 31.9%. The favorable effects of foreign exchange resulted in a 0.2% increase. Of the remaining 31.8% increase, 94% of the increase is attributable to the U.S. and 6% to Europe. The increases in both the U.S. and Europe are primarily due to an increase in units sold and in the U.S. by a product shift to higher priced filtered sets, which include a filter to remove white blood cells from the collected blood.

Patient

The patient product line has two major brand platforms: the Cell Saver® brand and the OrthoPAT® brand. Patient disposable revenue increased 10.6% over fiscal year 2006. Foreign exchange resulted in a 0.2% decrease in patient disposable revenue. Without the effects of currency, surgical disposable revenue increased 10.8%.

Surgical

During fiscal year 2007, Surgical disposables revenue increased 1.0%. Foreign exchange resulted in a 0.2% decrease in surgical disposable revenue. Surgical disposable revenue principally consists of Cell Saver products. Without the effect of currency, surgical disposable revenue increased 1.2%. The revenue growth is coming from Japan and Asia.

During fiscal year 2006, Disposable revenue for the surgical product line decreased 0.9%. The favorable effects of foreign exchange accounted for a 0.4% increase. The remaining 1.4% decrease is largely attributable to a decline in the number of higher blood loss cardiovascular procedures performed in the U.S. partly offset by sales growth increases in Japan.

OrthoPAT

OrthoPAT disposables revenue increased 40.0% over fiscal year 2006. Foreign exchange resulted in a de minimus impact in orthoPAT revenue. The increase was largely due to the U.S. region. The sales increase in the U.S. is attributable to higher prices realized as we transitioned from employing a distributor to direct selling through our Patient sales force.

During fiscal year 2006, OrthoPAT disposable revenue increased 8.5% as compared to fiscal year 2005. The favorable effects of foreign exchange accounted for a 0.4% increase while the remaining increase of 8.2% is attributable to Europe 55%, U.S. 22% and Japan 24%.  The increase in Europe was due primarily to higher unit sales. In the U.S., volume declined as we transitioned to a direct sales model. The distributor (whose exclusivity was terminated effective August 30, 2005) was permitted to sell its inventory of OrthoPAT product in the U.S., on a non-exclusive basis until February 2006. The sales increase in the U.S. is attributable to price improvement as we transition from a distributor to direct selling.

Other Revenues

 

 

 

 

 

 

 

 

% Increase/

 

% Increase/

 

 

 

March 31,

 

April 1,

 

April 2,

 

(Decrease)

 

(Decrease)

 

 

 

2007

 

2006

 

2005

 

07 vs. 06

 

06 vs. 05

 

Software & service

 

 

$

33,718

 

 

$

26,880

 

$

20,173

 

 

25.4

%

 

 

33.2

%

 

Equipment

 

 

22,229

 

 

25,759

 

20,695

 

 

(13.7

)%

 

 

24.5

%

 

Net revenues

 

 

$

55,947

 

 

$

52,639

 

$

40,868

 

 

6.3

%

 

 

28.8

%

 

 

Our software and service revenues include revenue from software sales and support services provided by 5D and the recently acquired IDM business, and service revenues from repairs performed under

29




preventive maintenance contracts or emergency service visits, spare part sales, and various service and training programs.

During fiscal year 2007, software and service revenue increased 25.4% as compared to fiscal year 2006. Foreign exchange resulted in a 0.5% decrease over fiscal year 2006. The 25.7% increase is largely due to increased revenues from 5D which are principally the result of a software support contract for a military customer and the acquisition of the assets of IDM in fiscal Q4.

During fiscal year 2006, software and service revenue increased 33.2%. The favorable effects of foreign currency accounted for a 0.6% increase. Increased software revenue from 5D accounted for most of the remaining 34.2% increase. The increases in 5D sales were principally the result of a software support contract for a military customer.

During fiscal year 2007, revenue from equipment sales decreased 13.7% over fiscal year 2006. Foreign exchange resulted in a 1.0% increase in equipment revenue. The remaining decrease of 14.7% over fiscal year 2006 is the result of decreased cell saver equipment sales in the U.S., and Japan, lower platelet equipment sales in Japan, and reduced red cell and cell processing equipment sales in U.S. offset slightly by plasma equipment sales in Europe. Equipment sales fluctuate from period to period.

During fiscal year 2006, revenue from equipment sales increased 24.5%. The unfavorable effects of foreign exchange accounted for a 2.1% decrease. The remaining increase of 26.6% was largely due to increased equipment sales in Europe, U.S. military, Asia and Japan partially offset by a large sale to a U.S. red cell customer during fiscal year 2005.

Gross Profit

 

 

March 31,
2007

 

April 1,
2006

 

April 2,
2005

 

% Increase/
(Decrease) 
07 vs. 06

 

% Increase/
(Decrease) 
06 vs. 05

 

Gross profit

 

$

227,300

 

$

220,535

 

$

197,876

 

 

3.1

%

 

 

11.5

%

 

% of net sales

 

50.6

%

52.5

%

51.6

%

 

 

 

 

 

 

 

 

 

During fiscal year 2007, gross profit increased 3.1%. Foreign exchange resulted in a 2.3% decrease from fiscal year 2006. The remaining increase of 5.4% was due primarily to i) the net increase in sales, and ii) improved manufacturing efficiencies as a result of more product being produced in our plants  partly offset by (iii) product mix as we sold more commercial plasma product with lower gross margins and less product in Japan with relatively higher gross margins and (iv) an increase in equipment depreciation expense primarily as a result of additional machines placed at our US commercial plasma customers due to the Company’s market share gains and collection growth by plasma customers.

During fiscal year 2006, gross profit increased 11.5%. The favorable effects of foreign exchange accounted for a 3.4% increase. The remaining 7.9% increase was due primarily to (i) increased sales, (ii) cost reductions, and (iii) a decrease in depreciation on our equipment at customer sites partly offset by a change in the mix of products being sold.

30




Operating Expenses

 

 

 

 

 

 

 

 

% Increase/

 

% Increase/

 

 

 

March 31,

 

April 1,

 

April 2,

 

(Decrease)

 

(Decrease)

 

 

 

2007

 

2006(a)

 

2005(a)

 

07 vs. 06

 

06 vs. 05

 

Research and development

 

$

23,884

 

$

26,516

 

$

19,994

 

 

(9.9

)%

 

 

32.6

%

 

% of net revenues

 

5.3

%

6.3

%

5.2

%

 

 

 

 

 

 

 

 

Selling, general and administrative

 

$

137,073

 

$

121,351

 

$

118,039

 

 

13.0

%

 

 

2.8

%

 

% of net revenues

 

30.5

%

28.9

%

30.8

%

 

 

 

 

 

 

 

 

Cost to equity

 

$

225

 

$

680

 

$

406

 

 

(66.9

)%

 

 

 

 

% of net revenues

 

0.1

%

0.2

%

0.0

%

 

 

 

 

 

 

 

 

In Process R&D

 

$

9,073

 

$

0

 

$

0

 

 

 

 

 

 

 

% of net revenues

 

2.0

%

0.0

%

0.0

%

 

 

 

 

 

 

 

 

Arbitration & Settlement Income

 

$

(5,700

)

$

(26,350

)

$

0

 

 

(78.4

)%

 

 

 

 

% of net revenues

 

(1.3

)%

(6.3

)%

0.0

%

 

 

 

 

 

 

 

 

Total Operating Expense

 

$

164,555

 

$

122,197

 

$

138,439

 

 

34.7

%

 

 

(11.7

)%

 

% of net revenues

 

36.6

%

29.1

%

36.0

%

 

 

 

 

 

 

 

 


(a)           Reflects the adjustment to convert our investment in Arryx, Inc. to the equity method for periods prior to the acquisition. See Note #3

Research and Development

During fiscal year 2007, research and development expenses decreased 9.9% as compared to fiscal year 2006. Foreign exchange resulted in a 0.1% increase in research and development during the year. The significant factor in the remaining decrease of 10.1% are described below:

·       $3.8 million impairment charge taken for an intangible asset related to pathogen reduction in the third quarter of fiscal year 2006

·       lower research and development expenses related to software development costs that were expensed in the first and second quarters of fiscal year 2006 prior to reaching technological feasibility, (since the third quarter of fiscal year 2006 these costs have been capitalized)

·       new product spending was significantly directed towards the development of our new, multi-component collection platform and holographic optical trapping technology acquired when we purchased Arryx, Inc.

During fiscal year 2006, research and development expenses increased 32.6%. The effect of foreign exchange accounted for a 0.8% decrease. Increased spending on new products research was the primary factor of the remaining increase of 33.8%. New product spending was significantly directed towards the development of our new, multi-component collection platform. In addition, in the third quarter 2006, a $3.8 million impairment charge was taken for an intangible asset related to pathogen reduction, reducing the asset’s carrying value to zero. In the third quarter of fiscal year 2005, we recorded an impairment charge of $1.7 million to write down the carrying value of a previously acquired patent.

31




Selling, General and Administrative

During fiscal year 2007, selling, general and administrative expenses increased 13.0%. Foreign exchange resulted in a 0.5% increase in selling, general and administrative. Excluding the impact of foreign exchange, selling, general and administrative expense increased 12.5% as compared to fiscal year 2006. The increase was largely due to several factors as described below:

·       stock compensation expense related to the adoption of FAS 123R which accounted for approximately $10.3 million of the increase for the year

·       Enterprise Resource Planning (ERP) expense of $4.1 million relating to certain internal personnel and third party consulting and training costs

·       restructuring costs of $3.5 million relating to the reorganization of our international sales and service organizations. These costs include employee related costs and certain other employee benefits and lease termination and related facility closure costs.

·       expansion of sales and marketing staff, specifically $3.1 million associated with our U.S. Patient sales force.

·       partly offset by a $3.7 million reduction in the expense associated with cash bonus compensation. The cash bonus expense declined as the Company’s financial results were lower than the financial targets established for funding cash bonuses.

During fiscal year 2006, selling, general and administrative expenses increased 2.8%. The effect of foreign exchange accounted for a decrease of 1.7%. The majority of the remaining 4.6% increase was due to personnel related expenses primarily attributable to marketing and setting up direct sales to support our OrthoPAT products and expenses related to the higher level of sales. These higher costs were partially offset by a $0.6 million reduction of a legal liability reserve and lower legal expenses due to the 2005 arbitration activities with Baxter.

In Process Research and Development

The $9.1 million purchased in process research and development that was charged to operating expenses in the second quarter of fiscal 2007 consists of a project for the advancement and development of the technology in the blood collection and processing applications, and for the purpose of licensing the technology outside of the blood collection and processing marketplace. The project includes work to reduce the size of systems which apply the technology, including reducing the size of the laser, and developing mechanisms to label samples and collections.

For purposes of valuing the acquired purchased research development, the Company estimated total costs to complete the current development of the platform of approximately $11 million. For the in-process project the Company acquired in connection with the acquisition of Arryx, Inc., it used a risk-adjusted discount rate of 29% to discount the projected cash flows. The Company believes that the estimated purchased research and development amounts so determined represent the fair value at the date of acquisition and do not exceed the amount a third party would pay for the projects.

Arbitration & Settlement Income

During fiscal year 2007 we recorded settlement income of $5.7 million. In December 2005, we filed a claim for binding arbitration against Baxter, seeking damages as well as an arbitrator’s determination of the rights and obligations of Baxter and Haemonetics, under the Technology Development Agreement between them dated December 2001 concerning platelet pathogen inactivation. Our arbitration claim arose out of Baxter’s decision to exit the pathogen inactivation market. The parties settled the claim in January 2007 for $6.0 million. We incurred $0.3 million in external legal fees to bring this action.

32




During fiscal year 2006, we recorded $26.4 million of arbitration award income. We had brought a claim against Baxter, seeking an arbitration award to compel Baxter to honor numerous supply contracts it assumed when Baxter purchased the plasma collection operations of Alpha Therapeutic Corporation, our largest plasma customer at the time, or to pay us damages. The matter was tried before an arbitration panel for three weeks ending April 1, 2005. The arbitration panel issued its decision on May 20, 2005 and awarded the Company $30.8 million including damages, legal fees and interest. We collected the full award on October 13, 2005.

Operating Income

 

 

March 31,

 

April 1,

 

April 2,

 

% Increase/
(Decrease)

 

% Increase/
(Decrease)

 

 

 

2007

 

2006

 

2005

 

07 vs. 06

 

06 vs. 05

 

Operating Income

 

 

$

62,745

 

 

$

98,338

 

$

59,437

 

 

(36.2

)%

 

 

65.4

%

 

% of net sales

 

 

14.0

%

 

23.4

%

15.5

%

 

 

 

 

 

 

 

 

 

During fiscal year 2007, operating income decreased 36.2% compared to fiscal year 2006 Foreign exchange resulted in a 5.7% decrease in operating income during the fiscal year. Without the effects of foreign currency, operating income decreased 31.5% over fiscal year 2006. The decrease is primarily due to increases in operating expenses that exceeded increases in gross profit. The primary contributors of higher expenses are stock compensation costs, ERP program costs, restructuring expenses related to the reorganization of our international sales and service organizations and expansion of our sales and marketing staff to primarily support the growth of our OrthoPAT business. Additionally we recorded arbitration award income of $26.4 million in fiscal 2006. These items giving rise to increased operating expenses were partly offset by a reduction in expenses associated with cash bonus compensation and a net settlement income from Baxter Inc. of $5.7 million related to certain platelet pathogen contracts.

During fiscal year 2006, operating income increased 65.4% compared to fiscal year 2005. Foreign exchange resulted in a 15.1% increase in operating income over 2005. The arbitration award increased operating income by $26.4 million or 44.0% for the year. Without the favorable effects of both foreign currency and the arbitration award, operating income increased 5.8% for the year primarily due to increases in gross profit that were partly offset by increases in operating expenses. The primary contributors to higher expense were (i) new product research and development costs, (ii) expansion of sales and marketing staff to support business growth, and (iii) the $3.8 million impairment charge for the platelet pathogen reduction intangible asset, partially offset by the $1.8 million impairment charge taken in the third quarter last year related to an intangible asset.

Other Income (Expense), Net

 

 

 

 

 

 

 

 

% Increase/

 

% Increase/

 

 

 

March 31,

 

April 1,

 

April 2,

 

(Decrease)

 

(Decrease)

 

 

 

2007

 

2006

 

2005

 

07 vs. 06

 

06 vs. 05

 

Interest expense

 

 

$

(1,256

)

 

$

(1,917

)

$

(2,361

)

 

(34.5

)%

 

 

(18.8

)%

 

Interest income

 

 

$

7,864

 

 

$

6,963

 

$

2,233

 

 

12.9

%

 

 

> 100

%

 

Other income, net

 

 

$

2,983

 

 

$

2,818

 

$

126

 

 

5.9

%

 

 

> 100

%

 

Total other income (expense), net

 

 

$

9,591

 

 

$

7,864

 

$

(2

)

 

22.0

%

 

 

> (100

)%

 

 

During fiscal year 2007, total other income, increased due to (i) a decrease in interest expense due to lower average debt outstanding as compared to fiscal year 2006, (ii) an increase in interest income due to higher average cash balances and higher interest rates on these balances and (iii) an increase in other income, net, as a result of increases in hedge-points on forward contracts over fiscal year 2006. Points on

33




forward contracts are amounts, either expensed or earned, based on the interest rate differential between two foreign currencies in a forward hedge contract.

During fiscal year 2006, total other income, increased due to (i) a decrease in interest expense due to lower average debt outstanding as compared to fiscal year 2005, (ii) an increase in interest income due to higher cash balances and higher interest rates on these balances and an additional $1.3 million interest payment on the award from Baxter, and (iii) an increase in other income, net, as a result of increases in hedge-points on forward contracts over fiscal year 2005. Points on forward contracts are amounts, either expensed or earned, based on the interest rate differential between two foreign currencies in a forward hedge contract.

Taxes

 

 

March 31,
2007

 

April 1,
2006

 

April 2,
2005

 

Tax Rate
Increase/
(Decrease)
07 vs. 06

 

Tax Rate
Increase/
(Decrease)
06 vs. 05

 

Reported Tax Rate

 

 

32.1

%

 

 

35.4

%

 

 

33.8

%

 

 

(3.3

)%

 

 

1.6

%

 

 

Our reported tax rate includes two principal components: an expected annual tax rate and discrete items resulting in additional provisions or benefits that are recorded in the quarter that an event arises, Events or items that give rise to discrete recognition include finalizing audit examinations for open tax years, a statute of limitation’s expiration, or a stock acquisition.

The reported tax rate was 32.1% for the current fiscal year. The reported tax rate includes:

·       A 34.4% expected annual tax rate which reflects higher tax exempt income than in prior periods and stock compensation expenses that are not deductible in all jurisdictions.

·       A $9.1 million non-deductible In Process Research and Development charge (see Footnote #16 Acquisition) and the adjustment to convert our investment in Arryx, Inc. to the equity method.

·       A $4.0 million reversal of previously accrued income taxes due to favorably completing an Internal Revenue Service tax return examination for fiscal years 2001 through 2003.

·       A $0.8 million net revision in the estimated income tax expense for fiscal year 2006 and certain international tax matters.

The reported tax rate was 35.4% for fiscal year 2006, incorporating:

·       A 35.0% expected annual tax rate which reflects more tax exempt income than in prior periods

·       A 39.4% tax rate on the Baxter arbitration award

·       A $0.3 million tax benefit due to finalizing our prior year income tax returns

·       A $0.4 million tax benefit due to favorably resolving a tax contingency with tax authorities

We expect our reported tax rate to be approximately 33.5% to 34.5% for fiscal year 2008 although future adjustments may increase or decrease the reported tax rate.

Critical Accounting Policies

Our significant accounting policies are summarized in Note 2 of our consolidated financial statements. While all of these significant accounting policies impact our financial condition and results of operations, we view certain of these policies as critical. Policies determined to be critical are those policies that have

34




the most significant impact on our financial statements and require management to use a greater degree of judgment and/or estimates. Actual results may differ from those estimates.

The accounting policies identified as critical are as follows:

Revenue Recognition

Our revenue consists primarily of the sale our disposable products. We recognize revenues in accordance with generally accepted accounting principles (“GAAP”) as outlined in Staff Accounting Bulletin (“SAB”) No. 104, “Revenue Recognition”, which requires that four basic criteria be met before revenue can be recognized: (1) persuasive evidence of an arrangement exists, (2) product delivery, including customer acceptance, has occurred or services have been rendered, (3) the price is fixed or determinable and (4) collectibility is reasonably assured. We generally meet these criteria at the time of shipment when the risk of loss and title passes to the customer or distributor, provided there are no remaining substantive performance obligations required of us or any matters requiring customer acceptance. For multiple-element arrangements, whereby the sale of our products, disposables or equipment is combined with future service obligations, we defer revenue on the undelivered elements based on objective evidence of fair value.

We generally do not allow our customers to return products. We offer sales rebates and discounts to certain customers. We treat sales rebates and discounts as a reduction of revenue and classify the corresponding liability as current. We estimate rebates for products where there is sufficient historical information available to predict the volume of expected future rebates. If we are unable to estimate the expected rebates reasonably, we record a liability for the maximum potential rebate or discount that could be earned.

Inventories

Inventories are stated at the lower of the actual cost to purchase and/or manufacture or the current estimated market value of the inventory. On a quarterly basis, inventory quantities on hand are reviewed and an analysis of the provision for excess and obsolete inventory is performed based primarily on our estimates of product demand and production requirements for the next twenty-four months. A change in the estimated timing or amount of demand for our products could result in additional provisions for excess inventory quantities on hand. Any significant unanticipated changes in demand could have a significant impact on the value of our inventory and reported operating results.

Goodwill and Other Intangible Assets

Purchase accounting requires extensive use of accounting estimates and judgments to allocate the purchase price to the fair market value of the assets and liabilities purchased, with the excess value, if any, being classified as goodwill. In addition, as described in Notes 3 and 6 of our consolidated financial statements, as a result of our acquisitions, values were assigned to intangible assets for patented and unpatented technologies and customer contracts and related relationships. For those assets with finite lives, useful lives were assigned to these intangibles and they will be amortized over their remaining life. We review our intangible assets and their related useful lives at least once a year to determine if any adverse conditions exist that would indicate the carrying value of these assets may not be recoverable. We conduct more frequent impairment assessments if certain conditions exist, including: a change in the competitive landscape, any internal decisions to pursue new or different technology strategies, a loss of a significant customer, or a significant change in the market place including changes in the prices paid for our products or changes in the size of the market for our products.

35




An impairment results if the carrying value of the asset exceeds the sum of the future undiscounted cash flows expected to result from the use and disposition of the asset. The amount of the impairment would be determined by comparing the carrying value to the fair value of the asset. Fair value is generally determined by calculating the present value of the estimated future cash flows using an appropriate discount rate. The projection of the future cash flows and the selection of a discount rate require significant management judgment. The key variables that management must estimate include sales volume, prices, inflation, product costs, capital expenditures and sales and marketing costs. For developed technology (patents and other technology) that have not been deployed we also must estimate the likelihood of both pursuing a particular strategy and the level of expected market adoption.

Significant judgment is involved in making these estimates. Future write-downs may be required if the value of the assets become impaired.

We recognized an impairment charge in research and development expenses of $3.8 and $1.7 million for fiscal years 2006 and 2005, respectively, related to the excess of the carrying value over the fair market value of an intangible asset, related to platelet pathogen reduction technology The impairment was triggered by our re-evaluation of our plans to deploy such technology.

If the estimate of an intangible asset’s remaining useful life is changed, the remaining carrying amount of the intangible asset is amortized prospectively over the revised remaining useful life.

