Charter Communications
CHTR
#1142
Rank
$20.88 B
Marketcap
$147.92
Share price
0.09%
Change (1 day)
-63.25%
Change (1 year)

Charter Communications is an American operator of cable networks with digital and interactive television, video-on-demand, internet and telephone services. The company is based in Stamford, Connecticut.

Charter Communications - 10-K annual report 2018


Text size:


UNITED STATES
SECURITIES AND EXCHANGE COMMISSION
Washington, D.C. 20549
______________
FORM 10-K
______________
(Mark One)
x
 
ANNUAL REPORT PURSUANT TO SECTION 13 OR 15(d) OF THE SECURITIES EXCHANGE
ACT OF 1934
 
 
 
 
 
For the fiscal year ended December 31, 2018
or
 
 
 
¨
 
TRANSITION REPORT PURSUANT TO SECTION 13 OR 15(d) OF THE SECURITIES
EXCHANGE ACT OF 1934
For the Transition Period From             to             
Commission File Number: 001-33664
a2014charterlogoa01a02a22.jpg
Charter Communications, Inc.
(Exact name of registrant as specified in its charter)
Delaware
 
84-1496755
(State or other jurisdiction of incorporation or organization)
 
(I.R.S. Employer Identification Number)
 
 
 
400 Atlantic Street
Stamford, Connecticut 06901
 
(203) 905-7801
(Address of principal executive offices including zip code)
 
(Registrant’s telephone number, including area code)
Securities registered pursuant to section 12(b) of the Act:
Title of each class
 
Name of Exchange which registered
Class A Common Stock, $.001 Par Value
 
NASDAQ Global Select Market

Securities registered pursuant to section 12(g) of the Act: None

Indicate by check mark if the registrant is a well-known seasoned issuer, as defined in Rule 405 of the Securities Act. Yes x No o

Indicate by check mark if the registrant is not required to file reports pursuant to Section 13 or Section 15(d) of the Act. Yes o No x

Indicate by check mark whether the registrant (1) has filed all reports required to be filed by Section 13 or 15(d) of the Securities Exchange Act of 1934 during the preceding 12 months (or for such shorter period that the registrant was required to file such reports), and (2) has been subject to such filing requirements for the past 90 days. Yes x No o

Indicate by check mark whether the registrants have submitted electronically and posted on their corporate website, if any, every Interactive Data File required to be submitted and posted pursuant to Rule 405 of Regulation S-T (§232.405 of this chapter) during the preceding 12 months (or for such shorter period that the registrants were required to submit and post such files). Yes x No o

Indicate by check mark if disclosure of delinquent filers pursuant to Item 405 of Regulation S-K (§ 229.405 of this chapter) is not contained herein, and will not be contained, to the best of registrant’s knowledge, in definitive proxy or information statements incorporated by reference in Part III of this Form 10-K or any amendment to this Form 10-K. o

Indicate by check mark whether the registrant is a large accelerated filer, an accelerated filer, a non-accelerated filer, or a smaller reporting company. See definition of “large accelerated filer,” “accelerated filer,” and “smaller reporting company” in Rule 12b-2 of the Exchange Act.:

Large accelerated filer x    Accelerated filer o    Non-accelerated filer o    Smaller reporting company o

If an emerging growth company, indicate by check mark if the registrant has elected not to use the extended transition period for complying with any new or revised financial accounting standards provided pursuant to Section 13(a) of the Exchange Act. o

Indicate by check mark whether the registrant is a shell company (as defined in Rule 12b-2 of the Act). Yes o No x

The aggregate market value of the registrant of outstanding Class A common stock held by non-affiliates of the registrant at June 30, 2018 was approximately $51.5 billion, computed based on the closing sale price as quoted on the NASDAQ Global Select Market on that date. For purposes of this calculation only, directors, executive officers and the principal controlling shareholders or entities controlled by such controlling shareholders of the registrant are deemed to be affiliates of the registrant.

There were 225,353,807 shares of Class A common stock outstanding as of December 31, 2018. There was 1 share of Class B common stock outstanding as of the same date.

Documents Incorporated By Reference

Information required by Part III is incorporated by reference from Registrant’s proxy statement or an amendment to this Annual Report on Form 10-K to be filed by April 30, 2019.








a2014charterlogoa01a02a22.jpg

CHARTER COMMUNICATIONS, INC.
FORM 10-K — FOR THE YEAR ENDED
DECEMBER 31, 2018

TABLE OF CONTENTS


This annual report on Form 10-K is for the year ended December 31, 2018. The United States Securities and Exchange Commission (“SEC”) allows us to “incorporate by reference” information that we file with the SEC, which means that we can disclose important information to you by referring you directly to those documents. Information incorporated by reference is considered to be part of this annual report. In addition, information that we file with the SEC in the future will automatically update and supersede information contained in this annual report. In this annual report, “Charter,” “we,” “us” and “our” refer to Charter Communications, Inc. and its subsidiaries.



i



CAUTIONARY STATEMENT REGARDING FORWARD-LOOKING STATEMENTS:

This annual report includes forward-looking statements within the meaning of Section 27A of the Securities Act of 1933, as amended (the “Securities Act”), and Section 21E of the Securities Exchange Act of 1934, as amended (the “Exchange Act”), regarding, among other things, our plans, strategies and prospects, both business and financial including, without limitation, the forward-looking statements set forth in Part I. Item 1. under the heading “Business” and in Part II. Item 7. under the heading “Management’s Discussion and Analysis of Financial Condition and Results of Operations” in this annual report. Although we believe that our plans, intentions and expectations reflected in or suggested by these forward-looking statements are reasonable, we cannot assure you that we will achieve or realize these plans, intentions or expectations. Forward-looking statements are inherently subject to risks, uncertainties and assumptions, including, without limitation, the factors described in Part I. Item 1A. under “Risk Factors” and in Part II. Item 7. under the heading, “Management’s Discussion and Analysis of Financial Condition and Results of Operations” in this annual report. Many of the forward-looking statements contained in this annual report may be identified by the use of forward‑looking words such as “believe,” “expect,” “anticipate,” “should,” “planned,” “will,” “may,” “intend,” “estimated,” “aim,” “on track,” “target,” “opportunity,” “tentative,” “positioning,” “designed,” “create,” “predict,” “project,” “initiatives,” “seek,” “would,” “could,” “continue,” “ongoing,” “upside,” “increases” and “potential,” among others. Important factors that could cause actual results to differ materially from the forward-looking statements we make in this annual report are set forth in this annual report and in other reports or documents that we file from time to time with the SEC, and include, but are not limited to:

our ability to sustain and grow revenues and cash flow from operations by offering video, Internet, voice, mobile, advertising and other services to residential and commercial customers, to adequately meet the customer experience demands in our service areas and to maintain and grow our customer base, particularly in the face of increasingly aggressive competition, the need for innovation and the related capital expenditures;
the impact of competition from other market participants, including but not limited to incumbent telephone companies, direct broadcast satellite ("DBS") operators, wireless broadband and telephone providers, digital subscriber line (“DSL”) providers, fiber to the home providers, video provided over the Internet by (i) market participants that have not historically competed in the multichannel video business, (ii) traditional multichannel video distributors, and (iii) content providers that have historically licensed cable networks to multichannel video distributors, and providers of advertising over the Internet;
our ability to efficiently and effectively integrate acquired operations;
the effects of governmental regulation on our business including costs, disruptions and possible limitations on operating flexibility related to, and our ability to comply with, regulatory conditions applicable to us as a result of the Time Warner Cable Inc. and Bright House Networks, LLC Transactions;
general business conditions, economic uncertainty or downturn, unemployment levels and the level of activity in the housing sector;
our ability to obtain programming at reasonable prices or to raise prices to offset, in whole or in part, the effects of higher programming costs (including retransmission consents);
our ability to develop and deploy new products and technologies including mobile products and any other consumer services and service platforms;
any events that disrupt our networks, information systems or properties and impair our operating activities or our reputation;
the ability to retain and hire key personnel;
the availability and access, in general, of funds to meet our debt obligations prior to or when they become due and to fund our operations and necessary capital expenditures, either through (i) cash on hand, (ii) free cash flow, or (iii) access to the capital or credit markets; and
our ability to comply with all covenants in our indentures and credit facilities, any violation of which, if not cured in a timely manner, could trigger a default of our other obligations under cross-default provisions.

All forward-looking statements attributable to us or any person acting on our behalf are expressly qualified in their entirety by this cautionary statement. We are under no duty or obligation to update any of the forward-looking statements after the date of this annual report.


ii



PART I

Item 1. Business.

Introduction

We are the second largest cable operator in the United States and a leading broadband communications services company providing video, Internet and voice services to approximately 28.1 million residential and small and medium business customers at December 31, 2018. We also recently launched our Spectrum mobile service to residential customers. In addition, we sell video and online advertising inventory to local, regional and national advertising customers and fiber-delivered communications and managed information technology (“IT”) solutions to large enterprise customers. We also own and operate regional sports networks and local sports, news and community channels.

We own and operate a high-capacity, two-way telecommunications network which passes over 50 million households and small and medium businesses across the United States. Our core strategy is to use our network to deliver high quality products at competitive prices, combined with outstanding service. This strategy, combined with simple, easy to understand pricing and packaging, is central to our goal of growing our customer base while selling more of our core connectivity services, which include both fixed and mobile Internet, video and voice services, to each individual customer.  We execute this strategy by managing our operations in a consumer-friendly, efficient and cost-effective manner. Our operating strategy includes insourcing nearly all of our customer care and field operations workforces, which results in higher quality service delivery. While an insourced operating model can increase field operations and customer care costs associated with each service transaction, the higher quality nature of insourced labor service transactions significantly reduces the volume of service transactions per customer, more than offsetting the higher investment made in each insourced service transaction. As we reduce the number of service transactions and recurring costs per customer relationship, we continue to provide our customers with products and prices that we believe provide more value than what our competitors offer. The combination of offering high quality, competitively priced products and outstanding service, allows us to both increase the number of customers we serve over our fully deployed network, and to increase the number of products we sell to each customer. That combination also reduces the number of service transactions we perform per relationship, yielding higher customer satisfaction and lower customer churn, resulting in lower costs to acquire and serve customers. 

We are also modifying our service operations to allow our customers to (1) interact with us through a variety of new forums, including our customer website, online chat and social media, (2) have their services installed at the time and in the manner of their own choosing, including self-installation, and to (3) receive their selected services on devices of their own choosing, including connected devices, such as Apple TV and Roku. By offering our customers growing levels of choice in how they interact, install and receive their services, we are driving higher overall levels of customer satisfaction and reducing our operating costs and capital expenditures per customer relationship. Ultimately, our operating strategy enables us to offer high quality, competitively priced services profitably, while continuing to invest in new products and services.

The capability and functionality of our two-way network continues to grow in a number of areas, especially with respect to wireless connectivity. Our Internet service offers consumers the ability to wirelessly connect to our network using WiFi technology. We estimate that approximately 250 million devices are wirelessly connected to our network. Our wireless strategy initially focused on offering wireless connectivity solutions inside the home and business. Increasingly, however, we are testing and evaluating opportunities for our customers to connect their devices to our network beyond their current service location or via our mobile virtual network operator (“MVNO”) reseller agreement with Verizon Communications Inc. ("Verizon"), using a combination of licensed and unlicensed radio spectrum for fixed and mobile service delivery from our highly distributed, high capacity network.

Our principal executive offices are located at 400 Atlantic Street, Stamford, Connecticut 06901. Our telephone number is (203) 905-7801, and we have a website accessible at www.charter.com. Our Annual Reports on Form 10-K, Quarterly Reports on Form 10-Q and Current Reports on Form 8-K, and all amendments thereto, are available on our website free of charge as soon as reasonably practicable after they have been filed. The information posted on our website is not incorporated into this annual report.

The Transactions

On May 18, 2016, the transactions contemplated by the Agreement and Plan of Mergers dated as of May 23, 2015 (the “Merger Agreement”), by and among Time Warner Cable Inc. ("Legacy TWC"), Charter Communications, Inc. prior to the closing of the Merger Agreement (“Legacy Charter”), CCH I, LLC, previously a wholly owned subsidiary of Legacy Charter and certain other subsidiaries of CCH I, LLC were completed (the “TWC Transaction,” and together with the Bright House Transaction described


1



below, the “Transactions”). As a result of the TWC Transaction, CCH I, LLC became the new public parent company that holds the operations of the combined companies and was renamed Charter Communications, Inc.

Also, on May 18, 2016, Legacy Charter and Advance/Newhouse Partnership (“A/N”), the former parent of Bright House Networks, LLC (“Legacy Bright House”), completed their previously announced transaction, pursuant to a definitive Contribution Agreement (the “Contribution Agreement”), under which Charter acquired Legacy Bright House (the “Bright House Transaction”). Pursuant to the Bright House Transaction, Charter became the owner of the membership interests in Legacy Bright House and the other assets primarily related to Legacy Bright House (other than certain excluded assets and liabilities and non-operating cash).

To partially finance the Transactions, Liberty Broadband Corporation ("Liberty Broadband") purchased shares of Charter Class A common stock (the “Liberty Transaction”).



2



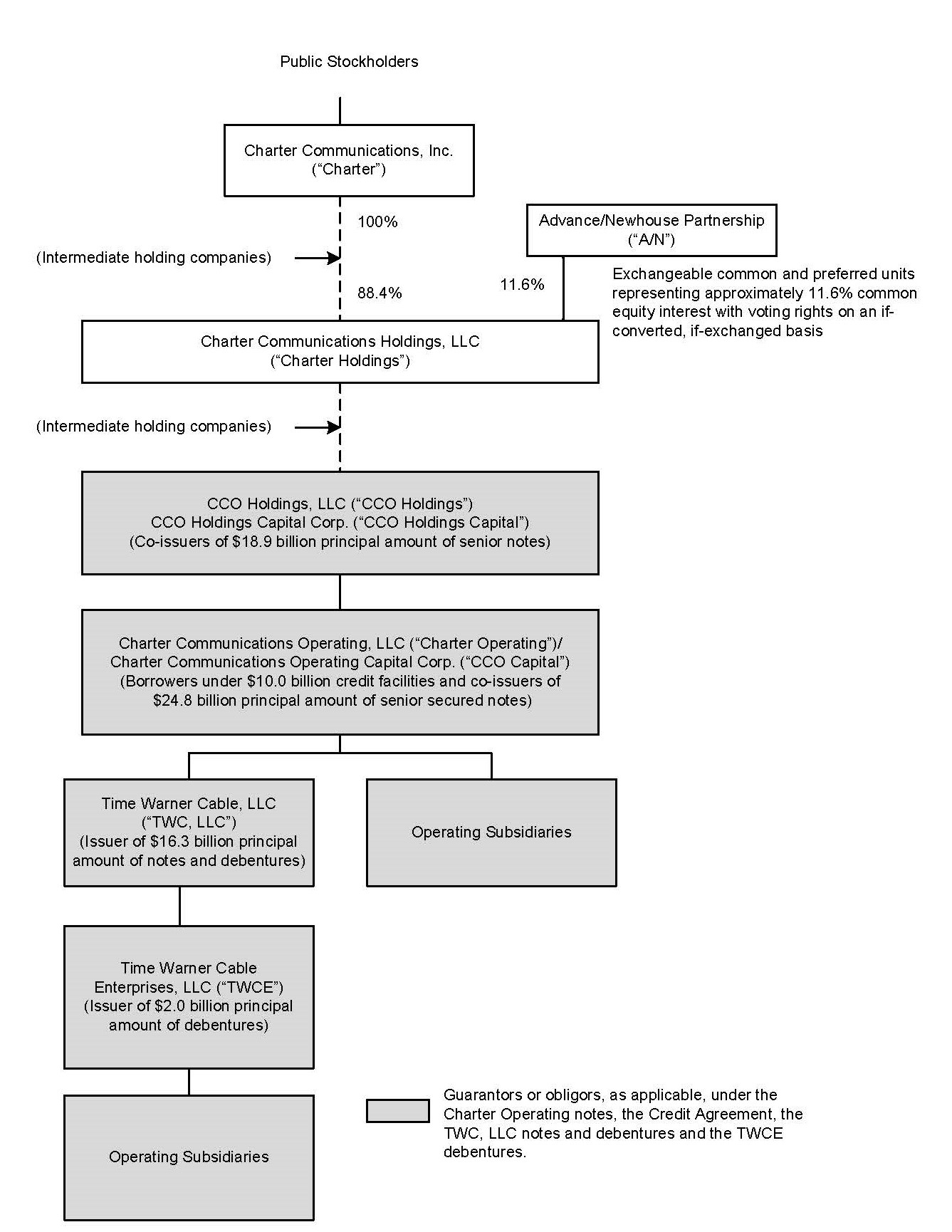
Corporate Entity Structure

The chart below sets forth our entity structure and that of our direct and indirect subsidiaries. The chart does not include all of our affiliates and subsidiaries and, in some cases, we have combined separate entities for presentation purposes. The equity ownership percentages shown below are approximations. Indebtedness amounts shown below are principal amounts as of December 31, 2018. See Note 8 to the accompanying consolidated financial statements contained in “Part II. Item 8. Financial Statements and Supplementary Data,” which also includes the accreted values of the indebtedness described below.
orgchart112618a06.jpg



3



Products and Services

We offer our customers subscription-based video services, including video on demand (“VOD”), high definition (“HD”) television, and digital video recorder (“DVR”) service, Internet services, voice and mobile services. As of December 31, 2018, we had eliminated the carriage of analog video signals ("all-digital") in nearly all of our footprint, further freeing up network capacity and enabling us to offer more HD channels, faster Internet speeds and better video picture quality. Our video, Internet, and voice services are offered to residential and commercial customers on a subscription basis, with prices and related charges based on the types of service selected, whether the services are sold as a “bundle” or on an individual basis, and the equipment necessary to receive our services. Bundled services are available to substantially all of our passings, and approximately 58% of our customers subscribe to a bundle of services including video, Internet and voice.

The following table summarizes our customer statistics for video, Internet and voice as of December 31, 2018 and 2017 (in thousands except per customer data and footnotes).

 
Approximate as of
 
December 31,
 
2018 (b)
 
2017 (a)(b)
Customer Relationships (c)
 
 
 
Residential
26,270

 
25,499

Small and Medium Business
1,833

 
1,662

Total Customer Relationships
28,103

 
27,161

 
 
 
 
Residential Primary Service Units ("PSUs")
 
 
 
Video
16,104

 
16,400

Internet
23,625

 
22,518

Voice
10,135

 
10,424

 
49,864

 
49,342

 
 
 
 
Monthly Residential Revenue per Residential Customer (d)
$
111.56

 
$
110.28

 
 
 
 
Small and Medium Business PSUs
 
 
 
Video
502

 
450

Internet
1,634

 
1,470

Voice
1,051

 
930

 
3,187

 
2,850

 
 
 
 
Monthly Small and Medium Business Revenue per Customer (e)
$
174.88

 
$
187.24

 
 
 
 
Enterprise PSUs (f)
248

 
220


(a) 
Between the closing of the Transactions in May 2016 through the first quarter of 2018, we have reported our customer data and results using legacy company reporting methodologies. During the second quarter of 2018, we implemented certain reporting changes on a retrospective basis which allowed for the recasting of historical customer data and results using consistent definitions and reporting methodologies across all three legacy companies. Legacy TWC Hawaii customer statistics are expected to move to our standard methodology in 2019 and variances, if any, will be disclosed at that time.
(b) 
Customer statistics do not include mobile. We calculate the aging of customer accounts based on the monthly billing cycle for each account. On that basis, as of December 31, 2018 and 2017, customers include approximately 217,600 and 248,900 customers, respectively, whose accounts were over 60 days past due, approximately 24,000 and 20,600 customers, respectively, whose accounts were over 90 days past due, and approximately 19,200 and 13,200 customers, respectively, whose accounts were over 120 days past due.
(c) 
Customer relationships include the number of customers that receive one or more levels of service, encompassing video, Internet and voice services, without regard to which service(s) such customers receive. Customers who reside in residential multiple dwelling units (“MDUs”) and that are billed under bulk contracts are counted based on the number of billed units within each bulk MDU. Total customer relationships exclude enterprise customer relationships.
(d) 
Monthly residential revenue per residential customer is calculated as total residential video, Internet and voice annual revenue divided by twelve divided by average residential customer relationships during the respective year.


4



(e) 
Monthly small and medium business revenue per customer is calculated as total small and medium business annual revenue divided by twelve divided by average small and medium business customer relationships during the respective year.
(f) 
Enterprise PSUs represent the aggregate number of fiber service offerings counting each separate service offering at each customer location as an individual PSU.

Residential Services

Video Services

Our video customers receive a package of programming which generally includes a digital set-top box that provides an interactive electronic programming guide with parental controls, access to pay-per-view services, including VOD (available to nearly all of our passings), digital music channels and the option to view certain video services on third-party devices. Customers have the option to purchase additional tiers of services including premium channels which provide original programming, commercial-free movies, sports, and other special event entertainment programming. Substantially all of our video programming is available in HD. We also offer certain video packages containing a limited number of channels via our cable television systems.

In the vast majority of our footprint, we offer VOD service which allows customers to select from over 50,000 titles at any time. VOD titles are typically offered in both standard and high definition. VOD programming options may be accessed for free if the content is associated with a customer’s linear subscription, or for a fee on a transactional basis. VOD services are also offered on a subscription basis included in a digital tier premium channel subscription or for a monthly fee. Pay-per-view channels allow customers to pay on a per-event basis to view a single showing of a one-time special sporting event, music concert, or similar event on a commercial-free basis.

Our goal is to provide our video customers with the programming they want, when they want it, on any device. DVR service enables customers to digitally record programming and to pause and rewind live programming.  Customers are increasingly accessing their subscription content through connected devices, such as Apple TV and Roku. Customers can also use our Spectrum TV application on mobile devices and on our website, to watch over 300 channels of cable TV, view VOD programming, remotely control digital set-top boxes while in the home and to program DVRs remotely. We also enable our customers to view approximately 200 channels out of the home, along with the vast majority of our VOD titles. Our video customers also have access to programmer authenticated applications and websites (known as TV Everywhere services) such as HBO Go®, Fox Now®, Discovery Go® and WatchESPN®.

We are deploying Spectrum Guide®, our network or “cloud-based” user interface, to new video customers in the majority of our service areas. Spectrum Guide® is designed to allow our customers to enjoy a state-of-the-art video experience on our set-top boxes, and provides access to third-party video applications such as Netflix. While Spectrum Guide runs on traditional set-top boxes, it offers an advanced look and feel that is similar to that of our Spectrum TV application, which is designed to work on third-party devices. Spectrum Guide enables customers to find video content more easily across cable TV channels and VOD options. We plan to continue to enhance and expand deployment of this user interface in 2019 and beyond.

Internet Services

Our Spectrum pricing and packaging (“SPP”) offers an entry level Internet download speed of at least 100 megabits per second (“Mbps”) in 60% of our footprint and 200 Mbps across approximately 40% of our footprint, which among other things, allows several people within a single household to stream HD video content while simultaneously using our Internet service for non-video purposes. Additionally, leveraging DOCSIS 3.1 technology, we offer 940 Mbps speed service ("Spectrum Internet Gig") in nearly all of our footprint. Finally, we offer a security suite with our Internet services which, upon installation by customers, provides protection against computer viruses and spyware and includes parental control features.

We offer an in-home WiFi product that provides customers with high performance wireless routers to maximize their in-home wireless Internet experience. Additionally, we offer an out-of-home WiFi service, Spectrum WiFi, across our footprint to our Internet customers at designated “hot spots.” We also offer Spectrum WiFi Plus in the majority of our footprint, which offers a more secure sign-in process and easier access for our customers based on the more advanced Hotspot 2.0 WiFi standards which enable seamless transition among WiFi networks and between WiFi and cellular networks.

Voice Services

We provide voice communications services using voice over Internet protocol ("VoIP") technology to transmit digital voice signals over our network. Our voice services include unlimited local and long distance calling to the United States, Canada, Mexico and


5



Puerto Rico, voicemail, call waiting, caller ID, call forwarding and other features and offers international calling either by the minute, or through packages of minutes per month. For customers that subscribe to both our voice and video offerings, caller ID on TV is also available in most areas.

Mobile Services

Our mobile strategy is built on the long-term vision of an integrated fixed/wireless network with differentiated products, and the ability to maximize the potential of our existing network and cable business. At the end of the second quarter of 2018, we launched our mobile product, Spectrum Mobile, to residential customers under our MVNO reseller agreement with Verizon and began mass market advertising of our Spectrum Mobile service in September 2018. We currently offer our Spectrum Mobile service to residential customers subscribing to our Internet service. We expect to begin offering mobile service to our small and medium business customers on similar terms in 2019. We believe Spectrum-branded mobile services will drive more sales of our core products, create longer customer lives and increase profitability and cash flow over time. As we launch our new mobile services, we expect an initial funding period to grow a new product as well as negative working capital impacts from the timing of device-related cash flows when we provide the handset or tablet to customers pursuant to equipment installment plans.

We plan to use our WiFi network in conjunction with additional unlicensed or licensed spectrum to improve network performance and expand capacity to offer consumers a superior mobile service at a lower total cost to us.​​ Further, we have experimental wireless licenses from the Federal Communications Commission ("FCC") that we are utilizing to test next generation mobile services in several service areas around the country.

We are exploring working with a variety of partners and vendors in a number of operational areas within the wireless space, including creating common operating platforms, technical standards development and harmonization, device forward and reverse logistics and emerging wireless technology platforms. The efficiencies created are expected to provide more choice, innovative products and competitive prices for customers. We intend to consider and pursue opportunities in the mobile space which may include entering into joint ventures or partnerships with wireless or cable providers which may require significant investment. In 2018, we invested in C&C Wireless Operations, LLC, a mobile operating partnership with Comcast Corporation ("Comcast"), for the mobile back office platform. There is no assurance we will enter into other such arrangements or that if we do, that they will be successful.

Commercial Services

We offer scalable broadband communications solutions for businesses and carrier organizations of all sizes, selling Internet access, data networking, fiber connectivity to cellular towers and office buildings, video entertainment services and business telephone services.
 
Small and Medium Business

Spectrum Business offers Internet, voice and video services to small and medium businesses over our hybrid fiber coaxial network that are similar to those that we provide to our residential customers. Spectrum Business includes a full range of video programming and entry-level Internet speeds of 100 or 200 Mbps downstream (depending on service area) and 10 Mbps upstream. Additionally, customers can upgrade their Internet speeds by purchasing Internet Ultra (400 Mbps downstream) or Internet Gig (940 Mbps downstream). Spectrum Business also includes a set of business services including web hosting, e-mail and security, and multi-line telephone services with more than 30 business features including web-based service management, that are generally not available to residential customers.
 
Enterprise Solutions

Spectrum Enterprise offers fiber-delivered communications and managed IT solutions to larger businesses, as well as high-capacity last-mile data connectivity services to mobile and wireline carriers and other competitive carriers on a wholesale basis.  Spectrum Enterprise's product portfolio includes fiber Internet access, voice trunking services, hosted voice, Ethernet services that privately and securely connect geographically dispersed client locations, and video solutions designed to meet the needs of hospitality, education, and healthcare clients.  In addition, Spectrum Enterprise is running market field trials of an innovative Hybrid Software-Defined Wide Area Network that enables businesses to leverage the performance of Ethernet, the ubiquity of Internet connectivity and the flexibility of a software-defined solution to solve a wide array of business communications and networking challenges. Our managed IT portfolio includes Cloud Infrastructure as a Service and Cloud Desktop as a Service, and managed hosting, application, and messaging solutions, along with other related IT and professional services. Our large serviceable footprint allows us to effectively serve business customers with multiple sites across given geographic regions. These customers can benefit from obtaining advanced services from a single provider simplifying procurement and potentially reducing their costs.


6




Advertising Services

Our advertising sales division, Spectrum Reach®, offers local, regional and national businesses the opportunity to advertise in individual and multiple service areas on cable television networks and digital outlets. We receive revenues from the sale of local advertising across various platforms for networks such as MTV®, CNN® and ESPN®. In any particular service area, we typically insert local advertising on 40 to 90 channels. Our large footprint provides opportunities for advertising customers to address broader regional audiences from a single provider and thus reach more customers with a single transaction. Our size also provides scale to invest in new technology to create more targeted and addressable advertising capabilities.

Available advertising time is generally sold by our advertising sales force. In some service areas, we have formed advertising interconnects or entered into representation agreements with other video distributors, including, among others, Verizon's fiber optic service (“Fios”), AT&T Inc.’s (“AT&T”) U-verse, Comcast and DIRECTV platforms, under which we sell advertising on behalf of those operators. In other service areas, we enter into representation agreements under which another operator in the area will sell advertising on our behalf. These arrangements enable us and our partners to deliver linear commercials across wider geographic areas, replicating the reach of local broadcast television stations to the extent possible. In addition, we enter into interconnect agreements from time to time with other cable operators, which, on behalf of a number of video operators, sells advertising time to national and regional advertisers in individual or multiple service areas.

Additionally, we sell the advertising inventory of our owned and operated local sports and news channels, of our regional sports networks that carry Los Angeles Lakers’ basketball games and other sports programming and of SportsNet LA, a regional sports network that carries Los Angeles Dodgers’ baseball games and other sports programming.

In 2018, we began deploying advanced advertising products such as our Audience App, which uses our proprietary set-top box viewership data (all anonymized and aggregated) to optimize linear inventory, and, in 2019, we will be ramping up our deployment of household addressability, which allows for more precise targeting within various parts of our footprint. 

Other Services

Regional Sports and News Networks

We have an agreement with the Los Angeles Lakers for rights to distribute all locally available Los Angeles Lakers’ games through 2033. We broadcast those games on our regional sports network, Spectrum SportsNet. American Media Productions, LLC ("American Media Productions"), an unaffiliated third party, owns SportsNet LA, a regional sports network carrying the Los Angeles Dodgers’ baseball games and other sports programming. In accordance with agreements with American Media Productions, we act as the network’s exclusive affiliate and advertising sales representative and have certain branding and programming rights with respect to the network. In addition, we provide certain production and technical services to American Media Productions. The affiliate, advertising, production and programming agreements continue through 2038. We also own 26.8% of Sterling Entertainment Enterprises, LLC (doing business as SportsNet New York), a New York City-based regional sports network that carries New York Mets’ baseball games as well as other regional sports programming.

We manage local news channels, including Spectrum News NY1, a 24-hour news channel focused on New York City. In 2018, we launched 10 new local news channels, expanding our connection to the communities we serve and bringing our total local news channels to 26. Our local news channels provide 24/7 hyperlocal content, focusing on news, programming and storytelling that addresses the deeper needs and interests of the diverse communities and neighborhoods we serve.

Pricing of Our Products and Services

Our revenues are principally derived from the monthly fees customers pay for the services we provide. We typically charge a one-time installation fee which is sometimes waived or discounted in certain sales channels during certain promotional periods.

Our Spectrum pricing and packaging ("SPP") generally offers a standardized price for each tier of service, bundle of services, and add-on service in a service area. We believe SPP:

offers a higher quality and more value-based set of services relative to our competitors, including faster Internet speeds, more HD channels, lower equipment fees and a more transparent pricing structure;
offers simplicity for customers to understand our offers, and for our employees in service delivery;
drives our ability to package more services at the time of sale, thus increasing revenue per customer;
drives higher customer satisfaction, lower service calls and churn; and


7



allows for gradual price increases at the end of promotional periods.

We sell video and Internet packages with the option to add on voice and mobile services at attractive pricing. Our mobile customers can choose one of two simple ways to pay for data. Customers can choose an unlimited data plan or a by-the-gig data usage plan. Both plans include free nationwide talk and text and customers can easily switch mobile data plans during the month. Customers can also purchase mobile devices and accessory products and have the option to pay for devices under interest-free monthly installment plans.

Our Network Technology and Customer Premise Equipment

Our network includes three key components: a national backbone, regional/metro networks and a “last-mile” network.  Both our national backbone and regional/metro network components utilize a redundant Internet Protocol ("IP") ring/mesh architecture.  The national backbone component provides connectivity from regional demarcation points to nationally centralized content, connectivity and services.  The regional/metro network components provide connectivity between the regional demarcation points and headends within a specific geographic area and enable the delivery of content and services between these network components.

Our last-mile network utilizes a hybrid fiber coaxial cable (“HFC”) architecture, which combines the use of fiber optic cable with coaxial cable.  In most systems, we deliver our signals via fiber optic cable from the headend to a group of nodes, and use coaxial cable to deliver the signal from individual nodes to the homes served by that node. For our fiber Internet, Ethernet, carrier wholesale, Session Initiation Protocol ("SIP") and Primary Rate Interface ("PRI") Spectrum Enterprise customers, fiber optic cable is extended from individual nodes to the customer’s site.  For certain new build and MDU sites, we increasingly bring fiber to the customer site. Our design standard is six strands of fiber to each node, with two strands activated and four strands reserved for spares and future services.  This design standard allows these additional strands to be utilized for additional residential traffic capacity, and enterprise customer needs as they arise. We believe that this hybrid network design provides high capacity and signal quality.  The design also provides two-way signal capabilities for the support of interactive services.
 
HFC architecture benefits include:

bandwidth capacity to enable traditional and two-way video and broadband services;
dedicated bandwidth for two-way services; and
signal quality and high service reliability.

As of December 31, 2018, approximately 99% of our estimated passings were served by systems that have bandwidth of 750 megahertz or greater. This bandwidth capacity enables us to offer HD television, DOCSIS-based Internet services and voice services. We are currently all-digital in nearly all of our footprint. An all-digital platform enables us to offer a larger selection of HD channels, faster Internet speeds and better picture quality while providing greater plant security and enabling lower installation and disconnect service truck rolls.

We developed a new conditional access security system which can be downloaded into set-top boxes with features we specify that could be provided by a variety of manufacturers. We refer to our specified set-top box as our WorldBox. WorldBoxes are available to customers across most of our footprint. Our WorldBox design has enabled us to purchase set-top boxes from a broader array of equipment vendors in addition to reducing our per set-top box costs. WorldBox includes more advanced features and functionality than older set-top boxes, including faster processing times, IP capabilities with increased speed, greater simultaneous recording capabilities, increased DVR storage capacity, and more flexibility for customers to take Charter-provisioned set-top boxes with them, if and when, they move residences. With the deployment of WorldBox, we often utilize our cloud-based user interface, Spectrum Guide®. Spectrum Guide® improves video content search and discovery, and fully enables our on-demand offering. In addition, Spectrum Guide® can function on all of our new set-top boxes, ensuring new customer connects are eligible for the newest functionality.

Management, Customer Operations and Marketing

Our operations are centralized, with senior executives located at several key corporate offices, responsible for coordinating and overseeing operations, including establishing company-wide strategies, policies and procedures. Sales and marketing, network operations, field operations, customer operations, engineering, advertising sales, human resources, legal, government relations, information technology and finance are all directed at the corporate level. Regional and local field operations are responsible for customer premise service transactions and maintaining and constructing that portion of our network which is located outdoors.  

We continue to focus on improving the customer experience through enhanced product offerings, reliability of services, and delivery of quality customer service.  As part of our operating strategy, we insource most of our customer operations workload.


8



In 2018, our in-house domestic call centers handled approximately 90% of our total customer service calls. We manage our customer service calls centrally to ensure a consistent, high quality customer experience. In addition, we route calls by call type to specific agents that only handle such call types, enabling agents to become experts in addressing specific customer needs, creating a better customer experience. We also continue to migrate our call centers to full virtualization, allowing calls to be routed across our call centers regardless of the location origin of the call, reducing call wait times, and saving costs. A new call center agent desktop interface tool, already used at Legacy Charter, is being deployed in Legacy TWC and Legacy Bright House service areas. This new desktop interface tool, which is expected to be fully implemented in the second half of 2019, will enable full virtualization of all call centers, regardless of legacy billing platform, and will better serve our customers.

We also provide customers with the opportunity to interact with us through a variety of forums in addition to telephonic communications, including through our customer website, mobile device applications, online chat and social media. Our customer websites and mobile applications enable customers to pay their bills, manage their accounts, order new services and utilize self-service help and support.

We sell our residential and commercial services using a national brand platform known as Spectrum®, Spectrum Business® and Spectrum Enterprise®. These brands reflect our comprehensive approach to industry-leading products, driven by speed, performance and innovation. Our marketing strategy emphasizes the sale of our bundled services through targeted direct response marketing programs to existing and potential customers, and increases awareness and the value of the Spectrum brand. Our marketing organization creates and executes marketing programs intended to grow customer relationships, increase the number of services we sell per relationship, retain existing customers and cross-sell additional products to current customers. We monitor the effectiveness of our marketing efforts, customer perception, competition, pricing, and service preferences, among other factors, in order to increase our responsiveness to our customers and to improve our sales and customer retention. The marketing organization manages the majority of the sales channels including direct sales, on-line, outbound telemarketing and stores.

Programming

We believe that offering a wide variety of video programming choices influences a customer’s decision to subscribe and retain our cable video services. We obtain basic and premium programming, usually pursuant to written contracts from a number of suppliers. Media corporation consolidation has, however, resulted in fewer suppliers and additional selling power on the part of programming suppliers. Although an insignificant amount of our programming budget, recently we have begun entering into agreements to co-produce or exclusively license original content which give us the right to provide our customers with certain exclusive content for a period of time.

Programming is usually made available to us for a license fee, which is generally paid based on the number of customers to whom we make that programming available. Programming license fees may include “volume” discounts and financial incentives to support the launch of a channel and/or ongoing marketing support, as well as discounts for channel placement or service penetration. For home shopping channels, we typically receive a percentage of the revenue attributable to our customers’ purchases as well as channel placement fees. We also offer VOD and pay per view channels of movies and events that are subject to a revenue split with the content provider.

Our programming costs have increased in excess of customary inflationary and cost-of-living type increases.  We expect programming costs to continue to increase due to a variety of factors including, annual increases pursuant to our programming contracts, contract renewals with programmers and the carriage of incremental programming, including new services and VOD programming. Increases in the cost of sports programming and the amounts paid for broadcast station retransmission consent have been the largest contributors to the growth in our programming costs over the last few years. Additionally, the demands of large media companies who link carriage of their most popular networks to carriage and cost increases of their less popular networks, has limited our flexibility in creating more tailored and cost-sensitive programming packages for consumers. 

Federal law allows commercial television broadcast stations to make an election between “must-carry” rights and an alternative “retransmission-consent” regime. When a station opts for retransmission-consent, we are not allowed to carry the station’s signal without that station’s permission. Continuing demands by owners of broadcast stations for cash payments at substantial increases over amounts paid in prior years in exchange for retransmission consent will increase our programming costs or require us to cease carriage of popular programming, potentially leading to a loss of customers in affected service areas.

Over the past several years, increases in our video service rates have not fully offset the increases in our programming costs, and with the impact of increasing competition and other marketplace factors, we do not expect the increases in our video service rates to fully offset the increase in our programming costs for the foreseeable future. Although we pass along a portion of amounts paid for retransmission consent to the majority of our customers, our inability to fully pass programming cost increases on to our video customers has had, and is expected in the future to have, an adverse impact on our cash flow and operating margins associated


9



with our video product. In order to mitigate reductions of our operating margins due to rapidly increasing programming costs, we continue to review our pricing and programming packaging strategies.

Our programming contracts are generally for a fixed period of time, usually for multiple years, and are subject to negotiated renewal. The contracts set to expire in any particular year vary with a higher concentration of programming costs set to expire at, or before the end, of 2019. We will seek to renew these agreements on terms that we believe are favorable. There can be no assurance, however, that these agreements will be renewed on favorable or comparable terms. To the extent that we are unable to reach agreements with certain programmers on terms that we believe are reasonable, we have been, and may in the future be, forced to remove such programming channels from our line-up, which may result in a loss of customers.

Regions

We operate in geographically diverse areas which are organized in regional clusters. These regions are managed centrally on a consolidated level. Our eleven regions and the customer relationships within each region as of December 31, 2018 are as follows (in thousands):

Regions
 
Total Customer Relationships
Carolinas
 
2,907
Central
 
2,941
Florida
 
2,498
Great Lakes
 
2,199
Northeast
 
2,997
Northwest
 
1,539
New York City
 
1,372
South
 
1,985
Southern Ohio
 
2,236
Texas
 
2,887
West
 
4,542

Competition

Residential Services

We face intense competition for residential customers, both from existing competitors and, as a result of the rapid development of new technologies, services and products, from new entrants.

Video competition

Our residential video service faces competition from DBS service providers, which have a national footprint and compete in all of our operating areas. DBS providers offer satellite-delivered pre-packaged programming services that can be received by relatively small and inexpensive receiving dishes. DBS providers offer aggressive promotional pricing, exclusive programming (e.g., NFL Sunday Ticket) and video services that are comparable in many respects to our residential video service. Our residential video service also faces competition from large telecommunications companies, primarily AT&T U-verse, Frontier Communications Corporation (“Frontier”) FiOS and Verizon Fios, which offer wireline video services in approximately 32%, 8% and 5%, respectively, of our operating areas. AT&T also owns DIRECTV, and as a combined company provides video service (via IP or satellite) and voice service (via fixed or wireless) across our entire footprint, and delivers video, Internet, voice and mobile services across 46% of our passings. AT&T also acquired Time Warner Inc. in 2018. It is not yet clear how AT&T will use the various programming and studio assets it acquired from Time Warner Inc. to benefit its own products on its four video platforms.

Our residential video service also faces growing competition from a number of other sources, including companies that deliver linear network programming, movies and television shows on demand and other video content over broadband Internet connections to televisions, computers, tablets and mobile devices. These newer categories of competitors include virtual multichannel video programming distributors (“V-MVPD”) such as DirecTV NOW, Sling TV, Playstation Vue, YouTube TV and Hulu Live, and direct


10



to consumer products offered by programmers that have not traditionally sold programming directly to consumers, such as HBO Now, CBS All Access and Showtime Anytime. In 2018, AT&T launched WatchTV offering over 30 channels of live television for a low monthly cost or free with their wireless unlimited plan. Other online video business models have also developed, including, (i) subscription video on demand (“SVOD”) services such as Netflix, Amazon Prime, and Hulu Plus, (ii) ad-supported free online video products, including YouTube and Hulu, some of which offer programming for free to consumers that we currently purchase for a fee, (iii) pay-per-view products, such as iTunes, Amazon Instant and DAZN, and (iv) additional offerings from mobile providers which continue to integrate and bundle video services and mobile products. Historically, we have generally viewed SVOD online video services as complementary to our own video offering, and we have developed a cloud-based guide that is capable of incorporating video from many online video services currently offered in the marketplace. As the proliferation of online video services grows, however, services from V-MVPDs and new direct to consumer offerings, as well as piracy and password sharing, could negatively impact the growth of our video business.

Internet competition

Our residential Internet service faces competition from fiber-to-the-home ("FTTH"), wireless broadband offerings and DSL, as well as from a variety of companies that offer other forms of online services, including fixed wireless and satellite-based broadband services. AT&T, Frontier FiOS and Verizon’s Fios are our primary FTTH competitors. Given the FTTH deployments of our competitors, launches of broadband services offering 1 gigabits per second (“Gbps”) speed have recently grown. Several competitors, including AT&T, Frontier FiOS, Verizon's Fios and Google, deliver 1 Gbps broadband speed in at least a portion of their footprints which overlap our footprint. DSL service is often offered at prices lower than our Internet services, although typically at speeds much lower than the minimum speeds we offer as part of SPP. Various mobile phone companies offer wireless Internet services delivered over networks which they continue to enhance to deliver faster speeds. Some have announced that they intend to offer faster fifth generation (5G) services in the future including Verizon which currently offers a 5G fixed wireless service in a small portion of our footprint and AT&T which has also announced its plans to launch 5G services. Some mobile phone companies offer unlimited data packages to customers. In addition, a growing number of commercial areas, such as retail malls, restaurants and airports, offer WiFi Internet service. Numerous local governments are also considering or actively pursuing publicly subsidized WiFi Internet access networks. These options offer alternatives to cable-based Internet access.

Voice competition

Our residential voice service competes with wireless and wireline phone providers, as well as other forms of communication, such as text messaging on cellular phones, instant messaging, social networking services, video conferencing and email. We also compete with “over-the-top” phone providers, such as Vonage, Skype, magicJack, Google Voice and Ooma, Inc., as well as companies that sell phone cards at a cost per minute for both national and international service. The increase in the number of different technologies capable of carrying voice services and the number of alternative communication options available to customers as well as the replacement of wireline services by wireless have intensified the competitive environment in which we operate our residential voice service. Our mobile service competes with other mobile providers such as Verizon, AT&T, T-Mobile US, Inc. ("T-Mobile") and Sprint Corporation ("Sprint"). In April 2018, Sprint and T-Mobile announced their intent to merge. If approved, the resulting company would be one of nation’s largest mobile carriers bringing increased competition with a stated intent of pursuing broad 5G network deployment.

Regional Competitors

In some of our operating areas, other competitors have built networks that offer video, Internet and voice services that compete with our services. For example, in certain service areas, our residential video, Internet and voice services compete with Google Fiber, Cincinnati Bell Inc., Hawaiian Telcom (owned by Cincinnati Bell Inc.), RCN Telecom Services, LLC, Grande Communications Networks, LLC and WideOpenWest Finance, LLC.

Additional competition

In addition to multi-channel video providers, cable systems compete with other sources of news, information and entertainment, including over-the-air television broadcast reception, live events, movie theaters and the Internet. Competition is also posed by fixed wireless and satellite master antenna television systems, or SMATV systems, serving MDUs, such as condominiums, apartment complexes, and private residential communities.

Business Services

We face intense competition across each of our business services product offerings. Our small and medium business video, Internet, networking and voice services face competition from a variety of providers as described above. Our enterprise solutions also face


11



competition from the competitors described above as well as other telecommunications carriers, such as metro and regional fiber-based carriers. We also compete with cloud, hosting and related service providers and application-service providers.
 
Advertising

We face intense competition for advertising revenue across many different platforms and from a wide range of local and national competitors. Advertising competition has increased and will likely continue to increase as new advertising avenues seek to attract the same advertisers. We compete for advertising revenue against, among others, local broadcast stations, national cable and broadcast networks, radio stations, print media and online advertising companies and content providers.

Seasonality and Cyclicality 

Our business is subject to seasonal and cyclical variations. Our results are impacted by the seasonal nature of customers receiving our cable services in college and vacation service areas. Our revenue is subject to cyclical advertising patterns and changes in viewership levels. Our advertising revenue is generally higher in the second and fourth calendar quarters of each year, due in part to increases in consumer advertising in the spring and in the period leading up to and including the holiday season. U.S. advertising revenue is also cyclical, benefiting in even-numbered years from advertising related to candidates running for political office and issue-oriented advertising. Our capital expenditures and trade working capital are also subject to significant seasonality based on the timing of subscriber growth, network programs, specific projects and construction.

Regulation and Legislation

The following summary addresses the key regulatory and legislative developments affecting the cable industry and our services for both residential and commercial customers. Cable system operations are extensively regulated by the federal government (primarily the FCC), certain state governments, and many local governments. A failure to comply with these regulations could subject us to substantial penalties. Our business can be dramatically impacted by changes to the existing regulatory framework, whether triggered by legislative, administrative, or judicial rulings. Congress and the FCC have frequently revisited the subject of communications regulation and they are likely to do so again in the future. We could be materially disadvantaged in the future if we are subject to new laws, regulations or regulatory actions that do not equally impact our key competitors. We cannot provide assurance that the already extensive regulation of our business will not be expanded in the future. In addition, we are already subject to Charter-specific conditions regarding certain business practices as a result of the FCC’s approval of the Transactions.

Video Service

Must Carry/Retransmission Consent

There are two alternative legal methods for carriage of local broadcast television stations on cable systems. Federal “must carry” regulations require cable systems to carry local broadcast television stations upon the request of the local broadcaster. Alternatively, federal law includes “retransmission consent” regulations, by which popular commercial television stations can prohibit cable carriage unless the cable operator first negotiates for “retransmission consent,” which may be conditioned on significant payments or other concessions. Popular stations invoking “retransmission consent” have been demanding substantial compensation increases in their recent negotiations with cable operators, thereby significantly increasing our operating costs.

Additional government-mandated broadcast carriage obligations, including those related to the FCC’s newly adopted enhanced technical broadcasting option (Advanced Television Systems Committee 3.0), could disrupt existing programming commitments, interfere with our preferred use of limited channel capacity, and limit our ability to offer services that appeal to our customers and generate revenues.

Cable Equipment

In 1996, Congress enacted a statute requiring the FCC to adopt regulations designed to assure the development of an independent retail market for “navigation devices,” such as cable set-top boxes. As a result, the FCC required cable operators to make a separate offering of security modules (i.e., a “CableCARD”) that can be used with retail navigation devices. A companion rule that effectively required us to use CableCARDs in our own new set-top boxes was repealed by Congress in 2014, but the basic obligation to provide separable security for retail devices remains in place. Various parties may continue to advocate new regulatory approaches to reduce consumer dependency on traditional operator provided set-top boxes that, if adopted, could affect our business in the future.



12



Privacy and Information Security Regulation

The Communications Act of 1934, as amended (the “Communications Act”) limits our ability to collect, use, and disclose customers’ personally identifiable information for our video, voice, and Internet services. We are subject to additional federal, state, and local laws and regulations that impose additional restrictions on the collection, use and disclosure of consumer information. Further, the FCC, Federal Trade Commission ("FTC"), and many states regulate and restrict the marketing practices of communications service providers, including telemarketing and sending unsolicited commercial emails.

As a result of the FCC’s 2017 decision reclassifying broadband Internet access service as an “information service,” the FTC once again has the authority, pursuant to its general authority to enforce against unfair or deceptive acts and practices, to protect the privacy of Internet service customers, including our use and disclosure of certain customer information.