Property, Plant and Equipment

Property, plant and equipment are depreciated over their useful lives. Useful lives are based on our estimate of the period that the assets will generate revenue. Any change in conditions that would cause us to change our estimate as to the useful lives of a group or class of assets may significantly impact our depreciation expense on a prospective basis. Haemonetics equipment includes devices that we have placed at our customers under contractual arrangements that allow them to use the device in exchange for rental payments or the purchase of disposables. In addition to periodically reviewing the useful lives of these devices, we also periodically perform reviews to determine if a group of these devices is impaired. To conduct these reviews we must estimate the future amount and timing of demand for these devices. Changes in expected demand can result in additional depreciation expense, which is classified as cost of goods sold. Any significant unanticipated changes in demand could have a significant impact on the value of equipment and our reported operating results.

Change in Depreciable Lives of Property and Equipment

In accordance with our policy, the Company reviews the estimated useful lives of our property, plant and equipment on an ongoing basis. During fiscal year 2007 we increased the estimated useful life of our PCS2 device, used by our commercial plasma customers.

As we have signed several long term contracts for the use of this device, we increased the useful life of these devices from 4 years to 6 years to reflect the estimated periods during which these assets will remain in service. The effect of this change in estimate was to reduce 2007 depreciation expense by $0.5 million, increase 2007 net income by $0.3 million and increase 2007 basic and diluted earnings per share by $0.01.

Income Taxes

In preparing our consolidated financial statements, income tax expense is calculated for all jurisdictions in which we operate. This process involves estimating actual current taxes due plus assessing temporary differences arising from differing treatment for tax and accounting purposes that are recorded as deferred tax assets and liabilities. Deferred tax assets are periodically evaluated to determine their recoverability. A valuation allowance is established and a corresponding additional income tax expense is

36




recorded in our consolidated statement of income if their recovery is not likely. The provision for income taxes could also be materially impacted if actual taxes due differ from our earlier estimates. As of March 31, 2007, a valuation allowance of $.4 million existed on our balance sheet. The total net deferred tax asset as of March 31, 2007 was $16.3 million.

We file income tax returns in all jurisdictions in which we operate. We established reserves to provide for additional income taxes that may be due in future years as these previously filed tax returns are audited. These reserves have been established based on management’s assessment as to the potential exposure attributable to permanent differences and interest applicable to both permanent and temporary differences. All tax reserves are analyzed periodically and adjustments made as events occur that warrant modification.

Stock-Based Compensation

On April 2, 2006, we adopted FASB Statement No. 123(R),Share-Based Payment, which requires all share-based payments to employees, including grants of employee stock options, to be recognized in the consolidated statements of operations based on their fair values. We adopted Statement No. 123(R) using the “modified-prospective method” and have not restated prior period results of operations and financial position to reflect the impact of stock-based compensation expense under Statement No. 123(R). We use the Black-Scholes option-pricing model to calculate the grant-date fair value of our stock options. The following assumptions, which involve the use of judgment by management, are used in the computation of the grant-date fair value of our stock options:

Expected Volatility—We have principally used our historical volatility as a basis to estimate expected volatility in our valuation of stock options.

Expected Term—We estimate the expected term of our options using historical exercise and forfeiture data. We believe that this historical data is currently the best estimate of the expected term of our new option grants.

Additionally, after determining the fair value of our stock options, we use judgment in establishing an estimated forfeiture rate, to determine the amount of stock based compensation to record each period:

Estimated Forfeiture Rate—We have applied, based on an analysis of our historical forfeitures, an annual forfeiture rate of eight percent to all unvested stock options as of March 31, 2007, which represents the portion that we expect will be forfeited each year over the vesting period. We reevaluate this analysis periodically and adjust the forfeiture rate as necessary. Ultimately, we will only recognize expense for those shares that vest.

Valuation of Acquisitions

We allocate the amounts we pay for each acquisition to the assets we acquire and liabilities we assume based on their fair values at the dates of acquisition, including acquired identifiable intangible assets, and purchased research and development. We base the fair value of identifiable intangible assets on detailed valuations that use information and assumptions provided by management. We allocate any excess purchase price over the fair value of the net tangible and intangible assets acquired to goodwill. The use of alternative valuation assumptions, including estimated cash flows and discount rates, and alternative estimated useful life assumptions could result in different purchase price allocations, purchased research and development charges, and intangible asset amortization expense in current and future periods.

The valuation of purchased research and development represents the estimated fair value at the dates of acquisition related to in-process projects. Our purchased research and development represents the value of an in-process project that has not yet reached technological feasibility and has no alternative future use as of the date of acquisition. We expensed the value attributable to the in-process project at the time of the

37




acquisition. If the project is not successful or completed in a timely manner, we may not realize the financial benefits expected from this project or for the acquisition as a whole.

We use the income approach to determine the fair values of our purchased research and development. This approach determines fair value by estimating the after-tax cash flows attributable to an in-process project over its useful life and then discounting these after-tax cash flows back to a present value. We base our revenue assumptions on estimates of relevant market sizes, expected market growth rates, expected trends in technology and expected product introductions by competitors. In arriving at the value of the in-process projects, we consider, among other factors: the in-process projects’ stage of completion; the complexity of the work completed as of the acquisition date; the costs already incurred; the projected costs to complete; the contribution of core technologies and other acquired assets; the expected introduction date; and the estimated useful life of the technology. We base the discount rate used to arrive at a present value as of the date of acquisition on the time value of money and medical technology investment risk factors. For the in-process project we acquired in FY 07, we used a 26% risk-adjusted discount rate to discount our projected cash flows. We believe that the estimated purchased research and development amounts so determined represent the fair value at the date of acquisition and do not exceed the amount a third party would pay for the project.

Liquidity and Capital Resources

The following table contains certain key performance indicators that depict our liquidity and cash flow position:

 

 

March 31,
2007

 

April 1,
2006

 

April 2,
2005

 

 

 

(dollars in thousands)

 

Cash & cash equivalents

 

$

229,227

 

$

250,667

 

$

185,815

 

Working capital

 

$

321,654

 

$

330,288

 

$

255,689

 

Current ratio

 

4.9

 

4.7

 

3.9

 

Net cash position(1)

 

$

200,351

 

$

211,514

 

$

139,972

 

Days sales outstanding (DSO)

 

68

 

71

 

70

 

Disposables finished goods inventory turnover

 

5.1

 

6.0

 

4.9

 


(1)          Net cash position is the sum of cash, cash equivalents and short-term investments less total debt.

Our primary sources of capital include cash and cash equivalents, internally generated cash flows and bank borrowings. We believe these sources to be sufficient to fund our requirements, which are primarily capital expenditures (including enterprise resource planning systems and devices), acquisitions, new business and product development and working capital for at least the next twelve months.

 

 

For the years ended

 

$ Increase/

 

$ Increase/

 

 

 

March 31,
2007

 

April 1,
2006

 

April 2,
2005

 

(Decrease)
 07 vs 06

 

(Decrease)
 06 vs 05

 

 

 

(In thousands)

 

 

 

 

 

Net cash provided by (used in):

 

 

 

 

 

 

 

 

 

 

 

 

 

 

 

Operating activities

 

$

83,562

 

$

85,616

 

$

71,207

 

 

$

(2,054

)

 

 

$

14,409

 

 

Investing activities

 

(71,116

)

(32,105

)

19,428

 

 

(39,011

)

 

 

(51,533

)

 

Financing activities

 

(35,554

)

12,094

 

14,531

 

 

(47,648

)

 

 

(2,437

)

 

Effect of exchange rate changes on cash(1)

 

1,668

 

(753

)

1,182

 

 

2,421

 

 

 

(1,935

)

 

Net decrease in cash and cash equivalents:

 

$

(21,440

)

$

64,852

 

$

106,348

 

 

$

(86,292

)

 

 

$

(41,496

)

 

 

38




Cash Flow Overview:

(1)         The balance sheet is affected by spot exchange rates used to translate local currency amounts into U.S. dollars. In comparing spot exchange rates at March 31, 2007 versus April 1, 2006 and at April 1, 2006 versus April 2, 2005, the European currencies, primarily the Euro, and the Yen have strengthened and weakened, respectively, against the U.S. dollar. In accordance with GAAP, we have removed the effect of changes in foreign currency exchange rates throughout our cash flow statement, except for its effect on our cash and cash equivalents.

In August 2006, the Board of Directors authorized a $40.0 million share repurchase. Through December 30, 2006, the Company repurchased approximately 0.9 million shares of its common stock for an aggregate purchase price of $40.0 million. We reflect stock repurchases in our financial statements on a “trade date” basis and as Authorized Unissued. (Haemonetics is a Massachusetts company and under Massachusetts law repurchased shares are treated as authorized but unissued). At the end of business on November 7, 2006, Haemonetics completed its $40.0 million share repurchase program.

Additionally, as discussed in our Earnings Release on May 2, 2007, the Company also announced plans to initiate a new $75 million share repurchase program. Repurchases commenced on May 2, 2007.

FISCAL 2007 AS COMPARED TO FISCAL 2006

Operating Activities:

Net cash provided by operating activities decreased $2.1 million in fiscal year 2007 as compared to 2006 due primarily to:

·                    $10.7 million reduction in net income adjusted for non-cash items due primarily to the arbitration award income received in the third quarter of fiscal 2006. (see Footnote #9 Commitments and Contingencies)

·                    $10.4 million less cash used by accounts receivables due to reduced days sales outstanding partly offset by increased sales

·                    $3.0 million increase in inventory to support our higher level of sales.

Investing Activities:

Net cash used in investing activities increased $39.0 million principally as a result of:

·                    $23.3 million investment in the acquisition of Arryx, Inc. (see Note #3 Acquisition)

·                    $9.3 million investment in the acquisition of Information Data Management, Inc. (“IDM”) (see Note #3 Acquisition)

·                    $2.8 million less proceeds from the sale of property, plant and equipment

·                    $6.6 million increase in capital expenditures due to the placement of more new devices with customers, notably US Plasma, and an investment in ERP software license and related development costs.

39




Financing Activities:

Net cash used by financing activities increased by $47.6 million due primarily to:

Increases from:

·                    $40.0 million used to repurchase shares of Company common stock in Q2 and Q3 FY07.

·                    $5.5 million which reflects net repayments made in Fiscal 2007 on the short-term revolving credit facility in our Japanese subsidiary.

·                    $2.2 million decrease in the exercise of stock options.

FISCAL 2006 AS COMPARED TO FISCAL 2005

Operating Activities:

Net cash provided by operating activities increased $14.4 million in 2006 due primarily to:

·                    $28.3 million more cash provided by net income adjusted for non-cash items, largely as a result of an $29.4 million increase in net income as a result of the arbitration award,

·                    $4.5 million less cash used due to decreased income tax prepayments,

·                    $13.3 million less cash due to an increase in accounts receivable as a result of increases in sales,

·                    $3.5 million more cash used by other assets and other long term liabilities, due to timing of prepayments and other deposits,

·                    $0.8 million more cash used for inventory during fiscal year 2006, and

·                    $0.8 million less cash used due to increases in accounts payable and accrued expenses

Investing Activities:

Net cash used by investing activities increased $51.5 million principally as a result of:

·                    $38.7 million less net proceeds from purchases and sales of short-term investments in fiscal year 2006 as compared to fiscal year 2005,

·                    $16.2 million more capital expenditures during fiscal year 2006 as compared to fiscal year 2005. In fiscal year 2006 the Company incurred $33.8 million of capital expenditures, driven largely by increased placements of Haemonetics equipment at customers,

·                    $3.2 million decrease in proceeds from the sale of property, plant and equipment as compared to fiscal year 2005, and

·                    $5.0 million due to reduced investments in fiscal year 2006. In fiscal year 2005, we invested $5.0 million in the preferred stock of a private company.

Financing Activities:

Net cash provided by financing activities decreased by $2.4 million. The decrease was due primarily to:

·                    $10.1 million from a decrease in proceeds from stock option exercises during fiscal year 2006 partially offset by;

·                    $6.7 million due to an increase in short-term revolving credit agreements.

40




Contractual Obligations and Contingencies

A summary of our contractual and commercial commitments as of March 31, 2007, is as follows (for more information concerning our debt see Note 7 to the consolidated financial statements and for our operating lease obligations see Note 9):

 

 

Payments Due by Period

 

Contractual Obligations

 

 

 

Total

 

Less than 1 year

 

1-3 years

 

3-5 years

 

After 5 years

 

 

 

(in thousands)

 

Debt

 

$

28,877

 

 

$

22,200

 

 

$

1,332

 

 

$

1,576

 

 

 

$

3,769

 

 

Operating Leases

 

$

23,090

 

 

$

6,968

 

 

$

8,823

 

 

$

5,464

 

 

 

$

1,835

 

 

Purchase commitments*

 

$

58,429

 

 

$

58,429

 

 

 

 

 

 

 

 

 

Total

 

$

110,396

 

 

$

87,597

 

 

$

10,155

 

 

$

7,040

 

 

 

$

5,604

 

 


*                    Includes amounts we are committed to spend on purchase orders entered in the normal course of business for capital equipment and for the purpose of manufacturing our products including contract manufacturers, specifically Nova Biomedical, for the purchase of devices and JMS Co. LTD, and Kawasumi Laboratories for the manufacture of certain disposable products. The majority of our operating expense spending does not require any advance commitment.

Contingent Commitments

As a result of our acquisition of 5D we were contingently obligated to make payments of up to $4.1 million. The fourth and final payment of $1.0 million was made in fiscal 2007.

On January 29, 2007 Haemonetics Corporation (the “Company”) received $6 million in full satisfaction of its claims against Baxter Healthcare Corporation, Baxter International Inc. and Baxter Healthcare SA (together “Baxter”) related to certain platelet pathogen reduction contracts. In connection with the settlement of these claims, the Technology Development Agreement and Requirements Contract between the Company and Baxter are terminated, and Haemonetics no longer retains any rights to distribute the INTERSOL product (note INTERSOL is a registered trademark of Baxter). Haemonetics recorded the receipt of this settlement in the fourth quarter ending March 31, 2007.

Inflation

We do not believe that inflation had a significant impact on our results of operations for the periods presented. Historically, we believe we have been able to mitigate the effects of inflation by improving our manufacturing and purchasing efficiencies, by increasing employee productivity and by adjusting the selling prices of products.

Foreign Exchange

Approximately 57% of our sales are generated outside the US in local currencies, yet our reporting currency is the US dollar. Our primary foreign currency exposures in relation to the US dollar are the Japanese Yen and the Euro. Foreign exchange risk arises because we engage in business in foreign countries in local currency. Exposure is partially mitigated by producing and sourcing product in local currency and expenses incurred by local sales offices. However, whenever the US dollar strengthens relative to the other major currencies, there is an adverse affect on our results of operations and alternatively, whenever the US dollar weakens relative to the other major currencies there is a positive effect on our results of operations.

41




It is our policy to minimize for a period of time, the unforeseen impact on our financial results of fluctuations in foreign exchange rates by using derivative financial instruments known as forward contracts to hedge the anticipated cash flows from forecasted foreign currency denominated sales. Hedging through the use of forward contracts does not eliminate the volatility of foreign exchange rates, but because we generally enter into forward contracts one year out, rates are fixed for a one-year period, thereby facilitating financial planning and resource allocation. We enter into forward contracts that mature one month prior to the anticipated timing of the forecasted foreign currency denominated sales. These contracts are designated as cash flow hedges and are intended to lock in the expected cash flows of forecasted foreign currency denominated sales at the available spot rate. Actual spot rate gains and losses on these contracts are recorded in sales, at the same time the underlying transactions being hedged are recorded.

We compute a composite rate index for purposes of measuring, comparatively, the change in foreign currency hedge spot rates from the hedge spot rates of the corresponding period in the prior year. The relative value of currencies in the index is weighted by sales in those currencies. The composite was set at 1.00 based upon the weighted rates at March 31, 1997. The composite rate is presented in the period corresponding to the maturity of the underlying forward contracts.

The favorable or (unfavorable) changes are in comparison to the same period of the prior year. A favorable change is presented when we will obtain relatively more US dollars for each of the underlying foreign currencies than we did in the prior period. An unfavorable change is presented when we obtain relatively fewer US dollars for each of the underlying foreign currencies than we did in the prior period. These indexed hedge rates impact sales, and as a result also gross profit, operating income and net income, in our consolidated financial statements. The final impact of currency fluctuations on the results of operations is dependent on the local currency amounts hedged and the actual local currency results.

42




 

FY2003

 

 

 

Q1

 

 

1.09

 

 

 

(8.9

)%

 

 

 

 

Q2

 

 

1.08

 

 

 

(10.3

)%

 

 

 

 

Q3

 

 

1.10

 

 

 

(8.1

)%

 

 

 

 

Q4

 

 

1.17

 

 

 

(11.0

)%

 

2003

 

Total

 

 

 

 

1.11

 

 

 

(9.5

)%

 

FY2004

 

 

 

Q1

 

 

1.13

 

 

 

(3.6

)%

 

 

 

 

Q2

 

 

1.05

 

 

 

3.6

%

 

 

 

 

Q3

 

 

1.06

 

 

 

3.2

%

 

 

 

 

Q4

 

 

1.01

 

 

 

15.9

%

 

2004

 

Total

 

 

 

 

1.06

 

 

 

4.9

%

 

FY2005

 

 

 

Q1

 

 

0.97

 

 

 

15.7

%

 

 

 

 

Q2

 

 

0.99

 

 

 

5.1

%

 

 

 

 

Q3

 

 

0.92

 

 

 

15.5

%

 

 

 

 

Q4

 

 

0.89

 

 

 

14.1

%

 

2005

 

Total

 

 

 

 

0.94

 

 

 

12.7

%

 

FY2006

 

 

 

Q1

 

 

0.92

 

 

 

5.2

%

 

 

 

 

Q2

 

 

0.91

 

 

 

9.1

%

 

 

 

 

Q3

 

 

0.87

 

 

 

5.7

%

 

 

 

 

Q4

 

 

0.86

 

 

 

2.8

%

 

2006

 

Total

 

 

 

 

0.89

 

 

 

5.1

%

 

FY2007

 

 

 

Q1

 

 

0.89

 

 

 

3.6

%

 

 

 

 

Q2

 

 

0.92

 

 

 

(1.1

)%

 

 

 

 

Q3

 

 

0.96

 

 

 

(9.4

)%

 

 

 

 

Q4

 

 

0.95

 

 

 

(9.3

)%

 

2007

 

Total

 

 

 

 

0.93

 

 

 

(4.2

)%

 

FY2008

 

 

 

Q1

 

 

0.92

 

 

 

(3.1

)%

 

 

 

 

Q2

 

 

0.93

 

 

 

(1.0

)%

 

 

 

 

Q3

 

 

0.93

 

 

 

3.3

%

 

 

 

 

Q4

 

 

0.93

 

 

 

2.4

%

 

2008

 

Total

 

 

 

 

0.93

 

 

 

0.4

%

 

FY2009

 

 

 

Q1

 

 

0.91

*

 

 

1.6

%

 


*                    NOTE:Represents hedges for April FY09.

Recent Accounting Pronouncements

In June 2006, the FASB issued FASB Interpretation No. 48, “Accounting for Uncertainty in Income Taxes” which is an interpretation of FASB Statement 109, “Accounting for Income Taxes”. Interpretation No. 48 requires management to perform a two step evaluation for all tax positions, ensuring that these tax return positions meet the “more-likely than not” recognition threshold and can be measured with sufficient precision to determine the benefit recognized in the financial statements. This interpretation provides management with a comprehensive model for how the Company should recognize, measure, present, and disclose in its financial statements tax positions that the Company has taken or expects to take on their income tax returns. The Company does not believe that this will have a material impact on our results of operations. This statement is effective for our fiscal year 2008.

43




In September 2006, the FASB issued FAS No. 157, “Fair Value Measurements” (“FAS No. 157”), which addresses how companies should measure fair value when they are required to use a fair value measure for recognition or disclosure purposes under generally accepted accounting principles. FAS No. 157 defines fair value, establishes a framework for measuring fair value in generally accepted accounting principles and expands disclosures about fair value measurements. FAS No. 157 is effective for financial statements issued for fiscal years beginning after November 15, 2007 and should be applied prospectively, except in the case of a limited number of financial instruments that require retrospective application. We are currently evaluating the potential impact of FAS No. 157 on our financial position and results of operations. This statement is effective for our fiscal year 2008.

In February 2007, the FASB issued FAS No. 159, “The Fair Value Option for Financial Assets and Financial Liabilities-including an amendment of FAS 115” (“FAS No. 159”). The new statement allows entities to choose, at specified election dates, to measure eligible financial assets and liabilities at fair value that are not otherwise required to be measured at fair value. If a company elects the fair value option for an eligible item, changes in that item’s fair value in subsequent reporting periods must be recognized in current earnings. FAS No. 159 is effective for fiscal years beginning after November 15, 2007. We are currently evaluating the potential impact of FAS No. 159 on our financial position and results of operations. This statement is effective for our fiscal year 2008.

Cautionary Statement Regarding Forward-Looking Information

Statements contained in this report, as well as oral statements we make which are prefaced with the words “may,” “will,” “expect,” “anticipate,” “continue,” “estimate,” “project,” “intend,” “designed,” and similar expressions, are intended to identify forward looking statements regarding events, conditions, and financial trends that may affect our future plans of operations, business strategy, results of operations, and financial position. These statements are based on our current expectations and estimates as to prospective events and circumstances about which we can give no firm assurance. Further, any forward-looking statement speaks only as of the date on which such statement is made, and we undertake no obligation to update any forward-looking statement to reflect events or circumstances after the date on which such statement is made. As it is not possible to predict every new factor that may emerge, forward-looking statements should not be relied upon as a prediction of our actual future financial condition or results. These forward-looking statements, like any forward-looking statements, involve risks and uncertainties that could cause actual results to differ materially from those projected or anticipated. Such risks and uncertainties include technological advances in the medical field and our standards for transfusion medicine and our ability to successfully implement products that incorporate such advances and standards, product demand and market acceptance of our products, regulatory uncertainties, the effect of economic and political conditions, the impact of competitive products and pricing, the impact of industry consolidation, foreign currency exchange rates, changes in customers’ ordering patterns, the effect of industry consolidation as seen in the Plasma market, the effect of communicable diseases and the effect of uncertainties in markets outside the U.S. (including Europe and Asia) in which we operate. The foregoing list should not be construed as exhaustive.