Our operations are also subject to federal and state laws governing information security. In the event of an information security breach, such rules may require consumer and government agency notification and may result in regulatory enforcement actions with the potential of monetary forfeitures. The FCC, the FTC and state attorneys general regularly bring enforcement actions against companies related to information security breaches and privacy violations.

Various security standards provide guidance to telecommunications companies in order to help identify and mitigate cybersecurity risk. One such standard is the voluntary framework released by the National Institute for Standards and Technologies (“NIST”) in 2014 and updated in 2018, in cooperation with other federal agencies and owners and operators of U.S. critical infrastructure. The NIST cybersecurity framework provides a prioritized and flexible model for organizations to identify and manage cyber risks inherent to their business. It was designed to supplement, not supersede, existing cybersecurity regulations and requirements. Several government agencies have encouraged compliance with the NIST cybersecurity framework, including the FCC, which is also considering expansion of its cybersecurity guidelines or the adoption of cybersecurity requirements.

After the repeal of the FCC’s 2016 privacy rules through the Congressional Review Act, and despite language in the FCC’s 2017 decision reclassifying broadband Internet access service as an “information service” and preempting state and local privacy regulations conflicting with federal policy, many states and local authorities have considered legislative or other actions that would impose additional restrictions on our ability to collect, use and disclose certain information. California, for example, enacted in a complex law in June 2018 which, under certain circumstances, will regulate companies’ use and disclosure of the personal information of California residents and authorizes enforcement actions by the California Attorney General and private class actions. The California Consumer Privacy Act is subject to amendment by the California legislature and further regulatory clarification by the California Attorney General before it goes into effect in January 2020. We expect state and local efforts to regulate online privacy to continue in 2019. Additionally, several state legislatures are considering the adoption of new data security and cybersecurity legislation that could result in additional network and information security requirements for our business. There are also bills pending in both the U.S. House of Representatives and Senate that could impose new privacy and data security obligations. We cannot predict whether any of these efforts will be successful or preempted, or how new legislation and regulations, if any, would affect our business.

Pole Attachments

The Communications Act requires most utilities owning utility poles to provide cable systems with access to poles and conduits and simultaneously subjects the rates charged for this access to either federal or state regulation.  After FCC regulatory amendments and litigation challenging those amendments, the federally regulated rates now applicable to pole attachments used for cable, Internet, and telecommunications services are substantially similar. The FCC regulatory amendments do not directly affect the rate in states that self-regulate, but many of those states have substantially the same rate for all communications attachments.

Some municipalities have enacted “one-touch” make-ready pole attachment ordinances, which permit third parties to alter components of our network attached to utility poles in ways that could adversely affect our businesses. Some of these ordinances have been challenged with differing results. In 2018, the FCC adopted “one-touch” make-ready (“OTMR”) rules that will apply in states where pole attachments are FCC regulated, and they may impact many of our existing pole attachments. Various utilities have sought review of the OTMR rules in federal court.

Cable Rate Regulation

Federal law strictly limits the potential scope of cable rate regulation. Pursuant to federal law, all video offerings are universally exempt from rate regulation, except for a cable system’s minimum level of video programming service, referred to as “basic service,” and associated equipment. Rate regulation of basic service and associated equipment operates pursuant to a federal formula, with local governments, commonly referred to as local franchising authorities, primarily responsible for administering


13



this regulation. FCC regulations require a local franchise authority interested in regulating cable rates to first make an affirmative showing that there is no “effective competition” (as defined under federal law) in the community. Very few local franchise authorities have filed the necessary rate regulation certification, and we have a petition pending at the FCC challenging the remaining certifications. The FCC is also considering possible reforms to any remaining rate regulations.

Access Channels

Local franchise agreements often require cable operators to set aside certain channels for public, educational, and governmental access programming. Federal law also requires cable systems to designate up to 15% of their channel capacity for commercial leased access by unaffiliated third parties, who may offer programming that our customers do not particularly desire. Although commercial leased access activity historically has been relatively limited, the FCC is currently considering changes to its leased access regulations, and increased activity in this area could further burden the channel capacity of our cable systems.

Other FCC Regulatory Matters

FCC regulations cover a variety of additional areas, including, among other things: (1) ownership restrictions: (2) equal employment opportunity obligations; (3) customer service standards; (4) technical service standards; (5) mandatory blackouts of certain network and syndicated programming; (6) restrictions on political advertising; (7) restrictions on advertising in children’s programming; (8) licensing of systems and facilities; (9) maintenance of public files; (10) emergency alert systems; (11) inside wiring and exclusive contracts for MDU complexes; and (12) disability access, including requirements governing video-description and closed-captioning. Each of these regulations restricts our business practices to varying degrees and may impose additional costs on our operations. Further, the FCC regulates spectrum usage and other communications enterprises in ways that could impact our operations. For example, the FCC is currently considering proposals to reallocate for other purposes certain spectrum currently used by cable operators to deliver video programming to individual cable systems.

It is possible that Congress or the FCC will expand or modify its regulation of cable systems in the future, and we cannot predict at this time how that might impact our business.

Copyright

Cable systems are subject to a federal compulsory copyright license covering carriage of television and radio broadcast signals. The copyright law provides copyright owners the right to audit our payments under the compulsory license, and the Copyright Office is currently considering modifications to the license’s royalty calculations and reporting obligations. The possible modification or elimination of this license is the subject of continuing legislative proposals and administrative review and could adversely affect our ability to obtain desired broadcast programming.

Copyright clearances for non-broadcast programming services are arranged through private negotiations. Cable operators also must obtain music rights for locally originated programming and advertising from the major music performing rights organizations. These licensing fees have been the source of litigation in the past, and we cannot predict with certainty whether license fee disputes may arise in the future.

Franchise Matters

Our cable systems generally are operated pursuant to nonexclusive franchises, permits, and similar authorizations granted by a municipality or other state or local government entity in order to utilize and cross public rights-of-way.

Cable franchises generally are granted for fixed terms and in many cases include monetary penalties for noncompliance and may be terminable if the franchisee fails to comply with material provisions. The specific terms and conditions of cable franchises vary significantly between jurisdictions. They generally contain provisions governing cable operations, franchise fees, system construction, maintenance, technical performance, customer service standards, supporting and carrying public access channels, and changes in the ownership of the franchisee. Although local franchising authorities have considerable discretion in establishing franchise terms, certain federal protections benefit cable operators. For example, federal law caps local franchise fees.

A number of states have adopted franchising laws that provide for statewide franchising, some of which subject cable systems to the jurisdiction of centralized state government agencies, such as public utility commissions. Generally, state-wide cable franchises are issued for a fixed term, but streamline many of the traditional local cable franchise requirements and eliminate local negotiation.

Prior to the scheduled expiration of our franchises, we generally initiate renewal proceedings with the granting authorities. The Communications Act, which is the primary federal statute regulating interstate communications, provides for an orderly franchise


14



renewal process in which granting authorities may not unreasonably withhold renewals. In connection with the franchise renewal process, however, many local governmental authorities and some state agencies, may require the cable operator to make additional costly commitments. Historically, we have been able to renew our franchises without incurring significant costs, although any particular franchise may not be renewed on commercially favorable terms or otherwise. If we fail to obtain renewals of franchises representing a significant number of our customers, it could have a material adverse effect on our consolidated financial condition, results of operations, or our liquidity. Similarly, if a franchising authority’s consent is required for the purchase or sale of a cable system, the franchising authority may attempt to impose more burdensome requirements as a condition for providing its consent. In July 2018, the New York State Public Service Commission revoked its earlier approval of Charter’s acquisition of Legacy TWC, alleging that Charter had not complied with its Transaction commitments to extend availability of high-speed Internet services to 145,000 underserved or unserved homes or businesses over a four year period. Charter is vigorously opposing the Public Service Commission’s revocation, which, if not reversed, could materially impact our operations in New York state. See "Item 3. Legal Proceedings."

The traditional cable franchising regime has undergone significant change in recent years as a result of various federal and state actions, and the FCC continues to address cable franchising issues.

Internet Service

In 2015, the FCC determined that broadband Internet access services, such as those we offer, were “telecommunications services” under the Communications Act and, on that basis, imposed a number of “net neutrality” rules governing the provision of broadband service, including a “transparency” requirement, i.e., an obligation to disclose all material terms and conditions of our service to consumers.

In December 2017, the FCC adopted a new order reclassifying broadband as an “information service” and eliminating the 2015 rules other than the transparency requirement, which it eased in significant ways. The FCC also ruled that state regulators may not impose obligations similar to federal obligations that the FCC removed.

Various parties have challenged the FCC’s December 2017 ruling, seeking a court order to reinstate the FCC’s 2015 rules. At the same time, several states (including California) have adopted state obligations replacing the Internet access obligations that the FCC removed. California’s legislation has been challenged in court, and, we cannot predict how any such legislation and court challenges will be resolved. Moreover, irrespective of these cases, it is possible that the FCC might further revise its approach to broadband Internet access in the future, or that Congress might enact legislation affecting the rules applicable to the service.

Notwithstanding the reclassification of Internet access service as an “information service,” broadband providers remain obliged by the Communications Assistance for Law Enforcement Act ("CALEA") to configure their networks in a manner that facilitates the ability of law enforcement, with proper legal authorization, to obtain information about our customers, including the content of their Internet communications. It is also possible that Internet access services will be subjected to Universal Service funding requirements. These funding requirements could impose significant new costs on our Internet service. The FCC and some state regulatory commissions direct certain subsidies to telephone companies deploying broadband to areas deemed to be “unserved” or “underserved.” We have opposed such subsidies when directed to areas that we serve. Despite our efforts, future subsidies may be directed to areas served by us, which could result in subsidized competitors operating in our service territories. State and local governmental organizations have also adopted Internet-related regulations. These various governmental jurisdictions are also considering additional regulations in these and other areas, such as privacy, pricing, service and product quality, imposition of local franchise fees on Internet-related revenue and taxation. The adoption of new Internet regulations or the adaptation of existing laws to the Internet, including potential responsibility for the infringing activites of Internet subscribers, could adversely affect our business.

Aside from the FCC’s generally applicable regulations, we have made certain commitments to comply with the FCC’s order in connection with the FCC’s approval of the TWC Transaction and the Bright House Transaction (discussed below).

Voice Service

The Telecommunications Act of 1996 created a more favorable regulatory environment for us to provide telecommunications and/or competitive voice services than had previously existed. In particular, it established requirements ensuring that competitive telephone companies could interconnect their networks with those providers of traditional telecommunications services to open the market to competition. The FCC has subsequently ruled that competitive telephone companies that support VoIP services, such as those we offer our customers, are entitled to interconnection with incumbent providers of traditional telecommunications services, which ensures that our VoIP services can compete in the market. Since that time, the FCC has initiated a proceeding to determine whether such interconnection rights should extend to traditional and competitive networks utilizing IP technology, and


15



how to encourage the transition to IP networks throughout the industry. The FCC initiated a further proceeding in 2017 to consider whether additional changes to interconnection obligations are needed, including how and where companies interconnect their networks with the networks of other providers. New rules or obligations arising from these proceedings may affect our ability to compete in the provision of voice services.

Further regulatory changes are being considered that could impact our voice business and that of our primary telecommunications competitors. The FCC and state regulatory authorities are considering, for example, whether certain common carrier regulations traditionally applied to incumbent local exchange carriers should be modified or reduced, and, in some jurisdictions, the extent to which common carrier requirements should be extended to VoIP providers. The FCC has already determined that certain providers of voice services using Internet Protocol technology, like our VoIP services, must comply with requirements relating to 911 emergency services (“E911”), the CALEA (the statute governing law enforcement access to and surveillance of communications), Universal Service Fund contributions, customer privacy and Customer Proprietary Network Information issues, number portability, network outage reporting, rural call completion, disability access, regulatory fees, back-up power obligations, and discontinuance of service. In 2007, a federal appeals court affirmed the FCC’s decision concerning federal regulation of certain VoIP services, but declined to specifically find that VoIP service provided by cable companies, such as we provide, should be regulated only at the federal level. As a result, some states have begun proceedings to subject cable VoIP services to state level regulation, and at least one state has asserted jurisdiction over our VoIP services. We prevailed on a legal challenge to that state’s assertion of jurisdiction. Although we have registered with, or obtained certificates or authorizations from the FCC and the state regulatory authorities in those states in which we offer competitive voice services in order to ensure the continuity of our services and to maintain needed network interconnection arrangements, it is unclear whether and how these and other ongoing regulatory matters ultimately will be resolved.

Mobile Service

We recently launched our Spectrum mobile service to residential customers. Under current arrangements, we provision this service as an MVNO which allows us to deliver service over Verizon’s network and our network of Spectrum WiFi hotspots. As an MVNO, we are subject to many of the same FCC regulations that apply to facilities-based wireless carriers, as well as certain state or local regulations, including (but not limited to): E911, local number portability, customer privacy, CALEA, universal service fund, hearing aid compatibility and other requirements, as well as safety and emission standards applicable to mobile devices. To the extent Spectrum Mobile provides broadband Internet access, it must comply with the FCC’s transparency rule. The FCC or other regulatory authorities may adopt new or different regulations for MVNOs and/or mobile broadband providers in the future, or impose new taxes or fees applicable to Spectrum Mobile, which could adversely affect the service offering or our business generally.

Transaction-Related Commitments

In connection with approval of the Transactions, federal and state regulators imposed a number of post-merger conditions on us including but not limited to the following.

FCC Conditions

Offer settlement-free Internet interconnection to any party that meets the requirements of our Interconnection Policy (available on Charter’s website) on terms generally consistent with the policy for seven years (with a possible reduction to five);
Deploy and offer high-speed broadband Internet access service to an additional two million locations over five years;
Refrain from charging usage-based prices or imposing data caps on any fixed mass market broadband Internet access service plans for seven years (with a possible reduction to five);
Offer 30/4 Mbps discounted broadband where technically feasible to eligible customers throughout our service area for four years from the offer’s commencement; and
Continue to provide CableCARDs to any new or existing customer upon request for use in third-party retail devices for four years and continue to support such CableCARDs for seven years (in each case, unless the FCC changes the relevant rules).

The FCC conditions also contain a number of compliance reporting requirements.

DOJ Conditions

The Department of Justice (“DOJ”) Order prohibits us from entering into or enforcing any agreement with a video programmer that forbids, limits or creates incentives to limit the video programmer’s provision of content to online video distributors ("OVDs"). We will not be able to avail ourself of other distributors’ most favored nation (“MFN”) provisions if they are inconsistent with


16



this prohibition. The DOJ’s conditions are effective for seven years, although we may petition the DOJ to eliminate the conditions after five years.

State Conditions

Certain state regulators, including California, New York, Hawaii and New Jersey also imposed conditions in connection with the approval of the Transactions. These conditions include requirements related to:

Upgrading networks within the designated state, including upgrades to broadband speeds and conversion of all households served within California and New York to an all-digital platform;
Building out our network to certain households and business locations that are not currently served by cable within the designated states;
Offering LifeLine service discounts and low-income broadband to eligible households served within the applicable states;
Investing in service improvement programs and customer service enhancements and maintaining customer-facing jobs within the designated state;
Continuing to make legacy service offerings available, including allowing Legacy TWC and Legacy Bright House customers to maintain their existing service offerings for a period of three years; and
Complying with reporting requirements.

Employees

As of December 31, 2018, we had approximately 98,000 active full-time equivalent employees.

Item 1A.     Risk Factors.

Risks Related to Our Business

We operate in a very competitive business environment, which affects our ability to attract and retain customers and can adversely affect our business, operations and financial results.

The industry in which we operate is highly competitive and has become more so in recent years. In some instances, we compete against companies with fewer regulatory burdens, better access to financing, greater personnel resources, greater resources for marketing, greater and more favorable brand name recognition, and long-established relationships with regulatory authorities and customers. Increasing consolidation in the telecommunications and content industries have provided additional benefits to certain of our competitors, either through access to financing, resources, or efficiencies of scale including the ability to launch new video services.

Our video service faces competition from a number of sources, including DBS services, as well as other companies that deliver movies, television shows and other video programming over broadband Internet connections to TVs, computers, tablets and mobile devices. Our Internet service faces competition from the phone companies’ DSL, FTTH and wireless broadband offerings as well as from a variety of companies that offer other forms of online services, including wireless and satellite-based broadband services. Various mobile phone companies offer wireless Internet services delivered over networks which they continue to enhance to deliver faster speeds and some have announced that they intend to offer faster 5G services in the future. Our voice and mobile services compete with mobile and wireline phone providers, as well as other forms of communication, such as text messaging on cellular phones, instant messaging, social networking services, video conferencing and email. Competition from these companies, including intensive marketing efforts with aggressive pricing, exclusive programming and increased HD broadcasting may have an adverse impact on our ability to attract and retain customers.

Wireline and wireless overbuilds could also adversely affect our growth, financial condition, and results of operations, by creating or increasing competition. We are aware of traditional overbuild situations impacting certain of our service areas, however, we are unable to predict the extent to which additional overbuild situations may occur.

Our services may not allow us to compete effectively. Competition may reduce our expected growth of future cash flows which may contribute to future impairments of our franchises and goodwill and our ability to meet cash flow requirements, including debt service requirements. For additional information regarding the competition we face, see “Item 1. Business -Competition” and “-Regulation and Legislation.”



17



If we are not able to successfully complete the integration of our business with that of Legacy TWC and Legacy Bright House, the anticipated benefits of the Transactions may not be fully realized or may take longer to realize than expected. In such circumstance, we may not perform as expected and the value of Charter's Class A common stock may be adversely affected.

There can be no assurances that we can successfully complete the integration of our business with that of Legacy TWC and Legacy Bright House. We now have significantly more systems, assets, investments, businesses, customers and employees than each company did prior to the Transactions. It is possible that the integration process could result in the loss of customers, the disruption of our ongoing businesses or in unexpected integration issues, higher than expected integration costs and an overall post-completion integration process that takes longer than originally anticipated. The process of integrating Legacy TWC and Legacy Bright House with the Legacy Charter operations requires significant capital expenditures and the expansion of certain operations and operating and financial systems. Management continues to devote a significant amount of time and attention to the integration process and there is a significant degree of difficulty and management involvement inherent in that process.

Even if the new businesses are successfully integrated, it may not be possible to realize the benefits that are expected to result from the Transactions, or realize these benefits within the time frame that is expected. For example, the benefits of our pricing and packaging and converting our video product to all-digital in certain Legacy TWC and Legacy Bright House systems may not be fully realized or may take longer than anticipated to realize, or the benefits from the Transactions may be offset by costs incurred or delays in integrating the businesses and increased operating costs. If the combined company fails to realize the anticipated benefits from the Transactions, our liquidity, results of operations, financial condition and/or share price may be adversely affected. In addition, at times, the attention of certain members of our management and resources may be focused on the integration of the businesses and diverted from day-to-day business operations, which may disrupt the business of the combined company.

We face risks relating to competition for the leisure time and discretionary spending of audiences, which has intensified in part due to advances in technology and changes in consumer expectations and behavior.

In addition to the various competitive factors discussed above, we are subject to risks relating to increasing competition for the leisure time, shifting consumer needs and discretionary spending of consumers. We compete with all other sources of entertainment, news and information delivery, as well as a broad range of communications products and services. Technological advancements, such as new video formats and Internet streaming and downloading of programming that can be viewed on televisions, computers, smartphones and tablets, many of which have been beneficial to us, have nonetheless increased the number of entertainment and information delivery choices available to consumers and intensified the challenges posed by audience fragmentation. These newer categories of competitors including V-MVPDs and other new direct to consumer offerings, as well as piracy and password sharing, could negatively impact the growth of our business.

Newer products and services, particularly alternative methods for the distribution, sale and viewing of content will likely continue to be developed, further increasing the number of competitors that we face. The increasing number of choices available to audiences, including low-cost or free choices, could negatively impact not only consumer demand for our products and services, but also advertisers’ willingness to purchase advertising from us. We compete for the sale of advertising revenue with television networks and stations, as well as other advertising platforms, such as radio, print and, increasingly, online media. Our failure to effectively anticipate or adapt to new technologies and changes in consumer expectations and behavior could significantly adversely affect our competitive position and our business and results of operations.

Our exposure to the economic conditions of our current and potential customers, vendors and third parties could adversely affect our cash flow, results of operations and financial condition.

We are exposed to risks associated with the economic conditions of our current and potential customers, the potential financial instability of our customers and their financial ability to purchase our products. If there were a general economic downturn, we may experience increased cancellations by our customers or unfavorable changes in the mix of products purchased, including an increase in the number of homes that replace their video service with Internet-delivered and/or over-air content, which would negatively impact our ability to attract customers, increase rates and maintain or increase revenue. In addition, providing video services is an established and highly penetrated business. Our ability to gain new video subscribers is dependent to a large extent on growth in occupied housing in our service areas, which is influenced by both national and local economic conditions. Weak economic conditions may also have a negative impact on our advertising revenue. These events have adversely affected us in the past, and may adversely affect our cash flow, results of operations and financial condition if a downturn were to occur.

In addition, we are susceptible to risks associated with the potential financial instability of the vendors and third parties on which we rely to provide products and services or to which we outsource certain functions. The same economic conditions that may affect our customers, as well as volatility and disruption in the capital and credit markets, also could adversely affect vendors and third parties and lead to significant increases in prices, reduction in output or the bankruptcy of our vendors or third parties upon


18



which we rely. Any interruption in the services provided by our vendors or by third parties could adversely affect our cash flow, results of operation and financial condition.

We face risks inherent in our commercial business.

We may encounter unforeseen difficulties as we increase the scale of our service offerings to businesses. We sell Internet access, data networking and fiber connectivity to cellular towers and office buildings, and video and business voice services to businesses. In order to grow our commercial business, we expect to continue to invest in technology, equipment and personnel focused on the commercial business. Commercial business customers often require service level agreements and generally have heightened customer expectations for reliability of services. If our efforts to build the infrastructure to scale the commercial business are not successful, the growth of our commercial services business would be limited. We depend on interconnection and related services provided by certain third parties for the growth of our commercial business. As a result, our ability to implement changes as the services grow may be limited. If we are unable to meet these service level requirements or expectations, our commercial business could be adversely affected. Competition continues to increase as well, as more companies deploy more fiber to more buildings, which may negatively impact our growth and/or put pressure on margins. Finally, we expect advances in communications technology, as well as changes in the marketplace and the regulatory and legislative environment. Consequently, we are unable to predict the effect that ongoing or future developments in these areas might have on our voice and commercial businesses and operations.

Programming costs are rising at a much faster rate than wages or inflation, and we may not have the ability to reduce or moderate the growth rates of, or pass on to our customers, our increasing programming costs, which would adversely affect our cash flow and operating margins.

Video programming has been, and is expected to continue to be, our largest operating expense item. In recent years, the cable industry has experienced a rapid escalation in the cost of programming. Media corporation consolidation has resulted in fewer suppliers and additional selling power on the part of programming suppliers. We expect programming costs to continue to increase due to a variety of factors including amounts paid for broadcast station retransmission consent, annual increases imposed by programmers, including sports programmers, and the carriage of incremental programming, including new services and VOD programming. The inability to fully pass programming cost increases on to our customers has had, and is expected in the future to have, an adverse impact on our cash flow and operating margins associated with the video product. The contracts set to expire in any particular year vary with a higher concentration of programming costs set to expire at, or before the end, of 2019. There can be no assurance that these agreements will be renewed on favorable or comparable terms. In addition, a number of programmers have begun to sell their services through alternative distribution channels, including IP-based platforms, which are less secure than our own video distribution platforms. There is growing evidence that these less secure video distribution platforms are leading to video product theft via password sharing among consumers. Password sharing may drive down the number of customers who pay for certain programming, putting programmer revenues at risk, and which in turn may cause certain programmers to seek even higher programming fees from us. To the extent that we are unable to reach agreement with certain programmers on terms that we believe are reasonable, we have been, and may be in the future, forced to remove such programming channels from our line-up, which may result in a loss of customers. Our failure to carry programming that is attractive to our customers could adversely impact our customer levels, operations and financial results. In addition, if our Internet customers are unable to access desirable content online because content providers block or limit access by our customers as a class, our ability to gain and retain customers, especially Internet customers, may be negatively impacted.

Increased demands by owners of some broadcast stations for carriage of other services or payments to those broadcasters for retransmission consent are likely to further increase our programming costs. Federal law allows commercial television broadcast stations to make an election between “must-carry” rights and an alternative “retransmission-consent” regime. When a station opts for the retransmission consent regime, we are not allowed to carry the station’s signal without that station’s permission. In some cases, we carry stations under short-term arrangements while we attempt to negotiate new long-term retransmission agreements. If negotiations with these programmers prove unsuccessful, they could require us to cease carrying their signals, possibly for an indefinite period. Any loss of stations could make our video service less attractive to customers, which could result in less subscription and advertising revenue. In retransmission-consent negotiations, broadcasters often condition consent with respect to one station on carriage of one or more other stations or programming services in which they or their affiliates have an interest. Carriage of these other services, as well as increased fees for retransmission rights, may increase our programming expenses and diminish the amount of capacity we have available to introduce new services, which could have an adverse effect on our business and financial results.



19



Our inability to respond to technological developments and meet customer demand for new products and services could adversely affect our ability to compete effectively.

We operate in a highly competitive, consumer-driven and rapidly changing environment. From time to time, we may pursue strategic initiatives, including, for example, our wireless strategy which includes the launch of our mobile product through an MVNO and testing the deployment of unlicensed and licensed spectrum for fixed and mobile wireless services. Our success is, to a large extent, dependent on our ability to acquire, develop, adopt, upgrade and exploit new and existing technologies to address consumers’ changing demands and distinguish our services from those of our competitors. We may not be able to accurately predict technological trends or the success of new products and services. If we choose technologies or equipment that are less effective, cost-efficient or attractive to customers than those chosen by our competitors, if we offer services that fail to appeal to consumers, are not available at competitive prices or that do not function as expected, or we are not able to fund the expenditures necessary to keep pace with technological developments, our competitive position could deteriorate, and our business and financial results could suffer.

The ability of some of our competitors to introduce new technologies, products and services more quickly than we do may adversely affect our competitive position. Furthermore, advances in technology, decreases in the cost of existing technologies or changes in competitors’ product and service offerings may require us in the future to make additional research and development expenditures or to offer at no additional charge or at a lower price certain products and services that we currently offer to customers separately or at a premium. In addition, the uncertainty of our ability, and the costs, to obtain intellectual property rights from third parties could impact our ability to respond to technological advances in a timely and effective manner.

Our inability to maintain and expand our upgraded systems and provide advanced services such as a state of the art user interface in a timely manner, or to anticipate the demands of the marketplace, could materially adversely affect our ability to attract and retain customers. In addition, as we launch our new mobile services using virtual network operator rights from a third party, we expect an initial funding period to grow a new product as well as negative working capital impacts from the timing of device-related cash flows when we provide the handset or tablet pursuant to equipment installation plans. Consequently, our growth, financial condition and results of operations could suffer materially.

We depend on third party service providers, suppliers and licensors; thus, if we are unable to procure the necessary services, equipment, software or licenses on reasonable terms and on a timely basis, our ability to offer services could be impaired, and our growth, operations, business, financial results and financial condition could be materially adversely affected.

We depend on a limited number of third party service providers, suppliers and licensors to supply some of the services, hardware, software and operational support necessary to provide some of our services. Some of our hardware, software and operational support vendors, and service providers represent our sole source of supply or have, either through contract or as a result of intellectual property rights, a position of some exclusivity. If any of these parties breaches or terminates its agreement with us or otherwise fails to perform its obligations in a timely manner, demand exceeds these vendors’ capacity, tariffs are imposed that impact vendors' ability to perform their obligations or significantly increase the amount we pay, they experience operating or financial difficulties, they significantly increase the amount we pay for necessary products or services, or they cease production of any necessary product due to lack of demand, profitability or a change in ownership or are otherwise unable to provide the equipment or services we need in a timely manner, at our specifications and at reasonable prices, our ability to provide some services might be materially adversely affected, or the need to procure or develop alternative sources of the affected materials or services might delay our ability to serve our customers. In addition, the existence of only a limited number of vendors of key technologies can lead to less product innovation and higher costs. These events could materially and adversely affect our ability to retain and attract customers and our operations, business, financial results and financial condition.

Our business may be adversely affected if we cannot continue to license or enforce the intellectual property rights on which our business depends.

We rely on patent, copyright, trademark and trade secret laws and licenses and other agreements with our employees, customers, suppliers and other parties to establish and maintain our intellectual property rights in technology and the products and services used in our operations. Also, because of the rapid pace of technological change, we both develop our own technologies, products and services and rely on technologies developed or licensed by third parties. However, any of our intellectual property rights, or the rights of our suppliers, could be challenged or invalidated, or such intellectual property rights may not be sufficient to permit us to take advantage of current industry trends or otherwise to provide competitive advantages, which could result in costly redesign efforts, discontinuance of certain product or service offerings or other competitive harm. We may not be able to obtain or continue to obtain licenses from these third parties on reasonable terms, if at all. In addition, claims of intellectual property infringement could require us to enter into royalty or licensing agreements on unfavorable terms, incur substantial monetary liability or be enjoined preliminarily or permanently from further use of the intellectual property in question, which could require us to change


20



our business practices or offerings and limit our ability to compete effectively. Even unsuccessful claims can be time-consuming and costly to defend and may divert management’s attention and resources away from our business. Infringement claims continue to be brought frequently in the communications and entertainment industries, and we are also often a party to such litigation alleging that certain of our services or technologies infringe the intellectual property rights of others.

Various events could disrupt or result in unauthorized access to our networks, information systems or properties and could impair our operating activities and negatively impact our reputation and financial results.

Network and information systems technologies are critical to our operating activities, both for our internal uses, such as network management and supplying services to our customers, including customer service operations and programming delivery. Network or information system shutdowns or other service disruptions caused by events such as computer hacking, phishing, dissemination of computer viruses, worms and other destructive or disruptive software, “cyber attacks,” process breakdowns, denial of service attacks and other malicious activity pose increasing risks. Both unsuccessful and successful “cyber attacks” on companies have continued to increase in frequency, scope and potential harm in recent years. While we develop and maintain systems seeking to prevent systems-related events and security breaches from occurring, the development and maintenance of these systems is costly and requires ongoing monitoring and updating as techniques used in such attacks become more sophisticated and change frequently. We, and the third parties on which we rely, may be unable to anticipate these techniques or implement adequate preventive measures. While from time to time attempts have been made to access our network, these attempts have not as yet resulted in any material release of information, degradation or disruption to our network and information systems.

Our network and information systems are also vulnerable to damage or interruption from power outages, telecommunications failures, accidents, natural disasters (including extreme weather arising from short-term or any long-term changes in weather patterns), terrorist attacks and similar events. Further, the impacts associated with extreme weather or long-term changes in weather patterns, such as rising sea levels or increased and intensified storm activity, may cause increased business interruptions or may require the relocation of some of our facilities. Our system redundancy may be ineffective or inadequate, and our disaster recovery planning may not be sufficient for all eventualities.

Any of these events, if directed at, or experienced by, us or technologies upon which we depend, could have adverse consequences on our network, our customers and our business, including degradation of service, service disruption, excessive call volume to call centers, and damage to our or our customers’ equipment and data. Large expenditures may be necessary to repair or replace damaged property, networks or information systems or to protect them from similar events in the future. Moreover, the amount and scope of insurance that we maintain against losses resulting from any such events or security breaches may not be sufficient to cover our losses or otherwise adequately compensate us for any disruptions to our business that may result. Any such significant service disruption could result in damage to our reputation and credibility, customer dissatisfaction and ultimately a loss of customers or revenue. Any significant loss of customers or revenue, or significant increase in costs of serving those customers, could adversely affect our growth, financial condition and results of operations.

Furthermore, our operating activities could be subject to risks caused by misappropriation, misuse, leakage, falsification or accidental release or loss of information maintained in our information technology systems and networks and those of our third-party vendors, including customer, personnel and vendor data. We provide certain confidential, proprietary and personal information to third parties in connection with our business, and there is a risk that this information may be compromised.

As a result of the increasing awareness concerning the importance of safeguarding personal information, the potential misuse of such information and legislation that has been adopted or is being considered regarding the protection, privacy and security of personal information, information-related risks are increasing, particularly for businesses like ours that process, store and transmit large amount of data, including personal information for our customers. We could be exposed to significant costs if such risks were to materialize, and such events could damage our reputation, credibility and business and have a negative impact on our revenue. We could be subject to regulatory actions and claims made by consumers in private litigations involving privacy issues related to consumer data collection and use practices. We also could be required to expend significant capital and other resources to remedy any such security breach.

For tax purposes, Charter could experience a deemed ownership change in the future that could limit its ability to use its tax loss carryforwards.

Charter had approximately $10.2 billion of federal tax net operating loss carryforwards resulting in a gross deferred tax asset of approximately $2.1 billion as of December 31, 2018. These losses resulted from the operations of Charter Communications Holdings Company, LLC ("Charter Holdco") and its subsidiaries and from loss carryforwards received as a result of the TWC Transaction. Federal tax net operating loss carryforwards expire in the years 2019 through 2035. In addition, Charter had state


21



tax net operating loss carryforwards resulting in a gross deferred tax asset (net of federal tax benefit) of approximately $309 million as of December 31, 2018. State tax net operating loss carryforwards generally expire in the years 2019 through 2038.

In the past, Charter has experienced ownership changes as defined in Section 382 of the Internal Revenue Code of 1986, as amended (the “Code”). In general, an ownership change occurs whenever the percentage of the stock of a corporation owned, directly or indirectly, by 5-percent stockholders (within the meaning of Section 382 of the Code) increases by more than 50 percentage points over the lowest percentage of the stock of such corporation owned, directly or indirectly, by such 5-percent stockholders at any time over the preceding three years. As a result, Charter is subject to an annual limitation on the use of its loss carryforwards which existed at November 30, 2009 for the first ownership change, those that existed at May 1, 2013 for the second ownership change, and those created at May 18, 2016 for the third ownership change. The limitation on Charter's ability to use its loss carryforwards, in conjunction with the loss carryforward expiration provisions, could reduce Charter's ability to use a portion of its loss carryforwards to offset future taxable income, which could result in Charter being required to make material cash tax payments. Charter's ability to make such income tax payments, if any, will depend at such time on its liquidity or its ability to raise additional capital, and/or on receipt of payments or distributions from Charter Holdco and its subsidiaries.

If Charter were to experience additional ownership changes in the future (as a result of purchases and sales of stock by its 5-percent stockholders, new issuances or redemptions of our stock, certain acquisitions of its stock and issuances, redemptions, sales or other dispositions or acquisitions of interests in its 5-percent stockholders), Charter's ability to use its loss carryforwards could become subject to further limitations.

If we are unable to retain key employees, our ability to manage our business could be adversely affected.

Our operational results have depended, and our future results will depend, upon the retention and continued performance of our management team. Our ability to retain and hire new key employees for management positions could be impacted adversely by the competitive environment for management talent in the broadband communications industry. The loss of the services of key members of management and the inability or delay in hiring new key employees could adversely affect our ability to manage our business and our future operational and financial results.

Risks Related to Our Indebtedness

We have a significant amount of debt and expect to incur significant additional debt, including secured debt, in the future, which could adversely affect our financial health and our ability to react to changes in our business.

We have a significant amount of debt and expect to (subject to applicable restrictions in our debt instruments) incur additional debt in the future as we maintain our stated objective of 4.0 to 4.5 times leverage (our net debt divided by our last twelve months Adjusted EBITDA). As of December 31, 2018, our total principal amount of debt was approximately $72.0 billion with a leverage ratio of 4.5 times.

Our significant amount of debt could have consequences, such as:

impact our ability to raise additional capital at reasonable rates, or at all;
make us vulnerable to interest rate increases, in part because approximately 15% of our borrowings as of December 31, 2018 were, and may continue to be, subject to variable rates of interest;
expose us to increased interest expense to the extent we refinance existing debt with higher cost debt;
require us to dedicate a significant portion of our cash flow from operating activities to make payments on our debt, reducing our funds available for working capital, capital expenditures, and other general corporate expenses;
limit our flexibility in planning for, or reacting to, changes in our business, the cable and telecommunications industries, and the economy at large;
place us at a disadvantage compared to our competitors that have proportionately less debt; and
adversely affect our relationship with customers and suppliers.

If current debt amounts increase, our business results are lower than expected, or credit rating agencies downgrade our debt limiting our access to investment grade markets, the related risks that we now face will intensify. In addition, our variable rate indebtedness may use London Interbank Offering Rate (“LIBOR”) as a benchmark for establishing the rate. LIBOR is the subject of recent national, international and other regulatory guidance and proposals for reform. These reforms and other pressures may cause LIBOR to disappear entirely or to perform differently than in the past. The consequences of these developments cannot be entirely predicted, but could include an increase in the cost of our variable rate indebtedness.



22



The agreements and instruments governing our debt contain restrictions and limitations that could significantly affect our ability to operate our business, as well as significantly affect our liquidity.

Our credit facilities and the indentures governing our debt contain a number of significant covenants that could adversely affect our ability to operate our business, our liquidity, and our results of operations. These covenants restrict, among other things, our and our subsidiaries’ ability to:

incur additional debt;
repurchase or redeem equity interests and debt;
issue equity;
make certain investments or acquisitions;
pay dividends or make other distributions;
dispose of assets or merge;
enter into related party transactions; and
grant liens and pledge assets.

Additionally, the Charter Operating credit facilities require Charter Operating to comply with a maximum total leverage covenant and a maximum first lien leverage covenant. The breach of any covenants or obligations in our indentures or credit facilities, not otherwise waived or amended, could result in a default under the applicable debt obligations and could trigger acceleration of those obligations, which in turn could trigger cross defaults under other agreements governing our long-term indebtedness. In addition, the secured lenders under our notes and the Charter Operating credit facilities could foreclose on their collateral, which includes equity interests in our subsidiaries, and exercise other rights of secured creditors.

Risks Related to Ownership Position of Liberty Broadband Corporation and Advance/Newhouse Partnership

Liberty Broadband and A/N have governance rights that give them influence over corporate transactions and other matters.

Liberty Broadband currently owns a significant amount of Charter Class A common stock and is entitled to certain governance rights with respect to Charter. A/N currently owns Charter Class A common stock and a significant amount of membership interests in our subsidiary Charter Holdings that are convertible into Charter Class A common stock and is entitled to certain governance rights with respect to Charter. Members of the Charter board of directors include a director who is also an officer and director of Liberty Broadband and directors who are current or former officers and directors of A/N. Mr. Greg Maffei is the President and Chief Executive Officer of Liberty Broadband. Steven Miron is the Chief Executive Officer of A/N and Michael Newhouse is an officer or director of several of A/N’s affiliates. As of December 31, 2018, Liberty Broadband beneficially held approximately 22% of Charter’s Class A common stock (including shares owned by GCI Liberty, Inc. ("GCI Liberty," formerly known as Liberty Interactive Corporation) over which Liberty Broadband holds an irrevocable voting proxy) and A/N beneficially held approximately 13% of Charter’s Class A common stock, in each case assuming the conversion of the membership interests held by A/N. Pursuant to the stockholders agreement between Liberty Broadband, A/N and Charter, Liberty Broadband currently has the right to designate up to three directors as nominees for Charter’s board of directors and A/N currently has the right to designate up to two directors as nominees for Charter’s board of directors. Each of A/N and Liberty Broadband is entitled to nominate at least one director to each of the committees of Charter's board of directors, subject to applicable stock exchange listing rules and certain specified voting or equity ownership thresholds for each of A/N and Liberty Broadband, and provided that the Nominating and Corporate Governance Committee and the Compensation and Benefit Committee each have at least a majority of directors independent from A/N, Liberty Broadband and Charter (referred to as the “unaffiliated directors”).

In connection with the TWC Transaction, Liberty Broadband and GCI Liberty entered into a proxy and right of first refusal agreement, pursuant to which GCI Liberty granted Liberty Broadband an irrevocable proxy to vote all Charter Class A common stock owned beneficially or of record by GCI Liberty, with certain exceptions. In addition, at the closing of the Bright House Transaction, A/N and Liberty Broadband entered into a proxy agreement pursuant to which A/N granted to Liberty Broadband a 5-year irrevocable proxy (which we refer to as the “A/N proxy”) to vote, subject to certain exceptions, that number of shares of Charter Class A common stock and Charter Class B common stock, in each case held by A/N (such shares are referred to as the “proxy shares”), that will result in Liberty Broadband having voting power in Charter equal to 25.01% of the outstanding voting power of Charter, provided, that the voting power of the proxy shares is capped at 7.0% of the outstanding voting power of Charter. Therefore, giving effect to the GCI Liberty proxy and the A/N proxy and the voting cap contained in the stockholders agreement, Liberty Broadband has 25.01% of the outstanding voting power in Charter. The stockholders agreement and Charter’s amended and restated certificate of incorporation fixes the size of the board at 13 directors. Liberty Broadband and A/N are required to vote (subject to the applicable voting cap) their respective shares of Charter Class A common stock and Charter Class B common stock for the director nominees nominated by the nominating and corporate governance committee of the board of directors, including the respective designees of Liberty Broadband and A/N, and against any other nominees, except that, with respect to the unaffiliated


23



directors, Liberty Broadband and A/N must instead vote in the same proportion as the voting securities are voted by stockholders other than A/N and Liberty Broadband or any group which includes any of them are voted, if doing so would cause a different outcome with respect to the unaffiliated directors. As a result of their rights under the stockholders agreement and their significant equity and voting stakes in Charter, Liberty Broadband and/or A/N, who may have interests different from those of other stockholders, will be able to exercise substantial influence over certain matters relating to the governance of Charter, including the approval of significant corporate actions, such as mergers and other business combination transactions.

The stockholders agreement provides A/N and Liberty Broadband with preemptive rights with respect to issuances of Charter equity in connection with certain transactions, and in the event that A/N or Liberty Broadband exercises these rights, holders of Charter Class A common stock may experience further dilution.

The stockholders agreement provides that A/N and Liberty Broadband will have certain contractual preemptive rights over issuances of Charter equity securities in connection with capital raising transactions, merger and acquisition transactions, and in certain other circumstances. Holders of Charter Class A common stock will not be entitled to similar preemptive rights with respect to such transactions. As a result, if Liberty Broadband and/or A/N elect to exercise their preemptive rights, (i) these parties would not experience the dilution experienced by the other holders of Charter Class A common stock, and (ii) such other holders of Charter Class A common stock may experience further dilution of their interest in Charter upon such exercise.

Risks Related to Regulatory and Legislative Matters

Our business is subject to extensive governmental legislation and regulation, which could adversely affect our business.

Regulation of the cable industry has increased cable operators’ operational and administrative expenses and limited their revenues. Cable operators are subject to various laws and regulations including those covering the following:

the provision of high-speed Internet service, including transparency rules;
the provision of voice communications;
cable franchise renewals and transfers;
the provisioning and marketing of cable equipment and compatibility with new digital technologies;
customer and employee privacy and data security;
limited rate regulation of video service;
copyright royalties for retransmitting broadcast signals;
when a cable system must carry a particular broadcast station and when it must first obtain retransmission consent to carry a broadcast station;
the provision of channel capacity to unaffiliated commercial leased access programmers;
limitations on our ability to enter into exclusive agreements with multiple dwelling unit complexes and control our inside wiring;
equal employment opportunity, emergency alert systems, disability access, technical standards, marketing practices, customer service, and consumer protection; and
approval for mergers and acquisitions often accompanied by the imposition of restrictions and requirements on an applicant’s business in order to secure approval of the proposed transaction.

Legislators and regulators at all levels of government frequently consider changing, and sometimes do change, existing statutes, rules, regulations, or interpretations thereof, or prescribe new ones. Any future legislative, judicial, regulatory or administrative actions may increase our costs or impose additional restrictions on our businesses.

As a result of the closing of the Transactions, our businesses are subject to the conditions set forth in the FCC Order and the DOJ Consent Decree and those imposed by state utility commissions and local franchise authorities, and there can be no assurance that these conditions will not have an adverse effect on our businesses and results of operations.

In connection with the Transactions, the FCC Order, the DOJ Consent Decree, and the approvals from state utility commissions and local franchise authorities incorporated numerous commitments and voluntary conditions made by the parties and imposed numerous conditions on our businesses relating to the operation of our business and other matters. Under federal approvals, among other things, (i) we are not permitted to charge usage-based prices or impose data caps and are prohibited from charging interconnection fees for qualifying parties; (ii) we are prohibited from entering into or enforcing any agreement with a programmer that forbids, limits or creates incentives to limit the programmer’s provision of content to OVD and cannot retaliate against programmers for licensing to OVDs; (iii) we are not able to avail ourself of other distributors’ MFN provisions if they are inconsistent with this prohibition; (iv) we must undertake a number of actions designed to promote diversity; (v) we appointed an independent compliance monitor and comply with a broad array of reporting requirements; and (vi) we must satisfy various other conditions


24



relating to our Internet services, including building out an additional two million locations with access to a high-speed connection of at least 60 megabits per second, and implementing a reduced price high-speed Internet program for low income families. These and other conditions and commitments relating to the Transactions are of varying duration, ranging from three to seven years. In light of the breadth and duration of the conditions and potential changes in market conditions during the time the conditions and commitments are in effect, there can be no assurance that our compliance, and ability to comply, with the conditions will not have a material adverse effect on our business or results of operations. For example, in July 2018, the New York State Public Service Commission revoked its earlier approval of Charter’s acquistion of TWC, alleging that Charter had not complied with its Transaction commitments to extend availability of high-speed Internet services to 145,000 underserved or unserved homes or businesses over a four year period. Although Charter is viogrously opposing the Public Service Commission’s revocation, if this, or any similar, revocation is not reversed, it could materially impact our operations. See "Item 3. Legal Proceedings."

Changes to existing statutes, rules, regulations, or interpretations thereof, or adoption of new ones, could have an adverse effect on our business.

There are ongoing efforts to amend or expand the federal, state, and local regulation of some of the services offered over our cable systems, which may compound the regulatory risks we already face. For example, with respect to our retail broadband Internet access service, the FCC has reclassified the service twice in the last few years, with the first change adding regulatory obligations and the second change largely removing those new regulatory obligations. These changes reflect a lack of regulatory certainty in this business area, which may continue as a result of litigation, as well as future legislative or administrative changes.

Other potential legislative and regulatory changes could adversely impact our business by increasing our costs and competition and limiting our ability to offer services in a manner that that would maximize our revenue potential. These changes could include, for example, the adoption of new privacy restrictions on our collection, use and disclosure of certain customer information, new data security and cybersecurity mandates that could result in additional network and information security requirements for our business, new restraints on our discretion over programming decisions, including the provision of public, educational and governmental access programming and unaffiliated, commercial leased access programming, new restrictions on the rates we charge for video programming and the marketing of that video programming, changes to the cable industry’s compulsory copyright license to carry broadcast signals, new requirements to assure the availability of navigation devices (such as set-top boxes) from third-party providers, new Universal Service Fund obligations on our provision of Internet service that would add to the cost of that service; increases in government-administered broadband subsidies to rural areas that could result in subsidized overbuilding of our more rural facilities, and changes in the regulatory framework for VoIP phone service, including the scope of regulatory obligations associated with our VoIP service and our ability to interconnect our VoIP service with incumbent providers of traditional telecommunications service.

If any of these such laws or regulations are enacted, they could affect our operations and require significant expenditures. We cannot predict future developments in these areas, and we are already subject to Charter-specific conditions regarding certain Internet practices as a result of the FCC’s approval of the Transactions, but any changes to the regulatory framework for our video, Internet or VoIP services could have a negative impact on our business and results of operations.

It remains uncertain what rule changes, if any, will ultimately be adopted by Congress and the FCC and what operating or financial impact any such rules might have on us, including on our programming agreements, customer privacy and the user experience. In addition, the FCC, the FTC, and various state agencies and attorney generals actively investigate industry practices and could impose substantial forfeitures for alleged regulatory violations.

Our cable system franchises are subject to non-renewal or termination and are non-exclusive. The failure to renew a franchise or the grant of additional franchises in one or more service areas could adversely affect our business.

Our cable systems generally operate pursuant to franchises, permits, and similar authorizations issued by a state or local governmental authority controlling the public rights-of-way. Many franchises establish comprehensive facilities and service requirements, as well as specific customer service standards and monetary penalties for non-compliance. In many cases, franchises are terminable if the franchisee fails to comply with significant provisions set forth in the franchise agreement governing system operations. Franchises are generally granted for fixed terms and must be periodically renewed. Franchising authorities may resist granting a renewal if either past performance or the prospective operating proposal is considered inadequate. Franchise authorities often demand concessions or other commitments as a condition to renewal. In some instances, local franchises have not been renewed at expiration, and we have operated and are operating under either temporary operating agreements or without a franchise while negotiating renewal terms with the local franchising authorities.

We cannot assure you that we will be able to comply with all significant provisions of our franchise agreements and certain of our franchisers have from time to time alleged that we have not complied with these agreements. Additionally, although historically


25



we have renewed our franchises without incurring significant costs, we cannot assure you that we will be able to renew, or to renew as favorably, our franchises in the future. A termination of or a sustained failure to renew a franchise in one or more service areas could adversely affect our business in the affected geographic area.

Our cable system franchises are non-exclusive. Consequently, local and state franchising authorities can grant additional franchises to competitors in the same geographic area or operate their own cable systems. In some cases, local government entities and municipal utilities may legally compete with us on more favorable terms. Potential competitors (like Google) have recently pursued and obtained local franchises that are more favorable than the incumbent operator’s franchise.

Tax legislation and administrative initiatives or challenges to our tax and fee positions could adversely affect our results of operations and financial condition.