Item 7A                   Quantitative and Qualitative Disclosures about Market Risk

The Company’s exposures relative to market risk are due principally to foreign exchange risk and interest rate risk.

Foreign Exchange Risk

See the section entitled Foreign Exchange for a discussion of how foreign currency affects our business. It is our policy to minimize for a period of time, the unforeseen impact on our financial results of fluctuations in foreign exchange rates by using derivative financial instruments known as forward contracts to hedge anticipated cash flows from forecasted foreign currency denominated sales. We do not use the

44




financial instruments for speculative or trading activities. At March 31, 2007, we held the following significant foreign exchange contracts to hedge the anticipated cash flows from forecasted foreign currency denominated sales outstanding:

Hedged Currency

 

(BUY) / SELL
Local Currency

 

Weighted
Spot
Contract Rate

 

Weighted
Forward
Contract Rate

 

Fair Value

 

Maturity

 

Euro

 

5,980,000

 

$1.273

 

$1.298

 

$

(219,588

)

Apr-May 2007

 

Euro

 

8,186,000

 

$1.272

 

$1.294

 

$

(357,632

)

June-Aug 2007

 

Euro

 

8,098,000

 

$1.284

 

$1.302

 

$

(314,041

)

Sep-Nov 2007

 

Euro

 

8,506,000

 

$1.305

 

$1.320

 

$

(201,885

)

Dec 2007-Feb 2008

 

Japanese Yen

 

881,000,000

 

112.5 per US$

 

107.5 per US$

 

$

616,191

 

Apr-May 2007

 

Japanese Yen

 

1,467,000,000

 

116.9 per US$

 

111.7 per US$

 

$

380,768

 

June-Aug 2007

 

Japanese Yen

 

1,459,000,000

 

117.5 per US$

 

112.6 per US$

 

$

143,399

 

Sep-Nov 2007

 

Japanese Yen

 

1,280,000,000

 

120.0 per US$

 

115.0 per US$

 

$

(215,795

)

Dec 2007-Feb 2008

 

 

 

 

 

 

 

 

 

$

(168,583

)

 

 

 

We estimate the change in the fair value of all forward contracts assuming both a 10% strengthening and weakening of the U.S. dollar relative to all other major currencies. In the event of a 10% strengthening of the U.S. dollar, the change in fair value of all forward contracts would result in a $10.1 million increase in the fair value of the forward contracts; whereas a 10% weakening of the U.S. dollar would result in a $11.1 million decrease in the fair value of the forward contracts.

Interest Rate Risk

All of our long-term debt is at fixed interest rates. Accordingly, a change in interest rates has an insignificant effect on our interest expense amounts. The fair value of our long-term debt, however, does change in response to interest rates movements due to its fixed rate nature. At March 31, 2007, the fair value of our long-term debt was approximately $0.8 million higher than the value of the debt reflected on our financial statements. This higher fair market is entirely related to our $6.7 million, 8.41% real estate mortgage.

At April 1, 2006, the fair value of our long-term debt was approximately $1.0 million higher than the value of the debt reflected on our financial statements. This higher fair market is entirely related to our $5.7 million, 7.05% fixed rate senior notes and our $7.3 million, 8.41% real estate mortgage.

Using scenario analysis, if we changed the interest rate on all long-term maturities by 10% from the rate levels that existed at March 31, 2007 the fair value of our long-term debt would change by approximately $0.1 million.

Concentration of Credit Risk and Significant Customers

Financial instruments that potentially subject the Company to concentrations of credit risk consist primarily of cash equivalents, accounts receivable and investment in sales type lease receivables. Sales to one unaffiliated Japanese customer, the Japanese Red Cross Society, amounted to $70.3 million, $79.0 million and $90.5 million in 2007, 2006 and 2005, respectively. Accounts receivable balances attributable to this customer accounted for 15.8%, 15.7% and 18.7% of our consolidated accounts receivable at fiscal year 2007, 2006 and 2005, respectively. While the accounts receivable related to the Japanese Red Cross Society may be significant, we do not believe the credit loss risk to be significant given the consistent payment history by this customer.

Certain other markets and industries can expose us to concentrations of credit risk. For example, in our commercial plasma business, we tend to have only a few customers in total but they are large in size. As a result, our accounts receivable extended to any one of these commercial plasma customers can be somewhat significant at any point in time.

45




Item 8                           Financial Statements and Supplementary Data

HAEMONETICS CORPORATION AND SUBSIDIARIES
CONSOLIDATED STATEMENTS OF INCOME

(In thousands, except per share data)

 

 

Years Ended

 

 

 

March 31,

 

April 1,

 

April 2,

 

 

 

2007

 

2006(a)

 

2005(a)

 

Net revenues

 

$

449,607

 

$

419,733

 

$

383,598

 

Cost of goods sold

 

222,307

 

199,198

 

185,722

 

Gross profit

 

227,300

 

220,535

 

197,876

 

Operating expenses:

 

 

 

 

 

 

 

Research and development

 

23,884

 

26,516

 

19,994

 

Selling, general and administrative

 

137,073

 

121,351

 

118,039

 

Cost to Equity

 

225

 

680

 

406

 

In process research & development

 

9,073

 

 

 

 

Arbitration & Settlement Income

 

(5,700

)

(26,350

)

 

Total operating expenses

 

164,555

 

122,197

 

138,439

 

Operating income

 

62,745

 

98,338

 

59,437

 

Interest expense

 

(1,256

)

(1,917

)

(2,361

)

Interest income

 

7,864

 

6,963

 

2,233

 

Other income, net

 

2,983

 

2,818

 

126

 

Income before provision for income taxes

 

72,336

 

106,202

 

59,435

 

Provision for income taxes

 

23,227

 

37,806

 

20,202

 

Net income

 

$

49,109

 

$

68,396

 

$

39,233

 

Basic income per common share

 

 

 

 

 

 

 

Net income

 

$

1.84

 

$

2.58

 

$

1.54

 

Income per common share assuming dilution

 

 

 

 

 

 

 

Net income

 

$

1.78

 

$

2.49

 

$

1.50

 

Weighted average shares outstanding

 

 

 

 

 

 

 

Basic

 

26,746

 

26,478

 

25,523

 

Diluted

 

27,649

 

27,474

 

26,145

 


(a)           Reflects the adjustment to convert our investment in Arryx, Inc. to the equity method for periods prior to the acquisition. See Footnote #3

46




HAEMONETICS CORPORATION AND SUBSIDIARIES
CONSOLIDATED BALANCE SHEETS
(In thousands, except share data)

 

 

March 31, 2007

 

April 1, 2006(a)

 

ASSETS

 

 

 

 

 

 

 

 

 

Current assets:

 

 

 

 

 

 

 

 

 

Cash and cash equivalents

 

 

$

229,227

 

 

 

$

250,667

 

 

Accounts receivable, less allowance of $1,440 in 2007 and $1,086 in 2006

 

 

91,832

 

 

 

86,901

 

 

Inventories, net

 

 

61,797

 

 

 

54,571

 

 

Deferred tax asset, net

 

 

11,748

 

 

 

11,156

 

 

Prepaid expenses and other current assets

 

 

9,067

 

 

 

15,109

 

 

Total current assets

 

 

403,671

 

 

 

418,404

 

 

Property, plant and equipment:

 

 

 

 

 

 

 

 

 

Land, building and building improvements

 

 

41,649

 

 

 

39,570

 

 

Plant equipment and machinery

 

 

85,140

 

 

 

69,729

 

 

Office equipment and information technology

 

 

34,320

 

 

 

40,759

 

 

Haemonetics equipment

 

 

149,745

 

 

 

133,418

 

 

Total property, plant and equipment

 

 

310,854

 

 

 

283,476

 

 

Less: accumulated depreciation

 

 

220,079

 

 

 

208,210

 

 

Net property, plant and equipment

 

 

90,775

 

 

 

75,266

 

 

Other assets:

 

 

 

 

 

 

 

 

 

Other intangibles, less amortization of $17,284 in 2007 and $14,446 in 2006

 

 

33,857

 

 

 

22,945

 

 

Goodwill

 

 

34,958

 

 

 

18,483

 

 

Deferred tax asset, long term

 

 

4,513

 

 

 

1,237

 

 

Other long-term assets

 

 

4,961

 

 

 

9,122

 

 

Total other assets

 

 

78,289

 

 

 

51,787

 

 

Total assets

 

 

$

572,735

 

 

 

$

545,457

 

 

LIABILITIES AND STOCKHOLDERS’ EQUITY

 

 

 

 

 

 

 

 

 

Current liabilities:

 

 

 

 

 

 

 

 

 

Notes payable and current maturities of long-term debt

 

 

$

22,201

 

 

 

$

26,176

 

 

Accounts payable

 

 

17,187

 

 

 

14,217

 

 

Accrued payroll and related costs

 

 

14,522

 

 

 

18,318

 

 

Accrued income taxes

 

 

1,163

 

 

 

10,264

 

 

Other liabilities

 

 

26,944

 

 

 

19,141

 

 

Total current liabilities

 

 

82,017

 

 

 

88,116

 

 

Long-term debt, net of current maturities

 

 

6,675

 

 

 

12,977

 

 

Other long-term liabilities

 

 

4,395

 

 

 

3,800

 

 

Commitments and contingencies (Note 9)

 

 

 

 

 

 

 

 

 

Stockholders’ equity:

 

 

 

 

 

 

 

 

 

Common stock, $0.01 par value; Authorized—150,000,000 shares;

 

 

 

 

 

 

 

 

 

Issued—26,516,979 shares in 2007 and 26,829,249 shares in 2006

 

 

265

 

 

 

268

 

 

Additional paid-in capital

 

 

163,815

 

 

 

141,371

 

 

Retained earnings

 

 

315,767

 

 

 

301,759

 

 

Accumulated other comprehensive loss

 

 

(199

)

 

 

(2,834

)

 

Total Stockholders’ equity

 

 

479,648

 

 

 

440,564

 

 

Total liabilities and stockholders’ equity

 

 

$

572,735

 

 

 

$

545,457

 

 


(a)           Reflects the adjustment to convert our investment in Arryx, Inc. to the equity method for periods prior to the acquisition. See Footnote #3

The accompanying notes are an integral part of these consolidated financial statements.

47




HAEMONETICS CORPORATION AND SUBSIDIARIES
CONSOLIDATED STATEMENTS OF STOCKHOLDERS’ EQUITY
(In thousands)

 

 

Common Stock

 

Additional
Paid-in

 

Treasury

 

Retained

 

Accumulated
Other
Comprehensive

 

Total
Stockholders’

 

Comprehensive

 

 

 

Shares

 

$’s

 

Capital

 

Stock

 

Earnings

 

Loss

 

Equity

 

Income

 

Balance, April 3, 2004

 

 

32,648

 

 

$

326

 

 

$

127,744

 

 

$

(164,077

)

$

322,291

 

 

$

(6,535

)

 

 

$

279,749

 

 

 

 

 

 

Employee stock purchase plan

 

 

 

 

 

 

10

 

 

919

 

 

 

 

 

 

929

 

 

 

 

 

 

Exercise of stock options and related tax benefit

 

 

1,055

 

 

11

 

 

28,971

 

 

 

 

 

 

 

 

28,982

 

 

 

 

 

 

Net income

 

 

 

 

 

 

 

 

 

39,233

 

 

 

 

 

39,233

 

 

 

39,233

 

 

Net change in minimum pension liability

 

 

 

 

 

 

 

 

 

 

 

129

 

 

 

129

 

 

 

129

 

 

Foreign currency translation adjustment

 

 

 

 

 

 

 

 

 

 

 

1,939

 

 

 

1,939

 

 

 

1,939

 

 

Unrealized gain on
derivatives

 

 

 

 

 

 

 

 

 

 

 

3,768

 

 

 

3,768

 

 

 

3,768

 

 

Comprehensive income

 

 

 

 

 

 

 

 

 

 

 

 

 

 

 

 

 

45,069

 

 

Reclassification of treasury stock to common stock

 

 

(7,526

)

 

$

(75

)

 

$

(34,922

)

 

$

163,158

 

$

(128,161

)

 

 

 

 

 

 

 

 

 

 

 

 

Balance, April 2, 2005(a)

 

 

26,177

 

 

$

262

 

 

$

121,803

 

 

$

 

$

233,363

 

 

$

(699

)

 

 

$

354,729

 

 

 

 

 

 

Employee stock purchase plan

 

 

48

 

 

 

 

1,496

 

 

 

 

 

 

 

 

1,496

 

 

 

 

 

 

Exercise of stock options and related tax benefit

 

 

604

 

 

6

 

 

18,072

 

 

 

 

 

 

 

 

18,078

 

 

 

 

 

 

Net income

 

 

 

 

 

 

 

 

 

68,396

 

 

 

 

 

68,396

 

 

 

68,396

 

 

Net change in minimum pension liability

 

 

 

 

 

 

 

 

 

 

 

260

 

 

 

260

 

 

 

260

 

 

Foreign currency translation adjustment

 

 

 

 

 

 

 

 

 

 

 

(5,346

)

 

 

(5,346

)

 

 

(5,346

)

 

Unrealized gain on
derivatives

 

 

 

 

 

 

 

 

 

 

 

2,951

 

 

 

2,951

 

 

 

2,951

 

 

Comprehensive income

 

 

 

 

 

 

 

 

 

 

 

 

 

 

 

 

 

66,261

 

 

Balance, April 1, 2006(a)

 

 

26,829

 

 

$

268

 

 

$

141,371

 

 

$

 

$

301,759

 

 

$

(2,834

)

 

 

$

440,564

 

 

 

 

 

 

Employee stock purchase plan

 

 

48

 

 

 

 

1,929

 

 

 

 

 

 

 

 

1,929

 

 

 

 

 

 

Exercise of stock options and related tax benefit

 

 

493

 

 

5

 

 

15,155

 

 

 

 

 

 

 

 

15,160

 

 

 

 

 

 

Shares repurchaed—Authorized Unissued

 

 

(853

)

 

(8

)

 

(4,891

)

 

 

 

(35,101

)

 

 

 

 

 

(40,000

)

 

 

 

 

 

Stock Compensation expense

 

 

 

 

 

 

10,251

 

 

 

 

 

 

 

 

10,251

 

 

 

 

 

 

Net income

 

 

 

 

 

 

 

 

 

49,109

 

 

 

 

 

49,109

 

 

 

49,109

 

 

Initial impact upon adoption of SFAS No. 158, net of taxes

 

 

 

 

 

 

 

 

 

 

 

(90

)

 

 

(90

)

 

 

 

 

 

Foreign currency translation adjustment

 

 

 

 

 

 

 

 

 

 

 

6,096

 

 

 

6,096

 

 

 

6,096

 

 

Unrealized loss on derivatives

 

 

 

 

 

 

 

 

 

 

 

(3,371

)

 

 

(3,371

)

 

 

(3,371

)

 

Comprehensive income

 

 

 

 

 

 

 

 

 

 

 

 

 

 

 

 

 

51,834

 

 

Balance, March 31, 2007

 

 

26,517

 

 

$

265

 

 

$

163,815

 

 

$

 

$

315,767

 

 

$

(199

)

 

 

$

479,648

 

 

 

 

 

 


(a)                 Reflects the adjustment to convert our investment in Arryx, Inc. to the equity method for periods prior to the acquisition. See Footnote #3

The accompanying notes are an integral part of these consolidated financial statements.

48




HAEMONETICS CORPORATION AND SUBSIDIARIES
CONSOLIDATED STATEMENTS OF CASH FLOWS
(In thousands)

 

 

Years Ended

 

 

 

March 31,
2007

 

April 1,
2006(a)

 

April 2,
2005(a)

 

Cash Flows from Operating Activities:

 

 

 

 

 

 

 

 

 

Net income

 

 

$

49,109

 

 

$

68,396

 

$

39,233

 

In-process research and development and Cost to equity

 

 

$

9,298

 

 

$

680

 

$

406

 

Adjustments to reconcile net income to net cash provided by operating activities:

 

 

 

 

 

 

 

 

 

Non cash items:

 

 

 

 

 

 

 

 

 

Depreciation and amortization

 

 

27,504

 

 

25,150

 

27,576

 

Impairment of intangible assets

 

 

 

 

3,750

 

1,700

 

Stock Compensation Expense

 

 

10,251

 

 

 

 

Deferred tax (income) / expense

 

 

 

 

(290

)

3,965

 

Gain on sales of plant, property and equipment

 

 

(1,073

)

 

(2,588

)

(3,594

)

Tax benefit related to exercise of stock options

 

 

 

 

2,964

 

3,729

 

Unrealized (gain) / loss from hedging activities

 

 

(3,109

)

 

1,996

 

(1,296

)

Change in operating assets and liabilities:

 

 

 

 

 

 

 

 

 

Decrease / (Increase) in accounts receivable, net

 

 

77

 

 

(10,305

)

3,025

 

(Increase) decrease in inventories

 

 

(8,520

)

 

(5,501

)

(4,730

)

Decrease / (increase) in prepaid income taxes

 

 

3,775

 

 

187

 

(4,274

)

(Increase) / Decrease in other assets and other long-term liabilities

 

 

(1,828

)

 

(1,373

)

2,121

 

Decrease / (Increase) in accounts payable and accrued expenses

 

 

(1,921

)

 

2,550

 

3,346

 

Net cash provided by operating activities

 

 

83,563

 

 

85,616

 

71,207

 

Cash Flows from Investing Activities:

 

 

 

 

 

 

 

 

 

Purchases of short-term investments

 

 

 

 

 

(49,800

)

Gross proceeds from sale of short-term investments

 

 

 

 

 

88,450

 

Capital expenditures on property, plant and equipment

 

 

(40,438

)

 

(33,774

)

(17,530

)

Proceeds from sale of property, plant and equipment

 

 

2,843

 

 

5,689

 

8,917

 

Acquisition of Information Data Management (“IDM”)

 

 

(9,274

)

 

 

 

Acquisition of Arryx, Inc.

 

 

(23,227

)

 

 

 

Acquisition of patents

 

 

 

 

 

(4,019

)

Acquisition of licensing rights

 

 

 

 

(3,000

)

(570

)

Software development company milestone payments

 

 

(1,020

)

 

(1,020

)

(1,020

)

Investment in preferred stock

 

 

 

 

 

(5,000

)

Net cash (used in) / provided by investing activities

 

 

(71,116

)

 

(32,105

)

19,428

 

Cash Flows from Financing Activities:

 

 

 

 

 

 

 

 

 

Payments on long-term real estate mortgage

 

 

(588

)

 

(540

)

(457

)

Net increase / (decrease) in short-term revolving credit agreements

 

 

(4,127

)

 

1,342

 

(5,480

)

Payments on long-term credit agreements

 

 

(5,715

)

 

(5,714

)

(5,714

)

Employee stock purchase plan

 

 

1,929

 

 

1,496

 

929

 

Exercise of stock options

 

 

12,947

 

 

15,114

 

25,253

 

Stock Repurchase

 

 

(40,000

)

 

 

 

Grant monies received

 

 

 

 

396

 

 

Net cash (used in) / provided by financing activities

 

 

(35,554

)

 

12,094

 

14,531

 

Effect of Exchange Rates on Cash and Cash Equivalents

 

 

1,667

 

 

(753

)

1,182

 

Net Increase in Cash and Cash Equivalents

 

 

(21,440

)

 

64,852

 

106,348

 

Cash and Cash Equivalents at Beginning of Year

 

 

250,667

 

 

185,815

 

79,467

 

Cash and Cash Equivalents at End of Period

 

 

$

229,227

 

 

$

250,667

 

$

185,815

 

Non-cash Investing and Financing Activities:

 

 

 

 

 

 

 

 

 

Transfers from inventory to fixed assets for placements of Haemonetics equipment

 

 

$

2,820

 

 

$

2,086

 

$

4,180

 

Supplemental Disclosures of Cash Flow Information:

 

 

 

 

 

 

 

 

 

Interest paid

 

 

$

1,460

 

 

$

1,904

 

$

2,357

 

Income taxes paid

 

 

$

27,504

 

 

$

38,089

 

$

12,764

 


(a)                 Reflects the adjustment to convert our investment in Arryx, Inc. to the equity method for periods prior to the acquisition. See Footnote #3

The accompanying notes are an integral part of these consolidated financial statements.

49




HAEMONETICS CORPORATION AND SUBSIDIARIES
NOTES TO CONSOLIDATED FINANCIAL STATEMENTS

1.   DESCRIPTION OF THE BUSINESS

The Company designs, manufactures and markets automated systems and single-use disposables for the collection, processing and surgical salvage of blood as well as associated data management technology. In addition, the Company is engaged in marketing partnerships under which we sell other products supporting the blood collection and surgical industries.

2.   SUMMARY OF SIGNIFICANT ACCOUNTING POLICIES

Fiscal Year

Our fiscal year ends on the Saturday closest to the last day in March. Fiscal year 2007, 2006 and 2005 all included 52 weeks.

Principles of Consolidation

The accompanying consolidated financial statements include all accounts including those of our subsidiaries. All significant intercompany accounts and transactions have been eliminated in consolidation.

Use of Estimates

The preparation of financial statements in conformity with GAAP requires us to make estimates and assumptions that affect the reported amounts of assets and liabilities and disclosure of contingent assets and liabilities at the date of the financial statements and the reported amounts of revenues and expenses during the reporting period. Actual results could vary from the amounts derived from our estimates and assumptions.

Reclassifications

Certain reclassifications have been made to prior years’ amounts to conform to the current year’s presentation.