We operate cable systems in locations throughout the United States and, as a result, we are subject to the tax laws and regulations of federal, state and local governments. From time to time, various legislative and/or administrative initiatives may be proposed that could adversely affect our tax positions. There can be no assurance that our effective tax rate or tax payments will not be adversely affected by these initiatives. Certain states and localities have imposed or are considering imposing new or additional taxes or fees on our services or changing the methodologies or base on which certain fees and taxes are computed. Potential changes include additional taxes or fees on our services which could impact our customers, changes to income tax sourcing rules and other changes to general business taxes, central/unit-level assessment of property taxes and other matters that could increase our income, franchise, sales, use and/or property tax liabilities. For example, some local franchising authorities are seeking to impose franchise fee assessments on our broadband Internet access service, and more may do so in the future. If they do so, and challenges to such assessments are unsuccessful, it could adversely impact our costs. In addition, federal, state and local tax laws and regulations are extremely complex and subject to varying interpretations. There can be no assurance that our tax positions will not be challenged by relevant tax authorities or that we would be successful in any such challenge.

Item 1B. Unresolved Staff Comments.

None.

Item 2. Properties.

Our principal physical assets consist of cable distribution plant and equipment, including signal receiving, encoding and decoding devices, headend reception facilities, distribution systems, and customer premise equipment for each of our cable systems.

Our cable plant and related equipment are generally attached to utility poles under pole rental agreements with local public utilities and telephone companies, and in certain locations are buried in underground ducts or trenches. We own or lease real property for signal reception sites, and own our service vehicles.

We generally lease space for business offices. Our headend and tower locations are located on owned or leased parcels of land, and we generally own the towers on which our equipment is located.

The physical components of our cable systems require maintenance as well as periodic upgrades to support the new services and products we introduce. See “Item 1. Business – Our Network Technology and Customer Premise Equipment.” We believe that our properties are generally in good operating condition and are suitable for our business operations.

Item 3. Legal Proceedings.

See below for legal proceedings information as well as Note 19 to the accompanying consolidated financial statements contained in “Part II. Item 8. Financial Statements and Supplementary Data” in this Annual Report on Form 10-K which is incorporated herein by reference.

On March 28, 2017, prior to the expiration of the collective bargaining agreement on March 31, 2017, approximately 1,600 of our employees in New York City and New Jersey, represented by Local 3 of the International Brotherhood of Electrical Workers (the “IBEW”) commenced a strike. Charter proposed substantial wage increases and a reduction of its share in contributions into IBEW-sponsored multi-employer pension and healthcare plans. Local 3 rejected Charter’s proposal and went on strike in furtherance of its demand that Charter increase its contributions into the IBEW-sponsored plans with only modest wage increases. As a result of an impasse in the negotiations, Charter implemented the terms of its last proposal, which included substantial wage increases and replaced the IBEW-sponsored plans with Charter benefit plans. In May 2018, a bargaining unit petitioned the National Labor Relations Board ("NLRB") for an election to decertify the IBEW as the collective bargaining representative for the New York City


26



and New Jersey bargaining unit employees. The ballots for the decertification vote were mailed by the NLRB on January 25, 2019 with a return date of February 22 and a ballot count scheduled for February 25, 2019.

During this period of the IBEW strike, the New York Public Service Commission (the “PSC”) issued multiple orders against Charter. These orders included two orders on July 27, 2018 relating to the agreement by which the PSC approved Charter’s merger with Time Warner Cable. One order rejected Charter’s arguments as to why Charter continued to be compliant with the merger conditions and determined that Charter had failed to satisfy one of its merger conditions by not extending its high speed broadband network according to the PSC’s recent interpretation of which homes and businesses Charter built to should count. The order further directed the initiation of a court action to impose financial and other penalties on Charter. The second order, based primarily upon Charter’s progress in meeting its broadband expansion commitment as judged by the PSC, purported to rescind the PSC’s January 2016 approval of Charter’s acquisition of Time Warner Cable’s New York operations and directs Charter to submit a plan to effect an orderly transition to a successor provider or providers for Charter to cease operations in New York within six months of the order.  Such plan had been ordered to be submitted within 60 days of the July 27, 2018 order.   However, as the PSC and Charter entered into discussions with the possibility of resolving the PSC related matters, the PSC extended such deadline on five occasions with the last extension requiring submission of an exit plan by March 4, 2019 with a February 4, 2019 deadline by when Charter would have to file formal oppositions to the PSC orders. On July 30, 2018, the PSC filed a petition for penalties and injunctive relief in the Supreme Court of the State of New York seeking penalties of $100,000 per day from June 18, 2018 and until Charter complies with the PSC order and also seeks injunctive relief from the court to enjoin failure to comply with the New York Public Service Laws or any regulation or order of the PSC.

Charter continues to believe that its plain reading of the merger conditions is correct and that it is in compliance with the merger conditions. Although Charter has entered into discussions with the PSC with the possibility of resolving the PSC matters, Charter has substantial defenses and appeal rights regarding the actions of the PSC and will aggressively defend against these unprecedented actions by the PSC. We expect these proceedings to continue for up to several years unless a settlement is reached. While we believe the actions by the PSC are without merit and intend to defend the actions vigorously and do not believe the results of the proceedings will have a material adverse effect on Charter, no assurance can be given that, should an adverse outcome result, it would not be material to our consolidated financial condition, results of operations or liquidity. We cannot predict the outcome of the PSC claims, including any negotiations, nor can we reasonably estimate a range of possible loss in the event of an adverse result.

Item 4. Mine Safety Disclosures.

Not applicable.



27



PART II

Item 5. Market for Registrant’s Common Equity, Related Stockholder Matters and Issuer Purchases of Equity Securities.

Charter’s Class A common stock is listed on the NASDAQ Global Select Market under the symbol “CHTR.” As of December 31, 2018, there were approximately 13,199 holders of record of Charter’s Class A common stock and one holder of Charter's Class B common stock. Charter has not paid cash dividends on its common stock and does not intend to do so in the foreseeable future. During 2018, there were no unregistered sales of securities of the registrant.

Securities Authorized for Issuance Under Equity Compensation Plans

The following information is provided as of December 31, 2018 with respect to equity compensation plans:

Plan Category
 
Number of Securities to be Issued Upon Exercise of Outstanding Options, Warrants and Rights
 
Weighted Average Exercise Price of Outstanding Warrants and Rights
 
Number of Securities Remaining Available for Future Issuance Under Equity Compensation Plans
Equity compensation plans approved by security holders
 
12,621,045

(1)
 
$
224.42

 
4,108,291

(1)
Equity compensation plans not approved by security holders
 

 
 
$

 

 
 
 
 
 
 
 
 
 
 
TOTAL
 
12,621,045

(1)
 
 
 
4,108,291

(1)

(1)
This total does not include 10,223 shares issued pursuant to restricted stock grants made under our 2009 Stock Incentive Plan, which are subject to vesting based on continued employment and market conditions.

For information regarding securities issued under our equity compensation plans, see Note 15 to our accompanying consolidated financial statements contained in “Part II. Item 8. Financial Statements and Supplementary Data.”

Performance Graph

The performance graph required by Item 5 will be included in Charter’s 2018 Proxy Statement (the “Proxy Statement”) under the headings “Compensation Discussion and Analysis,” or in amendment to this Annual Report on Form 10-K and is incorporated herein by reference.

Purchases of Equity Securities by the Issuer

The following table presents Charter’s purchases of equity securities completed during the fourth quarter of 2018 (dollars in millions, except per share data).
Period

Total Number of Shares Purchased (1)
Average Price Paid per Share
Total Number of Shares Purchased as Part of Publicly Announced Plans or Programs (2)
Approximate Dollar Value of Shares that May Yet Be Purchased Under the Plans or Programs (2)
October 1 - 31, 2018
1,445,205
$
313.92

1,436,205

$814
November 1 - 30, 2018
1,393,528
$
319.69

1,379,942

$555
December 1 - 31, 2018
944,741
$
305.87

943,133

$480

(1) 
Includes 9,000, 13,586 and 1,608 shares withheld from employees for the payment of taxes and exercise costs upon the exercise of stock options or vesting of other equity awards for the months of October, November and December 2018, respectively.
(2) 
During the three months ended December 31, 2018, Charter purchased approximately 3.8 million shares of its Class A common stock for approximately $1.2 billion. Charter Holdings purchased 0.6 million Charter Holdings common units from A/N at an average price per unit of $316.34, or $183 million during the three months ended December 31, 2018. As of December 31, 2018, Charter had remaining board authority to purchase an additional $480 million of Charter’s Class A common stock and/


28



or Charter Holdings common units. In addition to open market purchases including pursuant to Rule 10b5-1 plans adopted from time to time, Charter may also buy shares of Charter Class A common stock, from time to time, pursuant to private transactions outside of its Rule 10b5-1 plan and any such repurchases may also trigger the repurchases from A/N pursuant to and to the extent provided in the Letter Agreement. See "Part II. Item 7. Management's Discussion and Analysis of Financial Condition and Results of Operations — Liquidity and Capital Resources."

Item 6. Selected Financial Data.

The following table presents selected consolidated financial data for the periods indicated (dollars in millions, except per share data):

 
Years Ended December 31,
 
2018
 
2017
 
2016
 
2015
 
2014
Statement of Operations Data:
 
 
 
 
 
 
 
 
 
Revenues
$
43,634

 
$
41,581

 
$
29,003

 
$
9,754

 
$
9,108

Income from operations
$
5,221

 
$
4,106

 
$
2,456

 
$
1,114

 
$
971

Interest expense, net
$
3,540

 
$
3,090

 
$
2,499

 
$
1,306

 
$
911

Income (loss) before income taxes
$
1,686

 
$
1,028

 
$
820

 
$
(331
)
 
$
53

Net income (loss) attributable to Charter shareholders
$
1,230

 
$
9,895

 
$
3,522

 
$
(271
)
 
$
(183
)
Income (loss) per common share, basic
$
5.29

 
$
38.55

 
$
17.05

 
$
(2.68
)
 
$
(1.88
)
Income (loss) per common share, diluted
$
5.22

 
$
34.09

 
$
15.94

 
$
(2.68
)
 
$
(1.88
)
Weighted average shares outstanding, basic (a)
232,356,665

 
256,720,715

 
206,539,100

 
101,152,647

 
97,991,915

Weighted average shares outstanding, diluted (a)
235,525,226

 
296,703,956

 
234,791,439

 
101,152,647

 
97,991,915

 
 
 
 
 
 
 
 
 
 
Balance Sheet Data (end of period):
 
 
 
 
 
 
 
 
 
Investment in cable properties
$
141,564

 
$
142,712

 
$
144,396

 
$
16,375

 
$
16,652

Total assets
$
146,130

 
$
146,623

 
$
149,067

 
$
39,316

 
$
24,388

Total debt
$
72,827

 
$
70,231

 
$
61,747

 
$
35,723

 
$
20,887

Total shareholders’ equity (deficit)
$
44,272

 
$
47,531

 
$
50,366

 
$
(46
)
 
$
146


(a)
Weighted average number of shares outstanding for the years ended December 31, 2015 and 2014 have been recast to reflect the application of the Parent Merger Exchange Ratio (as defined in the Merger Agreement).

Comparability of the above information from year to year is affected by acquisitions and dispositions completed by us, including the Transactions. See “Part I. Item 1. Business” for a discussion regarding the Transactions.

Item 7. Management’s Discussion and Analysis of Financial Condition and Results of Operations.

Reference is made to “Part I. Item 1A. Risk Factors” and “Cautionary Statement Regarding Forward-Looking Statements,” which describe important factors that could cause actual results to differ from expectations and non-historical information contained herein. In addition, the following discussion should be read in conjunction with the audited consolidated financial statements and accompanying notes thereto of Charter included in “Part II. Item 8. Financial Statements and Supplementary Data.”

Overview

We are the second largest cable operator in the United States and a leading broadband communications services company providing video, Internet and voice services to approximately 28.1 million residential and small and medium business customers at December 31, 2018. We also recently launched our Spectrum mobile service to residential customers. In addition, we sell video and online advertising inventory to local, regional and national advertising customers and fiber-delivered communications and managed IT solutions to large enterprise customers. We also own and operate regional sports networks and local sports, news and community channels. See “Part I. Item 1. Business — Products and Services” for further description of these services, including customer statistics for different services.

Since the close of the Transactions in 2016, we have been focused on integrating the practices and systems of Legacy Charter, Legacy TWC and Legacy Bright House, centralizing our product, marketing, sales and service operations, insourcing the Legacy TWC and Legacy Bright House workforces in our call centers and field operations, and rolling out SPP to Legacy TWC and


29



Legacy Bright House service areas. In 2018, we completed the conversion of the remaining Legacy TWC and Legacy Bright House analog service areas to an all-digital platform enabling us to deliver more HD channels and higher Internet speeds. As of December 31, 2018, nearly all of our footprint was all-digital. Additionally, we have doubled minimum Internet speeds to 200 Mbps in a number of service areas at no additional cost to new and existing Internet customers. In 2018, leveraging DOCSIS 3.1 technology, we also expanded the availability of our Spectrum Internet Gig service to nearly all of our footprint. With our integration nearly complete, we are focused on operating as one company, with a unified product, marketing and service infrastructure, which will allow us to accelerate growth and innovate faster. With significantly less customer-facing change expected in 2019, we are focused on deploying superior products and service with minimal service disruptions. We expect our growing levels of productivity will result in lower customer churn, longer customer lifetimes and improved productivity with fewer customer calls and truck rolls. With over 75% of our residential customer base currently in SPP packages, we expect additional benefits from higher SPP penetration and as current SPP customers roll off introductory pricing combined with modest price increases. Further, we expect to continue to drive customer relationship growth through sales of video, Internet, and wireline and mobile voice packaged services. Additionally, with the completion of our all-digital conversion, roll-out of DOCSIS 3.1 technology across our footprint, and the integration of Legacy TWC and Legacy Bright House mostly complete, we expect a meaningful reduction in capital expenditures in dollars and as a percent of revenue in 2019.

At the end of the second quarter of 2018, we launched our mobile product, Spectrum Mobile, under our MVNO reseller agreement with Verizon. Our Spectrum Mobile service is offered to our residential customers subscribing to our Internet service and runs on Verizon's mobile network combined with our existing network of in-home and outdoor WiFi hotspots. We began mass market advertising of Spectrum Mobile in September 2018. We also continue to explore ways to manage our own network and drive even more mobile traffic to our network through our continued deployment of in-home and outdoor WiFi hotspots. In 2018, we invested in our mobile operating partnership with Comcast Corporation, with a portion representing our equity investment in the partnership and a portion representing a prepayment of software development and related services for the mobile back office platform. As the partnership delivers services, we will reflect such services as capital or operating expense depending on the nature of services delivered.

We believe Spectrum-branded mobile services will drive higher sales of our core products, create longer customer lives and increase profitability and cash flow over time. As a result of growth costs associated with our new mobile product line, we cannot be certain that we will be able to grow revenues or maintain our margins at recent historical rates. During the year ended December 31, 2018, our mobile product line increased revenues by $106 million, and reduced Adjusted EBITDA and free cash flow by approximately $240 million and $594 million, respectively. As we continue to launch our mobile service and scale the business, we expect continued negative impacts to Adjusted EBITDA, as well as negative working capital impacts from the timing of device-related cash flows when we provide the handset or tablet to customers pursuant to equipment installment plans. In 2019, we intend to expand our Spectrum Mobile bring-your-own-device ("BYOD") program across our key sales channels to include a broader set of devices. We believe our BYOD program will lower the cost for consumers of switching mobile carriers, and will reduce the short-term working capital impact of selling new mobile devices on installment plans.

The Company realized revenue, Adjusted EBITDA and income from operations during the periods presented as follows (in millions; all percentages are calculated using whole numbers. Minor differences may exist due to rounding).

 
Years ended December 31,
 
Actual
 
Pro Forma
 
2018
 
2017
 
2016
 
2018 vs. 2017 Growth
 
2017 vs. 2016 Growth
 
2016
 
2017 vs. 2016 Growth
Revenues
$
43,634

 
$
41,581

 
$
29,003

 
4.9
%
 
43.4
%
 
$
37,394

 
3.9
%
Adjusted EBITDA
$
16,059

 
$
15,301

 
$
10,592

 
5.0
%
 
44.5
%
 
$
13,004

 
5.8
%
Income from operations(a)
$
5,221

 
$
4,106

 
$
2,456

 
27.2
%
 
67.2
%
 
$
3,323

 
5.7
%

(a) 
Income from operations for the year ended December 31, 2016 has been reduced from what was previously reported to reflect the adoption of pension accounting guidance by $899 million and $915 million on an actual and pro forma basis, respectively.

Adjusted EBITDA is defined as consolidated net income plus net interest expense, income taxes, depreciation and amortization, stock compensation expense, loss on extinguishment of debt, (gain) loss on financial instruments, net, other pension benefits, other (income) expense, net and other operating (income) expenses, such as merger and restructuring costs, special charges and (gain) loss on sale or retirement of assets. See “—Use of Adjusted EBITDA and Free Cash Flow” for further information on Adjusted EBITDA and free cash flow.   


30




Growth in total revenue, Adjusted EBITDA and income from operations was primarily due to growth in our residential Internet and commercial business customers as well as an increase in advertising sales revenue primarily due to an increase in political revenue. Adjusted EBITDA growth was additionally affected by increases in operating costs and expenses primarily programming and, in 2018, mobile. Income from operations was also affected by changes in depreciation and amortization as well as decreases in merger and restructuring costs.

Approximately 91%, 91% and 90% of our revenues for years ended December 31, 2018, 2017 and 2016, respectively, are attributable to monthly subscription fees charged to customers for our video, Internet, voice and commercial services provided by our cable systems. Generally, these customer subscriptions may be discontinued by the customer at any time subject to a fee for certain commercial customers. The remaining 9%, 9% and 10% of revenue for fiscal years 2018, 2017 and 2016, respectively, is derived primarily from advertising revenues, franchise and other regulatory fee revenues (which are collected by us but then paid to local authorities), VOD and pay-per-view programming, installation, processing fees or reconnection fees charged to customers to commence or reinstate service, revenue from regional sports and news channels and commissions related to the sale of merchandise by home shopping services.

Critical Accounting Policies and Estimates

Certain of our accounting policies require our management to make difficult, subjective and/or complex judgments. Management has discussed these policies with the Audit Committee of Charter’s board of directors, and the Audit Committee has reviewed the following disclosure. We consider the following policies to be the most critical in understanding the estimates, assumptions and judgments that are involved in preparing our financial statements, and the uncertainties that could affect our results of operations, financial condition and cash flows:

Property, plant and equipment
Capitalization of labor and overhead costs
Valuation and impairment of property, plant and equipment
Useful lives of property, plant and equipment
Intangible assets
Valuation and impairment of franchises
Valuation and impairment of goodwill
Valuation, impairment and amortization of customer relationships
Income taxes
Litigation
Programming agreements
Pension plans

In addition, there are other items within our financial statements that require estimates or judgment that are not deemed critical, such as the allowance for doubtful accounts and valuations of our financial instruments, but changes in estimates or judgment in these other items could also have a material impact on our financial statements.

Property, plant and equipment

The cable industry is capital intensive, and a large portion of our resources are spent on capital activities associated with extending, rebuilding, and upgrading our cable network. As of December 31, 2018 and 2017, the net carrying amount of our property, plant and equipment (consisting primarily of cable distribution systems) was approximately $35.1 billion (representing 24% of total assets) and $33.9 billion (representing 23% of total assets), respectively. Total capital expenditures for the years ended December 31, 2018, 2017 and 2016 were approximately $9.1 billion, $8.7 billion and $5.3 billion, respectively.

Capitalization of labor and overhead costs. Costs associated with network construction or upgrades, initial placement of the customer drop to the dwelling and the initial placement of outlets within a dwelling along with the costs associated with the initial deployment of customer premise equipment necessary to provide video, Internet or voice services, are capitalized.  Costs capitalized include materials, direct labor and certain indirect costs.  These indirect costs are associated with the activities of personnel who assist in installation activities, and consist of compensation and overhead costs associated with these support functions.  While our capitalization is based on specific activities, once capitalized, we track these costs on a composite basis by fixed asset category at the cable system level, and not on a specific asset basis.  For assets that are sold or retired, we remove the estimated applicable cost and accumulated depreciation.  The costs of disconnecting service and removing customer premise equipment from a dwelling and the costs to reconnect a customer drop or to redeploy previously installed customer premise equipment are charged to operating


31



expense as incurred. Costs for repairs and maintenance are charged to operating expense as incurred, while plant and equipment replacement, including replacement of certain components, betterments, and replacement of cable drops and outlets, are capitalized.

We make judgments regarding the installation and construction activities to be capitalized. We capitalize direct labor and overhead using standards developed from actual costs and applicable operational data. We calculate standards annually (or more frequently if circumstances dictate) for items such as the labor rates, overhead rates, and the actual amount of time required to perform a capitalizable activity. For example, the standard amounts of time required to perform capitalizable activities are based on studies of the time required to perform such activities. Overhead rates are established based on an analysis of the nature of costs incurred in support of capitalizable activities, and a determination of the portion of costs that is directly attributable to capitalizable activities. The impact of changes that resulted from these studies were not material in the periods presented.

Labor costs directly associated with capital projects are capitalized. Capitalizable activities performed in connection with installations include such activities as:

dispatching a “truck roll” to the customer’s dwelling or business for service connection or placement of new equipment;
verification of serviceability to the customer’s dwelling or business (i.e., determining whether the customer’s dwelling is capable of receiving service by our cable network);
customer premise activities performed by in-house field technicians and third-party contractors in connection with the installation, replacement and betterment of equipment and materials to enable video, Internet or voice services; and
verifying the integrity of the customer’s network connection by initiating test signals downstream from the headend to the customer premise equipment, as well as testing signal levels at the utility pole or pedestal.

Judgment is required to determine the extent to which overhead costs incurred result from specific capital activities, and therefore should be capitalized. The primary costs that are included in the determination of the overhead rate are (i) employee benefits and payroll taxes associated with capitalized direct labor, (ii) direct variable costs associated with capitalizable activities, (iii) the cost of support personnel, such as care personnel and dispatchers, who assist with capitalizable installation activities, and (iv) indirect costs directly attributable to capitalizable activities.

While we believe our existing capitalization policies are appropriate, a significant change in the nature or extent of our system activities could affect management’s judgment about the extent to which we should capitalize direct labor or overhead in the future. We monitor the appropriateness of our capitalization policies, and perform updates to our internal studies on an ongoing basis to determine whether facts or circumstances warrant a change to our capitalization policies. We capitalized direct labor and overhead of $1.8 billion, $1.7 billion and $991 million, respectively, for the years ended December 31, 2018, 2017 and 2016.

Valuation and impairment of property, plant and equipment. We evaluate the recoverability of our property, plant and equipment upon the occurrence of events or changes in circumstances indicating that the carrying amount of an asset may not be recoverable. Such events or changes in circumstances could include such factors as the impairment of our indefinite life assets, changes in technological advances, fluctuations in the fair value of such assets, adverse changes in relationships with local franchise authorities, adverse changes in market conditions, or a deterioration of current or expected future operating results. A long-lived asset is deemed impaired when the carrying amount of the asset exceeds the projected undiscounted future cash flows associated with the asset. No impairments of long-lived assets held for use were recorded in the years ended December 31, 2018, 2017 and 2016.

We utilize the cost approach as the primary method used to establish fair value for our property, plant and equipment in connection with business combinations.  The cost approach considers the amount required to replace an asset by constructing or purchasing a new asset with similar utility, then adjusts the value in consideration of physical depreciation and functional and economic obsolescence as of the valuation date. The cost approach relies on management’s assumptions regarding current material and labor costs required to rebuild and repurchase significant components of our property, plant and equipment along with assumptions regarding the age and estimated remaining useful lives of our property, plant and equipment.

Useful lives of property, plant and equipment. We evaluate the appropriateness of estimated useful lives assigned to our property, plant and equipment, based on annual analysis of such useful lives, and revise such lives to the extent warranted by changing facts and circumstances. Any changes in estimated useful lives as a result of this analysis are reflected prospectively beginning in the period in which the study is completed. Our analysis of useful lives in 2018 did not indicate any significant changes in useful lives of our fixed assets.  The effect of a one-year decrease in the weighted average remaining useful life of our property, plant and equipment as of December 31, 2018 would be an increase in annual depreciation expense of approximately $571 million.  The effect of a one-year increase in the weighted average remaining useful life of our property, plant and equipment as of December 31, 2018 would be a decrease in annual depreciation expense of approximately $854 million.



32



Depreciation expense related to property, plant and equipment totaled $7.9 billion, $7.8 billion and $5.0 billion for the years ended December 31, 2018, 2017 and 2016, respectively, representing approximately 21%, 21% and 19% of costs and expenses, respectively. Depreciation is recorded using the straight-line composite method over management’s estimate of the useful lives of the related assets as listed below:

Cable distribution systems
8-21 years
Customer premise equipment and installations
3-8 years
Vehicles and equipment
4-9 years
Buildings and improvements
15-40 years
Furniture, fixtures and equipment
2-10 years

Intangible assets

Valuation and impairment of franchises. The net carrying value of franchises as of both December 31, 2018 and 2017 was approximately $67.3 billion (representing 46% of total assets). For more information and a complete discussion of how we value and test franchise assets for impairment, see Note 5 to the accompanying consolidated financial statements contained in “Part II. Item 8. Financial Statements and Supplementary Data.”
 
We perform an impairment assessment of franchise assets annually or more frequently as warranted by events or changes in circumstances. We performed a qualitative assessment in 2018. Our assessment included consideration of a fair value appraisal performed for tax purposes in the beginning of 2018 as of a December 31, 2017 valuation date (the "Appraisal") along with a multitude of factors that affect the fair value of our franchise assets. Examples of such factors include environmental and competitive changes within our operating footprint, actual and projected operating performance, the consistency of our operating margins, equity and debt market trends, including changes in our market capitalization, and changes in our regulatory and political landscape, among other factors. Based on our assessment, we concluded that it was more likely than not that the estimated fair values of our franchise assets equals or exceeds their carrying values and that a quantitative impairment test is not required.

The Appraisal indicated that the fair value of our franchise assets exceeded carrying value by approximately 69% in the aggregate. At our unit of accounting level for franchise asset impairment testing, the amount by which fair value exceeded carrying value varied based on the extent to which the unit of accounting was comprised of operations acquired in 2016. For units of accounting comprised entirely or substantially of newly-acquired operations, the Appraisal fair value exceeded carrying value by a range of 21% to 70% due to the recency of the Transactions, while fair value for units of accounting comprised of at least 25% Legacy Charter operations, exceeded carrying value by a range of 54% to 289%.
 
Valuation and impairment of goodwill. The net carrying value of goodwill as of both December 31, 2018 and 2017 was approximately $29.6 billion (representing 20% of total assets). For more information and a complete discussion on how we test goodwill for impairment, see Note 5 to the accompanying consolidated financial statements contained in “Part II. Item 8. Financial Statements and Supplementary Data.” We perform our impairment assessment of goodwill annually as of November 30. As with our franchise impairment testing, we elected to perform a qualitative assessment of goodwill in 2018 which included the fair value Appraisal and other factors described above. Based on the Appraisal, we determined that the fair value of our goodwill exceeded carrying value by approximately 18%. Given the completion of the assessment and absence of significant adverse changes in factors impacting our fair value estimates, we concluded that it is more likely than not that our goodwill is not impaired.

Valuation, impairment and amortization of customer relationships. The net carrying value of customer relationships as of December 31, 2018 and 2017 was approximately $9.6 billion (representing 7% of total assets) and $12.0 billion (representing 8% of total assets), respectively. Amortization expense related to customer relationships for the years ended December 31, 2018, 2017 and 2016 was approximately $2.4 billion, $2.7 billion and $1.9 billion, respectively. No impairment of customer relationships was recorded in the years ended December 31, 2018, 2017 and 2016. For more information and a complete discussion on our valuation methodology and amortization method, see Note 5 to the accompanying consolidated financial statements contained in “Part II. Item 8. Financial Statements and Supplementary Data.”

Income taxes

As of December 31, 2018, Charter had approximately $10.2 billion of federal tax net operating loss carryforwards resulting in a gross deferred tax asset of approximately $2.1 billion. These losses resulted from the operations of Charter Holdco and its subsidiaries and from loss carryforwards received as a result of the TWC Transaction. Federal tax net operating loss carryforwards expire in the years 2019 through 2035. In addition, as of December 31, 2018, Charter had state tax net operating loss carryforwards,


33



resulting in a gross deferred tax asset (net of federal tax benefit) of approximately $309 million. State tax net operating loss carryforwards generally expire in the years 2019 through 2038.  Such tax loss carryforwards can accumulate and be used to offset Charter’s future taxable income. After December 31, 2018, $1.1 billion of Charter's federal tax loss carryforwards are subject to Section 382 and other restrictions. Pursuant to these restrictions, Charter estimates that approximately $226 million annually over each of the next five years of federal tax loss carryforwards, should become unrestricted and available for Charter’s use. An additional $184 million is currently subject to a valuation allowance. Charter’s state tax loss carryforwards are subject to similar but varying restrictions.

Income tax benefit for the year ended December 31, 2017 was recognized primarily as a result of the enactment of the Tax Cuts & Jobs Act (“Tax Reform”) in December 2017. Among other things, the primary provisions of Tax Reform impacting us are the reductions to the U.S. corporate income tax rate from 35% to 21% and temporary 100% bonus depreciation for certain assets. The change in tax law required us to remeasure existing net deferred tax liabilities using the lower rate in the period of enactment resulting in an income tax benefit of approximately $9.3 billion to reflect these changes in the year ended December 31, 2017.

In assessing the realizability of deferred tax assets, management considers whether it is more likely than not that some portion or all of the deferred tax assets will be realized. In evaluating the need for a valuation allowance, management takes into account various factors, including the expected level of future taxable income, available tax planning strategies and reversals of existing taxable temporary differences. Due to Legacy Charter’s history of losses, Legacy Charter was historically unable to assume future taxable income in its analysis and accordingly valuation allowances were established against the deferred tax assets, net of deferred tax liabilities, from definite-lived assets for book accounting purposes. However, as a result of the TWC Transaction in 2016, deferred tax liabilities resulting from the acquisition accounting increased significantly and future taxable income that will result from the reversal of existing temporary differences for which deferred tax liabilities are recognized, is sufficient to conclude it is more likely than not that we will realize substantially all of our deferred tax assets. As a result, in 2016 Charter reversed approximately $3.3 billion of its valuation allowance and recognized a corresponding income tax benefit in the consolidated statements of operations for the year ended December 31, 2016. Approximately $39 million of valuation allowance associated with federal tax net operating loss carryforwards and approximately $50 million of valuation allowance associated with state tax loss carryforwards and other miscellaneous deferred tax assets remains on the December 31, 2018 consolidated balance sheet.

In determining our tax provision for financial reporting purposes, we establish a reserve for uncertain tax positions unless such positions are determined to be “more likely than not” of being sustained upon examination, based on their technical merits. In evaluating whether a tax position has met the more-likely-than-not recognition threshold, we presume the position will be examined by the appropriate taxing authority that has full knowledge of all relevant information. A tax position that meets the more-likely-than-not recognition threshold is measured to determine the amount of benefit to be recognized in our financial statements. The tax position is measured as the largest amount of benefit that has a greater than 50% likelihood of being realized when the position is ultimately resolved. There is considerable judgment involved in determining whether positions taken on the tax return are “more likely than not” of being sustained. We adjust our uncertain tax reserve estimates periodically because of ongoing examinations by, and settlements with, the various taxing authorities, as well as changes in tax laws, regulations and interpretations.

No tax years for Charter or Charter Holdco for income tax purposes, are currently under examination by the IRS. Charter's 2016 through 2018 tax years remain open for examination and assessment. Legacy Charter’s tax years ending 2015 through the short period return dated May 17, 2016 remain subject to examination and assessment. Years prior to 2015 remain open solely for purposes of examination of Legacy Charter’s loss and credit carryforwards. The IRS is currently examining Charter Holdings' income tax returns for 2016. Charter Holdings’ 2017 and 2018 tax years remain open for examination and assessment. The IRS is currently examining Legacy TWC’s income tax returns for 2011 through 2014. Legacy TWC’s tax year 2015 remains subject to examination and assessment. Prior to Legacy TWC’s separation from Time Warner Inc. (“Time Warner”) in March 2009 (the “Separation”), Legacy TWC was included in the consolidated U.S. federal and certain state income tax returns of Time Warner. The IRS is currently examining Time Warner’s 2008 through 2010 income tax returns. We do not anticipate that these examinations will have a material impact on our consolidated financial position or results of operations. In addition, we are also subject to ongoing examinations of our tax returns by state and local tax authorities for various periods. Activity related to these state and local examinations did not have a material impact on our consolidated financial position or results of operations during the year ended December 31, 2018, nor do we anticipate a material impact in the future.

Litigation

Legal contingencies have a high degree of uncertainty. When a loss from a contingency becomes estimable and probable, a reserve is established. The reserve reflects management’s best estimate of the probable cost of ultimate resolution of the matter and is revised as facts and circumstances change. A reserve is released when a matter is ultimately brought to closure or the statute of limitations lapses. We have established reserves for certain matters. Although these matters are not expected individually to have


34



a material adverse effect on our consolidated financial condition, results of operations or liquidity, such matters could have, in the aggregate, a material adverse effect on our consolidated financial condition, results of operations or liquidity.

Programming agreements
 
We exercise judgment in estimating programming expense associated with certain video programming contracts. Our policy is to record video programming costs based on the substance of our contractual agreements with our programming vendors, which are generally multi-year agreements that provide for us to make payments to the programming vendors at agreed upon market rates based on the number of customers to which we provide the programming service. If a programming contract expires prior to the parties’ entry into a new agreement and we continue to distribute the service, we estimate the programming costs during the period there is no contract in place. In doing so, we consider the previous contractual rates, inflation and the status of the negotiations in determining our estimates. When the programming contract terms are finalized, an adjustment to programming expense is recorded, if necessary, to reflect the terms of the new contract. We also make estimates in the recognition of programming expense related to other items including the allocation of consideration exchanged between the parties among the various items in multiple-element transactions.
 
Judgment is also involved when we enter into agreements that result in us receiving cash consideration from the programming vendor, usually in the form of advertising sales, channel positioning fees, launch support or marketing support. In these situations, we must determine based upon facts and circumstances if such cash consideration should be recorded as revenue, a reduction in programming expense or a reduction in another expense category (e.g., marketing).

Pension plans

We sponsor two qualified defined benefit pension plans, the TWC Pension Plan and the TWC Union Pension Plan (collectively, the “TWC Pension Plans”), that provide pension benefits to a majority of Legacy TWC employees. We also provide a nonqualified defined benefit pension plan for certain employees under the TWC Excess Pension Plan. As of December 31, 2018, the accumulated benefit obligation and fair value of plan assets for the TWC Pension Plans was $3.0 billion and $2.9 billion, respectively, and the net underfunded liability of the TWC Pension Plans was recorded as a $1 million noncurrent asset, $4 million current liability and $95 million long-term liability. As of December 31, 2017, the accumulated benefit obligation and fair value of plan assets for the TWC Pension Plans was $3.6 billion and $3.3 billion, respectively, and the net underfunded liability of the TWC Pension Plans was recorded as a $1 million noncurrent asset, $5 million current liability and $292 million long-term liability.

Pension benefits are based on formulas that reflect the employees’ years of service and compensation during their employment period. Actuarial gains or losses are changes in the amount of either the benefit obligation or the fair value of plan assets resulting from experience different from that assumed or from changes in assumptions. We have elected to follow a mark-to-market pension accounting policy for recording the actuarial gains or losses annually during the fourth quarter, or earlier if a remeasurement event occurs during an interim period. We use a December 31 measurement date for our pension plans.

We recognized net periodic pension benefits of $192 million, $1 million and $813 million in 2018, 2017 and 2016, respectively. Net periodic pension benefit or expense is determined using certain assumptions, including the expected long-term rate of return on plan assets, discount rate and mortality assumptions. We determined the discount rate used to compute pension expense based on the yield of a large population of high-quality corporate bonds with cash flows sufficient in timing and amount to settle projected future defined benefit payments. In developing the expected long-term rate of return on assets, we considered the current pension portfolio’s composition, past average rate of earnings, and our asset allocation targets. We used a discount rate of 3.68% from January 1, 2018 to September 30, 2018 and 4.24% from October 1, 2018 to December 31, 2018 to compute 2018 pension expense. A decrease in the discount rate of 25 basis points would result in a $137 million increase in our pension plan benefit obligation as of December 31, 2018 and net periodic pension expense recognized in 2018 under our mark-to-market accounting policy. Our expected long-term rate of return on plan assets used to compute 2018 pension expense was 5.75%. A decrease in the expected long-term rate of return of 25 basis points, from 5.75% to 5.50%, while holding all other assumptions constant, would result in an increase in our 2019 net periodic pension expense of approximately $7 million. See Note 20 to the accompanying consolidated financial statements contained in “Part II. Item 8. Financial Statements and Supplementary Data” for additional discussion on these assumptions.



35



Results of Operations

The following table sets forth the consolidated statements of operations for the periods presented (dollars in millions, except per share data):

 
Year Ended December 31,
 
2018
2017
2016
Revenues
$
43,634

 
$
41,581

 
$
29,003

 
 
 
 
 
 
Costs and Expenses:
 
 
 
 
 
Operating costs and expenses (exclusive of items shown separately below)
27,860

 
26,541

 
18,655

Depreciation and amortization
10,318

 
10,588

 
6,907

Other operating expenses, net
235

 
346

 
985

 
38,413

 
37,475

 
26,547

Income from operations
5,221

 
4,106

 
2,456

 
 
 
 
 
 
Other Expenses:
 
 
 
 
 
Interest expense, net
(3,540
)
 
(3,090
)
 
(2,499
)
Loss on extinguishment of debt

 
(40
)
 
(111
)
Gain (loss) on financial instruments, net
(110
)
 
69

 
89

Other pension benefits
192

 
1

 
899

Other expense, net
(77
)
 
(18
)
 
(14
)
 
(3,535
)
 
(3,078
)
 
(1,636
)
 
 
 
 
 
 
Income before income taxes
1,686

 
1,028

 
820

Income tax benefit (expense)
(180
)
 
9,087

 
2,925

Consolidated net income
1,506

 
10,115

 
3,745

Less: Net income attributable to noncontrolling interests
(276
)
 
(220
)
 
(223
)
Net income attributable to Charter shareholders
$
1,230

 
$
9,895

 
$
3,522

 
 
 
 
 
 
EARNINGS PER COMMON SHARE ATTRIBUTABLE TO CHARTER SHAREHOLDERS:
 
 
 
 
 
Basic
$
5.29

 
$
38.55

 
$
17.05

Diluted
$
5.22

 
$
34.09

 
$
15.94

 
 
 
 
 
 
Weighted average common shares outstanding, basic
232,356,665

 
256,720,715

 
206,539,100

Weighted average common shares outstanding, diluted
235,525,226

 
296,703,956

 
234,791,439


Revenues. Total revenues grew $2.1 billion or 4.9% during the year ended December 31, 2018 as compared to 2017 and grew $12.6 billion or 43.4% during the year ended December 31, 2017 as compared to 2016. Revenue growth primarily reflects increases in the number of residential Internet and commercial business customers, price adjustments as well as the launch of our mobile service in 2018 offset by a decrease in limited basic video customers. The Transactions increased revenues for the year ended 2017 as compared to 2016 by approximately $11.4 billion. On a pro forma basis, assuming the Transactions occurred as of January 1, 2015, total revenue growth was 3.9% for the year ended December 31, 2017 as compared to the year ended December 31, 2016.



36



Revenues by service offering were as follows (dollars in millions; all percentages are calculated using whole numbers. Minor differences may exist due to rounding):

 
Years ended December 31,
 
Actual
 
Pro Forma
 
2018
 
2017
 
2016
 
2018 vs. 2017 Growth
 
2017 vs. 2016 Growth
 
2016
 
2017 vs. 2016 Growth
Video
$
17,348

 
$
16,621

 
$
11,955

 
4.4
 %
 
39.0
%
 
$
16,370

 
1.5
 %
Internet
15,181

 
14,101

 
9,270

 
7.7
 %
 
52.1
%
 
12,684

 
11.2
 %
Voice
2,114

 
2,542

 
2,005

 
(16.8
)%
 
26.8
%
 
2,905

 
(12.5
)%
Residential revenue
34,643

 
33,264

 
23,230

 
4.1
 %
 
43.2
%
 
31,959

 
4.1
 %
 
 
 
 
 
 
 
 
 
 
 
 
 
 
Small and medium business
3,665

 
3,547

 
2,384

 
3.3
 %
 
48.8
%
 
3,283

 
8.0
 %
Enterprise
2,528

 
2,373

 
1,539

 
6.5
 %
 
54.1
%
 
2,175

 
9.1
 %
Commercial revenue
6,193

 
5,920

 
3,923

 
4.6
 %
 
50.9
%
 
5,458

 
8.5
 %
 
 
 
 
 
 
 
 
 
 
 
 
 
 
Advertising sales
1,785

 
1,510

 
1,235

 
18.2
 %
 
22.3
%
 
1,696

 
(10.9
)%
Mobile
106

 

 

 
NM

 
NM

 

 
NM

Other
907

 
887

 
615

 
2.3
 %
 
44.1
%
 
910

 
(2.6
)%
 
$
43,634

 
$
41,581

 
$
29,003

 
4.9
 %
 
43.4
%
 
$
40,023

 
3.9
 %
  
Video revenues consist primarily of revenues from basic and digital video services provided to our residential customers, as well as franchise fees, equipment service fees and video installation revenue. The increases in video revenues are attributable to the following (dollars in millions):

 
2018 compared to 2017
 
2017 compared to 2016
Increase related to rate changes
$
1,089

 
$
408

Decrease in average residential video customers
(298
)
 
(205
)
Increase (decrease) in VOD and pay-per-view
(64
)
 
35

TWC Transaction

 
3,800

Bright House Transaction

 
628

 
$
727

 
$
4,666


The increases related to rate changes were primarily due to price adjustments including promotional roll-off, service level changes and bundle revenue allocation. Residential video customers decreased by 296,000 and 301,000 in 2018 and 2017, respectively.

On a pro forma basis, assuming the Transactions occurred as of January 1, 2015, the increase in video revenues is attributable to the following (dollars in millions):

 
2017 compared to 2016
Increase related to rate changes
$
513

Increase in VOD and pay-per-view
32

Decrease in average residential video customers
(294
)
 
$
251




37



The increases in Internet revenues from our residential customers are attributable to the following (dollars in millions):

 
2018 compared to 2017
 
2017 compared to 2016
Increase in average residential Internet customers
$
695

 
$
574

Increase related to rate changes
385

 
418

TWC Transaction

 
3,267

Bright House Transaction

 
572

 
$
1,080

 
$
4,831


Residential Internet customers grew by 1,107,000 and 1,159,000 in 2018 and 2017, respectively. The increases related to rate changes were primarily due to price adjustments including promotional roll-off and bundle revenue allocation.

On a pro forma basis, assuming the Transactions occurred as of January 1, 2015, the increase in Internet revenues is attributable to the following (dollars in millions):

 
2017 compared to 2016
Increase in average residential Internet customers
$
818

Increase related to rate changes
599

 
$
1,417


The changes in voice revenues from our residential customers are attributable to the following (dollars in millions):

 
2018 compared to 2017
 
2017 compared to 2016
Decrease related to rate changes
$
(408
)
 
$
(312
)
Increase (decrease) in average residential voice customers
(20
)
 
20

TWC Transaction

 
707

Bright House Transaction

 
122

 
$
(428
)
 
$
537


The decreases related to rate changes were primarily due to value-based pricing and bundle revenue allocation. Residential voice customers decreased by 289,000 and grew by 93,000 in 2018 and 2017, respectively.

On a pro forma basis, assuming the Transactions occurred as of January 1, 2015, the decrease in voice revenues is attributable to the following (dollars in millions):

 
2017 compared to 2016
Decrease related to rate changes
$
(412
)
Increase in average residential voice customers
49

 
$
(363
)


38




The increases in small and medium business commercial revenues are attributable to the following (dollars in millions):

 
2018 compared to 2017
 
2017 compared to 2016
Increase in small and medium business customers
$
377

 
$
279

Decrease related to rate changes
(259
)
 
(109
)
TWC Transaction

 
860

Bright House Transaction

 
133

 
$
118

 
$
1,163


Small and medium business PSUs increased by 337,000 and 340,000 in 2018 and 2017, respectively. The decreases related to rate changes were primarily due to value pricing related to SPP, net of promotional roll-off and price adjustments.

On a pro forma basis, assuming the Transactions occurred as of January 1, 2015, the increase in small and medium business commercial revenues is attributable to the following (dollars in millions):

 
2017 compared to 2016
Increase in small and medium business customers
$
373

Decrease related to rate changes
(109
)
 
$
264


Enterprise revenues increased $155 million during the year ended December 31, 2018 as compared to the corresponding period in 2017 primarily due to growth in customers. Enterprise PSUs increased by 28,000 and 29,000 in 2018 and 2017, respectively. The Transactions increased enterprise commercial revenues for year ended December 31, 2017 as compared to the corresponding prior period by approximately $655 million. On a pro forma basis, assuming the Transactions occurred as of January 1, 2015, enterprise revenues increased $198 million during the year ended December 31, 2017 as compared to the corresponding prior period.

Advertising sales revenues consist primarily of revenues from commercial advertising customers, programmers and other vendors, as well as local cable and advertising on regional sports and news channels. Advertising sales revenues increased $275 million during the year ended December 31, 2018 as compared to the corresponding period in 2017 primarily due to an increase in political and continued roll-out of addressability and newer advanced advertising products that allows for more targeted media purchases using our inventory. Advertising sales revenues increased in 2017 as compared to 2016 primarily due to the Transactions. The Transactions increased advertising sales revenues for the year ended December 31, 2017 as compared to the corresponding prior period by $425 million. On a pro forma basis, assuming the Transactions occurred as of January 1, 2015, advertising sales revenues decreased $186 million during 2017 as compared to 2016 primarily due to a decrease in political advertising.

Mobile revenues represent approximately $97 million of device revenues and approximately $9 million of service revenues related to our mobile service. As of December 31, 2018, we had 134,000 mobile lines.

Other revenues consist of revenue from regional sports and news channels (excluding intercompany charges or advertising sales on those channels), home shopping, late payment fees, wire maintenance fees and other miscellaneous revenues. The increase during the year ended December 31, 2018 as compared to the corresponding period in 2017 was primarily due to an increase in late payment fees. Other revenues increased in 2017 as compared to 2016 primarily due to the Transactions. The Transactions increased other revenues for the year ended December 31, 2017 as compared to the corresponding prior period by $255 million. On a pro forma basis, assuming the Transactions occurred as of January 1, 2015, other revenues decreased $23 million during 2017 as compared to the corresponding prior period primarily due to a settlement incurred in 2016 related to an early contract termination at Legacy TWC and Legacy Bright House.


39




Operating costs and expenses. The increases in our operating costs and expenses, exclusive of items shown separately in the consolidated statements of operations, are attributable to the following (dollars in millions):

 
2018 compared to 2017
 
2017 compared to 2016
Programming
$
528

 
$
3,562

Regulatory, connectivity and produced content
146

 
597

Costs to service customers
92

 
1,928

Marketing
6

 
900

Mobile
346

 

Other
201

 
899

 
$
1,319

 
$
7,886


Programming costs were approximately $11.1 billion, $10.6 billion and $7.0 billion, representing 40%, 40% and 38% of operating costs and expenses for the years ended December 31, 2018, 2017 and 2016, respectively. Programming costs consist primarily of costs paid to programmers for basic, digital, premium, VOD, and pay-per-view programming. The increase in programming costs is primarily a result of contractual rate adjustments, including renewals and increases in amounts paid for retransmission consents partly offset by lower video customers, pay-per-view and one-time programming benefits during the year ended December 31, 2018.  We expect programming expenses will continue to increase due to a variety of factors, including annual increases imposed by programmers with additional selling power as a result of media consolidation, increased demands by owners of broadcast stations for payment for retransmission consent or linking carriage of other services to retransmission consent, and additional programming, particularly new services. We have been unable to fully pass these increases on to our customers and do not expect to be able to do so in the future without a potential loss of customers.

Regulatory, connectivity and produced content increased $146 million during the year ended December 31, 2018 compared to the corresponding period in 2017 primarily due to the adoption of Accounting Standards Update 2014-09 as of January 1, 2018, which results in the reclassification of expenses related to the amortization of up-front fees paid to market and serve customers who reside in MDUs that were recorded in depreciation and amortization expense in the prior-year period to regulatory, connectivity and produced content expenses, as well as higher regulatory fees related to higher revenue. For more information, see Note 21 to the accompanying consolidated financial statements contained in “Item 1. Financial Statements.”

Costs to service customers increased $92 million during 2018 as compared to 2017 primarily due to an increase in bad debt expense.

Mobile costs of $346 million for the year ended December 31, 2018 were comprised of mobile launch costs, mobile device costs and mobile service and operating costs.

The increases in other expense are attributable to the following (dollars in millions):

 
2018 compared to 2017
 
2017 compared to 2016
Advertising sales expense
$
99

 
$
242

Property tax and insurance
40

 
108

Stock compensation expense
24

 
17

Corporate costs
17

 
190

Enterprise
13

 
246

Other
8

 
96

 
$
201

 
$
899


The increases in all categories of operating costs and expenses in 2017 as compared to 2016 was primarily due to the Transactions.



40



On a pro forma basis, assuming the Transactions occurred as of January 1, 2015, the increase in our operating costs and expenses in 2017 as compared to 2016, exclusive of items shown separately in the consolidated statements of operations, is attributable to the following (dollars in millions):

 
2017 compared to 2016
Programming
$
982

Regulatory, connectivity and produced content
(29
)
Costs to service customers
(173
)
Marketing
72

Other
(165
)
 
$
687


On a pro forma basis, assuming the Transactions occurred as of January 1, 2015, programming costs were approximately $9.6 billion, representing 37% of total operating costs and expenses for the year ended December 31, 2016. The increase in programming costs on a pro forma basis is primarily a result of contractual rate adjustments, including renewals and increases in amounts paid for retransmission consents and higher pay-per-view events offset by synergies as a result of the Transactions. 

Costs to service customers decreased $173 million during 2017 as compared to 2016, on a pro forma basis, assuming the Transactions occurred as of January 1, 2015, primarily due to benefits from combining Legacy TWC and Legacy Bright House into Charter, including lower employee benefit and maintenance costs, higher labor and material capitalization with increases in placement of new customer equipment and improved productivity.

On a pro forma basis, assuming the Transactions occurred as of January 1, 2015, the change in other expense is attributable to the following (dollars in millions):

 
2017 compared to 2016
Corporate costs
$
(174
)
Stock compensation expense
(34
)
Property tax and insurance
(22
)
Advertising sales expense
34

Enterprise
26

Other
5

 
$
(165
)

Corporate costs and stock compensation expense decreased in 2017 as compared to 2016 primarily as a result of lower headcount as a result of integration synergies.

Depreciation and amortization. Depreciation and amortization expense decreased by $270 million and increased by $3.7 billion in 2018 and 2017 as compared to the corresponding prior periods. The decrease during the year ended December 31, 2018 as compared to 2017 was primarily due to a decrease in depreciation and amortization as certain assets acquired from Legacy TWC and Legacy Bright House become fully depreciated offset by an increase in depreciation as a result of more recent capital expenditures. The increase during the year ended December 31, 2017 as compared to 2016 was impacted by additional depreciation and amortization related to the Transactions, inclusive of the incremental amounts as a result of the higher fair values recorded in acquisition accounting.



41



Other operating expenses, net. The changes in other operating expenses, net are attributable to the following (dollars in millions):

 
2018 compared to 2017
 
2017 compared to 2016
Merger and restructuring costs
$
(254
)
 
$
(619
)
Special charges, net
74

 
(38
)
(Gain) loss on sale of assets, net
69

 
18

 
$
(111
)
 
$
(639
)

The changes in merger and restructuring costs is primarily due to $70 million, $279 million and $611 million of employee retention and employee termination costs incurred during 2018, 2017 and 2016, respectively, as well as approximately $262 million of contingent financing and advisory transaction fees paid at the closing of the Transactions in 2016.

The changes in special charges, net is primarily due to changes in employee termination costs not related to the Transactions and net amounts of litigation settlements. In 2018, special charges, net also includes a $22 million charge related to a withdrawal liability from a multiemployer pension plan. In 2017, special charges, net includes a $101 million benefit related to the remeasurement of the Tax Receivable Agreement liability as a result of the enactment of Tax Reform in December 2017 offset by an $83 million charge related to a withdrawal liability from a multiemployer pension plan.

The increase in loss on sale of assets, net for the year ended December 31, 2018 as compared to the year ended December 31, 2017 is primarily due to an impairment of non-strategic assets. For more information, see Note 14 to the accompanying consolidated financial statements contained in “Part II. Item 8. Financial Statements and Supplementary Data.”

Interest expense, net. Net interest expense increased by $450 million in 2018 from 2017 and by $591 million in 2017 from 2016. The increases in 2018 and 2017 as compared to the corresponding prior periods are primarily due to an increase in weighted average debt outstanding of approximately $6.6 billion and $11.6 billion, respectively, primarily as a result of the issuance of notes in 2018 and 2017 for general corporate purposes including stock buybacks. Interest expense associated with debt assumed from Legacy TWC also increased interest expense during the year ended December 31, 2017 compared to the corresponding period in 2016 by approximately $336 million.

Loss on extinguishment of debt. Loss on extinguishment of debt of $40 million and $111 million for the years ended December 31, 2017 and 2016, respectively, primarily represents losses recognized as a result of the repurchase of CCO Holdings notes and amendments to Charter Operating's credit facilities. For more information, see Note 8 to the accompanying consolidated financial statements contained in “Part II. Item 8. Financial Statements and Supplementary Data.”

Gain (loss) on financial instruments, net. Gains and losses on financial instruments are recognized due to changes in the fair value of our interest rate and our cross currency derivative instruments, and the foreign currency remeasurement of the fixed-rate British pound sterling denominated notes (the “Sterling Notes”) into U.S. dollars. For more information, see Note 11 to the accompanying consolidated financial statements contained in “Part II. Item 8. Financial Statements and Supplementary Data.”

Other pension benefits. Other pension benefits increased by $191 million during 2018 compared to 2017 primarily due to a net remeasurement gain of $122 million recognized in 2018 as opposed to remeasurement losses of $55 million recognized in 2017. Other pension benefits decreased $898 million during 2017 compared to 2016 primarily due to remeasurement losses of $55 million recognized in 2017 as opposed to a pension curtailment gain of $675 million and remeasurement gain of $195 million recognized in 2016. For more information, see Note 20 to the accompanying consolidated financial statements contained in “Part II. Item 8. Financial Statements and Supplementary Data.”

Other expense, net. Other expense, net primarily represents equity losses on our equity-method investments. For more information, see Note 6 to the accompanying consolidated financial statements contained in “Part II. Item 8. Financial Statements and Supplementary Data.”

Income tax benefit (expense). We recognized income tax expense of $180 million for the year ended December 31, 2018 and income tax benefits of $9.1 billion and $2.9 billion for the years ended December 31, 2017 and 2016, respectively. The income tax benefit for the year ended December 31, 2017 was recognized primarily through the enactment of Tax Reform which resulted in an income tax benefit of approximately $9.3 billion.



42



Income tax benefit for the year ended December 31, 2016 was the result of a reduction of substantially all of Legacy Charter's preexisting valuation allowance associated with its deferred tax assets of approximately $3.3 billion as certain of the deferred tax liabilities that were assumed in connection with the closing of the TWC Transaction will reverse and provide a source of future taxable income. For more information, see Note 16 to the accompanying consolidated financial statements contained in “Part II. Item 8. Financial Statements and Supplementary Data.”

Net income attributable to noncontrolling interest. Net income attributable to noncontrolling interest for financial reporting purposes represents A/N’s portion of Charter Holdings’ net income based on its effective common unit ownership interest and on the preferred dividend of $150 million, $150 million and $93 million for the years ended December 31, 2018, 2017 and 2016, respectively. For more information, see Note 10 to the accompanying consolidated financial statements contained in “Part II. Item 8. Financial Statements and Supplementary Data.”

Net income attributable to Charter shareholders. Net income attributable to Charter shareholders was $1.2 billion, $9.9 billion and $3.5 billion for the years ended December 31, 2018, 2017 and 2016, respectively, primarily as a result of the factors described above. On a pro forma basis, assuming the Transactions occurred as of January 1, 2015, net income attributable to Charter shareholders was $1.1 billion for the year ended December 31, 2016.

Use of Adjusted EBITDA and Free Cash Flow

We use certain measures that are not defined by U.S. generally accepted accounting principles (“GAAP”) to evaluate various aspects of our business. Adjusted EBITDA and free cash flow are non-GAAP financial measures and should be considered in addition to, not as a substitute for, consolidated net income and net cash flows from operating activities reported in accordance with GAAP. These terms, as defined by us, may not be comparable to similarly titled measures used by other companies. Adjusted EBITDA and free cash flow are reconciled to consolidated net income and net cash flows from operating activities, respectively, below.

Adjusted EBITDA eliminates the significant non-cash depreciation and amortization expense that results from the capital-intensive nature of our businesses as well as other non-cash or special items, and is unaffected by our capital structure or investment activities. However, this measure is limited in that it does not reflect the periodic costs of certain capitalized tangible and intangible assets used in generating revenues and our cash cost of financing. These costs are evaluated through other financial measures.

Free cash flow is defined as net cash flows from operating activities, less capital expenditures and changes in accrued expenses related to capital expenditures.

Management and Charter’s board of directors use Adjusted EBITDA and free cash flow to assess our performance and our ability to service our debt, fund operations and make additional investments with internally generated funds. In addition, Adjusted EBITDA generally correlates to the leverage ratio calculation under our credit facilities or outstanding notes to determine compliance with the covenants contained in the facilities and notes (all such documents have been previously filed with the SEC). For the purpose of calculating compliance with leverage covenants, we use Adjusted EBITDA, as presented, excluding certain expenses paid by our operating subsidiaries to other Charter entities. Our debt covenants refer to these expenses as management fees, which fees were in the amount of $1.1 billion, $1.1 billion and $930 million for the years ended December 31, 2018, 2017 and 2016, respectively.



43



 
Years ended December 31,
 
2018
 
2017
 
2016
 
Actual
Consolidated net income
$
1,506

 
$
10,115

 
$
3,745

Plus: Interest expense, net
3,540

 
3,090

 
2,499

Income tax (benefit) expense
180

 
(9,087
)
 
(2,925
)
Depreciation and amortization
10,318

 
10,588

 
6,907

Stock compensation expense
285

 
261

 
244

Loss on extinguishment of debt

 
40

 
111

(Gain) loss on financial instruments, net
110

 
(69
)
 
(89
)
Other pension benefits
(192
)
 
(1
)
 
(899
)
Other, net
312

 
364

 
999

Adjusted EBITDA
$
16,059

 
$
15,301

 
$
10,592

 
 
 
 
 
 
Net cash flows from operating activities
$
11,767

 
$
11,954

 
$
8,041

Less: Purchases of property, plant and equipment
(9,125
)
 
(8,681
)
 
(5,325
)
Change in accrued expenses related to capital expenditures
(470
)
 
820

 
603

Free cash flow
$
2,172

 
$
4,093

 
$
3,319


 
Year Ended December 31, 2016
 
Pro Forma
Consolidated net income
$
1,399

Plus: Interest expense, net
2,883

Income tax expense
498

Depreciation and amortization
9,555

Stock compensation expense
295

Loss on extinguishment of debt
111

Gain on financial instruments, net
(89
)
Other pension benefits
(915
)
Other, net
727

Adjusted EBITDA
$
14,464


Liquidity and Capital Resources

Overview

We have significant amounts of debt.  The principal amount of our debt as of December 31, 2018 was $72.0 billion, consisting of $10.0 billion of credit facility debt, $43.0 billion of investment grade senior secured notes and $18.9 billion of high-yield senior unsecured notes. Our business requires significant cash to fund principal and interest payments on our debt. 

Our projected cash needs and projected sources of liquidity depend upon, among other things, our actual results, and the timing and amount of our expenditures. As we launch our new mobile services, we expect an initial funding period to grow a new product as well as negative working capital impacts from the timing of device-related cash flows when we provide the handset or tablet to customers pursuant to equipment installment plans. Free cash flow was $2.2 billion, $4.1 billion and $3.3 billion for the years ended December 31, 2018, 2017 and 2016, respectively. The decrease in free cash flow in 2018 as compared to 2017 is primarily due to an unfavorable change in working capital as well as an increase in cash paid for interest and capital expenditures. As of December 31, 2018, the amount available under our credit facilities was approximately $2.8 billion and cash on hand was approximately $551 million. We expect to utilize free cash flow, cash on hand and availability under our credit facilities as well as future refinancing transactions to further extend the maturities of our obligations. The timing and terms of any refinancing transactions will be subject to market conditions among other considerations. Additionally, we may, from time to time, and depending on market conditions and other factors, use cash on hand and the proceeds from securities offerings or other borrowings to retire our debt through open market purchases, privately negotiated purchases, tender offers or redemption provisions. We


44



believe we have sufficient liquidity from cash on hand, free cash flow and Charter Operating’s revolving credit facility as well as access to the capital markets to fund our projected cash needs.

We continue to evaluate the deployment of our cash on hand and anticipated future free cash flow including to invest in our business growth and other strategic opportunities, including mergers and acquisitions as well as stock repurchases and dividends. Charter's target leverage of net debt to the last twelve months Adjusted EBITDA remains at 4 to 4.5 times, and up to 3.5 times at the Charter Operating level. Our leverage ratio was 4.5 as of December 31, 2018. We expect to increase the total amount of our indebtedness to maintain leverage within Charter's target leverage range. During the years ended December 31, 2018, 2017 and 2016, Charter purchased approximately 14.1 million, 33.4 million and 5.1 million shares, respectively, of Charter Class A common stock for approximately $4.3 billion, $11.6 billion and $1.3 billion, respectively.

In December 2017, Charter and A/N entered into an amendment to the letter agreement (the "Letter Agreement") that requires A/N to sell to Charter or to Charter Holdings, on a monthly basis, a number of shares of Charter Class A common stock or Charter Holdings common units that represents a pro rata participation by A/N and its affiliates in any repurchases of shares of Charter Class A common stock from persons other than A/N effected by Charter during the immediately preceding calendar month, at a purchase price equal to the average price paid by Charter for the shares repurchased from persons other than A/N during such immediately preceding calendar month. A/N and Charter both have the right to terminate or suspend the pro rata repurchase arrangement on a prospective basis once Charter or Charter Holdings have repurchased shares of Class A common stock or Charter Holdings common units from A/N and its affiliates for an aggregate purchase price of $400 million, which threshold has been reached. Charter Holdings purchased from A/N 2.1 million, 4.8 million and 0.8 million Charter Holdings common units at an average price per unit of $308.90, $347.03 and $289.83, or $656 million, $1.7 billion and $218 million during the years ended December 31, 2018, 2017 and 2016, respectively.

As of December 31, 2018, Charter had remaining board authority to purchase an additional $480 million of Charter’s Class A common stock and/or Charter Holdings common units. Charter is not obligated to acquire any particular amount of common stock, and the timing of any purchases that may occur cannot be predicted and will largely depend on market conditions and other potential uses of capital. Purchases may include open market purchases, tender offers or negotiated transactions.

As possible acquisitions, swaps or dispositions arise, we actively review them against our objectives including, among other considerations, improving the operational efficiency, geographic clustering of assets, product development or technology capabilities of our business and achieving appropriate return targets, and we may participate to the extent we believe these possibilities present attractive opportunities. However, there can be no assurance that we will actually complete any acquisitions, dispositions or system swaps, or that any such transactions will be material to our operations or results.

Recent Events

In January 2019, Charter Operating and Charter Communications Operating Capital Corp. jointly issued $1.25 billion aggregate principal amount of 5.050% senior notes due 2029 at a price of 99.935% of the aggregate principal amount and an additional $750 million aggregate principal amount of 5.75% senior notes due 2048 at a price of 94.970% of the aggregate principal amount. The net proceeds will be used to pay related fees and expenses and for general corporate purposes, including funding buybacks of Charter Class A common stock and Charter Holdings common units as well as to repay certain indebtedness, including to repay at maturity Time Warner Cable, LLC's 8.75% senior notes due 2019.

In January 2019, Charter Operating entered into an amendment to its Credit Agreement raising an additional $1.7 billion term loan A-3 and increasing revolving loan capacity to $4.75 billion as well as extending the maturities on a portion of the term loan A-2 and a portion of the revolving loan to 2024. Pricing on the new term loan A-3 is LIBOR plus 1.50%.
 


45



Free Cash Flow

Free cash flow decreased $1.9 billion and increased $774 million during the years ended December 31, 2018 and 2017 compared to the corresponding prior periods, respectively, due to the following.

 
2018 compared to 2017
 
2017 compared to 2016
Increase in Adjusted EBITDA
$
758

 
$
4,709

Decrease in merger and restructuring costs
210

 
420

Decrease in working capital, excluding change in accrued interest, net of effects from acquisitions
(1,899
)
 
(361
)
Increase in cash paid for interest, net
(447
)
 
(761
)
Increase in capital expenditures
(444
)
 
(3,356
)
Other, net
(99
)
 
123

 
$
(1,921
)
 
$
774


Free cash flow was reduced by $594 million due to mobile during the year ended December 31, 2018 compared to the corresponding prior period with impacts negatively affecting working capital, capital expenditures and Adjusted EBITDA. The decrease in working capital during the year ended December 31, 2018 compared to the corresponding prior period, excluding change in accrued interest, is primarily due to the timing of fourth quarter 2017 capital expenditures and other payments.

Contractual Obligations

The following table summarizes our payment obligations as of December 31, 2018 under our long-term debt and certain other contractual obligations and commitments (dollars in millions.) 
 
 
Payments by Period
 
 
Total
 
Less than 1 year
 
1-3 years
 
3-5 years
 
More than 5 years
Long-Term Debt Principal Payments (a)
 
$
71,961

 
$
3,457

 
$
6,114

 
$
11,847

 
$
50,543

Long-Term Debt Interest Payments (b)
 
44,573

 
3,800

 
7,035

 
6,329

 
27,409

Capital and Operating Lease Obligations (c)
 
1,611

 
296

 
479

 
332

 
504

Programming Minimum Commitments (d)
 
191

 
124

 
67

 

 

Other (e)
 
16,278

 
2,209

 
4,693

 
1,047

 
8,329

 
 
$
134,614

 
$
9,886

 
$
18,388

 
$
19,555

 
$
86,785


(a) 
The table presents maturities of long-term debt outstanding as of December 31, 2018. Refer to Notes 8 and 19 to our accompanying consolidated financial statements contained in “Part II. Item 8. Financial Statements and Supplementary Data” for a description of our long-term debt and other contractual obligations and commitments.
(b) 
Interest payments on variable debt are estimated using amounts outstanding at December 31, 2018 and the average implied forward LIBOR rates applicable for the quarter during the interest rate reset based on the yield curve in effect at December 31, 2018. Actual interest payments will differ based on actual LIBOR rates and actual amounts outstanding for applicable periods.
(c) 
We lease certain facilities and equipment under noncancelable capital and operating leases. Capital lease obligations represented $111 million of total capital and operating lease obligations as of December 31, 2018. Lease and rental costs charged to expense for the years ended December 31, 2018, 2017 and 2016, were $382 million, $321 million and $215 million, respectively.
(d) 
We pay programming fees under multi-year contracts typically based on a flat fee per customer, which may be fixed for the term, or may in some cases escalate over the term. Programming costs included in the accompanying statement of operations were approximately $11.1 billion, $10.6 billion and $7.0 billion, for the years ended December 31, 2018, 2017 and 2016, respectively. Certain of our programming agreements are based on a flat fee per month or have guaranteed minimum payments. The table sets forth the aggregate guaranteed minimum commitments under our programming contracts.
(e) 
“Other” represents other guaranteed minimum commitments, including rights negotiated directly with content owners for distribution on company-owned channels or networks, commitments related to our role as an advertising and distribution


46



sales agent for third party-owned channels or networks, commitments to our customer premise equipment and device vendors and contractual obligations related to third-party network augmentation.

The following items are not included in the contractual obligations table because the obligations are not fixed and/or determinable due to various factors discussed below. However, we incur these costs as part of our operations:

We rent utility poles used in our operations. Generally, pole rentals are cancelable on short notice, but we anticipate that such rentals will recur. Rent expense incurred for pole rental attachments for the years ended December 31, 2018, 2017 and 2016 was $171 million, $167 million and $115 million, respectively.
We pay franchise fees under multi-year franchise agreements based on a percentage of revenues generated from video service per year. We also pay other franchise related costs, such as public education grants, under multi-year agreements. Franchise fees and other franchise-related costs included in the accompanying statement of operations were $747 million, $705 million and $534 million for the years ended December 31, 2018, 2017 and 2016, respectively.
We have $358 million in letters of credit, of which $138 million is secured under the Charter Operating credit facility, primarily to our various casualty carriers as collateral for reimbursement of workers' compensation, auto liability and general liability claims.
Minimum pension funding requirements have not been presented in the table above as such amounts have not been determined beyond 2018. We made no cash contributions to the qualified pension plans in 2018; however, we are permitted to make discretionary cash contributions to the qualified pension plans in 2019. For the nonqualified pension plan, we contributed $6 million during 2018 and will continue to make contributions in 2019 to the extent benefits are paid.

See "Part I. Item 1. Business — Transaction-Related Commitments" for a listing of commitments as a result of the Transactions.

Historical Operating, Investing, and Financing Activities

Cash and Cash Equivalents. We held $551 million and $621 million in cash and cash equivalents as of December 31, 2018 and 2017, respectively. We also held $214 million in restricted cash as of December 31, 2018 representing escrowed funds of a consolidated variable interest entity. See Note 6 to the accompanying consolidated financial statements contained in “Item 1. Financial Statements.”

Operating Activities. Net cash provided by operating activities decreased $187 million during the year ended December 31, 2018 compared to the year ended December 31, 2017, primarily due to changes in working capital, excluding the change in accrued interest and accrued expenses related to capital expenditures, that used $609 million more cash and an increase in cash paid for interest, net of $447 million and cash paid for taxes of $65 million offset by an increase in Adjusted EBITDA of $758 million and a decrease in merger and restructuring costs of $210 million.

Net cash provided by operating activities increased $3.9 billion during the year ended December 31, 2017 compared to the year ended December 31, 2016, primarily due to an increase in Adjusted EBITDA of $4.7 billion offset by an increase in cash paid for interest, net of $761 million as a result of the Transactions and long-term debt issued for general corporate purposes including stock buybacks.

Investing Activities. Net cash used in investing activities for the years ended December 31, 2018, 2017 and 2016, was $9.7 billion, $8.1 billion and $33.6 billion, respectively. The changes in cash used were primarily due to increases in capital expenditures and changes in accrued expenses related to capital expenditures and the acquisition of Legacy TWC and Legacy Bright House in 2016.

Financing Activities. Net cash used in financing activities decreased $2.9 billion during the year ended December 31, 2018 compared to the year ended December 31, 2017 primarily due to a decrease in the purchase of treasury stock and noncontrolling interest offset by a decrease in the amount by which borrowings of long-term debt exceeded repayments.

Net cash used in financing activities increased $9.5 billion during the year ended December 31, 2017 compared to the year ended December 31, 2016 primarily due to increases in the purchase of treasury stock and noncontrolling interest as well as a decrease in equity issued offset by an increase in borrowings of long-term debt exceeding repayments.

Capital Expenditures

We have significant ongoing capital expenditure requirements.  Capital expenditures were $9.1 billion, $8.7 billion and $5.3 billion for the years ended December 31, 2018, 2017 and 2016, respectively.  The increase in 2018 compared to 2017 was primarily due to higher scalable infrastructure related to the timing of spend and planned product improvements, higher support capital investments due to the timing of spend and mobile and higher line extensions as a result of regulatory merger conditions, offset by a decrease


47



in CPE expenditures due to timing. On a pro forma basis, assuming the Transactions occurred as of January 1, 2015, the increase during 2017 as compared to 2016 was driven by higher CPE purchases for SPP, our all-digital initiative and early inventory purchases to operationally stage 2018 activity, higher support capital investments and line extensions. See the table below for more details.

We currently expect capital expenditures, excluding capital expenditures related to mobile, to be approximately $7 billion in 2019, versus $8.9 billion in 2018. Our expectation for lower capital expenditures in 2019 versus 2018, is primarily driven by our expectation for lower customer premise equipment spend with the completion of our all-digital conversion, lower scalable infrastructure spend with the completion of the roll-out of DOCSIS 3.1 technology across our footprint and lower support capital spend with the substantial completion of the integration of Legacy TWC and Legacy Bright House. The actual amount of our capital expenditures in 2019 will depend on a number of factors including further spend related to product development and growth rates of both our residential and commercial businesses.

Our capital expenditures are funded primarily from cash flows from operating activities and borrowings on our credit facility. In addition, our accrued liabilities related to capital expenditures decreased $470 million and increased $820 million and $603 million for the years ended December 31, 2018, 2017 and 2016, respectively.

The following tables present our major capital expenditures categories on an actual and pro forma basis, assuming the Transactions occurred as of January 1, 2015, in accordance with National Cable and Telecommunications Association (“NCTA”) disclosure guidelines for the years ended December 31, 2018, 2017 and 2016. These disclosure guidelines are not required disclosures under GAAP, nor do they impact our accounting for capital expenditures under GAAP (dollars in millions):

 
Year ended December 31,
 
2018
 
2017
 
2016
 
Actual
Customer premise equipment (a)
$
3,124

 
$
3,385

 
$
1,864

Scalable infrastructure (b)
2,227

 
2,007

 
1,390

Line extensions (c)
1,373

 
1,176

 
721

Upgrade/rebuild (d)
704

 
572

 
456

Support capital (e)
1,697

 
1,541

 
894

Total capital expenditures
$
9,125

 
$
8,681

 
$
5,325

 
 
 
 
 
 
Capital expenditures included in total related to:
 
 
 
 
 
Commercial services
$
1,313

 
$
1,305

 
$
824

All-digital transition
$
344

 
$
122

 
$

Mobile
$
242

 
$

 
$


 
Year ended December 31, 2016
 
Pro Forma
Customer premise equipment (a)
$
2,761

Scalable infrastructure (b)
2,009

Line extensions (c)
1,005

Upgrade/rebuild (d)
610

Support capital (e)
1,160

Total capital expenditures
$
7,545


(a) 
Customer premise equipment includes costs incurred at the customer residence to secure new customers and revenue generating units, including customer installation costs and customer premise equipment (e.g., set-top boxes and cable modems).
(b) 
Scalable infrastructure includes costs not related to customer premise equipment, to secure growth of new customers and revenue generating units, or provide service enhancements (e.g., headend equipment).
(c) 
Line extensions include network costs associated with entering new service areas (e.g., fiber/coaxial cable, amplifiers, electronic equipment, make-ready and design engineering).
(d) 
Upgrade/rebuild includes costs to modify or replace existing fiber/coaxial cable networks, including betterments.


48



(e) 
Support capital includes costs associated with the replacement or enhancement of non-network assets due to technological and physical obsolescence (e.g., non-network equipment, land, buildings and vehicles).

Debt

As of December 31, 2018, the accreted value of our total debt was approximately $72.8 billion, as summarized below (dollars in millions):
 
December 31, 2018
 
 
 
 
 
Principal Amount
 
Accreted Value (a)
 
Interest Payment Dates
 
Maturity Date (b)
CCO Holdings, LLC:
 
 
 
 
 
 
 
5.250% senior notes due 2021
$
500

 
$
498

 
3/15 & 9/15
 
3/15/2021
5.250% senior notes due 2022
1,250

 
1,238

 
3/30 & 9/30
 
9/30/2022
5.125% senior notes due 2023
1,000

 
994

 
2/15 & 8/15
 
2/15/2023
4.000% senior notes due 2023
500

 
496

 
3/1 & 9/1
 
3/1/2023
5.125% senior notes due 2023
1,150

 
1,144

 
5/1 & 11/1
 
5/1/2023
5.750% senior notes due 2023
500

 
497

 
3/1 & 9/1
 
9/1/2023
5.750% senior notes due 2024
1,000

 
993

 
1/15 & 7/15
 
1/15/2024
5.875% senior notes due 2024
1,700

 
1,688

 
4/1 & 10/1
 
4/1/2024
5.375% senior notes due 2025
750

 
745

 
5/1 & 11/1
 
5/1/2025
5.750% senior notes due 2026
2,500

 
2,467

 
2/15 & 8/15
 
2/15/2026
5.500% senior notes due 2026
1,500

 
1,490

 
5/1 & 11/1
 
5/1/2026
5.875% senior notes due 2027
800

 
795

 
5/1 & 11/1
 
5/1/2027
5.125% senior notes due 2027
3,250

 
3,219

 
5/1 & 11/1
 
5/1/2027
5.000% senior notes due 2028
2,500

 
2,466

 
2/1 & 8/1
 
2/1/2028
Charter Communications Operating, LLC:
 
 
 
 
 
 
 
3.579% senior notes due 2020
2,000

 
1,992

 
1/23 & 7/23
 
7/23/2020
4.464% senior notes due 2022
3,000

 
2,982

 
1/23 & 7/23
 
7/23/2022
Senior floating rate notes due 2024
900

 
903

 
2/1, 5/1, 8/1 & 11/1
 
2/1/2024
4.500% senior notes due 2024
1,100

 
1,091

 
2/1 & 8/1
 
2/1/2024
4.908% senior notes due 2025
4,500

 
4,466

 
1/23 & 7/23
 
7/23/2025
3.750% senior notes due 2028
1,000

 
986

 
2/15 & 8/15
 
2/15/2028
4.200% senior notes due 2028
1,250

 
1,240

 
3/15 & 9/15
 
3/15/2028
6.384% senior notes due 2035
2,000

 
1,982

 
4/23 & 10/23
 
10/23/2035
5.375% senior notes due 2038
800

 
785

 
4/1 & 10/1
 
4/1/2038
6.484% senior notes due 2045
3,500

 
3,467

 
4/23 & 10/23
 
10/23/2045
5.375% senior notes due 2047
2,500

 
2,506

 
5/1 & 11/1
 
5/1/2047
5.750% senior notes due 2048
1,700

 
1,683

 
4/1 & 10/1
 
4/1/2048
6.834% senior notes due 2055
500

 
495

 
4/23 & 10/23
 
10/23/2055
Credit facilities
10,038

 
9,959

 
 
 
Varies
Time Warner Cable, LLC:
 
 
 
 
 
 
 
8.750% senior notes due 2019
1,250

 
1,260

 
2/14 & 8/14
 
2/14/2019
8.250% senior notes due 2019
2,000

 
2,030

 
4/1 & 10/1
 
4/1/2019
5.000% senior notes due 2020
1,500

 
1,541

 
2/1 & 8/1
 
2/1/2020
4.125% senior notes due 2021
700

 
721

 
2/15 & 8/15
 
2/15/2021
4.000% senior notes due 2021
1,000

 
1,033

 
3/1 & 9/1
 
9/1/2021
5.750% sterling senior notes due 2031 (c)
796

 
855

 
6/2
 
6/2/2031
6.550% senior debentures due 2037
1,500

 
1,680

 
5/1 & 11/1
 
5/1/2037
7.300% senior debentures due 2038
1,500

 
1,780

 
1/1 & 7/1
 
7/1/2038
6.750% senior debentures due 2039
1,500

 
1,719

 
6/15 & 12/15
 
6/15/2039
5.875% senior debentures due 2040
1,200

 
1,256

 
5/15 & 11/15
 
11/15/2040
5.500% senior debentures due 2041
1,250

 
1,258

 
3/1 & 9/1
 
9/1/2041
5.250% sterling senior notes due 2042 (d)
827

 
798

 
7/15
 
7/15/2042


49



4.500% senior debentures due 2042
1,250

 
1,140

 
3/15 & 9/15
 
9/15/2042
Time Warner Cable Enterprises LLC:
 
 
 
 
 
 
 
8.375% senior debentures due 2023
1,000

 
1,191

 
3/15 & 9/15
 
3/15/2023
8.375% senior debentures due 2033
1,000

 
1,298

 
7/15 & 1/15
 
7/15/2033
 
$
71,961

 
$
72,827

 
 
 
 

(a) 
The accreted values presented in the table above represent the principal amount of the debt adjusted for original issue discount or premium at the time of sale, deferred financing costs, and, in regards to the Legacy TWC debt assumed, fair value premium adjustments as a result of applying acquisition accounting plus the accretion of those amounts to the balance sheet date. However, the amount that is currently payable if the debt becomes immediately due is equal to the principal amount of the debt. In regards to the Sterling Notes, the principal amount of the debt and any premium or discount is remeasured into US dollars as of each balance sheet date. We have availability under our credit facilities of approximately $2.8 billion as of December 31, 2018.
(b) 
In general, the obligors have the right to redeem all of the notes set forth in the above table in whole or in part at their option, beginning at various times prior to their stated maturity dates, subject to certain conditions, upon the payment of the outstanding principal amount (plus a specified redemption premium) and all accrued and unpaid interest.
(c) 
Principal amount includes £625 million valued at $796 million as of December 31, 2018 using the exchange rate as of December 31, 2018.
(d) 
Principal amount includes £650 million valued at $827 million as of December 31, 2018 using the exchange rate as of December 31, 2018.

See Note 8 to the accompanying consolidated financial statements contained in “Part II. Item 8. Financial Statements and Supplementary Data” for further details regarding our outstanding debt and other financing arrangements, including certain information about maturities, covenants and restrictions related to such debt and financing arrangements. The agreements and instruments governing our debt and financing arrangements are complicated and you should consult such agreements and instruments which are filed with the SEC for more detailed information.

At December 31, 2018, Charter Operating had a consolidated leverage ratio of approximately 3.1 to 1.0 and a consolidated first lien leverage ratio of 3.0 to 1.0. Both ratios are in compliance with the ratios required by the Charter Operating credit facilities of 5.0 to 1.0 consolidated leverage ratio and 4.0 to 1.0 consolidated first lien leverage ratio. A failure by Charter Operating to maintain the financial covenants would result in an event of default under the Charter Operating credit facilities and the debt of CCO Holdings. See “Part I. Item 1A. Risk Factors — The agreements and instruments governing our debt contain restrictions and limitations that could significantly affect our ability to operate our business, as well as significantly affect our liquidity.”

Recently Issued Accounting Standards

See Note 21 to the accompanying consolidated financial statements contained in “Part II. Item 8. Financial Statements and Supplementary Data” for a discussion of recently issued accounting standards.

Item 7A.     Quantitative and Qualitative Disclosures About Market Risk.

We use derivative instruments to manage foreign exchange risk on the Sterling Notes, and do not hold or issue derivative instruments for speculative trading purposes.

Cross-currency derivative instruments are used to effectively convert £1.275 billion aggregate principal amount of fixed-rate British pound sterling denominated debt, including annual interest payments and the payment of principal at maturity, to fixed-rate U.S. dollar denominated debt. The cross-currency derivative instruments have maturities of June 2031 and July 2042. We are required to post collateral on the cross-currency derivative instruments when such instruments are in a liability position. In May 2016, we entered into a collateral holiday agreement for 80% of both the 2031 and 2042 cross-currency swaps, which eliminates the requirement to post collateral for three years. The fair value of our cross-currency derivatives included in other long-term liabilities on our consolidated balance sheets was $237 million and $25 million as of December 31, 2018 and 2017, respectively. For more information, see Note 11 to the accompanying consolidated financial statements contained in “Part II. Item 8. Financial Statements and Supplementary Data.”
    
As of December 31, 2018 and 2017, the weighted average interest rate on the credit facility debt and floating rate notes was approximately 4.3% and 3.4%, respectively, and the weighted average interest rate on the senior notes was approximately 5.6% and 5.7%, respectively, resulting in a blended weighted average interest rate of 5.4% and 5.4%, respectively.  The interest rate on


50



approximately 85% and 86% of the total principal amount of our debt was effectively fixed as of December 31, 2018 and 2017, respectively.
 
The table set forth below summarizes the fair values and contract terms of financial instruments subject to interest rate risk maintained by us as of December 31, 2018 (dollars in millions):

 
 
2019
 
2020
 
2021
 
2022
 
2023
 
Thereafter
 
Total
 
Fair Value
Debt:
 
 
 
 
 
 
 
 
 
 
 
 
 
 
 
 
Fixed Rate
 
$
3,250

 
$
3,500

 
$
2,200

 
$
4,250

 
$
4,150

 
$
43,673

 
$
61,023

 
$
60,204

Average Interest Rate
 
8.44
%
 
4.19
%
 
4.32
%
 
4.70
%
 
5.85
%
 
5.65
%
 
5.61
%
 
 
 
 
 
 
 
 
 
 
 
 
 
 
 
 
 
 
 
Variable Rate
 
$
207

 
$
207

 
$
207

 
$
207

 
$
3,240

 
$
6,870

 
$
10,938

 
$
10,491

Average Interest Rate
 
4.19
%
 
4.01
%
 
3.94
%
 
3.96
%
 
3.91
%
 
4.52
%
 
4.30
%
 
 

Interest rates on variable-rate debt are estimated using the average implied forward LIBOR for the year of maturity based on the yield curve in effect at December 31, 2018 including applicable bank spread.

Item 8. Financial Statements and Supplementary Data.

Our consolidated financial statements, the related notes thereto, and the reports of independent accountants are included in this annual report beginning on page F-1.

Item 9. Changes in and Disagreements with Accountants on Accounting and Financial Disclosure.

None.

Item 9A. Controls and Procedures.

Conclusion Regarding the Effectiveness of Disclosure Controls and Procedures

As of the end of the period covered by this report, under the supervision and with the participation of our management, including our Chief Executive Officer and Chief Financial Officer, we have evaluated the effectiveness of the design and operation of disclosure controls and procedures with respect to the information generated for use in this annual report. The evaluation was based upon reports and certifications provided by a number of executives. Based on, and as of the date of that evaluation, our Chief Executive Officer and Chief Financial Officer concluded that the disclosure controls and procedures were effective to provide reasonable assurances that information required to be disclosed in the reports we file or submit under the Securities Exchange Act of 1934 is recorded, processed, summarized and reported within the time periods specified in the SEC’s rules and forms.

In designing and evaluating the disclosure controls and procedures, our management recognized that any controls and procedures, no matter how well designed and operated, can provide only reasonable, not absolute, assurance of achieving the desired control objectives, and management necessarily was required to apply its judgment in evaluating the cost-benefit relationship of possible controls and procedures. Based upon the above evaluation, we believe that our controls provide such reasonable assurances.

During the quarter ended December 31, 2018, there was no change in our internal control over financial reporting that has materially affected, or is reasonably likely to materially affect, our internal control over financial reporting.

Management’s Report on Internal Control Over Financial Reporting

Our management is responsible for establishing and maintaining adequate internal control over financial reporting (as defined in Rule 13a-15(f) under the Exchange Act) for the Company. Our internal control system was designed to provide reasonable assurance to our management and board of directors regarding the preparation and fair presentation of published financial statements.

Management has assessed the effectiveness of our internal control over financial reporting as of December 31, 2018. In making this assessment, we used the criteria set forth by the Committee of Sponsoring Organizations of the Treadway Commission


51



(“COSO”) in Internal Control — Integrated Framework (2013). Based on management’s assessment utilizing these criteria we believe that, as of December 31, 2018, our internal control over financial reporting was effective.

Our independent auditors, KPMG LLP, have audited our internal control over financial reporting as stated in their report on page F-2.

Item 9B. Other Information.

None.






52



PART III

Item 10. Directors, Executive Officers and Corporate Governance.

The information required by Item 10 will be included in the Proxy Statement under the headings “Election of Class A Directors,” “Section 16(a) Beneficial Ownership Reporting Requirements,” and “Code of Ethics,” or in amendment to this Annual Report on Form 10-K and is incorporated herein by reference.

Item 11. Executive Compensation.
 
The information required by Item 11 will be included in the Proxy Statement under the headings “Executive Compensation,” “Election of Class A Directors – Director Compensation” and “Compensation Discussion and Analysis,” or in an amendment to this Annual Report on Form 10-K and is incorporated herein by reference. Information contained in the Proxy Statement or an amendment to this Annual Report on Form 10-K under the caption “Report of Compensation and Benefits Committee” is furnished and not deemed filed with the SEC.

Item 12. Security Ownership of Certain Beneficial Owners and Management and Related Stockholder Matters.
 
The information required by Item 12 will be included in the Proxy Statement under the heading “Security Ownership of Certain Beneficial Owners and Management” or in amendment to this Annual Report on Form 10-K and is incorporated herein by reference.

Item 13. Certain Relationships and Related Transactions, and Director Independence.
 
The information required by Item 13 will be included in the Proxy Statement under the heading “Certain Relationships and Related Transactions” and “Election of Class A Directors” or in amendment to this Annual Report on Form 10-K and is incorporated herein by reference.

Item 14. Principal Accounting Fees and Services.
 
The information required by Item 14 will be included in the Proxy Statement under the heading “Accounting Matters” or in amendment to this Annual Report on Form 10-K and is incorporated herein by reference.



53



PART IV

Item 15. Exhibits and Financial Statement Schedules.

(a)
The following documents are filed as part of this annual report:

(1)
Financial Statements.

A listing of the financial statements, notes and reports of independent public accountants required by "Part II. Item 8. Financial Statements and Supplementary Data" begins on page F-1 of this annual report.

(2)
Financial Statement Schedules.

No financial statement schedules are required to be filed by Items 8 and 15(c) because they are not required or are not applicable, or the required information is set forth in the applicable financial statements or notes thereto.

(3)
The index to the exhibits begins on page E-1 of this annual report.



54



SIGNATURES

Pursuant to the requirements of Section 13 or 15(d) of the Securities Exchange Act of 1934, Charter Communications, Inc. has duly caused this annual report to be signed on its behalf by the undersigned, thereunto duly authorized.

 
 
CHARTER COMMUNICATIONS, INC.,
 
 
Registrant
 
 
 
 
 
 
 
By:
 
/s/ Thomas M. Rutledge
 
 
 
 
Thomas M. Rutledge
 
 
 
 
Chairman and Chief Executive Officer
Date: January 31, 2019
 
 
 
 


S- 1




POWER OF ATTORNEY

KNOW ALL MEN BY THESE PRESENTS, that each person whose signature appears below constitutes and appoints Richard R. Dykhouse and Kevin D. Howard, and each of them (with full power to each of them to act alone), his or her true and lawful attorney-in-fact and agent, with full power of substitution and resubstitution, for him or her and in his or her name, place and stead, in any and all capacities, to sign on his or her behalf individually and in each capacity stated below any and all amendments (including post-effective amendments) to this annual report, and to file the same, with all exhibits thereto and other documents in connection therewith, with the Securities and Exchange Commission, granting unto said attorneys-in-fact and agents, and each of them, full power and authority to do and perform each and every act and thing requisite and necessary to be done in and about the premises, as fully to all intents and purposes as he or she might or could do in person, hereby ratifying and confirming all that said attorneys-in-fact and agents and either of them, or their substitutes, may lawfully do or cause to be done by virtue hereof.

Pursuant to the requirements of the Securities Exchange Act of 1934, this report has been signed below by the following persons on behalf of Charter Communications, Inc. and in the capacities and on the dates indicated.

Signature
Title
Date
 
 
 
/s/ Thomas M. Rutledge     
Thomas M. Rutledge
Chairman, Chief Executive Officer, Director
(Principal Executive Officer)
January 31, 2019
 
 
 
/s/ Christopher L. Winfrey     
Christopher L. Winfrey
Chief Financial Officer (Principal Financial Officer)
January 31, 2019
 
 
 
/s/ Kevin D. Howard      
Kevin D. Howard
Senior Vice President – Finance, Controller and Chief Accounting Officer (Principal Accounting Officer)
January 31, 2019
 
 
 
/s/ Eric L. Zinterhofer     
Eric L. Zinterhofer
Director
January 31, 2019
 
 
 
/s/ W. Lance Conn     
W. Lance Conn
Director
January 31, 2019
 
 
 
/s/ Kim C. Goodman     
Kim C. Goodman
Director
January 31, 2019
 
 
 
/s/ Craig A. Jacobson     
Craig A. Jacobson
Director
January 31, 2019
 
 
 
/s/ Gregory Maffei     
Gregory Maffei
Director
January 31, 2019
 
 
 
/s/ John D. Markley, Jr.     
John D. Markley, Jr.
Director
January 31, 2019
 
 
 
/s/ David C. Merritt     
David C. Merritt
Director
January 31, 2019
 
 
 
/s/ James E. Meyer     
James E. Meyer
Director
January 31, 2019
 
 
 
/s/ Steven Miron     
Steven Miron
Director
January 31, 2019
 
 
 
/s/ Balan Nair     
Balan Nair
Director
January 31, 2019
 
 
 
/s/ Michael Newhouse     
Michael Newhouse
Director
January 31, 2019
 
 
 
/s/ Mauricio Ramos     
Mauricio Ramos
Director
January 31, 2019

S- 2




Exhibit Index

Exhibits are listed by numbers corresponding to the Exhibit Table of Item 601 in Regulation S-K.
Exhibit
 
Description
 
 
 
2.1
 
2.2
 
3.1
 
3.2
 
3.3
 

4.1(a)
 
4.1(b)
 
10.1
 
10.2
 
10.3
 
10.4
 
10.5
 
10.6
 
10.7
 

E- 1




10.8
 
10.9
 
10.10
 
10.11
 
10.12
 
10.13
 
10.14
 
10.15
 
10.16
 
10.17
 
10.18
 
10.19
 
10.20
 

E- 2




10.21
 
10.22
 
10.23
 
10.24
 
10.25
 
10.26
 
10.27
 
10.28
 
10.29
 
10.30
 
10.31
 
10.32
 
10.33
 

E- 3




10.34
 
10.35
 
10.36
 
10.37
 
10.38
 
10.39
 
10.40
 
10.41
 
10.42
 
10.43
 
10.44
 
10.45
 
10.46
 


E- 4




10.47
 
10.48
 
10.49
 
10.50
 
10.51
 
Indenture, dated as of April 30, 1992 (the “TWCE Indenture”), as amended by the First Supplemental Indenture, dated as of June 30, 1992, among Time Warner Entertainment Company, L.P. (“TWE”), Time Warner Companies, Inc. (“TWCI”), certain of TWCI’s subsidiaries that are parties thereto and The Bank of New York, as Trustee (incorporated herein by reference to Exhibits 10(g) and 10(h) to TWCI’s current report on Form 8-K dated June 26, 1992 and filed with the SEC on July 15, 1992 (File No. 1-8637)). (P)
10.52
 
Second Supplemental Indenture to the TWCE Indenture, dated as of December 9, 1992, among TWE, TWCI, certain of TWCI’s subsidiaries that are parties thereto and The Bank of New York, as Trustee (incorporated herein by reference to Exhibit 4.2 to Amendment No. 1 to TWE’s Registration Statement on Form S-4 dated and filed with the SEC on October 25, 1993 (Registration No. 33-67688) (the “TWE October 25, 1993 Registration Statement”)). (P)
10.53
 
Third Supplemental Indenture to the TWCE Indenture, dated as of October 12, 1993, among TWE, TWCI, certain of TWCI’s subsidiaries that are parties thereto and The Bank of New York, as Trustee (incorporated herein by reference to Exhibit 4.3 to the TWE October 25, 1993 Registration Statement). (P)
10.54
 
Fourth Supplemental Indenture to the TWCE Indenture, dated as of March 29, 1994, among TWE, TWCI, certain of TWCI’s subsidiaries that are parties thereto and The Bank of New York, as Trustee (incorporated herein by reference to Exhibit 4.4 to TWE’s Annual Report on Form 10-K for the year ended December 31, 1993 and filed with the SEC on March 30, 1994 (File No. 1-12878)). (P)
10.55
 
Fifth Supplemental Indenture to the TWCE Indenture, dated as of December 28, 1994, among TWE, TWCI, certain of TWCI’s subsidiaries that are parties thereto and The Bank of New York, as Trustee (incorporated herein by reference to Exhibit 4.5 to TWE’s Annual Report on Form 10-K for the year ended December 31, 1994 and filed with the SEC on March 30, 1995 (File No. 1-12878)). (P)
10.56
 
10.57
 
10.58
 
10.59
 
10.60
 

E- 5




10.61
 
10.62
 
10.63
 
10.64
 
10.65
 
10.66
 
10.67
 
10.68
 
10.69
 
10.70
 
10.71
 
10.72
 
10.73
 
10.74
 
10.75
 
10.76
 
10.77
 
10.78
 
10.79
 
10.80
 

E- 6




10.81
 
10.82
 
10.83
 
10.84
 
10.85
 
10.86(a)
 
10.86(b)
 
10.86(c)
 
10.86(d)
 
10.87
 
10.88
 
10.89
 
10.90
 
10.91
 
10.92
 

E- 7




10.93
 
10.94
 
10.95
 
10.96
 
10.97+
 
10.98+
 
10.99+
 
10.100+
 
10.101+
 
10.102+
 
10.103+
 
10.104+
 
10.105+
 
10.106+
 
10.107+
 
10.108+
 
10.109+
 
10.110(a)+
 
10.110(b)+
 
10.110(c)+
 

E- 8




10.111(a)+
 
10.111(b)+
 
10.111(c)+
 
10.112+
 
10.113+
 
10.114+
 
10.115+
 
10.116+
 
10.117+
 
10.118+
 
10.119+
 
10.120+
 
10.121+
 
10.122
 
10.123
 
21.1*
 
23.1*
 
31.1*
 
31.2*
 
32.1*
 
32.2*
 

E- 9




101
 
The following financial information from the Annual Report of Charter Communications, Inc. on Form 10-K for the year ended December 31, 2018, filed with the SEC on January 31, 2019, formatted in eXtensible Business Reporting Language: (i) Consolidated Balance Sheets, (ii) Consolidated Statements of Operations, (iii) Consolidated Statements of Comprehensive Income, (iv) Consolidated Statements of Changes in Shareholders’ Equity (Deficit), (v) Consolidated Statements of Cash Flows, and (vi) Notes to Consolidated Financial Statements.
_____________
*    Filed herewith.
+    Management compensatory plan or arrangement

E- 10




INDEX TO FINANCIAL STATEMENTS




F- 1







Report of Independent Registered Public Accounting Firm


To the Shareholders and Board of Directors
Charter Communications, Inc.:

Opinions on the Consolidated Financial Statements and Internal Control Over Financial Reporting

We have audited the accompanying consolidated balance sheets of Charter Communications, Inc. and subsidiaries (the Company) as of December 31, 2018 and 2017, the related consolidated statements of operations, comprehensive income, changes in shareholders’ equity (deficit), and cash flows for each of the years in the three-year period ended December 31, 2018, and the related notes (collectively, the consolidated financial statements). We also have audited the Company’s internal control over financial reporting as of December 31, 2018, based on criteria established in Internal Control - Integrated Framework (2013) issued by the Committee of Sponsoring Organizations of the Treadway Commission.