Revenue Recognition

Our revenue recognition policy is to recognize revenues from product sales, software and services in accordance with SAB No. 104, “Revenue Recognition” which requires that revenues are recognized when persuasive evidence of an arrangement exists, product delivery, including customer acceptance, has occurred or services have been rendered, the price is fixed or determinable and collectibility is reasonably assured.

Multiple element arrangements

When more than one element such as equipment, disposables and services are contained in a single arrangement, we allocate revenue between the elements based on each element’s relative fair value, provided that each element meets the criteria for treatment as a separate unit of accounting. An item is considered a separate unit of accounting if it has value to the customer on a stand alone basis and there is objective and reliable evidence of the fair value of the undelivered items. The fair value of the undelivered elements is determined by the price charged when the element is sold separately, or in cases when the item is not sold separately, by the using other objective evidence as defined in Emerging Issues Task Force (EITF) Issue No. 00-21, “Revenue Arrangements with Multiple Deliverables.”

50




Product Revenues

Product sales consist of the sale of our equipment devices, the related disposables used in these devices and intravenous solutions manufactured for pharmaceutical companies. On product sales to customers, revenue is recognized when both the title and risk of loss have transferred to the customer as determined by the shipping terms and all post delivery obligations have been achieved to the full satisfaction of the customer. Examples of common post delivery obligations are installation and training. For product sales to distributors, we recognize revenue for both equipment and disposables upon shipment of these products to our distributors. Our standard contracts with our distributors state that title to the equipment passes to the distributors at point of shipment to a distributor's location. The distributors are responsible for shipment to the end customer along with installation, training and acceptance of the equipment by the end customer. All shipments to distributors are at contract prices and payment is not contingent upon resale of the product.

Software and Service Revenues

Software sales consist of the sale of our donor management information technology developed by our subsidiary, 5D and the newly acquired IDM business. We record software sales in accordance with Statement of Position (“SOP”) 97-2, “Software Revenue Recognition,” as amended. Software license revenues are generally recognized upon delivery provided persuasive evidence of an arrangement exists, fees are fixed or determinable and collection is deemed probable. Our software and service business model includes the provision of services, including in some instances hosting, technical support, and maintenance, for the payment of periodic, monthly or quarterly fees. We recognize these fees and charges as earned, typically as these services are provided during the contract period.

Translation of Foreign Currencies

All assets and liabilities of foreign subsidiaries are translated at the rate of exchange at year-end while sales and expenses are translated at an average rate in effect during the year. The net effect of these translation adjustments is shown in the accompanying financial statements as a component of stockholders’ equity. Foreign currency transaction gains and losses are included in other income, net on the consolidated statements of income.

Cash and Cash Equivalents

Cash equivalents include various instruments such as money market funds, U.S. government obligations and commercial paper with maturities of three months or less at date of acquisition. Cash and cash equivalents are recorded at cost, which approximates fair market value. As of March 31, 2007, Haemonetics’ Cash and Cash Equivalents consisted solely of investments in tax exempt money market funds.

Short Term Investments

As of March 31, 2007 and April 1, 2006 we held no short term investments. During fiscal 2005 our short term investments, consisted of auction rate debt securities and were categorized as available for sale under the provisions of SFAS Statement No. 115, “Accounting for Certain Investments in Debt and Equity Securities.” Accordingly, our investments in these securities were recorded at cost, which approximates fair value due to their variable interest rates, which typically reset every 28 to 35 days. Despite the long-term nature of the stated contractual maturities of these investments, we had the ability to liquidate these securities prior to their stated maturity date. As a result of the resetting variable rates, we had no cumulative gross unrealized or realized holding gains or losses from these investments during fiscal year 2005. All income generated from these investments was recorded as interest income. Proceeds from these short term investments totaled approximately $88.5 million during fiscal year 2005.

51




Allowance for Doubtful Accounts

We establish a specific allowance for customers when it is probable that they will not be able to meet their financial obligation. Customer accounts are reviewed individually on a regular basis and appropriate reserves are established as deemed appropriate. We also maintain a general reserve using a percentage based upon an aging method. We establish percentages for balances not yet due and past due accounts based on past experience.

Concentration of Credit Risk and Significant Customers

Financial instruments that potentially subject the Company to concentrations of credit risk consist primarily of cash equivalents and accounts receivable. Sales to one unaffiliated Japanese customer, the Japanese Red Cross Society, amounted to $70.3 million, $79.0 million, and $90.5 million for 2007, 2006 and 2005, respectively. Accounts receivable balances attributable to this customer accounted for 15.8%, 15.7% and 18.7% of our consolidated accounts receivable at fiscal year end 2007, 2006 and 2005, respectively. While the accounts receivable related to the Japanese Red Cross Society may be significant, we do not believe the credit loss risk to be significant given the consistent payment history by this customer.

Certain other markets and industries can expose us to concentrations of credit risk. For example, in our commercial plasma business, we tend to have only a few customers in total but they are large in size. As a result, our accounts receivable extended to any one of these commercial plasma customers can be somewhat significant at any point in time.

Property, Plant and Equipment

Property, Plant and Equipment is recorded at historical cost. We provide for depreciation and amortization by charges to operations using the straight-line method in amounts estimated to recover the cost of the building and improvements, equipment, and furniture and fixtures over their estimated useful lives as follows:

Asset Classification

 

 

 

Estimated
Useful Lives

 

Building

 

30 Years

 

Building and leasehold improvements

 

5-25 Years

 

Plant equipment and machinery

 

3-10 Years

 

Office equipment and information technology

 

3-8 Years

 

Haemonetics equipment

 

2-6 Years

 

 

Depreciation expense was $24.4 million, $22.9 million and $25.5 million for fiscal years 2007, 2006, and 2005, respectively.

Leasehold improvements are amortized over the lesser of their useful lives or the term of the lease. Maintenance and repairs are charged to operations as incurred. When equipment and improvements are sold or otherwise disposed of, the asset cost and accumulated depreciation are removed from the accounts, and the resulting gain or loss, if any, is included in the statements of income. Fully depreciated assets are removed from the accounts when they are no longer in use.

Haemonetics equipment is comprised of medical devices installed at customer sites. These devices remain our property. Generally the customer has the right to use it for a period of time as long as they meet the conditions we have established, which among other things, generally include one or both of the following:

·                    Purchase and consumption of a certain level of disposable products

·                    Payment of monthly rental fees

52




Periodically we review the useful lives of our devices and perform reviews to determine if a group of these devices is impaired. To conduct these reviews we estimate the future amount and timing of demand for these devices. Changes in expected demand can result in additional depreciation expense, which is classified as cost of goods sold. Any significant unanticipated changes in demand could impact the value of our devices and our reported operating results. Expenditures for normal maintenance and repairs are charged to expense as incurred.

Change in Depreciable Lives of Property and Equipment

In accordance with our policy, the Company reviews the estimated useful lives of our property, plant and equipment on an ongoing basis. During fiscal year 2007 we increased the estimated useful life of our PCS2 device, used by our commercial plasma customers.

As we have signed several long term contracts for the use of this device, we increased the useful life of these devices from 4 years to 6 years to reflect the estimated periods during which these assets will remain in service. The effect of this change in estimate was to reduce 2007 depreciation expense by $0.5 million, increase 2007 net income by $0.3 million and increase 2007 basic and diluted earnings per share by $0.01

Accounting for Long-Lived Assets: Goodwill and Other Intangible Assets

Intangible assets acquired in a business combination, including licensed technology, are recorded under the purchase method of accounting at their estimated fair values at the date of acquisition. Goodwill represents the excess purchase price over the fair value of the net tangible and other identifiable intangible assets acquired. We amortize our other intangible assets over their useful lives, as applicable.

Goodwill and certain other intangible assets, determined to have an indefinite life, are not amortized. Instead these assets are reviewed for impairment at least annually in accordance with SFAS No. 142, “Goodwill and Other Intangible Assets.” We perform our annual impairment test on January 1st (or the first business day immediately following that date). As we only have one reporting unit, the test is based on a fair value approach, which uses our market capitalization as the basis reduced by the excess of the fair market value of our long-term debt over its carrying value, as identified in our assessment of interest rate risk of the entity as a whole. The test showed no evidence of impairment to our goodwill and other indefinite lived assets for fiscal 2007 or 2006.

We review our intangible assets and their related useful lives at least once a year to determine if any adverse conditions exist that would indicate the carrying value of these assets may not be recoverable. We conduct more frequent impairment assessments if certain conditions exist, including: a change in the competitive landscape, any internal decisions to pursue new or different technology strategies, a loss of a significant customer, or a significant change in the market place including changes in the prices paid for our products or changes in the size of the market for our products.

An impairment results if the carrying value of the asset exceeds the sum of the future undiscounted cash flows expected to result from the use and disposition of the asset. The amount of the impairment would be determined by comparing the carrying value to the fair value of the asset. Fair value is generally determined by calculating the present value of the estimated future cash flows using an appropriate discount rate. The projection of the future cash flows and the selection of a discount rate require significant management judgment. The key variables that management must estimate include sales volume, prices, inflation, product costs, capital expenditures and sales and marketing costs. For developed technology that has not been deployed we also must estimate the likelihood of both pursuing a particular strategy and the level of expected market adoption.

If the estimate of an intangible asset’s remaining useful life is changed, the remaining carrying amount of the intangible asset is amortized prospectively over the revised remaining useful life.

53




Accounting for the Costs of Computer Software to be Sold, Leased, or Otherwise Marketed.

SFAS No. 86, “Accounting for the Cost of Computer Software to be Sold, Leased or Otherwise Marketed”, specifies that costs incurred internally in researching and developing a computer software product should be charged to expense until technological feasibility has been established for the product. Once technological feasibility is established, all software costs should be capitalized until the product is available for general release to customers. In connection with the development of our next generation Donor apheresis platform, the Company capitalized $5.9 million in software development costs. All costs capitalized were incurred after a detailed design of the software was developed and research and development activities on the underlying device were completed. We will begin to amortize these costs when the device is released for sale.

Research and Development Expenses

All research and development costs are expensed as incurred. Research and development expense was $23.9 million for fiscal year 2007, exclusive of the Arryx In-process Research and Development costs (see Footnote #3 Acquisition), $26.5 million for fiscal year 2006 and $20.0 million for fiscal year 2005. During fiscal years 2006 and 2005, we recognized impairment charges in research and development expenses of $3.8 million and $1.7 million, respectively, due to the excess of the carrying value over the fair market value of intangible assets.

Accounting for Shipping and Handling Costs

Shipping and handling costs are included in costs of goods sold with the exception of $7.0 million for fiscal year 2007, $5.6 million for fiscal year 2006 and $4.9 million for fiscal year 2005 that are included in selling, general and administrative expenses.

Income Taxes

The income tax provision is calculated for all jurisdictions in which we operate. This process involves estimating actual current taxes due plus assessing temporary differences arising from differing treatment for tax and accounting purposes that are recorded as deferred tax assets and liabilities. Deferred tax assets are periodically evaluated to determine their recoverability and a valuation allowance is established with a corresponding additional income tax provision recorded in our consolidated statements of income if their recovery is not considered likely. The provision for income taxes could also be materially impacted if actual taxes due differ from our earlier estimates. As of March 31, 2007, a $0.4 million valuation allowance existed on our balance sheet. The total net deferred tax asset as of March 31, 2007 was $16.3 million.

We file income tax returns in all jurisdictions in which we operate. We establish reserves to provide for additional income taxes that may be due in future years as these previously filed tax returns are audited. These reserves have been established based on management’s assessment as to the potential exposure attributable to permanent differences and interest applicable to both permanent and temporary differences. All tax reserves are analyzed periodically and adjustments are made as events occur that warrant modification.

Foreign Currency

We enter into forward exchange contracts to hedge the probable cash flows from forecasted inter company foreign currency denominated revenues, principally Japanese Yen and Euro. The purpose of our hedging strategy is to lock in foreign exchange rates for twelve months to minimize, for this period of time, the unforeseen impact on our results of operations of fluctuations in foreign exchange rates. We also enter into forward contracts that settle within 35 days to hedge certain inter-company receivables denominated in foreign currencies. These derivative financial instruments are not used for trading purposes. The

54




forward exchange contracts are recorded at fair value and are included in other current assets or other current liabilities on our consolidated balance sheets. The gains or losses on the forward exchange contracts designated as hedges are recorded in net revenues on our consolidated statements of income when the underlying hedge transaction effects earning. The cash flows related to the gains and losses on these foreign currency hedges are classified in the consolidated statements of cash flows as part of cash flows from operating activities. In the event the hedged forecasted transaction does not occur, or it becomes probable that it will not occur, the Company would reclassify any gain or loss on the related cash flow hedge from other comprehensive income to earnings at that time. The ineffective portion of a derivative’s change in fair value is recognized currently in other income, net on our consolidated statements of income.

Stock-Based Compensation

On April 2, 2006, we adopted FASB Statement No. 123(R), Share-Based Payment, which requires all share-based payments to employees, including grants of employee stock options, to be recognized in the consolidated statements of operations based on their fair values. We adopted Statement No. 123(R) using the “modified-prospective method” and have not restated prior period results of operations and financial position to reflect the impact of stock-based compensation expense under Statement No. 123(R). We use the Black-Scholes option-pricing model to calculate the grant-date fair value of our stock options. The following assumptions, which involve the use of judgment by management, are used in the computation of the grant-date fair value of our stock options:

Expected Volatility—We have principally used our historical volatility as a basis to estimate expected volatility in our valuation of stock options.

Expected Term—We estimate the expected term of our options using historical exercise and forfeiture data. We believe that this historical data is currently the best estimate of the expected term of our new option grants.

Additionally, after determining the fair value of our stock options, we use judgment in establishing an estimated forfeiture rate, to determine the amount of stock based compensation to record each period:

Estimated Forfeiture Rate—We have applied, based on an analysis of our historical forfeitures, an annual forfeiture rate of eight percent to all unvested stock options as of March 31, 2007, which represents the portion that we expect will be forfeited each year over the vesting period. We reevaluate this analysis periodically and adjust the forfeiture rate as necessary. Ultimately, we will only recognize expense for those shares that vest.

Valuation of Acquisitions

We allocate the amounts we pay for each acquisition to the assets we acquire and liabilities we assume based on their fair values at the dates of acquisition, including acquired identifiable intangible assets, and purchased research and development. We base the fair value of identifiable intangible assets on detailed valuations that use information and assumptions provided by management. We allocate any excess purchase price over the fair value of the net tangible and intangible assets acquired to goodwill. The use of alternative valuation assumptions, including estimated cash flows and discount rates, and alternative estimated useful life assumptions could result in different purchase price allocations, purchased research and development charges, and intangible asset amortization expense in current and future periods.

The valuation of purchased research and development represents the estimated fair value at the dates of acquisition related to in-process projects. Our purchased research and development represents the value of an in-process project that has not yet reached technological feasibility and has no alternative future use as of the date of acquisition. We expensed the value attributable to the in-process project at the time of the

55




acquisition. If the project is not successful or completed in a timely manner, we may not realize the financial benefits expected from this project or for the acquisition as a whole.

We use the income approach to determine the fair values of our purchased research and development. This approach determines fair value by estimating the after-tax cash flows attributable to an in-process project over its useful life and then discounting these after-tax cash flows back to a present value. We base our revenue assumptions on estimates of relevant market sizes, expected market growth rates, expected trends in technology and expected product introductions by competitors. In arriving at the value of the in-process projects, we consider, among other factors: the in-process projects’ stage of completion; the complexity of the work completed as of the acquisition date; the costs already incurred; the projected costs to complete; the contribution of core technologies and other acquired assets; the expected introduction date; and the estimated useful life of the technology. We base the discount rate used to arrive at a present value as of the date of acquisition on the time value of money and medical technology investment risk factors. For the in-process project we acquired in FY 07, we used a 26% risk-adjusted discount rate to discount our projected cash flows. We believe that the estimated purchased research and development amounts so determined represent the fair value at the date of acquisition and do not exceed the amount a third party would pay for the project.

Recent Accounting Pronouncements

In June 2006, the FASB issued FASB Interpretation No. 48, “Accounting for Uncertainty in Income Taxes” which is an interpretation of FASB Statement 109, “Accounting for Income Taxes”. Interpretation No. 48 requires management to perform a two step evaluation for all tax positions, ensuring that these tax return positions meet the “more-likely than not” recognition threshold and can be measured with sufficient precision to determine the benefit recognized in the financial statements. This interpretation provides management with a comprehensive model for how the Company should recognize, measure, present, and disclose in its financial statements tax positions that the Company has taken or expects to take on their income tax returns. The Company does not believe that this will have a material impact on our results of operations. This statement is effective for our fiscal year 2008.

In September 2006, the FASB issued FASB No. 157, “Fair Value Measurements” (“FASB No. 157”), which addresses how companies should measure fair value when they are required to use a fair value measure for recognition or disclosure purposes under generally accepted accounting principles. FASB No. 157 defines fair value, establishes a framework for measuring fair value in generally accepted accounting principles and expands disclosures about fair value measurements. FASB No. 157 is effective for financial statements issued for fiscal years beginning after November 15, 2007 and should be applied prospectively, except in the case of a limited number of financial instruments that require retrospective application. We are currently evaluating the potential impact of FASB No. 157 on our financial position and results of operations. This statement is effective for our fiscal year 2008.

In February 2007, the FASB issued FASB No. 159, “The Fair Value Option for Financial Assets and Financial Liabilities-including an amendment of FAS 115” (“FASB No. 159”). The new statement allows entities to choose, at specified election dates, to measure eligible financial assets and liabilities at fair value that are not otherwise required to be measured at fair value. If a company elects the fair value option for an eligible item, changes in that item’s fair value in subsequent reporting periods must be recognized in current earnings. FASB No. 159 is effective for fiscal years beginning after November 15, 2007. We are currently evaluating the potential impact of FASB No. 159 on our financial position and results of operations. This statement is effective for our fiscal year 2008.

56




3.   ACQUISITIONS

Arryx, Inc.

On July 18, 2006, the Company acquired the remaining outstanding shares of Arryx, Inc. for $26 million. We previously had a $5 million cost method investment in Arryx, Inc. as well as a license agreement for the use of its technology in a defined field of use with a carrying value of approximately $3 million. The results of Arryx, Inc. have been included in our consolidated financial statements for periods after the acquisition date, and we have restated our prior period financial results to record our cost method investment on the equity method of accounting in accordance with Accounting Principles Board, Opinion No. 18, “The Equity Method of Accounting for Investments in Common Stock” which resulted in recognizing our 18.6% proportionate share of Arryx, Inc. losses in periods prior to the current acquisition. We recorded cumulative equity method losses of $1.3 million for periods prior to the acquisition date. We recorded an in-process research and development charge of $9.1 million in connection with this acquisition.

Purchase Price

The Company has accounted for the acquisition of Arryx, Inc. as the purchase of a business under U.S. Generally Accepted Accounting Principles. Under the purchase method of accounting, the assets and liabilities of Arryx, Inc. were recorded as of the acquisition date, at their respective fair values, and consolidated with those of Haemonetics. The purchase price is based upon estimates of the fair value of assets acquired and liabilities assumed. The purchase price allocation will be finalized no later than one year from the acquisition date. The preparation of the valuation required the use of significant assumptions and estimates. Critical estimates included, but were not limited to, future expected cash flows, including product and license revenues, and the applicable discount rates. These estimates were based on assumptions that the Company believes to be reasonable. However, actual results may differ from these estimates.

The purchase price is as follows

 

 

(in thousands)

 

Consideration for Arryx, Inc.

 

 

 

 

 

Cash portion of consideration

 

 

$

26,521

 

 

License agreement with Arryx, Inc.

 

 

3,298

 

 

Cost Method Investment, representing 18.6% of outstanding Arryx, Inc. Shares

 

 

5,000

 

 

Adjust Cost Method Investment to Equity Method in accordance with Accounting Principles Board Opinion No. 18

 

 

(1,311

)

 

Total Consideration

 

 

33,508

 

 

Other acquisition-related costs

 

 

 

 

 

Other estimated acquisition-related costs

 

 

447

 

 

Total acquisition related costs

 

 

$

33,955

 

 

 

We applied the guidance under EITF 04-1, “Accounting for Preexisting Relationships between the Parties to a Business Combination”, to determine if any gain or loss was inherent in our existing license agreement with Arryx, Inc. We determined that no loss was inherent in this existing contractual relationship with Arryx, Inc., and accordingly included it at its net book value at the acquisition date in the purchase price determination.

57




Purchase Price Allocation

The following chart summarizes the preliminary purchase price allocation

 

 

(in thousands)

 

Cash

 

 

$

3,900

 

 

Intangible assets subject to amortization

 

 

7,427

 

 

Goodwill

 

 

10,743

 

 

Other assets

 

 

565

 

 

Deferred Tax Asset, Long Term

 

 

5,776

 

 

In-process research and development

 

 

9,073

 

 

Current liabilities

 

 

(785

)

 

Deferred tax liabilities

 

 

(2,744

)

 

Total

 

 

$

33,955

 

 

 

The deferred tax asset relates to an acquired federal net operating loss of $15.6 million.

The deferred tax liability primarily relates to the tax impact of future amortization associated with the identified intangible assets acquired, which are not deductible for tax purposes.

The excess of the purchase price over the fair value of net tangible assets acquired was allocated to specific intangible asset categories as follows:

 

 

Amount
Assigned

 

Weighted
Average
Amortization
Period

 

Risk-Adjusted
Discount Rate used in
Purchase Price
Allocation

 

 

 

(in thousands)

 

Amortizable intangible assets

 

 

 

 

 

 

 

 

 

 

 

Technology—developed

 

$

4,134

 

 

12.0 years

 

 

 

26

%

 

Patents

 

3,293

 

 

10.0 years

 

 

 

25

%

 

 

 

$

7,427

 

 

10.5 years

 

 

 

 

 

 

Goodwill

 

$

10,743

 

 

 

 

 

 

 

 

 

In-process research and development

 

$

9,073

 

 

 

 

 

 

29

%

 

 

The Company believes that the estimated intangible assets represent the fair value at the date of acquisition and do not exceed the amount a third party would pay for the assets. The Company used the income approach to determine the fair value of the amortizable intangible assets and purchased research and development.

Various factors contributed to the establishment of goodwill, including: the value of Arryx, Inc.’s highly trained work force as of the acquisition date, the expected business plans and associated revenue from future products and license opportunities. The goodwill acquired is not deductible for tax purposes.

The developed technology acquired represents the value associated with currently marketed product, the BioRx device. This device employs holographic optical trapping (“HOT”) technology, and is currently used by large research and educational institutions. The Company used the income approach to estimate the fair value of the developed technology as of the acquisition date. The Company determined that the estimated useful life of the developed technology is 12 years.

58




The estimated fair value of the patents was determined by using the income approach. The estimated revenues and associated cash flows attributable to the patent portfolio were discounted. The estimated useful life of the patent asset is estimated to be 10 years.

In-process Research and Development

The $9.1 million purchased research and development that was charged to operating expenses consists of a project for the advancement and development of the technology in the blood collection and processing applications and for the purposes of licensing the technology outside of the blood collection and processing marketplace. The project includes work to reduce the size of the technology, including reducing the size of the laser, and developing mechanisms to label samples and collections.

For purposes of valuing the acquired purchased research and development, the Company estimated total costs to complete the current development of the platform of approximately $11 million. We estimate this project will be complete at the end of fiscal year 2008. For the in-process project the Company acquired in connection with the acquisition of Arryx, Inc., it used a risk-adjusted discount rate of 29% to discount the projected cash flows. The Company believes that the estimated purchased research and development amounts so determined represent the fair value at the date of acquisition and do not exceed the amount a third party would pay for the projects.

The major risks and uncertainties associated with the timely and successful completion of the in-process research and development project include the ability to both complete the development of the platform and to establish its effectiveness for different applications for the purposes of licensing the technology outside of the blood collection and processing marketplace.

IDM Acquisition

On January 30, 2007 Haemonetics Corporation acquired the assets of Information Data Management, Inc. (“IDM”) , a leading developer of software for blood collection agencies for about $9 million in cash. IDM's software applications for blood collection, blood laboratory operations, and services complement Haemonetics' 5D suite of software products and services. The purchase price will be principally allocated to intangible assets including customer contractual relationships, completed technology and goodwill. The results of IDM have been included in our consolidated financial statements for periods after the acquisition date 

Purchase Price

The Company has accounted for the acquisition of IDM as the purchase of a business under U.S. Generally Accepted Accounting Principles. Under the purchase method of accounting, the assets and liabilities of IDM were recorded as of the acquisition date, at their respective fair values, and consolidated with those of Haemonetics. The purchase price is based upon estimates of the fair value of assets acquired and liabilities assumed. The purchase price allocation will be finalized no later than one year from the acquisition date. The preparation of the valuation required the use of significant assumptions and estimates. Critical estimates included, but were not limited to, future expected cash flows, including project revenues and expenses, and the applicable discount rates. These estimates were based on assumptions that the Company believes to be reasonable. However, actual results may differ from these estimates.

59




The purchase price is as follows

 

 

(in thousands)

 

Consideration for IDM

 

 

 

 

 

Cash portion of consideration

 

 

$

8,850

 

 

Other estimated acquisition-related costs

 

 

374

 

 

Total purchase price

 

 

$

9,224

 

 

 

Purchase Price Allocation

The following chart summarizes the preliminary purchase price allocation

 

 

(in thousands)

 

Accounts Receivable and Unbilled

 

 

$

186

 

 

Current liabilities

 

 

(898

)

 

Intangible assets subject to amortization

 

 

5,300

 

 

Goodwill

 

 

4,559

 

 

Other assets

 

 

77

 

 

Total

 

 

$

9,224

 

 

 

The excess of the purchase price over the fair value of net tangible assets acquired was allocated to specific intangible asset categories as follows:

 

 

Amount
Assigned

 

Weighted
Average
Amortization
Period

 

Risk-Adjusted
Discount Rate used in
Purchase Price
Allocation

 

 

 

(in thousands)

 

Amortizable intangible assets

 

 

 

 

 

 

 

 

 

 

 

Technology—developed

 

 

$

1,400

 

 

 

7.0 years

 

 

 

 

Customer Relationships

 

 

3,900

 

 

 

11.0 years

 

 

 

 

 

 

 

$

5,300

 

 

 

9.2 years

 

 

 

 

Goodwill

 

 

$

4,559

 

 

 

 

 

 

 

 

 

The Company believes that the estimated intangible assets represent the fair value at the date of acquisition and do not exceed the amount a third party would pay for the assets. The Company used the income approach to determine the fair value of the amortizable intangible assets and purchased research and development.

Various factors contributed to the establishment of goodwill, including: the value of IDM’s highly trained work force as of the acquisition date, the expected business plans and opportunities to introduce future products to their customer base.

Blood collection centers have found that information technology can maximize staff productivity, assist with regulatory compliance, optimize donor resource management and provide management tools to continually improve operations. IDM markets software products which meet the unique needs of blood collectors and which aid customers in blood donor recruitment and management, blood component manufacturing, distribution, and laboratory testing.

60




4.   PRODUCT WARRANTIES

We provide a warranty on parts and labor for one year after the sale and installation of each device. We also warrant our disposable products through their use or expiration. We estimate our potential warranty expense based on our historical warranty experience, and we periodically assess the adequacy of our warranty accrual and make adjustments as necessary.

 

 

March 31, 2007

 

April 1, 2006

 

 

 

(in thousands)

 

Warranty accrual as of the beginning of the period

 

 

$

676

 

 

 

$

703

 

 

Warranty Provision

 

 

1,698

 

 

 

1,909

 

 

Warranty Spending

 

 

(1,640

)

 

 

(1,936

)

 

Warranty accrual as of the end of the period

 

 

$

734

 

 

 

$

676

 

 

 

5.   INVENTORIES, NET

Inventories are stated at the lower of cost or market and include the cost of material, labor and manufacturing overhead. Cost is determined on the first-in, first-out basis.

Inventories consist of the following:

 

 

March 31, 2007

 

April 1, 2006

 

 

 

(in thousands)

 

Raw materials

 

 

$

15,190

 

 

 

$

14,683

 

 

Work-in-process

 

 

7,681

 

 

 

5,528

 

 

Finished goods

 

 

38,927

 

 

 

34,360

 

 

 

 

 

$

61,797

 

 

 

$

54,571

 

 

 

6.   GOODWILL AND OTHER INTANGIBLE ASSETS

The changes in the carrying amount of goodwill for fiscal year 2007, 2006 and 2005 are as follows (in thousands):

Carrying amount as of April 2, 2005

 

$

18,193

 

Earn-out payment

 

1,020

 

Effect of change in rates used for translation

 

(730

)

Carrying amount as of April 1, 2006

 

$

18,483

 

Earn-out payment

 

1,020

 

Arryx, Inc(a)

 

10,743

 

IDM, Inc.(b)

 

4,818

 

Effect of change in rates used for translation

 

(106

)

Carrying amount as of March 31, 2007

 

$

34,958

 


(a)           See Note #3 Acquisition for a full description of the acquisition of Arryx, Inc. which occurred on July 18, 2006.

(b)          See Note #3 Acquisition for a full description of the acquisition of Information Data Management, Inc. (“IDM”), which occurred on January 30, 2007.

Other Intangible Assets

Other intangible assets include the value assigned to license rights and other technology, patents, customer contracts and relationships, software technology, and a trade name.  The estimated useful lives for all of these intangible assets, excluding the trade name as it is considered to have an indefinite life, are

61




6 to 20 years.  During fiscal year 2006, we recognized an impairment charge in research and development expenses of $3.8 million related to the excess of the carrying value over the fair market value of an intangible asset, related to platelet pathogen reduction technology.  Fair market value was determined based on discounted cash flows analysis.  The carrying value of the other technology was reduced to zero.  The impairment was triggered by near term plans by most of the European market to adopt an alternate technology, bacterial detection. 

Aggregate amortization expense for amortized other intangible assets for fiscal year 2007 is $2.8 million. Additionally, expected future amortization expenses on other intangible assets approximates $3.3 million per year for fiscal year 2008, $3.7 million per year for fiscal year 2009 and $4.3 million per year for fiscal years 2010 through 2012.

As of March 31, 2007

 

 

Gross Carrying Amount
(in thousands)

 

Accumulated
Amortization
(in thousands)

 

Weighted Average
Useful Life (in years)

 

Amortized Intangibles

 

 

 

 

 

 

 

 

 

 

 

 

 

Patents

 

 

$

13,834

 

 

 

$

4,679

 

 

 

13

 

 

Other technology

 

 

23,665

 

 

 

8,833

 

 

 

14

 

 

Customer contracts and related relationships

 

 

13,138

 

 

 

3,771

 

 

 

14

 

 

Subtotal

 

 

50,637

 

 

 

17,284

 

 

 

14

 

 

Indefinite Life Intangibles Trade name

 

 

504

 

 

 

n/a

 

 

 

Indefinite

 

 

Total Intangibles

 

 

$

51,141

 

 

 

$

17,284

 

 

 

 

 

 

 

As of April 1, 2006

 

 

Gross Carrying Amount
(in thousands)

 

Accumulated
Amortization
(in thousands)

 

Weighted Average
Useful Life (in years)

 

Amortized Intangibles

 

 

 

 

 

 

 

 

 

 

 

 

 

Patents

 

 

$

10,389

 

 

 

$

3,197

 

 

 

13

 

 

Other technology

 

 

17,369

 

 

 

8,349

 

 

 

14

 

 

Customer contracts and related relationships

 

 

9,130

 

 

 

2,900

 

 

 

14

 

 

Subtotal

 

 

36,888

 

 

 

14,446

 

 

 

14

 

 

Indefinite Life Intangibles Trade name

 

 

503

 

 

 

n/a

 

 

 

Indefinite

 

 

Total Intangibles

 

 

$

37,391

 

 

 

$

14,446

 

 

 

 

 

 

 

As certain intangible assets are owned by our international subsidiaries, the net carrying value of our intangible assets from April 1, 2006 to March 31, 2007 is also impacted by changes in foreign currency rates.

7.   NOTES PAYABLE AND LONG-TERM DEBT

Notes payable and long-term debt consists of the following:

 

 

March 31, 2007

 

April 1, 2006

 

 

 

(in thousands)

 

Real estate mortgage

 

 

$

7,263

 

 

 

$

7,803

 

 

Senior notes

 

 

5,714

 

 

 

11,429

 

 

Haemonetics Japan Co. Ltd.

 

 

15,899

 

 

 

19,921

 

 

 

 

 

28,876

 

 

 

39,153

 

 

Less—Current portion

 

 

22,201

 

 

 

26,176

 

 

 

 

 

$

6,675

 

 

 

$

12,977

 

 

 

62




Real Estate Mortgage Agreement

In December 2000 we entered into a $10.0 million real estate mortgage agreement (the “Mortgage Agreement”) with an investment firm. The Mortgage Agreement requires principal and interest payments of $0.1 million per month for a period of 180 months, commencing February 1, 2001. The entire balance of the loan may be repaid at any time after February 1, 2006, subject to a prepayment premium, which is calculated based upon the change in the current weekly average yield of Ten (10)-year U.S. Treasury Constant Maturities, the principal balance due and the remaining loan term. The Mortgage Agreement provides for interest to accrue on the unpaid principal balance at a rate of 8.41% per annum. Borrowings under the Mortgage Agreement are secured by the land, building and building improvements at our headquarters and manufacturing facility in the U.S. with a collective carrying value of approximately $6.3 million and $7.4 million as of March 31, 2007 and April 1, 2006, respectively. There are no financial covenants in the terms and conditions of this agreement.

Senior Notes

We have $5.7 million of 7.05% Senior Notes (the “Senior Notes”) which we are required to make annual principal payments on later in calendar 2007.

Interest on the Senior Notes is computed on the basis of a 360-day year of twelve 30-day months on the unpaid balance at the rate of 7.05% per annum, payable semiannually, on April 15 and October 15 each year. The Senior Notes contain affirmative and negative covenants and restrictions including but not limited to minimum stockholders’ equity and ratio requirements of consolidated funded indebtedness to consolidated total capitalization and priority indebtedness to consolidated stockholders equity.

Haemonetics Japan Co. Ltd.

At March 31, 2007, Haemonetics Japan Co. Ltd. had 1.9 billion Japanese Yen, equivalent to U.S. $15.9 million, in unsecured debt outstanding. All of this debt is short term, maturing in less than 12 months.

The weighted average short-term rates for U.S. and non-U.S. borrowings were 2.41%, 1.99%, and 1.88% as of March 31, 2007, April 1, 2006, and April 2, 2005, respectively.

As of March 31, 2007, notes payable and long-term debts mature as follows:

Fiscal Year Ending

 

 

 

(in thousands)

 

2007

 

 

$

22,200

 

 

2008

 

 

638

 

 

2009

 

 

694

 

 

2010

 

 

755

 

 

2011

 

 

821

 

 

2012 and thereafter

 

 

3,768

 

 

 

 

 

$

28,876

 

 

 

63




8.   INCOME TAXES

Domestic and foreign income before provision for income tax is as follows:

 

 

Years Ended

 

 

 

March 31, 2007

 

April 1, 2006

 

April 2, 2005

 

 

 

(in thousands)

 

Domestic

 

 

$

58,969

 

 

 

$

93,541

 

 

 

$

46,686

 

 

Foreign

 

 

13,367

 

 

 

12,661

 

 

 

12,749

 

 

Total

 

 

$

72,336

 

 

 

$

106,202

 

 

 

$

59,435

 

 

 

The income tax provision contains the following components:

 

 

Years Ended

 

 

 

March 31, 2007

 

April 1, 2006

 

April 2, 2005

 

 

 

(in thousands)

 

Current

 

 

 

 

 

 

 

 

 

 

 

 

 

Federal

 

 

$

17,440

 

 

 

$

32,165

 

 

 

$

9,875

 

 

State

 

 

1,787

 

 

 

2,569

 

 

 

1,663

 

 

Foreign

 

 

3,073

 

 

 

3,362

 

 

 

5,258

 

 

Total current

 

 

22,300

 

 

 

38,096

 

 

 

16,796

 

 

Deferred

 

 

 

 

 

 

 

 

 

 

 

 

 

Federal

 

 

(6

)

 

 

(2,177

)

 

 

4,912

 

 

State

 

 

(4

)

 

 

745

 

 

 

(420

)

 

Foreign

 

 

937

 

 

 

1,142

 

 

 

(1,086

)

 

Total deferred

 

 

927

 

 

 

(290

)

 

 

3,406

 

 

Total tax expense

 

 

$

23,227

 

 

 

$

37,806

 

 

 

$

20,202

 

 

 

Included in the federal income tax provisions for fiscal years 2007, 2006, and 2005 are approximately $0.3 million, $0.7 million, and $1.1 million, respectively, provided on foreign source income of approximately $1.4 million, $1.9 million, and $3.1 million for fiscal year 2007, 2006, and 2005, respectively, for taxes which are payable in the United States.

Tax effected, significant temporary differences comprising the net deferred tax asset are as follows:

 

 

Years Ended

 

 

 

March 31, 2007

 

April 1, 2006

 

 

 

(in thousands)

 

Depreciation

 

 

$

(19

)

 

 

$

(1,618

)

 

Amortization

 

 

(3,754

)

 

 

(908

)

 

Inventory

 

 

7,241

 

 

 

8,317

 

 

Hedging

 

 

330

 

 

 

(1,597

)

 

Accruals and reserves

 

 

2,920

 

 

 

3,516

 

 

Net operating loss carryforward

 

 

7,543

 

 

 

3,320

 

 

Intangible Assets

 

 

(2,744

)

 

 

 

 

 

Stock Based Compensation

 

 

2,945

 

 

 

 

 

 

Tax credit carryforward, net

 

 

2,177

 

 

 

1,741

 

 

Gross Deferred Taxes

 

 

16,639

 

 

 

12,771

 

 

Less valuation allowance

 

 

(378

)

 

 

(378

)

 

Net deferred tax asset

 

 

$

16,261

 

 

 

$

12,393

 

 

 

64




At March 31, 2007, we have approximately $20.8 million in U.S. acquisition related net operating loss carryforwards subject to separate limitations that will expire beginning in 2020. We have $3.0 million in gross federal and state tax credits available to offset future tax. The federal credits are subject to separate limitations that begin to expire in 2008.

We file income tax returns in all jurisdictions in which we operate. We established reserves to provide for additional income taxes that may be due in future years as these previously filed tax returns are audited. These reserves have been established based on management’s assessment as to the potential exposure attributable to permanent differences and interest applicable to both permanent and temporary differences. All tax reserves are analyzed periodically and adjustments made as events occur that warrant modification.

We do not provide U.S. taxes on our foreign subsidiaries’ undistributed earnings, which totaled $67.5 million on March 31, 2007, as they are deemed to be permanently reinvested outside the U.S. Non-US income taxes are, however, provided on these foreign subsidiaries’ undistributed earnings. Upon repatriation, we provide the appropriate U.S. income taxes on these earnings.

In October 2004, the American Jobs Creation Act of 2004 (“AJCA”) was enacted. The AJCA provides a deduction from income for qualified domestic production activities that will be phased in beginning in 2006 and fully implemented in 2010. The AJCA also provides a two-year phase-out for the existing extra-territorial income exclusion on foreign sales. In December 2004, the FASB issued FASB Staff Position (“FSP”) No. 109-1, “Application of FASB Statement No. 109, Accounting for Income Taxes, to the Tax Deduction on Qualified Production Activities by the American Jobs Creation Act of 2004.” We have incorporated this benefit in our consolidated financial statements.

The income tax provision from operations differs from tax provision computed at the 35% U.S. federal statutory income tax rate due to the following:

 

 

March 31, 2007

 

April 1, 2006

 

April 2, 2005

 

 

 

(in thousands)

 

Tax at federal statutory rate

 

 

$

25,318

 

 

 

35.0

%

 

 

$

37,171

 

 

35.0

%

$

20,802

 

35.0

%

Extraterritorial Income Exclusion and Domestic Manufacturing Deduction

 

 

$

(1,410

)

 

 

-1.9

%

 

 

$

(936

)

 

-0.9

%

$

(1,198

)

-2.0

%

Difference between US and foreign tax

 

 

$

392

 

 

 

0.5

%

 

 

$

397

 

 

0.4

%

$

246

 

0.4

%

State income taxes net of federal benefit

 

 

$

1,402

 

 

 

1.9

%

 

 

$

2,065

 

 

1.9

%

$

668

 

1.1

%

Tax exempt interest

 

 

$

(2,456

)

 

 

-3.4

%

 

 

$

(1,413

)

 

-1.3

%

$

(594

)

-1.0

%

Tax Audit Settlement

 

 

$

(3,967

)

 

 

-5.5

%

 

 

$

(399

)

 

-0.4

%

 

 

 

 

In Process Research and Development

 

 

$

3,254

 

 

 

4.5

%

 

 

 

 

 

 

 

 

 

 

 

Other, net

 

 

$

694

 

 

 

1.0

%

 

 

$

921

 

 

0.9

%

$

278

 

0.5

%

Income tax provision

 

 

$

23,227

 

 

 

32.1

%

 

 

$

37,806

 

 

35.6

%

$

20,202

 

34.0

%

 

65




9.   COMMITMENTS AND CONTINGENCIES

We lease facilities and certain equipment under operating leases expiring at various dates through fiscal year 2013. Facility leases require us to pay certain insurance expenses, maintenance costs and real estate taxes.

Approximate future basic rental commitments under operating leases as of March 31, 2007 are as follows:

Fiscal Year Ending

 

 

 

(in thousands)

 

2008

 

 

6,968

 

 

2009

 

 

4,929

 

 

2010

 

 

3,894

 

 

2011

 

 

3,197

 

 

2012

 

 

2,267

 

 

Thereafter

 

 

1,835

 

 

 

 

 

$

23,090

 

 

 

Rent expense in fiscal year 2007, 2006 and 2005 was $7.7 million, $6.6 million and $6.8 million, respectively.

We are presently engaged in various legal actions, and although ultimate liability cannot be determined at the present time, we believe, based on consultation with counsel, that any such liability will not materially affect our consolidated financial position or our results of operations.

On January 29, 2007 Haemonetics Corporation (the “Company”) received $6 million in full satisfaction of its claims against Baxter Healthcare Corporation, Baxter International Inc. and Baxter Healthcare SA (together “Baxter”) related to certain platelet pathogen reduction contracts. In connection with the settlement of these claims, the Technology Development Agreement and Requirements Contract between the Company and Baxter are terminated, and Haemonetics no longer retains any rights to distribute the INTERSOL product (note INTERSOL is a registered trademark of Baxter). Haemonetics recorded the receipt of this settlement in fiscal year 2007.