In our opinion, the consolidated financial statements referred to above present fairly, in all material respects, the financial position of the Company as of December 31, 2018 and 2017, and the results of its operations and its cash flows for each of the years in the three-year period ended December 31, 2018, in conformity with U.S. generally accepted accounting principles. Also in our opinion, the Company maintained, in all material respects, effective internal control over financial reporting as of December 31, 2018, based on criteria established in Internal Control - Integrated Framework (2013) issued by the Committee of Sponsoring Organizations of the Treadway Commission.

Basis for Opinions

The Company’s management is responsible for these consolidated financial statements, for maintaining effective internal control over financial reporting, and for its assessment of the effectiveness of internal control over financial reporting, included in the accompanying Management’s Report on Internal Control Over Financial Reporting. Our responsibility is to express an opinion on the Company’s consolidated financial statements and an opinion on the Company’s internal control over financial reporting based on our audits. We are a public accounting firm registered with the Public Company Accounting Oversight Board (United States) (PCAOB) and are required to be independent with respect to the Company in accordance with the U.S. federal securities laws and the applicable rules and regulations of the Securities and Exchange Commission and the PCAOB.

We conducted our audits in accordance with the standards of the PCAOB. Those standards require that we plan and perform the audits to obtain reasonable assurance about whether the consolidated financial statements are free of material misstatement, whether due to error or fraud, and whether effective internal control over financial reporting was maintained in all material respects.

Our audits of the consolidated financial statements included performing procedures to assess the risks of material misstatement of the consolidated financial statements, whether due to error or fraud, and performing procedures that respond to those risks. Such procedures included examining, on a test basis, evidence regarding the amounts and disclosures in the consolidated financial statements. Our audits also included evaluating the accounting principles used and significant estimates made by management, as well as evaluating the overall presentation of the consolidated financial statements. Our audit of internal control over financial reporting included obtaining an understanding of internal control over financial reporting, assessing the risk that a material weakness exists, and testing and evaluating the design and operating effectiveness of internal control based on the assessed risk. Our audits also included performing such other procedures as we considered necessary in the circumstances. We believe that our audits provide a reasonable basis for our opinions.

Definition and Limitations of Internal Control Over Financial Reporting

A company’s internal control over financial reporting is a process designed to provide reasonable assurance regarding the reliability of financial reporting and the preparation of financial statements for external purposes in accordance with generally accepted accounting principles. A company’s internal control over financial reporting includes those policies and procedures that (1) pertain to the maintenance of records that, in reasonable detail, accurately and fairly reflect the transactions and dispositions of the assets of the company; (2) provide reasonable assurance that transactions are recorded as necessary to permit preparation of financial statements in accordance with generally accepted accounting principles, and that receipts and expenditures of the company are being made only in accordance with authorizations of management and directors of the company; and (3) provide reasonable


F- 2



assurance regarding prevention or timely detection of unauthorized acquisition, use, or disposition of the company’s assets that could have a material effect on the financial statements.

Because of its inherent limitations, internal control over financial reporting may not prevent or detect misstatements. Also, projections of any evaluation of effectiveness to future periods are subject to the risk that controls may become inadequate because of changes in conditions, or that the degree of compliance with the policies or procedures may deteriorate.



(signed) KPMG LLP


We have served as the Company’s auditor since 2002.

St. Louis, Missouri
January 30, 2019



F- 3



CHARTER COMMUNICATIONS, INC. AND SUBSIDIARIES
CONSOLIDATED BALANCE SHEETS
(dollars in millions, except share data)

 
December 31,
 
2018
 
2017
ASSETS
 
 
 
CURRENT ASSETS:
 
 
 
Cash and cash equivalents
$
551

 
$
621

Accounts receivable, less allowance for doubtful accounts of
 
 
 
$129 and $113, respectively
1,733

 
1,635

Prepaid expenses and other current assets
446

 
299

Total current assets
2,730

 
2,555

 
 
 
 
RESTRICTED CASH
214

 

 
 
 
 
INVESTMENT IN CABLE PROPERTIES:
 
 
 
Property, plant and equipment, net of accumulated
 
 
 
depreciation of $23,075 and $18,077, respectively
35,126

 
33,888

Customer relationships, net
9,565

 
11,951

Franchises
67,319

 
67,319

Goodwill
29,554

 
29,554

Total investment in cable properties, net
141,564

 
142,712

 
 
 
 
OTHER NONCURRENT ASSETS
1,622

 
1,356

 
 
 
 
Total assets
$
146,130

 
$
146,623

 
 
 
 
LIABILITIES AND SHAREHOLDERS’ EQUITY
 
 
 
CURRENT LIABILITIES:
 
 
 
Accounts payable and accrued liabilities
$
8,805

 
$
9,045

Current portion of long-term debt
3,290

 
2,045

Total current liabilities
12,095

 
11,090

 
 
 
 
LONG-TERM DEBT
69,537

 
68,186

DEFERRED INCOME TAXES
17,389

 
17,314

OTHER LONG-TERM LIABILITIES
2,837

 
2,502

 
 
 
 
SHAREHOLDERS’ EQUITY:
 
 
 
Class A common stock; $.001 par value; 900 million shares authorized;
 
 
 
225,353,807 and 238,506,059 shares issued and outstanding, respectively

 

Class B common stock; $.001 par value; 1,000 shares authorized;
 
 
 
1 share issued and outstanding

 

Preferred stock; $.001 par value; 250 million shares authorized;
 
 
 
no shares issued and outstanding

 

Additional paid-in capital
33,507

 
35,253

Retained earnings
2,780

 
3,832

Accumulated other comprehensive loss
(2
)
 
(1
)
Total Charter shareholders’ equity
36,285

 
39,084

Noncontrolling interests
7,987

 
8,447

Total shareholders’ equity
44,272

 
47,531

 
 
 
 
Total liabilities and shareholders’ equity
$
146,130

 
$
146,623


The accompanying notes are an integral part of these consolidated financial statements.
F- 4



CHARTER COMMUNICATIONS, INC. AND SUBSIDIARIES
CONSOLIDATED STATEMENTS OF OPERATIONS
(dollars in millions, except per share and share data)

 
Year Ended December 31,
 
2018
 
2017
 
2016
REVENUES
$
43,634

 
$
41,581

 
$
29,003

 
 
 
 
 
 
COSTS AND EXPENSES:
 
 
 
 
 
Operating costs and expenses (exclusive of items shown separately below)
27,860

 
26,541

 
18,655

Depreciation and amortization
10,318

 
10,588

 
6,907

Other operating expenses, net
235

 
346

 
985

 
38,413

 
37,475

 
26,547

Income from operations
5,221

 
4,106

 
2,456

 
 
 
 
 
 
OTHER EXPENSES:
 
 
 
 
 
Interest expense, net
(3,540
)
 
(3,090
)
 
(2,499
)
Loss on extinguishment of debt

 
(40
)
 
(111
)
Gain (loss) on financial instruments, net
(110
)
 
69

 
89

Other pension benefits
192

 
1

 
899

Other expense, net
(77
)
 
(18
)
 
(14
)
 
(3,535
)
 
(3,078
)
 
(1,636
)
 
 
 
 
 
 
Income before income taxes
1,686

 
1,028

 
820

Income tax benefit (expense)
(180
)
 
9,087

 
2,925

Consolidated net income
1,506

 
10,115

 
3,745

Less: Net income attributable to noncontrolling interests
(276
)
 
(220
)
 
(223
)
Net income attributable to Charter shareholders
$
1,230

 
$
9,895

 
$
3,522

 
 
 
 
 
 
EARNINGS PER COMMON SHARE ATTRIBUTABLE TO CHARTER SHAREHOLDERS:
 
 
 
 
 
Basic
$
5.29

 
$
38.55

 
$
17.05

Diluted
$
5.22

 
$
34.09

 
$
15.94

 
 
 
 
 
 
WEIGHTED AVERAGE COMMON SHARES OUTSTANDING:
 
 
 
 
 
Basic
232,356,665

 
256,720,715

 
206,539,100

Diluted
235,525,226

 
296,703,956

 
234,791,439



The accompanying notes are an integral part of these consolidated financial statements.
F- 5



CHARTER COMMUNICATIONS, INC. AND SUBSIDIARIES
CONSOLIDATED STATEMENTS OF COMPREHENSIVE INCOME
(dollars in millions)

 
Year Ended December 31,
 
2018
 
2017
 
2016
Consolidated net income
$
1,506

 
$
10,115

 
$
3,745

Net impact of interest rate derivative instruments

 
5

 
8

Foreign currency translation adjustment
(1
)
 
1

 
(2
)
Consolidated comprehensive income
1,505

 
10,121

 
3,751

Less: Comprehensive income attributable to noncontrolling interests
(276
)
 
(220
)
 
(223
)
Comprehensive income attributable to Charter shareholders
$
1,229

 
$
9,901

 
$
3,528



The accompanying notes are an integral part of these consolidated financial statements.
F- 6



CHARTER COMMUNICATIONS, INC. AND SUBSIDIARIES
CONSOLIDATED STATEMENTS OF CHANGES IN SHAREHOLDERS’ EQUITY (DEFICIT)
(dollars in millions)
 
Class A Common Stock
Class B Common Stock
Additional Paid-in Capital
Retained Earnings (Accumulated Deficit)
Accumulated Other Comprehensive Loss
Total Charter Shareholders’ Equity (Deficit)
Non-controlling Interests
Total Shareholders’ Equity (Deficit)
BALANCE, December 31, 2015
$

$

$
2,028

$
(2,061
)
$
(13
)
$
(46
)
$

$
(46
)
Consolidated net income



3,522


3,522

223

3,745

Stock compensation expense


244



244


244

Accelerated vesting of equity awards


248



248


248

Settlement of restricted stock units


(59
)


(59
)

(59
)
Exercise of stock options


86



86


86

Changes in accumulated other comprehensive loss, net




6

6


6

Purchases and retirement of treasury stock


(834
)
(728
)

(1,562
)

(1,562
)
Issuance of shares to Liberty Broadband for cash


5,000



5,000


5,000

Converted TWC awards in the TWC Transaction


514



514


514

Issuance of shares in TWC Transaction


32,164



32,164


32,164

Issuance of subsidiary equity in Bright House Transaction






10,134

10,134

Partnership formation and change in ownership, net of tax


(364
)


(364
)
589

225

Purchase of noncontrolling interest, net of tax


(19
)


(19
)
(187
)
(206
)
Exchange of Charter Holdings units held by A/N, net of tax and TRA effects


405



405

(460
)
(55
)
Distributions to noncontrolling interest






(96
)
(96
)
Noncontrolling interests assumed in acquisitions






24

24

BALANCE, December 31, 2016


39,413

733

(7
)
40,139

10,227

50,366

Consolidated net income



9,895


9,895

220

10,115

Stock compensation expense


261



261


261

Accelerated vesting of equity awards


49



49


49

Exercise of stock options


116



116


116

Changes in accumulated other comprehensive loss, net




6

6


6

Cumulative effect of accounting change


9

131


140


140

Purchases and retirement of treasury stock


(4,788
)
(6,927
)

(11,715
)

(11,715
)
Purchase of noncontrolling interest, net of tax


(295
)


(295
)
(1,187
)
(1,482
)
Exchange of Charter Holdings units held by A/N, net of tax and TRA effects


265



265

(298
)
(33
)
Change in noncontrolling interest ownership, net of tax


223



223

(362
)
(139
)
Distributions to noncontrolling interest






(153
)
(153
)
BALANCE, December 31, 2017


35,253

3,832

(1
)
39,084

8,447

47,531

Consolidated net income



1,230


1,230

276

1,506

Stock compensation expense


285



285


285

Accelerated vesting of equity awards


5



5


5

Exercise of stock options


69



69


69

Changes in accumulated other comprehensive loss, net




(1
)
(1
)

(1
)
Cumulative effect of accounting changes



62


62

7

69

Purchases and retirement of treasury stock


(2,055
)
(2,344
)

(4,399
)

(4,399
)
Purchase of noncontrolling interest, net of tax


(104
)


(104
)
(518
)
(622
)
Change in noncontrolling interest ownership, net of tax


54



54

(72
)
(18
)
Distributions to noncontrolling interest






(153
)
(153
)
BALANCE, December 31, 2018
$

$

$
33,507

$
2,780

$
(2
)
$
36,285

$
7,987

$
44,272


The accompanying notes are an integral part of these consolidated financial statements.
F- 7



CHARTER COMMUNICATIONS, INC. AND SUBSIDIARIES
CONSOLIDATED STATEMENTS OF CASH FLOWS
(dollars in millions)
 
Year Ended December 31,
 
2018
 
2017
 
2016
CASH FLOWS FROM OPERATING ACTIVITIES:
 
 
 
 
 
Consolidated net income
$
1,506

 
$
10,115

 
$
3,745

Adjustments to reconcile consolidated net income to net cash flows from operating activities:
 
 
 
 
 
Depreciation and amortization
10,318

 
10,588

 
6,907

Stock compensation expense
285

 
261

 
244

Accelerated vesting of equity awards
5

 
49

 
248

Noncash interest income, net
(307
)
 
(370
)
 
(256
)
Other pension benefits
(192
)
 
(1
)
 
(899
)
Loss on extinguishment of debt

 
40

 
111

(Gain) loss on financial instruments, net
110

 
(69
)
 
(89
)
Deferred income taxes
110

 
(9,116
)
 
(2,958
)
Other, net
175

 
16

 
8

Changes in operating assets and liabilities, net of effects from acquisitions and dispositions:
 
 
 
 
 
Accounts receivable
(98
)
 
(84
)
 
(160
)
Prepaid expenses and other assets
(270
)
 
76

 
111

Accounts payable, accrued liabilities and other
125

 
449

 
1,029

Net cash flows from operating activities
11,767

 
11,954

 
8,041

CASH FLOWS FROM INVESTING ACTIVITIES:
 
 
 
 
 
Purchases of property, plant and equipment
(9,125
)
 
(8,681
)
 
(5,325
)
Change in accrued expenses related to capital expenditures
(470
)
 
820

 
603

Purchases of cable systems, net

 
(9
)
 
(28,810
)
Real estate investments through variable interest entities
(21
)
 
(105
)
 

Other, net
(120
)
 
(123
)
 
(22
)
Net cash flows from investing activities
(9,736
)
 
(8,098
)
 
(33,554
)
CASH FLOWS FROM FINANCING ACTIVITIES:
 
 
 
 
 
Borrowings of long-term debt
13,820

 
25,276

 
12,344

Repayments of long-term debt
(10,769
)
 
(16,507
)
 
(10,521
)
Payments for debt issuance costs
(29
)
 
(111
)
 
(284
)
Issuance of equity

 

 
5,000

Purchase of treasury stock
(4,399
)
 
(11,715
)
 
(1,562
)
Proceeds from exercise of stock options
69

 
116

 
86

Settlement of restricted stock units

 

 
(59
)
Purchase of noncontrolling interest
(656
)
 
(1,665
)
 
(218
)
Distributions to noncontrolling interest
(153
)
 
(153
)
 
(96
)
Borrowings for real estate investments through variable interest entities
342

 

 

Distributions to variable interest entities noncontrolling interest
(107
)
 

 

Proceeds from termination of interest rate derivatives

 

 
88

Other, net
(5
)
 
(11
)
 
1

Net cash flows from financing activities
(1,887
)
 
(4,770
)
 
4,779

NET INCREASE (DECREASE) IN CASH, CASH EQUIVALENTS AND RESTRICTED CASH
144

 
(914
)
 
(20,734
)
CASH, CASH EQUIVALENTS AND RESTRICTED CASH, beginning of period
621

 
1,535

 
22,269

CASH, CASH EQUIVALENTS AND RESTRICTED CASH, end of period
$
765

 
$
621

 
$
1,535

 
 
 
 
 
 
CASH PAID FOR INTEREST
$
3,865

 
$
3,421

 
$
2,685

CASH PAID FOR TAXES
$
45

 
$
41

 
$
63


The accompanying notes are an integral part of these consolidated financial statements.
F- 8


CHARTER COMMUNICATIONS, INC. AND SUBSIDIARIES
NOTES TO CONSOLIDATED FINANCIAL STATEMENTS
DECEMBER 31, 2018, 2017 AND 2016
(dollars in millions, except share or per share data or where indicated)


1.    Organization and Basis of Presentation

Organization

Charter Communications, Inc. (together with its controlled subsidiaries, “Charter,” or the “Company”) is the second largest cable operator in the United States and a leading broadband communications company providing video, Internet and voice services to residential and small and medium business customers. The Company also recently launched its mobile service to residential customers. In addition, the Company sells video and online advertising inventory to local, regional and national advertising customers and fiber-delivered communications and managed information technology solutions to larger enterprise customers. The Company also owns and operates regional sports networks and local sports, news and lifestyle channels.

Charter is a holding company whose principal asset is a controlling equity interest in Charter Communications Holdings, LLC (“Charter Holdings”), an indirect owner of Charter Communications Operating, LLC (“Charter Operating”) under which substantially all of the operations reside. All significant intercompany accounts and transactions among consolidated entities have been eliminated.

The Transactions

On May 18, 2016, the transactions contemplated by the Agreement and Plan of Mergers dated as of May 23, 2015 (the “Merger Agreement”), by and among Time Warner Cable Inc. (“Legacy TWC”), Charter Communications, Inc. prior to the closing of the Merger Agreement (“Legacy Charter”), CCH I, LLC, previously a wholly owned subsidiary of Legacy Charter and certain other subsidiaries of CCH I, LLC were completed (the “TWC Transaction,” and together with the Bright House Transaction described below, the “Transactions”). As a result of the TWC Transaction, CCH I, LLC became the new public parent company that holds the operations of the combined companies and was renamed Charter Communications, Inc.

Also, on May 18, 2016, Legacy Charter and Advance/Newhouse Partnership (“A/N”), the former parent of Bright House Networks, LLC (“Legacy Bright House”), completed their previously announced transaction, pursuant to a definitive Contribution Agreement (the “Contribution Agreement”), under which Charter acquired Legacy Bright House (the “Bright House Transaction”). Pursuant to the Bright House Transaction, Charter became the owner of the membership interests in Legacy Bright House and the other assets primarily related to Legacy Bright House (other than certain excluded assets and liabilities and non-operating cash).

To partially finance the Transactions, Liberty Broadband Corporation ("Liberty Broadband") purchased shares of Charter Class A common stock (the “Liberty Transaction”).

The following unaudited pro forma financial information of the Company is based on the historical consolidated financial statements of Legacy Charter, Legacy TWC and Legacy Bright House and is intended to provide information about how the Transactions and related financing may have affected the Company’s historical consolidated financial statements if they had closed as of January 1, 2015. The pro forma financial information below is based on available information and assumptions that the Company believes are reasonable. The pro forma financial information is for illustrative and informational purposes only and is not intended to represent or be indicative of what the Company’s financial condition or results of operations would have been had the transactions described above occurred on the date indicated. The pro forma financial information also should not be considered representative of the Company’s future financial condition or results of operations.

 
Year Ended December 31, 2016
 
(unaudited)
Revenues
$
40,023

Net income attributable to Charter shareholders
$
1,070

Earnings per common share attributable to Charter shareholders:
 
Basic
$
3.97

Diluted
$
3.91




F- 9


CHARTER COMMUNICATIONS, INC. AND SUBSIDIARIES
NOTES TO CONSOLIDATED FINANCIAL STATEMENTS
DECEMBER 31, 2018, 2017 AND 2016
(dollars in millions, except share or per share data or where indicated)

Basis of Presentation

The accompanying consolidated financial statements have been prepared in accordance with U.S. generally accepted accounting principles (“GAAP”) and the rules and regulations of the Securities and Exchange Commission (the “SEC”).

The preparation of financial statements in conformity with GAAP requires management to make estimates and assumptions that affect the reported amounts of assets and liabilities and disclosure of contingent assets and liabilities at the date of the financial statements and the reported amounts of revenues and expenses during the reporting period. Areas involving significant judgments and estimates include capitalization of labor and overhead costs; depreciation and amortization costs; impairments of property, plant and equipment, intangibles and goodwill; pension benefits; income taxes; contingencies and programming expense. Actual results could differ from those estimates.

Certain prior period amounts have been reclassified to conform with the 2018 presentation.

2.    Summary of Significant Accounting Policies

Consolidation

The accompanying consolidated financial statements include the accounts of Charter and all entities in which Charter has a controlling interest, including variable interest entities ("VIEs") where Charter is the primary beneficiary. The Company consolidates based upon evaluation of the Company’s power, through voting rights or similar rights, to direct the activities of another entity that most significantly impact the entity’s economic performance; its obligation to absorb the expected losses of the entity; and its right to receive the expected residual returns of the entity. Charter controls and consolidates Charter Holdings. The noncontrolling interest on the Company’s balance sheet primarily represents A/N's minority equity interests in Charter Holdings. See Note 10. All significant inter-company accounts and transactions among consolidated entities have been eliminated in consolidation.

Cash and Cash Equivalents

The Company considers all highly liquid investments with original maturities of three months or less to be cash equivalents. These investments are carried at cost, which approximates market value.  

Restricted Cash

Restricted cash represents amounts held in escrow related to the Company's build-to-suit lease arrangement with a VIE. See Note 6. The amounts held in escrow are classified as noncurrent restricted cash in the Company's consolidated balance sheets. The Company's restricted cash was primarily invested in a federal funds deposit account.

Property, Plant and Equipment

Additions to property, plant and equipment are recorded at cost, including all material, labor and certain indirect costs associated with the construction of cable transmission and distribution facilities. While the Company’s capitalization is based on specific activities, once capitalized, costs are tracked on a composite basis by fixed asset category at the cable system level and not on a specific asset basis. For assets that are sold or retired, the estimated historical cost and related accumulated depreciation is removed. Costs associated with the initial placement of the customer drop to the dwelling and the initial placement of outlets within a dwelling along with the costs associated with the initial deployment of customer premise equipment necessary to provide video, Internet or voice services are capitalized.  Costs capitalized include materials, direct labor and certain indirect costs.  Indirect costs are associated with the activities of the Company’s personnel who assist in installation activities and consist of compensation and other costs associated with these support functions. Indirect costs primarily include employee benefits and payroll taxes, vehicle and occupancy costs, and the costs of sales and dispatch personnel associated with capitalizable activities. The costs of disconnecting service and removing customer premise equipment from a dwelling and the costs to reconnect a customer drop or to redeploy previously installed customer premise equipment are charged to operating expense as incurred.  Costs for repairs and maintenance are charged to operating expense as incurred, while plant and equipment replacement, including replacement of certain components, betterments, including replacement of cable drops and outlets, are capitalized.



F- 10


CHARTER COMMUNICATIONS, INC. AND SUBSIDIARIES
NOTES TO CONSOLIDATED FINANCIAL STATEMENTS
DECEMBER 31, 2018, 2017 AND 2016
(dollars in millions, except share or per share data or where indicated)

Depreciation is recorded using the straight-line composite method over management’s estimate of the useful lives of the related assets as follows:

Cable distribution systems
 
8-21 years
Customer premise equipment and installations
 
3-8 years
Vehicles and equipment
 
4-9 years
Buildings and improvements
 
15-40 years
Furniture, fixtures and equipment
 
2-10 years

Asset Retirement Obligations

Certain of the Company’s franchise agreements and leases contain provisions requiring the Company to restore facilities or remove equipment in the event that the franchise or lease agreement is not renewed. The Company expects to continually renew its franchise agreements and therefore cannot reasonably estimate any liabilities associated with such agreements. A remote possibility exists that franchise agreements could be terminated unexpectedly, which could result in the Company incurring significant expense in complying with restoration or removal provisions. The Company does not have any significant liabilities related to asset retirements recorded in its consolidated financial statements.

Valuation of Long-Lived Assets

The Company evaluates the recoverability of long-lived assets (e.g., property, plant and equipment and finite-lived intangible assets) to be held and used when events or changes in circumstances indicate that the carrying amount of an asset may not be recoverable. Such events or changes in circumstances could include such factors as impairment of the Company’s indefinite life assets, changes in technological advances, fluctuations in the fair value of such assets, adverse changes in relationships with local franchise authorities, adverse changes in market conditions or a deterioration of current or expected future operating results. If a review indicates that the carrying value of such asset is not recoverable from estimated undiscounted cash flows, the carrying value of such asset is reduced to its estimated fair value. While the Company believes that its estimates of future cash flows are reasonable, different assumptions regarding such cash flows could materially affect its evaluations of asset recoverability. No impairments of long-lived assets held for use were recorded in 2018, 2017 and 2016.

Other Noncurrent Assets

Other noncurrent assets primarily include investments, trademarks, right-of-entry costs and other intangible assets. The Company accounts for its investments in less than majority owned investees under either the equity or cost method. The Company applies the equity method to investments when it has the ability to exercise significant influence over the operating and financial policies of the investee. The Company’s share of the investee’s earnings (losses) is included in other expense, net in the consolidated statements of operations. The Company monitors its investments for indicators that a decrease in investment value has occurred that is other than temporary. If it has been determined that an investment has sustained an other than temporary decline in value, the investment is written down to fair value with a charge to earnings. Investments acquired are measured at fair value utilizing the acquisition method of accounting. The difference between the fair value and the amount of underlying equity in net assets for most equity method investments is due to previously unrecognized intangible assets at the investee. These amounts are amortized as a component of equity earnings (losses), recorded within other expense, net over the estimated useful life of the asset. Trademarks have been determined to have an indefinite life and are tested annually for impairment. Right-of-entry costs represent upfront costs incurred related to agreements entered into with multiple dwelling units (“MDUs”) including landlords, real estate companies or owners to gain access to a building in order to market and service customers who reside in the building. Right-of-entry costs are deferred and amortized to regulatory, connectivity and produced content within operating costs and expenses over the term of the agreement. See Note 21.



F- 11


CHARTER COMMUNICATIONS, INC. AND SUBSIDIARIES
NOTES TO CONSOLIDATED FINANCIAL STATEMENTS
DECEMBER 31, 2018, 2017 AND 2016
(dollars in millions, except share or per share data or where indicated)

Revenue Recognition

Nature of Services

Residential Services

Residential customers are offered video, Internet, and voice services primarily on a subscription basis. Residential customers may generally cancel their subscriptions at any time without penalty. Each subscription service provided is accounted for as a distinct performance obligation and revenue is recognized ratably over a one month service period as the subscription services are delivered. Each optional service purchased is generally accounted for as a distinct performance obligation when purchased and revenue is recognized when the service is provided.

Residential video customers have the option to purchase additional tiers of services, as well as video-on-demand (“VOD”) programming and pay-per-view programming on a per-event basis. Video revenues consist primarily of revenues from the selected programming service tier, as well as VOD fees, pay-per-view fees, retransmission fees, regulatory fees, equipment service fees and video installation fees.

Residential Internet customers receive data download and upload services with speeds dependent on the selected tier of service. Customers are also offered a security suite, an in-home WiFi product, and an out-of-home WiFi service. Internet revenues consist primarily of data services, WiFi service fees and Internet installation fees.

Residential voice customers receive unlimited local and long distance calling to United States, Canada, Mexico, and Puerto Rico, voicemail, call waiting, caller ID, call forward and other features. Customers may also purchase international calling either by the minute, or through packages of minutes per month. Voice revenues consist primarily of voice services and regulatory fees.

Small and Medium Business

Small and medium business customers are offered video, Internet and voice services similar to those provided to residential customers. Small and medium business customers may generally cancel their subscriptions at any time without penalty. Each subscription service provided is accounted for as a distinct performance obligation and revenue is recognized ratably over a one month service period as the subscription services are delivered.

Enterprise Solutions

Enterprise Solutions include fiber-delivered communications and managed information technology solutions to larger businesses, as well as high-capacity last-mile data connectivity services to mobile and wireline carriers, Internet service providers, and other competitive carriers on a wholesale basis. Services are primarily offered on a subscription basis with a contractually specified and non-cancelable service period. Each subscription service provided is accounted for as a distinct performance obligation and revenue is recognized ratably over the contract period as the subscription services are delivered. Enterprise subscription services are billed as monthly recurring charges to customers and related installation services, if applicable, are billed upon completion of the customer installation. Installation services are not accounted for as distinct performance obligations, but rather a component of the connectivity services, and therefore upfront installation fees are deferred and recognized as revenue over the related contract period.

Advertising Services

The Company offers local, regional and national businesses the opportunity to advertise in individual and multiple service areas on cable television networks and digital outlets. Placement of advertising is accounted for as a distinct performance obligation and revenue is recognized at the point in time when the advertising is distributed. In some service areas, the Company has formed advertising interconnects or entered into representation agreements with other video distributors, under which the Company sells advertising on behalf of those distributors. In other service areas, the Company has entered into representation agreements under which another operator in the area will sell advertising on the Company’s behalf. For representation arrangements in which the Company controls the sale of advertising and acts as the principal to the transaction, the Company recognizes revenue earned from the advertising customer on a gross basis and the amount remitted to the distributor as an operating expense. For other representation arrangements in which the Company does not control the sale of advertising and acts as an agent to the transaction, the Company recognizes revenue net of any fee remitted to the distributor.


F- 12


CHARTER COMMUNICATIONS, INC. AND SUBSIDIARIES
NOTES TO CONSOLIDATED FINANCIAL STATEMENTS
DECEMBER 31, 2018, 2017 AND 2016
(dollars in millions, except share or per share data or where indicated)


Mobile

At the end of the second quarter of 2018, the Company launched its mobile product which is available to residential customers subscribing to its Internet service. Mobile services are sold under an unlimited data plan or a by-the-gig data usage plan and revenue is recognized as the services are provided. Customers can purchase mobile devices and accessory products and have the option to pay for devices under interest-free monthly installment plans. The sale of devices is a separate performance obligation. Revenue is recognized from the sale of devices at the time of shipment.

The Company’s revenues by product line are as follows:

 
Year Ended December 31,
 
2018
 
2017
 
2016
 
 
 
 
 
 
Video
$
17,348

 
$
16,621

 
$
11,955

Internet
15,181

 
14,101

 
9,270

Voice
2,114

 
2,542

 
2,005

Residential revenue
34,643

 
33,264

 
23,230

 
 
 
 
 
 
Small and medium business
3,665

 
3,547

 
2,384

Enterprise
2,528

 
2,373

 
1,539

Commercial revenue
6,193

 
5,920

 
3,923

 
 
 
 
 
 
Advertising sales
1,785

 
1,510

 
1,235

Mobile
106

 

 

Other
907

 
887

 
615

 
$
43,634

 
$
41,581

 
$
29,003


Fees imposed on the Company by various governmental authorities are passed through on a monthly basis to the Company’s customers and are periodically remitted to authorities. Fees of $1.0 billion, $961 million and $711 million for the years ended December 31, 2018, 2017 and 2016, respectively, are reported in video, voice, mobile and commercial revenues, on a gross basis with a corresponding operating expense because the Company is acting as a principal. Certain taxes, such as sales taxes imposed on the Company’s customers, collected and remitted to state and local authorities, are recorded on a net basis because the Company is acting as an agent in such situation.

A significant portion of our revenue is derived from customers who may generally cancel their subscriptions at any time without penalty. As such, the amount of revenue related to unsatisfied performance obligations is not necessarily indicative of the future revenue to be recognized from our existing customer base. Revenue from customers with a contractually specified term and non-cancelable service period will be recognized over the term of such contracts, which is generally two to seven years for our enterprise contracts with a weighted average term of approximately three years.

Significant Judgments in Evaluating Revenue Recognition

The Company often provides multiple services to a customer. Provision of customer premise equipment, installation services, and additional service tiers may have a significant level of integration and interdependency with the subscription video, Internet, voice, or connectivity services provided. Judgment is required to determine whether provision of customer premise equipment, installation services, and additional service tiers are considered distinct and accounted for separately, or not distinct and accounted for together with the subscription services.

Allocation of the transaction price to the distinct performance obligations in bundled residential service subscriptions requires judgment. The transaction price for a bundle of residential services is frequently less than the sum of the standalone selling prices of each individual service. The Company allocates the residential services bundle discount among the services to which the


F- 13


CHARTER COMMUNICATIONS, INC. AND SUBSIDIARIES
NOTES TO CONSOLIDATED FINANCIAL STATEMENTS
DECEMBER 31, 2018, 2017 AND 2016
(dollars in millions, except share or per share data or where indicated)

discount relates based on the relative standalone selling prices of those services. Standalone selling prices for the Company’s residential video and Internet services are directly observable, while standalone selling price for the Company’s residential voice service is estimated using the adjusted market assessment approach which relies upon information from peers and competitors who sell residential voice services individually.

The Company believes residential and small and medium business non-refundable upfront installation fees charged to customers result in a material right to renew the contract as such fees are not required to be paid upon subsequent renewals. The residential and small and medium business upfront fee is deferred over the period the fee remains material to the customer, which the Company has estimated to be approximately six months. Estimation of the period the fee remains material to the customer requires consideration of both quantitative and qualitative factors including average installation fee, average revenue per customer, and customer behavior, among others.

Deferred Revenue Contract Liabilities

Timing of revenue recognition may differ from the timing of invoicing to customers. Residential, small and medium business, and enterprise customers are invoiced for subscription services in advance of the service period. Deferred revenue liabilities, or contract liabilities, are recorded when the Company collects payments in advance of performing the services. Deferred revenue liabilities, or contract liabilities, are also recorded when the Company invoices customers upfront for installation services that are recognized as revenue over time. Residential and small and medium business installation revenues are deferred over the period the fee remains material to the customer. Enterprise installation revenues are deferred using a portfolio approach over the average contract life of each enterprise service category. As of December 31, 2018, current deferred revenue liabilities consisting of customer prepayments of $410 million and upfront installation fees of $84 million were included in accounts payable and accrued liabilities. As of December 31, 2018, long-term deferred revenue liabilities consisting of enterprise upfront installation fees of $34 million were included in other long-term liabilities.

Contract Costs

The Company recognizes an asset for incremental costs of obtaining a contract with a customer if the amortization period of those costs is expected to be longer than one year and the costs are expected to be recovered. Enterprise sales commission costs meet the requirements to be deferred and, as a result, are recognized using a portfolio approach over a commission expense weighted-average enterprise contract period. Deferred enterprise commission costs are included in other noncurrent assets in the consolidated balance sheet and totaled $142 million as of December 31, 2018. As the amortization period of residential and small and medium business commissions costs is less than one year, the Company applies the practical expedient that allows such costs to be expensed as incurred. The Company has determined that the amortization period associated with residential and small and medium business commission costs is less than one year based on qualitative and quantitative factors.

The Company recognizes an asset for costs incurred to fulfill a contract when those costs are directly related to services provided under the contract, generate or enhance resources of the entity that will be used in performing service obligations under the contract, and are expected to be recovered. Up-front fees paid to MDUs, such as apartment building owners, in order to gain access to market and serve tenants who reside within the MDU meet the requirements to be deferred and, as a result, are recognized over the term of the MDU contract. Deferred upfront MDU fees are amortized on a straight-line basis and are included in other noncurrent assets in the consolidated balance sheet and totaled $273 million as of December 31, 2018. Amortization expense of $62 million was included in regulatory, connectivity and produced content within operating costs and expenses in the consolidated statements of operations for the year ended December 31, 2018. Residential and small and medium business installation costs not capitalized into property, plant and equipment are expensed as incurred under cable industry-specific guidance.

Programming Costs

The Company has various contracts to obtain video programming from vendors whose compensation is typically based on a flat fee per customer. The cost of the right to exhibit network programming under such arrangements is recorded in operating expenses in the month the programming is available for exhibition. Programming costs are paid each month based on calculations performed by the Company and are subject to periodic audits performed by the programmers. Certain programming contracts contain cash and non-cash consideration from the programmers. If consideration received does not relate to a separate product or service, the Company recognizes the consideration on a straight-line basis over the life of the programming agreement as a reduction of


F- 14


CHARTER COMMUNICATIONS, INC. AND SUBSIDIARIES
NOTES TO CONSOLIDATED FINANCIAL STATEMENTS
DECEMBER 31, 2018, 2017 AND 2016
(dollars in millions, except share or per share data or where indicated)

programming expense. Programming costs included in the statements of operations were $11.1 billion, $10.6 billion and $7.0 billion for the years ended December 31, 2018, 2017 and 2016, respectively.

Advertising Costs

Advertising costs associated with marketing the Company’s products and services are generally expensed as costs are incurred.

Multiple-Element Transactions

In the normal course of business, the Company enters into multiple-element transactions where it is simultaneously both a customer and a vendor with the same counterparty or in which it purchases multiple products and/or services, or settles outstanding items contemporaneous with the purchase of a product or service from a single counterparty. Transactions, although negotiated contemporaneously, may be documented in one or more contracts. The Company’s policy for accounting for each transaction negotiated contemporaneously is to record each element of the transaction based on the respective estimated fair values of the products or services purchased and the products or services sold. In determining the fair value of the respective elements, the Company refers to quoted market prices (where available), historical transactions or comparable cash transactions. Cash consideration received from a vendor is recorded as a reduction in the price of the vendor’s product unless (i) the consideration is for the reimbursement of a specific, incremental, identifiable cost incurred, in which case the cash consideration received would be recorded as a reduction in such cost (e.g., marketing costs), or (ii) an identifiable benefit in exchange for the consideration is provided, in which case revenue would be recognized for this element.

Stock-Based Compensation

Restricted stock, restricted stock units, stock options as well as equity awards with market conditions are measured at the grant date fair value and amortized to stock compensation expense over the requisite service period. The fair value of options is estimated on the date of grant using the Black-Scholes option-pricing model and the fair value of equity awards with market conditions is estimated on the date of grant using Monte Carlo simulations. The grant date weighted average assumptions used during the years ended December 31, 2018, 2017 and 2016, respectively, were: risk-free interest rate of 2.4%, 1.8% and 1.7%; expected volatility of 25.0%, 25.0% and 25.4%; and expected lives of 5.1 years, 4.6 years and 1.3 years. Weighted average assumptions for 2016 include the assumptions used for the converted TWC awards (see Note 15). The Company’s volatility assumptions represent management’s best estimate and were based on historical volatility. Expected lives were estimated using historical exercise data.  The valuations assume no dividends are paid.

On January 1, 2017, the Company adopted Accounting Standards Update (“ASU”) 2016-09, Improvements to Employee Share-Based Payment Accounting ("ASU 2016-09"), establishing an accounting policy election to assume zero forfeitures for stock award grants and account for forfeitures when they occur which prospectively impacts stock compensation expense. The total impact to shareholders' equity related to ASU 2016-09, which also included the recognition of excess tax benefits in deferred tax assets that were previously not recognized, was a $131 million increase to retained earnings, a $9 million increase to additional paid-in capital and a $140 million decrease to net deferred tax liabilities.

Pension Plans

The Company sponsors the TWC Pension Plan, TWC Union Pension Plan and TWC Excess Pension Plan (as defined in Note 20). Pension benefits are based on formulas that reflect the employees’ years of service and compensation during their employment period. Actuarial gains or losses are changes in the amount of either the benefit obligation or the fair value of plan assets resulting from experience different from that assumed or from changes in assumptions. The Company has elected to follow a mark-to-market pension accounting policy for recording the actuarial gains or losses annually during the fourth quarter, or earlier if a remeasurement event occurs during an interim period.

Income Taxes

The Company recognizes deferred tax assets and liabilities for temporary differences between the financial reporting basis and the tax basis of the Company’s assets and liabilities and expected benefits of utilizing loss carryforwards. Since substantially all the Company’s operations are held through its partnership interest in Charter Holdings, the primary deferred tax component recorded in the consolidated balance sheet relates to the excess financial reporting outside basis, excluding amounts attributable to


F- 15


CHARTER COMMUNICATIONS, INC. AND SUBSIDIARIES
NOTES TO CONSOLIDATED FINANCIAL STATEMENTS
DECEMBER 31, 2018, 2017 AND 2016
(dollars in millions, except share or per share data or where indicated)

nondeductible goodwill, over Charter’s tax basis in its investment in the partnership. Valuation allowances are established when management determines that it is more likely than not that some portion or the entire deferred tax asset will not be realized. The impact on deferred taxes of changes in tax rates and tax law, if any, applied to the years during which temporary differences are expected to be settled, are reflected in the consolidated financial statements in the period of enactment. In determining the Company’s tax provision for financial reporting purposes, the Company establishes a reserve for uncertain tax positions unless such positions are determined to be “more likely than not” of being sustained upon examination, based on their technical merits. There is considerable judgment involved in making such a determination. Interest and penalties are recognized on uncertain income tax positions as part of the income tax provision. See Note 16.

Segments

The Company’s operations are managed and reported to its Chief Executive Officer (“CEO”), the Company’s chief operating decision maker, on a consolidated basis. The CEO assesses performance and allocates resources based on the consolidated results of operations. Under this organizational and reporting structure, the Company has one reportable segment, cable services.

3.    Allowance for Doubtful Accounts

Activity in the allowance for doubtful accounts is summarized as follows for the years presented:

 
Year Ended December 31,
 
2018
 
2017
 
2016
Balance, beginning of period
$
113

 
$
124

 
$
21

Charged to expense
570

 
469

 
328

Uncollected balances written off, net of recoveries
(554
)
 
(480
)
 
(225
)
Balance, end of period
$
129

 
$
113

 
$
124


4.    Property, Plant and Equipment

Property, plant and equipment consists of the following as of December 31, 2018 and 2017:

 
 
December 31,
 
 
2018
 
2017
Cable distribution systems
 
$
29,573

 
$
26,104

Customer premise equipment and installations
 
17,100

 
15,909

Vehicles and equipment
 
1,724

 
1,501

Buildings and improvements
 
4,360

 
3,901

Furniture, fixtures and equipment
 
5,444

 
4,550

 
 
58,201

 
51,965

Less: accumulated depreciation
 
(23,075
)
 
(18,077
)
 
 
$
35,126

 
$
33,888


The Company periodically evaluates the estimated useful lives used to depreciate its assets and the estimated amount of assets that will be abandoned or have minimal use in the future. A significant change in assumptions about the extent or timing of future asset retirements, or in the Company’s use of new technology and upgrade programs, could materially affect future depreciation expense.

Depreciation expense for the years ended December 31, 2018, 2017 and 2016 was $7.9 billion, $7.8 billion, and $5.0 billion, respectively.



F- 16


CHARTER COMMUNICATIONS, INC. AND SUBSIDIARIES
NOTES TO CONSOLIDATED FINANCIAL STATEMENTS
DECEMBER 31, 2018, 2017 AND 2016
(dollars in millions, except share or per share data or where indicated)

5.    Franchises, Goodwill and Other Intangible Assets

Franchise rights represent the value attributed to agreements or authorizations with local and state authorities that allow access to homes in cable service areas. For valuation purposes, they are defined as the future economic benefits of the right to solicit and service potential customers (customer marketing rights), and the right to deploy and market new services to potential customers (service marketing rights).

Management estimates the fair value of franchise rights at the date of acquisition and determines if the franchise has a finite life or an indefinite life. The Company has concluded that all of its franchises qualify for indefinite life treatment given that there are no legal, regulatory, contractual, competitive, economic or other factors which limit the period over which these rights will contribute to the Company's cash flows. The Company reassesses this determination periodically or whenever events or substantive changes in circumstances occur.

All franchises are tested for impairment annually or more frequently as warranted by events or changes in circumstances. Franchise assets are aggregated into essentially inseparable units of accounting to conduct valuations. The units of accounting generally represent geographical clustering of the Company's cable systems into groups. The Company assesses qualitative factors to determine whether the existence of events or circumstances leads to a determination that it is more likely than not that an indefinite lived intangible asset has been impaired. If, after this optional qualitative assessment, the Company determines that it is not more likely than not that an indefinite lived intangible asset has been impaired, then no further quantitative testing is necessary. In completing the qualitative impairment testing, the Company evaluates a multitude of factors that affect the fair value of our franchise assets. Examples of such factors include environmental and competitive changes within our operating footprint, actual and projected operating performance, the consistency of our operating margins, equity and debt market trends, including changes in our market capitalization, and changes in our regulatory and political landscape, among other factors. The Company performed a qualitative assessment in 2018, which also included consideration of a fair value appraisal performed for tax purposes in the beginning of 2018 as of a December 31, 2017 valuation date (the "Appraisal"). After consideration of the qualitative factors in 2018, including the results of the Appraisal, the Company concluded that it is more likely than not that the fair value of the franchise assets in each unit of accounting exceeds the carrying value of such assets and therefore did not perform a quantitative analysis at the assessment date. Periodically, the Company will elect to perform a quantitative analysis for impairment testing. If the Company elects or is required to perform a quantitative analysis to test its franchise assets for impairment, the methodology described below is utilized.

If a quantitative analysis is performed, the estimated fair value of franchises is determined utilizing an income approach model based on the present value of the estimated discrete future cash flows attributable to each of the intangible assets identified assuming a discount rate. The fair value of franchises is determined based on estimated discrete discounted future cash flows using assumptions consistent with internal forecasts. The franchise after-tax cash flow is calculated as the after-tax cash flow generated by the potential customers obtained. The sum of the present value of the franchises’ after-tax cash flow in years 1 through 10 and the continuing value of the after-tax cash flow beyond year 10 yields the fair value of the franchises.

This approach makes use of unobservable factors such as projected revenues, expenses, capital expenditures, customer trends, and a discount rate applied to the estimated cash flows. The determination of the franchise discount rate is derived from the Company’s weighted average cost of capital, which uses a market participant’s cost of equity and after-tax cost of debt and reflects the risks inherent in the cash flows. The Company estimates discounted future cash flows using reasonable and appropriate assumptions including among others, penetration rates for video, Internet, and voice; revenue growth rates; operating margins; and capital expenditures. The assumptions are based on the Company’s and its peers’ historical operating performance adjusted for current and expected competitive and economic factors surrounding the cable industry. The estimates and assumptions made in the Company’s valuations are inherently subject to significant uncertainties, many of which are beyond its control, and there is no assurance that these results can be achieved. The primary assumptions for which there is a reasonable possibility of the occurrence of a variation that would significantly affect the measurement value include the assumptions regarding revenue growth, programming expense growth rates, the amount and timing of capital expenditures, actual customer trends and the discount rate utilized.
   
The fair value of goodwill is determined using both an income approach and market approach. The Company’s income approach model used for its goodwill valuation is consistent with that used for its franchise valuation noted above except that cash flows from the entire business enterprise are used for the goodwill valuation. The Company’s market approach model estimates the fair value of the reporting unit based on market prices in actual precedent transactions of similar businesses and market valuations of guideline public companies. Goodwill is tested for impairment as of November 30 of each year, or more frequently as warranted


F- 17


CHARTER COMMUNICATIONS, INC. AND SUBSIDIARIES
NOTES TO CONSOLIDATED FINANCIAL STATEMENTS
DECEMBER 31, 2018, 2017 AND 2016
(dollars in millions, except share or per share data or where indicated)

by events or changes in circumstances. Accounting guidance also permits an optional qualitative assessment for goodwill to determine whether it is more likely than not that the carrying value of a reporting unit exceeds its fair value. If, after this qualitative assessment, the Company determines that it is not more likely than not that the fair value of a reporting unit is less than its carrying amount then no further quantitative testing would be necessary. If the Company elects or is required to perform the two-step test under the accounting guidance, the first step involves a comparison of the estimated fair value of the reporting unit to its carrying amount. If the estimated fair value of the reporting unit exceeds its carrying amount, goodwill of the reporting unit is not considered impaired and the second step of the goodwill impairment is not necessary. If the carrying amount of a reporting unit exceeds its estimated fair value, then the second step of the goodwill impairment test must be performed, and a comparison of the implied fair value of the reporting unit’s goodwill is compared to its carrying amount to determine the amount of impairment, if any. As with the Company’s franchise impairment testing, in 2018 the Company elected to perform a qualitative goodwill impairment assessment, which incorporated the results of the Appraisal and consideration of the same qualitative factors relevant to the Company's franchise impairment testing. As a result of that assessment, the Company concluded that goodwill is not impaired.

Customer relationships are recorded at fair value as of the date acquired less accumulated amortization. Customer relationships, for valuation purposes, represent the value of the business relationship with existing customers, and are calculated by projecting the discrete future after-tax cash flows from these customers, including the right to deploy and market additional services to these customers. The present value of these after-tax cash flows yields the fair value of the customer relationships. The use of different valuation assumptions or definitions of franchises or customer relationships, such as our inclusion of the value of selling additional services to our current customers within customer relationships versus franchises, could significantly impact our valuations and any resulting impairment. Customer relationships are amortized on an accelerated sum of years’ digits method over useful lives of 8-15 years based on the period over which current customers are expected to generate cash flows. The Company periodically evaluates the remaining useful lives of its customer relationships to determine whether events or circumstances warrant revision to the remaining periods of amortization. Customer relationships are evaluated for impairment upon the occurrence of events or changes in circumstances indicating that the carrying amount of an asset may not be recoverable. Customer relationships are deemed impaired when the carrying value exceeds the projected undiscounted future cash flows associated with the customer relationships. No impairment of customer relationships was recorded in the years ended December 31, 2018, 2017 or 2016.

The fair value of trademarks is determined using the relief-from-royalty method, a variation of the income approach, which applies a fair royalty rate to estimated revenue derived under the Company’s trademarks. The fair value of the intangible is estimated to be the present value of the royalty saved because the Company owns the trademarks. Royalty rates are estimated based on a review of market royalty rates in the communications and entertainment industries. As the Company expects to continue to use each trademark indefinitely, trademarks have been assigned an indefinite life and are tested annually for impairment using either a qualitative analysis or quantitative analysis as elected by management. As with the Company’s franchise impairment testing, in 2018 the Company elected to perform a qualitative trademark impairment assessment and concluded that trademarks are not impaired.
 