10.   FAIR VALUE OF FINANCIAL INSTRUMENTS

The fair value of cash and cash equivalents, receivables and short-term debt approximate their carrying value due to their short term maturities. The carrying value and estimated fair values of our other significant financial instruments are as follows:

 

 

March 31, 2007

 

April 1, 2006

 

 

 

Carrying
Value

 

Fair
Value

 

Carrying
Value

 

Fair
Value

 

 

 

(in thousands)

 

Assets

 

 

 

 

 

 

 

 

 

 

 

 

 

Foreign exchange contracts

 

 

 

 

 

 

3,376

 

 

3,376

 

 

 

 

 

 

 

 

3,376

 

 

3,376

 

Liabilities

 

 

 

 

 

 

 

 

 

 

 

 

 

Long-term debt

 

 

6,675

 

 

7,500

 

 

12,977

 

 

14,008

 

Foreign exchange contracts

 

 

169

 

 

169

 

 

 

 

 

 

 

 

6,844

 

 

7,669

 

 

12,977

 

 

14,008

 

 

The fair value of long term debt was calculated based upon the current market interest rates for debt of similar maturity and credit rating. The fair value of our foreign exchange contracts was based upon the

66




market rates at the fiscal year end for the remaining life of the contract. The estimates provided are not necessarily indicative of the amounts we would realize in a current market exchange

11.   CAPITAL STOCK

Treasury Stock

On July 1, 2004, the Massachusetts Business Corporation Act (the “MBCA”) became effective and eliminated the concept of treasury shares. Under the MBCA, shares repurchased by Massachusetts corporations constitute authorized but unissued shares. As a result, at April 2, 2005, all of our shares in treasury were automatically retired reducing the number of common shares issued and outstanding. The value previously attributed to treasury shares was charged to additional paid-in capital and retained earnings. The amount allocated to additional paid-in-capital (“APIC”) was calculated as of April 2, 2005 based upon the average per share value of APIC (determined using the then number of shares outstanding) multiplied by the number of shares in treasury. The residual value was charged to retained earnings.

Stock Plans

The Company has an incentive compensation plan, (the “2005 Incentive Compensation Plan”). The 2005 Incentive Compensation Plan permits the award of nonqualified stock options, incentive stock options, stock appreciation rights, restricted stock, deferred stock/restricted stock units, other stock units and performance shares to the Company’s key employees, officers and directors. The 2005 Incentive Compensation Plan is administered by the Compensation Committee of the Board of Directors (the “Committee”) consisting of two or more independent members of our Board of Directors. The maximum number of shares available for award under the 2005 Incentive Compensation Plan is 3,100,000. The maximum number of shares that may be issued pursuant to incentive stock options may not exceed 500,000. Any shares that are subject to the award of stock options shall be counted against this limit as one (1) share for every one (1) share issued. Any shares that are subject to awards other than stock options shall be counted against this limit as 2.1 shares for every one (1) share granted. The exercise price for the nonqualified stock options, incentive stock options, stock appreciation rights, restricted stock, deferred stock/restricted stock units, other stock units and performance shares granted under the 2005 Incentive Compensation Plan is determined by the Committee, but in no event shall such option price be less than the fair market value of the common stock at the time of the grant. Options become exercisable in a manner determined by the Committee, generally over a four year period for employees and immediately at time of grant for non-employee directors, and all options expire not more than 7 years from the date of the grant. At March 31, 2007, there were 1,760,946 options outstanding under this plan and 1,329,318 shares available for future grant.

The Company had a long-term incentive stock option plan, (the “2000 Long-term Incentive Plan”) under which a maximum of 3,500,000 shares of our common stock may have been issued pursuant to incentive and non-qualified stock options granted to key employees, officers and directors. The plan was terminated in connection with the adoption of the 2005 Incentive Compensation Plan. At March 31, 2007, there were 1,983,440 options outstanding under this plan and no further options will be granted under this plan.

The Company had a non-qualified stock option plan under which options were granted to non-employee directors and two previous plans under which options were granted to key employees, consultants and advisors. At March 31, 2007, there were 320,092 options outstanding related to these plans. No further options will be granted under these plans.

The Company has an Employee Stock Purchase Plan (the “Purchase Plan”) under which a maximum of 375,000 shares (subject to adjustment for stock splits and similar changes) of common stock may be

67




purchased by eligible employees. Substantially all of our full-time employees are eligible to participate in the Purchase Plan.

The Purchase Plan provides for two “purchase periods” within each of our fiscal years, the first commencing on November 1 of each year and continuing through April 30 of the next calendar year, and the second commencing on May 1 of each year and continuing through October 31 of such year. Shares are purchased through an accumulation of payroll deductions (of not less than 2% nor more than 15% of compensation, as defined) for the number of whole shares determined by dividing the balance in the employee’s account on the last day of the purchase period by the purchase price per share for the stock determined under the Purchase Plan. The purchase price for shares is the lower of 85% of the fair market value of the common stock at the beginning of the purchase period, or 85% of such value at the end of the purchase period.

During fiscal year 2007, there were 48,043 shares purchased at prices ranging from $41.52 to $ 38.76 per share under the Purchase Plan. During fiscal year 2006, there were 47,700 shares purchased at prices ranging from $27.20 to $35.88 per share under the Purchase Plan. During fiscal year 2005, there were 42,381 shares purchased at prices ranging from $19.60 to $24.00 per share under the Purchase Plan.

On April 2, 2006, we adopted SFAS No. 123(R), “Share-Based Payment”, which requires that the cost resulting from all share-based payment transactions be recognized as compensation cost over the vesting period based on the fair value of the instrument on the date of grant. SFAS No. 123(R) revises SFAS No. 123, “Accounting for Stock-Based Compensation” (“SFAS No. 123”), which previously allowed pro forma disclosure of certain share-based compensation expense. Further, SFAS No. 123(R) supercedes Accounting Principles Board Opinion No. 25, “Accounting for Stock Issued to Employees,” which previously allowed the intrinsic value method of accounting for stock options. Previously, we accounted for stock option grants using the intrinsic value method, and accordingly our reported net income did not include recognition of stock-based compensation expense prior to our adoption of SFAS No. 123(R) on April 2, 2006.

We adopted SFAS No. 123(R) as of April 2, 2006, using the modified prospective transition method. In accordance with the modified prospective transition method, our consolidated financial statements for the prior periods have not been restated to reflect, and do not include, the impact of SFAS No. 123(R). Stock-based compensation expense of $10.2 million was recognized under SFAS No. 123R for the twelve months ended March 31, 2007. The related income tax benefit recognized was $2.9 million. We recognize stock-based compensation on a straight line basis. The following table illustrates the pro forma effect on net income and earnings per share if we had applied the fair value recognition provisions of SFAS No. 123 during the twelve months ended April 1, 2006 and April 2, 2005:

 

 

April 1, 2006

 

April 2, 2005

 

 

 

(in thousands, except
per share amounts)

 

Net income (as reported):

 

 

$

68,396

 

 

 

$

39,233

 

 

Deduct: Total stock-based employee compensation expense determined under the fair value method for all awards, net of tax

 

 

(5,974

)

 

 

(5,852

)

 

Pro Forma Net Income:

 

 

$

62,422

 

 

 

$

33,381

 

 

Earnings per share:

 

 

 

 

 

 

 

 

 

Basic

 

 

 

 

 

 

 

 

 

As Reported

 

 

$

2.58

 

 

 

$

1.54

 

 

Pro forma

 

 

$

2.36

 

 

 

$

1.31

 

 

Diluted

 

 

 

 

 

 

 

 

 

As Reported

 

 

$

2.49

 

 

 

$

1.50

 

 

Pro forma

 

 

$

2.27

 

 

 

$

1.28

 

 

 

68




SFAS No. 123(R) requires that cash flows relating to the benefits of tax deductions in excess of compensation cost recognized (in our reported or proforma results) be reported as a financing cash flow, rather than as an operating cash flow, as previously required. This excess tax benefit was $ 2.2 million for the twelve months ended March 31, 2007.

A summary of stock option activity for the three years ended March 31, 2007 is as follows:

 

 

Shares

 

Weighted
Average
Exercise Price
per Share

 

Weighted
Average

 

Aggregate

 

 

 

Options
Outstanding

 

Weighted
Average
Exercise Price

 

Remaining
Life 
(Years)

 

Intrinsic
Value
($000’s)

 

Outstanding at April 3, 2004

 

3,987,695

 

 

$

25.00

 

 

 

 

 

 

 

 

 

 

Granted

 

651,400

 

 

$

26.84

 

 

 

 

 

 

 

 

 

 

Exercised

 

(1,055,466

)

 

$

23.93

 

 

 

 

 

 

 

 

 

 

Terminated

 

(117,800

)

 

$

28.72

 

 

 

 

 

 

 

 

 

 

Outstanding at April 2, 2005

 

3,465,829

 

 

$

25.54

 

 

 

 

 

 

 

 

 

 

Granted

 

937,692

 

 

$

42.23

 

 

 

 

 

 

 

 

 

 

Exercised

 

(604,036

)

 

$

25.02

 

 

 

 

 

 

 

 

 

 

Terminated

 

(90,227

)

 

$

30.96

 

 

 

 

 

 

 

 

 

 

Outstanding at April 1, 2006

 

3,709,258

 

 

$

29.71

 

 

 

 

 

 

 

 

 

 

Granted

 

969,733

 

 

$

51.41

 

 

 

 

 

 

 

 

 

 

Exercised

 

(492,633

)

 

$

23.10

 

 

 

 

 

 

 

 

 

 

Terminated

 

(121,880

)

 

$

42.82

 

 

 

 

 

 

 

 

 

 

Outstanding at March 31, 2007

 

4,064,478

 

 

$

35.30

 

 

 

5.41

 

 

 

$

51,057

 

 

Exercisable at March 31, 2007

 

2,312,643

 

 

$

28.80

 

 

 

4.89

 

 

 

$

41,867

 

 

Expected to Vest at March 31, 2007

 

3,763,571

 

 

$

34.52

 

 

 

5.36

 

 

 

$

49,781

 

 

 

The total intrinsic value of options exercised during fiscal years 2007, 2006 and 2005 was $11.6, $15.5 and $18.5 million, respectively

As of March 31, 2007, there was $18.6 million of total unrecognized compensation cost related to non vested share-based compensation arrangements. That cost is expected to be recognized over a weighted average period of 2.6 years. The total fair value of shares fully vested during the twelve months ended March 31, 2007 was $30.2 million.

The fair value was estimated using the Black-Scholes option-pricing model based on the weighted average of the high and low stock prices at the grant date and the weighted average assumptions specific to the underlying options. Expected volatility assumptions are based on the historical volatility of our common stock. The risk-free interest rate was selected based upon yields of US Treasury issues with a term equal to the expected life of the option being valued. The expected life of the option was estimated with reference to historical exercise patterns, the contractual term of the option and the vesting period. The assumptions utilized for option grants during the periods presented are as follows:

 

 

March 31,
2007

 

April 1,
2006

 

April 2,
2005

 

Volatility

 

 

31.2

%

 

 

31.3

%

 

 

31.7

%

 

Risk-Free Interest Rate

 

 

5.0

%

 

 

4.1

%

 

 

4.2

%

 

Expected Life of Options

 

 

5 yrs.

 

 

 

5 yrs.

 

 

 

7 yrs.

 

 

 

The weighted average grant date fair value of options granted during 2007, 2006 and 2005 was approximately $18.93, $14.82, and $11.41, respectively.

69




The fair values of shares purchased under the Employee Stock Purchase Plan are estimated using the Black-Scholes single option-pricing model with the following weighted average assumptions:

 

 

March 31,
2007

 

April 1,
2006

 

April 2,
2005

 

Volatility

 

 

27.9

%

 

22.4

%

36.5

%

Risk-Free Interest Rate

 

 

5.0

%

 

4.0

%

1.7

%

Expected Life of Options

 

 

6 mos.

 

 

6 mos.

 

6 mos.

 

 

The weighted average grant date fair value of the six-month option inherent in the Purchase Plan was $12.00, $9.97, and $7.15 in fiscal year 2007, 2006, and 2005, respectively.

The following table summarizes information about stock options outstanding at March 31, 2007:

 

 

Options Outstanding

 

Options Exercisable

 

Range of Exercise Prices

 

 

 

Number
Outstanding at
March 31, 2007

 

Weighted
Average
Outstanding
Contractual Life

 

Weighted
Average
Exercise Price

 

Number
Exercisable at
March 31, 2007

 

Weighted
Average
Exercise Price

 

$15.16-$21.91

 

 

589,254

 

 

 

4.88

 

 

 

$

20.30

 

 

 

564,254

 

 

 

$

20.24

 

 

$22.27-$24.24

 

 

403,088

 

 

 

4.07

 

 

 

$

22.80

 

 

 

363,088

 

 

 

$

22.76

 

 

$26.11-$26.11

 

 

427,225

 

 

 

7.02

 

 

 

$

26.11

 

 

 

213,749

 

 

 

$

26.11

 

 

$27.12-$31.66

 

 

560,135

 

 

 

5.16

 

 

 

$

30.97

 

 

 

539,885

 

 

 

$

31.01

 

 

$32.01-$38.27

 

 

308,580

 

 

 

4.20

 

 

 

$

33.28

 

 

 

299,830

 

 

 

$

33.17

 

 

$41.15-$41.15

 

 

679,043

 

 

 

5.30

 

 

 

$

41.15

 

 

 

202,000

 

 

 

$

41.15

 

 

$42.12-$48.20

 

 

389,182

 

 

 

6.20

 

 

 

$

47.09

 

 

 

61,337

 

 

 

$

45.87

 

 

$48.77-$48.77

 

 

20,000

 

 

 

5.76

 

 

 

$

48.77

 

 

 

20,000

 

 

 

$

48.77

 

 

$51.25-$51.25

 

 

2,000

 

 

 

5.69

 

 

 

$

51.25

 

 

 

500

 

 

 

$

51.25

 

 

$52.76-$52.76

 

 

685,971

 

 

 

6.06

 

 

 

$

52.76

 

 

 

48,000

 

 

 

$

52.76

 

 

Total

 

 

4,064,478

 

 

 

5.41

 

 

 

$

35.30

 

 

 

2,312,643

 

 

 

$

28.80

 

 

 

70




12.   EARNINGS PER SHARE (“EPS”)

The following table provides a reconciliation of the numerators and denominators reflected in the basic and diluted earnings per share computations, as required by SFAS No. 128, “Earnings Per Share,” (“EPS”).

Basic EPS is computed by dividing reported earnings available to stockholders by the weighted average shares outstanding. Diluted EPS also includes the effect of dilutive potential common shares.

 

 

Years Ended

 

 

 

March 31,
2007

 

April 1,
2006

 

April 2,
2005

 

 

 

(Dollars and shares in thousands
except per share amounts)

 

Basic EPS

 

 

 

 

 

 

 

 

 

 

 

Net income

 

 

$

49,109

 

 

 

$

68,396

 

 

$

39,233

 

Weighted average shares

 

 

26,746

 

 

 

26,478

 

 

25,523

 

Basic income per share

 

 

$

1.84

 

 

 

$

2.58

 

 

$

1.54

 

Diluted EPS

 

 

 

 

 

 

 

 

 

 

 

Net income

 

 

$

49,109

 

 

 

$

68,396

 

 

$

39,233

 

Basic weighted average shares

 

 

26,746

 

 

 

26,478

 

 

25,523

 

Dilutive effect of stock options

 

 

903

 

 

 

996

 

 

622

 

Diluted weighted average shares

 

 

27,649

 

 

 

27,474

 

 

26,145

 

Diluted income per share

 

 

$

1.78

 

 

 

$

2.49

 

 

$

1.50

 

 

During 2007, 2006, and 2005 approximately 1.58 million, 0.04 million, and 0.5 million potentially dilutive common shares, respectively, were not included in the computation of diluted earnings per share because exercise prices were greater than the average market price of the common shares.

13.   COMPREHENSIVE INCOME

Comprehensive income is the total of net income and all other non-owner changes in stockholders’ equity. For us, all other non-owner changes are primarily foreign currency translation; the change in our net minimum pension liability and the changes in fair value of the effective portion of our outstanding cash flow hedge contracts.

The reconciliation of the components of accumulated other comprehensive loss is as follows:

 

 

Foreign
Currency
Translation

 

Unrealized
(loss) gain on
derivatives
(net of tax)

 

Minimum
pension liability

 

Total

 

 

 

(in thousands)

 

Balance as of April 2, 2005

 

 

$

219

 

 

 

$

(658

)

 

 

$

(260

)

 

$

(699

)

Changes during the year

 

 

$

(5,346

)

 

 

$

2,951

 

 

 

$

260

 

 

$

(2,135

)

Balance as of April 1, 2006

 

 

$

(5,127

)

 

 

$

2,293

 

 

 

$

0

 

 

$

(2,834

)

Changes during the year

 

 

$

6,096

 

 

 

$

(3,371

)

 

 

$

(90

)

 

$

2,635

 

Balance as of March 31,2007

 

 

$

969

 

 

 

$

(1,078

)

 

 

$

(90

)

 

$

(199

)

 

71




A summary of the components of other comprehensive income is as follows:

 

 

Years Ended

 

 

 

March 31, 2007

 

April 1, 2006

 

April 2, 2005

 

 

 

(In thousands)

 

Net income

 

 

$

49,109

 

 

 

$

68,396

 

 

 

$

39,233

 

 

Other comprehensive income:

 

 

 

 

 

 

 

 

 

 

 

 

 

Foreign currency translation

 

 

6,096

 

 

 

(5,346

)

 

 

1,939

 

 

Unrealized (loss) / gain on cash flow hedges, net of tax

 

 

(3,300

)

 

 

5,225

 

 

 

(80

)

 

Reclassifications into earnings of cash flow hedge (gains) / losses, net of tax

 

 

(71

)

 

 

(2,274

)

 

 

3,848

 

 

Minimum pension liabilities adjustment, net of tax

 

 

 

 

 

260

 

 

 

129

 

 

Total comprehensive income

 

 

$

51,834

 

 

 

$

66,261

 

 

 

$

45,069

 

 

 

14.   RETIREMENT PLANS

Defined Contribution Plans

We have a Savings Plus Plan that is a 401(k) plan that allows our U.S. employees to accumulate savings on a pre-tax basis. In addition, matching contributions are made to the Plan based upon pre-established rates. Our matching contributions amounted to approximately $2.2 million in 2007, $1.9 million in both 2006 and 2005. Upon Board approval, additional discretionary contributions can also be made. No discretionary contributions were made for the Savings Plan in fiscal year 2007, 2006 or 2005.

One of our subsidiaries also has a defined contribution plan. Both the employee and the employer make contributions to the plan. The employer contributions to this plan were $0.4 million, $0.3m million and $0.4 million in fiscal year 2007, 2006 and 2005, respectively.

Defined Benefit Plans

In September 2006, the FASB issued FASB Statement No. 158, “Employers’ Accounting for Defined Benefit Pension and Other Postretirement Plans—an amendment of FASB Statements No. 87, 88, 106, and 132(R)”, (“FAS 158”), which requires an employer to: (a) recognize in its statement of financial position an asset for a plan’s over-funded status or a liability for a plan’s under-funded status; (b) measure a plan’s assets and its obligations that determine its funded status as of the end of the employer’s fiscal year (with limited exceptions); and (c) recognize changes in the funded status of a defined benefit postretirement plan in the year in which the changes occur. The Company adopted FAS 158 as of March 31, 2007 and accordingly is required to report changes in its funded status in comprehensive income on its Statement of Stockholders’ Equity. The adoption of FAS 158 did not have a material effect on the Company’s financial position at March 31, 2007.

Benefits under these plans are generally based on either career average or final average salaries and creditable years of service as defined in the plans. The annual cost for these plans is determined using the projected unit credit actuarial cost method that includes actuarial assumptions and estimates which are subject to change. The measurement date for the plans is March 31, 2007.

72




Some of the Company’s foreign subsidiaries have defined benefit pension plans covering substantially all full time employees at those subsidiaries. Net periodic benefit costs for the plans in the aggregate include the following components:

 

 

March 31, 2007

 

April 1, 2006

 

April 2, 2005

 

 

 

(in thousands)

 

Service cost

 

 

$

654

 

 

 

$

765

 

 

 

$

580

 

 

Interest cost on benefit obligation

 

 

$

195

 

 

 

$

180

 

 

 

$

157

 

 

Expected return on plan assets

 

 

$

(179

)

 

 

$

(64

)

 

 

$

(143

)

 

Recognized net actuarial loss

 

 

 

 

 

 

 

 

 

$

85

 

 

Settlements

 

 

 

 

 

 

$

0

 

 

 

$

0

 

 

Amortization of unrecognized prior service cost

 

 

$

(34

)

 

 

$

192

 

 

 

$

(37

)

 

Amortization of unrecognized gain

 

 

$

19

 

 

 

$

38

 

 

 

$

47

 

 

Amortization of unrecognized initial obligation

 

 

$

21

 

 

 

$

22

 

 

 

$

23

 

 

Totals

 

 

$

676

 

 

 

$

1,133

 

 

 

$

712

 

 

 

The activity under those defined benefit plans are as follows:

 

 

March 31, 2007

 

April 1, 2006

 

April 2, 2005

 

Change in Benefit Obligation:

 

 

 

 

 

 

 

 

 

 

 

 

 

Benefit Obligation, beginning of year

 

 

$

(6,664

)

 

 

$

(6,288

)

 

 

$

(5,576

)

 

Service cost

 

 

(654

)

 

 

(765

)

 

 

(580

)

 

Interest cost

 

 

(196

)

 

 

(180

)

 

 

(157

)

 

Benefits paid

 

 

948

 

 

 

308

 

 

 

244

 

 

Actuarial loss

 

 

257

 

 

 

(259

)

 

 

(319

)

 

Effect of special termination benefits

 

 

 

 

 

 

 

 

116

 

 

Currency translation

 

 

(381

)

 

 

520

 

 

 

(16

)

 

Benefit obligation, end of year

 

 

$

(6,690

)

 

 

$

(6,664

)

 

 

$

(6,288

)

 

Change in Plan Assets:

 

 

 

 

 

 

 

 

 

 

 

 

 

Fair value of plan assets, beginning of year

 

 

$

3,994

 

 

 

$

3,355

 

 

 

$

3,001

 

 

Company contributions

 

 

391

 

 

 

456

 

 

 

518

 

 

Benefits paid

 

 

(924

)

 

 

(284

)

 

 

(220

)

 

Gain on plan assets

 

 

179

 

 

 

800

 

 

 

143

 

 

Currency translation

 

 

29

 

 

 

(333

)

 

 

(87

)

 

Fair value of Plan Assets, end of year

 

 

$

3,669

 

 

 

$

3,994

 

 

 

$

3,355

 

 

Funded Status

 

 

$

(3,020

)

 

 

$

(2,177

)

 

 

$

(2,933

)

 

Unrecognized net actuarial (gain) loss

 

 

71

 

 

 

(175

)

 

 

661

 

 

Unrecognized initial obligation

 

 

207

 

 

 

226

 

 

 

271

 

 

Unrecognized prior service cost

 

 

(196

)

 

 

(229

)

 

 

(288

)

 

Net amount recognized

 

 

$

(2,938

)

 

 

$

(2,355

)

 

 

$

(2,289

)

 

Amounts recognized on the balance sheet:

 

 

 

 

 

 

 

 

 

 

 

 

 

Prepaid pension asset

 

 

$

647

 

 

 

$

331

 

 

 

$

414

 

 

Accrued pension liability

 

 

(3,667

)

 

 

(2,686

)

 

 

(3,221

)

 

Accumulated other comprehensive items pre-tax

 

 

82

 

 

 

 

 

 

518

 

 

Net amount recognized

 

 

$

(2,938

)

 

 

$

(2,355

)

 

 

$

(2,289

)

 

 

One of the benefit plans is funded through assets of the Company. Accordingly that plan has no assets included in the information presented above. The assets of the other plan were greater than the

73




accumulated benefit obligation in fiscal years 2007 and 2006, but less than the accumulated benefit obligation in fiscal years 2005, respectively.

The weighted average rates used to determine the net periodic benefit costs were as follows:

 

 

March 31, 2007

 

April 1, 2006

 

April 2, 2005

 

Discount rate

 

 

3.5

%

 

 

3.1

%

 

 

2.9

%

 

Rate of increased salary levels

 

 

1.3

%

 

 

1.8

%

 

 

1.9

%

 

Expected long-term rate of return on assets

 

 

0.0

%

 

 

2.0

%

 

 

2.0

%

 

 

We have no other material obligation for post-retirement or post-employment benefits.

15.   TRANSACTIONS WITH RELATED PARTIES

We issue loans to employees for relocation costs and other personal purposes. The amount of these loans, which is included in other assets, amounted to approximately zero, $0.1 million and $0.2 million in fiscal year 2007, 2006 and 2005, respectively. These loans are payable within five years. Certain loans are interest bearing, and interest income is recorded on these loans when collected. Certain loans have forgiveness provisions based upon continued service or compliance with various guidelines. The outstanding loan balance is amortized as a charge to operating expense as such amounts are forgiven.

Additionally, we have made a fourth and final $1.0 million earn-out payment to 6 Encore Inc. (formerly Fifth Dimension Information Systems, Inc.), in accordance with the Asset Purchase Agreement, dated December 12, 2001, as amended, in which Haemonetics Enterprises, Inc. and Haemonetics Canada Ltd. purchased the assets of Fifth Dimension Information Systems, Inc. The President and principal shareholder of 6 Encore Inc. is Brad Lazaruik, former Haemonetics Vice President, (President, 5D division). The payments were made during fiscal year 2007, 2006, 2005 and 2004 respectively. The final earn-out payment was made to Mr. Lazaruik in fiscal February 2007. There are no additional payments to be made to Mr. Lazaruik by Haemonetics Corporation.

16.   SEGMENT, GEOGRAPHIC AND CUSTOMER INFORMATION

Segment Definition Criteria

We manage our business on the basis of one operating segment: the design, manufacture and marketing of automated blood processing systems. Our chief operating decision-maker uses consolidated results to make operating and strategic decisions. Manufacturing processes, as well as the regulatory environment in which we operate, are largely the same for all product lines.

Enterprise Wide Disclosures About Product and Services

We have three families of products: (1) those that serve the blood donor, (2) those that serve the patient and (3) our services and software products which are used in connections with our donor and patient products. Under the donor family of products we have included blood bank, red cell and plasma collection products. The patient products include autologous blood salvage products targeting surgical patients who lose blood while in the operating room and while in recovery.

Donor

The blood bank products include machines, single use disposables and solutions that perform “apheresis,” (the separation of whole blood into its components and subsequent collection of certain components, including platelets and plasma) as well as the washing of red blood cells for certain procedures. The main devices used for these blood component therapies are the MCS®+ mobile collection

74




systems and the ACP® 215 automated cell processing system. In addition, the blood bank product line includes generic solutions that we produce for pharmaceutical companies pursuant to contracts.

Red cell products include machines, single use disposables and solutions that perform apheresis for the collection of red blood cells. The devices used for the collection red blood cells is the MCS®+ 8150 mobile collection system.

Plasma collection products are machines, disposables and solutions that perform apheresis for the separation of whole blood components and subsequent collection of plasma. The devices used in automated plasma collection are the PCS®2 plasma collection system and the Superlite.

In 2003, Haemonetics entered into a marketing partnership with Hemosystems S.A. to market Hemosystems’ ScanSystem platelet bacterial detection system. Over the past three years, Haemonetics and Hemosystems have made progress in penetrating this market, but at a slower rate than hoped. Haemonetics decided during fiscal 2007 not to renew its partnership with Hemosystems so that it can devote its sales resources to other projects.

Patient

Patient products include machines and single use disposables that perform surgical blood salvage in orthopedic and cardiovascular surgical applications. Patient products include the OrthoPAT®, Cell Saver® and cardioPAT autologous blood recovery systems, and the Smart Suction Harmony which is a suction device designed to operate together with these blood recovery systems. Cell Saver and cardioPAT technologies are used cardiovascular, for higher blood loss surgeries and trauma. OrthoPAT technology is used for lower, slower blood loss orthopedic procedures, where bleeding takes place during and after surgery. These technologies perform a procedure whereby shed blood is collected, cleansed and made available to be transfused back to the patient.

Software and Services

Software and services revenue includes revenue generated from equipment repairs performed under preventive maintenance contracts or emergency service billings and miscellaneous sales, including revenue from our information services businesses, 5D and IDM. 5D and IDM provide software support and collection and data management systems, to plasma collectors, bloodbanks and the US Department of Defense.

Revenues from External Customers:

 

 

March 31, 2007

 

April 1, 2006

 

April 2, 2005

 

Disposables Revenues by Product Family

 

 

 

 

 

 

 

 

 

 

 

 

 

Donor:

 

 

 

 

 

 

 

 

 

 

 

 

 

Plasma

 

 

$

126,971

 

 

 

$

109,100

 

 

 

$

97,250

 

 

Blood Bank

 

 

$

126,216

 

 

 

$

132,407

 

 

 

$

130,427

 

 

Red Cell

 

 

$

43,406

 

 

 

$

37,830

 

 

 

$

28,676

 

 

 

 

 

$

296,593

 

 

 

$

279,337

 

 

 

$

256,353

 

 

Patient:

 

 

 

 

 

 

 

 

 

 

 

 

 

Surgical

 

 

$

66,552

 

 

 

$

65,893

 

 

 

$

86,377

 

 

OrthoPAT

 

 

$

30,515

 

 

 

$

21,864

 

 

 

 

 

 

 

 

 

$

97,067

 

 

 

$

87,757

 

 

 

$

86,377

 

 

Disposables Revenue

 

 

$

393,660

 

 

 

$

367,094

 

 

 

$

342,730

 

 

Equipment

 

 

$

22,229

 

 

 

$

25,759

 

 

 

$

20,695

 

 

Software and Services

 

 

$

33,718

 

 

 

$

26,880

 

 

 

$

20,173

 

 

Total revenues from external customers

 

 

$

449,607

 

 

 

$

419,733

 

 

 

$

383,598

 

 

 

75




Enterprise Wide Disclosures About Product and Services
Years ended (in thousands)

March 31, 2007

 

 

United
States

 

Other
North
America

 

Total
North
America

 

Japan

 

Other
Asia

 

Total
Asia

 

Germany

 

France

 

United
Kingdom

 

Italy

 

Austria

 

Other
Europe

 

Total
Europe

 

Total
Consolidated

 

Sales

 

$

211,044

 

 

$

146

 

 

$

211,190

 

$

88,206

 

$

16,444

 

$

104,650

 

 

$

36,967

 

 

$

23,684

 

 

$

5,023

 

 

$

18,100

 

 

$

8,598

 

 

$

41,395

 

$

133,767

 

 

$

449,607

 

 

Total Assets

 

$

420,333

 

 

$

4,755

 

 

$

425,088

 

$

39,757

 

$

10,003

 

$

49,760

 

 

$

18,507

 

 

$

9,664

 

 

$

7,105

 

 

$

24,356

 

 

$

3,400

 

 

$

34,855

 

$

97,887

 

 

$

572,735

 

 

Long-Lived Assets

 

$

126,125

 

 

$

4,278

 

 

$

130,403

 

$

13,119

 

$

2,077

 

$

15,196

 

 

$

4,870

 

 

$

1,395

 

 

$

2,618

 

 

$

3,221

 

 

$

697

 

 

$

10,589

 

$

23,390

 

 

$

168,989

 

 

 

April 1, 2006

 

 

United
States

 

Other
North
America

 

Total
North
America

 

Japan

 

Other
Asia

 

Total
Asia

 

Germany

 

France

 

United
Kingdom

 

Italy

 

Austria

 

Other
Europe

 

Total
Europe

 

Total
Consolidated

 

Sales

 

$

161,679

 

 

$

4,582

 

 

$

166,261

 

$

100,214

 

$

31,016

 

$

131,230

 

 

$

32,456

 

 

$

24,377

 

 

$

5,605

 

 

$

17,084

 

 

$

8,921

 

 

$

33,799

 

$

122,242

 

 

$

419,733

 

 

Total Assets

 

$

418,809

 

 

$

5,005

 

 

$

423,814

 

$

40,142

 

$

10,240

 

$

50,382

 

 

$

13,981

 

 

$

8,054

 

 

$

21,051

 

 

$

13,186

 

 

$

3,801

 

 

$

11,188

 

$

71,261

 

 

$

545,457

 

 

Long-Lived Assets

 

$

90,350

 

 

$

3,632

 

 

$

93,982

 

$

12,995

 

$

731

 

$

13,726

 

 

$

4,204

 

 

$

1,008

 

 

$

9,998

 

 

$

2,584

 

 

$

744

 

 

$

1,893

 

$

20,431

 

 

$

128,139

 

 

 

April 2, 2005

 

 

United
States

 

Other
North
America

 

Total
North
America

 

Japan

 

Other
Asia

 

Total
Asia

 

Germany

 

France

 

United
Kingdom

 

Italy

 

Austria

 

Other
Europe

 

Total
Europe

 

Total
Consolidated

 

Sales

 

$

131,632

 

 

$

3,275

 

 

$

134,907

 

$

104,963

 

$

28,489

 

$

133,452

 

 

$

32,318

 

 

$

23,512

 

 

$

5,351

 

 

$

16,423

 

 

$

8,882

 

 

$

28,753

 

$

115,239

 

 

$

383,598

 

 

Total Assets

 

$

326,127

 

 

$

3,463

 

 

$

329,590

 

$

43,014

 

$

8,500

 

$

51,514

 

 

$

15,130

 

 

$

10,401

 

 

$

19,376

 

 

$

21,529

 

 

$

2,940

 

 

$

17,277

 

$

86,653

 

 

$

467,757

 

 

Long-Lived Assets

 

$

76,578

 

 

$

3,163

 

 

$

79,741

 

$

15,623

 

$

2,457

 

$

18,080

 

 

$

4,830

 

 

$

1,181

 

 

$

9,224

 

 

$

3,112

 

 

$

720

 

 

$

7,257

 

$

26,325

 

 

$

124,146

 

 

 

76




17.   REORGANIZATION

In FY2007, Haemonetics Corporation embarked on the first year of a business transformation with the primary focus on our international businesses. The goal of this transformation was to position these businesses to complement the growth of our US business. During fiscal year 2007, we recorded pre-tax restructuring costs of $3.5 million as selling, general and administrative costs.  We incurred approximately $2.6 million of employee related costs, including severance and certain other employee benefits, and approximately $0.9 million of lease termination and related facility closure costs.

The following summarizes the restructuring activity for fiscal year 2007.

 

 

Cost Incurred

 

Payments

 

Asset
Write down

 

Balance at
March 31,
2007

 

 

 

(Dollars in thousands)

 

Employee-related costs

 

 

$

2,640

 

 

 

$

2,640

 

 

 

$

 

 

 

$

 

 

Facility related costs

 

 

878

 

 

 

572

 

 

 

306

 

 

 

 

 

 

 

 

 

$

3,518,

 

 

 

$

3,212

 

 

 

$

306

 

 

 

$

 

 

 

18.   SUMMARY OF QUARTERLY DATA (UNAUDITED)

 

 

First
Quarter

 

Second
Quarter

 

Third
Quarter*

 

Fourth
Quarter

 

Fiscal year ended March 31, 2007:

 

 

 

 

 

 

 

 

 

Net revenues

 

$

110,674

 

$

108,487

 

$

113,527

 

$

116,919

 

Gross profit

 

$

57,373

 

$

55,162

 

$

56,419

 

$

58,346

 

Operating income

 

$

14,891

 

$

5,156

 

$

17,005

 

$

25,691

 

Net income

 

$

11,156

 

$

1,266

 

$

16,902

 

$

19,784

 

Share data:

 

 

 

 

 

 

 

 

 

Net Income:

 

 

 

 

 

 

 

 

 

Basic

 

$

0.41

 

$

0.05

 

$

0.64

 

$

0.75

 

Diluted

 

$

0.40

 

$

0.05

 

$

0.62

 

$

0.72

 

Fiscal year ended April 1, 2006:**

 

 

 

 

 

 

 

 

 

Net revenues

 

$

103,173

 

$

100,488

 

$

105,677

 

$

110,395

 

Gross profit

 

$

54,524

 

$

51,765

 

$

55,669

 

$

58,577

 

Operating income

 

$

18,320

 

$

15,192

 

$

41,141

 

$

23,686

 

Net income

 

$

12,709

 

$

10,758

 

$

27,924

 

$

17,006

 

Share data:

 

 

 

 

 

 

 

 

 

Net Income:

 

 

 

 

 

 

 

 

 

Basic

 

$

0.48

 

$

0.41

 

$

1.05

 

$

0.64

 

Diluted

 

$

0.47

 

$

0.39

 

$

1.01

 

$

0.61

 


*                    The third quarter of fiscal year 2006 includes the impact of our Arbitration award.

**             Reflects the adjustment to convert our investment in Arryx, Inc. to the equity method for periods prior to the acquisition. See Note #3

20.   CAPITALIZATIONOF SOFTWARE DEVELOPED FOR INTERNAL USE

The Company is implementing an Enterprise Resource Planning (ERP) system. We plan to implement the system in three phases over the next three years

77




The cost of software that is developed for internal use is accounted for pursuant to AICPA Statement of Position 98-1, “Accounting for the Costs of Computer Software Developed or Obtained for Internal Use” (“SOP 98-1”). Pursuant to SOP 98-1, the Company capitalizes costs incurred during the application development stage of software developed for internal use, and expenses costs incurred during the preliminary project and the post-implementation operation stages of development. During fiscal year 2007, the Company capitalized $8.7 million in costs incurred for acquisition of the software license and related software development costs for new internal software development that was in the application stage. The total capitalized costs incurred to date include $1.8 million for the cost of the software license and $6.9 million in internal personnel and third party development costs.

21.   SUBSEQUENT EVENTS

In FY2007, Haemonetics Corporation embarked on the first year of a business transformation with the primary focus on our international businesses. The goal of this transformation is to position these businesses to complement the growth of our US business.

Having completed the business transformation in both Japan and Asia, on April 2, 2007 management approved a plan to consolidate our customer support functions in Europe into our European Headquarters in Signy, Switzerland. The consolidated center in Signy will include finance, customer and sales support, and logistics supply chain management. The consolidation of these functions is planned to occur over the next 9 months. To complete this plan we expect to incur exit related costs of $4 million to $5 million, including up to $3.5 million of one-time termination benefits and related costs (principally severance and outplacement costs), $0.75 million of relocation costs and $0.75 million of costs associated with reducing our facilities.

We expect these costs will be incurred and reflected in the financial statements principally in the first and second quarters of Fiscal Year 2008, which began on April 1, 2007. We expect this transformation will yield improved operating effectiveness, including improved customer service, enhanced business continuity for our global organization, and greater professional development opportunities for our employees, as well as annual operating savings of approximately $1.5 million.

Additionally, as discussed in our Earnings Release on May 2, 2007, the Company also announced plans to initiate a new $75 million share repurchase program. Repurchases commenced on May 2, 2007.

 

78




Report of Independent Registered Public Accounting Firm

The Board of Directors and Shareholders of Haemonetics Corporation:

We have audited the accompanying consolidated balance sheets of Haemonetics Corporation as of March 31, 2007 and April 1, 2006, and the related consolidated statements of income, shareholders’ equity, and cash flows for each of the three years in the period ended March 31, 2007. Our audits also included the financial statement schedule listed in the Index at Item 15(a). These financial statements and schedule are the responsibility of the Company’s management. Our responsibility is to express an opinion on these financial statements and schedule based on our audits.

We conducted our audits in accordance with the standards of the Public Company Accounting Oversight Board (United States). Those standards require that we plan and perform the audit to obtain reasonable assurance about whether the financial statements are free of material misstatement. An audit includes examining, on a test basis, evidence supporting the amounts and disclosures in the financial statements. An audit also includes assessing the accounting principles used and significant estimates made by management, as well as evaluating the overall financial statement presentation. We believe that our audits provide a reasonable basis for our opinion.

In our opinion, the financial statements referred to above present fairly, in all material respects, the consolidated financial position of Haemonetics Corporation at March 31, 2007 and April 1, 2006, and the consolidated results of its operations and its cash flows for each of the three years in the period ended March 31, 2007, in conformity with U.S. generally accepted accounting principles. Also, in our opinion, the related financial statement schedule, when considered in relation to the basic financial statements taken as a whole, presents fairly in all material respects the information set forth therein.

As discussed in Note 2 to the consolidated financial statements, effective April 2, 2006, the Company adopted Statement of Financial Accounting Standards No. 123(R), Share-Based Payment.

We also have audited, in accordance with the standards of the Public Company Accounting Oversight Board (United States), the effectiveness of Haemonetics Corporation’s internal control over financial reporting as of March 31, 2007, based on criteria established in Internal Control—Integrated Framework issued by the Committee of Sponsoring Organizations of the Treadway Commission and our report dated May 21, 2007 expressed an unqualified opinion thereon.

/s/ Ernst & Young LLP

 

Boston, Massachusetts

 

May 21, 2007

 

 

79




Item 9.                        Changes in and Disagreements with Accountants on Accounting and Financial Disclosure

None.

Item 9A.                Controls and Procedures

A) Evaluation of Disclosure Controls and Procedures

As of the end of the period covered by this report, we conducted an evaluation under the supervision and with the participation of our management, including our Chief Executive Officer and Chief Financial Officer (our principal executive officer and principal financial officer, respectively) regarding the effectiveness of the design and operation of our disclosure controls and procedures as defined in Rule 13a-15 of the Securities Exchange Act of 1934 (the “Exchange Act”). Based upon that evaluation, the Chief Executive Officer and Chief Financial Officer concluded that as of the end of the period covered by this report, our disclosure controls and procedures are effective.

B) Reports on Internal Control

Management’s Annual Report on Internal Control over Financial Reporting

The management of the Company is responsible for establishing and maintaining adequate internal control over financial reporting, as such term is defined in Exchange Act Rule 13a-15(f). The Company’s internal control system was designed to provide reasonable assurance to the Company’s management and Board of directors regarding the preparation and fair presentation of published financial statements.

The Company’s management assessed the effectiveness of the Company’s internal control over financial reporting as of March 31, 2007. In making this assessment, the management used the criteria set forth by the Committee of Sponsoring Organizations of the Treadway Commission (COSO) in Internal Control-Integrated Framework. Based on our assessment we believe that, as of March 31, 2007, the Company’s internal control over financial reporting is effective based on those criteria.

Because of its inherent limitations, internal control over financial reporting may not prevent or detect misstatements. Also, projections of any evaluation of effectiveness to future periods are subject to the risk that controls become inadequate because of changes in conditions, or that the degree of compliance with the policies or procedures may deteriorate.

Management’s assessment of the effectiveness of its internal control over financial reporting as of March 31, 2007 has been attested to by Ernst & Young LLP, an independent registered public accounting firm, as stated in their report which is included herein.

80




Report of Independent Registered Public Accounting Firm

The Board of Directors and Shareholders of Haemonetics Corporation:

We have audited management’s assessment, included in the accompanying Management’s Annual Report on Internal Control over Financial Reporting, that Haemonetics Corporation maintained effective internal control over financial reporting as of March 31, 2007, based on criteria established in Internal Control—Integrated Framework issued by the Committee of Sponsoring Organizations of the Treadway Commission (the COSO criteria). Haemonetics Corporation’s management is responsible for maintaining effective internal control over financial reporting and for its assessment of the effectiveness of internal control over financial reporting. Our responsibility is to express an opinion on management’s assessment and an opinion on the effectiveness of the company’s internal control over financial reporting based on our audit.

We conducted our audit in accordance with the standards of the Public Company Accounting Oversight Board (United States). Those standards require that we plan and perform the audit to obtain reasonable assurance about whether effective internal control over financial reporting was maintained in all material respects. Our audit included obtaining an understanding of internal control over financial reporting, evaluating management’s assessment, testing and evaluating the design and operating effectiveness of internal control, and performing such other procedures as we considered necessary in the circumstances. We believe that our audit provides a reasonable basis for our opinion.