F- 18


CHARTER COMMUNICATIONS, INC. AND SUBSIDIARIES
NOTES TO CONSOLIDATED FINANCIAL STATEMENTS
DECEMBER 31, 2018, 2017 AND 2016
(dollars in millions, except share or per share data or where indicated)

As of December 31, 2018 and 2017, indefinite-lived and finite-lived intangible assets are presented in the following table:

 
 
December 31,
 
 
2018
 
2017
 
 
Gross Carrying Amount
 
Accumulated Amortization
 
Net Carrying Amount
 
Gross Carrying Amount
 
Accumulated Amortization
 
Net Carrying Amount
Indefinite-lived intangible assets:
 
 
 
 
 
 
 
 
 
 
 
 
Franchises
 
$
67,319

 
$

 
$
67,319

 
$
67,319

 
$

 
$
67,319

Goodwill
 
29,554

 

 
29,554

 
29,554

 

 
29,554

Trademarks
 
159

 

 
159

 
159

 

 
159

 
 
$
97,032

 
$

 
$
97,032

 
$
97,032

 
$

 
$
97,032

 
 
 
 
 
 
 
 
 
 
 
 
 
Finite-lived intangible assets:
 
 
 
 
 
 
 
 
 
 
 
 
Customer relationships
 
$
18,229

 
$
(8,664
)
 
$
9,565

 
$
18,229

 
$
(6,278
)
 
$
11,951

Other intangible assets
 
409

 
(92
)
 
317

 
731

 
(201
)
 
530

 
 
$
18,638

 
$
(8,756
)
 
$
9,882

 
$
18,960

 
$
(6,479
)
 
$
12,481


Amortization expense related to customer relationships and other intangible assets for the years ended December 31, 2018, 2017 and 2016 was $2.4 billion, $2.7 billion and $1.9 billion, respectively. Effective January 1, 2018 with the adoption of ASU 2014-09, up-front fees paid to market and serve customers who reside in residential MDUs are no longer recorded as intangibles and amortized to depreciation and amortization expense, but are now being recorded as noncurrent assets and are amortized to regulatory, connectivity and produced content within operating costs and expenses. See Notes 2 and 21.

The Company expects amortization expense on its finite-lived intangible assets will be as follows.

2019
 
$
2,152

2020
 
1,875

2021
 
1,597

2022
 
1,327

2023
 
1,070

Thereafter
 
1,861

 
 
$
9,882


Actual amortization expense in future periods could differ from these estimates as a result of new intangible asset acquisitions or divestitures, changes in useful lives, impairments, adoption of new accounting standards and other relevant factors.

6.    Investments

Investments consisted of the following as of December 31, 2018 and 2017:

 
 
December 31,
 
 
2018
 
2017
Equity-method investments
 
454

 
482

Other investments
 
22

 
15

Total investments
 
$
476

 
$
497


The Company's investments include C&C Wireless Operations, LLC ("C&C" - 50% owned), Active Video Networks ("AVN" - 35.0% owned) Sterling Entertainment Enterprises, LLC (“Sterling” - d/b/a SportsNet New York - 26.8% owned), MLB Network,


F- 19


CHARTER COMMUNICATIONS, INC. AND SUBSIDIARIES
NOTES TO CONSOLIDATED FINANCIAL STATEMENTS
DECEMBER 31, 2018, 2017 AND 2016
(dollars in millions, except share or per share data or where indicated)

LLC (“MLB Network” - 6.4% owned), iN Demand L.L.C. (“iN Demand” - 39.4% owned) and National Cable Communications LLC (“NCC” - 20.0% owned), among other less significant equity-method and cost-method investments. C&C is the Company’s mobile operating partnership with Comcast Corporation providing software development and related services for the mobile back office platform. Sterling and MLB Network are primarily engaged in the development of sports programming services. iN Demand provides programming on a video on demand, pay-per-view and subscription basis. NCC represents multi-video program distributors to advertisers.

The Company's equity-method investments balances reflected in the table above includes differences between the acquisition date fair value of certain investments acquired and the underlying equity in the net assets of the investee, referred to as a basis difference. This basis difference is amortized as a component of equity earnings. The remaining unamortized basis difference was $396 million and $407 million as of December 31, 2018 and 2017, respectively.

The Company applies the equity method of accounting to these and other less significant equity-method investments, all of which are recorded in other noncurrent assets in the consolidated balance sheets as of December 31, 2018 and 2017. For the years ended December 31, 2018, 2017 and 2016, net losses from equity-method investments were $77 million, $18 million and $14 million, respectively, which were recorded in other expense, net in the consolidated statements of operations.

Real Estate Investments through Variable Interest Entities

In July 2018, the Company's build-to-suit lease arrangement with a single-asset special purpose entity ("SPE") to build a new Charter headquarters in Stamford, Connecticut obtained all approvals and was made effective. The SPE obtained a first-lien mortgage note to finance the construction with fixed monthly payments through July 15, 2035 with a 5.612% coupon interest rate. All payments of the mortgage note are guaranteed by Charter. The initial term of the lease is 15 years commencing August 1, 2020, with no termination options. At the end of the lease term there is a mirrored put option for the SPE to sell the property and call option for Charter to purchase the property for a fixed purchase price. As the Company has determined the SPE is a VIE of which it became the primary beneficiary upon the effectiveness of the arrangement, the Company has consolidated the assets and liabilities of the SPE in its consolidated balance sheet as of December 31, 2018 as follows.

 
December 31, 2018
Assets
 
Current assets
$
2

Restricted cash
$
214

Property, plant and equipment
$
130

Liabilities
 
Other long-term liabilities
$
346


Property, plant and equipment includes land, a parking garage and building construction costs, including the capitalization of qualifying interest. Other long-term liabilities include $342 million in VIE's mortgage note liability and $4 million in liability-classified noncontrolling interest representing the residual initial fair value upon consolidation (that remained after the distribution described below), along with accretion towards settlement of the put/call option in the lease.

The consolidated statement of cash flows for the year ended December 31, 2018 includes an increase to restricted cash of $214 million as a result of activity in the VIE including borrowings of $342 million by the VIE on the mortgage note liability offset by distributions by the VIE to the noncontrolling interest of $107 million for the contributed land and parking garage and $21 million incurred by the VIE for building construction costs.

In October 2017, the Company acquired a defaulted mortgage loan issued to a single-asset SPE. The consolidated statement of cash flows for the year ended December 31, 2017 includes $105 million related to the acquisition of the mortgage loan. As the Company has determined the SPE is a VIE of which it is the primary beneficiary, the Company has consolidated the assets and liabilities of the SPE in its consolidated balance sheet which are primarily comprised of the building securing the mortgage loan.



F- 20


CHARTER COMMUNICATIONS, INC. AND SUBSIDIARIES
NOTES TO CONSOLIDATED FINANCIAL STATEMENTS
DECEMBER 31, 2018, 2017 AND 2016
(dollars in millions, except share or per share data or where indicated)

7.    Accounts Payable and Accrued Liabilities

Accounts payable and accrued liabilities consist of the following as of December 31, 2018 and 2017:

 
December 31,
 
2018
 
2017
Accounts payable – trade
$
758

 
$
740

Deferred revenue
494

 
395

Accrued liabilities:
 
 
 
Programming costs
2,044

 
1,907

Labor
1,052

 
1,109

Capital expenditures
1,472

 
1,935

Interest
1,045

 
1,054

Taxes and regulatory fees
526

 
556

Property and casualty
424

 
408

Other
990

 
941

 
$
8,805

 
$
9,045


8.    Long-Term Debt

Long-term debt consists of the following as of December 31, 2018 and 2017:

 
December 31,
 
2018
 
2017
 
Principal Amount
 
Accreted Value
 
Principal Amount
 
Accreted Value
CCO Holdings, LLC:
 
 
 
 
 
 
 
5.250% senior notes due March 15, 2021
$
500

 
$
498

 
$
500

 
$
497

5.250% senior notes due September 30, 2022
1,250

 
1,238

 
1,250

 
1,235

5.125% senior notes due February 15, 2023
1,000

 
994

 
1,000

 
993

4.000% senior notes due March 1, 2023
500

 
496

 
500

 
495

5.125% senior notes due May 1, 2023
1,150

 
1,144

 
1,150

 
1,143

5.750% senior notes due September 1, 2023
500

 
497

 
500

 
496

5.750% senior notes due January 15, 2024
1,000

 
993

 
1,000

 
992

5.875% senior notes due April 1, 2024
1,700

 
1,688

 
1,700

 
1,687

5.375% senior notes due May 1, 2025
750

 
745

 
750

 
745

5.750% senior notes due February 15, 2026
2,500

 
2,467

 
2,500

 
2,464

5.500% senior notes due May 1, 2026
1,500

 
1,490

 
1,500

 
1,489

5.875% senior notes due May 1, 2027
800

 
795

 
800

 
794

5.125% senior notes due May 1, 2027
3,250

 
3,219

 
3,250

 
3,216

5.000% senior notes due February 1, 2028
2,500

 
2,466

 
2,500

 
2,462

Charter Communications Operating, LLC:
 
 
 
 
 
 
 
3.579% senior notes due July 23, 2020
2,000

 
1,992

 
2,000

 
1,988

4.464% senior notes due July 23, 2022
3,000

 
2,982

 
3,000

 
2,977

Senior floating rate notes due February 1, 2024
900

 
903

 

 

4.500% senior notes due February 1, 2024
1,100

 
1,091

 

 

4.908% senior notes due July 23, 2025
4,500

 
4,466

 
4,500

 
4,462



F- 21


CHARTER COMMUNICATIONS, INC. AND SUBSIDIARIES
NOTES TO CONSOLIDATED FINANCIAL STATEMENTS
DECEMBER 31, 2018, 2017 AND 2016
(dollars in millions, except share or per share data or where indicated)

3.750% senior notes due February 15, 2028
1,000

 
986

 
1,000

 
985

4.200% senior notes due March 15, 2028
1,250

 
1,240

 
1,250

 
1,238

6.384% senior notes due October 23, 2035
2,000

 
1,982

 
2,000

 
1,981

5.375% senior notes due April 1, 2038
800

 
785

 

 

6.484% senior notes due October 23, 2045
3,500

 
3,467

 
3,500

 
3,466

5.375% senior notes due May 1, 2047
2,500

 
2,506

 
2,500

 
2,506

5.750% senior notes due April 1, 2048
1,700

 
1,683

 

 

6.834% senior notes due October 23, 2055
500

 
495

 
500

 
495

Credit facilities
10,038

 
9,959

 
9,479

 
9,387

Time Warner Cable, LLC:
 
 
 
 
 
 
 
6.750% senior notes due July 1, 2018

 

 
2,000

 
2,045

8.750% senior notes due February 14, 2019
1,250

 
1,260

 
1,250

 
1,337

8.250% senior notes due April 1, 2019
2,000

 
2,030

 
2,000

 
2,148

5.000% senior notes due February 1, 2020
1,500

 
1,541

 
1,500

 
1,579

4.125% senior notes due February 15, 2021
700

 
721

 
700

 
730

4.000% senior notes due September 1, 2021
1,000

 
1,033

 
1,000

 
1,045

5.750% sterling senior notes due June 2, 2031 (a)
796

 
855

 
845

 
912

6.550% senior debentures due May 1, 2037
1,500

 
1,680

 
1,500

 
1,686

7.300% senior debentures due July 1, 2038
1,500

 
1,780

 
1,500

 
1,788

6.750% senior debentures due June 15, 2039
1,500

 
1,719

 
1,500

 
1,724

5.875% senior debentures due November 15, 2040
1,200

 
1,256

 
1,200

 
1,258

5.500% senior debentures due September 1, 2041
1,250

 
1,258

 
1,250

 
1,258

5.250% sterling senior notes due July 15, 2042 (b)
827

 
798

 
879

 
847

4.500% senior debentures due September 15, 2042
1,250

 
1,140

 
1,250

 
1,137

Time Warner Cable Enterprises LLC:
 
 
 
 
 
 
 
8.375% senior debentures due March 15, 2023
1,000

 
1,191

 
1,000

 
1,232

8.375% senior debentures due July 15, 2033
1,000

 
1,298

 
1,000

 
1,312

Total debt
71,961

 
72,827

 
69,003

 
70,231

Less current portion:
 
 
 
 
 
 
 
6.750% senior notes due July 1, 2018

 

 
(2,000
)
 
(2,045
)
8.750% senior notes due February 14, 2019
(1,250
)
 
(1,260
)
 

 

8.250% senior notes due April 1, 2019
(2,000
)
 
(2,030
)
 

 

Long-term debt
$
68,711

 
$
69,537

 
$
67,003

 
$
68,186


(a) 
Principal amount includes £625 million valued at $796 million and $845 million as of December 31, 2018 and December 31, 2017, respectively, using the exchange rate at that date.
(b) 
Principal amount includes £650 million valued at $827 million and $879 million as of December 31, 2018 and December 31, 2017, respectively, using the exchange rate at that date.

The accreted values presented in the table above represent the principal amount of the debt adjusted for original issue discount or premium at the time of sale, deferred financing costs, and, in regards to the Legacy TWC debt assumed, fair value premium adjustments as a result of applying acquisition accounting plus the accretion of those amounts to the balance sheet date. However, the amount that is currently payable if the debt becomes immediately due is equal to the principal amount of the debt. In regards to the fixed-rate British pound sterling denominated notes (the “Sterling Notes”), the principal amount of the debt and any premium or discount is remeasured into US dollars as of each balance sheet date. See Note 11. The Company has availability under the Charter Operating credit facilities of approximately $2.8 billion as of December 31, 2018.

In April 2018, Charter Operating and Charter Communications Operating Capital Corp. jointly issued $800 million aggregate principal amount of 5.375% senior notes due April 1, 2038 at a price of 98.846% of the aggregate principal amount and $1.7 billion


F- 22


CHARTER COMMUNICATIONS, INC. AND SUBSIDIARIES
NOTES TO CONSOLIDATED FINANCIAL STATEMENTS
DECEMBER 31, 2018, 2017 AND 2016
(dollars in millions, except share or per share data or where indicated)

aggregate principal amount of 5.750% senior notes due April 1, 2048 at a price of 99.706% of the aggregate principal amount. The net proceeds, together with cash on hand, were used to repay certain existing indebtedness, including the redemption of all of the outstanding $2.0 billion in aggregate principal amount of Time Warner Cable, LLC’s 6.750% notes due July 1, 2018, to pay related fees and expenses and for general corporate purposes, including funding buybacks of Charter Class A common stock and Charter Holdings common units.

In July 2018, Charter Operating and Charter Communications Operating Capital Corp. jointly issued $400 million aggregate principal amount of senior floating rate notes due February 1, 2024 at par and $1.1 billion aggregate principal amount of 4.500% senior notes due February 1, 2024 at a price of 99.893% of the aggregate principal amount. In August 2018, Charter Operating and Charter Communications Operating Capital Corp. jointly issued an additional $500 million aggregate principal amount of senior floating rate notes due February 1, 2024 at a price of 101.479% of the aggregate principal amount. Interest on the floating rate notes accrues at LIBOR plus 1.650%. The net proceeds were used to pay related fees and expenses and for general corporate purposes, including funding buybacks of Charter Class A common stock and Charter Holdings common units.

In January 2019, Charter Operating and Charter Communications Operating Capital Corp. jointly issued $1.25 billion aggregate principal amount of 5.050% senior notes due 2029 at a price of 99.935% of the aggregate principal amount and an additional $750 million aggregate principal amount of 5.75% senior notes due 2048 at a price of 94.970% of the aggregate principal amount. The net proceeds will be used to pay related fees and expenses and for general corporate purposes, including funding buybacks of Charter Class A common stock and Charter Holdings common units as well as to repay certain indebtedness, including to repay at maturity Time Warner Cable, LLC's 8.75% senior notes due 2019.

During the years ended December 31, 2017 and 2016, the Company repurchased $2.8 billion and $2.9 billion, respectively, of various series of senior secured notes. Loss on extinguishment of debt consisted of the following for the years ended December 31, 2017 and 2016.

 
Year Ended December 31,
 
2017
 
2016
CCO Holdings notes redemption
$
(33
)
 
$
(110
)
Time Warner Cable, LLC notes redemption
(1
)
 

Charter Operating credit facility refinancing
(6
)
 
(1
)
 
$
(40
)
 
$
(111
)

CCO Holdings Notes

The CCO Holdings notes are senior debt obligations of CCO Holdings and CCO Holdings Capital and rank equally with all other current and future unsecured, unsubordinated obligations of CCO Holdings and CCO Holdings Capital.  They are structurally subordinated to all obligations of subsidiaries of CCO Holdings. 

CCO Holdings may redeem some or all of the CCO Holdings notes at any time at a premium.  The optional redemption price declines to 100% of the respective series’ principal amount, plus accrued and unpaid interest, if any, on or after varying dates in 2019 through 2025.

In addition, at any time prior to varying dates in 2019 through 2020, CCO Holdings may redeem up to 40% of the aggregate principal amount of certain notes at a premium plus accrued and unpaid interest to the redemption date, with the net cash proceeds of one or more equity offerings (as defined in the indenture); provided that certain conditions are met. In the event of specified change of control events, CCO Holdings must offer to purchase the outstanding CCO Holdings notes from the holders at a purchase price equal to 101% of the total principal amount of the notes, plus any accrued and unpaid interest.

High-Yield Restrictive Covenants; Limitation on Indebtedness.

The indentures governing the CCO Holdings notes contain certain covenants that restrict the ability of CCO Holdings, CCO Holdings Capital and all of their restricted subsidiaries to:



F- 23


CHARTER COMMUNICATIONS, INC. AND SUBSIDIARIES
NOTES TO CONSOLIDATED FINANCIAL STATEMENTS
DECEMBER 31, 2018, 2017 AND 2016
(dollars in millions, except share or per share data or where indicated)

incur additional debt;
pay dividends on equity or repurchase equity;
make investments;
sell all or substantially all of their assets or merge with or into other companies;
sell assets;
in the case of restricted subsidiaries, create or permit to exist dividend or payment restrictions with respect to CCO Holdings, guarantee their parent companies debt, or issue specified equity interests;
engage in certain transactions with affiliates; and
grant liens.

The above limitations in certain circumstances regarding incurrence of debt, payment of dividends and making investments contained in the indentures of CCO Holdings permit CCO Holdings and its restricted subsidiaries to perform the above, so long as, after giving pro forma effect to the above, the leverage ratio would be below a specified level for the issuer. The leverage ratio under the indentures is 6.0 to 1.0. The leverage ratio was 4.2 as of December 31, 2018.

Charter Operating Notes

The Charter Operating notes are guaranteed by CCO Holdings and substantially all of the operating subsidiaries of Charter Operating. In addition, the Charter Operating notes are secured by a perfected first priority security interest in substantially all of the assets of Charter Operating to the extent such liens can be perfected under the Uniform Commercial Code by the filing of a financing statement and the liens rank equally with the liens on the collateral securing obligations under the Charter Operating credit facilities. Charter Operating may redeem some or all of the Charter Operating notes at any time at a premium.

The Charter Operating notes are subject to the terms and conditions of the indenture governing the Charter Operating notes. The Charter Operating notes contain customary representations and warranties and affirmative covenants with limited negative covenants. The Charter Operating indenture also contains customary events of default.

Charter Operating Credit Facilities

The Charter Operating credit facilities have an outstanding principal amount of $10.0 billion at December 31, 2018 as follows:

term loan A-2 with a remaining principal amount of $2.7 billion, which is repayable in quarterly installments and aggregating $144 million in each loan year, with the remaining balance due at final maturity on March 31, 2023. Pricing on term loan A-2 is LIBOR plus 1.50%;
term loan B with a remaining principal amount of approximately $6.3 billion, which is repayable in equal quarterly installments and aggregating $64 million in each loan year, with the remaining balance due at final maturity on April 30, 2025. Pricing on term loan B is LIBOR plus 2.00%; and
revolving loan with an outstanding balance of $1.0 billion at December 31, 2018 and allowing for borrowings of up to $4.0 billion, maturing on March 31, 2023. Pricing on the revolving loan is LIBOR plus 1.50% with a commitment fee of 0.30%. As of December 31, 2018, $138 million of the revolving loan was utilized to collateralize a like principal amount of letters of credit out of $358 million of letters of credit issued on the Company’s behalf.

Amounts outstanding under the Charter Operating credit facilities bear interest, at Charter Operating’s election, at a base rate or LIBOR (2.50% and 1.56% as of December 31, 2018 and December 31, 2017, respectively), as defined, plus an applicable margin.

In January 2019, Charter Operating entered into an amendment to its Credit Agreement raising an additional $1.7 billion term loan A-3 and increasing revolving loan capacity to $4.75 billion as well as extending the maturities on a portion of the term loan A-2 and a portion of the revolving loan to 2024. Pricing on the new term loan A-3 is LIBOR plus 1.50%.

The Charter Operating credit facilities also allow us to enter into incremental term loans in the future, with amortization as set forth in the notices establishing such term loans. Although the Charter Operating credit facilities allow for the incurrence of a certain amount of incremental term loans subject to pro forma compliance with its financial maintenance covenants, no assurance can be given that the Company could obtain additional incremental term loans in the future if Charter Operating sought to do so or what amount of incremental term loans would be allowable at any given time under the terms of the Charter Operating credit facilities.


F- 24


CHARTER COMMUNICATIONS, INC. AND SUBSIDIARIES
NOTES TO CONSOLIDATED FINANCIAL STATEMENTS
DECEMBER 31, 2018, 2017 AND 2016
(dollars in millions, except share or per share data or where indicated)


The obligations of Charter Operating under the Charter Operating credit facilities are guaranteed by CCO Holdings and substantially all of the operating subsidiaries of Charter Operating. The obligations are also secured by (i) a lien on substantially all of the assets of Charter Operating and its subsidiaries, to the extent such lien can be perfected under the Uniform Commercial Code by the filing of a financing statement, and (ii) a pledge by CCO Holdings of the equity interests owned by it in any of Charter Operating’s subsidiaries, as well as intercompany obligations owing to it by any of such entities.

Restrictive Covenants

The Charter Operating credit facilities contain representations and warranties, and affirmative and negative covenants customary for financings of this type. The financial covenants measure performance against standards set for leverage to be tested as of the end of each quarter. The Charter Operating credit facilities contain provisions requiring mandatory loan prepayments under specific circumstances, including in connection with certain sales of assets, so long as the proceeds have not been reinvested in the business. Additionally, the Charter Operating credit facilities provisions contain an allowance for restricted payments with certain limitations. The Charter Operating credit facilities permit Charter Operating and its subsidiaries to make distributions to pay interest on the currently outstanding subordinated and parent company indebtedness, provided that, among other things, no default has occurred and is continuing under the Charter Operating credit facilities. The Charter Operating credit facilities also contain customary events of default.

Time Warner Cable, LLC Notes and Debentures

The Time Warner Cable, LLC ("TWC, LLC") senior notes and debentures are guaranteed by CCO Holdings and substantially all of the operating subsidiaries of Charter Operating and rank equally with the liens on the collateral securing obligations under the Charter Operating notes and credit facilities. Interest on each series of TWC, LLC senior notes and debentures is payable semi-annually (with the exception of the Sterling Notes, which is payable annually) in arrears. 

The TWC, LLC indenture contains customary covenants relating to restrictions on the ability of TWC, LLC or any material subsidiary to create liens and on the ability of TWC, LLC and Time Warner Cable Enterprises LLC ("TWCE") to consolidate, merge or convey or transfer substantially all of their assets. The TWC, LLC indenture also contains customary events of default.

The TWC, LLC senior notes and debentures may be redeemed in whole or in part at any time at TWC, LLC’s option at a redemption price equal to the greater of (i) all of the applicable principal amount being redeemed and (ii) the sum of the present values of the remaining scheduled payments on the applicable TWC, LLC senior notes and debentures discounted to the redemption date on a semi-annual basis (with the exception of the Sterling Notes, which are on an annual basis), at a comparable government bond rate plus a designated number of basis points as further described in the indenture and the applicable note or debenture, plus, in each case, accrued but unpaid interest to, but not including, the redemption date.

The Company may offer to redeem all, but not less than all, of the Sterling Notes in the event of certain changes in the tax laws of the U.S. (or any taxing authority in the U.S.). This redemption would be at a redemption price equal to 100% of the principal amount, together with accrued and unpaid interest on the Sterling Notes to, but not including, the redemption date.

TWCE Debentures

The TWCE senior debentures are guaranteed by CCO Holdings, substantially all of the operating subsidiaries of Charter Operating and TWC, LLC and rank equally with the liens on the collateral securing obligations under the Charter Operating notes and credit facilities. Interest on each series of TWCE senior debentures is payable semi-annually in arrears. The TWCE senior debentures are not redeemable before maturity.

The TWCE indenture contains customary covenants relating to restrictions on the ability of TWCE or any material subsidiary to create liens and on the ability of TWC, LLC and TWCE to consolidate, merge or convey or transfer substantially all of their assets. The TWCE indenture also contains customary events of default.


F- 25


CHARTER COMMUNICATIONS, INC. AND SUBSIDIARIES
NOTES TO CONSOLIDATED FINANCIAL STATEMENTS
DECEMBER 31, 2018, 2017 AND 2016
(dollars in millions, except share or per share data or where indicated)


Limitations on Distributions

Distributions by the Company’s subsidiaries to a parent company for payment of principal on parent company notes are restricted under the indentures and credit facilities discussed above, unless there is no default under the applicable indenture and credit facilities, and unless each applicable subsidiary’s leverage ratio test is met at the time of such distribution. As of December 31, 2018, there was no default under any of these indentures or credit facilities and each subsidiary met its applicable leverage ratio tests based on December 31, 2018 financial results. There can be no assurance that they will satisfy these tests at the time of the contemplated distribution. Distributions by Charter Operating for payment of principal on parent company notes are further restricted by the covenants in its credit facilities.

However, without regard to leverage, during any calendar year or any portion thereof during which the borrower is a flow-through entity for tax purposes, and so long as no event of default exists, the borrower may make distributions to the equity interests of the borrower in an amount sufficient to make permitted tax payments.

In addition to the limitation on distributions under the various indentures, distributions by the Company’s subsidiaries may be limited by applicable law, including the Delaware Limited Liability Company Act, under which the Company’s subsidiaries may make distributions if they have “surplus” as defined in the act.

Liquidity and Future Principal Payments

The Company continues to have significant amounts of debt, and its business requires significant cash to fund principal and interest payments on its debt, capital expenditures and ongoing operations. As set forth below, the Company has significant future principal payments. The Company continues to monitor the capital markets, and it expects to undertake refinancing transactions and utilize free cash flow and cash on hand to further extend or reduce the maturities of its principal obligations. The timing and terms of any refinancing transactions will be subject to market conditions.

Based upon outstanding indebtedness as of December 31, 2018, the amortization of term loans, and the maturity dates for all senior and subordinated notes, total future principal payments on the total borrowings under all debt agreements are as follows:

Year
 
Amount
2019
 
$
3,457

2020
 
3,707

2021
 
2,407

2022
 
4,457

2023
 
7,390

Thereafter
 
50,543

 
 
$
71,961


9.    Common Stock

Charter’s Class A common stock and Class B common stock are identical except with respect to certain voting, transfer and conversion rights. Holders of Class A common stock are entitled to one vote per share. Charter’s Class B common stock represents the share issued to A/N in connection with the Bright House Transaction. One share of Charter’s Class B common stock has a number of votes reflecting the voting power of the Charter Holdings common units and Charter Holdings convertible preferred units held by A/N as of the applicable record date on an if-converted, if-exchanged basis, and is generally intended to reflect A/N’s economic interests in Charter Holdings.



F- 26


CHARTER COMMUNICATIONS, INC. AND SUBSIDIARIES
NOTES TO CONSOLIDATED FINANCIAL STATEMENTS
DECEMBER 31, 2018, 2017 AND 2016
(dollars in millions, except share or per share data or where indicated)

The following table summarizes our shares outstanding for the three years ended December 31, 2018:

 
Class A Common Stock
 
Class B Common Stock
BALANCE, December 31, 2015
112,438,828

 

Reorganization of common stock
(10,771,404
)
 

Issuance of shares in TWC Transaction
143,012,155

 

Issuance of shares to Liberty Broadband for cash
25,631,339

 

Issuance of share to A/N in Bright House Transaction

 
1

Exchange of Charter Holdings units held by A/N (see Note 10)
1,852,832

 

Exercise of stock options
1,014,664

 

Restricted stock issuances, net of cancellations
9,811

 

Restricted stock unit vesting
1,738,792

 

Purchase of treasury stock
(6,029,225
)
 

BALANCE, December 31, 2016
268,897,792

 
1

Exchange of Charter Holdings units held by A/N (see Note 10)
1,263,497

 

Exercise of stock options
1,044,526

 

Restricted stock issuances, net of cancellations
9,517

 

Restricted stock unit vesting
1,159,083

 

Purchase of treasury stock
(33,868,356
)
 

BALANCE, December 31, 2017
238,506,059

 
1

Exercise of stock options
576,583

 

Restricted stock issuances, net of cancellations
10,223

 

Restricted stock unit vesting
618,649

 

Purchase of treasury stock
(14,357,707
)
 

BALANCE, December 31, 2018
225,353,807

 
1


The shares outstanding balance shown above as of December 31, 2015 represent historical shares outstanding of Legacy Charter before applying the Parent Merger Exchange Ratio (as defined in the Merger Agreement). The 10.8 million shares associated with the reorganization of Charter Class A common stock represents the reduction to Legacy Charter Class A common shares outstanding as of the acquisition date as a result of applying the Parent Merger Exchange Ratio.

Share Repurchases

The following represents the Company's purchase of Charter Class A common stock and the effect on the consolidated statements of cash flows during the years ended December 31, 2018, 2017 and 2016.

 
Year Ended December 31,
 
2018
 
2017
 
2016
 
Shares
 
$
 
Shares
 
$
 
Shares
 
$
Share buybacks
14,108,919

 
$
4,322

 
33,375,878

 
$
11,570

 
5,070,656

 
$
1,346

Income tax withholding
224,319

 
77

 
447,455

 
145

 
908,066

 
216

Exercise cost
24,469

 
 
 
45,023

 
 
 
50,503

 
 
 
14,357,707

 
$
4,399

 
33,868,356

 
$
11,715

 
6,029,225

 
$
1,562


As of December 31, 2018, Charter had remaining board authority to purchase an additional $480 million of Charter’s Class A common stock and/or Charter Holdings common units. See Note 18. The Company also withholds shares of its Class A common


F- 27


CHARTER COMMUNICATIONS, INC. AND SUBSIDIARIES
NOTES TO CONSOLIDATED FINANCIAL STATEMENTS
DECEMBER 31, 2018, 2017 AND 2016
(dollars in millions, except share or per share data or where indicated)

stock in payment of income tax withholding owed by employees upon vesting of equity awards as well as exercise costs owed by employees upon exercise of stock options.

At the end of each fiscal year, Charter’s board of directors approves the retirement of the then currently outstanding treasury stock and those shares were retired as of December 31, 2018 and 2017. The Company accounts for treasury stock using the cost method and includes treasury stock as a component of total shareholders’ equity. Upon retirement, these treasury shares are allocated between additional paid-in capital and retained earnings based on the cost of original issue included in additional paid-in capital.

10.    Noncontrolling Interests

Noncontrolling interests represents consolidated subsidiaries of which the Company owns less than 100%. The Company is a holding company whose principal asset is a controlling equity interest in Charter Holdings, the indirect owner of the Company’s cable systems. Noncontrolling interests on the Company’s balance sheet primarily includes A/N’s equity interests in Charter Holdings, which is comprised of a common ownership interest and a convertible preferred ownership interest.

As of December 31, 2018, A/N held 20.2 million Charter Holdings common units which are exchangeable at any time into either Charter Class A common stock on a one-for-one basis, or, at Charter’s option, cash, based on the then current market price of Charter Class A common stock. Net income (loss) of Charter Holdings attributable to A/N’s common noncontrolling interest for financial reporting purposes is based on the weighted average effective common ownership interest of approximately 8%, 9% and 10% and was $125 million, $69 million and $129 million for the years ended December 31, 2018, 2017 and 2016, respectively. Charter Holdings distributed $3 million to A/N as a pro rata tax distribution on its common units during the years ended December 31, 2018, 2017 and 2016.

The following table represents Charter Holdings' purchase of Charter Holdings common units from A/N pursuant to the Letter Agreement (see Note 18) and the effect on total shareholders' equity during the years ended December 31, 2018, 2017 and 2016.

 
Year Ended December 31,
 
2018
 
2017
 
2016
Number of units purchased
2,125,190

 
4,798,367

 
752,767

Average price per unit
$
308.90

 
$
347.03

 
$
289.83

Amount of units purchased
$
656

 
$
1,665

 
$
218

Decrease in noncontrolling interest based on carrying value
$
(518
)
 
$
(1,187
)
 
$
(187
)
Decrease in additional paid-in-capital, net of tax
$
(104
)
 
$
(295
)
 
$
(19
)

The following table represents the exchange of Charter Holdings common units held by A/N for shares of Charter Class A common stock pursuant to the Letter Agreement (see Note 18) and the effect on total shareholders' equity during the years ended December 31, 2017 and 2016. The exchange of A/N common units resulted in a step-up in the tax-basis of the assets of Charter Holdings which is further discussed in Note 16.

 
Year Ended December 31,
 
2017
 
2016
Number of units exchanged
1,263,497

 
1,852,832

Amount of units exchanged
$
400

 
$
537

Decrease in noncontrolling interest based on carrying value
$
(298
)
 
$
(460
)
Increase in additional paid-in-capital, net of tax and TRA effects
$
265

 
$
405




F- 28


CHARTER COMMUNICATIONS, INC. AND SUBSIDIARIES
NOTES TO CONSOLIDATED FINANCIAL STATEMENTS
DECEMBER 31, 2018, 2017 AND 2016
(dollars in millions, except share or per share data or where indicated)

Total shareholders' equity was also adjusted during the years ended December 31, 2018, 2017 and 2016 due to changes in Charter Holdings' ownership as follows. Changes in Charter Holdings' ownership for the year ended December 31, 2016 includes the partnership formation of Charter Holdings as a result of the Transactions.

 
Year Ended December 31,
 
2018
 
2017
 
2016
Increase (decrease) in noncontrolling interest
$
(72
)
 
$
(362
)
 
$
589

Increase (decrease) in additional paid-in-capital, net of tax
$
54

 
$
223

 
$
(364
)

As of December 31, 2018, A/N also held 25 million Charter Holdings convertible preferred units with a face amount of $2.5 billion that pays a 6% annual preferred dividend. The 6% annual preferred dividend is paid quarterly in cash, if and when declared, provided that, if dividends are suspended at any time, the dividends will accrue until they are paid. Net income (loss) of Charter Holdings attributable to A/N's preferred noncontrolling interest for financial reporting purposes is based on the preferred dividend which was $150 million, $150 million and $93 million for the years ended December 31, 2018, 2017 and 2016, respectively. Each convertible preferred unit is convertible into either 0.37334 of a Charter Holdings common unit (if then held by A/N) or 0.37334 of a share of Charter Class A common stock (if then held by a third party), representing a conversion price of $267.85 per unit, based on a conversion feature as defined in the Limited Liability Company Agreement of Charter Holdings. After May 18, 2021, Charter may redeem the convertible preferred units if the price of Charter Class A common stock exceeds 130% of the conversion price. These Charter Holdings common and convertible preferred units held by A/N are recorded in noncontrolling interests as permanent equity in the consolidated balance sheet.
 
11.     Accounting for Derivative Instruments and Hedging Activities

The Company uses derivative instruments to manage foreign exchange risk on the Sterling Notes, and does not hold or issue derivative instruments for speculative trading purposes.

Cross-currency derivative instruments are used to effectively convert £1.275 billion aggregate principal amount of fixed-rate British pound sterling denominated debt, including annual interest payments and the payment of principal at maturity, to fixed-rate U.S. dollar denominated debt. The cross-currency swaps have maturities of June 2031 and July 2042. The Company is required to post collateral on the cross-currency derivative instruments when the derivative contracts are in a liability position. In May 2016, the Company entered into a collateral holiday agreement for 80% of both the 2031 and 2042 cross-currency swaps, which eliminates the requirement to post collateral for three years. The fair value of the Company's cross-currency derivatives included in other long-term liabilities on the Company's consolidated balance sheets was $237 million and $25 million as of December 31, 2018 and 2017, respectively.

The Company’s derivative instruments are not designated as hedges and are marked to fair value each period, with the impact recorded as a gain or loss on financial instruments, net in the consolidated statements of operations. While these derivative instruments are not designated as hedges for accounting purposes, management continues to believe such instruments are closely correlated with the respective debt, thus managing associated risk.

The effect of financial instruments on the consolidated statements of operations is presented in the table below.
 
Year Ended December 31,
 
2018
 
2017
 
2016
Gain (Loss) on Financial Instruments, Net:
 
 
 
 
 
Change in fair value of cross-currency derivative instruments
$
(212
)
 
$
226

 
$
(179
)
Foreign currency remeasurement of Sterling Notes to U.S. dollars
102

 
(157
)
 
279

Loss on termination of interest rate derivative instruments

 

 
(11
)
 
$
(110
)
 
$
69

 
$
89




F- 29


CHARTER COMMUNICATIONS, INC. AND SUBSIDIARIES
NOTES TO CONSOLIDATED FINANCIAL STATEMENTS
DECEMBER 31, 2018, 2017 AND 2016
(dollars in millions, except share or per share data or where indicated)

Upon closing of the TWC Transaction, the Company acquired interest rate derivative instrument assets which were terminated and settled with their respective counterparties in the second quarter of 2016 with an $88 million cash payment to the Company. The termination resulted in an $11 million loss for the year ended December 31, 2016 which was recorded in gain (loss) on financial instruments, net in the consolidated statements of operations. All of the Company's interest rate derivatives were expired as of December 31, 2018 and 2017.

12.    Fair Value Measurements

The accounting guidance establishes a three-level hierarchy for disclosure of fair value measurements, based upon the transparency of inputs to the valuation of an asset or liability as of the measurement date, as follows:

Level 1 – inputs to the valuation methodology are quoted prices (unadjusted) for identical assets or liabilities in active markets.
Level 2 – inputs to the valuation methodology include quoted prices for similar assets and liabilities in active markets, and inputs that are observable for the asset or liability, either directly or indirectly, for substantially the full term of the financial instrument.
Level 3 – inputs to the valuation methodology are unobservable and significant to the fair value measurement.

Financial Assets and Liabilities

The Company has estimated the fair value of its financial instruments as of December 31, 2018 and 2017 using available market information or other appropriate valuation methodologies. Considerable judgment, however, is required in interpreting market data to develop the estimates of fair value. Accordingly, the estimates presented in the accompanying consolidated financial statements are not necessarily indicative of the amounts the Company would realize in a current market exchange.

The carrying amounts of cash and cash equivalents, restricted cash, receivables, payables and other current assets and liabilities approximate fair value because of the short maturity of those instruments.

A portion of the Company’s cash and cash equivalents as of December 31, 2017 were invested in money market funds. The money market funds were valued at the closing price reported by the fund sponsor from an actively traded exchange which approximated fair value. The money market funds potentially subjected the Company to concentration of credit risk. The amount invested within any one financial instrument did not exceed $300 million as of December 31, 2017. As of December 31, 2017, there were no significant concentrations of financial instruments in a single investee, industry or geographic location.

The Company’s financial instruments that are accounted for at fair value on a recurring basis as of December 31, 2018 and 2017 are presented in the table below.

 
December 31,
 
2018
 
2017
 
Level 1
 
Level 2
 
Level 1
 
Level 2
Assets
 
 
 
 
 
 
 
Money market funds
$

 
$

 
$
291

 
$

Liabilities
 
 
 
 
 
 
 
Cross-currency derivative instruments
$

 
$
237

 
$

 
$
25




F- 30


CHARTER COMMUNICATIONS, INC. AND SUBSIDIARIES
NOTES TO CONSOLIDATED FINANCIAL STATEMENTS
DECEMBER 31, 2018, 2017 AND 2016
(dollars in millions, except share or per share data or where indicated)

A summary of the carrying value and fair value of the Company’s debt at December 31, 2018 and 2017 is as follows:

 
December 31,
 
2018
 
2017
 
Carrying Value
 
Fair Value
 
Carrying Value
 
Fair Value
Debt
 
 
 
 
 
 
 
Senior notes and debentures
$
62,868

 
$
61,087

 
$
60,844

 
$
63,443

Credit facilities
$
9,959

 
$
9,608

 
$
9,387

 
$
9,440


The estimated fair value of the Company’s senior notes and debentures as of December 31, 2018 and 2017 is based on quoted market prices in active markets and is classified within Level 1 of the valuation hierarchy, while the estimated fair value of the Company’s credit facilities is based on quoted market prices in inactive markets and is classified within Level 2. The carrying amount of the consolidated variable interest entity's mortgage note liability approximates fair value.

Non-financial Assets and Liabilities

The Company’s nonfinancial assets such as equity-method investments, franchises, property, plant, and equipment, and other intangible assets are not measured at fair value on a recurring basis; however, they are subject to fair value adjustments in certain circumstances, such as upon a business combination and when there is evidence that an impairment may exist.  No significant impairments were recorded in 2018, 2017 and 2016.

13.     Operating Costs and Expenses

Operating costs and expenses, exclusive of items shown separately in the consolidated statements of operations, consist of the following for the periods presented:

 
Year Ended December 31,
 
2018
 
2017
 
2016
Programming
$
11,124

 
$
10,596

 
$
7,034

Regulatory, connectivity and produced content
2,210

 
2,064

 
1,467

Costs to service customers
7,327

 
7,235

 
5,307

Marketing
3,042

 
3,036

 
2,136

Mobile
346

 

 

Other
3,811

 
3,610

 
2,711

 
$
27,860

 
$
26,541

 
$
18,655


Programming costs consist primarily of costs paid to programmers for basic, premium, digital, video on demand and pay-per-view programming. Regulatory, connectivity and produced content costs represent payments to franchise and regulatory authorities, costs directly related to providing video, Internet and voice services as well as payments for sports, local and news content produced by the Company. Included in regulatory, connectivity and produced content costs is content acquisition costs for the Los Angeles Lakers’ basketball games and Los Angeles Dodgers’ baseball games, which are recorded as games are exhibited over the applicable season. Costs to service customers include costs related to field operations, network operations and customer care for the Company’s residential and small and medium business customers, including internal and third-party labor for the non-capitalizable portion of installations, service and repairs, maintenance, bad debt expense, billing and collection, occupancy and vehicle costs. Marketing costs represent the costs of marketing to current and potential commercial and residential customers including labor costs. Mobile costs represent costs associated with the Company's mobile service such as device and service costs, marketing, sales and commissions, retail stores, personnel costs, taxes, among others. Other includes corporate overhead, advertising sales expenses, indirect costs associated with the Company’s enterprise business customers and regional sports and news networks, property tax and insurance expense and stock compensation expense, among others.



F- 31


CHARTER COMMUNICATIONS, INC. AND SUBSIDIARIES
NOTES TO CONSOLIDATED FINANCIAL STATEMENTS
DECEMBER 31, 2018, 2017 AND 2016
(dollars in millions, except share or per share data or where indicated)

14.     Other Operating Expenses, Net

Other operating expenses, net consist of the following for the years presented:

 
Year Ended December 31,
 
2018
 
2017
 
2016
Merger and restructuring costs
$
97

 
$
351

 
$
970

Special charges, net
53

 
(21
)
 
17

(Gain) loss on sale of assets, net
85

 
16

 
(2
)
 
$
235

 
$
346

 
$
985


Merger and restructuring costs

Merger and restructuring costs represent costs incurred in connection with merger and acquisition transactions and related restructuring, such as advisory, legal and accounting fees, employee retention costs, employee termination costs related to the Transactions and other exit costs. Changes in accruals for merger and restructuring costs from January 1, 2016 through December 31, 2018 are presented below:

 
Employee Retention Costs
 
Employee Termination Costs
 
Transaction and Advisory Costs
 
Other Costs
 
Total
Liability, December 31, 2015
$

 
$

 
$
33

 
$

 
$
33

Liability assumed in the Transactions
80

 
9

 
3

 

 
92

Costs incurred
26

 
337

 
318

 
41

 
722

Cash paid
(99
)
 
(102
)
 
(329
)
 
(41
)
 
(571
)
Liability, December 31, 2016
7

 
244

 
25

 

 
276

Costs incurred
4

 
226

 
4

 
68

 
302

Cash paid
(10
)
 
(298
)
 
(12
)
 
(60
)
 
(380
)
Liability, December 31, 2017
1

 
172

 
17

 
8

 
198

Costs incurred
1

 
64

 
2

 
25

 
92

Cash paid
(1
)
 
(179
)
 
(8
)
 
(27
)
 
(215
)
Remaining liability, December 31, 2018
$
1

 
$
57

 
$
11

 
$
6

 
$
75


In addition to the costs indicated above, the Company recorded $5 million, $49 million and $248 million of expense related to accelerated vesting of equity awards of terminated employees for the years ended December 31, 2018, 2017 and 2016, respectively.

Special charges, net

Special charges, net primarily includes employee termination costs not related to the Transactions and net amounts of litigation settlements. During 2018, special charges, net also includes a $22 million charge related to the Company's withdrawal liability from a multiemployer pension plan. In 2017, special charges, net also includes a $101 million benefit related to the remeasurement of the Tax Receivable Agreement ("TRA") liability as a result of the enactment of the Tax Cuts & Jobs Act (“Tax Reform”) in December 2017 (see Note 16) offset by an $83 million charge related to the Company's withdrawal liability from a multiemployer pension plan.

(Gain) loss on sale of assets, net

(Gain) loss on sale of assets, net represents the net (gain) loss recognized on the sales and disposals of fixed assets including a $75 million impairment of non-strategic assets during the year ended December 31, 2018.



F- 32


CHARTER COMMUNICATIONS, INC. AND SUBSIDIARIES
NOTES TO CONSOLIDATED FINANCIAL STATEMENTS
DECEMBER 31, 2018, 2017 AND 2016
(dollars in millions, except share or per share data or where indicated)

15.     Stock Compensation Plans

Charter’s 2009 Stock Incentive Plan provides for grants of nonqualified stock options, incentive stock options, stock appreciation rights, dividend equivalent rights, performance units and performance shares, share awards, phantom stock, restricted stock units and restricted stock.  Directors, officers and other employees of the Company and its subsidiaries, as well as others performing consulting services for the Company, are eligible for grants under the 2009 Stock Incentive Plan. The 2009 Stock Incentive Plan allows for the issuance of up to 21 million shares of Charter Class A common stock (or units convertible into Charter Class A common stock).
 
At the closing of the TWC Transaction, Legacy TWC employee equity awards were converted into Charter Class A common stock equity awards on the same terms and conditions as were applicable under the Legacy TWC equity awards, except that the number of shares covered by each award and the option exercise prices were adjusted for the Stock Award Exchange Ratio (as defined in the Merger Agreement) such that the intrinsic value of the converted TWC awards was approximately equal to that of the original awards at the closing of the Transactions. The converted TWC awards continue to be subject to the terms of the Legacy TWC equity plans. The Parent Merger Exchange Ratio was also applied to outstanding Legacy Charter equity awards and option exercise prices; however, the terms of the equity awards did not change as a result of the Transactions.

Charter Stock options and restricted stock units generally cliff vest upon the three year anniversary of each grant. Certain stock options and restricted stock units vest based on achievement of stock price hurdles. Stock options generally expire ten years from the grant date and restricted stock units have no voting rights. Restricted stock generally vests one year from the date of grant. Legacy TWC restricted stock units that were converted into Charter restricted stock units generally vest 50% on each of the third and fourth anniversary of the grant date.

As of December 31, 2018, total unrecognized compensation remaining to be recognized in future periods totaled $199 million for stock options, $0.9 million for restricted stock and $187 million for restricted stock units and the weighted average period over which they are expected to be recognized is 2 years for stock options, 4 months for restricted stock and 2 years for restricted stock units. The Company recorded $285 million, $261 million and $244 million of stock compensation expense for the years ended December 31, 2018, 2017 and 2016, respectively, which is included in operating costs and expenses. The Company also recorded $5 million, $49 million and $248 million of expense for the years ended December 31, 2018, 2017 and 2016, respectively, related to accelerated vesting of equity awards of terminated employees which is recorded in merger and restructuring costs in other operating expenses, net in the consolidated statements of operations.