A company’s internal control over financial reporting is a process designed to provide reasonable assurance regarding the reliability of financial reporting and the preparation of financial statements for external purposes in accordance with generally accepted accounting principles. A company’s internal control over financial reporting includes those policies and procedures that (1) pertain to the maintenance of records that, in reasonable detail, accurately and fairly reflect the transactions and dispositions of the assets of the company; (2) provide reasonable assurance that transactions are recorded as necessary to permit preparation of financial statements in accordance with generally accepted accounting principles, and that receipts and expenditures of the company are being made only in accordance with authorizations of management and directors of the company; and (3) provide reasonable assurance regarding prevention or timely detection of unauthorized acquisition, use, or disposition of the company’s assets that could have a material effect on the financial statements.

Because of its inherent limitations, internal control over financial reporting may not prevent or detect misstatements. Also, projections of any evaluation of effectiveness to future periods are subject to the risk that controls may become inadequate because of changes in conditions, or that the degree of compliance with the policies or procedures may deteriorate.

In our opinion, management’s assessment that Haemonetics Corporation maintained effective internal control over financial reporting as of March 31, 2007, is fairly stated, in all material respects, based on the COSO criteria. Also, in our opinion, Haemonetics Corporation maintained, in all material respects, effective internal control over financial reporting as of March 31, 2007, based on the COSO criteria.

We also have audited, in accordance with the standards of the Public Company Accounting Oversight Board (United States), the consolidated balance sheets of Haemonetics Corporation as of March 31, 2007 and April 1, 2006, and the related consolidated statements of income, stockholders’ equity and cash flows for each of the three years in the period ended March 31, 2007 of Haemonetics Corporation and our report dated May 21, 2007 expressed an unqualified opinion thereon.

/s/ Ernst & Young LLP

Boston, Massachusetts

May 21, 2007

 

81




C) Changes in Internal Controls

There were no changes in the Company’s internal control over financial reporting that occurred during the fourth quarter of the Company’s most recently completed fiscal year that materially affected, or are reasonably likely to materially affect, the Company’s internal control over financial reporting.

Item 9B.               Other Information

None.

PART III

Item10.                 Directors and Executive Officers of the Registrant and Corporate Governance

1.                 The information called for by Item 401 of Regulations S-K concerning our directors and the information called for by Item 405 of Regulation S-K concerning compliance with Section 16(a) of the Securities Exchange Act of 1934 required by this Item is incorporated by reference to our Proxy Statement for the Annual Meeting to be held August 1, 2007.

2.                 The information concerning our Executive Officers is set forth at the end of Part I hereof.

3.                 The balance of the information required by this item including information concerning our Audit Committee and the Audit Committee Financial Expert and compliance with Item 407(c)(3) of S-K is incorporated by reference to the Company’s Proxy Statement for the Annual Meeting to be held August 1, 2007. We have adopted a Code of Ethics that applies to our chief executive officer, chief financial officer and senior financial officers. The Code of Ethics is incorporated into the Company’s Code of Business Conduct located on the Company’s internet web site at http://www.haemonetics.com/site/content/investor/investor.asp and it is available in print to any shareholder who requests it. Such requests should be directed to our Company’s Secretary.

We intend to disclose any amendment to, or waiver from, a provision of its code of ethics that applies to our chief executive officer, chief financial officer and senior financial officers and that relates to any element of the Code of Ethics definition enumerated in Item 406 of Regulation S-K by posting such information on our website.

Item 11.                 Executive Compensation

The information required by this Item is incorporated by reference to our Proxy Statement for the Annual Meeting to be held. August 1, 2007. Notwithstanding the foregoing, the Compensation Committee Report included within the Proxy Statement is only being “furnished” hereunder and shall not be deemed “filed” for purposes of Section18 of the Securities and Exchange Act of 1934.

Item 12.                 Security Ownership of Certain Beneficial Owners and Management and Related Stockholder Matters

The information required by this Item concerning security ownership of certain beneficial owners and management is incorporated by reference to the Company’s Proxy Statement for the Annual Meeting to be held August 1, 2007.

82




Stock Plans

The following table below sets forth information as of March 31, 2007 with respect to compensation plans under which equity securities of the Company are authorized for issuance.

 

 

(a)

 

(b)

 

(c)

 

 

 

Number of securities to be
issued upon exercise
of outstanding options,
warrants and rights

 

Weighted average
exercise price of
outstanding options,
warrants and rights

 

Number of securities
available for future
issuance under equity
compensation plans
(excluding securities
reflected in columns (a)*

 

Plan Category

 

 

 

 

 

 

 

 

 

 

 

 

 

Equity Compensation Plans approved by security holders

 

 

4,064,478

 

 

 

$

35.30

 

 

 

2,312,643

 

 

Equity compensation plans not approved by security holders

 

 

 

 

 

 

 

 

 

 

 

 

 

Total

 

 

4,064,478

 

 

 

$

35.30

 

 

 

2,312,643

 

 


*                    Includes 66,808 shares available for purchase under the Employee Stock Purchase Plan in future purchase periods.

Item 13.                 Certain Relationships and Related Transactions and Director Independence

The information required by this Item is incorporated by reference to our Proxy Statement for the Annual Meeting to be held August 1, 2007.

Item 14.                 Principal Accountant Fees and Services

The information required by this Item is incorporated by reference to our Proxy Statement for the Annual Meeting to be held August 1, 2007.

83




PART IV

Item 15.                 Exhibits and Financial Statement Schedules.

The following documents are filed as a part of this report:

A)              Financial Statements are included in Part II of this report

 

All other schedules have been omitted because they are not applicable or not required.

B)             Exhibits required by Item 601 of Regulation S-K are listed in the Exhibit Index at page 86, which is incorporated herein by reference.

84




SIGNATURES

Pursuant to the requirements of Section 13 or 15(d) of the Securities Exchange Act of 1934, the Registrant has duly caused this report to be signed on its behalf by the undersigned, thereunto duly authorized.

HAEMONETICS CORPORATION

 

By:

/s/ BRAD NUTTER

 

 

Brad Nutter, President

 

 

and Chief Executive Officer

Date: May 23, 2007

 

Pursuant to the requirements of the Securities Exchange Act of 1934, this report has been signed below by the following persons on behalf of the Registrant and in the capacities and on the dates indicated.

Signature

 

Title

 

Date

/s/ RONALD G. GELBMAN

 

Lead Director

 

May 23, 2007

Ronald G. Gelbman

 

 

 

 

/s/ BRAD NUTTER

 

President and Chief Executive Officer,

 

May 23, 2007

Brad Nutter

 

Director (Principal Executive Officer)

 

 

/s/ CHRISTOPHER LINDOP

 

Vice President and Chief Financial

 

May 23, 2007

Christopher Lindop

 

Officer, (Principal Financial Officer)

 

 

/s/ SUSAN M. HANLON

 

Vice President Planning and Control

 

May 23, 2007

Susan M. Hanlon

 

(Principal Accounting Officer)

 

 

/s/ LAWRENCE C. BEST

 

Director

 

May 23, 2007

Lawrence C. Best

 

 

 

 

/s/ SUSAN BARTLETT FOOTE

 

Director

 

May 23, 2007

Susan Bartlett Foote

 

 

 

 

/s/ PEDRO GRANADILLO

 

Director

 

May 23, 2007

Pedro Granadillo

 

 

 

 

/s/ MARK KROLL, PH.D.

 

Director

 

May 23, 2007

Mark Kroll

 

 

 

 

/s/ RICHARD MEELIA

 

Director

 

May 23, 2007

Richard Meelia

 

 

 

 

/s/ RONALD MERRIMAN

 

Director

 

May 23, 2007

Ronald Merriman

 

 

 

 

 

85




EXHIBITS FILED WITH SECURITIES AND EXCHANGE COMMISSION
Number and Description of Exhibit

1.   Articles of Organization

3A*

 

Articles of Organization of the Company effective August 29, 1985, as amended December 12, 1985 and May 21, 1987 (filed as Exhibit 3A to the Company’s Form S-1 No. 33-39490 and incorporated herein by reference).

3B*

 

Form of Restated Articles of Organization of the Company (filed as Exhibit 3B to the Company’s Form S-1 No. 33-39490 and incorporated herein by reference).

3C*

 

Articles of Amendment to the Articles of Organization of the Company filed May 8, 1991 with the Secretary of the Commonwealth of Massachusetts (filed as Exhibit 3E to the Company’s Amendment No. 1 to Form S-1 No. 33-39490 and incorporated herein by reference).

3D*

 

Articles of Amendment to the Articles of Organization of the Company filed August 21, 2006 with the Secretary of the Commonwealth of Massachusetts

3E*

 

By-Laws of the Company, as amended March 31, 2005(filed as Exhibit 10.1 to the Company’s Form 8-K No. 1-10730 dated April 6, 2005 and incorporated herein by reference).

 

2.   Instruments defining the rights of security holders

4A*

 

Specimen certificate for shares of common stock (filed as Exhibit 4B to the Company’s Amendment No. 1 to Form S-1 No. 33-39490 and incorporated herein by reference).

 

3.   Material Contracts

10A*

 

The 1990 Stock Option Plan, as amended (filed as Exhibit 4A to the Company’s Form S-8 No. 33-42006 and incorporated herein by reference).

10B*

 

Form of Option Agreements for Incentive and Non-qualified Options (filed as Exhibit 10B to the Company’s Form S-1 No. 33-39490 and incorporated herein by reference).

10C*

 

Lease dated July 17, 1990 between the Buncher Company and the Company of property in Pittsburgh, Pennsylvania (filed as Exhibit 10K to the Company’s Form S-1 No. 33-39490 and incorporated herein by reference).

10D*

 

Lease dated July 3, 1991 between Wood Road Associates II Limited Partnership and the Company for the property adjacent to the main facility in Braintree, Massachusetts (filed as Exhibit 10M to the Company’s Form 10-K No. 1-10730 for the year ended March 28, 1992 and incorporated herein by reference).

10E*

 

Amendment No. 1 to Lease dated July 3, 1991 between Wood Road Associates II Limited Partnership and the Company for the child care facility (filed as Exhibit 10N to the Company’s Form 10-K No. 1-10730 for the year ended March 28, 1992 and incorporated herein by reference).

10F*

 

Amendment No. 2 to Lease dated July 3, 1991 between Wood Road Associates II Limited Partnership and the Company (filed as Exhibit 10S to the Company’s Form 10-K No. 1-10730 for the year ended April 3, 1993 and incorporated herein by reference).

10G*

 

Real Estate purchase agreement dated May 1, 1994 between 3M UK Holding PLC and the Company (filed as Exhibit 10AA to the Company’s Form 10-K No. 1-10730 for the year ended April 1, 1995 and incorporated herein by reference).

86




 

10H*

 

1992 Long-Term Incentive Plan (filed as Exhibit 10V to the Company’s Form 10-K No. 1-10730 for the year ended April 3, 1993 and incorporated herein by reference).

10I*

 

Purchase agreement dated October 1, 1994 between Kuraray Co. and the Company (filed as Exhibit 10AC to the Company’s Form 10-K No. 1-10730 for the year ended April 1, 1995 and incorporated herein by reference).

10J*

 

First Amendment to lease dated July 17, 1990 between Buncher Company and the Company of property in Pittsburgh, Pennsylvania (filed as Exhibit 10AI to the Company’s Form 10-Q No. 1-10730 for the quarter ended December 28, 1996 and incorporated herein by reference).

10K*

 

Amendment, dated April 18, 1997 to the 1992 Long-Term Incentive Plan (filed as Exhibit 10V to the Company’s Form 10-K No. 1-10730 for the year ended April 3, 1993 and incorporated herein by reference).

10L*

 

Note Purchase agreement whereby Haemonetics Corporation authorized sale of $40,000,000, 7.05% Senior Notes due October 15, 2007 (filed as Exhibit 10A to the Company’s Form 10-Q No. 1-10730 for the quarter ended September 27, 1997 and incorporated herein by reference).

10M*

 

1998 Employee Stock Purchase Plan (filed as Exhibit 10Z to the Company’s Form 10-K No. 1-10730 for the year ended March 28, 1998 and incorporated herein by reference).

10N*

 

1998 Stock Option Plan for Non-Employee Directors. (filed as Exhibit 10AA to the Company’s Form 10-K No. 1-10730 for the year ended March 28, 1998 and incorporated herein by reference).

10O*

 

Lease, dated July 29, 1997 between New Avon Limited Partnership and the Company for the property in Avon, Massachusetts (filed as Exhibit 10AB to the Company’s Form 10-K No. 1-10730 for the year ended March 28, 1998 and incorporated herein by reference).

10P*

 

Agreement and Plan of Merger dated September 4, 2000 between Haemonetics Corporation and Transfusion Technologies Corporation (filed as Exhibit 2.1 to the Company’s Form 8-K No. 1-14041 dated September 29, 2000 and incorporated herein by reference).

10Q*

 

Amendment dated September 29, 2000 to the 7.05% Senior Notes (filed as Exhibit 10A to the Company’s Form 10-Q No. 1-10730 for the quarter ended September 30, 2000 and incorporated herein by reference).

10R*

 

Haemonetics Corporation 2000 Long-term Incentive Plan (filed as Exhibit 10A to the Company’s Form 10-Q No. 1-10730 for the quarter ended December 30, 2000 and incorporated herein by reference).

10S*

 

Note and Mortgage dated December 12, 2000 between the Company and General Electric Capital Business Asset Funding Corporation relating to the Braintree facility (filed as Exhibit 10B to the Company’s Form 10-Q No. 1-10730 for the quarter ended December 30, 2000 and incorporated herein by reference).

10T*

 

Amendment No. 3 to Lease dated July 3, 1991 between Wood Road Associates II Limited Partnership and the Company, dated April 1, 1997 (filed as Exhibit 10AA to the Company’s Form 10-K No. 1-10730 for the year ended March 30, 2002 and incorporated herein by reference).

10U*

 

Amendment No. 4 to Lease dated July 3, 1991 between Wood Road Associates II Limited Partnership, as assigned to Trinet Essential Facilities XXIX, Inc., effective June 18, 1998, and the Company, dated February 25, 2002. (filed as Exhibit 10AB to the Company’s Form 10-K No. 1-10730 for the year ended March 30, 2002 and incorporated herein by reference).

87




 

10V*

 

Employment Agreement between the Company and Ronald J. Ryan. (filed as Exhibit 10.2 to the Company’s Form 10-Q No. 1-10730 for the quarter ended June 29, 2002 and incorporated herein by reference).

10W*

 

Employment agreement between Brad Nutter and Haemonetics Corporation. (filed as Exhibit 10AE to the Company’s Form 10-K No. 1-10730 for the year ended March 29, 2003 and incorporated herein by reference).

10X*

 

First Amendment of lease dated July 29, 1997 between New Avon Limited Partnership and the Company for the property in Avon, Massachusetts. (filed as Exhibit 10AF to the Company’s Form 10-K No. 1-10730 for the year ended March 29, 2003 and incorporated herein by reference).

10Y*

 

Second Amendment to lease dated July 17, 1990 between Buncher Company and the Company for the property in Pittsburgh, Pennsylvania.(filed as Exhibit 10AG to the Company’s Form 10-K No. 1-10730 for the year ended March 29, 2003 and incorporated herein by reference).

10Z*

 

Form of Option Agreements for Non-Qualified stock options for the 1992 Long-Term Incentive Plan for Employees. (filed as Exhibit 10AH to the Company’s Form 10-K No. 1-10730 for the year ended March 29, 2003 and incorporated herein by reference).

10AA*

 

Form of Option Agreements for Non-Qualified stock options for the 1998 Stock Option Plan for Non-Employee Directors. (filed as Exhibit 10AI to the Company’s Form 10-K No. 1-10730 for the year ended March 29, 2003 and incorporated herein by reference).

10AB*

 

Form of Option Agreement for Non-Qualified stock options for the 2000 Long Term-Incentive Plan for Employees. (filed as Exhibit 10AJ to the Company’s Form 10-K No. 1-10730 for the year ended March 29, 2003 and incorporated herein by reference).

10AC*

 

Form of Option Agreements for Non-Qualified stock options for the 2000 Long-Term Incentive Plan for Non-Employee Directors. (filed as Exhibit 10AK to the Company’s Form 10-K No. 1-10730 for the year ended March 29, 2003 and incorporated herein by reference).

10AD*

 

Employment Agreement between the Company and Robert Ebbeling. (filed as Exhibit 10AL to the Company’s Form 10-K No. 1-10730 for the year ended March 29, 2003.)

10AE*

 

Employment agreement between the Company and Peter Allen (filed as Exhibit 10.1 to the Company’s Form 10-Q No 1-10730 for the quarter ended September 27, 2003 and incorporated herein by reference).

10AF*

 

Employment agreement between the Company and Brian Concannon (filed as Exhibit 10.2 to the Company’s Form 10-Q No 1-10730 for the quarter ended September 27, 2003 and incorporated herein by reference).

10AG*

 

Employment agreement between the Company and Alicia Lopez (filed as Exhibit 10.3 to the Company’s Form 10-Q No 1-10730 for the quarter ended September 27, 2003 and incorporated herein by reference).

10AH*

 

Second Amendment of lease dated July 29, 1997 between New Avon Limited Partnership and the Company for the property in Avon, Massachusetts(filed as Exhibit 10AM to the Company’s Form 10-K No 1-10730 for the year ended April 3, 2004 and incorporated herein by reference).

88




 

10AI*

 

Third Amendment of lease dated July 29, 1997 between New Avon Limited Partnership and the Company for the property in Avon, Massachusetts (filed as Exhibit 10AN to the Company’s Form 10-K No 1-10730 for the year ended April 3, 2004 and incorporated herein by reference).

10AJ*

 

Summary of the Employment Agreement between Haemonetics Corporation and Dr. Ulrich Exckert (filed as Exhibit 10AO to the Company’s Form 10-K No 1-10730 for the year ended April 3, 2004 and incorporated herein by reference).

10AK*

 

Amendment dated April 22, 2005 to the 7.05% Senior Notes (filed as Exhibit 10AK to the Company’s Form 10-K No 1-10730 for the year ended April 2, 2005 and incorporated herein by reference).

10AL*

 

2005 Long Term Incentive Compensation Plan (filed as Item 2 in the Company’s 2005 Definitive Proxy Statement)

10AM*

 

Form of Option Agreement for Non-Qualified stock options for the 2005 Long Term-Incentive Compensation Plan for Non-employee Directors (filed as Exhibit 10.1 to the Company’s Form 10-Q No 1-10730 for the quarter ended October 1, 2005).

10AN*

 

Form of Option Agreement for Non-Qualified stock options for the 2005 Long Term Incentive Compensation Plan for Employees (filed as Exhibit 10.2 to the Company’s Form 10-Q No 1-10730 for the quarter ended October 1, 2005).

10AO*

 

Form of Option Agreement for Non-Qualified stock options for the 2005 Long Term-Incentive Compensation Plan for the Chief Executive Officer (filed as Exhibit 10.3 to the Company’s Form 10-Q No 1-10730 for the quarter ended October 1, 2005).

10AP*

 

Change in Control Agreement dated January 19, 2006 between the Company and Brad Nutter, President and Chief Executive Officer. (filed as Exhibit 10AP to the Company’s Form 10-K No 1-10730 for the year ended April 1, 2006 and incorporated herein by reference).

10AQ*

 

Form of Change in Control Agreement dated January 19, 2006 between the Company and members of the Company’s Operating Committee. (filed as Exhibit 10AP to the Company’s Form 10-K No 1-10730 for the year ended April 1, 2006 and incorporated herein by reference).

10AR

 

Form of Change in Control Agreement entered into between the Company and Thomas Lawlor and Christopher Lindop on September 5, 2006 and January 2, 2007, respectively.

21

 

Subsidiaries of the Company

23.1

 

Consent of the Independent Registered Public Accounting Firm

31.1

 

Certification pursuant to Section 302 of Sarbanes-Oxley Act of 2002, of Brad Nutter, President and Chief Executive Officer of the Company

31.2

 

Certification pursuant to Section 302 of Sarbanes-Oxley of 2002, of Ronald J. Ryan, Vice President and Chief Financial Officer of the Company

32.1

 

Certification Pursuant to 18 United States Code Section 1350, as adopted Pursuant to Section 906 of the Sarbanes-Oxley Act of 2002, of Brad Nutter, President and Chief Executive Officer of the Company

32.2

 

Certification Pursuant to 18 United States Code Section 1350, as adopted Pursuant to Section 906 of the Sarbanes-Oxley Act of 2002, of Christopher Lindop, Vice President and Chief Financial Officer of the Company


*                    Incorporated by reference

(All other exhibits are inapplicable.)

89




SCHEDULE II

HAEMONETICS CORPORATION

VALUATION AND QUALIFYING ACCOUNTS
(in thousands)

 

 

Balance at

 

Charged to

 

 

 

 

 

 

 

 

 

Beginning of

 

Costs and

 

Charged to

 

Write-Offs

 

Balance at End

 

 

 

Period

 

Expenses

 

Other Accounts

 

(Net of Recoveries)

 

of Period

 

For Year Ended March 31, 2007

 

 

 

 

 

 

 

 

 

 

 

 

 

 

 

 

 

 

 

Allowance for Doubtful Accounts

 

 

$

1,086

 

 

 

$

567

 

 

 

 

 

$

(213

)

 

 

$

1,440

 

 

For Year Ended April 1, 2006

 

 

 

 

 

 

 

 

 

 

 

 

 

 

 

 

 

 

 

Allowance for Doubtful Accounts

 

 

$

2,074

 

 

 

$

236

 

 

 

 

 

$

(1,224

)

 

 

$

1,086

 

 

For Year Ended April 2, 2005

 

 

 

 

 

 

 

 

 

 

 

 

 

 

 

 

 

 

 

Allowance for Doubtful Accounts

 

 

$

2,261

 

 

 

$

782

 

 

 

 

 

$

(969

)

 

 

$

2,074

 

 

 

90