F- 33


CHARTER COMMUNICATIONS, INC. AND SUBSIDIARIES
NOTES TO CONSOLIDATED FINANCIAL STATEMENTS
DECEMBER 31, 2018, 2017 AND 2016
(dollars in millions, except share or per share data or where indicated)

A summary of the activity for the Company’s stock options (after applying the Parent Merger Exchange Ratio) for the years ended December 31, 2018, 2017 and 2016, is as follows (shares in thousands, except per share data):

 
Year Ended December 31,
 
2018
 
2017
 
2016
 
Shares
 
Weighted Average Exercise Price
 
Aggregate Intrinsic Value
 
Shares
 
Weighted Average Exercise Price
 
Aggregate Intrinsic Value
 
Shares
 
Weighted Average Exercise Price
 
Aggregate Intrinsic Value
Outstanding, beginning of period
9,649

 
$
201.83

 
 
 
9,592

 
$
181.39

 
 
 
3,923

 
$
122.03

 
 
Granted
1,507

 
$
350.40

 
 
 
1,175

 
$
302.87

 
 
 
5,999

 
$
218.91

 
 
Converted TWC awards

 
$

 
 
 

 
$

 
 
 
839

 
$
86.46

 
 
Exercised
(577
)
 
$
133.35

 
$
114

 
(1,044
)
 
$
124.32

 
$
219

 
(1,015
)
 
$
96.33

 
$
146

Canceled
(169
)
 
$
300.46

 
 
 
(74
)
 
$
251.63

 
 
 
(154
)
 
$
173.98

 
 
Outstanding, end of period
10,410

 
$
225.53

 
$
732

 
9,649

 
$
201.83

 
 
 
9,592

 
$
181.39

 
 
 
 
 
 
 
 
 
 
 
 
 
 
 
 
 
 
 
 
Weighted average remaining contractual life
7

years
 
 
 
8

years
 
 
 
8

years
 
 
Options exercisable, end of period
2,194

 
$
122.19

 
$
358

 
1,734

 
$
90.56

 
 
 
1,665

 
$
71.71

 
 
Options expected to vest, end of period
8,216

 
$
253.12

 
$
374

 
 
 
 
 
 
 
 
 
 
 
 
Weighted average fair value of options granted
$
94.70

 
 
 
 
 
$
73.67

 
 
 
 
 
$
47.42

 
 
 
 

A summary of the activity for the Company’s restricted stock (after applying the Parent Merger Exchange Ratio) for the years ended December 31, 2018, 2017 and 2016, is as follows (shares in thousands, except per share data):

 
Year Ended December 31,
 
2018
 
2017
 
2016
 
Shares
 
Weighted Average Grant Price
 
Shares
 
Weighted Average Grant Price
 
Shares
 
Weighted Average Grant Price
Outstanding, beginning of period
10

 
$
343.10

 
10

 
$
231.81

 
197

 
$
65.79

Granted
10

 
$
297.86

 
10

 
$
343.10

 
10

 
$
231.83

Vested
(10
)
 
$
343.10

 
(10
)
 
$
231.81

 
(197
)
 
$
65.79

Canceled

 
$

 

 
$

 

 
$

Outstanding, end of period
10

 
$
297.86

 
10

 
$
343.10

 
10

 
$
231.81




F- 34


CHARTER COMMUNICATIONS, INC. AND SUBSIDIARIES
NOTES TO CONSOLIDATED FINANCIAL STATEMENTS
DECEMBER 31, 2018, 2017 AND 2016
(dollars in millions, except share or per share data or where indicated)

A summary of the activity for the Company’s restricted stock units (after applying the Parent Merger Exchange Ratio) for the years ended December 31, 2018, 2017 and 2016, is as follows (shares in thousands, except per share data):

 
Year Ended December 31,
 
2018
 
2017
 
2016
 
Shares
 
Weighted Average Grant Price
 
Shares
 
Weighted Average Grant Price
 
Shares
 
Weighted Average Grant Price
Outstanding, beginning of period
2,391

 
$
192.96

 
3,313

 
$
192.41

 
337

 
$
150.96

Granted
526

 
$
348.75

 
285

 
$
302.76

 
895

 
$
213.09

Converted TWC awards

 
$

 

 
$

 
4,162

 
$
224.90

Vested
(619
)
 
$
216.27

 
(1,159
)
 
$
216.21

 
(1,739
)
 
$
219.60

Canceled
(87
)
 
$
286.41

 
(48
)
 
$
234.99

 
(342
)
 
$
219.91

Outstanding, end of period
2,211

 
$
219.61

 
2,391

 
$
192.96

 
3,313

 
$
192.41


16.    Income Taxes

Substantially all of the Company’s operations are held through Charter Holdings and its direct and indirect subsidiaries. Charter Holdings and the majority of its subsidiaries are generally limited liability companies that are not subject to income tax. However, certain of these limited liability companies are subject to state income tax. In addition, the subsidiaries that are corporations are subject to income tax. Generally, the taxable income, gains, losses, deductions and credits of Charter Holdings are passed through to its members, Charter and A/N. Charter is responsible for its share of taxable income or loss of Charter Holdings allocated to it in accordance with the Charter Holdings Limited Liability Company Agreement ("LLC Agreement") and partnership tax rules and regulations. As a result, Charter's primary deferred tax component recorded in the consolidated balance sheets relates to its excess financial reporting outside basis, excluding amounts attributable to nondeductible goodwill, over Charter's tax basis in the investment in Charter Holdings.

Charter Holdings, the indirect owner of the Company’s cable systems, generally allocates its taxable income, gains, losses, deductions and credits proportionately according to the members’ respective ownership interests, except for special allocations required under Section 704(c) of the Internal Revenue Code and the Treasury Regulations (“Section 704(c)”).  Pursuant to Section 704(c) and the LLC Agreement, each item of income, gain, loss and deduction with respect to any property contributed to the capital of the partnership shall, solely for tax purposes, be allocated among the members so as to take into account any variation between the adjusted basis of such property to the partnership for U.S. federal income tax purposes and its initial gross asset value using the “traditional method” as described in the Treasury Regulations.



F- 35


CHARTER COMMUNICATIONS, INC. AND SUBSIDIARIES
NOTES TO CONSOLIDATED FINANCIAL STATEMENTS
DECEMBER 31, 2018, 2017 AND 2016
(dollars in millions, except share or per share data or where indicated)

Income Tax Benefit (Expense)

For the years ended December 31, 2018, 2017, and 2016, the Company recorded deferred income tax benefit (expense) as shown below. The tax provision in future periods will vary based on current and future temporary differences, as well as future operating results.

 
 
Year Ended December 31,
 
 
2018
 
2017
 
2016
Current expense:
 
 
 
 
 
 
Federal income taxes
 
$
(23
)
 
$
(4
)
 
$
(4
)
State income taxes
 
(47
)
 
(25
)
 
(29
)
Current income tax expense
 
(70
)
 
(29
)
 
(33
)
 
 
 
 
 
 
 
Deferred benefit (expense):
 
 
 
 
 
 
Federal income taxes
 
(204
)
 
9,082

 
2,549

State income taxes
 
94

 
34

 
409

Deferred income tax benefit (expense)
 
(110
)
 
9,116

 
2,958

Income tax benefit (expense)
 
$
(180
)
 
$
9,087

 
$
2,925


Income tax benefit for the year ended December 31, 2017 was recognized primarily as a result of the enactment of Tax Reform in December 2017. Among other things, the primary provisions of Tax Reform impacting the Company are the reductions to the U.S. corporate income tax rate from 35% to 21% and temporary 100% bonus depreciation for certain assets. The change in tax law required the Company to remeasure existing net deferred tax liabilities using the lower rate in the period of enactment resulting in an income tax benefit of approximately $9.3 billion to reflect these changes in the year ended December 31, 2017. The Company previously reported provisional amounts for the income tax effects of Tax Reform for which the accounting was incomplete but a reasonable estimate could be determined. As of December 31, 2018, there are no specific impacts of Tax Reform that could not be reasonably estimated which the Company accounted for under prior tax law and the allowable measurement period is now closed.

Income tax benefit for the year ended December 31, 2016 was recognized primarily through the reversal of approximately $3.3 billion of valuation allowance (see further discussion below), net of tax effect of permanent differences, a decrease to the anticipated blended state rate applied to Legacy Charter deferred tax balances as a result of the Transactions, a change in a state tax law, and prior to the closing of the Transactions, increases (decreases) in deferred tax liabilities related to Charter’s franchises which are characterized as indefinite-lived for book financial reporting purposes.

The Company’s effective tax rate differs from that derived by applying the applicable federal income tax rate of 21% for the year ended December 31, 2018 and 35% for the years ended December 31, 2017 and 2016, respectively, as follows:

 
 
Year Ended December 31,
 
 
2018
 
2017
 
2016
Statutory federal income taxes
 
$
(354
)
 
$
(360
)
 
$
(288
)
Statutory state income taxes, net
 
(54
)
 
(34
)
 
(36
)
Nondeductible expenses
 
(25
)
 
(21
)
 
(62
)
Net income attributable to noncontrolling interest
 
68

 
84

 
78

Change in valuation allowance
 
(5
)
 
14

 
3,171

Excess stock compensation
 
34

 
88

 

Federal tax credits
 
77

 
21

 
16

Tax rate changes
 
107

 
9,293

 
65

Other
 
(28
)
 
2

 
(19
)
Income tax benefit (expense)
 
$
(180
)
 
$
9,087

 
$
2,925



F- 36


CHARTER COMMUNICATIONS, INC. AND SUBSIDIARIES
NOTES TO CONSOLIDATED FINANCIAL STATEMENTS
DECEMBER 31, 2018, 2017 AND 2016
(dollars in millions, except share or per share data or where indicated)


The change in the valuation allowance above differs from the change between the beginning and ending valuation allowance below due to a change in certain deferred tax assets and the corresponding change in valuation allowance which results in no impact to the consolidated statements of operations.

Deferred Tax Assets (Liabilities)

The tax effects of these temporary differences that give rise to significant portions of the deferred tax assets and deferred tax liabilities at December 31, 2018 and 2017 are presented below.
 
 
December 31,
 
 
2018
 
2017
Deferred tax assets:
 
 
 
 
Loss carryforwards
 
$
2,453

 
$
2,657

Accrued and other
 
578

 
287

Total gross deferred tax assets
 
3,031

 
2,944

Less: valuation allowance
 
(89
)
 
(137
)
Deferred tax assets
 
$
2,942

 
$
2,807

 
 
 
 
 
Deferred tax liabilities:
 
 
 
 
Investment in partnership
 
$
(20,319
)
 
$
(20,107
)
Accrued and other
 
(12
)
 
(14
)
Deferred tax liabilities
 
(20,331
)
 
(20,121
)
Net deferred tax liabilities
 
$
(17,389
)
 
$
(17,314
)

The deferred tax liabilities on the investment in partnership above includes approximately $3 million net deferred tax assets and $32 million net deferred tax liabilities relating to certain indirect subsidiaries that file separate state income tax returns at December 31, 2018 and 2017, respectively. 

Valuation Allowance

In assessing the realizability of deferred tax assets, management considers whether it is more likely than not that some portion or all of the deferred tax assets will be realized. In evaluating the need for a valuation allowance, management takes into account various factors, including the expected level of future taxable income, available tax planning strategies and reversals of existing taxable temporary differences. Due to Legacy Charter’s history of losses, Legacy Charter was historically unable to assume future taxable income in its analysis and accordingly valuation allowances were established against the deferred tax assets, net of deferred tax liabilities, from definite-lived assets for book accounting purposes. However, as a result of the TWC Transaction, deferred tax liabilities resulting from the book fair value adjustment increased significantly and future taxable income that will result from the reversal of existing temporary differences for which deferred tax liabilities are recognized, is sufficient to conclude it is more likely than not that the Company will realize substantially all of its deferred tax assets. As a result, Charter reversed approximately $3.3 billion of its valuation allowance and recognized a corresponding income tax benefit in the consolidated statements of operations for the year ended December 31, 2016. As of December 31, 2018 and 2017, approximately $39 million and $87 million, respectively, of the valuation allowance is associated with federal tax net operating loss carryforwards acquired in the TWC Transaction and approximately $50 million and $50 million, respectively, of the valuation allowance is associated with state tax loss carryforwards and tax credits.

Net Operating Loss Carryforwards

As of December 31, 2018, Charter had approximately $10.2 billion of federal tax net operating loss carryforwards resulting in a gross deferred tax asset of approximately $2.1 billion. Federal tax net operating loss carryforwards expire in the years 2019 through 2035. These losses resulted from the operations of Charter Communications Holdings Company, LLC ("Charter Holdco") and its subsidiaries. In addition, as of December 31, 2018, Charter had state tax net operating loss carryforwards, resulting in a


F- 37


CHARTER COMMUNICATIONS, INC. AND SUBSIDIARIES
NOTES TO CONSOLIDATED FINANCIAL STATEMENTS
DECEMBER 31, 2018, 2017 AND 2016
(dollars in millions, except share or per share data or where indicated)

gross deferred tax asset (net of federal tax benefit) of approximately $309 million. State tax net operating loss carryforwards generally expire in the years 2019 through 2038.
 
Upon closing of the TWC Transaction, Charter experienced a third “ownership change” as defined in Section 382 of the Internal Revenue Code; resulting in a third set of limitations on Charter’s use of its existing federal and state net operating losses, capital losses, and tax credit carryforwards. Both the first ownership change limitations that applied as a result of Legacy Charter’s emergence from bankruptcy in 2009 and second ownership change limitations that applied as a result of Liberty Media Corporation’s purchase in 2013 of a 27% beneficial interest in Legacy Charter will also continue to apply. After December 31, 2018, $1.1 billion of Charter's federal tax loss carryforwards are subject to Section 382 and other restrictions. Pursuant to these restrictions, Charter estimates that approximately $226 million annually over each of the next five years of federal tax loss carryforwards should become unrestricted and available for Charter’s use. An additional $184 million is currently subject to a valuation allowance. Since the limitation amounts accumulate for future use to the extent they are not utilized in any given year, Charter believes its loss carryforwards should become fully available to offset future taxable income. Charter’s state loss carryforwards are subject to similar, but varying, limitations on their future use. If Charter was to experience another “ownership change” in the future, its ability to use its loss carryforwards could be subject to further limitations.

Tax Receivable Agreement

Under the LLC Agreement, A/N has rights to: (1) convert at any time some or all of its preferred units in Charter Holdings for common units in Charter Holdings, and (2) exchange at any time some or all of its common units in Charter Holdings for Charter’s Class A common stock or cash, at Charter’s option. Pursuant to a TRA between Charter and A/N, Charter must pay to A/N 50% of the tax benefit when realized by Charter from the step-up in tax basis resulting from any future exchange or sale of the preferred and common units. Charter did not record a liability for this obligation as of the acquisition date since the tax benefit is dependent on uncertain future events that are outside of Charter’s control, such as the timing of a conversion or exchange. A future exchange or sale is not based on a fixed and determinable date and the exchange or sale is not certain to occur. If all of A/N's partnership units were to be exchanged or sold in the future, the undiscounted value of the obligation is currently estimated to be in the range of zero to $3 billion depending on measurement of the tax step-up in the future and Charter’s ability to realize the tax benefit in the periods following the exchange or sale. Factors impacting these calculations include, but are not limited to, the fair value of the equity at the time of the exchange and the effective tax rates when the benefits are realized.

In connection with the Letter Agreement between Charter and A/N (see Note 18) whereby 1.3 million and 1.9 million Charter Holdings common units held by A/N during the year ended December 31, 2017 and 2016, respectively, were exchanged for shares of Charter Class A common stock for an aggregate purchase price of $400 million and $537 million, respectively, an immediate step-up of $487 million and $580 million, respectively, in the tax basis of the assets of Charter Holdings occurred. As it relates to the exchange and tax step-up, a net deferred tax asset of approximately $85 million and $82 million, respectively, was recorded and a resulting TRA liability owed to A/N of $118 million and $137 million, respectively, which, as a transaction with a shareholder, was recorded directly to additional paid in capital, net of tax during the years ended December 31, 2017 and 2016. The TRA liability is recorded on an iterative, undiscounted basis. During the year ended December 31, 2017, the TRA liability was remeasured as a result of the enactment of Tax Reform resulting in a $101 million benefit recorded to other operating expenses, net. See Note 14. Following such remeasurement, the TRA liability of $151 million and $154 million is reflected in other long-term liabilities on the consolidated balance sheets as of December 31, 2018 and 2017.



F- 38


CHARTER COMMUNICATIONS, INC. AND SUBSIDIARIES
NOTES TO CONSOLIDATED FINANCIAL STATEMENTS
DECEMBER 31, 2018, 2017 AND 2016
(dollars in millions, except share or per share data or where indicated)

Uncertain Tax Positions

The net amount of the unrecognized tax benefits recorded as of December 31, 2018 that could impact the effective tax rate is $191 million. The Company has determined that it is reasonably possible that its existing reserve for uncertain tax positions as of December 31, 2018 could decrease by approximately $27 million during the year ended December 31, 2019 related to various ongoing audits, settlement discussions and expiration of statute of limitations with various state and local agencies; however, various events could cause the Company’s current expectations to change in the future. These uncertain tax positions, if ever recognized in the financial statements, would be recorded in the consolidated statements of operations as part of the income tax provision. A reconciliation of the beginning and ending amount of unrecognized tax benefits, exclusive of interest and penalties, included in other long-term liabilities on the accompanying consolidated balance sheets of the Company is as follows:

BALANCE, December 31, 2016
$
172

Additions on prior year tax positions
1

Additions on current year tax positions
12

Reductions on settlements and expirations with taxing authorities
(21
)
BALANCE, December 31, 2017
$
164

Additions on prior year tax positions
7

Additions on current year tax positions
25

Reductions on settlements and expirations with taxing authorities
(16
)
BALANCE, December 31, 2018
$
180


The Company recognizes interest and penalties accrued on uncertain income tax positions as part of the income tax provision. Interest and penalties included in other long-term liabilities on the accompanying consolidated balance sheets of the Company were $45 million and $39 million as of December 31, 2018 and 2017, respectively.

No tax years for Charter or Charter Communications Holding Company, LLC for income tax purposes, are currently under examination by the Internal Revenue Service ("IRS"). Charter's 2016 through 2018 tax years remain open for examination and assessment. Legacy Charter’s tax years ending 2015 through the short period return dated May 17, 2016 (prior to the acquisition of Legacy TWC and Legacy Bright House) remain subject to examination and assessment. Years prior to 2015 remain open solely for purposes of examination of Legacy Charter’s loss and credit carryforwards. The IRS is currently examining Charter Holdings’ income tax return for 2016. Charter Holdings’ 2017 and 2018 tax years remain open for examination and assessment. The IRS is currently examining Legacy TWC’s income tax returns for 2011 through 2014. Legacy TWC’s tax year 2015 remains subject to examination and assessment. Prior to Legacy TWC’s separation from Time Warner Inc. (“Time Warner”) in March 2009 (the “Separation”), Legacy TWC was included in the consolidated U.S. federal and certain state income tax returns of Time Warner. The IRS is currently examining Time Warner’s 2008 through 2010 income tax returns. The Company does not anticipate that these examinations will have a material impact on the Company’s consolidated financial position or results of operations. In addition, the Company is also subject to ongoing examinations of the Company’s tax returns by state and local tax authorities for various periods. Activity related to these state and local examinations did not have a material impact on the Company’s consolidated financial position or results of operations during the year ended December 31, 2018, nor does the Company anticipate a material impact in the future.



F- 39


CHARTER COMMUNICATIONS, INC. AND SUBSIDIARIES
NOTES TO CONSOLIDATED FINANCIAL STATEMENTS
DECEMBER 31, 2018, 2017 AND 2016
(dollars in millions, except share or per share data or where indicated)

17.    Earnings Per Share

Basic earnings per common share is computed by dividing net income attributable to Charter shareholders by the weighted average number of shares of common stock outstanding during the period. Diluted earnings per common share considers the impact of potentially dilutive securities using the treasury stock and if-converted methods and is based on the weighted average number of shares used for the basic earnings per share calculation, adjusted for the dilutive effect of stock options, restricted stock, restricted stock units, equity awards with market conditions and Charter Holdings convertible preferred units and common units. Charter Holdings common and convertible preferred units of 31 million for the year ended December 31, 2018 were not included in the computation of diluted earnings per share as their effect would have been antidilutive. The following is the computation of diluted earnings per common share for the years presented.

 
Year Ended December 31,
 
2018
 
2017
 
2016
Numerator:
 
 
 
 
 
Net income attributable to Charter shareholders
$
1,230

 
$
9,895

 
$
3,522

Effect of dilutive securities:
 
 
 
 
 
Charter Holdings common units

 
69

 
129

Charter Holdings convertible preferred units

 
150

 
93

Net income attributable to Charter shareholders after assumed conversions
$
1,230

 
$
10,114

 
$
3,744

 
 
 
 
 
 
Denominator:
 
 
 
 
 
Weighted average common shares outstanding, basic
232,356,665

 
256,720,715

 
206,539,100

Effect of dilutive securities:
 
 
 
 
 
Assumed exercise or issuance of shares relating to stock plans
3,168,561

 
4,012,145

 
3,088,871

Weighted average Charter Holdings common units

 
26,637,596

 
19,333,227

Weighted average Charter Holdings convertible preferred units

 
9,333,500

 
5,830,241

Weighted average common shares outstanding, diluted
235,525,226

 
296,703,956

 
234,791,439

 
 
 
 
 
 
Basic earnings per common share attributable to Charter shareholders
$
5.29

 
$
38.55

 
$
17.05

Diluted earnings per common share attributable to Charter shareholders
$
5.22

 
$
34.09

 
$
15.94


18.    Related Party Transactions

The following sets forth certain transactions in which the Company and the directors, executive officers, and affiliates of the Company are involved or, in the case of the management arrangements, subsidiaries that are debt issuers that pay certain of their parent companies for services.

Charter is a party to management arrangements with Spectrum Management Holding Company, LLC ("Spectrum Management") and certain of their subsidiaries. Under these agreements, Charter, Spectrum Management and Charter Holdco provide management services for the cable systems owned or operated by their subsidiaries. Costs associated with providing these services are charged directly to the Company’s operating subsidiaries. All other costs incurred on behalf of Charter’s operating subsidiaries are considered a part of the management fee. These costs are recorded as a component of operating costs and expenses, in the accompanying consolidated financial statements. The management fee charged to the Company’s operating subsidiaries approximated the expenses incurred by Spectrum Management, Charter Holdco and Charter on behalf of the Company’s operating subsidiaries in 2018, 2017 and 2016.

Liberty Broadband and A/N

Under the terms of the Amended and Restated Stockholders Agreement with Liberty Broadband, A/N and Legacy Charter, dated May 23, 2015, (the “Stockholders Agreement”), the number of Charter’s directors is fixed at 13, and includes its CEO. Two designees selected by A/N are members of the board of directors of Charter and three designees selected by Liberty Broadband


F- 40


CHARTER COMMUNICATIONS, INC. AND SUBSIDIARIES
NOTES TO CONSOLIDATED FINANCIAL STATEMENTS
DECEMBER 31, 2018, 2017 AND 2016
(dollars in millions, except share or per share data or where indicated)

are members of the board of directors of Charter. The remaining eight directors are not affiliated with either A/N or Liberty Broadband. Each of A/N and Liberty Broadband is entitled to nominate at least one director to each of the committees of Charter's board of directors, subject to applicable stock exchange listing rules and certain specified voting or equity ownership thresholds for each of A/N and Liberty Broadband, and provided that the Nominating and Corporate Governance Committee and the Compensation and Benefit Committee each have at least a majority of directors independent from A/N, Liberty Broadband and Charter (referred to as the “unaffiliated directors”). Each of the Nominating and Corporate Governance Committee and the Compensation and Benefits Committee is currently comprised of three unaffiliated directors and one designee of each of A/N and Liberty Broadband. A/N and Liberty Broadband also have certain other committee designation and other governance rights. Mr. Thomas Rutledge, the Company’s CEO, is the chairman of the board of Charter.

In December 2017, Charter and A/N entered into an amendment to the letter agreement (the "Letter Agreement") that requires A/N to sell to Charter or to Charter Holdings, on a monthly basis, a number of shares of Charter Class A common stock or Charter Holdings common units that represents a pro rata participation by A/N and its affiliates in any repurchases of shares of Charter Class A common stock from persons other than A/N effected by Charter during the immediately preceding calendar month, at a purchase price equal to the average price paid by Charter for the shares repurchased from persons other than A/N during such immediately preceding calendar month. A/N and Charter both have the right to terminate or suspend the pro rata repurchase arrangement on a prospective basis once Charter or Charter Holdings have repurchased shares of Class A common stock or Charter Holdings common units from A/N and its affiliates for an aggregate purchase price of $400 million, which threshold has been reached. Pursuant to the TRA between Charter and A/N, Charter must pay to A/N 50% of the tax benefit when realized by Charter from the step-up in tax basis resulting from any future exchange or sale of the preferred and common units. See Note 16 for more information.

The Company is aware that Dr. John Malone, a director emeritus of Charter and Chairman of the board of directors and holder of 47.1% of voting interest in Liberty Broadband, may be deemed to have a 37.5% voting interest in Qurate Retail, Inc. ("Qurate," formerly known as Liberty Interactive Corporation) and is on the board of directors of Qurate. Qurate wholly owns HSN, Inc. (“HSN”) and QVC, Inc. (“QVC”). The Company has programming relationships with HSN and QVC. For the years ended December 31, 2018, 2017 and 2016, the Company recorded revenue in aggregate of approximately $73 million, $77 million and $53 million, respectively, from HSN and QVC as part of channel carriage fees and revenue sharing arrangements for home shopping sales made to customers in the Company’s footprint.

Dr. Malone and Mr. Steven Miron, a member of Charter’s board of directors, also serve on the board of directors of Discovery Communications, Inc., (“Discovery”). The Company is aware that Dr. Malone owns 93.6% of the series B common stock of Discovery, 6% of the series C common stock of Discovery and has a 28% voting interest in Discovery for the election of directors. The Company is aware that Advance/Newhouse Programming Partnership (“A/N PP”), an affiliate of A/N and in which Mr. Miron is the CEO, owns 100% of the Series A-1 preferred stock of Discovery and 100% of the Series C-1 preferred stock of Discovery and has a 24.2% voting interest for the election of directors. A/N PP has the right to appoint three directors out of a total of eleven directors to Discovery’s board to be elected by the holders of Discovery’s Series A-1 preferred stock. The Company purchases programming from Discovery pursuant to agreements entered into prior to Dr. Malone and Mr. Miron joining Charter’s board of directors. Based on publicly available information, the Company does not believe that Discovery would currently be considered a related party. The amount paid to Discovery represents less than 3% of total operating costs and expenses for the years ended December 31, 2018, 2017 and 2016.

Equity Investments

The Company has agreements with certain equity-method investees (see Note 6) pursuant to which the Company has made or received related party transaction payments. The Company recorded payments to equity-method investees totaling $361 million, $317 million and $171 million during the years ended December 31, 2018, 2017 and 2016, respectively.



F- 41


CHARTER COMMUNICATIONS, INC. AND SUBSIDIARIES
NOTES TO CONSOLIDATED FINANCIAL STATEMENTS
DECEMBER 31, 2018, 2017 AND 2016
(dollars in millions, except share or per share data or where indicated)

19.    Commitments and Contingencies

Commitments

The following table summarizes the Company’s payment obligations as of December 31, 2018 for its contractual obligations.

 
Total
 
2019
 
2020
 
2021
 
2022
 
2023
 
Thereafter
Capital and Operating Lease Obligations (a)
$
1,611

 
$
296

 
$
263

 
$
216

 
$
179

 
$
153

 
$
504

Programming Minimum Commitments (b)
191

 
124

 
41

 
26

 

 

 

Other (c)
16,278

 
2,209

 
2,085

 
2,608

 
525

 
522

 
8,329

 
$
18,080

 
$
2,629

 
$
2,389

 
$
2,850

 
$
704

 
$
675

 
$
8,833


(a) 
The Company leases certain facilities and equipment under non-cancelable capital and operating leases. Capital lease obligations represented $111 million of total capital and operating lease obligations as of December 31, 2018. Lease and rental costs charged to expense for the years ended December 31, 2018, 2017 and 2016 were $382 million, $321 million, $215 million, respectively.
(b) 
The Company pays programming fees under multi-year contracts ranging from three to ten years, typically based on a flat fee per customer, which may be fixed for the term, or may in some cases escalate over the term. Programming costs included in the statement of operations were $11.1 billion, $10.6 billion and $7.0 billion for the years ended December 31, 2018, 2017 and 2016 respectively. Certain of the Company’s programming agreements are based on a flat fee per month or have guaranteed minimum payments. The table sets forth the aggregate guaranteed minimum commitments under the Company’s programming contracts.
(c) 
“Other” represents other guaranteed minimum commitments, including rights negotiated directly with content owners for distribution on company-owned channels or networks, commitments related to our role as an advertising and distribution sales agent for third party-owned channels or networks, commitments to our customer premise equipment and device vendors and contractual obligations related to third-party network augmentation.

The following items are not included in the contractual obligation table due to various factors discussed below. However, the Company incurs these costs as part of its operations:

The Company rents utility poles used in its operations. Generally, pole rentals are cancelable on short notice, but the Company anticipates that such rentals will recur. Rent expense incurred for pole rental attachments for the years ended December 31, 2018, 2017 and 2016 was $171 million, $167 million and $115 million, respectively.
The Company pays franchise fees under multi-year franchise agreements based on a percentage of revenues generated from video service per year. The Company also pays other franchise related costs, such as public education grants, under multi-year agreements. Franchise fees and other franchise-related costs included in the accompanying statement of operations were $747 million, $705 million and $534 million for the years ended December 31, 2018, 2017 and 2016 respectively.
The Company has $358 million in letters of credit, of which $138 million is secured under the Charter Operating credit facility, primarily to its various casualty carriers as collateral for reimbursement of workers' compensation, auto liability and general liability claims.
Minimum pension funding requirements have not been presented in the table above as such amounts have not been determined beyond 2018. The Company made no cash contributions to the qualified pension plans in 2018; however, the Company is permitted to make discretionary cash contributions to the qualified pension plans in 2019. For the nonqualified pension plan, the Company contributed $6 million during 2018 and will continue to make contributions in 2019 to the extent benefits are paid.

Legal Proceedings

In August 2015, a purported stockholder of Charter, Matthew Sciabacucchi, filed a lawsuit in the Delaware Court of Chancery, on behalf of a putative class of Charter stockholders, challenging the transactions involving Charter, TWC, A/N, and Liberty Broadband announced by Charter on May 26, 2015. The lawsuit, which named as defendants Charter and its board of directors, alleged that the transactions resulted from breaches of fiduciary duty by Charter’s directors and that Liberty Broadband improperly benefited from the challenged transactions at the expense of other Charter stockholders. The lawsuit has proceeded to the discovery phase. Charter denies any liability, believes that it has substantial defenses, and intends to vigorously defend this lawsuit. Although


F- 42


CHARTER COMMUNICATIONS, INC. AND SUBSIDIARIES
NOTES TO CONSOLIDATED FINANCIAL STATEMENTS
DECEMBER 31, 2018, 2017 AND 2016
(dollars in millions, except share or per share data or where indicated)

Charter is unable to predict the outcome of this lawsuit, it does not expect the outcome will have a material effect on its operations, financial condition or cash flows.

The California Attorney General and the Alameda County, California District Attorney are investigating whether certain of Charter’s waste disposal policies, procedures and practices are in violation of the California Business and Professions Code and the California Health and Safety Code. That investigation was commenced in January 2014. A similar investigation involving TWC was initiated in February 2012. Charter is cooperating with these investigations. While the Company is unable to predict the outcome of these investigations, it does not expect that the outcome will have a material effect on its operations, financial condition, or cash flows.

On December 19, 2011, Sprint Communications Company L.P. (“Sprint”) filed a complaint in the U.S. District Court for the District of Kansas alleging that TWC infringed certain U.S. patents purportedly relating to Voice over Internet Protocol (“VoIP”) services. A trial began on February 13, 2017.  On March 3, 2017 the jury returned a verdict of $140 million against TWC and further concluded that TWC had willfully infringed Sprint’s patents. The court subsequently declined to enhance the damage award as a result of the purported willful infringement and awarded Sprint an additional $6 million, representing pre-judgment interest on the damages award. The Company appealed the case to the United States Court of Appeals for the Federal Circuit where the Company lost the appeal. The Company expects to petition the court of appeals for rehearing and continue to pursue its appeal rights. In addition to its appeal, the Company continues to pursue indemnity from one of its vendors and has brought a patent suit against Sprint (TC Tech, LLC v. Sprint) in the U.S. District Court for the District of Delaware implicating Sprint's LTE technology.  The impact of the Sprint verdict was reflected in the measurement period adjustments to net current liabilities. The Company does not expect that the outcome of this litigation will have a material adverse effect on its operations or financial condition.  The ultimate outcomes of the appeal of the Sprint Kansas case, the pursuit of indemnity against the Company’s vendor and the TC Tech litigation cannot be predicted.
 
Sprint filed a second suit against Charter on December 2, 2017 in the United States District Court for the District of Delaware. This suit alleges infringement of 15 patents related to the Company's provision of VoIP services (ten of which were already asserted against Legacy TWC in the matter described above). Charter will vigorously defend this case. While the Company is unable to predict the outcome of this Sprint suit, it does not expect that this litigation will have a material effect on its operations, financial condition, or cash flows.

Sprint filed a third suit against Charter on May 17, 2018 in the United States District Court for the Eastern District of Virginia. This suit alleges infringement of three patents related to the Company's video on demand services. The Company will vigorously defend this case. The parties recently agreed to transfer this case to the United States District Court for the District of Delaware. While the Company is unable to predict the outcome of this litigation, it does not expect that this litigation will have a material effect on its operations, financial condition, or cash flows.

The New York Public Service Commission (the “PSC”) issued multiple orders against Charter including two orders on July 27, 2018 relating to the agreement by which the PSC approved Charter’s merger with TWC. One order determined that Charter had failed to satisfy one of its merger conditions by not extending its high speed broadband network according to the PSC’s recent interpretation of which homes and businesses Charter built to should count. The order further directed the initiation of a court action to impose financial and other penalties on Charter. The second order purported to rescind the PSC’s January 2016 approval of Charter’s acquisition of TWC’s New York operations and directs Charter to submit a plan to effect an orderly transition to a successor provider or providers for Charter to cease operations in New York within six months of the order.  As the PSC and Charter entered into discussions with the possibility of resolving the PSC related matters, the PSC extended such deadline on five occasions with the last extension requiring submission of an exit plan by March 4, 2019 with a February 4, 2019 deadline by when Charter would have to file formal oppositions to the PSC orders. On July 30, 2018, the PSC filed a petition for penalties and injunctive relief in the Supreme Court of the State of New York seeking penalties of $100,000 per day from June 18, 2018 and until Charter complies with the PSC order and also seeks injunctive relief from the court to enjoin failure to comply with the New York Public Service Laws or any regulation or order of the PSC. While the Company believes the actions by the PSC are without merit and intends to defend the actions vigorously and does not believe the results of the proceedings will have a material adverse effect on Charter, no assurance can be given that, should an adverse outcome result, it would not be material to its consolidated financial condition, results of operations or liquidity. The Company cannot predict the outcome of the PSC claims, including any negotiations, nor can it reasonably estimate a range of possible loss in the event of an adverse result.

On October 23, 2015, the New York Office of the Attorney General (the “NY AG”) began an investigation of TWC's advertised Internet speeds and other Internet product advertising. On February 1, 2017, the NY AG filed suit in the Supreme Court for the


F- 43


CHARTER COMMUNICATIONS, INC. AND SUBSIDIARIES
NOTES TO CONSOLIDATED FINANCIAL STATEMENTS
DECEMBER 31, 2018, 2017 AND 2016
(dollars in millions, except share or per share data or where indicated)

State of New York alleging that TWC's advertising of Internet speeds was false and misleading. The case settled in December 2018. 

In addition to the Sprint litigation described above, the Company is a defendant or co-defendant in several additional lawsuits involving alleged infringement of various patents relating to various aspects of its businesses. Other industry participants are also defendants in certain of these cases. In the event that a court ultimately determines that the Company infringes on any intellectual property rights, the Company may be subject to substantial damages and/or an injunction that could require the Company or its vendors to modify certain products and services the Company offers to its subscribers, as well as negotiate royalty or license agreements with respect to the patents at issue. While the Company believes the lawsuits are without merit and intends to defend the actions vigorously, no assurance can be given that any adverse outcome would not be material to the Company’s consolidated financial condition, results of operations, or liquidity. The Company cannot predict the outcome of any such claims nor can it reasonably estimate a range of possible loss.

The Company is party to other lawsuits, claims and regulatory inquiries that arise in the ordinary course of conducting its business. The ultimate outcome of these other legal matters pending against the Company cannot be predicted, and although such lawsuits and claims are not expected individually to have a material adverse effect on the Company’s consolidated financial condition, results of operations or liquidity, such lawsuits could have, in the aggregate, a material adverse effect on the Company’s consolidated financial condition, results of operations or liquidity. Whether or not the Company ultimately prevails in any particular lawsuit or claim, litigation can be time consuming and costly and injure the Company’s reputation.

20.    Employee Benefit Plans

Pension Plans

The Company sponsors two qualified defined benefit pension plans, the TWC Pension Plan and the TWC Union Pension Plan, that provide pension benefits to a majority of Legacy TWC employees who were employed by TWC before the Transactions. The Company also provides a nonqualified defined benefit pension plan for certain employees under the TWC Excess Pension Plan.
 
Changes in the projected benefit obligation, fair value of plan assets and funded status of the pension plans from January 1 through December 31 are presented below:
 
 
2018
 
2017
Projected benefit obligation at beginning of year
$
3,569

 
$
3,260

Interest cost
128

 
133

Actuarial (gain) loss
(438
)
 
406

Settlement
(169
)
 
(185
)
Benefits paid
(49
)
 
(45
)
Projected benefit obligation at end of year
$
3,041

 
$
3,569

 
 
 
 
Accumulated benefit obligation at end of year
$
3,041

 
$
3,569

 
 
 
 
Fair value of plan assets at beginning of year
$
3,273

 
$
2,946

Actual return on plan assets
(118
)
 
539

Employer contributions
6

 
18

Settlement
(169
)
 
(185
)
Benefits paid
(49
)
 
(45
)
Fair value of plan assets at end of year
$
2,943

 
$
3,273

 
 
 
 
Funded status
$
(98
)
 
$
(296
)



F- 44


CHARTER COMMUNICATIONS, INC. AND SUBSIDIARIES
NOTES TO CONSOLIDATED FINANCIAL STATEMENTS
DECEMBER 31, 2018, 2017 AND 2016
(dollars in millions, except share or per share data or where indicated)

The projected benefit obligation, accumulated benefit obligation and fair value of plan assets for the qualified pension plans and the nonqualified pension plan as of December 31, 2018 and 2017 consisted of the following:

 
Qualified Pension Plans
 
Nonqualified Pension Plan
 
December 31,
 
December 31,
 
2018
 
2017
 
2018
 
2017
Projected benefit obligation
$
3,007

 
$
3,528

 
$
34

 
$
41

Accumulated benefit obligation
$
3,007

 
$
3,528

 
$
34

 
$
41

Fair value of plan assets
$
2,943

 
$
3,273

 
$

 
$


Pretax amounts recognized in the consolidated balance sheet as of December 31, 2018 and 2017 consisted of the following:

 
December 31,
 
2018
 
2017
Noncurrent asset
$
1

 
$
1

Current liability
(4
)
 
(5
)
Long-term liability
(95
)
 
(292
)
Net amounts recognized in consolidated balance sheet
$
(98
)
 
$
(296
)

The components of net periodic benefit for the years ended December 31, 2018, 2017 and 2016 consisted of the following:

 
Year Ended December 31,
 
2018
 
2017
 
2016
Service cost
$

 
$

 
$
(86
)
Interest cost
(128
)
 
(133
)
 
(87
)
Expected return on plan assets
198

 
189

 
116

Pension curtailment gain

 

 
675

Remeasurement gain (loss)
122

 
(55
)
 
195

Net periodic pension benefit
$
192

 
$
1

 
$
813


During the years ended December 31, 2018 and 2017, settlements for lump-sum distributions to qualified and nonqualified pension plan participants exceeded the estimated annual interest cost of the plans. As a result, the pension liability and pension asset values were reassessed as of September 30, 2018 and 2017 utilizing remeasurement date assumptions in accordance with the Company's mark-to-market pension accounting policy to record gains and losses in the period in which a remeasurement event occurs.

The $122 million remeasurement gain recorded during the year ended December 31, 2018 was primarily driven by the effects of an increase of the discount rate from 3.68% at December 31, 2017 to 4.37% at December 31, 2018. This was partially offset by a loss to record pension assets to fair value at December 31, 2018. Approximately $187 million of the remeasurement gain was recorded for the interim remeasurement event as of September 30, 2018 and was offset by a $65 million loss recorded for the annual remeasurement as of December 31, 2018.
 
The $55 million remeasurement loss recorded during the year ended December 31, 2017 was primarily driven by the adoption of the revised lump sum conversion mortality tables published by the IRS effective January 1, 2018, and the effects of a decrease of the discount rate from 4.20% at December 31, 2016 to 3.68% at December 31, 2017, partially offset by a gain to record pension assets to fair value. Approximately $30 million of the remeasurement loss was recorded for the interim remeasurement event as of September 30, 2017 and $25 million was recorded for the annual remeasurement as of December 31, 2017.



F- 45


CHARTER COMMUNICATIONS, INC. AND SUBSIDIARIES
NOTES TO CONSOLIDATED FINANCIAL STATEMENTS
DECEMBER 31, 2018, 2017 AND 2016
(dollars in millions, except share or per share data or where indicated)

The $195 million remeasurement gain recorded during the year ended December 31, 2016 was primarily driven by the effects of an increase of the discount rate from 3.99% at the closing date of the TWC Transaction to 4.20% at December 31, 2016 and a gain to record pension assets at December 31, 2016 fair values.

The discount rates used to determine benefit obligations as of December 31, 2018 and 2017 were 4.37% and 3.68%, respectively. The Company utilized the RP 2015/MP2015 mortality tables published by the Society of Actuaries to measure the benefit obligations as of December 31, 2018 and 2017.

Weighted average assumptions used to determine net periodic benefit costs for the years ended December 31, 2018, 2017 and 2016 consisted of the following:

 
Year ended December 31,
 
2018
 
2017
 
2016
Expected long-term rate of return on plan assets(a)
5.75
%
 
6.50
%
 
6.50
%
Discount rate (b)
4.24
%
 
3.88
%
 
3.72
%
Rate of compensation increase (c)
%
 
%
 
%

(a) 
The expected long-term rate of return on plan assets decreased in 2018 consistent with the derisking shift to increase the fixed income, liability-matching investment allocation.
(b) 
The discount rate used to determine net periodic pension benefit was 3.68% from January 1, 2018 through remeasurement date (September 30, 2018), and was 4.24% from remeasurement date through December 31, 2018. The discount rate used to determine net periodic pension benefit was 4.20% from January 1, 2017 through remeasurement date (September 30, 2017), and was 3.88% from remeasurement date through December 31, 2017. The discount rate used to determine net periodic pension benefit was 3.99% from the closing date of the TWC Transaction through remeasurement date (June 30, 2016), and was 3.72% from remeasurement date through December 31, 2016.
(c) 
The rate of compensation increase used to determine net periodic pension benefit was 4.25% from the closing date of the TWC Transaction through remeasurement date (June 30, 2016), and 0% thereafter. See “Pension Plan Curtailment Amendment” below for further discussion.

In developing the expected long-term rate of return on plan assets, the Company considered the pension portfolio’s composition, past average rate of earnings and the Company’s future asset allocation targets. The weighted average expected long-term rate of return on plan assets and discount rate used to determine net periodic pension benefit for the year ended December 31, 2019 are expected to be 5.75% and 4.37%, respectively. The Company determined the discount rates used to determine benefit obligations and net periodic pension benefit based on the yield of a large population of high quality corporate bonds with cash flows sufficient in timing and amount to settle projected future defined benefit payments.

Pension Plan Curtailment Amendment
Following the closing of the TWC Transaction, Charter amended the pension plans to freeze future benefit accruals to current active plan participants as of August 31, 2016. Effective September 1, 2016, no future compensation increases or future service will be credited to participants of the pension plans and new hires are not eligible to participate in the plans. Upon announcement and approval of the plan amendment, the assumptions underlying the pension liability and pension asset values were reassessed utilizing remeasurement date assumptions in accordance with Charter’s mark-to-market pension accounting policy to record gains and losses in the period in which a remeasurement event occurs. The $675 million curtailment gain recorded during the year ended December 31, 2016 was primarily driven by the reduction of the compensation rate assumption to 0% in accordance with the terms of the plan amendment, reflecting the pension liability at its accumulated benefit obligation instead of its projected benefit obligation at the remeasurement date.

Pension Plan Assets

The assets of the qualified pension plans are held in a master trust in which the qualified pension plans are the only participating plans (the “Master Trust”). The investment policy for the qualified pension plans is to manage the assets of the Master Trust with the objective to provide for pension liabilities to be met, maintaining retirement income security for the participants of the plans


F- 46


CHARTER COMMUNICATIONS, INC. AND SUBSIDIARIES
NOTES TO CONSOLIDATED FINANCIAL STATEMENTS
DECEMBER 31, 2018, 2017 AND 2016
(dollars in millions, except share or per share data or where indicated)

and their beneficiaries. The investment portfolio is a mix of pooled funds invested in fixed income securities, equity securities and certain alternative investments with the objective of matching plan liability performance, diversifying risk and achieving a target investment return.

The pension plan’s Investment Committee establishes risk mitigation policies and regularly monitors investment performance, investment allocation policies, and the execution of these strategies. The Investment Committee engages a third-party investment firm with responsibility of executing the directives of the Investment Committee, monitoring the performance of individual investment managers of the Master Trust, and making adjustments and changes within defined parameters when necessary. On a periodic basis, the Investment Committee conducts a broad strategic review of its portfolio construction and investment allocation policies. Neither the Company, the Investment Committee, nor the third-party investment firm manages any assets internally.

Pension assets are managed in a balanced portfolio comprised of two major components: a return-seeking portion and a liability-matching portion. The expected role of return-seeking investments is to achieve a reasonable long-term growth of pension assets with a prudent level of risk using asset diversity in order to balance return and volatility, while the role of liability-matching investments is to provide a partial economic hedge against liability performance associated with changes in interest rates.

The Company uses an investment strategy referred to as a de-risking glide path to increase the fixed income allocation as the funded status of the qualified pension plans improves. As the qualified pension plans reach set funded status milestones, the assets will be rebalanced to shift more assets from equity to fixed income. Based on the progress with this strategy, the target investment allocation for pension fund assets is permitted to vary within specified ranges subject to Investment Committee approval for return-seeking securities and liability-matching securities. The target and actual investment allocation of the qualified pension plans by asset category consisted of the following:

 
December 31, 2018
 
December 31, 2017
 
Target
 
Actual
 
Target
 
Actual
 
Allocation
 
Allocation
 
Allocation
 
Allocation
Return-seeking securities
60.0
%
 
54.6
%
 
75.0
%
 
73.1
%
Liability-matching securities
40.0
%
 
45.1
%
 
25.0
%
 
26.7
%
Other investments
%
 
0.3
%
 
%
 
0.2
%

The following tables set forth the investment assets of the qualified pension plans by level within the fair value hierarchy as of December 31, 2018 and 2017:

 
December 31, 2018
 
Fair Value
 
Level 1
 
Level 2
Cash
$
4

 
$
4

 
$

Commingled bond funds(a)
1,270

 

 
1,270

Commingled equity funds(a)
952

 

 
952

Collective trust funds(b)
113

 

 
113

Total investment assets
2,339

 
$
4

 
$
2,335

Accrued investment income and other receivables
11

 
 
 
 
Investments measured at net asset value(c)
593

 
 
 
 
Fair value of plan assets
$
2,943

 
 
 
 



F- 47


CHARTER COMMUNICATIONS, INC. AND SUBSIDIARIES
NOTES TO CONSOLIDATED FINANCIAL STATEMENTS
DECEMBER 31, 2018, 2017 AND 2016
(dollars in millions, except share or per share data or where indicated)

 
December 31, 2017
 
Fair Value
 
Level 1
 
Level 2
Cash
$
3

 
$
3

 
$

Commingled bond funds(a)
796

 

 
796

Commingled equity funds(a)
2,368

 

 
2,368

Collective trust funds(b)
68

 

 
68

Total investment assets
3,235

 
$
3

 
$
3,232

Accrued investment income and other receivables
34

 
 
 
 
Investments measured at net asset value(c)
4

 
 
 
 
Fair value of plan assets
$
3,273

 
 
 
 

(a) 
Commingled funds include bond funds with corporate and U.S. treasury debt securities and equity funds with global equity index, infrastructure and real estate securities that have a readily determinable fair value and are valued using the net assets provided by the administrator of the fund. The value of each fund is based on the fair value of underlying securities in the portfolio, which represents the amount that the fund might reasonably expect to receive for the securities upon a sale, less liabilities, and then divided by the number of units outstanding. Equity securities within the funds are valued using observable inputs on either a daily or weekly basis and the resulting per share value serves as a basis for current redemption value. Debt securities within the funds are valued based on observable prices from the new issue market, benchmark quotes, secondary trading and dealer quotes.
(b) 
Collective trust funds consist of short-term investment strategies comprised of instruments issued or fully guaranteed by the U.S. government and/or its agencies and multi-strategy funds, which are valued using the net assets provided by the administrator of the fund. The value of each fund is based on the readily determinable fair value of the underlying assets owned by the fund, less liabilities, and then divided by the number of units outstanding.
(c) 
As a practical expedient, certain investment classes which hold securities that are not readily available for redemption and are measured at fair value using the net asset value ("NAV") per share (or its equivalent) have not been classified in the fair value hierarchy.

Investments Measured at Net Asset Value per Share Practical Expedient

The following table summarizes the investment classes for which fair value is measured using the NAV per share (or its equivalent) practical expedient as of December 31, 2018. These investment classes are not readily available for redemption. The NAV of each fund is based on the fair value of underlying assets in the portfolio. Certain investments report NAV per share on a month or quarter lag. There are no material unfunded commitments with respect to these investment classes.

 
December 31, 2018
 
Fair Value
 
Redemption Frequency (if currently eligible)
 
Redemption Notice Period
Alternative funds(a)
$
301

 
weekly, monthly
 
1-180 days
Fixed income funds(b)
164

 
daily, monthly
 
10-40 days
Real estate funds(c)
128

 
quarterly
 
45-90 days
Investments measured at NAV
$
593

 
 
 
 

(a) 
The alternative fund investment class includes funds with various securities selected to provide complimentary sources of return with our equity and bond portfolios that better manage risk.  The Company’s alternative fund investments include holdings such as public equities, exchange traded derivatives, and corporate bonds, among others. A portion of the alternative funds cannot be redeemed until the one year anniversary of the purchase date.
(b) 
This investment class includes funds that invest in residential and commercial mortgages, as well as global sovereign securities.
(c) 
This investment class includes real estate funds that are not publicly traded and invest primarily in unlisted direct core real estate, including super-regional malls, shopping centers, and commercial real estate (e.g. education, healthcare and storage).



F- 48


CHARTER COMMUNICATIONS, INC. AND SUBSIDIARIES
NOTES TO CONSOLIDATED FINANCIAL STATEMENTS
DECEMBER 31, 2018, 2017 AND 2016
(dollars in millions, except share or per share data or where indicated)

Pension Plan Contributions
The Company made no cash contributions to the qualified pension plans during the years ended December 31, 2018, 2017 and 2016; however, the Company may make discretionary cash contributions to the qualified pension plans in the future. Such contributions will be dependent on a variety of factors, including current and expected interest rates, asset performance, the funded status of the qualified pension plans and management’s judgment. For the nonqualified unfunded pension plan, the Company will continue to make contributions during 2019 to the extent benefits are paid.

Benefit payments for the pension plans are expected to be $161 million in 2019, $166 million in 2020, $170 million in 2021, $172 million in 2022, $174 million in 2023 and $866 million in 2024 to 2028.

Multiemployer Plans

The Company contributes to multiemployer plans under the terms of collective-bargaining agreements that cover its union-represented employees. Such multiemployer plans provide medical, pension and retirement savings benefits to active employees and retirees. The Company made contributions to multiemployer plans of $9 million, $18 million and $31 million for the years ended December 31, 2018, 2017 and 2016, respectively.

The risks of participating in multiemployer pension plans are different from single-employer pension plans in the following aspects: (a) assets contributed to a multiemployer pension plan by one employer may be used to provide benefits to employees of other participating employers, (b) if a participating employer stops contributing to the multiemployer pension plan, the unfunded obligations of the plan may be borne by the remaining participating employers and (c) if the Company chooses to stop participating in any of the multiemployer pension plans, it may be required to pay those plans an amount based on the underfunded status of the plan, referred to as a withdrawal liability. The Company records withdrawal liabilities as other long-term liabilities in the consolidated balance sheets. As of December 31, 2018 and 2017, other long-term liabilities includes approximately $104 million and $83 million, respectively, related to the Company's withdrawal from a multiemployer pension plan.

The multiemployer pension plan to which the Company has contributed received a Pension Protection Act “green” zone status in 2017. The zone status is based on the most recent information the Company received from the plan and is certified by the plan’s actuary. Among other factors, plans in the green zone are at least 80% funded.

Defined Contribution Benefit Plans

The Company’s employees may participate in the Charter Communications, Inc. 401(k) Savings Plan (the “401(k) Plan”). Employees that qualify for participation can contribute up to 50% of their salary, on a pre-tax basis, subject to a maximum contribution limit as determined by the Internal Revenue Service. The Company’s matching contribution is discretionary and is equal to 100% of the amount of the salary reduction the participant elects to defer (up to 6% of the participant’s eligible compensation), excluding any catch-up contributions and is paid by the Company on a per pay period basis. The Company made contributions to the 401(k) plan totaling $290 million, $274 million and $147 million for the years ended December 31, 2018, 2017 and 2016, respectively.

For employees who are not eligible to participate in the Company’s long-term incentive plan and who are not covered by a collective bargaining agreement, the Company offers a contribution to the Retirement Accumulation Plan ("RAP"), equal to 3% of eligible pay. The Company made contributions to the RAP totaling $151 million, $139 million and $48 million for the years ended December 31, 2018, 2017 and 2016, respectively.

21.    Recently Issued Accounting Standards

Accounting Standards Adopted January 1, 2018

ASU No. 2014-09, Revenue from Contracts with Customers (“ASU 2014-09”)

In May 2014, the Financial Accounting Standards Board ("FASB") issued ASU 2014-09 which is a comprehensive revenue recognition standard that superseded nearly all revenue recognition guidance under U.S. GAAP. ASU 2014-09 provides a single principles-based, five step model to be applied to all contracts with customers, which steps are to (1) identify the contract(s) with


F- 49


CHARTER COMMUNICATIONS, INC. AND SUBSIDIARIES
NOTES TO CONSOLIDATED FINANCIAL STATEMENTS
DECEMBER 31, 2018, 2017 AND 2016
(dollars in millions, except share or per share data or where indicated)

the customer, (2) identify the performance obligations in the contract, (3) determine the transaction price, (4) allocate the transaction price to the performance obligations in the contract and (5) recognize revenue when each performance obligation is satisfied.

The Company adopted ASU 2014-09 as of January 1, 2018 using the modified retrospective transition method with a cumulative-effect adjustment to equity. The adoption of ASU 2014-09 did not have a material impact on the Company’s financial position or results of operation. Previously reported results will not be restated under this transition method. The adoption results in the deferral of residential and small and medium business installation revenues and enterprise commission expenses over a period of time instead of recognized immediately. The adoption also results in the reclassification of the amortization of up-front fees paid to market and serve customers who reside in residential MDUs to regulatory, connectivity and produced content within operating costs and expenses instead of amortized as an intangible to depreciation and amortization expense.

The January 1, 2018 adoption cumulative-effect adjustment consisted of an increase to other noncurrent assets of $120 million, an increase to accounts payable and accrued liabilities of $71 million, an increase to deferred income tax liabilities of $11 million and an increase to total shareholders’ equity of $38 million. The Company applied the cumulative-effect adjustment to all contracts as of January 1, 2018. Operating results for the year ended December 31, 2018 are not materially different than results that would have been reported under guidance in effect before application of ASU 2014-09.

ASU No. 2016-15, Statement of Cash Flows (Topic 230): Classification of Certain Cash Receipts and Cash Payments (“ASU 2016-15”)

In August 2016, the FASB issued ASU 2016-15 which clarifies how entities should classify cash receipts and cash payments related to eight specific cash flow matters on the statement of cash flows, with the objective of reducing existing diversity in practice. The Company adopted ASU 2016-15 on January 1, 2018. The adoption of ASU 2016-15 did not have a material impact to the Company’s consolidated financial statements.

ASU No. 2016-16, Income Taxes (Topic 740): Intra-Entity Transfers of Assets Other Than Inventory ("ASU 2016-16")

In October 2016, the FASB issued ASU 2016-16 which requires both the selling entity and the buying entity in an intra-entity asset transfer (other than the transfer of inventory) to immediately recognize the current and deferred income tax consequences of the transaction.  Income tax effects of intra-entity transfers of inventory will continue to be deferred until the inventory has been sold to a third party.  The Company adopted the standard on January 1, 2018, using a modified retrospective approach, with the cumulative-effect adjustment recognized directly to shareholders equity for the income tax effects of intra-entity asset transfers (other than transfers of inventory) that happened before the adoption date.   The Company identified a $31 million increase to total shareholders' equity and corresponding increase to deferred tax assets related to the adoption, which was recorded during the year ended December 31, 2018.

ASU No. 2016-18, Statement of Cash Flows (Topic 230): Restricted Cash (“ASU 2016-18”)

In November 2016, the FASB issued ASU 2016-18 which requires that amounts generally described as restricted cash to be included with cash and cash equivalents when reconciling the beginning-of-period and end-of-period total amounts shown on the statement of cash flows. ASU 2016-18 does not provide a definition of restricted cash or restricted cash equivalents. The Company adopted ASU 2016-18 on January 1, 2018. The new guidance will only be applicable to amounts described by the Company as restricted cash. As a result of the adoption of ASU 2016-18, $214 million of restricted cash was included in ending of period cash, cash equivalents and restricted cash in the Company's consolidated statement of cash flow for the year ended December 31, 2018. The Company's consolidated statement of cash flows for the year ended December 31, 2016 was also recast to present $22.3 billion of restricted cash as beginning of period cash, cash equivalents and restricted cash.

ASU No. 2017-09, Scope of Modification Accounting (“ASU 2017-09”)

In May 2017, the FASB issued ASU 2017-09 which amends the scope of modification accounting for share-based payment arrangements. The ASU provides guidance on the types of changes to the terms or conditions of share-based payment awards to which an entity would be required to apply modification accounting. ASU 2017-09 is applied prospectively to awards modified on or after the effective date. The Company adopted ASU 2017-09 on January 1, 2018. The adoption of ASU 2017-09 did not have a material impact to the Company’s consolidated financial statements.



F- 50


CHARTER COMMUNICATIONS, INC. AND SUBSIDIARIES
NOTES TO CONSOLIDATED FINANCIAL STATEMENTS
DECEMBER 31, 2018, 2017 AND 2016
(dollars in millions, except share or per share data or where indicated)

Accounting Standards Adopted January 1, 2019

ASU No. 2016-02, Leases (“ASU 2016-02”)

In February 2016, the FASB issued ASU 2016-02 which requires lessees to recognize almost all leases on their balance sheet as a lease asset and a lease liability.  Lessees are allowed to account for short-term leases (i.e., leases with a term of 12 months or less) off-balance sheet, consistent with current operating lease accounting.  For income statement purposes, the FASB retained a dual model, requiring leases to be classified as either operating or finance. Classification will be based on criteria that are largely similar to those applied in current lease accounting, but without explicit bright lines.  

The Company adopted ASU 2016-02 using the modified retrospective approach with a cumulative-effect adjustment recorded at the beginning of the period of adoption (January 1, 2019). Therefore, the Company will recognize and measure operating leases on the consolidated balance sheet without revising comparative period information or disclosure. The Company elected the package of practical expedients permitted under the transition guidance within the standard, which eliminates the reassessment of past leases, classification and initial direct costs. The Company also elected the land easements practical expedient which allows the Company not to retrospectively treat land easements as leases; however, must apply lease accounting prospectively to land easements if they meet the definition of a lease.

The Company elected the available practical expedients and implemented internal controls and key system functionality to enable the preparation of financial information on adoption. The new standard resulted in the recording of leased assets and lease liabilities for the Company’s operating leases of approximately $1.1 billion and $1.2 billion, respectively, as of January 1, 2019. The difference between the leased assets and lease liabilities primarily represents the existing deferred rent liabilities balance, resulting from historical straight-lining of operating leases, which was effectively reclassified upon adoption to reduce the measurement of the leased assets. The adoption of the standard did not have an impact on Company’s shareholders equity and is not anticipated to have an impact on Company’s results from operations and cash flows. The adoption of new standard will result in additional disclosures around amount, timing and uncertainty of cash flows arising from leases including quantitative and qualitative information including significant judgments in applying the new standard.

ASU No. 2018-13, Changes to the Disclosure Requirements for Fair Value Measurement ("ASU 2018-13")

In August 2018, the FASB issued ASU 2018-13 which amends fair value measurement disclosure requirements to eliminate, add and modify certain disclosures to improve the effectiveness of such disclosure in the notes to the financial statements. ASU 2018-13 will be effective for interim and annual periods beginning after December 15, 2019. Early adoption is permitted. The Company early adopted ASU 2018-13 on January 1, 2019. The adoption of ASU 2018-13 did not have a material impact to the Company's consolidated financial statements.

ASU No. 2018-14, Changes to the Disclosure Requirements for Defined Benefit Plans ("ASU 2018-14")

In August 2018, the FASB issued ASU 2018-14 which amends defined benefit plan disclosure requirements to eliminate, add and modify certain disclosures to improve the effectiveness of such disclosure in the notes to the financial statements. ASU 2018-14 will be effective for interim and annual periods beginning after December 15, 2021. Early adoption is permitted. The Company early adopted ASU 2018-14 on January 1, 2019. The adoption of ASU 2018-14 did not have a material impact to the Company's consolidated financial statements.

Accounting Standards Not Yet Adopted

ASU No. 2016-13, Measurement of Credit Losses on Financial Instruments (“ASU 2016-13”)

In June 2016, the FASB issued ASU 2016-13, which requires a financial asset (or a group of financial assets) measured at amortized cost basis to be assessed for impairment under the current expected credit loss model rather than an incurred loss model. The measurement of expected credit losses is based on relevant information about past events, including historical experience, current conditions and reasonable and supportable forecasts that affect the collectability of the reported amount.  ASU 2016-13 will be effective for interim and annual periods beginning after December 15, 2019 (January 1, 2020 for the Company). Early adoption is permitted.  The Company is currently evaluating the impact the adoption of ASU 2016-13 will have on its consolidated financial statements.


F- 51


CHARTER COMMUNICATIONS, INC. AND SUBSIDIARIES
NOTES TO CONSOLIDATED FINANCIAL STATEMENTS
DECEMBER 31, 2018, 2017 AND 2016
(dollars in millions, except share or per share data or where indicated)


ASU No. 2017-04, Simplifying the Test for Goodwill Impairment (“ASU 2017-04”)

In January 2017, the FASB issued ASU 2017-04 which eliminates step two from the goodwill impairment test. Under the new standard, to the extent the carrying amount of a reporting unit exceeds the fair value, the Company will record an impairment charge equal to the difference. The impairment charge recognized should not exceed the total amount of goodwill allocated to the reporting unit. ASU 2017-04 will be effective for interim and annual periods beginning after December 15, 2019 (January 1, 2020 for the Company). Early adoption is permitted. The Company does not expect the adoption of ASU 2017-04 to have a material impact on its consolidated financial statements.

ASU No. 2018-15, Customer’s Accounting for Implementation Costs in a Cloud Computing Arrangement That Is a Service Contract ("ASU 2018-15")

In August 2018, the FASB issued ASU 2018-15 which requires upfront implementation costs incurred in a cloud computing arrangement (or hosting arrangement) that is a service contract to be amortized to hosting expense over the term of the arrangement, beginning when the module or component of the hosting arrangement is ready for its intended use. ASU 2018-15 will be effective for annual and interim periods beginning after December 15, 2019 (January 1, 2020 for the Company). Early adoption is permitted. The Company is currently in the process of evaluating the impact that the adoption of ASU 2018-15 will have on its consolidated financial statements.

22.    Unaudited Quarterly Financial Data

The following table presents quarterly data for the periods presented in the consolidated statement of operations:

 
Year Ended December 31, 2018
 
First
 Quarter
 
Second Quarter
 
Third
Quarter
 
Fourth Quarter
Revenues
$
10,657

 
$
10,854

 
$
10,892

 
$
11,231

Income from operations
$
1,042

 
$
1,360

 
$
1,380

 
$
1,439

Net income attributable to Charter shareholders
$
168

 
$
273

 
$
493

 
$
296

 
 
 
 
 
 
 
 
Earnings per common share attributable to Charter shareholders:
 
 
 
 
 
 
 
Basic
$
0.71

 
$
1.17

 
$
2.14

 
$
1.31

Diluted
$
0.70

 
$
1.15

 
$
2.11

 
$
1.29

 
 
 
 
 
 
 
 
Weighted average common share outstanding:
 
 
 
 
 
 
 
Basic
237,762,295

 
234,241,769

 
230,554,633

 
227,005,966

Diluted
241,420,722

 
237,073,566

 
233,607,414

 
230,131,933




F- 52


CHARTER COMMUNICATIONS, INC. AND SUBSIDIARIES
NOTES TO CONSOLIDATED FINANCIAL STATEMENTS
DECEMBER 31, 2018, 2017 AND 2016
(dollars in millions, except share or per share data or where indicated)

 
Year Ended December 31, 2017
 
First
 Quarter
 
Second Quarter
 
Third
Quarter
 
Fourth Quarter
Revenues
$
10,164

 
$
10,357

 
$
10,458

 
$
10,602

Income from operations
$
941

 
$
1,052

 
$
909

 
$
1,204

Net income attributable to Charter shareholders
$
155

 
$
139

 
$
48

 
$
9,553

 
 
 
 
 
 
 
 
Earnings per common share attributable to Charter shareholders:
 
 
 
 
 
 
 
Basic
$
0.58

 
$
0.53

 
$
0.19

 
$
39.66

Diluted
$
0.57

 
$
0.52

 
$
0.19

 
$
34.56

 
 
 
 
 
 
 
 
Weighted average common share outstanding:
 
 
 
 
 
 
 
Basic
269,004,817

 
263,460,911

 
253,923,805

 
240,833,636

Diluted
273,199,509

 
267,309,261

 
258,341,851

 
278,257,245


23.     Consolidating Schedules

Each of Charter Operating, TWC, LLC, TWCE, CCO Holdings and certain subsidiaries jointly, severally, fully and unconditionally guarantee the outstanding debt securities of the others (other than the CCO Holdings notes) on an unsecured senior basis and the condensed consolidating financial information has been prepared and presented pursuant to SEC Regulation S-X Rule 3-10, Financial Statements of Guarantors and Issuers of Guaranteed Securities Registered or Being Registered. Certain Charter Operating subsidiaries that are regulated telephone entities only become guarantor subsidiaries upon approval by regulators. This information is not intended to present the financial position, results of operations and cash flows of the individual companies or groups of companies in accordance with generally accepted accounting principles.
 
The "Intermediate Holding Companies" column includes the assets and liabilities of the captive insurance company, a company wholly-owned by Charter outside of Charter Holdings and which does not, directly or indirectly, own any interest in Charter Holdings. The “Charter Operating and Restricted Subsidiaries” column is presented to comply with the terms of the Credit Agreement.

The “Safari Escrow Entities” column included in the condensed consolidating financial statements for the year ended December 31, 2016 consists of CCOH Safari, CCO Safari II and CCO Safari III. CCOH Safari, CCO Safari II and CCO Safari III issued the CCOH Safari notes, CCO Safari II notes and the CCO Safari III credit facilities, respectively. Upon closing of the TWC Transaction, the CCOH Safari notes became obligations of CCO Holdings and CCO Holdings Capital and the CCO Safari II notes and CCO Safari III credit facilities became obligations of Charter Operating and Charter Communications Operating Capital Corp. CCOH Safari merged into CCO Holdings and CCO Safari II and CCO Safari III merged into Charter Operating.

Condensed consolidating financial statements as of December 31, 2018 and 2017 and for the years ended December 31, 2018, 2017 and 2016 follow.


F- 53


CHARTER COMMUNICATIONS, INC. AND SUBSIDIARIES
NOTES TO CONSOLIDATED FINANCIAL STATEMENTS
DECEMBER 31, 2018, 2017 AND 2016
(dollars in millions, except share or per share data or where indicated)

Charter Communications, Inc. and Subsidiaries
Condensed Consolidating Balance Sheet
As of December 31, 2018
 
 
 
 
 
 
 
 
 
 
 
 
 
Non-Guarantor Subsidiaries
 
Guarantor Subsidiaries
 
 
 
 
 
Charter
 
Intermediate Holding Companies
 
CCO Holdings
 
Charter Operating and Restricted Subsidiaries
 
Eliminations
 
Charter Consolidated
ASSETS
 
 
 
 
 
 
 
 
 
 
 
CURRENT ASSETS:
 
 
 
 
 
 
 
 
 
 
 
Cash and cash equivalents
$

 
$
251

 
$

 
$
300

 
$

 
$
551

Accounts receivable, net
1

 
33

 

 
1,699

 

 
1,733

Receivables from related party
27

 
518

 
57

 

 
(602
)
 

Prepaid expenses and other current assets
14

 
32

 

 
400

 

 
446

Total current assets
42

 
834

 
57

 
2,399

 
(602
)
 
2,730

 
 
 
 
 
 
 
 
 
 
 
 
RESTRICTED CASH

 
214

 

 

 

 
214

 
 
 
 
 
 
 
 
 
 
 
 
INVESTMENT IN CABLE PROPERTIES:
 
 
 
 
 
 
 
 
 
 
Property, plant and equipment, net

 
468

 

 
34,658

 

 
35,126

Customer relationships, net

 

 

 
9,565

 

 
9,565

Franchises

 

 

 
67,319

 

 
67,319

Goodwill

 

 

 
29,554

 

 
29,554

Total investment in cable properties, net

 
468

 

 
141,096

 

 
141,564

 
 
 
 
 
 
 
 
 
 
 
 
INVESTMENT IN SUBSIDIARIES
53,592

 
60,530

 
78,960

 

 
(193,082
)
 

LOANS RECEIVABLE – RELATED PARTY
251

 
674

 
526

 

 
(1,451
)
 

OTHER NONCURRENT ASSETS

 
222

 

 
1,403

 
(3
)
 
1,622

 
 
 
 
 
 
 
 
 
 
 
 
Total assets
$
53,885

 
$
62,942

 
$
79,543

 
$
144,898

 
$
(195,138
)
 
$
146,130

 
 
 
 
 
 
 
 
 
 
 
 
LIABILITIES AND SHAREHOLDERS’/MEMBER’S EQUITY
 
 
 
 
 
 
 
 
 
 
 
 
 
 
 
 
 
 
 
CURRENT LIABILITIES:
 
 
 
 
 
 
 
 
 
 
 
Accounts payable and accrued liabilities
$
9

 
$
893

 
$
283

 
$
7,620

 
$

 
$
8,805

Payables to related party

 

 

 
602

 
(602
)
 

Current portion of long-term debt

 

 

 
3,290

 

 
3,290

Total current liabilities
9

 
893

 
283

 
11,512

 
(602
)
 
12,095

 
 
 
 
 
 
 
 
 
 
 
 
LONG-TERM DEBT

 

 
18,730

 
50,807

 

 
69,537

LOANS PAYABLE – RELATED PARTY

 

 

 
1,451

 
(1,451
)
 

DEFERRED INCOME TAXES
17,376

 
16

 

 

 
(3
)
 
17,389

OTHER LONG-TERM LIABILITIES
215

 
478

 

 
2,144

 

 
2,837

 
 
 
 
 
 
 
 
 
 
 
 
SHAREHOLDERS’/MEMBER’S EQUITY
 
 
 
 
 
 
 
 
 
 
 
Controlling interest
36,285

 
53,592

 
60,530

 
78,960

 
(193,082
)
 
36,285

Noncontrolling interests

 
7,963

 

 
24

 

 
7,987

Total shareholders’/member’s equity
36,285

 
61,555

 
60,530

 
78,984

 
(193,082
)
 
44,272

 
 
 
 
 
 
 
 
 
 
 
 
Total liabilities and shareholders’/member’s equity
$
53,885

 
$
62,942

 
$
79,543

 
$
144,898

 
$
(195,138
)
 
$
146,130




F- 54


CHARTER COMMUNICATIONS, INC. AND SUBSIDIARIES
NOTES TO CONSOLIDATED FINANCIAL STATEMENTS
DECEMBER 31, 2018, 2017 AND 2016
(dollars in millions, except share or per share data or where indicated)

Charter Communications, Inc. and Subsidiaries
Condensed Consolidating Balance Sheet
As of December 31, 2017
 
 
Non-Guarantor Subsidiaries
Guarantor Subsidiaries
 
 
 
 
 
Charter
 
Intermediate Holding Companies
 
CCO Holdings
 
Charter Operating and Restricted Subsidiaries
 
Eliminations
 
Charter Consolidated
ASSETS
 
 
 
 
 
 
 
 
 
 
 
CURRENT ASSETS:
 
 
 
 
 
 
 
 
 
 
 
Cash and cash equivalents
$

 
$
291

 
$

 
$
330

 
$

 
$
621

Accounts receivable, net

 
24

 

 
1,611

 

 
1,635

Receivables from related party
22

 
613

 
55

 

 
(690
)
 

Prepaid expenses and other current assets
22

 
34

 

 
243

 

 
299

Total current assets
44

 
962

 
55

 
2,184

 
(690
)
 
2,555

 
 
 
 
 
 
 
 
 
 
 
 
INVESTMENT IN CABLE PROPERTIES:
 
 
 
 
 
 
 
 
 
 
Property, plant and equipment, net

 
336

 

 
33,552

 

 
33,888

Customer relationships, net

 

 

 
11,951

 

 
11,951

Franchises

 

 

 
67,319

 

 
67,319

Goodwill

 

 

 
29,554

 

 
29,554

Total investment in cable properties, net

 
336

 

 
142,376

 

 
142,712

 
 
 
 
 
 
 
 
 
 
 
 
INVESTMENT IN SUBSIDIARIES
56,263

 
63,558

 
81,980

 

 
(201,801
)
 

LOANS RECEIVABLE – RELATED PARTY
233

 
655

 
511

 

 
(1,399
)
 

OTHER NONCURRENT ASSETS

 
223

 

 
1,133

 

 
1,356

 
 
 
 
 
 
 
 
 
 
 
 
Total assets
$
56,540

 
$
65,734

 
$
82,546

 
$
145,693

 
$
(203,890
)
 
$
146,623

 
 
 
 
 
 
 
 
 
 
 
 
LIABILITIES AND SHAREHOLDERS’/MEMBER’S EQUITY
 
 
 
 
 
 
 
 
 
 
 
 
 
 
 
 
 
 
 
CURRENT LIABILITIES:
 
 
 
 
 
 
 
 
 
 
 
Accounts payable and accrued liabilities
$
4

 
$
900

 
$
280

 
$
7,861

 
$

 
$
9,045

Payables to related party

 

 

 
690

 
(690
)
 

Current portion of long-term debt

 

 

 
2,045

 

 
2,045

Total current liabilities
4

 
900

 
280

 
10,596

 
(690
)
 
11,090

 
 
 
 
 
 
 
 
 
 
 
 
LONG-TERM DEBT

 

 
18,708

 
49,478

 

 
68,186

LOANS PAYABLE – RELATED PARTY

 

 

 
1,399

 
(1,399
)
 

DEFERRED INCOME TAXES
17,268

 
14

 

 
32

 

 
17,314

OTHER LONG-TERM LIABILITIES
184

 
134

 

 
2,184

 

 
2,502

 
 
 
 
 
 
 
 
 
 
 
 
SHAREHOLDERS’/MEMBER’S EQUITY
 
 
 
 
 
 
 
 
 
 
 
Controlling interest
39,084

 
56,263

 
63,558

 
81,980

 
(201,801
)
 
39,084

Noncontrolling interests

 
8,423

 

 
24

 

 
8,447

Total shareholders’/member’s equity
39,084

 
64,686

 
63,558

 
82,004

 
(201,801
)
 
47,531

 
 
 
 
 
 
 
 
 
 
 
 
Total liabilities and shareholders’/member’s equity
$
56,540

 
$
65,734

 
$
82,546

 
$
145,693

 
$
(203,890
)
 
$
146,623



F- 55


CHARTER COMMUNICATIONS, INC. AND SUBSIDIARIES
NOTES TO CONSOLIDATED FINANCIAL STATEMENTS
DECEMBER 31, 2018, 2017 AND 2016
(dollars in millions, except share or per share data or where indicated)


Charter Communications, Inc. and Subsidiaries
Condensed Consolidating Statement of Operations
For the year ended December 31, 2018
 
 
 
 
 
 
 
 
 
 
 
 
 
Non-Guarantor Subsidiaries
 
Guarantor Subsidiaries
 
 
 
 
 
Charter
 
Intermediate Holding Companies
 
CCO Holdings
 
Charter Operating and Restricted Subsidiaries
 
Eliminations
 
Charter Consolidated
REVENUES
$
46

 
$
1,141

 
$

 
$
43,620

 
$
(1,173
)
 
$
43,634

 
 
 
 
 
 
 
 
 
 
 
 
COSTS AND EXPENSES:
 
 
 
 
 
 
 
 
 
 
 
Operating costs and expenses (exclusive of items shown separately below)
46

 
1,096

 

 
27,891

 
(1,173
)
 
27,860

Depreciation and amortization

 
11

 

 
10,307

 

 
10,318

Other operating (income) expenses, net

 
5

 

 
230

 

 
235

 
46

 
1,112

 

 
38,428

 
(1,173
)
 
38,413

Income from operations

 
29

 

 
5,192

 

 
5,221

 
 
 
 
 
 
 
 
 
 
 
 
OTHER INCOME (EXPENSES):
 
 
 
 
 
 
 
 
 
 
 
Interest income (expense), net
9

 
30

 
(1,016
)
 
(2,563
)
 

 
(3,540
)
Loss on financial instruments, net

 

 

 
(110
)
 

 
(110
)
Other pension benefits

 

 

 
192

 

 
192

Other expense, net

 
(31
)
 

 
(46
)
 

 
(77
)
Equity in income of subsidiaries
1,377

 
1,632

 
2,648

 

 
(5,657
)
 

 
1,386

 
1,631

 
1,632

 
(2,527
)
 
(5,657
)
 
(3,535
)
 
 
 
 
 
 
 
 
 
 
 
 
Income before income taxes
1,386

 
1,660

 
1,632

 
2,665

 
(5,657
)
 
1,686

Income tax expense
(156
)
 
(8
)
 

 
(16
)
 

 
(180
)
Consolidated net income
1,230

 
1,652

 
1,632

 
2,649

 
(5,657
)
 
1,506

Less: Net income attributable to noncontrolling interests

 
(275
)
 

 
(1
)
 

 
(276
)
Net income
$
1,230

 
$
1,377

 
$
1,632

 
$
2,648

 
$
(5,657
)
 
$
1,230



F- 56


CHARTER COMMUNICATIONS, INC. AND SUBSIDIARIES
NOTES TO CONSOLIDATED FINANCIAL STATEMENTS
DECEMBER 31, 2018, 2017 AND 2016
(dollars in millions, except share or per share data or where indicated)



Charter Communications, Inc. and Subsidiaries
Condensed Consolidating Statement of Operations
For the year ended December 31, 2017
 
 
 
 
 
 
 
 
 
 
 
 
 
Non-Guarantor Subsidiaries
 
Guarantor Subsidiaries
 
 
 
 
 
Charter
 
Intermediate Holding Companies
 
CCO Holdings
 
Charter Operating and Restricted Subsidiaries
 
Eliminations
 
Charter Consolidated
REVENUES
$
90

 
$
1,186

 
$

 
$
41,578

 
$
(1,273
)
 
$
41,581

 
 
 
 
 
 
 
 
 
 
 
 
COSTS AND EXPENSES:
 
 
 
 
 
 
 
 
 
 
 
Operating costs and expenses (exclusive of items shown separately below)
90

 
1,164

 

 
26,560

 
(1,273
)
 
26,541

Depreciation and amortization

 
9

 

 
10,579

 

 
10,588

Other operating (income) expenses, net
(101
)
 
3

 

 
444

 

 
346

 
(11
)
 
1,176

 

 
37,583

 
(1,273
)
 
37,475

Income from operations
101

 
10

 

 
3,995

 

 
4,106

 
 
 
 
 
 
 
 
 
 
 
 
OTHER INCOME (EXPENSES):
 
 
 
 
 
 
 
 
 
 
 
Interest income (expense), net
5

 
20

 
(883
)
 
(2,232
)
 

 
(3,090
)
Loss on extinguishment of debt

 

 
(34
)
 
(6
)
 

 
(40
)
Gain on financial instruments, net

 

 

 
69

 

 
69

Other pension benefits

 

 

 
1

 

 
1

Other expense, net

 
(14
)
 

 
(4
)
 

 
(18
)
Equity in income of subsidiaries
680

 
882

 
1,799

 

 
(3,361
)
 

 
685

 
888

 
882

 
(2,172
)
 
(3,361
)
 
(3,078
)
 
 
 
 
 
 
 
 
 
 
 
 
Income before income taxes
786

 
898

 
882

 
1,823

 
(3,361
)
 
1,028

Income tax benefit (expense)
9,109

 
1

 

 
(23
)
 

 
9,087

Consolidated net income
9,895

 
899

 
882

 
1,800

 
(3,361
)
 
10,115

Less: Net income attributable to noncontrolling interests

 
(219
)
 

 
(1
)
 

 
(220
)
Net income
$
9,895

 
$
680

 
$
882

 
$
1,799

 
$
(3,361
)
 
$
9,895





F- 57


CHARTER COMMUNICATIONS, INC. AND SUBSIDIARIES
NOTES TO CONSOLIDATED FINANCIAL STATEMENTS
DECEMBER 31, 2018, 2017 AND 2016
(dollars in millions, except share or per share data or where indicated)

Charter Communications, Inc. and Subsidiaries
Condensed Consolidating Statement of Operations
For the year ended December 31, 2016
 
 
 
 
 
 
 
 
 
 
 
 
 
 
 
Non-Guarantor Subsidiaries
 
 
 
Guarantor Subsidiaries
 
 
 
 
 
Charter
 
Intermediate Holding Companies
 
Safari Escrow Entities
 
CCO Holdings
 
Charter Operating and Restricted Subsidiaries
 
Eliminations
 
Charter Consolidated
REVENUES
$
251

 
$
1,004

 
$

 
$

 
$
29,003

 
$
(1,255
)
 
$
29,003

 
 
 
 
 
 
 
 
 
 
 
 
 
 
COSTS AND EXPENSES:
 
 
 
 
 
 
 
 
 
 
 
 
 
Operating costs and expenses (exclusive of items shown separately below)
251

 
989

 

 

 
18,670

 
(1,255
)
 
18,655

Depreciation and amortization

 
5

 

 

 
6,902

 

 
6,907

Other operating expenses, net
262

 
1

 

 

 
722

 

 
985

 
513

 
995

 

 

 
26,294

 
(1,255
)
 
26,547

Income (loss) from operations
(262
)
 
9

 

 

 
2,709

 

 
2,456

 
 
 
 
 
 
 
 
 
 
 
 
 
 
OTHER INCOME (EXPENSES):
 
 
 
 
 
 
 
 
 
 
 
 
 
Interest income (expense), net

 
14

 
(390
)
 
(727
)
 
(1,396
)
 

 
(2,499
)
Loss on extinguishment of debt

 

 

 
(110
)
 
(1
)
 

 
(111
)
Gain on financial instruments, net

 

 

 

 
89

 

 
89

Other pension benefits

 

 

 

 
899

 

 
899

Other expense, net

 
(11
)
 

 

 
(3
)
 

 
(14
)
Equity in income of subsidiaries
851

 
1,066

 

 
2,293

 

 
(4,210
)
 

 
851

 
1,069

 
(390
)
 
1,456

 
(412
)
 
(4,210
)
 
(1,636
)
 
 
 
 
 
 
 
 
 
 
 
 
 
 
Income (loss) before income taxes
589

 
1,078

 
(390
)
 
1,456

 
2,297

 
(4,210
)
 
820

Income tax benefit (expense)
2,933

 
(5
)
 

 

 
(3
)
 

 
2,925

Consolidated net income (loss)
3,522

 
1,073

 
(390
)
 
1,456

 
2,294

 
(4,210
)
 
3,745

Less: Net income attributable to noncontrolling interests

 
(222
)
 

 

 
(1
)
 

 
(223
)
Net income (loss)
$
3,522

 
$
851

 
$
(390
)
 
$
1,456

 
$
2,293

 
$
(4,210
)
 
$
3,522




F- 58


CHARTER COMMUNICATIONS, INC. AND SUBSIDIARIES
NOTES TO CONSOLIDATED FINANCIAL STATEMENTS
DECEMBER 31, 2018, 2017 AND 2016
(dollars in millions, except share or per share data or where indicated)

Charter Communications, Inc. and Subsidiaries
Condensed Consolidating Statement of Comprehensive Income
For the year ended December 31, 2018
 
 
 
 
 
 
 
 
 
 
 
 
 
Non-Guarantor Subsidiaries
 
Guarantor Subsidiaries
 
 
 
 
 
Charter
 
Intermediate Holding Companies
 
CCO Holdings
 
Charter Operating and Restricted Subsidiaries
 
Eliminations
 
Charter Consolidated
Consolidated net income
$
1,230

 
$
1,652

 
$
1,632

 
$
2,649

 
$
(5,657
)
 
$
1,506

Foreign currency translation adjustment
(1
)
 
(1
)
 
(1
)
 
(1
)
 
3

 
(1
)
Consolidated comprehensive income
1,229

 
1,651

 
1,631

 
2,648

 
(5,654
)
 
1,505

Less: Comprehensive income attributable to noncontrolling interests

 
(275
)
 

 
(1
)
 

 
(276
)
Comprehensive income
$
1,229

 
$
1,376

 
$
1,631

 
$
2,647

 
$
(5,654
)
 
$
1,229


Charter Communications, Inc. and Subsidiaries
Condensed Consolidating Statement of Comprehensive Income
For the year ended December 31, 2017
 
 
 
 
 
 
 
 
 
 
 
 
 
Non-Guarantor Subsidiaries
 
Guarantor Subsidiaries
 
 
 
 
 
Charter
 
Intermediate Holding Companies
 
CCO Holdings
 
Charter Operating and Restricted Subsidiaries
 
Eliminations
 
Charter Consolidated
Consolidated net income
$
9,895

 
$
899

 
$
882

 
$
1,800

 
$
(3,361
)
 
$
10,115

Net impact of interest rate derivative instruments
5

 
5

 
5

 
5

 
(15
)
 
5

Foreign currency translation adjustment
1

 
1

 
1

 
1

 
(3
)
 
1

Consolidated comprehensive income
9,901

 
905

 
888

 
1,806

 
(3,379
)
 
10,121

Less: Comprehensive income attributable to noncontrolling interests

 
(219
)
 

 
(1
)
 

 
(220
)
Comprehensive income
$
9,901

 
$
686

 
$
888

 
$
1,805

 
$
(3,379
)
 
$
9,901


Charter Communications, Inc. and Subsidiaries
Condensed Consolidating Statement of Comprehensive Income (Loss)
For the year ended December 31, 2016
 
 
 
 
 
 
 
 
 
 
 
 
 
 
 
Non-Guarantor Subsidiaries
 
 
 
Guarantor Subsidiaries
 
 
 
 
 
Charter
 
Intermediate Holding Companies
 
Safari Escrow Entities
 
CCO Holdings
 
Charter Operating and Restricted Subsidiaries
 
Eliminations
 
Charter Consolidated
Consolidated net income (loss)
$
3,522

 
$
1,073

 
$
(390
)
 
$
1,456

 
$
2,294

 
$
(4,210
)
 
$
3,745

Net impact of interest rate derivative instruments
8

 
8

 

 
8

 
8

 
(24
)
 
8

Foreign currency translation adjustment
(2
)
 
(2
)
 

 
(2
)
 
(2
)
 
6

 
(2
)
Consolidated comprehensive income (loss)
3,528

 
1,079

 
(390
)
 
1,462

 
2,300

 
(4,228
)
 
3,751

Less: Comprehensive income attributable to noncontrolling interests

 
(222
)
 

 

 
(1
)
 

 
(223
)
Comprehensive income (loss)
$
3,528

 
$
857

 
$
(390
)
 
$
1,462

 
$
2,299

 
$
(4,228
)
 
$
3,528




F- 59


CHARTER COMMUNICATIONS, INC. AND SUBSIDIARIES
NOTES TO CONSOLIDATED FINANCIAL STATEMENTS
DECEMBER 31, 2018, 2017 AND 2016
(dollars in millions, except share or per share data or where indicated)

Charter Communications, Inc. and Subsidiaries
Condensed Consolidating Statement of Cash Flows
For the year ended December 31, 2018
+
 
 
 
 
 
 
 
 
 
 
 
 
Non-Guarantor Subsidiaries
 
Guarantor Subsidiaries
 
 
 
 
 
Charter
 
Intermediate Holding Companies
 
CCO Holdings
 
Charter Operating and Restricted Subsidiaries
 
Eliminations
 
Charter Consolidated
NET CASH FLOWS FROM OPERATING ACTIVITIES
$
(10
)
 
$
120

 
$
(1,009
)
 
$
12,666

 
$

 
$
11,767

 
 
 
 
 
 
 
 
 
 
 
 
CASH FLOWS FROM INVESTING ACTIVITIES:
 
 
 
 
 
 
 
 
 
 
 
Purchases of property, plant and equipment

 
(16
)
 

 
(9,109
)
 

 
(9,125
)
Change in accrued expenses related to capital expenditures

 

 

 
(470
)
 

 
(470
)
Real estate investments through variable interest entities

 
(21
)
 

 

 

 
(21
)
Contribution to subsidiaries
(69
)
 
(142
)
 
(142
)
 

 
353

 

Distributions from subsidiaries
4,421

 
5,178

 
6,187

 

 
(15,786
)
 

Other, net

 
(20
)
 

 
(100
)
 

 
(120
)
Net cash flows from investing activities
4,352

 
4,979

 
6,045

 
(9,679
)
 
(15,433
)
 
(9,736
)
 
 
 
 
 
 
 
 
 
 
 
 
CASH FLOWS FROM FINANCING ACTIVITIES:
 
 
 
 
 
 
 
 
 
 
 
Borrowings of long-term debt

 

 

 
13,820

 

 
13,820

Repayments of long-term debt

 

 

 
(10,769
)
 

 
(10,769
)
Borrowings (repayments) loans payable - related parties
(12
)
 

 

 
12

 

 

Payment for debt issuance costs

 

 

 
(29
)
 

 
(29
)
Purchase of treasury stock
(4,399
)
 

 

 

 

 
(4,399
)
Proceeds from exercise of stock options
69

 

 

 

 

 
69

Purchase of noncontrolling interest

 
(656
)
 

 

 

 
(656
)
Distributions to noncontrolling interest

 
(152
)
 

 
(1
)
 

 
(153
)
Contributions from parent

 
69

 
142

 
142

 
(353
)
 

Distributions to parent

 
(4,421
)
 
(5,178
)
 
(6,187
)
 
15,786

 

Borrowings for real estate investments through variable interest entities

 
342

 

 

 

 
342

Distributions to variable interest entities noncontrolling interest

 
(107
)
 

 

 

 
(107
)
Other, net

 

 

 
(5
)
 

 
(5
)
Net cash flows from financing activities
(4,342
)
 
(4,925
)
 
(5,036
)
 
(3,017
)
 
15,433

 
(1,887
)
 
 
 
 
 
 
 
 
 
 
 
 
NET INCREASE (DECREASE) IN CASH, CASH EQUIVALENTS AND RESTRICTED CASH

 
174

 

 
(30
)
 

 
144

CASH, CASH EQUIVALENTS AND RESTRICTED CASH, beginning of period

 
291

 

 
330

 

 
621

CASH, CASH EQUIVALENTS AND RESTRICTED CASH, end of period
$

 
$
465

 
$

 
$
300

 
$

 
$
765



F- 60


CHARTER COMMUNICATIONS, INC. AND SUBSIDIARIES
NOTES TO CONSOLIDATED FINANCIAL STATEMENTS
DECEMBER 31, 2018, 2017 AND 2016
(dollars in millions, except share or per share data or where indicated)

Charter Communications, Inc. and Subsidiaries
Condensed Consolidating Statement of Cash Flows
For the year ended December 31, 2017
 
 
 
 
 
 
 
 
 
 
 
 
 
Non-Guarantor Subsidiaries
 
Guarantor Subsidiaries
 
 
 
 
 
Charter
 
Intermediate Holding Companies
 
CCO Holdings
 
Charter Operating and Restricted Subsidiaries
 
Eliminations
 
Charter Consolidated
NET CASH FLOWS FROM OPERATING ACTIVITIES
$
159

 
$
187

 
$
(814
)
 
$
12,422

 
$

 
$
11,954

 
 
 
 
 
 
 
 
 
 
 
 
CASH FLOWS FROM INVESTING ACTIVITIES:
 
 
 
 
 
 
 
 
 
 
 
Purchases of property, plant and equipment

 

 

 
(8,681
)
 

 
(8,681
)
Change in accrued expenses related to capital expenditures

 

 

 
820

 

 
820

Purchases of cable systems, net

 

 

 
(9
)
 

 
(9
)
Real estate investments through variable interest entities

 
(105
)
 

 

 

 
(105
)
Contribution to subsidiaries
(115
)
 

 
(693
)
 

 
808

 

Distributions from subsidiaries
11,732

 
13,488

 
9,598

 

 
(34,818
)
 

Other, net

 

 

 
(123
)
 

 
(123
)
Net cash flows from investing activities
11,617

 
13,383

 
8,905

 
(7,993
)
 
(34,010
)
 
(8,098
)
 
 
 
 
 
 
 
 
 
 
 
 
CASH FLOWS FROM FINANCING ACTIVITIES:
 
 
 
 
 
 
 
 
 
 
 
Borrowings of long-term debt

 

 
6,231

 
19,045

 

 
25,276

Repayments of long-term debt

 

 
(775
)
 
(15,732
)
 

 
(16,507
)
Borrowings (repayments) loans payable - related parties
(234
)
 

 

 
234

 

 

Payment for debt issuance costs

 

 
(59
)
 
(52
)
 

 
(111
)
Purchase of treasury stock
(11,715
)
 

 

 

 

 
(11,715
)
Proceeds from exercise of stock options
116

 

 

 

 

 
116

Purchase of noncontrolling interest

 
(1,665
)
 

 

 

 
(1,665
)
Distributions to noncontrolling interest

 
(151
)
 

 
(2
)
 

 
(153
)
Contributions from parent

 
115

 

 
693

 
(808
)
 

Distributions to parent

 
(11,732
)
 
(13,488
)
 
(9,598
)
 
34,818

 

Other, net

 

 

 
(11
)
 

 
(11
)
Net cash flows from financing activities
(11,833
)
 
(13,433
)
 
(8,091
)
 
(5,423
)
 
34,010

 
(4,770
)
 
 
 
 
 
 
 
 
 
 
 
 
NET INCREASE (DECREASE) IN CASH, CASH EQUIVALENTS AND RESTRICTED CASH
(57
)
 
137

 

 
(994
)
 

 
(914
)
CASH, CASH EQUIVALENTS AND RESTRICTED CASH, beginning of period
57

 
154

 

 
1,324

 

 
1,535

CASH, CASH EQUIVALENTS AND RESTRICTED CASH, end of period
$

 
$
291

 
$

 
$
330

 
$

 
$
621




F- 61


CHARTER COMMUNICATIONS, INC. AND SUBSIDIARIES
NOTES TO CONSOLIDATED FINANCIAL STATEMENTS
DECEMBER 31, 2018, 2017 AND 2016
(dollars in millions, except share or per share data or where indicated)

Charter Communications, Inc. and Subsidiaries
Condensed Consolidating Statement of Cash Flows
For the year ended December 31, 2016
 
 
 
 
 
 
 
 
 
 
 
 
 
 
 
Non-Guarantor Subsidiaries
 
 
 
Guarantor Subsidiaries
 
 
 
 
 
Charter
 
Intermediate Holding Companies
 
Safari Escrow Entities
 
CCO Holdings
 
Charter Operating and Restricted Subsidiaries
 
Eliminations
 
Charter Consolidated
NET CASH FLOWS FROM OPERATING ACTIVITIES:
$
(225
)
 
$
(36
)
 
$
(463
)
 
$
(711
)
 
$
9,476

 
$

 
$
8,041

 
 
 
 
 
 
 
 
 
 
 
 
 
 
CASH FLOWS FROM INVESTING ACTIVITIES:
 
 
 
 
 
 
 
 
 
 
 
 
 
Purchases of property, plant and equipment

 

 

 

 
(5,325
)
 

 
(5,325
)
Change in accrued expenses related to capital expenditures

 

 

 

 
603

 

 
603

Purchase of cable systems, net
(26,781
)
 
(2,022
)
 

 

 
(7
)
 

 
(28,810
)
Contribution to subsidiaries
(1,013
)
 
(478
)
 

 
(437
)
 

 
1,928

 

Distributions from subsidiaries
24,552

 
26,899

 

 
5,096

 

 
(56,547
)
 

Other, net

 

 

 

 
(22
)
 

 
(22
)
Net cash flows from investing activities
(3,242
)
 
24,399

 

 
4,659

 
(4,751
)
 
(54,619
)
 
(33,554
)
 
 
 
 
 
 
 
 
 
 
 
 
 
 
CASH FLOWS FROM FINANCING ACTIVITIES:
 
 
 
 
 
 
 
 
 
 
 
 
 
Borrowings of long-term debt

 

 

 
3,201

 
9,143

 

 
12,344

Repayments of long-term debt

 

 

 
(2,937
)
 
(7,584
)
 

 
(10,521
)
Borrowings (repayments) loans payable - related parties

 
(300
)
 
553

 
(71
)
 
(182
)
 

 

Payment for debt issuance costs

 

 

 
(73
)
 
(211
)
 

 
(284
)
Issuance of equity
5,000

 

 

 

 

 

 
5,000

Purchase of treasury stock
(1,562
)
 

 

 

 

 

 
(1,562
)
Proceeds from exercise of options and warrants
86

 

 

 

 

 

 
86

Settlement of restricted stock units

 
(59
)
 

 

 

 

 
(59
)
Purchase of noncontrolling interest

 
(218
)
 

 

 

 

 
(218
)
Distributions to noncontrolling interest

 
(96
)
 

 

 

 

 
(96
)
Proceeds from termination of interest rate derivatives

 

 

 

 
88

 

 
88

Contributions from parent

 
1,013

 

 
478

 
437

 
(1,928
)
 

Distributions to parent

 
(24,552
)
 
(22,353
)
 
(4,546
)
 
(5,096
)
 
56,547

 

Other, net

 
3

 
(1
)
 

 
(1
)
 

 
1

Net cash flows from financing activities
3,524

 
(24,209
)
 
(21,801
)
 
(3,948
)
 
(3,406
)
 
54,619

 
4,779

 
 
 
 
 
 
 
 
 
 
 
 
 
 
NET INCREASE (DECREASE) IN CASH, CASH EQUIVALENTS AND RESTRICTED CASH
57

 
154

 
(22,264
)
 

 
1,319

 

 
(20,734
)
CASH, CASH EQUIVALENTS AND RESTRICTED CASH, beginning of period

 

 
22,264

 

 
5

 

 
22,269

CASH, CASH EQUIVALENTS AND RESTRICTED CASH, end of period
$
57

 
$
154

 
$

 
$

 
$
1,324

 
$

 
$
1,535




F- 62